





技术领域technical field
本发明涉及电机技术领域,具体涉及一种永磁直线同步电机直接推力的控制方法。The invention relates to the technical field of motors, in particular to a method for controlling the direct thrust of a permanent magnet linear synchronous motor.
背景技术Background technique
随着我国城市之间、城镇之间互相促进和依存关系的不断加强,以及城市核心区域迅速扩张,加强各区域之间快速、安全、舒适的交通互联越来越重要,因此对我国轨道交通行业提出来了更多要求。With the continuous strengthening of mutual promotion and interdependence between cities and towns in our country, and the rapid expansion of urban core areas, it is becoming more and more important to strengthen the fast, safe and comfortable transportation interconnection between various regions. Therefore, it is very important for my country's rail transit industry More demands were made.
传统的轨道交通行业采用旋转电机作为动力装置,依靠车轮和轨道间的粘着力进行列车的驱动。这种驱动方式经过长期的运用和发展,技术已经相对成熟。但由于该种方式使用轮轨之间的物理粘着力,车辆的速度、加速度以及爬坡性能等都会受到一定限制。另外,由于采用旋转电机进行驱动,需要通过齿轮传动将旋转力矩转换为列车的牵引力,传动系统的存在会使整个动力系统庞大,系统结构复杂。永磁直线同步电机(PMLSM)具有非粘着力驱动、结构简单与性能可靠等特点,而且直线电机与旋转电机不同,取消了中间的传动环节,将电能直接转换为所需要的机械技能,因此可使整个动力系统的结构变得简单,体积变小,因此越来越多地被应用于轨道交通行业。The traditional rail transit industry uses rotating motors as power devices, relying on the adhesion between the wheels and the rails to drive the train. This driving method has been used and developed for a long time, and the technology has been relatively mature. However, because this method uses the physical adhesion between the wheel and the rail, the speed, acceleration and climbing performance of the vehicle will be limited to a certain extent. In addition, due to the use of rotating motors for driving, the rotational torque needs to be converted into the traction force of the train through gear transmission. The existence of the transmission system will make the entire power system huge and the system structure complex. The permanent magnet linear synchronous motor (PMLSM) has the characteristics of non-adhesive drive, simple structure and reliable performance. Moreover, the linear motor is different from the rotary motor. It cancels the intermediate transmission link and directly converts electrical energy into the required mechanical skills. Therefore, it can The structure of the entire power system is simplified and the volume is reduced, so it is more and more used in the rail transit industry.
目前永磁直线同步电机的控制系统基本都为闭环控制系统,控制方式基本都采用PI控制,但是永磁直线同步电机控制方法易受到参数时变,外部未知扰动的影响,然而现代控制理论大部分的控制方式是基于理想的数学模型进行控制,在发生参数时变等影响的时候可能发生波动,使得控制系统不稳定。At present, the control systems of permanent magnet linear synchronous motors are basically closed-loop control systems, and the control methods basically adopt PI control. However, the control methods of permanent magnet linear synchronous motors are susceptible to time-varying parameters and the influence of external unknown disturbances. However, most modern control theories The control method is based on an ideal mathematical model, and fluctuations may occur when parameters such as time-varying influences occur, making the control system unstable.
发明内容Contents of the invention
针对现有技术所存在的缺陷,本发明提出了一种永磁直线同步电机直接推力的控制方法,其目的是削弱永磁直线同步电机控制方法易受到参数时变等影响所带来的控制系统不稳定的技术问题。Aiming at the defects existing in the prior art, the present invention proposes a direct thrust control method of the permanent magnet linear synchronous motor. Unstable technical issues.
本发明的技术方案如下:Technical scheme of the present invention is as follows:
一种永磁直线同步电机直接推力控制方法,包括如下步骤,A method for direct thrust control of a permanent magnet linear synchronous motor, comprising the following steps,
S101:测量永磁直线同步电机的三相电流ia、ib、ic,三相电压ua、ub、uc,进行Clark变换,得到α-β坐标系下的等效电流iα、iβ和等效电压uα、uβ;S101: Measure the three-phase current ia , ib , ic and the three-phase voltage ua , ub , uc of the permanent magnet linear synchronous motor, and perform Clark transformation to obtain the equivalent current iα in the α-β coordinate system , iβ and equivalent voltage uα , uβ ;
S102:利用α-β坐标系下的等效电流iα、iβ和等效电压uα、uβ计算出永磁直线同步电机的推力fe、磁链ψs和磁链角θs;S102: Calculate the thrust fe, flux linkage ψs and flux linkage angle θs of the permanent magnet linear synchronous motor by using the equivalent current iα , iβ and equivalent voltage uα , uβ in the α-β coordinate system;
S103:构造ADHDP速度控制器,ADHDP速度控制器输出的推力参考值fe*与计算出的推力fe作差得到推力差值Δfe,将给定的磁链幅值ψs*与步骤S102计算出的磁链ψs作差得到Δψs;S103: Construct the ADHDP speed controller. The thrust reference value fe* output by the ADHDP speed controller is compared with the calculated thrust fe to obtain the thrust difference Δfe, and the given flux linkage amplitude ψs* is calculated in step S102 Flux linkage ψs is subtracted to get Δψs ;
S104:将步骤S103中的推力差值Δfe与磁链差值Δψs经推力和磁链滞环调节器后得到的信号,与磁链角θs经过扇区选择单元输出的信号一同输入到电压矢量开关选择单元,进而选择逆变器各个开关的状态,使逆变器产生三相交流电压使电机运行。S104: Input the signal obtained after the thrust difference Δfe and the flux linkage difference Δψs in step S103 through the thrust and flux linkage hysteresis regulator, and the signal output by the flux linkage angle θs through the sector selection unit into the voltage The vector switch selects the unit, and then selects the state of each switch of the inverter, so that the inverter generates three-phase AC voltage to run the motor.
进一步地,步骤S103中ADHDP速度控制器的构造方法如下:Further, the construction method of the ADHDP speed controller in step S103 is as follows:
构造两个BP神经网络,即执行网络和评价网络,利用执行网络和评价网络构成ADHDP速度控制器。Construct two BP neural networks, that is, the execution network and the evaluation network, and use the execution network and the evaluation network to form the ADHDP speed controller.
进一步地,ADHDP速度控制器中的执行网络和评价网络都含有两个隐藏层。Furthermore, both the executive network and the evaluation network in the ADHDP speed controller contain two hidden layers.
进一步地,执行网络和评价网络的隐藏层采用双极性sigmoidal函数,输出层采用线性函数purelin。Furthermore, the hidden layer of the execution network and the evaluation network adopts the bipolar sigmoidal function, and the output layer adopts the linear function purelin.
进一步地,执行网络的结构为3-12-12-1。Further, the structure of the execution network is 3-12-12-1.
进一步地,评价网络的结构为4-10-10-1。Further, the structure of the evaluation network is 4-10-10-1.
进一步地,以速度误差e(k)及此速度误差前两个时刻的变量e(k-1),e(k-2)为所述执行网络的输入,以推力参考值fe*为执行网络的输出。Further, the speed error e(k) and the variables e(k-1) and e(k-2) at two moments before the speed error are used as the input of the execution network, and the thrust reference value fe* is used as the execution network Output.
进一步地,以速度误差e(k)及此速度误差前两个时刻的变量e(k-1),e(k-2)和执行网络输出的推力参考值fe*作为评价网络的输入,以系统的性能指标函数的估计值为输出。Further, the speed error e(k) and the variables e(k-1) and e(k-2) at the first two moments of the speed error and the thrust reference value fe* output by the execution network are used as the input of the evaluation network, with Estimated value of the performance index function of the system for output.
进一步地,速度误差e(k)的获取方式为,使用磁栅尺获取电机转速v,将其与期望速度vref作差,得到速度误差e(k)。Further, the speed error e(k) is obtained by using a magnetic scale to obtain the motor speed v, and making a difference with the expected speed vref to obtain the speed error e(k).
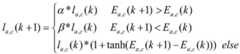
进一步地,评价网络和执行网络的学习率la,c(k)均为自适应学习率,如下式所示,Further, the learning rates la, c (k) of the evaluation network and the execution network are both adaptive learning rates, as shown in the following formula,
其中,α、β为学习率增益;la,c(k)的初值为0.1;Ea,c(k)为执行网络和评价网络的目标函数。Among them, α and β are the learning rate gains; the initial value of la,c (k) is 0.1; Ea,c (k) is the objective function of the execution network and the evaluation network.
本发明与现有技术相比具有如下优点:Compared with the prior art, the present invention has the following advantages:
1、本发明提出的永磁直线同步电机直接推力控制方法为数据驱动控制方法,相比于传统的PI控制器的收敛速度慢,误差精度不高的情况,在一定程度上进行优化,提高了永磁直线同步电机的控制精度。1. The direct thrust control method of the permanent magnet linear synchronous motor proposed by the present invention is a data-driven control method. Compared with the traditional PI controller, the convergence speed is slow and the error accuracy is not high. It is optimized to a certain extent and improves the Control accuracy of permanent magnet linear synchronous motor.
2、本发明所提出的永磁直线同步电机直接推力控制方法中的评价网络和执行网络分别采用BP神经网络,并设计两层隐藏层提高逼近的精度,并使用自适应学习率,提升神经网络的收敛速度,避免BP神经网络陷入局部最优。2. The evaluation network and the execution network in the direct thrust control method of the permanent magnet linear synchronous motor proposed by the present invention adopt BP neural network respectively, and design two layers of hidden layers to improve the accuracy of approximation, and use adaptive learning rate to improve the neural network The convergence speed can avoid BP neural network from falling into local optimum.
附图说明Description of drawings
图1为本发明永磁直线同步电机直接推力控制方法的流程图;Fig. 1 is the flow chart of the direct thrust control method of the permanent magnet linear synchronous motor of the present invention;
图2为本发明的永磁直线同步电机直接推力控制系统框图;Fig. 2 is the block diagram of the direct thrust control system of the permanent magnet linear synchronous motor of the present invention;
图3为ADHDP内部逻辑结构框图;Fig. 3 is a block diagram of the internal logical structure of ADHDP;
图4为评价网络的网络结构;Fig. 4 is the network structure of evaluation network;
图5为执行网络的网络结构;Fig. 5 is the network structure of execution network;
图6为基于自适应动态规划的速度控制器跟踪曲线。Figure 6 is the tracking curve of the speed controller based on adaptive dynamic programming.
具体实施方式Detailed ways
下面结合附图对本发明做进一步详细说明。The present invention will be described in further detail below in conjunction with the accompanying drawings.
图1至图6所示,本发明提供了一种永磁直线同步电机直接推力控制方法,具体如下。As shown in Fig. 1 to Fig. 6, the present invention provides a direct thrust control method of a permanent magnet linear synchronous motor, specifically as follows.
一种永磁直线同步电机直接推力控制方法,具体包括如下步骤,A method for direct thrust control of a permanent magnet linear synchronous motor, specifically comprising the following steps,
步骤1:测量永磁直线同步电机的三相电流ia、ib、ic三相电压ua、ub、uc,进行Clark变换,得到α-β坐标系下的等效电流iα、iβ和等效电压uα、uβ;Step 1: Measure the three-phase current ia , ib , ic three-phase voltage ua , ub , uc of the permanent magnet linear synchronous motor, and perform Clark transformation to obtain the equivalent current iα in the α-β coordinate system , iβ and equivalent voltage uα , uβ ;
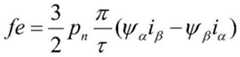
步骤2:利用步骤1中的α-β坐标系下的等效电流iα、iβ和等效电压uα、uβ计算出永磁直线同步电机的推力fe和磁链ψs,再通过α-β坐标系下的磁链分量ψα、ψβ进行反三角正切计算得到磁链角θs,具体的表达式为,Step 2: Use the equivalent current iα , iβ and equivalent voltage uα , uβ in the α-β coordinate system in
其中pn为电机极对数,τ为电机的极距;Where pn is the number of pole pairs of the motor, and τ is the pole pitch of the motor;
步骤3:构造两个BP神经网络,即执行网络和评价网络组成ADHDP速度控制器,ADHDP速度控制器的控制算法由评价网络更新控制策略和执行网络调节速度误差基于强化学习的思想构成,ADHDP速度控制器输出的推力参考值fe*与计算出的推力fe作差得到推力差值Δfe;同时将给定的磁链幅值ψs*与步骤2计算出的磁链ψs作差得到磁链差值Δψs。Step 3: Construct two BP neural networks, that is, the execution network and the evaluation network to form the ADHDP speed controller. The control algorithm of the ADHDP speed controller is composed of the evaluation network update control strategy and the execution network to adjust the speed error. Based on the idea of reinforcement learning, the ADHDP speed The difference between the thrust reference value fe* output by the controller and the calculated thrust fe is obtained to obtain the thrust difference Δfe; at the same time, the difference between the given flux linkage amplitude ψs* and the flux linkage ψs calculated in
步骤4:将步骤3中的推力差值Δfe与磁链差值Δψs经推力和磁链滞环调节器后得到的信号,与磁链角经过扇区选择单元输出的信号一同输入到电压矢量开关选择单元,进而选择逆变器各个开关的状态,逆变器产生三相交流电压使电机稳定运行。Step 4: Input the signal obtained from the thrust difference Δfe and the flux linkage difference Δψs through the thrust and flux linkage hysteresis regulator in step 3, and the signal output by the flux linkage angle through the sector selection unit into the voltage vector The switch selection unit further selects the state of each switch of the inverter, and the inverter generates three-phase AC voltage to make the motor run stably.
在上述步骤3中构造ADHDP速度控制器的具体构造过程如下:The specific construction process of constructing the ADHDP speed controller in the above step 3 is as follows:
使用磁栅尺获取电机转速v,将其与期望速度vref作差,得到速度误差e(k),并选取此速度误差前两个时刻的值e(k-1),e(k-2),将e(k),e(k-1),e(k-2)作为ADHDP速度控制器的状态变量,将ADHDP速度控制器输出的推力参考值fe*作为控制量。Use the magnetic scale to obtain the motor speed v, and make a difference between it and the expected speed vref to obtain the speed error e(k), and select the values e(k-1) and e(k-2) at the first two moments of the speed error ), taking e(k), e(k-1), e(k-2) as the state variables of the ADHDP speed controller, and taking the thrust reference value fe* output by the ADHDP speed controller as the control amount.
其中,ADHDP速度控制器中的执行网络和评价网络都含有两个隐藏层。对评价网络和执行网络的具体描述如下。Among them, both the execution network and the evaluation network in the ADHDP speed controller contain two hidden layers. The specific description of the evaluation network and the execution network is as follows.
评价网络的结构为4-10-10-1,选取速度误差及此速度误差前两个时刻的变量和速度控制器输出的推力参考值fe*作为评价网络的输入,以系统的性能指标函数的估计值为输出,评价网络的隐藏层采用双极性sigmoidal函数,输出层采用线性函数purelin。The structure of the evaluation network is 4-10-10-1. The speed error and the variables at the first two moments of the speed error and the thrust reference value fe* output by the speed controller are selected as the input of the evaluation network, and the performance index function of the system is estimated value For output, the hidden layer of the evaluation network uses a bipolar sigmoidal function, and the output layer uses a linear function purelin.
定义评价网络的输入向量为:Define the input vector of the evaluation network as:
xc(k)=[e(k),e(k-1),e(k-2),fe*(k)]xc (k) = [e(k), e(k-1), e(k-2), fe* (k)]
评价网络正向计算的过程如下:The process of evaluating the forward calculation of the network is as follows:
其中i,j分别代表各矩阵的行数和列数,j′代表各神经网络输入向量的列数,ch1j(k),ch2j(k),ch3j(k),ch4j(k)分别为ch1(k),ch2(k),ch3(k),ch4(k)内的元素。ch1j(k),ch2j(k),ch3j(k),ch4j(k)分别为两个隐藏层第j个节点的输入输出。Wc1ij(k),Wc2ij(k),Wc3i(k)分别为Wc1(k),Wc2(k),Wc3(k)内的元素。Wc1ij(k),Wc2ij(k),Wc3i(k)分别为输入层到隐藏层的权值,两个隐藏层间的权值,隐藏层到输出层的权值。Among them, i and j represent the number of rows and columns of each matrix respectively, j′ represents the number of columns of each neural network input vector, ch1j (k), ch2j (k), ch3j (k), ch4j (k) are elements in ch1 (k), ch2 (k), ch3 (k), and ch4 (k), respectively. ch1j (k), ch2j (k), ch3j (k), ch4j (k) are the input and output of the jth node of the two hidden layers respectively. Wc1ij (k), Wc2ij (k), and Wc3i (k) are elements within Wc1 (k), Wc2 (k), and Wc3 (k), respectively. Wc1ij (k), Wc2ij (k), Wc3i (k) are the weights from the input layer to the hidden layer, the weights between the two hidden layers, and the weights from the hidden layer to the output layer, respectively.
定义系统的效用函数为:The utility function of the system is defined as:
U(k)=e(k)Ae(k)T+fe*(k)Bfe*(k)TU(k)=e(k)Ae(k)T +fe* (k)Bfe* (k)T
其中A,B为正定对角矩阵。Among them, A and B are positive definite diagonal matrices.
定义评价网络的目标函数Ec(k)为:Define the objective function Ec (k) of the evaluation network as:
其中ec(k)为评价网络的误差函数,其中γ为折扣因子。where ec (k) is the error function of the evaluation network, where γ is the discount factor.
式中与分别由两个评价网络实现,两个评价网络的输入分别为,In the formula and They are respectively implemented by two evaluation networks, and the inputs of the two evaluation networks are respectively,
xc(t)=[e(k),e(k-1),e(k-2),fe*(k)],xc(t)=[e(k-1),e(k-2),e(k-3),fe*(k-1)],两个评价网络除输入以外其他结构相同。xc (t)=[e(k), e(k-1), e(k-2), fe* (k)], xc (t)=[e(k-1), e(k -2), e(k-3), fe* (k-1)], the two evaluation networks have the same structure except for the input.
评价网络的权值更新过程如下式所示The weight update process of the evaluation network is shown in the following formula
定义隐藏层到输出层的权值变化量为:Define the weight change from the hidden layer to the output layer as:
更新后的权值矩阵为:The updated weight matrix is:
Wc3(k+1)=Wc3(k)+ΔWc3(k)Wc3 (k+1)=Wc3 (k)+ΔWc3 (k)
定义隐藏层到隐藏层的权值变化为:Define the weight change from hidden layer to hidden layer as:
更新后的权值矩阵为:The updated weight matrix is:
Wc2(k+1)=Wc2(k)+ΔWc2(k)Wc2 (k+1)=Wc2 (k)+ΔWc2 (k)
定义输入层到隐藏层的权值变化量为:Define the weight change from the input layer to the hidden layer as:
更新后的权值矩阵为:The updated weight matrix is:
Wc1(k+1)=Wc1(k)+ΔWc1(k)Wc1 (k+1)=Wc1 (k)+ΔWc1 (k)
其中lc(k)为评价网络的学习率,Wc3(k+1),Wc2(k+1),Wc1(k+1)为更新后的权值矩阵。Where lc (k) is the learning rate of the evaluation network, Wc3 (k+1), Wc2 (k+1), and Wc1 (k+1) are the updated weight matrix.
执行网络的结构为3-12-12-1,选取速度误差及此速度误差前两个时刻的变量为执行网络的输入,以速度控制器的输出的推力参考值fe*为输出,执行网络的隐藏层采用双极性sigmoidal函数,输出层采用线性函数purelin。The structure of the execution network is 3-12-12-1. The speed error and the variables at the first two moments of the speed error are selected as the input of the execution network, and the thrust reference value fe* output by the speed controller is the output. The hidden layer uses the bipolar sigmoidal function, and the output layer uses the linear function purelin.
定义执行网络的输入向量为:Define the input vector of the execution network as:
xa(t)=[e(k),e(k-1),e(k-2)]xa (t) = [e(k), e(k-1), e(k-2)]
以下是执行网络的正向的计算过程:The following is the calculation process to perform the forward direction of the network:
其中ah1j(k),ah2j(k),ah3j(k),ah4j(k)分别为ah1(k),ah2(k),ah3(k),ah4(k)内的元素。ah1j(k),ah2j(k),ah3j(k),ah4j(k)分别为两个隐藏层第j个节点的输入输出。Wa1ij(k),Wa2ij(k),Wa3i(k)分别为Wa1(k),Wa2(k),Wa3(k)内的元素。Wa1ij(k),Wa2ij(k),Wa3i(k)分别为输入层到隐藏层的权值,隐藏层到隐藏层的权值以及隐藏层到输出层的权值,采用梯度下降法更新上述权值,并通过最小化为目标实现执行网络的权值更新,即执行网络的目标函数Where ah1j (k), ah2j (k), ah3j (k), ah4j (k) are within ah1 (k), ah2 (k), ah3 (k), ah4 (k) respectively Elements. ah1j (k), ah2j (k), ah3j (k), ah4j (k) are the input and output of the jth node of the two hidden layers respectively. Wa1ij (k), Wa2ij (k), and Wa3i (k) are elements in Wa1 (k), Wa2 (k), and Wa3 (k), respectively. Wa1ij (k), Wa2ij (k), Wa3i (k) are the weights from the input layer to the hidden layer, the weights from the hidden layer to the hidden layer, and the weights from the hidden layer to the output layer, using the gradient descent method Update the above weights, and by minimizing The weight update of the execution network is implemented for the goal, that is, the objective function of the execution network
执行网络的权值更新过程如下式所示,The weight update process of the execution network is shown in the following formula,
定义隐藏层到输出层的权值变化量为:Define the weight change from the hidden layer to the output layer as:
更新后的权值矩阵为:The updated weight matrix is:
Wa3(k+1)=Wa3(k)+ΔWa3(k)Wa3 (k+1)=Wa3 (k)+ΔWa3 (k)
定义两个隐藏层间的权值变化量为:Define the weight variation between two hidden layers as:
更新后的权值矩阵为:The updated weight matrix is:
Wa2(k+1)=Wa2(k)+ΔWa2(k)Wa2 (k+1)=Wa2 (k)+ΔWa2 (k)
定义输入层到隐藏层的权值变化量为:Define the weight change from the input layer to the hidden layer as:
更新后的权值矩阵为:The updated weight matrix is:
Wa1(k+1)=Wa1(k)+ΔWa1(k)Wa1 (k+1)=Wa1 (k)+ΔWa1 (k)
其中la(k)为评价网络的学习率,Wa3(k+1),Wa2(k+1),Wa1(k+1)为更新后的权值矩阵。Among them, la (k) is the learning rate of the evaluation network, Wa3 (k+1), Wa2 (k+1), and Wa1 (k+1) are the updated weight matrix.
其中上述权值更新中的为:Among them, in the above weight update for:
在评价网络和执行网络中,学习率la,c(k)均为自适应学习率,如下式所示:In the evaluation network and the execution network, the learning rate la, c (k) is an adaptive learning rate, as shown in the following formula:
其中α,β为学习率增益,la,c(k)的初值为0.1,Ea,c(k)为执行网络和评价网络的目标函数。Among them, α and β are the learning rate gains, the initial value of la,c (k) is 0.1, and Ea,c (k) is the objective function of the execution network and the evaluation network.
图6所示,本发明所涉及的永磁直线同步电机直接推力控制方法为数据驱动控制方法,控制过程中仅包含控制系统的输入输出,当系统中存在参数由于运行而改变的情况时,或突加负载扰动的时候,利用本发明的ADHDP控制方法可以反馈精确的速度值,并输出精确的推力值,本发明具有鲁棒性好且无超调的特点,可以使得永磁直线同步电机稳定的运行。As shown in Figure 6, the direct thrust control method of the permanent magnet linear synchronous motor involved in the present invention is a data-driven control method, and the control process only includes the input and output of the control system. When the parameters in the system change due to operation, or When the load disturbance is suddenly added, the ADHDP control method of the present invention can be used to feed back accurate speed values and output accurate thrust values. The present invention has the characteristics of good robustness and no overshoot, and can make the permanent magnet linear synchronous motor stable running.
| Application Number | Priority Date | Filing Date | Title |
|---|---|---|---|
| CN202210937674.9ACN115313932B (en) | 2022-08-05 | 2022-08-05 | A direct thrust control method for permanent magnet linear synchronous motor |
| Application Number | Priority Date | Filing Date | Title |
|---|---|---|---|
| CN202210937674.9ACN115313932B (en) | 2022-08-05 | 2022-08-05 | A direct thrust control method for permanent magnet linear synchronous motor |
| Publication Number | Publication Date |
|---|---|
| CN115313932Atrue CN115313932A (en) | 2022-11-08 |
| CN115313932B CN115313932B (en) | 2025-04-22 |
| Application Number | Title | Priority Date | Filing Date |
|---|---|---|---|
| CN202210937674.9AActiveCN115313932B (en) | 2022-08-05 | 2022-08-05 | A direct thrust control method for permanent magnet linear synchronous motor |
| Country | Link |
|---|---|
| CN (1) | CN115313932B (en) |
| Publication number | Priority date | Publication date | Assignee | Title |
|---|---|---|---|---|
| CN117879408A (en)* | 2024-03-11 | 2024-04-12 | 深圳市昱森机电有限公司 | Self-adaptive intelligent control method of linear motor and related equipment |
| CN118282255A (en)* | 2024-03-29 | 2024-07-02 | 深圳熙斯特新能源技术有限公司 | Motor speed control method, device, medium and equipment |
| Publication number | Priority date | Publication date | Assignee | Title |
|---|---|---|---|---|
| CN105846461A (en)* | 2016-04-28 | 2016-08-10 | 中国电力科学研究院 | Self-adaptive dynamic planning control method and system for large-scale energy storage power station |
| CN108418487A (en)* | 2018-02-11 | 2018-08-17 | 东南大学 | A speed pulsation suppression method for electric vehicles |
| CN109725534A (en)* | 2018-12-29 | 2019-05-07 | 云南电网有限责任公司电力科学研究院 | Adaptive dynamic programming method for STATCOM controller based on MMC |
| CN111669092A (en)* | 2020-05-06 | 2020-09-15 | 镇江市高等专科学校 | A deadbeat control method for linear vernier permanent magnet motor |
| Publication number | Priority date | Publication date | Assignee | Title |
|---|---|---|---|---|
| CN105846461A (en)* | 2016-04-28 | 2016-08-10 | 中国电力科学研究院 | Self-adaptive dynamic planning control method and system for large-scale energy storage power station |
| CN108418487A (en)* | 2018-02-11 | 2018-08-17 | 东南大学 | A speed pulsation suppression method for electric vehicles |
| CN109725534A (en)* | 2018-12-29 | 2019-05-07 | 云南电网有限责任公司电力科学研究院 | Adaptive dynamic programming method for STATCOM controller based on MMC |
| CN111669092A (en)* | 2020-05-06 | 2020-09-15 | 镇江市高等专科学校 | A deadbeat control method for linear vernier permanent magnet motor |
| Publication number | Priority date | Publication date | Assignee | Title |
|---|---|---|---|---|
| CN117879408A (en)* | 2024-03-11 | 2024-04-12 | 深圳市昱森机电有限公司 | Self-adaptive intelligent control method of linear motor and related equipment |
| CN117879408B (en)* | 2024-03-11 | 2024-05-31 | 深圳市昱森机电有限公司 | Self-adaptive intelligent control method of linear motor and related equipment |
| CN118282255A (en)* | 2024-03-29 | 2024-07-02 | 深圳熙斯特新能源技术有限公司 | Motor speed control method, device, medium and equipment |
| CN118282255B (en)* | 2024-03-29 | 2024-11-12 | 深圳熙斯特新能源技术有限公司 | Motor speed control method, device, medium and equipment |
| Publication number | Publication date |
|---|---|
| CN115313932B (en) | 2025-04-22 |
| Publication | Publication Date | Title |
|---|---|---|
| Guo et al. | Data-driven model-free adaptive predictive control for a class of MIMO nonlinear discrete-time systems with stability analysis | |
| CN115313932A (en) | Direct thrust control method for permanent magnet linear synchronous motor | |
| CN107154763A (en) | Permagnetic synchronous motor dead beat direct Torque Control and control method | |
| CN114123904B (en) | Predictive current increment control method suitable for operation of permanent magnet synchronous motor in high-speed region | |
| CN106788046B (en) | Permanent magnet synchronous motor command filtering finite time fuzzy control method | |
| CN105184027B (en) | A kind of power load modelling approach based on interacting multiple model algorithm | |
| CN108058601B (en) | Anti-lock control method for electric vehicle based on linear time variation | |
| CN109687801A (en) | A kind of permanent magnetic linear synchronous motor dead beat current control method | |
| CN113726253A (en) | Method for improving efficiency of permanent magnet synchronous motor for electric automobile | |
| CN113904598B (en) | Predictive control method for alternating-current permanent magnet synchronous motor | |
| CN108099876A (en) | A kind of electric vehicle anti-lock control method based on model prediction | |
| CN108099877A (en) | Slip rate tracking and controlling method under a kind of emergency braking operating mode | |
| US11981212B1 (en) | Cooperative control method for electro-hydraulic hybrid braking of middle-low speed maglev train | |
| Oubelaid et al. | Robust controllers design and performance investigation of a vector controlled electric vehicle | |
| CN114969982A (en) | Fuel cell automobile deep reinforcement learning energy management method based on strategy migration | |
| Huang et al. | Spatial adaptive iterative learning tracking control for high-speed trains considering passing through neutral sections | |
| Xie et al. | Optimal speed–torque control of asynchronous motor for electric cars in the field-weakening region based on voltage vector optimization | |
| CN116526556A (en) | A Model-Free Predictive Control Method for Parallel T-type Three-level Rectifier | |
| CN111176297A (en) | Subway train tracking control method and system based on multi-target DMC predictive control algorithm | |
| CN108363302B (en) | Ship dynamic positioning bottom layer propeller control method based on harmony search | |
| CN117341489B (en) | Train stepless coupling prediction adhesion control method for permanent magnet traction system | |
| Pushparajesh et al. | Torque ripple minimization in switched reluctance motor using ANFIS controller | |
| CN117155081A (en) | Double-vector model predictive control method applied to three-phase full-bridge inverter | |
| KR20190103960A (en) | Plant control system, plant control method, and computer-readable medium | |
| CN114844429A (en) | An online efficiency optimization method for a torque-coupled double switched reluctance motor system |
| Date | Code | Title | Description |
|---|---|---|---|
| PB01 | Publication | ||
| PB01 | Publication | ||
| SE01 | Entry into force of request for substantive examination | ||
| SE01 | Entry into force of request for substantive examination | ||
| GR01 | Patent grant | ||
| GR01 | Patent grant |