


技术领域technical field
本发明属于隔离开关机械故障诊断领域,尤其涉及一种隔离开关故障诊断方法及系统。The invention belongs to the field of mechanical fault diagnosis of an isolating switch, in particular to a fault diagnosis method and system for an isolating switch.
背景技术Background technique
本部分的陈述仅仅是提供了与本发明相关的背景技术信息,不必然构成在先技术。The statements in this section merely provide background information related to the present invention and do not necessarily constitute prior art.
隔离开关发生故障将危及电力系统的安全稳定运行,而隔离开关发生的故障中机械故障占很大比重,因此需要对隔离开关的机械状态进行有效感知和故障诊断。想要快速准确的识别隔离开关的状态信息和实现故障诊断就需要精确可靠的故障诊断方法。The failure of the isolating switch will endanger the safe and stable operation of the power system, and the mechanical failure accounts for a large proportion of the failures of the isolating switch. Therefore, it is necessary to effectively sense and diagnose the mechanical state of the isolating switch. Accurate and reliable fault diagnosis methods are needed to quickly and accurately identify the status information of the disconnector and realize fault diagnosis.
在隔离开关的使用过程中,由于分合闸期间刀闸等一系列机械元件的运动,在隔离开关的操动机构箱体表面会产生大量振动信号,目前,基于振动信号分析隔离开关状态是隔离开关故障诊断的重要手段.采用人工智能学习方法对故障分类成为主流,已有的人工智能学习方法有神经网络学习、深度编码学习和支持向量机等(SVM)。但是发明人发现,由于支持向量机面对随机性强的样本缺乏可靠泛化性能,这样导致隔离开关发生故障的分类效果不够理想。During the use of the isolation switch, due to the movement of a series of mechanical components such as the knife switch during the opening and closing period, a large number of vibration signals will be generated on the surface of the operating mechanism box of the isolation switch. At present, based on the vibration signal analysis, the status of the isolation switch is isolated An important means of switch fault diagnosis. Using artificial intelligence learning methods to classify faults has become the mainstream. Existing artificial intelligence learning methods include neural network learning, deep coding learning, and support vector machines (SVM). However, the inventors found that, because the support vector machine lacks reliable generalization performance in the face of samples with strong randomness, the classification effect of the isolating switch failure is not ideal.
发明内容Contents of the invention
为了解决上述背景技术中存在的技术问题,本发明提供一种隔离开关故障诊断方法及系统,其能够提高隔离开关故障诊断效果。In order to solve the technical problems in the above-mentioned background technology, the present invention provides a fault diagnosis method and system for an isolating switch, which can improve the effect of fault diagnosis of the isolating switch.
为了实现上述目的,本发明采用如下技术方案:In order to achieve the above object, the present invention adopts the following technical solutions:
本发明的第一个方面提供一种隔离开关故障诊断方法,其包括:A first aspect of the present invention provides a method for fault diagnosis of an isolating switch, which includes:
获取隔离开关的实时振动信号,并对其依次进行奇异值滤波降噪及混合模态分解处理,提取特征向量;Obtain the real-time vibration signal of the isolating switch, and sequentially perform singular value filtering, noise reduction and mixed mode decomposition processing on it, and extract the eigenvector;
根据所述特征向量及基于SVM分类器的深度加权融合模型,对隔离开关进行故障诊断;Carry out fault diagnosis to the isolating switch according to the feature vector and the depth weighted fusion model based on the SVM classifier;
其中,所述基于SVM分类器的深度加权融合模型的构建过程为:Wherein, the construction process of the depth weighted fusion model based on the SVM classifier is:
根据隔离开关振动信号的特征向量及初始核函数为高斯核的线性支持向量机,得到初始弱SVM分类器;According to the eigenvector of the vibration signal of the isolation switch and the linear support vector machine whose initial kernel function is a Gaussian kernel, an initial weak SVM classifier is obtained;
通过深度融合加权算法及优化分配隔离开关振动信号样本的权重来迭代优初始弱SVM分类器,获得满足预设条件的SVM分类器并作为基于SVM分类器的深度加权融合模型。The optimal initial weak SVM classifier is iterated through the deep fusion weighting algorithm and the optimal distribution of the weight of the isolation switch vibration signal sample, and the SVM classifier that meets the preset conditions is obtained and used as a deep weighted fusion model based on the SVM classifier.
作为一种实施方式,隔离开关的故障诊断结果包括正常工况、螺丝松动状态和连杆卡涩状态。As an implementation manner, the fault diagnosis results of the isolating switch include normal working conditions, loose screws and jammed connecting rods.
作为一种实施方式,在优化分配隔离开关振动信号样本的权重的过程中,采用损失间隔衡量当前深度融合加权算法对于各分类样本的权重分配。As an implementation, in the process of optimizing the distribution of the weights of the isolation switch vibration signal samples, the loss interval is used to measure the weight distribution of the current deep fusion weighting algorithm for each classification sample.
作为一种实施方式,损失间隔大于零表示基本分类器对样本正确分类的数量大于错误分类的数量。As an implementation, a loss margin greater than zero indicates that the base classifier correctly classifies more samples than misclassifies them.
作为一种实施方式,在优化分配隔离开关振动信号样本的权重的过程中,优化权重更新策略调整后划样本分为以下四类:As an implementation, in the process of optimizing the distribution of the weight of the isolation switch vibration signal samples, the samples are divided into the following four categories after the optimization weight update strategy is adjusted:
a)被前一轮强分类器正确分类,且被本轮强分类器错误分类的样本;a) Samples that were correctly classified by the previous round of strong classifiers and misclassified by the current round of strong classifiers;
b)被前一轮强分类器正确分类,且被本轮强分类器正确分类的样本;b) Samples that were correctly classified by the previous round of strong classifiers and correctly classified by the current round of strong classifiers;
c)被前一轮强分类器错误分类,且被本轮强分类器错误分类的样本;c) Samples that were misclassified by the previous round of strong classifiers and misclassified by the current round of strong classifiers;
d被前一轮强分类器错误分类,且被本轮强分类器正确分类的样本。d Samples that were misclassified by the previous round of strong classifiers and correctly classified by the current round of strong classifiers.
本发明的第二个方面提供一种隔离开关故障诊断系统,其包括:A second aspect of the present invention provides a disconnector fault diagnosis system, which includes:
特征提取模块,其用于获取隔离开关的实时振动信号,并对其依次进行奇异值滤波降噪及混合模态分解处理,提取特征向量;A feature extraction module, which is used to obtain the real-time vibration signal of the disconnector, and sequentially perform singular value filtering, noise reduction and mixed mode decomposition processing to extract the feature vector;
故障诊断模块,其用于根据所述特征向量及基于SVM分类器的深度加权融合模型,对隔离开关进行故障诊断;Fault diagnosis module, which is used to carry out fault diagnosis to isolating switch according to the feature vector and the depth weighted fusion model based on SVM classifier;
其中,所述基于SVM分类器的深度加权融合模型的构建过程为:Wherein, the construction process of the depth weighted fusion model based on the SVM classifier is:
根据隔离开关振动信号的特征向量及初始核函数为高斯核的线性支持向量机,得到初始弱SVM分类器;According to the eigenvector of the vibration signal of the isolation switch and the linear support vector machine whose initial kernel function is a Gaussian kernel, an initial weak SVM classifier is obtained;
通过深度融合加权算法及优化分配隔离开关振动信号样本的权重来迭代优初始弱SVM分类器,获得满足预设条件的SVM分类器并作为基于SVM分类器的深度加权融合模型。The optimal initial weak SVM classifier is iterated through the deep fusion weighting algorithm and the optimal distribution of the weight of the isolation switch vibration signal sample, and the SVM classifier that meets the preset conditions is obtained and used as a deep weighted fusion model based on the SVM classifier.
本发明的第三个方面提供一种计算机可读存储介质,其上存储有计算机程序,该程序被处理器执行时实现如上述所述的隔离开关故障诊断方法中的步骤。A third aspect of the present invention provides a computer-readable storage medium, on which a computer program is stored, and when the program is executed by a processor, the steps in the above-mentioned method for fault diagnosis of an isolating switch are implemented.
本发明的第四个方面提供一种计算机设备,包括存储器、处理器及存储在存储器上并可在处理器上运行的计算机程序,所述处理器执行所述程序时实现如上述所述的隔离开关故障诊断方法中的步骤。A fourth aspect of the present invention provides a computer device, including a memory, a processor, and a computer program stored on the memory and operable on the processor, the processor implements the above-mentioned isolation when executing the program Steps in the Switch Troubleshooting Methodology.
与现有技术相比,本发明的有益效果是:Compared with prior art, the beneficial effect of the present invention is:
本发明通过深度融合加权算法及优化分配隔离开关振动信号样本的权重来迭代优初始弱SVM分类器,利用加大分类误差率小的弱分类器的权值,使其在表决中起较大的作用;减小分类误差率大的弱分类器的权值,使其在表决中起较小的作用,提高SVM分类器的鲁棒性,从而提高隔离开关故障分类的准确性。The present invention iterates the optimal initial weak SVM classifier through the deep fusion weighting algorithm and optimal distribution of the weight of the isolation switch vibration signal sample, and uses the weight value of the weak classifier with a small classification error rate to increase the weight of the weak classifier to make it play a larger role in voting. Function: reduce the weight of the weak classifier with a large classification error rate, make it play a smaller role in the voting, improve the robustness of the SVM classifier, and thereby improve the accuracy of the fault classification of the disconnector.
本发明附加方面的优点将在下面的描述中部分给出,部分将从下面的描述中变得明显,或通过本发明的实践了解到。Advantages of additional aspects of the invention will be set forth in the description which follows, and in part will be obvious from the description, or may be learned by practice of the invention.
附图说明Description of drawings
构成本发明的一部分的说明书附图用来提供对本发明的进一步理解,本发明的示意性实施例及其说明用于解释本发明,并不构成对本发明的不当限定。The accompanying drawings constituting a part of the present invention are used to provide a further understanding of the present invention, and the schematic embodiments of the present invention and their descriptions are used to explain the present invention, and do not constitute improper limitations to the present invention.
图1是本发明实施例的隔离开关故障诊断方法流程图;Fig. 1 is a flow chart of a method for fault diagnosis of an isolating switch according to an embodiment of the present invention;
图2是本发明实施例的隔离开关振动信号时域图;Fig. 2 is the time-domain diagram of the vibration signal of the isolating switch of the embodiment of the present invention;
图3是本发明实施例的DFW-SVM分类器识别结果。Fig. 3 is the identification result of the DFW-SVM classifier of the embodiment of the present invention.
具体实施方式Detailed ways
下面结合附图与实施例对本发明作进一步说明。The present invention will be further described below in conjunction with the accompanying drawings and embodiments.
应该指出,以下详细说明都是例示性的,旨在对本发明提供进一步的说明。除非另有指明,本文使用的所有技术和科学术语具有与本发明所属技术领域的普通技术人员通常理解的相同含义。It should be noted that the following detailed description is exemplary and intended to provide further explanation of the present invention. Unless defined otherwise, all technical and scientific terms used herein have the same meaning as commonly understood by one of ordinary skill in the art to which this invention belongs.
需要注意的是,这里所使用的术语仅是为了描述具体实施方式,而非意图限制根据本发明的示例性实施方式。如在这里所使用的,除非上下文另外明确指出,否则单数形式也意图包括复数形式,此外,还应当理解的是,当在本说明书中使用术语“包含”和/或“包括”时,其指明存在特征、步骤、操作、器件、组件和/或它们的组合。It should be noted that the terminology used here is only for describing specific embodiments, and is not intended to limit exemplary embodiments according to the present invention. As used herein, unless the context clearly dictates otherwise, the singular is intended to include the plural, and it should also be understood that when the terms "comprising" and/or "comprising" are used in this specification, they mean There are features, steps, operations, means, components and/or combinations thereof.
实施例一Embodiment one
参照图1,本实施例提供一种隔离开关故障诊断方法,其包括:With reference to Fig. 1, present embodiment provides a kind of isolating switch fault diagnosis method, it comprises:
S101:获取隔离开关的实时振动信号,并对其依次进行奇异值滤波降噪及混合模态分解处理,提取特征向量;S101: Obtain the real-time vibration signal of the isolation switch, and sequentially perform singular value filter noise reduction and mixed mode decomposition processing on it, and extract the feature vector;
S102:根据所述特征向量及基于SVM分类器的深度加权融合模型,对隔离开关进行故障诊断;S102: Carry out fault diagnosis on the isolation switch according to the feature vector and the deep weighted fusion model based on the SVM classifier;
其中,所述基于SVM分类器的深度加权融合模型的构建过程为:Wherein, the construction process of the depth weighted fusion model based on the SVM classifier is:
根据隔离开关振动信号的特征向量及初始核函数为高斯核的线性支持向量机,得到初始弱SVM分类器;According to the eigenvector of the vibration signal of the isolation switch and the linear support vector machine whose initial kernel function is a Gaussian kernel, an initial weak SVM classifier is obtained;
通过深度融合加权算法及优化分配隔离开关振动信号样本的权重来迭代优初始弱SVM分类器,获得满足预设条件的SVM分类器并作为基于SVM分类器的深度加权融合模型。The optimal initial weak SVM classifier is iterated through the deep fusion weighting algorithm and the optimal distribution of the weight of the isolation switch vibration signal sample, and the SVM classifier that meets the preset conditions is obtained and used as a deep weighted fusion model based on the SVM classifier.
其中,基于SVM分类器的深度加权融合模型尤其适用于小样本故障分类。隔离开关在实际运行过程中出现机械故障的概率并不高,因此通过振动信号获得的故障样本数量较少,本模型对此情形下的分类效果较好;并且隔离开关通常没有配备单独的继电保护装置,以该模型为诊断算法结合隔离开关的机械振动信号可以构建隔离开关的独有保护装置,填补隔离开关缺乏非介入式智能诊断的空缺。Among them, the deep weighted fusion model based on SVM classifier is especially suitable for small sample fault classification. The probability of mechanical failure in the actual operation of the disconnector is not high, so the number of fault samples obtained through the vibration signal is small, and the classification effect of this model is better in this case; and the disconnector is usually not equipped with a separate relay Protection device, using this model as a diagnosis algorithm combined with the mechanical vibration signal of the disconnector can build a unique protection device for the disconnector, filling the vacancy that the disconnector lacks non-intrusive intelligent diagnosis.
在具体实施过程中,基于SVM分类器的深度加权融合模型的构建过程为:In the specific implementation process, the construction process of the depth weighted fusion model based on the SVM classifier is as follows:
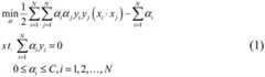
步骤1:将获得的隔离开关振动信号的特征向量输入初始核函数为高斯核且惩罚因子C取9的线性支持向量机得到初始弱分类器;Step 1: Input the eigenvector of the vibration signal of the isolation switch into the linear support vector machine whose initial kernel function is Gaussian kernel and the penalty factor C is 9 to obtain the initial weak classifier;
假设输入训练样本集T={(x1,y1),(x2,y2),…,(xN,yN)},其中xi∈Rn为样本特征向量,yi∈{+1,-1}为对应标签,i=1,2,…N;Suppose the input training sample set T={(x1 ,y1 ),(x2 ,y2 ),…,(xN ,yN )}, where xi ∈ Rn is the sample feature vector, yi ∈ { +1,-1} is the corresponding label, i=1,2,...N;
采用分离超平面和分类决策函数输出:Using a separating hyperplane and a classification decision function outputs:
(1)选择惩罚参数C>0,构造并求解凸二次规划问题(1) Choose the penalty parameter C>0, construct and solve the convex quadratic programming problem
其中,αi、αj表示拉格朗日乘子;Among them, αi , αj represent Lagrangian multipliers;
求解上述二次规划问题的最优解Find the optimal solution to the above quadratic programming problem
(2)计算最优平面向量ω*和b*(2) Calculate the optimal plane vectors ω* and b*
选择α*的某分量满足条件计算 Choose some component of α* To meet the conditions calculate
(3)求解分离超平面(3) Solve the separating hyperplane
ω*·x+b*=0 (3)ω* ·x+b* =0 (3)
选定分类决策函数为其中核函数选为高斯核函数其中υ为速度参数,通常取为1。The selected classification decision function is The kernel function is selected as the Gaussian kernel function Among them, υ is the speed parameter, which is usually taken as 1.
步骤2:通过深度融合加权(DFW)算法迭代优化SVM分类器获得强分类器。Step 2: Iteratively optimize the SVM classifier through the Deep Fusion Weighted (DFW) algorithm to obtain a strong classifier.
其中,DFW算法是一种提高弱分类器分类能力的深度学习算法,它通过提高那些被前一轮弱分类器错误分类样本的权值,而且降低那些被正确分类样本的权值,这样,那些没有得到正确分类的数据由于其权重加大而受到后一轮的弱分类器的更大关注。在将弱分类器处理强化为强分类器的问题上,DFW采取加权多数表决的方法,具体来说就是加大分类误差率小的弱分类器的权值,使其在表决中起较大的作用;减小分类误差率大的弱分类器的权值,使其在表决中起较小的作用。如此加权反复后,得到强化学习后的强分类器DFW-SVM。Among them, the DFW algorithm is a deep learning algorithm that improves the classification ability of weak classifiers. It increases the weight of those samples that were misclassified by the previous round of weak classifiers, and reduces the weight of those samples that are correctly classified. In this way, those Data that are not correctly classified receive greater attention from the weak classifiers in the later rounds due to their increased weight. On the issue of strengthening the processing of weak classifiers into strong classifiers, DFW adopts the method of weighted majority voting. Function; reduce the weight of the weak classifier with a large classification error rate so that it plays a smaller role in the voting. After repeated weighting in this way, the strong classifier DFW-SVM after reinforcement learning is obtained.
DFW-SVM算法的流程为:The process of DFW-SVM algorithm is:
a.给定训练集:S={(x1,y1),(x2,y2),…,(xi,yi),…,(xm,ym)},其中xi是实例样本:yi是类别样本,且yi∈Y={-1,+1},m表示训练样本数。a. Given training set: S={(x1 ,y1 ),(x2 ,y2 ),…,(xi ,yi ),…,(xm ,ym )}, where xi is an instance sample: yi is a category sample, and yi ∈ Y={-1,+1}, m represents the number of training samples.
b.初始化训练数据的权值分布:b. Initialize the weight distribution of the training data:
c.使用具有权值分布Dm的训练数据集学习,得到基本分类器Gm(x),然后计算Gm(x)在训练样本集上的分类误差率:c. Use the training data set learning with weight distribution Dm to get the basic classifier Gm (x), and then calculate the classification error rate of Gm (x) on the training sample set:
d.计算Gm(x)内部分类误差参数βm:d. Calculate Gm (x) internal classification error parameter βm :
其中em为迭代分类误差率,更新训练数据集的权值分布:Where em is the iterative classification error rate, update the weight distribution of the training data set:
其中Zm是规范化因子,它可以使Gm+1转化为概率分布。where Zm is a normalization factor, which can transform Gm+1 into a probability distribution.
e.构建基分类器SVM的线性组合,得到最终的分类器:e. Construct a linear combination of base classifiers SVM to get the final classifier:
其中,sign(f(x))表示符号函数。Among them, sign(f(x)) represents a sign function.
步骤3:提出DFW算法权重的强化自更新策略对DFW算法的权重分配进行优化。Step 3: Propose an enhanced self-update strategy for the weight of the DFW algorithm to optimize the weight distribution of the DFW algorithm.
(1)DFW算法的损失函数可近似化为最大化且非标准化的间隔均值和最小化且非标准化间隔分布的方差相关的函数:(1) The loss function of the DFW algorithm can be approximated as a function related to the maximized and unstandardized interval mean and the minimized and unstandardized interval distribution variance:
其中,σ2表示非标准化样本损失间隔的方差;ξ表示非标准化样本损失间隔的均值。whereσ2 denotes the variance of the unnormalized sample loss interval; ξ denotes the mean of the unnormalized sample loss interval.
借用损失函数将样本进行标准化间隔建模,其统计学定义如下:Borrow the loss function to model the sample with a standardized interval, and its statistical definition is as follows:
其中,T表示非标准化样本损失间隔的总个数;Gt(xi)表示第t个非标准化样本损失间隔所对应的基本分类器;损失间隔反映每个样本被基本分类器分类的情况,margin大于零表示基本分类器对样本正确分类的数量大于错误分类的数量。DFW算法可看作通过调整样本损失的间隔,使得样本间隔向大于0的方向移动,从而不断降低样本的错误率。随着DFW算法的迭代,不断提高间隔增量为负的样本数目,从而当前分类器更关注前一轮被错误分类的样本,使得训练样本的间隔不断正向移动,因此采用损失间隔margin可以衡量当前算法对于各分类样本的权重分配,对于本身错误率都比较高的分类情况,通过计算损失间隔可以更好分配各分类器的权重。Among them, T represents the total number of unstandardized sample loss intervals; Gt (xi ) represents the basic classifier corresponding to the t-th non-standardized sample loss interval; the loss interval reflects the situation that each sample is classified by the basic classifier, A margin greater than zero indicates that the base classifier correctly classifies more samples than misclassifies them. The DFW algorithm can be regarded as adjusting the interval of the sample loss, so that the sample interval moves to a direction greater than 0, thereby continuously reducing the error rate of the sample. With the iteration of the DFW algorithm, the number of samples with a negative interval increment is continuously increased, so that the current classifier pays more attention to the samples that were misclassified in the previous round, so that the interval of training samples continues to move positively, so the loss interval margin can be used to measure The current algorithm assigns weights to each classification sample, and for classification situations where the error rate itself is relatively high, the weights of each classifier can be better assigned by calculating the loss interval.
(2)权重自更新策略是在损失间隔理论的基础上对DFW算法权重配比优化的具体实施算法,在该算法中,将样本权重的更新策略调整后划分为以下四类:(2) The weight self-update strategy is a specific implementation algorithm for optimizing the weight ratio of the DFW algorithm based on the loss interval theory. In this algorithm, the update strategy of the sample weight is adjusted and divided into the following four categories:
a)被前一轮强分类器正确分类,且被本轮强分类器错误分类的样本。a) Samples that were correctly classified by the previous round of strong classifiers and misclassified by the current round of strong classifiers.
b)被前一轮强分类器正确分类,且被本轮强分类器正确分类的样本。b) Samples that were correctly classified by the previous round of strong classifiers and correctly classified by the current round of strong classifiers.
c)被前一轮强分类器错误分类,且被本轮强分类器错误分类的样本。c) Samples that were misclassified by the previous round of strong classifiers and misclassified by the current round of strong classifiers.
d被前一轮强分类器错误分类,且被本轮强分类器正确分类的样本。d Samples that were misclassified by the previous round of strong classifiers and correctly classified by the current round of strong classifiers.
根据分形理论,情形a)的间隔大于情形c)的间隔,但情形a)的间隔会逐渐降低,为了抑制间隔的负向趋势,样本权值在情形a)下应比在情形c)下增加的幅度大。同样情形2)的间隔应大于情形4)的间隔,为保证情形2)间隔的持续增大,情形4)的样本权值应比情形2)的样本权值增加的幅度更大。下面将给出强化权重自更新算法的样本权重更新策略。According to fractal theory, the interval of case a) is greater than that of case c), but the interval of case a) will gradually decrease. In order to suppress the negative trend of the interval, the sample weight should be increased in case a) than in case c). The range is large. Similarly, the interval in case 2) should be greater than the interval in case 4). In order to ensure the continuous increase of the interval in case 2), the sample weight in case 4) should increase more than the sample weight in case 2). The sample weight update strategy for strengthening the weight self-update algorithm will be given below.
与DFW算法的步骤a)相同,给定训练样本集,初始化样本权重。Same as step a) of the DFW algorithm, given the training sample set, initialize the sample weights.
与DFW算法的步骤c)相同,训练出基本分类器后,通过错误率分配基本分类器的权重。Same as step c) of the DFW algorithm, after the basic classifier is trained, the weight of the basic classifier is assigned by the error rate.
强化权重自更新算法的自更新策略如下:The self-update strategy of the enhanced weight self-update algorithm is as follows:
记Ht(xi)表示第t轮的强分类器。remember Ht (xi ) denotes the strong classifier of round t.
若则样本权重更新为:like Then the sample weight is updated as:
Wt+1(xi)=Wt(xi)βtexp{(1-ξ2)Gt(xi)-3(-1+σ2)Ht(xi)yi}/margini (14)Wt+1 (xi )=Wt (xi )βt exp{(1-ξ2 )Gt (xi )-3(-1+σ2 )Ht (xi )yi }/ margini (14)
若则:like but:
Wt+1(xi)=Wt(xi)βtexp{(1+ξ2)Gt(xi)-(1+σ2)Ht(xi)yi}/margini (15)Wt+1 (xi )=Wt (xi )βt exp{(1+ξ2 )Gt (xi )-(1+σ2 )Ht (xi )yi }/margini (15)
若则:like but:
Wt+1(xi)=Wt(xi)βtexp{(1-ξ2)Gt(xi)-3(-1+σ2)Ht(xi)yi}/margini (16)Wt+1 (xi )=Wt (xi )βt exp{(1-ξ2 )Gt (xi )-3(-1+σ2)Ht (xi )yi }/margini (16)
若则:like but:
Wt+1(xi)=Wt(xi)βtexp{(1+ξ2)Gt(xi)+(1+σ2)Ht(xi)yi}/margini (17)Wt+1 (xi )=Wt (xi )βt exp{(1+ξ2 )Gt (xi )+(1+σ2 )Ht (xi )yi }/margini (17)
经强化权重自更新算法优化权重分配后得到最终强分类器:After strengthening the weight self-updating algorithm to optimize the weight distribution, the final strong classifier is obtained:
下面提供一种具体的算例,通过实验与仿真共收集了90组隔离开关机械振动数据,正常工况数据30组、螺丝松动工况30组、连杆卡涩工况30组.针对收集到的振动数据通过DFW-SVM算法对其故障状态进行识别。获得的隔离开关正常工况下原始振动信号时域图,如图2所示。A specific calculation example is provided below. A total of 90 sets of mechanical vibration data of isolating switches have been collected through experiments and simulations, including 30 sets of normal working condition data, 30 sets of screw loose working conditions, and 30 sets of connecting rod stuck working conditions. For the collected The vibration data of the vibration data is identified by the DFW-SVM algorithm to its fault state. The time-domain diagram of the original vibration signal obtained under normal working conditions of the disconnector is shown in Figure 2.
为使故障识别更加准确有效,将能量熵以及IMF包络图在时频域下的均方根值、方差等常用分量作为特征向量一起输入DFW-SVM分类器,特征向量共90组数据,如表1所示,其中1-30组为隔离开关正常状态,31-60组为辅助开关螺丝松动状态、61-90组为连杆卡涩状态.将隔离开关正常、松动及卡涩状态的类别标签分别记为1、2、3,在90组特征数据中选取60组(20组隔离开关正常数据、20组隔离开关松动数据、20组隔离开关卡涩数据)用于训练,其余30组用于测试。In order to make the fault identification more accurate and effective, common components such as the energy entropy and the root mean square value and variance of the IMF envelope diagram in the time-frequency domain are input into the DFW-SVM classifier together as feature vectors. There are 90 sets of data in total, such as As shown in Table 1, groups 1-30 are in the normal state of the isolation switch, groups 31-60 are in the loose state of the auxiliary switch screws, and groups 61-90 are in the stuck state of the connecting rod. The categories of the normal, loose and stuck state of the isolation switch The labels are recorded as 1, 2, and 3 respectively. Among the 90 sets of feature data, 60 sets (20 sets of isolating switch normal data, 20 sets of isolating switch loose data, and 20 sets of isolating switch stuck data) are selected for training, and the remaining 30 sets are used for training. for testing.
表1测试集样本Table 1 Test set samples
由图3可知,10组连杆卡涩故障信号的分类全部正确,10组螺丝松动故障信号和10组正常工况信号各出现了一处误判。整体而言,诊断正确率达到93%以上,取得了较为满意的诊断效果。It can be seen from Figure 3 that the classification of the 10 groups of connecting rod jamming fault signals is all correct, and there is a misjudgment in each of the 10 groups of screw loosening fault signals and the 10 groups of normal working condition signals. On the whole, the correct rate of diagnosis is over 93%, and a relatively satisfactory diagnosis effect has been achieved.
为验证提出的DFW-SVM分类器具有更好的泛化性能和可靠性,将同组数据分别输入线性支持向量机(SVM)、经强化权重自更新策略优化权重配比后的DFW-SVM分类器进行状态识别,以上实验重复十次后将各分类器的状态识别正确率统计在表2中。In order to verify that the proposed DFW-SVM classifier has better generalization performance and reliability, the same group of data is input into the linear support vector machine (SVM) and the DFW-SVM classification after the weight ratio is optimized by the enhanced weight self-update strategy. After the above experiment was repeated ten times, the correct rate of state recognition of each classifier was counted in Table 2.
表2各分类状态识别正确率比较Table 2 Comparison of the recognition accuracy of each classification status
上述结果表明,基于DFW-SVM的隔离开关故障诊断方法可以实现对原始振动信号的有效识别处理,进而能够有效对隔离开关的运行状态进行智能识别。相比与其他算法,模型具有优异且稳定的性能,识别正确率更高更加可靠,此算法为隔离开关的故障诊断提供依据,为运维人员提供参考。The above results show that the DFW-SVM-based isolation switch fault diagnosis method can realize effective identification and processing of the original vibration signal, and then can effectively intelligently identify the operating state of the isolation switch. Compared with other algorithms, the model has excellent and stable performance, and the recognition accuracy is higher and more reliable. This algorithm provides a basis for fault diagnosis of isolating switches and a reference for operation and maintenance personnel.
实施例二Embodiment two
本实施例提供了一种隔离开关故障诊断系统,其包括如下模块:The present embodiment provides a kind of isolating switch fault diagnosis system, it comprises following module:
特征提取模块,其用于获取隔离开关的实时振动信号,并对其依次进行奇异值滤波降噪及混合模态分解处理,提取特征向量;A feature extraction module, which is used to obtain the real-time vibration signal of the disconnector, and sequentially perform singular value filtering, noise reduction and mixed mode decomposition processing to extract the feature vector;
故障诊断模块,其用于根据所述特征向量及基于SVM分类器的深度加权融合模型,对隔离开关进行故障诊断;Fault diagnosis module, which is used to carry out fault diagnosis to isolating switch according to the feature vector and the depth weighted fusion model based on SVM classifier;
其中,所述基于SVM分类器的深度加权融合模型的构建过程为:Wherein, the construction process of the depth weighted fusion model based on the SVM classifier is:
根据隔离开关振动信号的特征向量及初始核函数为高斯核的线性支持向量机,得到初始弱SVM分类器;According to the eigenvector of the vibration signal of the isolation switch and the linear support vector machine whose initial kernel function is a Gaussian kernel, an initial weak SVM classifier is obtained;
通过深度融合加权算法及优化分配隔离开关振动信号样本的权重来迭代优初始弱SVM分类器,获得满足预设条件的SVM分类器并作为基于SVM分类器的深度加权融合模型。The optimal initial weak SVM classifier is iterated through the deep fusion weighting algorithm and the optimal distribution of the weight of the isolation switch vibration signal sample, and the SVM classifier that meets the preset conditions is obtained and used as a deep weighted fusion model based on the SVM classifier.
此处需要说明的是,本实施例中的各个模块与实施例一中的各个步骤一一对应,其具体实施过程相同,此处不再累述。It should be noted here that each module in this embodiment corresponds to each step in Embodiment 1, and the specific implementation process is the same, so it will not be repeated here.
实施例三Embodiment three
本实施例提供了一种计算机可读存储介质,其上存储有计算机程序,该程序被处理器执行时实现如上述所述的隔离开关故障诊断方法中的步骤。This embodiment provides a computer-readable storage medium, on which a computer program is stored, and when the program is executed by a processor, the steps in the method for diagnosing a fault of an isolating switch as described above are implemented.
实施例四Embodiment four
本实施例提供了一种计算机设备,包括存储器、处理器及存储在存储器上并可在处理器上运行的计算机程序,所述处理器执行所述程序时实现如上述所述的隔离开关故障诊断方法中的步骤。This embodiment provides a computer device, including a memory, a processor, and a computer program stored on the memory and operable on the processor. When the processor executes the program, the fault diagnosis of the isolating switch as described above is realized steps in the method.
本发明是参照根据本发明实施例的方法、设备(系统)和计算机程序产品的流程图和/或方框图来描述的。应理解可由计算机程序指令实现流程图和/或方框图中的每一流程和/或方框以及流程图和/或方框图中的流程和/或方框的结合。可提供这些计算机程序指令到通用计算机、专用计算机、嵌入式处理机或其他可编程数据处理设备的处理器以产生一个机器,使得通过计算机或其他可编程数据处理设备的处理器执行的指令产生用于实现在流程图一个流程或多个流程和/或方框图一个方框或多个方框中指定的功能的装置。The present invention is described with reference to flowchart illustrations and/or block diagrams of methods, apparatus (systems) and computer program products according to embodiments of the invention. It should be understood that each procedure and/or block in the flowchart and/or block diagram and a combination of procedures and/or blocks in the flowchart and/or block diagram can be realized by computer program instructions. These computer program instructions may be provided to a general purpose computer, special purpose computer, embedded processor, or processor of other programmable data processing equipment to produce a machine such that the instructions executed by the processor of the computer or other programmable data processing equipment produce a An apparatus for realizing the functions specified in one or more procedures of the flowchart and/or one or more blocks of the block diagram.
以上所述仅为本发明的优选实施例而已,并不用于限制本发明,对于本领域的技术人员来说,本发明可以有各种更改和变化。凡在本发明的精神和原则之内,所作的任何修改、等同替换、改进等,均应包含在本发明的保护范围之内。The above descriptions are only preferred embodiments of the present invention, and are not intended to limit the present invention. For those skilled in the art, the present invention may have various modifications and changes. Any modifications, equivalent replacements, improvements, etc. made within the spirit and principles of the present invention shall be included within the protection scope of the present invention.
| Application Number | Priority Date | Filing Date | Title |
|---|---|---|---|
| CN202210949721.1ACN115293208A (en) | 2022-08-09 | 2022-08-09 | A kind of isolation switch fault diagnosis method and system |
| Application Number | Priority Date | Filing Date | Title |
|---|---|---|---|
| CN202210949721.1ACN115293208A (en) | 2022-08-09 | 2022-08-09 | A kind of isolation switch fault diagnosis method and system |
| Publication Number | Publication Date |
|---|---|
| CN115293208Atrue CN115293208A (en) | 2022-11-04 |
| Application Number | Title | Priority Date | Filing Date |
|---|---|---|---|
| CN202210949721.1APendingCN115293208A (en) | 2022-08-09 | 2022-08-09 | A kind of isolation switch fault diagnosis method and system |
| Country | Link |
|---|---|
| CN (1) | CN115293208A (en) |
| Publication number | Priority date | Publication date | Assignee | Title |
|---|---|---|---|---|
| CN116702679A (en)* | 2023-08-02 | 2023-09-05 | 深圳新成思达教育科技有限公司 | Control loop simulation system and method for isolating switch operating mechanism |
| CN117370847A (en)* | 2023-12-08 | 2024-01-09 | 深圳宇翊技术股份有限公司 | Deep learning-based disconnecting switch detection method and device |
| Publication number | Priority date | Publication date | Assignee | Title |
|---|---|---|---|---|
| CN109100641A (en)* | 2017-06-20 | 2018-12-28 | 平高集团有限公司 | A kind of high voltage isolator fault detection method and device |
| Publication number | Priority date | Publication date | Assignee | Title |
|---|---|---|---|---|
| CN109100641A (en)* | 2017-06-20 | 2018-12-28 | 平高集团有限公司 | A kind of high voltage isolator fault detection method and device |
| Publication number | Priority date | Publication date | Assignee | Title |
|---|---|---|---|---|
| CN116702679A (en)* | 2023-08-02 | 2023-09-05 | 深圳新成思达教育科技有限公司 | Control loop simulation system and method for isolating switch operating mechanism |
| CN116702679B (en)* | 2023-08-02 | 2024-02-13 | 深圳新成思达教育科技有限公司 | Control loop simulation system and method for isolating switch operating mechanism |
| CN117370847A (en)* | 2023-12-08 | 2024-01-09 | 深圳宇翊技术股份有限公司 | Deep learning-based disconnecting switch detection method and device |
| CN117370847B (en)* | 2023-12-08 | 2024-02-13 | 深圳宇翊技术股份有限公司 | Deep learning-based disconnecting switch detection method and device |
| Publication | Publication Date | Title |
|---|---|---|
| CN113884290B (en) | Voltage regulator fault diagnosis method based on self-training semi-supervised generative adversarial network | |
| CN110929763B (en) | Mechanical fault diagnosis method of medium voltage vacuum circuit breaker based on multi-source data fusion | |
| CN103336243B (en) | Based on the circuit breaker failure diagnostic method of divide-shut brake coil current signal | |
| CN109492748B (en) | A method for establishing medium and long-term load forecasting model of power system based on convolutional neural network | |
| CN112364756B (en) | GIS fault classification method based on longicorn stigma and random forest | |
| CN102520341A (en) | Analog circuit fault diagnosis method based on Bayes-KFCM (Kernelized Fuzzy C-Means) algorithm | |
| CN115293208A (en) | A kind of isolation switch fault diagnosis method and system | |
| CN101907681A (en) | Dynamic Online Fault Diagnosis Method for Analog Circuits Based on GSD_SVDD | |
| CN108052968B (en) | QSFLA-SVM perception intrusion detection method | |
| CN113378990A (en) | Traffic data anomaly detection method based on deep learning | |
| CN113255661B (en) | Bird species image identification method related to bird-involved fault of power transmission line | |
| CN116400168A (en) | Power grid fault diagnosis method and system based on depth feature clustering | |
| CN116956197B (en) | Deep learning-based energy facility fault prediction method and device and electronic equipment | |
| CN111488917A (en) | Garbage image fine-grained classification method based on incremental learning | |
| CN114354194A (en) | Fault diagnosis method of rolling bearing based on fully convolutional autoencoder and optimized support vector machine | |
| CN111126820A (en) | Anti-stealing method and system | |
| CN109374997B (en) | Hybrid power system power quality disturbance detection and evaluation method based on VMD initialization S conversion | |
| CN111815806A (en) | A preprocessing method of flying parameter data based on outlier elimination and feature extraction | |
| CN108596027A (en) | The detection method of unknown sorting signal based on supervised learning disaggregated model | |
| CN115508672B (en) | Fault traceability reasoning method, system, equipment and medium of power grid main equipment | |
| CN118503793B (en) | Intelligent fault diagnosis method oriented to open-set domain generalization | |
| CN113884807A (en) | Distribution network fault prediction method based on random forest and multi-layer architecture clustering | |
| CN114298413B (en) | A method for predicting the swing trend of hydropower units | |
| CN112801127A (en) | Cable partial discharge defect identification method based on oscillation waves | |
| CN118395363A (en) | Abnormal state perception method and system of active distribution network based on data enhancement |
| Date | Code | Title | Description |
|---|---|---|---|
| PB01 | Publication | ||
| PB01 | Publication | ||
| SE01 | Entry into force of request for substantive examination | ||
| SE01 | Entry into force of request for substantive examination |