





技术领域technical field
本申请涉及智能血压手表技术领域,尤其是涉及一种血压信号的数据处理方法、系统以及装置。The present application relates to the technical field of smart blood pressure watches, in particular to a data processing method, system and device for blood pressure signals.
背景技术Background technique
高血压是靶器官损伤和血管硬化的公认风险因素,对人体血压值的实时监测可以预防和发现潜在的心血管风险。随着近年来智能穿戴设备的不断更新与发展,智能穿戴设备获取的多种数据参数可以用作监测参考。Hypertension is a recognized risk factor for target organ damage and vascular sclerosis, real-time monitoring of human blood pressure values can prevent and detect potential cardiovascular risks. With the continuous update and development of smart wearable devices in recent years, various data parameters obtained by smart wearable devices can be used as monitoring references.
在现有技术中,通常采用示波法和听诊法获取血压数据,从而进行血压数据处理。但是,由于听诊法和示波法都需要人体佩戴袖带,而袖带的介入改变了血管的流体动力学特性,需要间隔时间测量,无法反映波动情况,导致血压数据的准确度较差,进而导致对于血压数据处理结果的准确度较差的技术问题。In the prior art, the blood pressure data is usually acquired by oscillometric method and auscultation method, so as to process the blood pressure data. However, both auscultation and oscillometric methods require the human body to wear a cuff, and the intervention of the cuff changes the hydrodynamic characteristics of blood vessels, requiring interval measurement, which cannot reflect fluctuations, resulting in poor accuracy of blood pressure data. This leads to a technical problem of poor accuracy of blood pressure data processing results.
发明内容Contents of the invention
本申请的目的在于提供一种血压信号的数据处理方法、系统以及装置,以缓解现有技术中血压数据处理结果的准确度较差的技术问题。The purpose of the present application is to provide a blood pressure signal data processing method, system and device to alleviate the technical problem of poor accuracy of blood pressure data processing results in the prior art.
第一方面,本申请实施例提供了一种血压信号的数据处理方法,所述方法包括:In the first aspect, the embodiment of the present application provides a data processing method of a blood pressure signal, the method comprising:
从客户端获取所述血压信号;Obtain the blood pressure signal from a client;
利用预设血压计算模型对所述血压信号进行处理,得到处理后的动态血压波形;Processing the blood pressure signal by using a preset blood pressure calculation model to obtain a processed ambulatory blood pressure waveform;
利用血压波动性分析算法对所述动态血压波形的波动性进行计算,得到所述动态血压波形对应的波动性参数;Using a blood pressure volatility analysis algorithm to calculate the volatility of the ambulatory blood pressure waveform to obtain a volatility parameter corresponding to the ambulatory blood pressure waveform;
若所述波动性参数的数值达到预设阈值,则确定与所述血压信号对应的健康信息;If the value of the volatility parameter reaches a preset threshold, then determine the health information corresponding to the blood pressure signal;
将所述健康信息发送至所述客户端。Send the health information to the client.
在一个可能的实现中,所述利用预设血压计算模型对所述血压信号进行处理,得到处理后的动态血压波形,包括:In a possible implementation, the processing of the blood pressure signal by using a preset blood pressure calculation model to obtain a processed ambulatory blood pressure waveform includes:
利用预设血压计算模型对所述血压信号进行重构处理,得到重构归一化波形;Reconstructing the blood pressure signal by using a preset blood pressure calculation model to obtain a reconstructed normalized waveform;
利用预设归一化函数对所述重构归一化波形进行反归一化处理,得到处理后的动态血压波形。The reconstructed normalized waveform is denormalized by using a preset normalized function to obtain a processed ambulatory blood pressure waveform.
在一个可能的实现中,所述利用血压波动性分析算法对所述动态血压波形的波动性进行计算,得到所述动态血压波形对应的波动性参数,包括:In a possible implementation, the calculation of the volatility of the ambulatory blood pressure waveform by using the blood pressure volatility analysis algorithm to obtain the volatility parameters corresponding to the ambulatory blood pressure waveform includes:
对所述动态血压波形中的特征值进行提取;其中所述特征值包括所述动态血压波形的峰值、峰值时间点、谷值和谷值时间点;Extracting feature values in the ambulatory blood pressure waveform; wherein the feature values include the peak value, peak time point, valley value and valley value time point of the ambulatory blood pressure waveform;
根据所述特征值对所述动态血压波形的波动性进行计算,得到所述动态血压波形对应的波动性参数。The volatility of the ambulatory blood pressure waveform is calculated according to the eigenvalues to obtain a volatility parameter corresponding to the ambulatory blood pressure waveform.
在一个可能的实现中,在所述利用血压波动性分析算法对所述动态血压波形的波动性进行计算,得到所述动态血压波形对应的波动性参数之前,还包括:In a possible implementation, before calculating the volatility of the ambulatory blood pressure waveform by using the blood pressure volatility analysis algorithm to obtain the volatility parameter corresponding to the ambulatory blood pressure waveform, the method further includes:
对所述动态血压波形的完整性进行检测;Detecting the integrity of the ambulatory blood pressure waveform;
若检测结果为所述动态血压波形不完整,则对所述动态血压波形进行丢弃。If the detection result is that the ambulatory blood pressure waveform is incomplete, the ambulatory blood pressure waveform is discarded.
在一个可能的实现中,所述血压信号为光电容积脉搏波信号。In a possible implementation, the blood pressure signal is a photoplethysmography signal.
在一个可能的实现中,所述波动性参数包括下述任意一项或多项:In a possible implementation, the volatility parameters include any one or more of the following:
标准差、血压变异系数、加权标准差、血压变化时率。Standard deviation, coefficient of variation of blood pressure, weighted standard deviation, time rate of blood pressure change.
第二方面,本申请实施例提供了一种血压信号的数据处理系统,所述系统包括:In the second aspect, the embodiment of the present application provides a data processing system for blood pressure signals, the system comprising:
穿戴设备、客户端和服务端;Wearable devices, clients and servers;
所述穿戴设备用于采集所述血压信号,并将所述血压信号发送至所述客户端;The wearable device is used to collect the blood pressure signal, and send the blood pressure signal to the client;
所述客户端用于将所述血压信号发送至所述服务端;The client is used to send the blood pressure signal to the server;
所述服务端用于利用预设血压计算模型对所述血压信号进行处理,得到处理后的动态血压波形;The server is used to process the blood pressure signal by using a preset blood pressure calculation model to obtain a processed ambulatory blood pressure waveform;
所述服务端还用于利用血压波动性分析算法对所述动态血压波形的波动性进行计算,得到所述动态血压波形对应的波动性参数;The server is further configured to use a blood pressure volatility analysis algorithm to calculate the volatility of the ambulatory blood pressure waveform to obtain the volatility parameters corresponding to the ambulatory blood pressure waveform;
所述服务端还用于对所述波动性参数的数值是否达到预设阈值进行检测,若所述波动性参数的数值达到所述预设阈值,则确定与所述血压信号对应的健康信息;The server is also used to detect whether the value of the volatility parameter reaches a preset threshold, and if the value of the volatility parameter reaches the preset threshold, determine the health information corresponding to the blood pressure signal;
所述服务端还用于将所述健康信息发送至所述客户端。The server is further configured to send the health information to the client.
第三方面,本申请实施例提供了一种血压信号的数据处理装置,所述装置包括:In a third aspect, an embodiment of the present application provides a data processing device for a blood pressure signal, the device comprising:
获取模块,用于从客户端获取所述血压信号;an acquisition module, configured to acquire the blood pressure signal from a client;
处理模块,用于利用预设血压计算模型对所述血压信号进行处理,得到处理后的动态血压波形;A processing module, configured to use a preset blood pressure calculation model to process the blood pressure signal to obtain a processed ambulatory blood pressure waveform;
计算模块,用于利用血压波动性分析算法对所述动态血压波形的波动性进行计算,得到所述动态血压波形对应的波动性参数;A calculation module, configured to use a blood pressure volatility analysis algorithm to calculate the volatility of the ambulatory blood pressure waveform to obtain the volatility parameters corresponding to the ambulatory blood pressure waveform;
确定模块,用于若所述波动性参数的数值达到预设阈值,则确定与所述血压信号对应的健康信息;A determining module, configured to determine the health information corresponding to the blood pressure signal if the value of the volatility parameter reaches a preset threshold;
发送模块,用于将所述健康信息发送至所述客户端。A sending module, configured to send the health information to the client.
第四方面,本申请实施例提供了一种电子设备,包括存储器、处理器,所述存储器中存储有可在所述处理器上运行的计算机程序,所述处理器执行所述计算机程序时实现上述第一方面所述的方法的步骤。In a fourth aspect, an embodiment of the present application provides an electronic device, including a memory and a processor, the memory stores a computer program that can run on the processor, and when the processor executes the computer program, the computer program is implemented. The steps of the method described in the first aspect above.
第五方面,本申请实施例提供了一种计算机可读存储介质,所述计算机可读存储介质存储有计算机可运行指令,所述计算机可运行指令在被处理器调用和运行时,所述计算机可运行指令促使所述处理器运行上述第一方面所述的方法的步骤。In the fifth aspect, the embodiment of the present application provides a computer-readable storage medium, the computer-readable storage medium stores computer-executable instructions, and when the computer-executable instructions are invoked and executed by a processor, the computer The executable instructions cause the processor to execute the steps of the method described in the first aspect above.
本申请实施例带来了以下有益效果:The embodiment of the present application brings the following beneficial effects:
本申请实施例提供了一种血压信号的数据处理方法、系统以及装置,首先从客户端获取所述血压信号利用预设血压计算模型对所述血压信号进行处理,得到处理后的动态血压波形,之后利用血压波动性分析算法对所述动态血压波形的波动性进行计算,得到所述动态血压波形对应的波动性参数,从而若所述波动性参数的数值达到预设阈值,则确定与所述血压信号对应的健康信息,进而将所述健康信息发送至所述客户端,缓解了现有技术中血压数据处理结果的准确度较差的技术问题。The embodiment of the present application provides a blood pressure signal data processing method, system and device. Firstly, the blood pressure signal is obtained from the client and processed with the preset blood pressure calculation model to obtain the processed ambulatory blood pressure waveform. Then use the blood pressure volatility analysis algorithm to calculate the volatility of the dynamic blood pressure waveform to obtain the volatility parameter corresponding to the dynamic blood pressure waveform, so that if the value of the volatility parameter reaches a preset threshold, it is determined that the The health information corresponding to the blood pressure signal, and then the health information is sent to the client, which alleviates the technical problem of poor accuracy of blood pressure data processing results in the prior art.
附图说明Description of drawings
为了更清楚地说明本申请具体实施方式或现有技术中的技术方案,下面将对具体实施方式或现有技术描述中所需要使用的附图作简单地介绍,显而易见地,下面描述中的附图是本申请的一些实施方式,对于本领域普通技术人员来讲,在不付出创造性劳动的前提下,还可以根据这些附图获得其他的附图。In order to more clearly illustrate the specific embodiments of the present application or the technical solutions in the prior art, the following will briefly introduce the accompanying drawings that need to be used in the description of the specific embodiments or prior art. Obviously, the accompanying drawings in the following description The drawings are some implementations of the present application, and those skilled in the art can obtain other drawings based on these drawings without creative work.
图1为本申请实施例提供的一种血压信号的数据处理方法的流程示意图;FIG. 1 is a schematic flowchart of a data processing method for a blood pressure signal provided in an embodiment of the present application;
图2为本申请实施例提供的一种血压计算模型的训练流程和算法调用流程示意图;Fig. 2 is a schematic diagram of the training process and algorithm calling process of a blood pressure calculation model provided by the embodiment of the present application;
图3为本申请实施例提供的一种血压信号的数据处理方法的实际应用示意图;FIG. 3 is a schematic diagram of a practical application of a blood pressure signal data processing method provided by an embodiment of the present application;
图4为本申请实施例提供的一种血压信号的数据处理系统的结构示意图;FIG. 4 is a schematic structural diagram of a blood pressure signal data processing system provided by an embodiment of the present application;
图5为本申请实施例提供的一种血压信号的数据处理装置的结构示意图;Fig. 5 is a schematic structural diagram of a blood pressure signal data processing device provided by an embodiment of the present application;
图6为本申请实施例提供的一种电子设备的结构示意图。FIG. 6 is a schematic structural diagram of an electronic device provided by an embodiment of the present application.
具体实施方式Detailed ways
为使本申请实施例的目的、技术方案和优点更加清楚,下面将结合附图对本申请的技术方案进行清楚、完整地描述,显然,所描述的实施例是本申请一部分实施例,而不是全部的实施例。基于本申请中的实施例,本领域普通技术人员在没有做出创造性劳动前提下所获得的所有其他实施例,都属于本申请保护的范围。In order to make the purpose, technical solutions and advantages of the embodiments of the present application clearer, the technical solutions of the present application will be clearly and completely described below in conjunction with the accompanying drawings. Obviously, the described embodiments are part of the embodiments of the present application, not all of them. the embodiment. Based on the embodiments in this application, all other embodiments obtained by persons of ordinary skill in the art without making creative efforts belong to the scope of protection of this application.
本申请实施例中所提到的术语“包括”和“具有”以及它们的任何变形,意图在于覆盖不排他的包含。例如包含了一系列步骤或单元的过程、方法、系统、产品或设备没有限定于已列出的步骤或单元,而是可选地还包括其他没有列出的步骤或单元,或可选地还包括对于这些过程、方法、产品或设备固有的其它步骤或单元。The terms "including" and "having" mentioned in the embodiments of the present application and any variations thereof are intended to cover non-exclusive inclusion. For example, a process, method, system, product or device comprising a series of steps or units is not limited to the listed steps or units, but optionally also includes other unlisted steps or units, or optionally also includes Other steps or elements inherent to the process, method, product or apparatus are included.
心血管疾病是全球范围内致死率较高的一类疾病。高血压作为心血管疾病中较为典型的一类,已被公认为继糖尿病后心血管类疾病的第二大主要病因。脉搏波信号是一类伴随心脏周期性收缩的动脉血管波动的信号,通过记录脉搏波波形并提取波形中的相关特征(如形状、周期、幅值和速度等)来评估动脉的弹性功能,是实时监测人体血压,研究心血管疾病特征的重要手段之一。目前市面上已有的血压计按照充放气方式可以分为自动式和半自动式血压计两类。自动式血压计,如电子血压计,不需要手动充气,全程由血压计的控制系统,配合气囊、气路进行自动式充放气。半自动式充气血压计,如水银柱血压计,则需使用者手动充放气。其中,在电子血压计中,一类常见的血压测量方法为示波法,通过在自动充放气的同时采集气压力信号,通过一定的算法进行换算得到舒张压和收缩压。该类方法的血压计算结果较为准确,但是由于测量过程中需要执行严格的测量姿势,即人体手臂需要与心脏平齐,无法实现对使用者的血压进行动态、连续且自动监测。另一类常见的血压测量方法则是通过光电传感器采集脉搏波信号,通过特定的PPG模型进行血压计算,该方法能够连续地监测血压,但其准确度待验证,目前尚无医学界公认地监测设备和相关算法能达到医学标准。Cardiovascular disease is a disease with a high mortality rate worldwide. As a typical type of cardiovascular disease, hypertension has been recognized as the second major cause of cardiovascular disease after diabetes. The pulse wave signal is a kind of signal of arterial vessel fluctuations accompanied by the periodic contraction of the heart. By recording the pulse wave waveform and extracting the relevant features (such as shape, period, amplitude and speed, etc.) in the waveform to evaluate the elastic function of the artery, it is Real-time monitoring of human blood pressure is one of the important means to study the characteristics of cardiovascular diseases. The existing sphygmomanometers on the market can be divided into automatic and semi-automatic sphygmomanometers according to the inflation and deflation methods. Automatic sphygmomanometers, such as electronic sphygmomanometers, do not need to be manually inflated, and the control system of the sphygmomanometer cooperates with the air bag and air circuit to perform automatic inflation and deflation. Semi-automatic inflation sphygmomanometers, such as mercury column sphygmomanometers, require users to manually inflate and deflate. Among them, in electronic sphygmomanometers, a common blood pressure measurement method is the oscillometric method, which collects air pressure signals while automatically inflating and deflated, and converts them through a certain algorithm to obtain diastolic and systolic blood pressure. The blood pressure calculation results of this type of method are relatively accurate, but due to the strict measurement posture required during the measurement process, that is, the human arm needs to be flush with the heart, dynamic, continuous and automatic monitoring of the user's blood pressure cannot be achieved. Another common blood pressure measurement method is to collect pulse wave signals through photoelectric sensors, and calculate blood pressure through a specific PPG model. This method can continuously monitor blood pressure, but its accuracy is yet to be verified. Currently, there is no medically recognized monitoring method. The equipment and related algorithms can meet medical standards.
基于此,本申请实施例提供了一种血压信号的数据处理方法、系统以及装置,通过该方法可以缓解现有技术中血压数据处理结果的准确度较差的技术问题。Based on this, the embodiments of the present application provide a blood pressure signal data processing method, system and device, through which the technical problem of poor accuracy of blood pressure data processing results in the prior art can be alleviated.
下面结合附图对本申请实施例进行进一步的介绍。The embodiments of the present application will be further introduced below in conjunction with the accompanying drawings.
图1为本申请实施例提供的一种血压信号的数据处理方法的流程示意图。如图1所示,该方法包括:FIG. 1 is a schematic flowchart of a data processing method for a blood pressure signal provided by an embodiment of the present application. As shown in Figure 1, the method includes:
步骤S110,从客户端获取血压信号。Step S110, acquiring the blood pressure signal from the client.
示例性的,用户通过穿戴设备(客户端)采集实时的光电容积脉搏波(PhotoPlethysmo Graphic,PPG)血压信号后,可以通过蓝牙传输至手机,再由手机连接网络传至云端服务器,从而使得系统获取到血压信号。Exemplarily, after the user collects the real-time photoplethysmogram (PhotoPlethysmo Graphic, PPG) blood pressure signal through the wearable device (client), it can be transmitted to the mobile phone through Bluetooth, and then the mobile phone is connected to the network and transmitted to the cloud server, so that the system can obtain to the blood pressure signal.
步骤S120,利用预设血压计算模型对血压信号进行处理,得到处理后的动态血压波形。Step S120, using a preset blood pressure calculation model to process the blood pressure signal to obtain a processed ambulatory blood pressure waveform.
示例性的,如图2所示,系统在获得血压信号后,可以利用预设血压计算模型对血压信号波形进行重构,得到处理后的动态血压波形。其中,预设血压计算模型的训练过程和工作原理如下:Exemplarily, as shown in FIG. 2 , after the system obtains the blood pressure signal, it can use a preset blood pressure calculation model to reconstruct the waveform of the blood pressure signal to obtain a processed ambulatory blood pressure waveform. Among them, the training process and working principle of the preset blood pressure calculation model are as follows:
首先进行预设血压计算模型的训练和优化,使其能够输出与PPG信号波形对应的动态血压波形,从而连续获取用户的收缩压和舒张压。从云端数据库收集已有的公开/自采数据集,数据集的内容包括时间轴对齐的PPG波形和动脉血压波形(Artery BloodPressure,ABP)波形,包括测试者的年龄、体重、身高和身体质量指数(Body mass index,BMI)等参数。First, the preset blood pressure calculation model is trained and optimized, so that it can output the dynamic blood pressure waveform corresponding to the PPG signal waveform, so as to continuously obtain the user's systolic and diastolic blood pressure. Collect existing public/self-acquired data sets from cloud databases. The content of the data sets includes time-axis-aligned PPG waveforms and arterial blood pressure waveforms (Artery Blood Pressure, ABP) waveforms, including the age, weight, height and body mass index of the test subjects. (Body mass index, BMI) and other parameters.
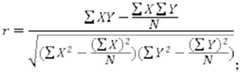
之后进行波形预处理,先将波形进行窗口化划分,对每个窗口的波形进行筛查,筛除掉不符合训练要求的波形后将剩余的波形制成数据集。采用均值滤波器对信号进行平滑处理,抑制毛刺、噪声;规定信号窗口大小,将PPG波形按照该窗口大小划分为子波形信号;根据异常波形特征(波形断裂、变形、移位等)移除非常规的子波形信号;根据异常ABP信号的血压区间(未落于人类合理血压区间)移除对应周期内的子波形信号;计算近邻PPG子波形的互相关性系数,PPG波形因为相似性较高的重复脉冲波形,根据互相关系数移除对应周期内的子波形信号。互相关系数计算公式为:Afterwards, the waveform preprocessing is carried out. First, the waveform is windowed and divided, and the waveform of each window is screened. After filtering out the waveforms that do not meet the training requirements, the remaining waveforms are made into a data set. Use the average filter to smooth the signal to suppress burrs and noise; specify the size of the signal window, and divide the PPG waveform into sub-waveform signals according to the window size; remove abnormal waveforms according to the characteristics of abnormal waveforms (waveform breaks, deformations, shifts, etc.) According to the blood pressure range of the abnormal ABP signal (not falling within the reasonable blood pressure range of humans), the sub-waveform signal in the corresponding period is removed; the cross-correlation coefficient of the adjacent PPG sub-waveform is calculated, and the PPG waveform has a high similarity The repetitive pulse waveform of , remove the sub-waveform signals in the corresponding period according to the cross-correlation coefficient. The formula for calculating the cross-correlation coefficient is:
其中,r为PPG子波形信号X和Y的互相关系数,X和Y为近邻PPG子波形信号,N为其信号长度。根据相关系数的计算结果划分相关性等级,当r的绝对值|r|<0.4为低度线性相关,0.4≤|r|<0.7为显著性相关,0.7≤|r|<1为高度线性相关。当计算出的两个子波形的互相关系数绝对值小于0.4时,则移除后者子波形信号且再次计算当前子信号与下一个周期内的子波形的互相关系数直至满足|r|≥0.4。之后根据已移除的子波形位置,移除对应周期内的ABP信号。并对剩余的PPG和ABP波形做归一化处理,将其取值区间映射至固定区间。Among them, r is the cross-correlation coefficient of PPG sub-waveform signals X and Y, X and Y are adjacent PPG sub-waveform signals, and N is the signal length. According to the calculation results of the correlation coefficient, the correlation grade is divided. When the absolute value of r |r|<0.4 is a low linear correlation, 0.4≤|r|<0.7 is a significant correlation, and 0.7≤|r|<1 is a high linear correlation . When the absolute value of the calculated cross-correlation coefficient of the two sub-waveforms is less than 0.4, the latter sub-waveform signal is removed and the cross-correlation coefficient between the current sub-signal and the sub-waveform in the next period is calculated again until |r|≥0.4 . Then, according to the removed sub-waveform position, the ABP signal in the corresponding period is removed. And normalize the remaining PPG and ABP waveforms, and map their value intervals to fixed intervals.
之后进行数据集切分,切分的目的是使得训练集可以囊括所有的特征信息,提升预设血压计算模型的精准度。为了达到切分的目的,将先前获得的数据集的年龄特征和BMI特征作为分化标准。首先以年龄特征为主要特征,将训练集划分为三个年龄分组,依次为青年组(18-45)、中年组(46-69)和老年组(69岁以上)。之后分别将三个训练分组按照BMI的取值区间依次对a)所述3个组进行进一步划分,BMI的取值区间分为四类,依次是偏瘦组(BMI低于18.5),正常组(BMI在18.5-24.9之间),超重组(BMI在25.0-29.9之间),肥胖组(BMI在30.0以上)。由此可以得到总共12组分类,取出每个子类的样本量大小,记为Ni(i=1,2,3…12)。进而生成学习模型的训练集,从每个子类样本集中随机不放回抽样Ni×0.6(i=1,2,3…12,结果向下取整)个样本,合并后作为训练样本集。其次生成学习模型的验证集,从每个子类样本集中随机不放回抽样Ni×0.2(i=1,2,3…12,结果向下取整)个样本,合并后作为验证样本集。最后剩余的每个子类样本集合并作为测试集。三个数据子集的比例约为训练集:验证集:测试集=6:2:2。Afterwards, the data set is split. The purpose of splitting is to make the training set include all feature information and improve the accuracy of the preset blood pressure calculation model. In order to achieve the purpose of segmentation, the age characteristics and BMI characteristics of the previously obtained data sets are used as differentiation criteria. Firstly, taking the age feature as the main feature, the training set is divided into three age groups, which are the youth group (18-45), the middle-aged group (46-69) and the elderly group (over 69 years old). Afterwards, the three training groups were further divided into the three groups described in a) according to the value interval of BMI. The value interval of BMI was divided into four categories, which were lean group (BMI lower than 18.5), normal group (BMI between 18.5-24.9), overweight group (BMI between 25.0-29.9), obese group (BMI above 30.0). From this, a total of 12 groups of categories can be obtained, and the sample size of each sub-category is taken out, which is recorded as Ni (i=1, 2, 3...12). Then generate the training set of the learning model, randomly sample Ni×0.6 (i=1, 2, 3...12, the result is rounded down) samples from each subclass sample set, and combine them as the training sample set. Secondly, generate the verification set of the learning model, randomly sample Ni×0.2 (i=1, 2, 3...12, the result is rounded down) samples from each subclass sample set, and combine them as the verification sample set. Finally, the remaining samples of each subclass are collected and used as the test set. The ratio of the three data subsets is about training set: validation set: test set = 6:2:2.
最后进行预设血压计算模型的训练、评估和优化。本申请实施例中采用循环式的生成对抗网络(Cycle Generative Adversarial Networks,CycleGAN)对动态血压波形进行重构。本申请实施例中代码架构采用python库包Keras,使用Keras包里的layers生成卷积网络层,使用keras_contrib.layers.normalization进行数据归一化,使用keras.models进行生成器和判别器的构建,使用keras.optimizers构建优化器对训练过程进行优化;首先定义生成器G和判别器D1,构建第一层生成对抗网络:使用训练数据中的PPG信号输入作为生成器的输入,使生成器生成动态血压波形,再将数据集中的动态血压波形(随机波形,即可以是不与PPG波形匹配的动态血压波形)和生成器生成的动态血压波形同时输入判别器D1,判别器根据波形的相似程度给出评分;之后再同样生成第二层生成对抗网络(生成器F+判别器D2),但是此时的输出和输入反转,即使用训练集的ABP波形作为生成器F的输入,F的输出为对应的PPG波形,此时将数据集中的PPG波形(随机波形,即可以是不与PPG波形匹配的动态血压波形)和生成器生成的动态血压波形同时输入判别器D2,判别器根据波形的相似程度给出评分;此后定义损失函数为:Finally, the training, evaluation and optimization of the preset blood pressure calculation model are carried out. In the embodiment of the present application, a cycle-type generative adversarial network (Cycle Generative Adversarial Networks, CycleGAN) is used to reconstruct the ambulatory blood pressure waveform. In the embodiment of this application, the code architecture adopts the python library package Keras, uses the layers in the Keras package to generate a convolutional network layer, uses keras_contrib.layers.normalization for data normalization, and uses keras.models for the construction of generators and discriminators. Use keras.optimizers to build an optimizer to optimize the training process; first define the generator G and the discriminator D1, and build the first layer of generative confrontation network: use the PPG signal input in the training data as the input of the generator to make the generator generate dynamic Blood pressure waveform, and then the ambulatory blood pressure waveform in the data set (random waveform, that is, the ambulatory blood pressure waveform that does not match the PPG waveform) and the ambulatory blood pressure waveform generated by the generator are simultaneously input to the discriminator D1, and the discriminator gives After that, the second layer of generative confrontation network (generator F+discriminator D2) is also generated, but the output and input are reversed at this time, that is, the ABP waveform of the training set is used as the input of the generator F, and the output of F is The corresponding PPG waveform, at this time, the PPG waveform in the data set (random waveform, that is, the ambulatory blood pressure waveform that does not match the PPG waveform) and the ambulatory blood pressure waveform generated by the generator are simultaneously input into the discriminator D2, and the discriminator is based on the similarity of the waveform The score is given by the degree; hereafter, the loss function is defined as:
loss=∑x~pdata(x)[||F(G(x))-x||1]+∑y~pdata(y)[||F(G(y))-y||1];loss=∑x~pdata(x) [||F(G(x))-x||1 ]+∑y~pdata(y) [||F(G(y))-y||1 ];
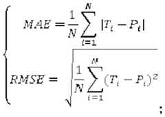
其中,x为数据集域pdata(x)中的任一PPG波形,y为数据集域pdata(y)中的任一ABP波形,函数F为先前定义的生成器F,函数G为先前定义的生成器G,其函数映射关系为:给定一个波形A,根据特征生成与之对应的波形B。||X-Y||1为计算X-Y的绝对值。之后循环训练,使得损失函数值收敛且最小于预设训练中止阈值。之后将测试集中的PPG作为输入,得到输出的动态血压波形,对输出的动态血压波形进行峰值谷值提取,从而得到收缩压(systolic blood pressur,SBP)和舒张压(diastolic blood pressure,DBP)。同时计算测试集中的ABP波形的血压值,计算两者的偏差,计算指标为:MAE和RMSE:Among them, x is any PPG waveform in the dataset domain pdata(x), y is any ABP waveform in the dataset domain pdata(y), function F is the previously defined generator F, and function G is the previously defined Generator G, its function mapping relationship is: Given a waveform A, generate the corresponding waveform B according to the characteristics. ||X-Y||1 is to calculate the absolute value of X-Y. Afterwards, the training is repeated so that the loss function value converges and is smaller than the preset training termination threshold. Then, the PPG in the test set is used as input to obtain the output ambulatory blood pressure waveform, and the peak and valley values of the output ambulatory blood pressure waveform are extracted to obtain systolic blood pressure (SBP) and diastolic blood pressure (DBP). At the same time, the blood pressure value of the ABP waveform in the test set is calculated, and the deviation between the two is calculated. The calculation indicators are: MAE and RMSE:
其中,N为测试集数据长度,T表示测试集的血压值(包含SBP与DBP),P表示输入测试集的PPG波形到该模型后得到的预测血压值(包含SBP与DBP),i为测试集中的第i个数据。根据模型评估结果,对生成器卷积网络进行部分优化,直至模型性能达到最优。Among them, N is the data length of the test set, T represents the blood pressure value of the test set (including SBP and DBP), P represents the predicted blood pressure value (including SBP and DBP) obtained after inputting the PPG waveform of the test set to the model, and i is the test The i-th data in the set. According to the model evaluation results, the generator convolutional network is partially optimized until the model performance is optimal.
步骤S130,利用血压波动性分析算法对动态血压波形的波动性进行计算,得到动态血压波形对应的波动性参数。Step S130, using the blood pressure volatility analysis algorithm to calculate the volatility of the ambulatory blood pressure waveform to obtain the volatility parameters corresponding to the ambulatory blood pressure waveform.
示例性的,系统可以利用血压波动性分析算法对动态血压波形的波动性进行计算,得到动态血压波形对应的波动性参数。具体而言,当系统获取到动态血压波形后,可以根据动态血压波形计算以下波动性参数:Exemplarily, the system may use a blood pressure volatility analysis algorithm to calculate the volatility of the ambulatory blood pressure waveform to obtain the volatility parameters corresponding to the ambulatory blood pressure waveform. Specifically, after the system acquires the ambulatory blood pressure waveform, the following volatility parameters can be calculated according to the ambulatory blood pressure waveform:
标准差SD,分别计算该数组的收缩压和舒张压的标准差,其计算公式为:Standard deviation SD, calculate the standard deviation of the systolic blood pressure and diastolic blood pressure of the array respectively, and its calculation formula is:
其中,x为数组中的舒张压/收缩压,i表示数组中的第i个血压值,n为数组长度,μ为舒张压/收缩压的平均值,即所有舒张压/收缩压求和除以n。Among them, x is the diastolic/systolic blood pressure in the array, i represents the i-th blood pressure value in the array, n is the length of the array, μ is the average value of the diastolic/systolic pressure, that is, the sum of all diastolic/systolic blood pressures divided Take n.
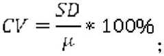
血压变异系数CV,为标准差和平均值的比值:The coefficient of variation of blood pressure, CV, is the ratio of the standard deviation to the mean:
加权标准差wSD:Weighted standard deviation wSD:
其中,d和n分别对应白天和晚上的血压数据个数,时间划分为8:00pm-次日7:00am为夜晚,其余时间为白天,T为在该数组的起始时间至结束时间的时间间隔。Among them, d and n respectively correspond to the number of blood pressure data in the day and night, and the time is divided into 8:00pm-7:00am of the next day as night, and the rest of the time is daytime, and T is the time from the start time to the end time of the array interval.
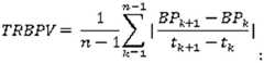
血压变化时率TRBPV:Rate of change in blood pressure TRBPV:
其中,n为数组长度,k为数组中第k的血压值,BP为血压值,包括舒张压和收缩压,t为其对应的时间点。Among them, n is the length of the array, k is the kth blood pressure value in the array, BP is the blood pressure value, including diastolic blood pressure and systolic blood pressure, and t is the corresponding time point.
步骤S140,若波动性参数的数值达到预设阈值,则确定与血压信号对应的健康信息。Step S140, if the value of the volatility parameter reaches the preset threshold, then determine the health information corresponding to the blood pressure signal.
示例性的,将上述计算出来的SD,CV,wSD和TRBPV进行阈值判断,当满足以下条件任意一条时,调用健康建议模块,给出健康改善建议,给出加强运动,改善饮食条件等预防心血管疾病的措施:SBP\DBP的SD均大于\小于预设值t1\t2时;SBP的SD大于预设值t1且CV大于预设值t3且wSD大于预设值t4时;DBP的SD小于预设值t2且wSD小于预设值t5且TRBPV小于预设值t6时;SBP与DBP的TRBPV均小于预设值t7时。Exemplarily, the SD, CV, wSD and TRBPV calculated above are used for threshold judgment. When any of the following conditions is met, the health advice module is called to give health improvement suggestions, such as strengthening exercise and improving dietary conditions, etc. Measures for vascular diseases: when the SD of SBP\DBP is greater than/less than the preset value t1\t2; when the SD of SBP is greater than the preset value t1 and CV is greater than the preset value t3 and wSD is greater than the preset value t4; when the SD of DBP is less than When the preset value t2 and wSD is less than the preset value t5 and TRBPV is less than the preset value t6; when both the TRBPV of the SBP and DBP are less than the preset value t7.
步骤S150,将健康信息发送至客户端。Step S150, sending the health information to the client.
示例性的,系统在生成与血压信号对应的健康信息后,可以将健康信息通过网络从云端服务器发送至用户的手机客户端,以使用户根据健康信息的建议进行合理的调节规划。Exemplarily, after the system generates the health information corresponding to the blood pressure signal, the health information can be sent from the cloud server to the user's mobile phone client through the network, so that the user can make a reasonable adjustment plan according to the suggestion of the health information.
本申请实施例中,首先从客户端获取血压信号利用预设血压计算模型对血压信号进行处理,得到处理后的动态血压波形,之后利用血压波动性分析算法对动态血压波形的波动性进行计算,得到动态血压波形对应的波动性参数,从而若波动性参数的数值达到预设阈值,则确定与血压信号对应的健康信息,进而将健康信息发送至客户端,缓解了现有技术中血压数据处理结果的准确度较差的技术问题。In the embodiment of the present application, firstly, the blood pressure signal is obtained from the client, and the blood pressure signal is processed by using the preset blood pressure calculation model to obtain the processed ambulatory blood pressure waveform, and then the volatility of the ambulatory blood pressure waveform is calculated by using the blood pressure volatility analysis algorithm, The volatility parameter corresponding to the dynamic blood pressure waveform is obtained, so that if the value of the volatility parameter reaches the preset threshold, the health information corresponding to the blood pressure signal is determined, and then the health information is sent to the client, which eases the blood pressure data processing in the prior art A technical problem with poor accuracy of the results.
下面对上述步骤进行详细介绍。The above steps are described in detail below.
在一些实施例中,上述步骤S120具体可以包括如下步骤:In some embodiments, the above step S120 may specifically include the following steps:
步骤a),利用预设血压计算模型对血压信号进行重构处理,得到重构归一化波形。In step a), the blood pressure signal is reconstructed using a preset blood pressure calculation model to obtain a reconstructed normalized waveform.
步骤b),利用预设归一化函数对重构归一化波形进行反归一化处理,得到处理后的动态血压波形。In step b), the reconstructed normalized waveform is denormalized using a preset normalization function to obtain a processed ambulatory blood pressure waveform.
示例性的,如图2所示,用户通过穿戴设备采集实时的PPG血压信号后,通过手机连接网络传至云端,调用该血压计算模型对动态血压波形进行重构,得到归一化的动态血压波形。之后系统根据波动预处理时的归一化函数对重构波形进行反归一化,得到处理后的动态血压波形,进而将后处理的动态血压波形输入值波动性分析算法中。Exemplarily, as shown in Figure 2, after the user collects the real-time PPG blood pressure signal through the wearable device, the user connects the network to the cloud through the mobile phone, calls the blood pressure calculation model to reconstruct the dynamic blood pressure waveform, and obtains the normalized dynamic blood pressure waveform. Afterwards, the system denormalizes the reconstructed waveform according to the normalization function during the fluctuation preprocessing to obtain the processed ambulatory blood pressure waveform, and then inputs the post-processed ambulatory blood pressure waveform into the value volatility analysis algorithm.
在一些实施例中,上述步骤S130具体可以包括如下步骤:In some embodiments, the above step S130 may specifically include the following steps:
步骤c),对动态血压波形中的特征值进行提取;其中特征值包括动态血压波形的峰值、峰值时间点、谷值和谷值时间点。Step c), extracting the eigenvalues in the ambulatory blood pressure waveform; wherein the eigenvalues include the peak value, peak time point, valley value and valley value time point of the ambulatory blood pressure waveform.
步骤d),根据特征值对动态血压波形的波动性进行计算,得到动态血压波形对应的波动性参数。In step d), the volatility of the ambulatory blood pressure waveform is calculated according to the eigenvalues to obtain the volatility parameters corresponding to the ambulatory blood pressure waveform.
示例性的,当系统获取到动态血压波形后,可以提取并存储动态血压波形中的峰值、谷值和对应的时间点作为特征值,其中峰值、谷值对应为收缩压SBP和舒张压DBP。之后访问储存血压值的数组,判断其长度是否满足预设长度,如果大于或等于预设长度,则将该数组传入分析模块,否则,则进入等待状态,直到储存到了足够多的血压值为止。当系统中的分析模块得到该数组后,可以对动态血压波形的波动性进行计算,得到动态血压波形对应的标准差SD、血压变异系数CV、加权标准差wSD以及血压变化时率TRBPV等波动性参数。Exemplarily, after the system acquires the ambulatory blood pressure waveform, it can extract and store the peak, valley and corresponding time points in the ambulatory blood pressure waveform as feature values, where the peak and valley correspond to systolic blood pressure SBP and diastolic blood pressure DBP. Then access the array storing the blood pressure value to judge whether its length meets the preset length, if it is greater than or equal to the preset length, then pass the array to the analysis module, otherwise, enter the waiting state until enough blood pressure values are stored . After the analysis module in the system obtains the array, it can calculate the volatility of the dynamic blood pressure waveform, and obtain the standard deviation SD, blood pressure variation coefficient CV, weighted standard deviation wSD, and blood pressure change rate TRBPV corresponding to the dynamic blood pressure waveform. parameter.
通过使系统对动态血压波形中的动态血压波形的峰值、峰值时间点、谷值和谷值时间点等特征值进行提取,进而根据特征值对动态血压波形的波动性进行计算,可以使得到动态血压波形对应的波动性参数更加精准,提高对于血压数据处理结果的准确度。By making the system extract the peak value, peak time point, valley value and valley value time point of the dynamic blood pressure waveform in the dynamic blood pressure waveform, and then calculate the volatility of the dynamic blood pressure waveform according to the characteristic value, the dynamic The volatility parameters corresponding to the blood pressure waveform are more accurate, improving the accuracy of the blood pressure data processing results.
在一些实施例中,在上述步骤S130之前,该方法还可以包括如下步骤:In some embodiments, before the above step S130, the method may further include the following steps:
步骤e),对动态血压波形的完整性进行检测。In step e), the integrity of the ambulatory blood pressure waveform is detected.
步骤f),若检测结果为动态血压波形不完整,则对动态血压波形进行丢弃。Step f), if the detection result is that the ambulatory blood pressure waveform is incomplete, discard the ambulatory blood pressure waveform.
示例性的,如图3所示,系统在获取到重构后的动态血压波形后,首先检验重构波形的完整性,开启检测模块检测波形,具体检测内容可以包括但是不限于:是否有断点、是否有跳变值、波形的峰谷值差值小于预设阈值、波形峰谷值的先后顺序是否正确、波形峰谷值的时间差是否在合理区间等等。若上述条件有任一不满足,则认为该次重构波形不完整,丢弃该次测量波形和重构波形,进入等待状态,等待下一次测量周期的波形。Exemplarily, as shown in Figure 3, after the system obtains the reconstructed ambulatory blood pressure waveform, it first checks the integrity of the reconstructed waveform, and starts the detection module to detect the waveform. The specific detection content may include but is not limited to: whether there is a break point, whether there is a jump value, the difference between the peak and valley values of the waveform is less than the preset threshold, whether the sequence of the peak and valley values of the waveform is correct, whether the time difference between the peak and valley values of the waveform is within a reasonable range, and so on. If any of the above conditions is not satisfied, the reconstructed waveform is considered to be incomplete, the measured waveform and the reconstructed waveform are discarded, and the system enters a waiting state to wait for the waveform of the next measurement cycle.
通过使系统对动态血压波形的完整性进行检测,若检测结果为动态血压波形不完整,则对动态血压波形进行丢弃,保证了动态血压波形的准确性,进而有效的提高了对于血压数据处理结果的准确度。By enabling the system to detect the integrity of the ambulatory blood pressure waveform, if the detection result is that the ambulatory blood pressure waveform is incomplete, the ambulatory blood pressure waveform will be discarded to ensure the accuracy of the ambulatory blood pressure waveform, thereby effectively improving the blood pressure data processing results the accuracy.
在一些实施例中,血压信号为光电容积脉搏波信号。In some embodiments, the blood pressure signal is a photoplethysmography signal.
在实际应用中,血压信号的类型包括多种,例如光电容积脉搏波信号、动脉血压信号、静脉血压信号等等,本申请实施例以光电容积脉搏波信号为例进行说明。In practical applications, there are many types of blood pressure signals, such as photoplethysmography signals, arterial blood pressure signals, venous blood pressure signals, etc. The embodiment of the present application uses photoplethysmography signals as an example for illustration.
在一些实施例中,波动性参数包括下述任意一项或多项:In some embodiments, volatility parameters include any one or more of the following:
标准差、血压变异系数、加权标准差、血压变化时率。Standard deviation, coefficient of variation of blood pressure, weighted standard deviation, time rate of blood pressure change.
示例性的额,波动性参数的类型可以包括多种,从而使得功能更加丰富。通过使波动性参数包括标准差、血压变异系数、加权标准差、血压变化时率在内的多种类型,使系统可以基于多种波动性参数更加全面的进行血压数据处理,提高血压数据处理结果的准确度。Exemplarily, the types of volatility parameters may include multiple types, thereby making the functions more abundant. By using various types of volatility parameters including standard deviation, blood pressure coefficient of variation, weighted standard deviation, and blood pressure change rate, the system can more comprehensively process blood pressure data based on various volatility parameters, and improve the results of blood pressure data processing the accuracy.
图4为本申请实施例提供的一种血压信号的数据处理系统的结构示意图。如图4所示,血压信号的数据处理系统包括:Fig. 4 is a schematic structural diagram of a blood pressure signal data processing system provided by an embodiment of the present application. As shown in Figure 4, the data processing system of the blood pressure signal includes:
穿戴设备、客户端和服务端;Wearable devices, clients and servers;
穿戴设备用于采集血压信号,并将血压信号发送至客户端;The wearable device is used to collect the blood pressure signal and send the blood pressure signal to the client;
客户端用于将血压信号发送至服务端;The client is used to send the blood pressure signal to the server;
服务端用于利用预设血压计算模型对血压信号进行处理,得到处理后的动态血压波形;The server is used to process the blood pressure signal by using the preset blood pressure calculation model to obtain the processed ambulatory blood pressure waveform;
服务端还用于利用血压波动性分析算法对动态血压波形的波动性进行计算,得到动态血压波形对应的波动性参数;The server is also used to calculate the volatility of the dynamic blood pressure waveform by using the blood pressure volatility analysis algorithm to obtain the volatility parameters corresponding to the dynamic blood pressure waveform;
服务端还用于对波动性参数的数值是否达到预设阈值进行检测,若波动性参数的数值达到预设阈值,则确定与血压信号对应的健康信息;The server is also used to detect whether the value of the volatility parameter reaches the preset threshold, and if the value of the volatility parameter reaches the preset threshold, determine the health information corresponding to the blood pressure signal;
服务端还用于将健康信息发送至客户端。The server is also used to send health information to the client.
客户端(用户端)与服务端(云端)的通信主要分为两大通路,分别为数据通路和指令通路。数据通路主要为智能穿戴设备与手机通过蓝牙进行PPG数据传输,手机通过Wi-Fi或者GRPS(General Packet Radio Service,通用封包无线网络)接入网络时,将智能穿戴设备采集到的PPG信号上载至服务端。服务端服务器根据输入的PPG波形,调用血压计算波形和算法对血压值进行计算,出值后将血压值同步至服务端用户数据库,同时下传到客户端(手机、穿戴设备)做可视化显示。指令通路主要是统计通信通路上的操作指令,分配给到对应的模块进行工作,例如,当服务端服务器接收到用户同步数据的指令后,立即与服务端通信,将服务端用户数据库的历史更新项进行下传。结合上述两大通路,用户通过手机终端蓝牙连接智能穿戴设备后,打开连续血压监测功能,当用户佩戴带有PPG传感器的智能穿戴设备后,设备会根据预设时间连续打开PPG传感器进行脉搏波数据采集,将采集到的脉搏波数据按照固定周期打包,通过蓝牙传输到手机,在手机接入网络后,将穿戴设备采集到的PPG信号上载至服务器,将PPG实时信号作为输出,通过调用血压计算模型和算法,得到对应的动态血压信号,再调用波动性分析算法,提取动态血压信号的特征集。调用预测模块和健康改善建议模块,通过特征集的匹配和波动性分析结果,输出相应的健康建议,再将上述所述信息更新至用户服务端数据库,在用户使用APP进行数据同步拉取操作时进行同步和更新,将结果可视化并传达健康改善信息或预防建议。The communication between the client (client) and the server (cloud) is mainly divided into two paths, namely, the data path and the instruction path. The data channel is mainly for PPG data transmission between smart wearable devices and mobile phones through Bluetooth. When the mobile phone is connected to the network through Wi-Fi or GRPS (General Packet Radio Service, general packet wireless network), the PPG signal collected by smart wearable devices is uploaded to Server. According to the input PPG waveform, the server server calls the blood pressure calculation waveform and algorithm to calculate the blood pressure value. After the value is output, the blood pressure value is synchronized to the server user database, and at the same time, it is downloaded to the client (mobile phone, wearable device) for visual display. The instruction path is mainly to count the operation instructions on the communication path, and assign them to the corresponding modules to work. For example, when the server server receives the user’s data synchronization instruction, it immediately communicates with the server to update the history of the server’s user database. item to download. Combining the above two channels, after the user connects the smart wearable device through the mobile terminal Bluetooth, the continuous blood pressure monitoring function is turned on. When the user wears the smart wearable device with the PPG sensor, the device will continuously turn on the PPG sensor according to the preset time to collect the pulse wave data. Acquisition, the collected pulse wave data is packaged according to a fixed period, and transmitted to the mobile phone through Bluetooth. After the mobile phone is connected to the network, the PPG signal collected by the wearable device is uploaded to the server, and the PPG real-time signal is used as an output. By calling the blood pressure calculation The model and algorithm are used to obtain the corresponding ambulatory blood pressure signal, and then the volatility analysis algorithm is called to extract the feature set of the ambulatory blood pressure signal. Call the prediction module and the health improvement suggestion module, output the corresponding health advice through the matching of the feature set and the volatility analysis results, and then update the above information to the user server database. When the user uses the APP to perform data synchronization pull operation Synchronize and update, visualize results and communicate health improvement or prevention recommendations.
图5为本申请实施例提供的一种血压信号的数据处理装置的结构示意图。如图5所示,血压信号的数据处理装置500包括:Fig. 5 is a schematic structural diagram of a blood pressure signal data processing device provided by an embodiment of the present application. As shown in Figure 5, the data processing device 500 for blood pressure signals includes:
获取模块501,用于从客户端获取血压信号;An
处理模块502,用于利用预设血压计算模型对血压信号进行处理,得到处理后的动态血压波形;A
计算模块503,用于利用血压波动性分析算法对动态血压波形的波动性进行计算,得到动态血压波形对应的波动性参数;The
确定模块504,用于若波动性参数的数值达到预设阈值,则确定与血压信号对应的健康信息;A determining
发送模块505,用于将健康信息发送至客户端。The sending
在一些实施例中,处理模块502具体用于:In some embodiments, the
利用预设血压计算模型对血压信号进行重构处理,得到重构归一化波形;Use the preset blood pressure calculation model to reconstruct the blood pressure signal to obtain a reconstructed normalized waveform;
利用预设归一化函数对重构归一化波形进行反归一化处理,得到处理后的动态血压波形。Denormalize the reconstructed normalized waveform by using the preset normalized function to obtain the processed ambulatory blood pressure waveform.
在一些实施例中,计算模块503具体用于:In some embodiments, the calculating
对动态血压波形中的特征值进行提取;其中特征值包括动态血压波形的峰值、峰值时间点、谷值和谷值时间点;Extracting the eigenvalues in the ambulatory blood pressure waveform; wherein the eigenvalues include the peak value, peak time point, valley value and valley value time point of the ambulatory blood pressure waveform;
根据特征值对动态血压波形的波动性进行计算,得到动态血压波形对应的波动性参数。The volatility of the ambulatory blood pressure waveform is calculated according to the eigenvalue, and the volatility parameter corresponding to the ambulatory blood pressure waveform is obtained.
在一些实施例中,该装置还可以包括:In some embodiments, the device may also include:
检查模块,用于利用血压波动性分析算法对动态血压波形的波动性进行计算,得到动态血压波形对应的波动性参数之前,对动态血压波形的完整性进行检测;The inspection module is used to calculate the volatility of the ambulatory blood pressure waveform by using the blood pressure volatility analysis algorithm, and to detect the integrity of the ambulatory blood pressure waveform before obtaining the volatility parameters corresponding to the ambulatory blood pressure waveform;
若检测结果为动态血压波形不完整,则对动态血压波形进行丢弃。If the detection result shows that the ambulatory blood pressure waveform is incomplete, the ambulatory blood pressure waveform is discarded.
在一些实施例中,血压信号为光电容积脉搏波信号。In some embodiments, the blood pressure signal is a photoplethysmography signal.
在一些实施例中,波动性参数包括下述任意一项或多项:In some embodiments, volatility parameters include any one or more of the following:
标准差、血压变异系数、加权标准差、血压变化时率。Standard deviation, coefficient of variation of blood pressure, weighted standard deviation, time rate of blood pressure change.
本发明实施例所提供的装置,其实现原理及产生的技术效果和前述方法实施例相同,为简要描述,系统实施例部分未提及之处,可参考前述方法实施例中相应内容。The implementation principles and technical effects of the devices provided by the embodiments of the present invention are the same as those of the foregoing method embodiments. For brief description, for the parts not mentioned in the system embodiments, reference may be made to the corresponding content in the foregoing method embodiments.
本发明实施例提供了一种电子设备,具体的,该电子设备包括处理器和存储装置;存储装置上存储有计算机程序,计算机程序在被处理器运行时执行如上实施方式的任一项的方法。An embodiment of the present invention provides an electronic device, specifically, the electronic device includes a processor and a storage device; a computer program is stored on the storage device, and when the computer program is run by the processor, the method in any one of the above embodiments is executed .
图6为本发明实施例提供的一种电子设备的结构示意图,该电子设备包括:处理器601,存储器602,总线603和通信接口604,处理器601、通信接口604和存储器602通过总线603连接;处理器601用于执行存储器602中存储的可执行模块,例如计算机程序。6 is a schematic structural diagram of an electronic device provided by an embodiment of the present invention, the electronic device includes: a
其中,存储器602可能包含高速随机存取存储器(RAM,Random Access Memory),也可能还包括非不稳定的存储器(Non-volatile Memory),例如至少一个磁盘存储器。通过至少一个通信接口604(可以是有线或者无线)实现该系统网元与至少一个其他网元之间的通信连接,可以使用互联网,广域网,本地网,城域网等。Wherein, the memory 602 may include a high-speed random access memory (RAM, Random Access Memory), and may also include a non-volatile memory (Non-volatile Memory), such as at least one disk memory. The communication connection between the system network element and at least one other network element is realized through at least one communication interface 604 (which may be wired or wireless), and the Internet, wide area network, local network, metropolitan area network, etc. can be used.
总线603可以是ISA总线、PCI总线或EISA总线等。总线可以分为地址总线、数据总线、控制总线等。为便于表示,图6中仅用一个双向箭头表示,但并不表示仅有一根总线或一种类型的总线。The bus 603 may be an ISA bus, a PCI bus, or an EISA bus, etc. The bus can be divided into address bus, data bus, control bus and so on. For ease of representation, only one double-headed arrow is used in FIG. 6 , but it does not mean that there is only one bus or one type of bus.
其中,存储器602用于存储程序,处理器601在接收到执行指令后,执行程序,前述本发明实施例任一实施例揭示的流过程定义的装置所执行的方法可以应用于处理器601中,或者由处理器601实现。Wherein, the memory 602 is used to store the program, and the
处理器601可能是一种集成电路芯片,具有信号的处理能力。在实现过程中,上述方法的各步骤可以通过处理器601中的硬件的集成逻辑电路或者软件形式的指令完成。上述的处理器601可以是通用处理器,包括中央处理器(Central Processing Unit,简称CPU)、网络处理器(Network Processor,简称NP)等;还可以是数字信号处理器(DigitalSignal Processing,简称DSP)、专用集成电路(Application Specific IntegratedCircuit,简称ASIC)、现成可编程门阵列(Field-Programmable Gate Array,简称FPGA)或者其他可编程逻辑器件、分立门或者晶体管逻辑器件、分立硬件组件。可以实现或者执行本发明实施例中的公开的各方法、步骤及逻辑框图。通用处理器可以是微处理器或者该处理器也可以是任何常规的处理器等。结合本发明实施例所公开的方法的步骤可以直接体现为硬件译码处理器执行完成,或者用译码处理器中的硬件及软件模块组合执行完成。软件模块可以位于随机存储器,闪存、只读存储器,可编程只读存储器或者电可擦写可编程存储器、寄存器等本领域成熟的存储介质中。该存储介质位于存储器602,处理器601读取存储器602中的信息,结合其硬件完成上述方法的步骤。The
本发明实施例所提供的可读存储介质的计算机程序产品,包括存储了程序代码的计算机可读存储介质,程序代码包括的指令可用于执行前面方法实施例中的方法,具体实现可参见前述方法实施例,在此不再赘述。The computer program product of the readable storage medium provided by the embodiments of the present invention includes a computer-readable storage medium storing program codes, and the instructions included in the program codes can be used to execute the methods in the foregoing method embodiments. For specific implementation, please refer to the foregoing methods The embodiment will not be repeated here.
功能如果以软件功能单元的形式实现并作为独立的产品销售或使用时,可以存储在一个计算机可读取存储介质中。基于这样的理解,本发明的技术方案本质上或者说对现有技术做出贡献的部分或者该技术方案的部分可以以软件产品的形式体现出来,该计算机软件产品存储在一个存储介质中,包括若干指令用以使得一台计算机设备(可以是个人计算机,服务器,或者网络设备等)执行本发明各个实施例方法的全部或部分步骤。而前述的存储介质包括:U盘、移动硬盘、只读存储器(ROM,Read-Only Memory)、随机存取存储器(RAM,Random Access Memory)、磁碟或者光盘等各种可以存储程序代码的介质。If the functions are realized in the form of software functional units and sold or used as independent products, they can be stored in a computer-readable storage medium. Based on this understanding, the essence of the technical solution of the present invention or the part that contributes to the prior art or the part of the technical solution can be embodied in the form of a software product, and the computer software product is stored in a storage medium, including Several instructions are used to make a computer device (which may be a personal computer, a server, or a network device, etc.) execute all or part of the steps of the methods in various embodiments of the present invention. The aforementioned storage medium includes: U disk, mobile hard disk, read-only memory (ROM, Read-Only Memory), random access memory (RAM, Random Access Memory), magnetic disk or optical disk and other media that can store program codes. .
最后应说明的是:以上实施例,仅为本发明的具体实施方式,用以说明本发明的技术方案,而非对其限制,本发明的保护范围并不局限于此,尽管参照前述实施例对本发明进行了详细的说明,本领域的普通技术人员应当理解:任何熟悉本技术领域的技术人员在本发明揭露的技术范围内,其依然可以对前述实施例所记载的技术方案进行修改或可轻易想到变化,或者对其中部分技术特征进行等同替换;而这些修改、变化或者替换,并不使相应技术方案的本质脱离本发明实施例技术方案的精神和范围,都应涵盖在本发明的保护范围之内。因此,本发明的保护范围应以权利要求的保护范围为准。Finally, it should be noted that: the above examples are only specific implementations of the present invention, to illustrate the technical solutions of the present invention, rather than to limit them, and the protection scope of the present invention is not limited thereto, although with reference to the foregoing examples The present invention has been described in detail, and those of ordinary skill in the art should understand that: within the technical scope disclosed by the present invention, any person familiar with the art can still modify or modify the technical solutions described in the foregoing embodiments. It is easy to think of changes, or equivalent replacements for some of the technical features; and these modifications, changes or replacements do not make the essence of the corresponding technical solutions deviate from the spirit and scope of the technical solutions of the embodiments of the present invention, and should be covered by the protection of the present invention. within range. Therefore, the protection scope of the present invention should be based on the protection scope of the claims.
| Application Number | Priority Date | Filing Date | Title |
|---|---|---|---|
| CN202211074927.0ACN115281638A (en) | 2022-09-02 | 2022-09-02 | Data processing method, system and device for blood pressure signal |
| Application Number | Priority Date | Filing Date | Title |
|---|---|---|---|
| CN202211074927.0ACN115281638A (en) | 2022-09-02 | 2022-09-02 | Data processing method, system and device for blood pressure signal |
| Publication Number | Publication Date |
|---|---|
| CN115281638Atrue CN115281638A (en) | 2022-11-04 |
| Application Number | Title | Priority Date | Filing Date |
|---|---|---|---|
| CN202211074927.0APendingCN115281638A (en) | 2022-09-02 | 2022-09-02 | Data processing method, system and device for blood pressure signal |
| Country | Link |
|---|---|
| CN (1) | CN115281638A (en) |
| Publication number | Priority date | Publication date | Assignee | Title |
|---|---|---|---|---|
| CN102387741A (en)* | 2009-02-09 | 2012-03-21 | 爱德华兹生命科学公司 | Detection of vascular conditions using arterial pressure waveform data |
| CN108261190A (en)* | 2016-12-30 | 2018-07-10 | 深圳先进技术研究院 | Continuous BP measurement method, apparatus and equipment |
| CN108354597A (en)* | 2018-01-31 | 2018-08-03 | 南京邮电大学 | A kind of rapid blood pressure computational methods based on the extraction of optimal wave |
| CN110584637A (en)* | 2018-06-12 | 2019-12-20 | 李嘉富 | Method for calculating blood pressure variation number |
| CN110755059A (en)* | 2019-10-11 | 2020-02-07 | 中国科学院深圳先进技术研究院 | Blood pressure waveform monitoring method and device |
| WO2021016892A1 (en)* | 2019-07-30 | 2021-02-04 | 深圳迈瑞生物医疗电子股份有限公司 | Method for analyzing regularity evaluation information, monitoring device and monitoring system |
| CN113520350A (en)* | 2021-07-27 | 2021-10-22 | 香港心脑血管健康工程研究中心有限公司 | Processing method and device for obtaining relevant characteristic parameters and index information of blood pressure map signals |
| Publication number | Priority date | Publication date | Assignee | Title |
|---|---|---|---|---|
| CN102387741A (en)* | 2009-02-09 | 2012-03-21 | 爱德华兹生命科学公司 | Detection of vascular conditions using arterial pressure waveform data |
| CN108261190A (en)* | 2016-12-30 | 2018-07-10 | 深圳先进技术研究院 | Continuous BP measurement method, apparatus and equipment |
| CN108354597A (en)* | 2018-01-31 | 2018-08-03 | 南京邮电大学 | A kind of rapid blood pressure computational methods based on the extraction of optimal wave |
| CN110584637A (en)* | 2018-06-12 | 2019-12-20 | 李嘉富 | Method for calculating blood pressure variation number |
| WO2021016892A1 (en)* | 2019-07-30 | 2021-02-04 | 深圳迈瑞生物医疗电子股份有限公司 | Method for analyzing regularity evaluation information, monitoring device and monitoring system |
| CN110755059A (en)* | 2019-10-11 | 2020-02-07 | 中国科学院深圳先进技术研究院 | Blood pressure waveform monitoring method and device |
| CN113520350A (en)* | 2021-07-27 | 2021-10-22 | 香港心脑血管健康工程研究中心有限公司 | Processing method and device for obtaining relevant characteristic parameters and index information of blood pressure map signals |
| Publication | Publication Date | Title |
|---|---|---|
| CN110251105B (en) | Noninvasive blood pressure measuring method, device, equipment and system | |
| KR102622403B1 (en) | Biological data processing | |
| CN107622797B (en) | Body condition determining system and method based on sound | |
| Wang et al. | Photoplethysmography-based blood pressure estimation combining filter-wrapper collaborated feature selection with LASSO-LSTM model | |
| CN114587311B (en) | Non-cuff type blood pressure measuring device based on multiple orders and multiple modes | |
| CN107669256A (en) | Measuring method, the device and system of continuous blood pressure | |
| KR20190056858A (en) | System and method for estimating blood pressure based on deep learning | |
| CN111358453B (en) | Blood pressure classification prediction method and device | |
| CN109872820B (en) | Method, device, equipment and storage medium for measuring blood pressure without cuff | |
| CN109247929B (en) | Blood pressure determination device, method, apparatus, and storage medium | |
| CN113470805A (en) | Method for establishing blood pressure model | |
| CN115281636A (en) | Blood pressure data processing method, device and electronic device | |
| CN108403101A (en) | A kind of model training method and device, the method and device for measuring blood pressure | |
| US20240108235A1 (en) | Non-contact image-based blood pressure measurement method and system based on advanced visual intelligence | |
| CN108430310A (en) | Assess the method and apparatus for carrying out this method of the reliability of blood pressure measurement | |
| Ma et al. | PPG-based continuous BP waveform estimation using polarized attention-guided conditional adversarial learning model | |
| CN115299898A (en) | Non-invasive arterial blood pressure waveform monitoring method, device and system | |
| CN118383739A (en) | Blood pressure estimation method, method and device for training machine learning model and application | |
| CN117357079A (en) | Human blood pressure measuring method based on individual correction | |
| CN115886759A (en) | Blood pressure data processing method, device, electronic device and storage medium | |
| US20240180434A1 (en) | System and method for blood pressure measurement, computer program product using the method, and computer-readable recording medium thereof | |
| CN112957018A (en) | Heart state detection method and device based on artificial intelligence | |
| CN115281638A (en) | Data processing method, system and device for blood pressure signal | |
| CN116509354B (en) | A blood pressure calculation method and blood pressure measurement device based on blood pressure pulse wave | |
| CN113907733A (en) | Bonagie AI |
| Date | Code | Title | Description |
|---|---|---|---|
| PB01 | Publication | ||
| PB01 | Publication | ||
| SE01 | Entry into force of request for substantive examination | ||
| SE01 | Entry into force of request for substantive examination |