



技术领域technical field
本发明属于外骨骼机器人领域,特别涉及一种下肢外骨骼步态预测技术。The invention belongs to the field of exoskeleton robots, in particular to a lower limb exoskeleton gait prediction technology.
背景技术Background technique
外骨骼作为一种将人的智慧与机械的力量结合起来的人机一体化装置,能够通过操作者的简单控制使机械提供的强大动力被人体运用,使操作者能够完成自身无法完成的任务。而下肢外骨骼作为一种辅助行走装置,它将外骨骼的机械结构和人的双腿耦合在一起,通过人体控制、外部供能的方式使自身行动不便或无法行走的操作者可以自主行走。并且可以设计不同的步态、步速来适应不同残疾状况的病人,提高治疗效果。外骨骼主要由以下几个部分组成:(1)机械结构部分。负重外骨骼由于其负重功能的要求,多采用髋+膝+踝结构,而康复外骨骼由于多用于病患,需减少关节的活动,因此多采用髋+膝的结构。机械结构多为质量轻,强度大,抗疲劳的材料,如铝合金、钛合金、纳米材料等;(2)动力系统。外骨骼的动力系统主要为外骨骼的助力提供动力来源,提供动力的方式可以是液压,电机,气动等;(3)传感器系统。外骨骼的传感器系统主要用来获取人机交互过程中各种信号,用以判断人体步态或运功意图;(4)控制系统。通常利用Matlab/Simulink等软件实现所提出的控制算法及相关方法后,在下载到相应的硬件控制器中。As a human-machine integrated device that combines human intelligence and mechanical power, the exoskeleton can make the powerful power provided by the machine be used by the human body through the simple control of the operator, so that the operator can complete tasks that cannot be completed by itself. As an auxiliary walking device, the lower extremity exoskeleton couples the mechanical structure of the exoskeleton with the human legs. Through human control and external energy supply, the operator who is inconvenient or unable to walk can walk independently. Moreover, different gaits and paces can be designed to adapt to patients with different disabilities and improve the therapeutic effect. The exoskeleton is mainly composed of the following parts: (1) The mechanical structure part. Due to its weight-bearing function requirements, the weight-bearing exoskeleton mostly adopts the hip+knee+ankle structure, while the rehabilitation exoskeleton is mostly used for patients and needs to reduce joint activities, so the hip+knee structure is often used. Most of the mechanical structures are light in weight, high in strength, and anti-fatigue materials, such as aluminum alloy, titanium alloy, nanomaterials, etc.; (2) power system. The power system of the exoskeleton mainly provides a source of power for the power of the exoskeleton, and the way of providing power can be hydraulic pressure, motor, pneumatic, etc.; (3) sensor system. The sensor system of the exoskeleton is mainly used to obtain various signals in the process of human-computer interaction to judge the human body's gait or movement intention; (4) control system. Usually, software such as Matlab/Simulink is used to implement the proposed control algorithm and related methods, and then downloaded to the corresponding hardware controller.
随着外骨骼机器人在日常生活中的普及与推广,传统的控制策略与患者被动行走的控制方法不考虑穿戴者的运动意图的情况下,降低了用户的主动性,而步态预测的方法则根据用户主动的行动意图来实时地控制外骨骼电机驱动的力矩,从而实现驱动患腿关节电机跟随健腿做出与之对应的响应行为。With the popularity and promotion of exoskeleton robots in daily life, the traditional control strategy and the control method of passive walking of the patient do not consider the wearer's movement intention, which reduces the user's initiative, while the method of gait prediction According to the user's active action intention, the torque driven by the exoskeleton motor is controlled in real time, so as to realize the corresponding response behavior of driving the joint motor of the affected leg to follow the healthy leg.
发明内容Contents of the invention
为解决上述技术问题,本发明提出一种基于高斯过程回归的下肢外骨骼步态预测方法,通过健腿实时步态数据,得到患腿对应的95%置信区间的预测输出,实现辅助病患进行主动行走时能够根据患者的意图实时地提供助力效果。In order to solve the above technical problems, the present invention proposes a lower extremity exoskeleton gait prediction method based on Gaussian process regression. Through the real-time gait data of the healthy leg, the prediction output of the 95% confidence interval corresponding to the affected leg is obtained, so as to assist the patient to perform When actively walking, it can provide real-time assisting effects according to the patient's intention.
本发明采用的技术方案为:一种基于高斯过程回归的下肢外骨骼步态预测方法,包括:The technical solution adopted in the present invention is: a Gaussian process regression-based lower limb exoskeleton gait prediction method, comprising:
S1、通过惯性测量单元采集人体步态数据,构造训练集;S1. Collecting human gait data through an inertial measurement unit, and constructing a training set;
S2、根据训练集对高斯回归模型进行训练;S2. Training the Gaussian regression model according to the training set;
S3、将下肢外骨骼健腿髋、膝两关节的实时步态数据输入训练完成的高斯回归模型,得到患腿髋、膝两关节的预测数据;S3. Input the real-time gait data of the hip and knee joints of the healthy leg of the lower extremity exoskeleton into the trained Gaussian regression model to obtain the prediction data of the hip and knee joints of the affected leg;
S4、患腿侧的下肢外骨骼根据步骤S3输出的预测数据进行动作。S4. The lower extremity exoskeleton on the side of the affected leg moves according to the predicted data output in step S3.
本发明的有益效果:本发明设计了一种基于高斯过程回归的下肢外骨骼步态预测方法,通过采集得到的数据集训练高斯回归模型,再根据高斯回归的输出运用到预测控制算法中,使得下肢外骨骼机器人在辅助病患进行主动行走时能够根据患者的意图实时地提供助力效果,改变了以往病患只能根据预先设定的轨迹被动行走的限制,并且解决了步态拟合困难、预测控制算法设计困难等问题,提高了下肢外骨骼机器人的安全性,有效减小了人机交互力,提高了助力效果。Beneficial effects of the present invention: the present invention designs a lower extremity exoskeleton gait prediction method based on Gaussian process regression, trains the Gaussian regression model through the collected data set, and then applies the output of Gaussian regression to the predictive control algorithm, so that The lower extremity exoskeleton robot can provide assistance in real time according to the patient's intention when assisting the patient in active walking. Problems such as the difficulty in designing predictive control algorithms improve the safety of the lower extremity exoskeleton robot, effectively reduce the human-computer interaction force, and improve the assisting effect.
附图说明Description of drawings
图1为本发明的方法流程图。Fig. 1 is a flow chart of the method of the present invention.
图2为本发明的嵌入式数据采集装置测试示意图;Fig. 2 is the test schematic diagram of embedded data acquisition device of the present invention;
图3为采用本发明的方法关节的预测输出与真实值的对比图;Fig. 3 is the comparison figure of the predicted output and the real value of joints adopting the method of the present invention;
其中,图(a)为髋关节预测输出与真实值对比图,图(b)为膝两关节预测输出与真实值对比图。Among them, Figure (a) is a comparison chart between the predicted output of the hip joint and the real value, and Figure (b) is a comparison chart of the predicted output and the real value of the knee joints.
具体实施方式Detailed ways
为便于本领域技术人员理解本发明的技术内容,下面结合附图对本发明内容进一步阐释。In order to facilitate those skilled in the art to understand the technical content of the present invention, the content of the present invention will be further explained below in conjunction with the accompanying drawings.
本发明具体包括以下三个部分:The present invention specifically comprises following three parts:
1、基于IMU(Inertial Measurement Unit,惯性测量单元)的嵌入式下肢关节角度、角速度采集装置采集人体处于不同环境下的步态数据,再对采集到的数据集划分为训练集和测试集。本实施例中通过采集两腿均为健腿的健康人体的两腿数据,形成数据集;即数据集中保留人体的双腿数据,在训练时将其中一条腿的数据视作健腿数据,作为输入,另一条腿的数据视作患腿数据,作为输出;从而对高斯回归模型进行训练;1. The embedded lower limb joint angle and angular velocity acquisition device based on IMU (Inertial Measurement Unit) collects gait data of the human body in different environments, and then divides the collected data set into training set and test set. In this embodiment, a data set is formed by collecting data on two legs of a healthy human body whose legs are both healthy legs; Input, the data of the other leg is regarded as the data of the affected leg, as the output; thus the Gaussian regression model is trained;
这里的不同环境具体如平地、上下楼梯、上下坡等。The different environments here are specific such as flat ground, up and down stairs, up and down slopes, etc.
本实施例中将采集到的数据集按6:1的比例随机划分为训练集和测试集。In this embodiment, the collected data set is randomly divided into a training set and a test set at a ratio of 6:1.
本实施例中以图2所示的嵌入式数据采集装置测试示意图为例进行说明,分别将4个IMU置于两侧小腿靠近膝关节处、两侧大腿靠近髋关节处,即测试得到的两腿数据具体包括:两侧膝关节、髋关节在前后方向、左右方向角度的变化和XYZ三轴方向的角速度。In this embodiment, the test schematic diagram of the embedded data acquisition device shown in Figure 2 is taken as an example for illustration. Four IMUs are respectively placed on the sides of the lower legs near the knee joints and the two sides of the thighs near the hip joints, that is, the two IMUs obtained in the test The leg data specifically includes: the angle changes of the knee joints and hip joints on both sides in the front-back direction, left-right direction, and the angular velocity in the XYZ three-axis direction.
2、高斯回归模型的构建与训练过程,包括:首先建立先验模型,再根据贝叶斯公式推导得出预测的后验模型;在确定出核函数之后,使用训练数据集对高斯模型进行训练。2. The construction and training process of the Gaussian regression model, including: first establish the prior model, and then derive the predicted posterior model according to the Bayesian formula; after determining the kernel function, use the training data set to train the Gaussian model .
2.1高斯模型的建立过程主要如下:2.1 The establishment process of the Gaussian model is mainly as follows:
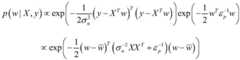
建立高斯回归模型时,考虑目标值y含有噪声,即定义为:y=f(x)+ε,其中:f(x)=xTw,f(x)为一高斯过程,x∈N′,When building a Gaussian regression model, consider that the target value y contains noise, which is defined as: y=f(x)+ε, where: f(x)=xT w, f(x) is a Gaussian process, x∈N′ ,
其中,w表示权重参数,x表示输入参数,N′表示整数集,ε表示噪声项。表示噪声项ε服从正态分布。Among them, w represents the weight parameter, x represents the input parameter, N′ represents the integer set, and ε represents the noise term. Indicates that the noise term ε follows a normal distribution.
1)求w的后验分布1) Find the posterior distribution of w
已知w的先验分布为:The prior distribution of known w is:
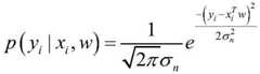
其中,xi、yi分别表示某一点的输入和输出,σn表示上述噪声项的标准差,T表示转置。Among them, xi and yi represent the input and output of a certain point respectively, σn represents the standard deviation of the above noise items, and T represents the transpose.
上述公式是输入序列上某一点的预测值yi,如果有多个点需要预测,将每个点的值看作是独立的,可得The above formula is the predicted value yi of a certain point on the input sequence. If there are multiple points to be predicted, the value of each point is regarded as independent, which can be obtained
其中,X是由x向量组成的矩阵,I表示单位矩阵,w~N(0,εp),εp表示协方差矩阵。Among them, X is a matrix composed of x vectors, I represents the identity matrix, w~N(0,εp ), and εp represents the covariance matrix.
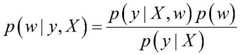
再根据贝叶斯定理可得:Then according to Bayes' theorem:
又p(y|X)=∫p(y|X,w)p(w)dwAnd p(y|X)=∫p(y|X,w)p(w)dw
这里由于p(y|X)与w无关,本实施例把w看作变量,p(y|X)是一个常量,因此Here, since p(y|X) has nothing to do with w, this embodiment regards w as a variable, and p(y|X) is a constant, so
其中,in,
其中,in,
得出:p(w|X,y)是w的最大后验估计It is concluded that p(w|X,y) is the maximum a posteriori estimate of w
2)求f*的概率分布2) Find the probability distribution of f*
其中表示定义为,X是训练集输入,y是训练集输出,X*是测试集输入,f*是预测输出。in The representation is defined as, X is the training set input, y is the training set output, X* is the test set input, and f* is the predicted output.
Φ(x)是训练集中所有的列φ(x)的集合:Φ(x) is the set of all columns Φ(x) in the training set:
f(x)=φ(x)Twf(x)=φ(x)T w
其中,Φ=Φ(x)和where, Φ=Φ(x) and
3)将f*概率分布中均值和方差写成核函数形式3) Write the mean and variance in the f* probability distribution as a kernel function
其中,φ(x*)=φ*,定义K=ΦTεpΦ。Wherein, φ(x* ) = φ* , define K = ΦT εp Φ.
2.2选择核函数2.2 Select kernel function
本实施例中采用的核函数为径向基函数(RBF核)The kernel function adopted in the present embodiment is radial basis function (RBF kernel)
2.3使用训练集对建立的高斯模型进行训练;训练的过程中通过预测值与实际值进行比较,比较其偏离实际值的程度,计算两者之间的均方根误差,均方根误差值越小则说明模型越好;若不好时需要调整高斯模型参数,调整高斯模型参数为现有已知技术,本发明在此不做详细说明。一般误差值小于0.1,即认为模型是比较好的。2.3 Use the training set to train the established Gaussian model; during the training process, compare the predicted value with the actual value, compare the degree of deviation from the actual value, and calculate the root mean square error between the two. If it is smaller, the model is better; if it is not good, it is necessary to adjust the parameters of the Gaussian model. Adjusting the parameters of the Gaussian model is a known technology, and the present invention will not describe it in detail here. Generally, the error value is less than 0.1, which means that the model is relatively good.
2.4使用测试集预测输出,2.4 Use the test set to predict the output,
本发明中人体步态预测的方法主要是应用于步态预测控制算法的设计中,以下肢外骨骼机器人的传感器在人机交互中测试得到的关节实时数据为导向,通过高斯过程回归的方法预测得到相应输出的合理置信区间,为控制算法的设计提供一个恰当的参考范围。The method of human gait prediction in the present invention is mainly applied in the design of gait prediction control algorithm. The sensor of the lower extremity exoskeleton robot is guided by the joint real-time data obtained in the human-computer interaction test, and is predicted by the method of Gaussian process regression. The reasonable confidence interval of the corresponding output is obtained, which provides an appropriate reference range for the design of the control algorithm.
将髋、膝两关节预测输出、95%置信区间的预测输出和真实值进行对比评估,其结果如图3中(a)、(b)所示;图3中横坐标Time表示时间,纵坐标Position表示位置,其中图3(a)中的95%代表髋关节95%置信区间的预测输出,qhip表示髋关节真实值,表示髋关节预测值,表示滞后一个时刻的髋关节预测值;图3(b)中的95%代表膝关节95%置信区间的预测输出,qhip表示膝关节真实值,表示膝关节预测值,表示滞后一个时刻的膝关节预测值。从图3可以看出,在采用RBF核时髋、膝两关节的预测结果与实际数据的趋势基本保持一致,实际数据基本分布于95%置信区间的预测结果范围内,说明此时模型预测效果良好。Compare and evaluate the predicted output of the hip and knee joints, the predicted output of the 95% confidence interval and the real value, and the results are shown in (a) and (b) in Figure 3; the abscissa Time in Figure 3 represents time, and the vertical axis Position represents the position, where 95% in Figure 3(a) represents the predicted output of the 95% confidence interval of the hip joint, qhip represents the true value of the hip joint, represents the predicted value of the hip joint, Indicates the predicted value of the hip joint with a lag of one moment; 95% in Figure 3(b) represents the predicted output of the 95% confidence interval of the knee joint,qhip represents the true value of the knee joint, represents the predicted value of the knee joint, Indicates the predicted value of the knee joint lagged by one moment. It can be seen from Figure 3 that when the RBF kernel is used, the prediction results of the hip and knee joints are basically consistent with the trend of the actual data, and the actual data are basically distributed within the range of the prediction results of the 95% confidence interval, which shows the prediction effect of the model at this time good.
预测出的95%置信区间的输出是根据健腿的实时数据得出的患腿应当作出响应的输出范围。也就是此时患腿髋、膝两关节转动的范围。The output of the predicted 95% confidence interval is the range of output that the affected leg should respond to based on the real-time data of the healthy leg. That is, the range of rotation of the hip and knee joints of the affected leg at this time.
3、人体步态预测方法的设计中,主要包括从下肢外骨骼健腿到患腿的映射关系,在此映射过程中主要使用到的数据为关节转动时前后方向和左右方向的角度和角速度数值。3. The design of the human gait prediction method mainly includes the mapping relationship from the healthy leg of the lower extremity exoskeleton to the affected leg. The main data used in this mapping process are the angles and angular velocities in the front-back direction and left-right direction when the joint rotates .
本领域的普通技术人员将会意识到,这里所述的实施例是为了帮助读者理解本发明的原理,应被理解为本发明的保护范围并不局限于这样的特别陈述和实施例。对于本领域的技术人员来说,本发明可以有各种更改和变化。凡在本发明的精神和原则之内,所作的任何修改、等同替换、改进等,均应包含在本发明的权利要求范围之内。Those skilled in the art will appreciate that the embodiments described here are to help readers understand the principles of the present invention, and it should be understood that the protection scope of the present invention is not limited to such specific statements and embodiments. Various modifications and variations of the present invention will occur to those skilled in the art. Any modifications, equivalent replacements, improvements, etc. made within the spirit and principles of the present invention shall be included within the scope of the claims of the present invention.
| Application Number | Priority Date | Filing Date | Title | 
|---|---|---|---|
| CN202210953972.7ACN115294653A (en) | 2022-08-10 | 2022-08-10 | Lower limb exoskeleton gait prediction method based on Gaussian process regression | 
| Application Number | Priority Date | Filing Date | Title | 
|---|---|---|---|
| CN202210953972.7ACN115294653A (en) | 2022-08-10 | 2022-08-10 | Lower limb exoskeleton gait prediction method based on Gaussian process regression | 
| Publication Number | Publication Date | 
|---|---|
| CN115294653Atrue CN115294653A (en) | 2022-11-04 | 
| Application Number | Title | Priority Date | Filing Date | 
|---|---|---|---|
| CN202210953972.7APendingCN115294653A (en) | 2022-08-10 | 2022-08-10 | Lower limb exoskeleton gait prediction method based on Gaussian process regression | 
| Country | Link | 
|---|---|
| CN (1) | CN115294653A (en) | 
| Publication number | Priority date | Publication date | Assignee | Title | 
|---|---|---|---|---|
| JP7506884B1 (en) | 2023-04-23 | 2024-06-27 | 浙江大学 | A method for optimizing the gait parameters of an exoskeleton for lower limb rehabilitation training | 
| CN118335282A (en)* | 2024-04-01 | 2024-07-12 | 青岛黄海学院 | Targeted generation method and system for rehabilitation gait pattern based on hybrid FES-exoskeleton system fusion control | 
| CN119369424A (en)* | 2024-12-31 | 2025-01-28 | 浙江工业大学 | A robot compliant control method, system and device with parameter self-learning | 
| Publication number | Priority date | Publication date | Assignee | Title | 
|---|---|---|---|---|
| KR20160089791A (en)* | 2015-01-20 | 2016-07-28 | 한국생산기술연구원 | System and method for recognizing gait phase | 
| US20160331560A1 (en)* | 2015-05-11 | 2016-11-17 | The Hong Kong Polytechnic University | Interactive Exoskeleton Robotic Knee System | 
| CN110339024A (en)* | 2019-07-19 | 2019-10-18 | 中国科学院深圳先进技术研究院 | Lower limb exoskeleton robot and its real-time gait switching method and storage device | 
| CN111096830A (en)* | 2019-12-28 | 2020-05-05 | 杭州电子科技大学 | Exoskeleton gait prediction method based on LightGBM | 
| CN112859868A (en)* | 2021-01-19 | 2021-05-28 | 武汉大学 | KMP (Kernel Key P) -based lower limb exoskeleton rehabilitation robot and motion trajectory planning algorithm | 
| CN113910206A (en)* | 2021-12-15 | 2022-01-11 | 深圳市迈步机器人科技有限公司 | Exoskeleton assistance system combined with multiple sensors and assistance detection method thereof | 
| CN114642423A (en)* | 2022-03-15 | 2022-06-21 | 大连理工大学 | Gait planning method and system for lower limb exoskeleton robot based on quality of experience | 
| Publication number | Priority date | Publication date | Assignee | Title | 
|---|---|---|---|---|
| KR20160089791A (en)* | 2015-01-20 | 2016-07-28 | 한국생산기술연구원 | System and method for recognizing gait phase | 
| US20160331560A1 (en)* | 2015-05-11 | 2016-11-17 | The Hong Kong Polytechnic University | Interactive Exoskeleton Robotic Knee System | 
| CN110339024A (en)* | 2019-07-19 | 2019-10-18 | 中国科学院深圳先进技术研究院 | Lower limb exoskeleton robot and its real-time gait switching method and storage device | 
| CN111096830A (en)* | 2019-12-28 | 2020-05-05 | 杭州电子科技大学 | Exoskeleton gait prediction method based on LightGBM | 
| CN112859868A (en)* | 2021-01-19 | 2021-05-28 | 武汉大学 | KMP (Kernel Key P) -based lower limb exoskeleton rehabilitation robot and motion trajectory planning algorithm | 
| CN113910206A (en)* | 2021-12-15 | 2022-01-11 | 深圳市迈步机器人科技有限公司 | Exoskeleton assistance system combined with multiple sensors and assistance detection method thereof | 
| CN114642423A (en)* | 2022-03-15 | 2022-06-21 | 大连理工大学 | Gait planning method and system for lower limb exoskeleton robot based on quality of experience | 
| Title | 
|---|
| 曹志刚;叶晓东;王玉成;陈梁军;朱红生;: "基于卡尔曼预测的外骨骼摆动腿随动控制研究", 科学技术与工程, no. 29, 18 October 2016 (2016-10-18)* | 
| Publication number | Priority date | Publication date | Assignee | Title | 
|---|---|---|---|---|
| JP7506884B1 (en) | 2023-04-23 | 2024-06-27 | 浙江大学 | A method for optimizing the gait parameters of an exoskeleton for lower limb rehabilitation training | 
| CN118335282A (en)* | 2024-04-01 | 2024-07-12 | 青岛黄海学院 | Targeted generation method and system for rehabilitation gait pattern based on hybrid FES-exoskeleton system fusion control | 
| CN119369424A (en)* | 2024-12-31 | 2025-01-28 | 浙江工业大学 | A robot compliant control method, system and device with parameter self-learning | 
| Publication | Publication Date | Title | 
|---|---|---|
| Martinez et al. | A velocity-field-based controller for assisting leg movement during walking with a bilateral hip and knee lower limb exoskeleton | |
| CN105963100B (en) | By the lower limb rehabilitation robot self-adaptation control method assisted needed for patient motion | |
| CN115294653A (en) | Lower limb exoskeleton gait prediction method based on Gaussian process regression | |
| Wei et al. | Human-in-the-loop control strategy of unilateral exoskeleton robots for gait rehabilitation | |
| CN113001540B (en) | Human-computer interaction intelligent control method and exoskeleton system for load mobile exoskeleton | |
| Alias et al. | The efficacy of state of the art overground gait rehabilitation robotics: a bird's eye view | |
| Chen et al. | Sit-to-stand and stand-to-sit assistance for paraplegic patients with CUHK-EXO exoskeleton | |
| Wang et al. | Design and experimental verification of a hip exoskeleton based on human–machine dynamics for walking assistance | |
| Yang et al. | Current developments of robotic hip exoskeleton toward sensing, decision, and actuation: A review | |
| Yan et al. | A novel adaptive oscillators-based control for a powered multi-joint lower-limb orthosis | |
| CN116766197A (en) | Hip joint exoskeleton power-assisted control method | |
| Long et al. | Design and control of a quasi-direct drive actuated knee exoskeleton | |
| Kong et al. | Control of an exoskeleton for realization of aquatic therapy effects | |
| Yang et al. | A centaur system for assisting human walking with load carriage | |
| Andrade et al. | Overground walking with a transparent exoskeleton shows changes in spatiotemporal gait parameters | |
| CN116115217A (en) | Human lower limb gait phase estimation method based on depth network | |
| Meng et al. | Concept design of hybrid-actuated lower limb exoskeleton to reduce the metabolic cost of walking with heavy loads | |
| Norhafizan et al. | A review on lower-Limb exoskeleton system for sit to stand, ascending and descending staircase motion | |
| Kong et al. | Robotic rehabilitation treatments: Realization of aquatic therapy effects in exoskeleton systems | |
| CN108942885B (en) | Wearable lower limb exoskeleton robot with hip joints | |
| Liu et al. | A Dual-module Driven Method for Foot Posture Indirect Measurement with Potential Application in Rehabilitation Robots | |
| Qiu et al. | Design-modeling and control of a novel wearable exoskeleton for lower-limb enhancement | |
| CN212044713U (en) | Exoskeleton robot | |
| Ratnakumar et al. | Optimized torque assistance during walking with an idealized hip exoskeleton | |
| Ren et al. | On-line dynamic gait generation model for wearable robot with user’s motion intention | 
| Date | Code | Title | Description | 
|---|---|---|---|
| PB01 | Publication | ||
| PB01 | Publication | ||
| SE01 | Entry into force of request for substantive examination | ||
| SE01 | Entry into force of request for substantive examination |