





技术领域technical field
本发明涉及网联自动驾驶、车辆编队领域,具体涉及一种网联自动驾驶环境下车辆进入编队的换道方法。The invention relates to the fields of networked automatic driving and vehicle formation, in particular to a lane changing method for vehicles entering formation under the networked automatic driving environment.
背景技术Background technique
随着交通领域智能化、网联化、信息化技术的发展,智能车路协同系统成为提升交通系统通行效率的重要手段。交叉口连接路段作为道路交通路网的重要组成部分,路段中智能网联汽车的动态轨迹优化对道路交通网络的通行效率有着显著的影响。因此,在车路协同环境下,以发挥智能网联汽车的优势为目的,提出一套车辆进入编队的换道方法,对提高道路安全和运行效率具有重要意义。With the development of intelligence, networking, and information technology in the transportation field, the intelligent vehicle-road coordination system has become an important means to improve the traffic efficiency of the transportation system. As an important part of the road traffic network, the intersection connection section is an important part of the road traffic network. The dynamic trajectory optimization of intelligent connected vehicles in the road section has a significant impact on the traffic efficiency of the road traffic network. Therefore, in the vehicle-road collaborative environment, in order to take advantage of the advantages of intelligent networked vehicles, a set of lane-changing methods for vehicles entering the formation is proposed, which is of great significance for improving road safety and operating efficiency.
目前,基于智能网联的车辆编队策略的研究主要分为两类:一方面,一些学者针对单个车辆进行动力学分析,建立车辆模型和车辆队列模型。如陈先鹏等人针对考虑外部干扰和模型参数不确定性的车辆编队控制问题,规划了车载自组织网络下的车辆编队结构,将控制算法运用到了智能车辆编队中,实现了车辆编队稳定和车辆编队队列稳定的要求。如Alan等人在车辆编队的横向动力学模型的基础上设计了滑模控制方法,对车辆编队纵向队形采取改进的恒定时距控制方法,使得车间距离进一步减小,并且能保障车辆编队的鲁棒性。另一方面,一些学者通过使用车辆编队控制算法规划编队路线,通过智能车辆路径跟踪渐进形成编队结构。如Li等人针对多机器人的编队和避障控制问题,基于人工势场法的控制思想,建立了包含引力场和斥力场的势函数来实现智能体的运动控制,并且根据期望队形和行驶任务精确设计了势场函数来表征队列结构。韩璐等人针对内部参数不确定和外部环境干扰条件下的编队控制问题,通过建立领航——跟随的姿态误差模型,基于线性反馈算法设计了自适应编队控制器,能够实现车辆的稳定编队控制。当前对于车辆编队策略的研究方法多种多样,但多关注于编队形成方法与编队自身管理,忽略了车辆编队在实际道路通行中与非编队车辆的交互作用以及车辆插入车辆编队后的编队重构方法,上述研究在具体的道路通行场景中应用存在一定困难。At present, the research on vehicle formation strategy based on intelligent network connection is mainly divided into two categories: On the one hand, some scholars conduct dynamic analysis on a single vehicle, and establish vehicle models and vehicle platoon models. For example, Chen Xianpeng and others planned the vehicle formation structure under the vehicle self-organizing network for the vehicle formation control problem considering external disturbance and model parameter uncertainty, and applied the control algorithm to the intelligent vehicle formation, realizing the stability of the vehicle formation and the vehicle formation. Queue stability requirements. For example, Alan et al. designed a sliding mode control method based on the lateral dynamic model of the vehicle formation, and adopted an improved constant time-distance control method for the longitudinal formation of the vehicle formation, which further reduced the inter-vehicle distance and guaranteed the vehicle formation. robustness. On the other hand, some scholars plan the formation route by using the vehicle formation control algorithm, and gradually form the formation structure through intelligent vehicle path tracking. For example, Li et al., aimed at multi-robot formation and obstacle avoidance control problems, based on the control idea of artificial potential field method, established a potential function including gravitational field and repulsive field to realize the motion control of the agent, and according to the desired formation and driving The task precisely designs the potential field function to characterize the queue structure. For formation control problems under uncertain internal parameters and external environmental disturbances, Han Lu et al. designed an adaptive formation controller based on a linear feedback algorithm by establishing a pilot-follow attitude error model, which can achieve stable formation control of vehicles . At present, there are various research methods on vehicle formation strategy, but most of them focus on formation formation methods and formation management, ignoring the interaction between vehicle formation and non-formation vehicles in actual road traffic and formation reconstruction after vehicles are inserted into vehicle formation. There are certain difficulties in applying the above research in specific road traffic scenarios.
发明内容Contents of the invention
本发明技术解决问题:针对现有车辆编队策略的不足,提出一种网联自动驾驶环境下车辆进入编队的换道方法,在满足安全换道、舒适行驶的基础上,实现换道车辆插入已有车辆编队并形成新的编队,来提高通行效率。Problems solved by the technology of the present invention: Aiming at the shortcomings of the existing vehicle formation strategy, a lane change method for vehicles entering the formation under the networked automatic driving environment is proposed. On the basis of satisfying safe lane change and comfortable driving, the insertion of the lane change vehicle is realized. There are vehicle formations and new formations are formed to improve traffic efficiency.
本发明技术解决方案:一种网联自动驾驶环境下车辆进入编队的换道方法,实现步骤如下:The technical solution of the present invention: a method for changing lanes of vehicles entering a formation under a networked automatic driving environment, the implementation steps are as follows:
步骤1,通过传感设备及技术获取车辆编队通行路段环境信息,所述车辆编队通行路段环境信息包括车道线、编队车辆及请求换道车辆的运动状况数据;
步骤2,基于步骤1中车辆编队通行路段环境信息的数据,根据车辆决策时间对相对距离的影响,给出换道车辆插入车辆编队不同位置的判断依据,确定换道车辆插入编队位置;Step 2, based on the data of the environmental information of the vehicle formation passing road section in
步骤3,基于步骤2中所确定的换道车辆插入编队位置,给出换道车辆运动纵向控制策略,进行车辆运动纵向控制使得换道车辆到达纵向插入编队位置;Step 3, based on the lane-changing vehicle insertion formation position determined in step 2, give a longitudinal control strategy for the lane-changing vehicle movement, and perform longitudinal control of the vehicle movement so that the lane-changing vehicle reaches the longitudinal insertion formation position;
步骤4,基于步骤3中换道车辆到达纵向插入编队位置,给出换道车辆运动横向控制策略,进行车辆运动横向控制形成换道车辆插入后的编队;Step 4. Based on the arrival of the lane-changing vehicle in step 3 to the longitudinal insertion formation position, a lateral control strategy for the lane-changing vehicle movement is given, and the vehicle movement lateral control is performed to form a formation after the lane-changing vehicle is inserted;
步骤5:对步骤4中换道车辆插入后的编队再次进行车辆运动纵向控制,使得车辆减速后加速达到道路最大限速Vm,且车辆插入后车辆编队的车头间距均保持最小安全距离dh,车辆编队C恢复最初行驶状态;Step 5: Carry out longitudinal control of the vehicle motion again on the formation after the lane-changing vehicle is inserted in step 4, so that the vehicle accelerates to the maximum road speed limit Vm after deceleration, and the distance between the heads of the vehicle formation after the vehicle is inserted maintains the minimum safe distance dh , the vehicle formation C resumes its original driving state;
步骤6:对下一辆请求进入车辆编队C的车辆重复步骤2,3,4,5计算过程,确定换道车辆插入队列位置及控制策略,实现换道车辆插入车辆编队并完成车辆编队重构。Step 6: Repeat the calculation process of steps 2, 3, 4, and 5 for the next vehicle requesting to enter the vehicle formation C, determine the insertion position and control strategy of the lane-changing vehicle, realize the insertion of the lane-changing vehicle into the vehicle formation and complete the vehicle formation reconstruction .
所述步骤1中,得到车辆编队通行路段环境信息,包括车道线、编队车辆及请求换道车辆的运动状况数据,从而确定车道宽度l,当前道路最大限速Vm,请求换道车辆X行驶速度Vx,当前车辆编队C头车C1沿车道线前进方向坐标x1与请求换道车辆X坐标xx之差d0。In the
所述步骤2中,确定换道车辆插入编队位置的实现步骤如下:In the step 2, the implementation steps of determining the insertion position of the lane-changing vehicle are as follows:
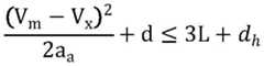
(1)首先判断车辆X是否满足成为车辆编队C头车的条件,即:(1) Firstly, it is judged whether the vehicle X satisfies the condition of becoming the C leader of the vehicle formation, that is:
d=(Vm-Vx)·Δt+d0d=(Vm -Vx )·Δt+d0
d0=x1-xxd0 =x1 -xx
其中,d为请求换道车辆X与当前车辆编队C头车C1沿车道线纵向相对距离,Vm为道路最大限速,Vx为请求换道车辆X行驶速度,Δt为决策时间,d0为当前车辆编队C头车C1沿车道线前进方向坐标x1与请求换道车辆X坐标xx之差,aa为受道路安全性和舒适度限制的纵向最大加速度,L为自动驾驶车辆的标准车长。Among them, d is the longitudinal relative distance between the vehicle X requesting to change lanes and the head vehicle C1 of the current vehicle formation C along the lane line, Vm is the maximum speed limit of the road, Vx is the driving speed of vehicle X requesting to change lanes, Δt is the decision time, d0 is the difference between the coordinate x1 of the head car C1 of the current vehicle formation C along the lane line and the X coordinate xx of the vehicle requesting to change lanes, aa is the maximum longitudinal acceleration limited by road safety and comfort, and L is automatic driving The standard length of the vehicle.
(2)若无法满足,则判断车辆X是否满足插入车辆编队前两辆车C1和C2之间,即成为目前车辆编队C中车辆C2前车的条件:(2) If it cannot be satisfied, it is judged whether the vehicle X satisfies the condition of being inserted between thetwo vehiclesC1 andC2 before the vehicle formation, that is, becoming the vehicle ahead of vehicle C2 in the current vehicle formation C:
其中,dh为车辆编队C中车辆的车头间距最小安全距离,i为从1到n-1的正整数变量,n为车辆编队C车辆数。Among them, dh is the minimum safety distance between vehicles in vehicle formation C, i is a positive integer variable from 1 to n-1, and n is the number of vehicles in vehicle formation C.
(3)若直到i=n-1仍无法满足上述判断条件,则采取车辆X插入当前车辆编队C后,成为尾车的策略:(3) If the above judgment conditions cannot be met until i=n-1, then adopt the strategy of vehicle X being inserted into the current vehicle formation C and becoming the last vehicle:
其中,aa为受道路安全性和舒适度限制的纵向最大加速度,L为自动驾驶车辆的标准车长,dh为车辆编队C中车辆的车头间距最小安全距离。Among them, aa is the maximum longitudinal acceleration limited by road safety and comfort, L is the standard vehicle length of autonomous vehicles, and dh is the minimum safety distance between vehicles in vehicle formation C.
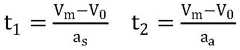
所述步骤3实现如下:Described step 3 realizes as follows:
(1)当车辆X插入当前车辆编队C前,成为头车时,计算请求换道车辆所需加速度用如下公式:(1) When vehicle X is inserted in front of the current vehicle formation C and becomes the lead vehicle, the following formula is used to calculate the required acceleration of the vehicle requesting to change lanes:
S=Vmt+2L-dS=Vm t+2L-d
(2)当车辆X插入车辆编队第i辆车和第i+1辆车Ci和Ci+1之间,计算请求换道车辆所需加速度用如下公式:(2) When vehicle X is inserted between the i-th vehicle and the i+1-th vehicle Ci and Ci+1 in the vehicle formation, the following formula is used to calculate the required acceleration of the vehicle requesting to change lanes:
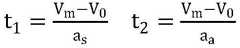
D=D1+D2D=D1 +D2
t=t1+t2t=t1 +t2
Vmt-(D1+D2)=3LVm t - (D1 +D2 ) = 3L
S=Vxt-2L+n(L+d)+dS=Vx t-2L+n(L+d)+d
(3)当插入当前车辆编队C后,成为尾车时,计算请求换道车辆所需加速度用如下公式:(3) When the current vehicle formation C is inserted and becomes the tail vehicle, the following formula is used to calculate the required acceleration of the vehicle requesting to change lanes:
S=Vmt+d0-(n+1)L-(n-1)dS=Vm t+d0 -(n+1)L-(n-1)d
其中,ax为请求换道车辆所需加速度,aa为受道路安全性和舒适度限制的纵向最大加速度,as为受道路安全性和舒适度限制的纵向最大减速度,V0为车辆减速后最小速度,t1为车辆编队减速阶段调整时间,t2为车辆编队加速阶段调整时间,t为车辆编队总调整时间,D1为第i+1辆车及其后车在调整时间内减速阶段行驶距离,D2为第i+1辆车及其后车在调整时间内加速阶段行驶距离,D为第i+1辆车及其后车在调整时间内总行驶距离,S为请求换道车辆X满足安全换道条件所应行驶的距离,n为车辆编队C车辆数。Among them, ax is the acceleration required by the vehicle requesting to change lanes, aa is the maximum longitudinal acceleration limited by road safety and comfort, as is the maximum longitudinal deceleration limited by road safety and comfort, V0 is the vehicle The minimum speed after deceleration,t1 is the adjustment time of the deceleration phase of the vehicle formation,t2 is the adjustment time of the vehicle formation acceleration phase, t is the total adjustment time of the vehicle formation, and D1 is the adjustment time of the i+1th vehicle and the following vehicles The driving distance in the deceleration phase, D2 is the driving distance of the i+ 1th vehicle and its following vehicles in the acceleration phase within the adjustment time, D is the total driving distance of the i+1th vehicle and its following vehicles within the adjustment time, S is the request The lane-changing vehicle X should travel the distance to meet the safe lane-changing conditions, and n is the number of vehicles in the vehicle formation C.
进一步,所述步骤4实现如下:Further, the step 4 is implemented as follows:
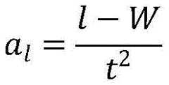
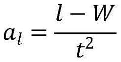
(1)在换道车辆X根据步骤3进行车辆运动纵向控制的同时进行横向靠边控制,使得换道车辆X车身在车辆编队调整时间内与车道线相切,计算请求换道车辆横向加速度al用如下计算公式,车辆在纵向控制同时横向控制加速度为:(1) When the lane-changing vehicle X performs the longitudinal control of the vehicle movement according to step 3, lateral pull-over control is performed at the same time, so that the body of the lane-changing vehicle X is tangent to the lane line within the vehicle formation adjustment time, and the lateral acceleration al of the requested lane-changing vehicle is calculated Using the following calculation formula, the acceleration of the vehicle under longitudinal control and lateral control is:
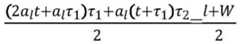
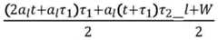
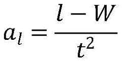
其中,k为车道宽度,W为换道自动驾驶车辆的标准车身宽度,al为受道路安全性和舒适度限制的横向最大加速度,t为车辆编队总调整时间。Among them, k is the width of the lane, W is the standard body width of the lane-changing automatic driving vehicle, al is the maximum lateral acceleration limited by road safety and comfort, and t is the total adjustment time of the vehicle formation.
(2)在换道车辆X车身在车辆编队调整时间内与车道线相切后,使得换道车辆X以最短时间到达A车道中轴线,车辆换道时间为:(2) After the body of the lane-changing vehicle X is tangent to the lane line within the vehicle formation adjustment time, so that the lane-changing vehicle X reaches the central axis of lane A in the shortest time, the vehicle lane-changing time is:
τ=τ1+τ2τ=τ1 +τ2
其中,τ1为请求换道车辆横向控制加速时间,τ2为请求换道车辆横向控制减速时间,τ为请求换道车辆换道时间,al为受道路安全性和舒适度限制的横向最大加速度,am为受道路安全性和舒适度限制的横向最大减速度,t为车辆编队总调整时间。Among them, τ1 is the lateral control acceleration time of the vehicle requesting lane change, τ2 is the lateral control deceleration time of the vehicle requesting lane change, τ is the lane change time of the vehicle requesting lane change, al is the lateral maximum limit limited by road safety and comfort Acceleration, am is the maximum lateral deceleration limited by road safety and comfort, t is the total adjustment time of vehicle formation.
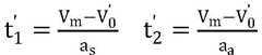
进一步,所述步骤5实现如下:Further, the step 5 is implemented as follows:
(1)若车辆X插入第一辆车前成为头车,计算车辆编队总调整时间t'用如下计算公式:(1) If vehicle X becomes the leading vehicle before being inserted into the first vehicle, the following calculation formula is used to calculate the total adjustment time t' of the vehicle formation:
t′=t′1+t′2t'=t'1 +t'2
Vmt-(X1+X2)=L-dhVm t - (X1 +X2 ) = Ldh
其中,aa为受道路安全性和舒适度限制的纵向最大加速度,as为受道路安全性和舒适度限制的纵向最大减速度,V'0为头车车辆减速后最小速度,t'为车辆编队总调整时间,t'1为车辆插入编队后减速阶段调整时间,t'2为车辆插入编队后加速阶段调整时间,X1为车辆编队头车减速行驶距离,X2为车辆编队头车加速行驶距离。Among them, aa is the maximum longitudinal acceleration limited by road safety and comfort, as is the maximum longitudinal deceleration limited by road safety and comfort, V'0 is the minimum speed of the leading vehicle after deceleration, and t' is The total adjustment time of the vehicle formation, t'1 is the adjustment time of the deceleration phase after the vehicle is inserted into the formation, t'2 is the adjustment time of the acceleration phase after the vehicle is inserted into the formation, X1 is the deceleration distance of the head vehicle of the vehicle formation, and X2 is the head vehicle of the formation Accelerate distance traveled.
(2)若车辆X插入原车辆编队C车辆之间,计算车辆插入后编队总调整时间t'与车辆X纵向控制加减速度用如下计算公式:(2) If the vehicle X is inserted between the vehicles of the original vehicle formation C, calculate the total adjustment time t' of the formation after the vehicle is inserted and the longitudinal control acceleration and deceleration of vehicle X using the following calculation formula:
t′=t′1+t′2t'=t'1 +t'2
Vmt′-(X1+X2)=2L-2dhVm t′-(X1 +X2 )=2L-2dh
其中,aa为受道路安全性和舒适度限制的纵向最大加速度,as为受道路安全性和舒适度限制的纵向最大减速度,V'0为头车车辆减速后最小速度,X1为车辆编队头车减速行驶距离,X2为车辆编队头车加速行驶距离,V'0x为车辆X减速后最小速度,aax为车辆X加速度,asx为车辆X减速度。Among them, aa is the maximum longitudinal acceleration limited by road safety and comfort, as is the maximum longitudinal deceleration limited by road safety and comfort, V'0 is the minimum speed of the leading vehicle after deceleration, X1 is The deceleration travel distance of the head vehicle of the vehicle formation, X2 is the acceleration travel distance of the head vehicle of the vehicle formation, V'0x is the minimum speed of the vehicle X after deceleration, aax is the acceleration of the vehicle X, and asx is the deceleration of the vehicle X.
(3)若车辆X插入当前车辆编队C后,成为尾车,计算车辆编队总调整时间t'使用如下计算公式:(3) If vehicle X is inserted into the current vehicle formation C and becomes the tail vehicle, the following formula is used to calculate the total adjustment time t' of the vehicle formation:
t′=t′1+t′2t'=t'1 +t'2
Vmt-(X1+X2)=Ld-dh-LVm t -(X1 +X2 )=Ld -dh -L
其中,aa为受道路安全性和舒适度限制的纵向最大加速度,as为受道路安全性和舒适度限制的纵向最大减速度,V'0为头车车辆减速后最小速度,t'为车辆编队总调整时间,X1为车辆编队头车减速行驶距离,X2为车辆编队头车加速行驶距离,Ld为请求换道车辆X与车辆编队C尾车车头间距。Among them, aa is the maximum longitudinal acceleration limited by road safety and comfort, as is the maximum longitudinal deceleration limited by road safety and comfort, V'0 is the minimum speed of the leading vehicle after deceleration, and t' is The total adjustment time of the vehicle formation, X1 is the deceleration distance of the head vehicle of the vehicle formation, X2 is the acceleration distance of the head vehicle of the vehicle formation, and Ld is the distance between the vehicle X requesting lane change and the rear vehicle of the vehicle formation C.
本发明与现有技术相比的优点在于:The advantage of the present invention compared with prior art is:
(1)本发明首先通过传感设备及技术获取车辆编队通行路段环境信息,根据安全换道条件确定换道车辆插入编队的位置;然后计算换道车辆插入车辆编队过程中,换道车辆与其插入位置相邻两车的加减速度、纵向控制总调整时间,换道车辆的横纵向控制加速度、换道时间,新车辆编队的总调整时间、相应车辆的加减速度大小以及加减速时间,从而实现换道车辆进入已有车辆编队并重新编队,保障编队安全,大大提高了通行效率。(1) The present invention first obtains the environmental information of the vehicle formation passage section through sensing equipment and technology, and determines the position where the lane-changing vehicle inserts into the formation according to the safe lane-changing conditions; Acceleration and deceleration of adjacent two vehicles, total adjustment time of longitudinal control, lateral and longitudinal control acceleration and lane change time of lane-changing vehicles, total adjustment time of new vehicle formation, acceleration and deceleration of corresponding vehicles, and acceleration and deceleration time, thus Realize that lane-changing vehicles enter the existing vehicle formation and re-formation to ensure the safety of the formation and greatly improve the traffic efficiency.
(2)区别于其他采用动力学分析或编队控制算法构成编队的策略,本发明根据换道车辆加入车辆编队的场景,为车辆插入编队与编队重构提供了相应控制策略,保障编队安全,在满足安全换道、舒适行驶的基础上,实现换道车辆插入已有车辆编队并形成新的编队,提高了通行效率。(2) Different from other strategies that use dynamic analysis or formation control algorithms to form formations, the present invention provides corresponding control strategies for vehicle insertion into formations and formation reconstruction according to the scene where lane-changing vehicles join vehicle formations to ensure formation safety. On the basis of satisfying safe lane changing and comfortable driving, lane changing vehicles can be inserted into existing vehicle formations and form new formations, which improves traffic efficiency.
附图说明Description of drawings
图1为本发明规划车辆初始状态示意图;Fig. 1 is a schematic diagram of the initial state of the planning vehicle of the present invention;
图2为安全换道条件示意图;Figure 2 is a schematic diagram of safe lane changing conditions;
图3为换道车辆插入车辆编队队头示意图;Fig. 3 is a schematic diagram of a lane-changing vehicle inserting into the head of a vehicle formation;
图4为换道车辆插入车辆编队队间示意图;Figure 4 is a schematic diagram of lane-changing vehicles inserted into vehicle formations;
图5为换道车辆插入车辆编队队尾示意图;Figure 5 is a schematic diagram of lane-changing vehicles inserting into the rear of the vehicle formation;
图6为本发明方法的实现流程图。Fig. 6 is a flow chart of the implementation of the method of the present invention.
具体实施方式Detailed ways
下面结合附图和实施方案对本发明进行详细的描述。应理解该实例仅用于说明本发明而不用于限制本发明的范围。The present invention will be described in detail below in conjunction with the accompanying drawings and embodiments. It should be understood that this example is only used to illustrate the present invention and not to limit the scope of the present invention.
如图6所示,本发明方法具体实施方法包括以下步骤:As shown in Figure 6, the specific implementation method of the method of the present invention comprises the following steps:
步骤1,通过传感设备及技术获取车辆编队通行路段环境信息,所述信息包括车道线、障碍物、编队车辆及请求换道车辆的运动状况数据。
步骤2,基于步骤1中采集的数据,确定换道车辆插入编队的位置。Step 2, based on the data collected in
(1)路段车辆初始状态规划。基于步骤1中采集的数据确定当前的交通流状态,规划车辆初始状态,如图1所示,自动驾驶车辆编队C以当前道路最大限速Vm行驶于A车道,此时车辆编队C中共有n辆车C1,C2...Ci...Cn,且车辆之间均保持相同的最小车头间距dh。请求换道的自动驾驶车辆X以速度Vx行驶于B车道。车辆X在某时刻tx发起换道插入车辆编队C请求。(1) The initial state planning of the road section vehicles. Determine the current traffic flow state based on the data collected in
(2)考虑决策时间计算相对距离d。自动驾驶车辆X在发出请求后,需要通过处理系统计算形成决策,最终接收指令进行车辆控制,由于在此期间存在通信延误,因此需要在确定车辆初始状态的基础上考虑决策时间,计算请求换道车辆X与当前车辆编队C头车C1沿车道线的纵向距离:(2) Consider the decision time to calculate the relative distance d. After the autonomous driving vehicle X sends out the request, it needs to calculate and form a decision through the processing system, and finally receive the instruction to control the vehicle. Due to the communication delay during this period, it is necessary to consider the decision-making time on the basis of determining the initial state of the vehicle, and calculate the requested lane change. The longitudinal distance between vehicle X and the head vehicleC1 of the current vehicle formation C along the lane line:
d=(Vm-Vx)·Δt+d0d=(Vm -Vx )·Δt+d0
d0=x1-xxd0 =x1 -xx
其中,d为请求换道车辆X与当前车辆编队C头车C1沿车道线纵向相对距离,Vm为道路最大限速,Vx为请求换道车辆X行驶速度,Δt为决策时间,d0为当前车辆编队C头车C1沿车道线前进方向坐标x1与请求换道车辆X坐标xx之差。Among them, d is the longitudinal relative distance between the vehicle X requesting to change lanes and the head vehicle C1 of the current vehicle formation C along the lane line, Vm is the maximum speed limit of the road, Vx is the driving speed of vehicle X requesting to change lanes, Δt is the decision time, d0 is the difference between the coordinate x1 of the head car C1 of the current vehicle formation C along the lane line and the X coordinate xx of the vehicle requesting to change lanes.
(3)安全换道条件。为保证车辆X换道安全,换道环境需满足约束条件:即目标车道前后的三车位空间内没有车,视为安全换道环境,如图2所示,此时车辆满足换道条件。(3) Conditions for safe lane change. In order to ensure the safety of vehicle X changing lanes, the lane changing environment needs to meet the constraint conditions: that is, there are no cars in the three-space space before and after the target lane, which is regarded as a safe lane changing environment, as shown in Figure 2, and the vehicle meets the lane changing conditions at this time.
(4)首先根据安全换道条件判断车辆X是否满足成为车辆编队C头车的条件,如图3所示,此时换道车辆能够在满足安全换道条件下插入当前车辆编队C成为头车。由于车辆编队以速度Vm行进,因此车辆X应当处于车辆编队C头车前方且能够满足进入车辆编队条件,即:(4) First, judge whether vehicle X satisfies the condition of becoming the leader of vehicle formation C according to the safe lane changing conditions, as shown in Figure 3, at this time, the lane changing vehicle can be inserted into the current vehicle formation C to become the leading vehicle under the condition of safe lane changing . Since the vehicle formation is moving at a speed ofVm , the vehicle X should be in front of the head vehicle of the vehicle formation C and be able to meet the conditions for entering the vehicle formation, namely:
其中,aa为受道路安全性和舒适度限制的纵向最大加速度,L为自动驾驶车辆的标准车长。Among them, aa is the maximum longitudinal acceleration limited by road safety and comfort, and L is the standard length of the autonomous vehicle.
若车辆X能够满足上述要求,则采取车辆X插入当前车辆编队C头车前,成为车辆编队头车的策略。If vehicle X can meet the above requirements, then adopt the strategy of inserting vehicle X in front of the leader of the current vehicle formation C and become the leader of the vehicle formation.
(5)若无法满足(4)中的换道条件,则车辆X是否满足成为车辆编队C头车的条件,根据安全换道条件判断车辆X是否满足插入车辆编队前两辆车C1和C2之间,即成为目前车辆编队C中车辆C2前车的条件。依然考虑目标车道前后的三车位空间,当没有车时,可以视为安全换道环境,如图4所示,换道车辆能够在满足安全换道条件下插入当前车辆编队C两辆车C1和C2之间。由于车辆编队以速度Vm行进,因此车辆X应当满足换道进入车辆编队条件,即:(5) If the lane-changing condition in (4) cannot be satisfied, whether vehicle X satisfies the condition of becoming the C leader of the vehicle formation, and judges whether the vehicle X satisfies the two vehicles C1 and C before being inserted into the vehicle formation according to the safe lane-changing condition2 , it becomes the condition that the vehicle C2 in the current vehicle formation C is the vehicle ahead. Still considering the space of three parking spaces before and after the target lane, when there is no car, it can be regarded as a safe lane changing environment, as shown in Figure 4, a lane changing vehicle can be inserted into the current vehicle formation C and two cars C1 under the condition of safe lane changing andC2 between. Since the vehicle formation is traveling at the speedVm , the vehicle X should meet the conditions for changing lanes and entering the vehicle formation, namely:
若车辆X能够满足上述要求,则采用车辆X插入车辆编队前两辆车C1和C2之间成为车辆编队C中车辆C2前车的策略。If vehicle X can meet the above requirements, then adopt the strategy that vehicle X inserts between thetwo vehiclesC1 andC2 before the vehicle formation to become the vehicle ahead of vehicle C2 in the vehicle formation C.
若无法满足上述判断条件,则继续判断车辆X是否满足插入车辆编队前两辆车C2和C3之间,即成为目前车辆编队C中车辆C3的前车。此时车辆X应当满足换道进入车辆编队条件,即:If the above judgment conditions cannot be met, continue to judge whether the vehicle X satisfies insertion between thetwo vehicles C2 and C3 before the vehicle formation, that is, becomes the vehicle aheadof vehicleC3 in the current vehicle formation C. At this time, vehicle X should meet the conditions for changing lanes and entering vehicle formation, namely:
其中,dh为车辆编队C中车辆的车头间距最小安全距离。Among them, dh is the minimum safety distance between vehicles in vehicle formation C.
若车辆X能够满足上述要求,则采取车辆X插入车辆编队前两辆车C2和C3之间成为车辆编队C中车辆C3前车的策略。If the vehicle X can meet the above requirements, then adopt the strategyof inserting the vehicle X between thetwo vehicles C2 and C3 before the vehicle formation to become the vehicle aheadof the vehicle C3 in the vehicle formation C.
若无法满足上述判断条件,则以此类推,继续判断车辆X是否满足插入车辆编队第i辆车和第i+1辆车Ci和Ci+1之间,即成为目前车辆编队C中车辆Ci的前车。此时车辆X应当满足换道进入车辆编队条件,即:If the above judgment conditions cannot be met, continue to judge whether the vehicle X is inserted between the i-th vehicle and the i+1-th vehicle Ci and Ci+1 in the vehicle formation by analogy, that is, it becomes the vehicle in the current vehicle formation C Ci 's front car. At this time, vehicle X should meet the conditions for changing lanes and entering vehicle formation, namely:
其中,i为从1到n-1的正整数变量,n为车辆编队C车辆数。Among them, i is a positive integer variable from 1 to n-1, and n is the number of vehicles in vehicle formation C.
若车辆X能够满足上述要求,则采取车辆X插入车辆编队前两辆车Ci和Ci+1之间成为车辆编队C中车辆Ci+1前车的策略,直到i=n-1为止。If vehicle X can meet the above requirements, the strategy of inserting vehicle X between the two vehicles Ci and Ci+1 in front of the vehicle formation to become the vehicle in front of vehicle Ci+1 in vehicle formation C is adopted until i=n-1 .
(6)若直到i=n-1仍无法满足上述判断条件,则车辆X不满足插入当前车辆编队C头车前和车辆编队间的条件,采取车辆X插入当前车辆编队C尾车Cn后成为尾车的策略。考虑目标车道前后的三车位空间内没有车时,可以视为安全换道环境,如图5所示,换道车辆能够在满足安全换道条件下插入当前车辆编队C车辆Cn后成为尾车,即:(6) If the above judgment conditions cannot be satisfied until i=n-1, then the vehicle X does not meet the conditions of being inserted into the front of the current vehicle formation C and between the vehicle formations, and the vehicle X is inserted into the current vehicle formation C after the tail vehicle Cn Be the tail car strategy. Considering that there are no cars in the three-space space before and after the target lane, it can be regarded as a safe lane-changing environment. As shown in Figure 5, a lane-changing vehicle can be inserted into the current vehicle formation C vehicleCn and become the tail car under the condition of safe lane-changing ,which is:
至此得到不同情况下换道车辆插入车辆编队的位置策略。So far, the location strategy of lane-changing vehicles inserted into vehicle formations under different circumstances has been obtained.
步骤3,基于步骤2中所确定的换道车辆插入编队位置,进行车辆运动纵向控制使得换道车辆到达纵向插入编队位置。Step 3: Based on the insertion formation position of the lane-changing vehicle determined in step 2, longitudinal control of vehicle movement is performed so that the lane-changing vehicle reaches the longitudinal insertion formation position.
(1)首先若换道车辆插入编队策略为插入当前车辆编队C成为头车,控制插入车辆均采取最大加减速度,使得车辆X在加速后与当前车辆编队C头车C1车头间距保持在2L。计算公式如下:(1) First, if the lane-changing vehicle inserts formation strategy to insert the current vehicle formation C to become the leading vehicle, control the insertion vehicle to adopt the maximum acceleration and deceleration speed, so that the distance between the vehicle X and the leading vehicle C1 of the current vehicle formation C after acceleration is maintained at 2L. Calculated as follows:
S=Vmt+2L-dS=Vm t+2L-d
其中,ax为请求换道车辆所需加速度,S为请求换道车辆X满足换道条件所应行驶的距离。Among them, ax is the required acceleration of the vehicle requesting to change lanes, and S is the distance that the vehicle X that requests to change lanes should travel to meet the conditions for changing lanes.
由此联立可解得换道车辆X所需加速度ax。From this combination, the required acceleration ax of the lane-changing vehicle X can be obtained.
(2)若换道车辆插入编队策略为插入车辆编队第i辆车和第i+1辆车Ci和Ci+1之间,则控制车辆均采取最大加减速度,使得在第i+1辆车减速后加速达到Vm的过程中,第i辆车与i+1辆车间距扩大为三车位空间3L,即:(2) If the lane-changing vehicle is inserted into the formation strategy to insert between the i-th vehicle and the i+1-th vehicle Ci and Ci+1 in the vehicle formation, the control vehicle adopts the maximum acceleration and deceleration, so that the i+th vehicle When one car accelerates to Vm after deceleration, the distance between the i-th car and the i+1 car expands to a three-parking space of 3L, namely:
D=D1+D2D=D1 +D2
t=t1+t2t=t1 +t2
Vmt-(D1+D2)=3LVm t - (D1 +D2 ) = 3L
S=Vxt-2L+n(L+d)+dS=Vx t-2L+n(L+d)+d
其中,aa为受道路安全性和舒适度限制的纵向最大加速度,as为受道路安全性和舒适度限制的纵向最大减速度,V0为车辆减速后最小速度,t为车辆编队总调整时间,t1为车辆编队减速阶段调整时间,t2为车辆编队加速阶段调整时间,D为第i+1辆车及其后车在调整时间内行驶的距离,D1为第i+1辆车及其后车在调整时间内减速阶段行驶距离,D2为第i+1辆车及其后车在调整时间内加速阶段行驶距离,S为请求换道车辆X满足安全换道条件所应行驶的距离。Among them, aa is the maximum longitudinal acceleration limited by road safety and comfort, as is the maximum longitudinal deceleration limited by road safety and comfort,V0 is the minimum speed of vehicles after deceleration, and t is the total adjustment of vehicle formation Time, t1 is the adjustment time of vehicle formation deceleration phase, t2 is the adjustment time of vehicle formation acceleration phase, D is the distance traveled by the i+1th vehicle and the vehicles behind it within the adjustment time, D1 is the i+1th vehicle D2 is the traveling distance of the i+1th vehicle and its following vehicle during the acceleration phase within the adjustment time, and S is the time required for the vehicle X to change lanes to meet the safe lane-changing conditions. distance traveled.
由此联立可解得对应情况下换道车辆X所需加速度ax。From this simultaneous solution, the required acceleration ax of the lane-changing vehicle X in the corresponding situation can be obtained.
(3)若换道车辆插入编队策略为插入当前车辆编队C尾车Cn后成为尾车,控制车辆均采取最大加减速度,使得尾车Cn与车辆X车头间距为2L,即:(3) If the lane-changing vehicle insertion strategy is to insert the current vehicle formation C tail car Cn and become the tail car, the control vehicles adopt the maximum acceleration and deceleration, so that the distance between the tail car Cn and the vehicle X front is 2L, that is:
S=Vmt+d0-(n+1)L-(n-1)dS=Vm t+d0 -(n+1)L-(n-1)d
其中,ax为请求换道车辆所需加速度,aa为受道路安全性和舒适度限制的纵向最大加速度,as为受道路安全性和舒适度限制的纵向最大减速度,V0为车辆减速后最小速度,t1为车辆编队减速阶段调整时间,t2为车辆编队加速阶段调整时间,t为车辆编队总调整时间,D1为第i+1辆车及其后车在调整时间内减速阶段行驶距离,D2为第i+1辆车及其后车在调整时间内加速阶段行驶距离,D为第i+1辆车及其后车在调整时间内总行驶距离,S为请求换道车辆X满足安全换道条件所应行驶的距离,n为车辆编队C车辆数。Among them, ax is the acceleration required by the vehicle requesting to change lanes, aa is the maximum longitudinal acceleration limited by road safety and comfort, as is the maximum longitudinal deceleration limited by road safety and comfort, V0 is the vehicle The minimum speed after deceleration,t1 is the adjustment time of the deceleration phase of the vehicle formation,t2 is the adjustment time of the vehicle formation acceleration phase, t is the total adjustment time of the vehicle formation, and D1 is the adjustment time of the i+1th vehicle and the following vehicles The driving distance in the deceleration phase, D2 is the driving distance of the i+ 1th vehicle and its following vehicles in the acceleration phase within the adjustment time, D is the total driving distance of the i+1th vehicle and its following vehicles within the adjustment time, S is the request The lane-changing vehicle X should travel the distance to meet the safe lane-changing conditions, and n is the number of vehicles in the vehicle formation C.
由此联立可解得对应情况下车辆X所需加速度ax。若请求换道车辆X加速至Vm后仍不满足换道条件,则匀速等待,直到满足换道安全条件后再进行换道。The acceleration ax required by the vehicle X in the corresponding situation can be obtained through the simultaneous solution. If the lane-changing vehicle X still does not meet the lane-changing conditions after accelerating toVm , it waits at a constant speed until the lane-changing safety conditions are satisfied before changing lanes.
至此可得到换道车辆插入编队不同位置情况下车辆运动纵向控制策略。So far, the vehicle motion longitudinal control strategy can be obtained when the lane-changing vehicle is inserted into different positions of the formation.
步骤4,基于步骤3中换道车辆到达纵向插入编队位置,进行车辆运动横向控制形成换道车辆插入后的编队。Step 4: Based on the arrival of the lane-changing vehicle at the longitudinal insertion formation position in step 3, the lateral control of vehicle movement is performed to form the formation after the lane-changing vehicle is inserted.
(1)在换道车辆X根据步骤3进行车辆运动纵向控制的的同时进行横向靠边控制,使得换道车辆X车身在车辆编队调整时间内与车道线相切,在保证安全换道距离的前提下提高换道效率,计算横向加速度al公式如下:(1) When the lane-changing vehicle X is controlling the longitudinal movement of the vehicle according to step 3, lateral side-by-side control is performed at the same time, so that the body of the lane-changing vehicle X is tangent to the lane line within the vehicle formation adjustment time, on the premise of ensuring a safe lane-changing distance To improve the lane changing efficiency, the formula for calculating the lateral acceleration al is as follows:
其中,l为车道宽度,W为换道自动驾驶车辆的标准车身宽度,al为受道路安全性和舒适度限制的横向最大加速度,t为车辆编队总调整时间。Among them, l is the width of the lane, W is the standard body width of the lane-changing automatic driving vehicle, al is the maximum lateral acceleration limited by road safety and comfort, and t is the total adjustment time of the vehicle formation.
(2)在换道车辆X车身在车辆编队调整时间内与车道线相切后,使得换道车辆X以最短时间到达A车道中轴线,即:(2) After the body of the lane-changing vehicle X is tangent to the lane line within the vehicle formation adjustment time, the lane-changing vehicle X can reach the central axis of lane A in the shortest time, namely:
τ=τ1+τ2τ=τ1 +τ2
其中,τ1为请求换道车辆横向控制加速时间,τ2为请求换道车辆横向控制减速时间,τ为请求换道车辆换道时间,al为受道路安全性和舒适度限制的横向最大加速度,am为受道路安全性和舒适度限制的横向最大减速度,t为车辆编队总调整时间。Among them, τ1 is the lateral control acceleration time of the vehicle requesting lane change, τ2 is the lateral control deceleration time of the vehicle requesting lane change, τ is the lane change time of the vehicle requesting lane change, al is the lateral maximum limit limited by road safety and comfort Acceleration, am is the maximum lateral deceleration limited by road safety and comfort, t is the total adjustment time of vehicle formation.
由此联立可解得请求换道车辆X换道所需时间τ。From this, the time τ required for the lane-changing vehicle X to request lane-changing can be obtained through simultaneous solution.
步骤5:对步骤4中换道车辆插入后的编队再次进行车辆运动纵向控制,使得车辆减速后加速达到道路最大限速Vm,且车辆插入后车辆编队的车头间距均保持最小安全距离dh,车辆编队C恢复最初行驶状态:Step 5: Carry out longitudinal control of the vehicle motion again on the formation after the lane-changing vehicle is inserted in step 4, so that the vehicle accelerates to the maximum road speed limit Vm after deceleration, and the distance between the heads of the vehicle formation after the vehicle is inserted maintains the minimum safe distance dh , the vehicle formation C resumes its original driving state:
(1)若车辆X插入第一辆车前进入车辆编队成为头车,则仅对车辆X进行纵向控制,使得车辆编队保持相同车头间距dh:(1) If vehicle X enters the vehicle formation and becomes the head vehicle before inserting the first vehicle, only longitudinal control is performed on vehicle X, so that the vehicle formation maintains the same head-to-head distance dh :
t′=t′1+t′2t'=t'1 +t'2
Vmt-(X1+X2)=L-dhVm t - (X1 +X2 ) = Ldh
其中,aa为受道路安全性和舒适度限制的纵向最大加速度,as为受道路安全性和舒适度限制的纵向最大减速度,V'0为头车车辆减速后最小速度,t'为车辆编队总调整时间,t'1为车辆插入编队后减速阶段调整时间,t'2为车辆插入编队后加速阶段调整时间,X1为车辆编队头车减速行驶距离,X2为车辆编队头车加速行驶距离。Among them, aa is the maximum longitudinal acceleration limited by road safety and comfort, as is the maximum longitudinal deceleration limited by road safety and comfort, V'0 is the minimum speed of the leading vehicle after deceleration, and t' is The total adjustment time of the vehicle formation, t'1 is the adjustment time of the deceleration phase after the vehicle is inserted into the formation, t'2 is the adjustment time of the acceleration phase after the vehicle is inserted into the formation, X1 is the deceleration distance of the head vehicle of the vehicle formation, and X2 is the head vehicle of the formation Accelerate distance traveled.
由此联立可解得新车辆编队总调整时间t'。From this combination, the total adjustment time t' of the new vehicle formation can be obtained.
(2)若车辆X插入原车辆编队C车辆之间,则对车辆编队头车及车辆X进行纵向控制,使得车辆编队保持相同车头间距dh:(2) If the vehicle X is inserted between the vehicles of the original vehicle formation C, longitudinal control is performed on the head vehicle of the vehicle formation and the vehicle X, so that the vehicle formation maintains the same distance dh between the heads:
t′=t′1+t′2t'=t'1 +t'2
Vmt′-(X1+X2)=2L-2dhVm t′-(X1 +X2 )=2L-2dh
其中,aa为受道路安全性和舒适度限制的纵向最大加速度,as为受道路安全性和舒适度限制的纵向最大减速度,V'0为头车车辆减速后最小速度,X1为车辆编队头车减速行驶距离,X2为车辆编队头车加速行驶距离,V'0x为车辆X减速后最小速度,aax为车辆X加速度,asx为车辆X减速度。Among them, aa is the maximum longitudinal acceleration limited by road safety and comfort, as is the maximum longitudinal deceleration limited by road safety and comfort, V'0 is the minimum speed of the leading vehicle after deceleration, X1 is The deceleration travel distance of the head vehicle of the vehicle formation, X2 is the acceleration travel distance of the head vehicle of the vehicle formation, V'0x is the minimum speed of the vehicle X after deceleration, aax is the acceleration of the vehicle X, and asx is the deceleration of the vehicle X.
由此联立可解得新车辆编队总调整时间t'和车辆X纵向控制加减速度。From this, the total adjustment time t' of the new vehicle formation and the vehicle X longitudinal control acceleration and deceleration can be obtained simultaneously.
(3)若车辆X插入最后一辆车后进入车辆编队成为尾车,则对车辆编队头车进行纵向控制,使得车辆编队保持相同车头间距dh:(3) If vehicle X is inserted into the last vehicle and enters the vehicle formation to become the tail vehicle, longitudinal control is performed on the head vehicle of the vehicle formation, so that the vehicle formation maintains the same head distance dh :
t′=t′1+t′2t'=t'1 +t'2
Vmt-(X1+X2)=Ld-dh-LVm t -(X1 +X2 )=Ld -dh -L
其中,aa为受道路安全性和舒适度限制的纵向最大加速度,as为受道路安全性和舒适度限制的纵向最大减速度,V'0为头车车辆减速后最小速度,X1为车辆编队头车减速行驶距离,X2为车辆编队头车加速行驶距离,Ld为请求换道车辆X与车辆编队C尾车车头间距。Among them, aa is the maximum longitudinal acceleration limited by road safety and comfort, as is the maximum longitudinal deceleration limited by road safety and comfort, V'0 is the minimum speed of the leading vehicle after deceleration, X1 is The deceleration driving distance of the head vehicle of the vehicle formation, X2 is the acceleration driving distance of the head vehicle of the vehicle formation, and Ld is the distance between the vehicle X requesting to change lanes and the rear vehicle of the vehicle formation C.
由此联立可解得车辆插入编队后的总调整时间t'。From this combination, the total adjustment time t' after the vehicles are inserted into the formation can be obtained.
步骤6:对下一辆请求进入车辆编队C的车辆重复步骤2,3,4,5计算过程,确定换道车辆插入队列位置及控制策略,实现换道车辆插入车辆编队并完成车辆编队重构。Step 6: Repeat the calculation process of steps 2, 3, 4, and 5 for the next vehicle requesting to enter the vehicle formation C, determine the insertion position and control strategy of the lane-changing vehicle, realize the insertion of the lane-changing vehicle into the vehicle formation and complete the vehicle formation reconstruction .
以上步骤详细的描述了本发明的实施过程,但本发明不限于上述实施方式中的具体细节。凡在本发明的构思范围内,都不应排除在本发明的保护范围之外。The above steps describe the implementation process of the present invention in detail, but the present invention is not limited to the specific details in the above embodiments. Anything within the conceived scope of the present invention shall not be excluded from the protection scope of the present invention.
| Application Number | Priority Date | Filing Date | Title |
|---|---|---|---|
| CN202211002792.7ACN115273450B (en) | 2022-08-19 | 2022-08-19 | A lane-changing method for vehicles entering a formation in a connected autonomous driving environment |
| Application Number | Priority Date | Filing Date | Title |
|---|---|---|---|
| CN202211002792.7ACN115273450B (en) | 2022-08-19 | 2022-08-19 | A lane-changing method for vehicles entering a formation in a connected autonomous driving environment |
| Publication Number | Publication Date |
|---|---|
| CN115273450Atrue CN115273450A (en) | 2022-11-01 |
| CN115273450B CN115273450B (en) | 2023-10-17 |
| Application Number | Title | Priority Date | Filing Date |
|---|---|---|---|
| CN202211002792.7AActiveCN115273450B (en) | 2022-08-19 | 2022-08-19 | A lane-changing method for vehicles entering a formation in a connected autonomous driving environment |
| Country | Link |
|---|---|
| CN (1) | CN115273450B (en) |
| Publication number | Priority date | Publication date | Assignee | Title |
|---|---|---|---|---|
| CN116311863A (en)* | 2022-11-29 | 2023-06-23 | 北京航空航天大学 | A vehicle formation control method for intersection connecting road sections under automatic driving environment |
| CN116311867A (en)* | 2023-01-18 | 2023-06-23 | 东南大学 | Multi-vehicle collaborative lane changing method based on intelligent network vehicle linkage queue control |
| CN119541263A (en)* | 2024-10-12 | 2025-02-28 | 长沙理工大学 | A road section priority control method for emergency vehicles considering networked autonomous driving dedicated lanes |
| Publication number | Priority date | Publication date | Assignee | Title |
|---|---|---|---|---|
| JP2019159428A (en)* | 2018-03-07 | 2019-09-19 | 本田技研工業株式会社 | Vehicle control device, vehicle control method and program |
| WO2020129633A1 (en)* | 2018-12-19 | 2020-06-25 | 株式会社日立製作所 | Vehicle operation control device and vehicle operation control method |
| CN111746539A (en)* | 2020-07-02 | 2020-10-09 | 清华大学 | A method for strict and safe lane change and queuing control for intelligent networked vehicles |
| US20210264794A1 (en)* | 2021-05-03 | 2021-08-26 | Intel Corporation | Cooperative adaptive cruise control (cacc) system for control of connected and autonomous vehicle (cav) platoons |
| CN113870581A (en)* | 2021-09-28 | 2021-12-31 | 长安大学 | Control method for driving unmanned vehicle into road |
| CN114187755A (en)* | 2021-12-14 | 2022-03-15 | 上海平可行智能科技有限公司 | Vehicle formation control method |
| WO2022063331A1 (en)* | 2020-09-25 | 2022-03-31 | 金龙联合汽车工业(苏州)有限公司 | V2x-based formation driving networked intelligent passenger vehicle |
| CN114475596A (en)* | 2022-02-22 | 2022-05-13 | 青岛德智汽车科技有限公司 | Intelligent networking queue robust control method for ensuring safety in lane changing scene |
| CN114863668A (en)* | 2022-04-29 | 2022-08-05 | 北京主线科技有限公司 | Vehicle formation driving control method and device and electronic equipment |
| Publication number | Priority date | Publication date | Assignee | Title |
|---|---|---|---|---|
| JP2019159428A (en)* | 2018-03-07 | 2019-09-19 | 本田技研工業株式会社 | Vehicle control device, vehicle control method and program |
| WO2020129633A1 (en)* | 2018-12-19 | 2020-06-25 | 株式会社日立製作所 | Vehicle operation control device and vehicle operation control method |
| CN111746539A (en)* | 2020-07-02 | 2020-10-09 | 清华大学 | A method for strict and safe lane change and queuing control for intelligent networked vehicles |
| WO2022063331A1 (en)* | 2020-09-25 | 2022-03-31 | 金龙联合汽车工业(苏州)有限公司 | V2x-based formation driving networked intelligent passenger vehicle |
| US20210264794A1 (en)* | 2021-05-03 | 2021-08-26 | Intel Corporation | Cooperative adaptive cruise control (cacc) system for control of connected and autonomous vehicle (cav) platoons |
| CN113870581A (en)* | 2021-09-28 | 2021-12-31 | 长安大学 | Control method for driving unmanned vehicle into road |
| CN114187755A (en)* | 2021-12-14 | 2022-03-15 | 上海平可行智能科技有限公司 | Vehicle formation control method |
| CN114475596A (en)* | 2022-02-22 | 2022-05-13 | 青岛德智汽车科技有限公司 | Intelligent networking queue robust control method for ensuring safety in lane changing scene |
| CN114863668A (en)* | 2022-04-29 | 2022-08-05 | 北京主线科技有限公司 | Vehicle formation driving control method and device and electronic equipment |
| Title |
|---|
| RAJESH RAJAMANI等: "Demonstration of Integrated Longitudinal and Lateral Control for the Operation of Automated Vehicles in Platoons", IEEE TRANSACTIONS ON CONTROL SYSTEMS TECHNOLOGY, vol. 8, no. 4, XP011013588* |
| 张荣辉;游峰;初鑫男;郭烈;何兆成;王荣本;: "车-车协同下无人驾驶车辆的换道汇入控制方法", 中国公路学报, no. 04* |
| Publication number | Priority date | Publication date | Assignee | Title |
|---|---|---|---|---|
| CN116311863A (en)* | 2022-11-29 | 2023-06-23 | 北京航空航天大学 | A vehicle formation control method for intersection connecting road sections under automatic driving environment |
| CN116311863B (en)* | 2022-11-29 | 2024-05-10 | 北京航空航天大学 | Intersection connection road section vehicle formation control method under automatic driving environment |
| CN116311867A (en)* | 2023-01-18 | 2023-06-23 | 东南大学 | Multi-vehicle collaborative lane changing method based on intelligent network vehicle linkage queue control |
| CN116311867B (en)* | 2023-01-18 | 2024-03-19 | 东南大学 | A multi-vehicle collaborative lane-changing method based on intelligent networked vehicle queue control |
| CN119541263A (en)* | 2024-10-12 | 2025-02-28 | 长沙理工大学 | A road section priority control method for emergency vehicles considering networked autonomous driving dedicated lanes |
| Publication number | Publication date |
|---|---|
| CN115273450B (en) | 2023-10-17 |
| Publication | Publication Date | Title |
|---|---|---|
| CN109035862B (en) | A multi-vehicle cooperative lane changing control method based on vehicle-vehicle communication | |
| CN109501799B (en) | Dynamic path planning method under condition of Internet of vehicles | |
| CN115273450B (en) | A lane-changing method for vehicles entering a formation in a connected autonomous driving environment | |
| CN110597245B (en) | A lane changing trajectory planning method for autonomous driving based on quadratic programming and neural network | |
| CN114013443B (en) | Automatic driving vehicle lane change decision control method based on hierarchical reinforcement learning | |
| CN108387242B (en) | An integrated trajectory planning method for autonomous driving lane change preparation and execution | |
| CN108447266B (en) | An intelligent networked vehicle collaborative lane change and queuing control method | |
| CN106926844B (en) | A kind of dynamic auto driving lane-change method for planning track based on real time environment information | |
| CN115257746B (en) | A lane-changing decision control method for autonomous driving vehicles considering uncertainty | |
| CN110286681B (en) | Dynamic automatic driving track-changing planning method for curvature-variable curve | |
| CN115140094B (en) | Real-time lane change decision method based on longitudinal safety interval model | |
| CN110329263A (en) | The adaptive lane-change method for planning track of automatic driving vehicle | |
| CN110304074A (en) | A Hybrid Driving Method Based on Hierarchical State Machine | |
| CN112965476A (en) | High-speed unmanned vehicle trajectory planning system and method based on multi-window sampling | |
| CN114613142B (en) | A rule-based lane-changing control method for autonomous vehicles at intersections | |
| CN112820126B (en) | A right-of-way priority operation control and simulation method for a non-intrusive guided transport vehicle | |
| CN114999227B (en) | Non-signal control intersection mixed multi-vehicle model-free prediction cooperative control method | |
| CN115042770A (en) | A Vehicle Queue Lateral Control Method Based on Distributed Robust Model Prediction | |
| CN111081069B (en) | A Vehicle Trajectory Control Method in the Bottleneck Area of Expressway | |
| CN113011634A (en) | Intelligent network connection ramp merging method based on distributed optimal control | |
| Tang et al. | Integrated decision making and planning framework for autonomous vehicle considering uncertain prediction of surrounding vehicles | |
| CN111325975A (en) | Centralized optimization coordination method of intelligent networked vehicles in afflux entrance area | |
| Canosa et al. | Computationally-efficient fuel-economic high-level controller design for a group of connected vehicles in urban roads | |
| CN116520832B (en) | A speed and density planning method for clusters traversing virtual pipes | |
| CN118372827A (en) | Intelligent network-connected vehicle lane change track dynamic optimization control method, system, computer and storage medium based on game theory |
| Date | Code | Title | Description |
|---|---|---|---|
| PB01 | Publication | ||
| PB01 | Publication | ||
| SE01 | Entry into force of request for substantive examination | ||
| SE01 | Entry into force of request for substantive examination | ||
| GR01 | Patent grant | ||
| GR01 | Patent grant |