

技术领域technical field
本发明涉及电力价格的预警技术领域,尤其涉及一种电力价格的预警方法、 装置、计算机可读存储介质及系统。The present invention relates to the technical field of electric power price early warning, in particular to a power price early warning method, device, computer-readable storage medium and system.
背景技术Background technique
电网调度管理是指为确保电网安全、优质、经济地运行,电网调度机构依据 有关规定对电网的生产运行、电网调度系统以及人员职务活动所进行的管理。它 一般包括调度运行管理、调度计划管理、继电保护和安全自动装置管理、电网调 度自动化管理、电力通信管理、水电厂水库调度管理、电力系统人员培训管理等。 天然气市场在当前全球能源转向低碳、零碳发展的背景下对推动能源市场的发展 具有重要作用,天然气领域在未来将得到巨大的发展空间。然而近年来全球范围 频发的天然气、电力市场价格风险事件让各国意识到研究天然气价格与电力价格 的联动机理具有重大意义,考虑气价波动影响的电价预警研究具有重要意义。气 电价格间的联动关系可以反映气电市场间稳定的内在机制,进而为电价预警研究 提供判断依据。Power grid dispatch management refers to the management of power grid production and operation, power grid dispatching system and personnel job activities by power grid dispatching organizations in accordance with relevant regulations in order to ensure safe, high-quality, and economical operation of the power grid. It generally includes dispatching operation management, dispatching plan management, relay protection and safety automatic device management, power grid dispatching automation management, power communication management, hydropower plant reservoir dispatching management, power system personnel training management, etc. The natural gas market plays an important role in promoting the development of the energy market under the background of the current global energy transition to low-carbon and zero-carbon development, and the natural gas field will have huge room for development in the future. However, in recent years, the frequent price risk events in natural gas and electricity markets around the world have made countries realize that it is of great significance to study the linkage mechanism between natural gas prices and electricity prices, and it is of great significance to study the early warning of electricity prices considering the impact of gas price fluctuations. The linkage relationship between gas and electricity prices can reflect the internal mechanism of the stability of the gas and electricity market, and then provide a basis for judging the electricity price early warning research.
在现有技术中,通常根据电价而对电网的电力资源进行调度。In the prior art, the power resources of the grid are usually dispatched according to the power price.
但是,现有技术仍存在如下缺陷:电力价格预警的考虑因素较为单一,且未 考虑和天然气价格的联动作用,从而使得电价的预测准确度较差,进而使得调度 效率较差。However, the existing technology still has the following defects: the consideration factors of the electricity price warning are relatively single, and the linkage effect with the natural gas price is not considered, which makes the prediction accuracy of the electricity price poor, and makes the dispatching efficiency poor.
因此,当前需要一种电力价格的预警方法、装置、计算机可读存储介质以及 系统,从而克服现有技术中存在的上述缺陷。Therefore, there is a current need for an early warning method, device, computer-readable storage medium and system for electricity prices, so as to overcome the above-mentioned defects in the prior art.
发明内容Contents of the invention
本发明实施例提供一种电力价格的预警方法、装置、计算机可读存储介质以 及系统,从而提升电力价格的预警准确性,从而为提升调度效率提供数据支持。Embodiments of the present invention provide a power price early warning method, device, computer-readable storage medium, and system, thereby improving the accuracy of power price early warning, thereby providing data support for improving scheduling efficiency.
本发明一实施例提供一种电力价格的预警方法,所述预警方法包括:获取电 力市场价格数据以及天然气市场价格数据,对所述电力市场价格数据以及所述天 然气市场价格数据进行平稳性校验,在通过平稳性校验时,对所述电力市场价格 数据以及所述天然气市场价格数据进行协整校验,获取协整校验预测结果;在协 整校验通过时,根据所述电力市场价格数据以及所述天然气市场价格数据,构建 气电向量自回归模型,并根据所述气电向量自回归模型、所述电力市场价格数据 以及所述天然气市场价格数据,计算模型预测结果;根据预设的价格波动计算公 式、所述协整校验预测结果以及所述模型预测结果,计算电力价格的价格波动, 并在所述价格波动超过预设的波动阈值时,进行电力价格预警。An embodiment of the present invention provides an early warning method for electricity prices, the early warning method includes: acquiring electricity market price data and natural gas market price data, and performing a stationarity check on the electricity market price data and the natural gas market price data , when the stationarity check is passed, cointegration check is performed on the electricity market price data and the natural gas market price data to obtain the cointegration check prediction result; when the cointegration check is passed, according to the power market price data and the natural gas market price data, build a gas-electricity vector autoregressive model, and calculate model prediction results according to the gas-electricity vector autoregressive model, the electricity market price data, and the natural gas market price data; The price fluctuation calculation formula, the prediction result of the co-integration verification and the prediction result of the model are set to calculate the price fluctuation of the power price, and when the price fluctuation exceeds the preset fluctuation threshold, an early warning of the power price is carried out.
作为上述方案的改进,所述预警方法还包括:根据所述电力市场价格数据以 及所述天然气市场价格数据,对气价和电价进行格兰杰因果检验,并根据检验结 果,判断所述气价和所述电价是否相互影响;当判断认为所述气价和所述电价相 互影响时,根据所述气电向量自回归模型、所述电力市场价格数据以及所述天然 气市场价格数据,对所述气价和电价进行脉冲相应动态分析,分别判断所述气价 和所述电价在发生脉冲波动时,是否会相应对所述电价和所述气价产生动态影 响;若是,则以预设的贡献度分析方法,量化分析气价和电价对于电力系统的影 响以获取气价贡献度以及电价贡献度,并根据所述气价贡献度以及所述电价贡献 度,分析获得气电价格动态变化情况。As an improvement to the above scheme, the early warning method further includes: performing a Granger causality test on the gas price and electricity price according to the electricity market price data and the natural gas market price data, and judging the gas price according to the test results and the electricity price interact with each other; when it is judged that the gas price and the electricity price interact with each other, according to the gas-electricity vector autoregressive model, the electricity market price data and the natural gas market price data, the The pulse response dynamic analysis of the gas price and the electricity price is carried out to determine whether the gas price and the electricity price will have a corresponding dynamic impact on the electricity price and the gas price when pulse fluctuations occur; if so, the preset contribution The degree analysis method quantitatively analyzes the impact of gas price and electricity price on the power system to obtain gas price contribution degree and electricity price contribution degree, and analyzes and obtains the dynamic change of gas price and electricity price according to the gas price contribution degree and the electricity price contribution degree.
作为上述方案的改进,对所述电力市场价格数据以及所述天然气市场价格数 据进行平稳性校验,具体包括:根据预设的电价回归方程、预设的气价回归方程 以及单位根检验方程,分别对电价和气价进行平稳性校验。As an improvement of the above scheme, the stationarity check is performed on the electricity market price data and the natural gas market price data, specifically including: according to the preset electricity price regression equation, the preset gas price regression equation and the unit root test equation, The stationarity check of electricity price and gas price is carried out separately.
作为上述方案的改进,对所述电力市场价格数据以及所述天然气市场价格数 据进行协整校验,获取协整校验预测结果,具体包括:对所述电力市场价格数据 以及所述天然气市场价格数据进行拟合,从而获得气电函数关系式;通过最小二 乘法,根据预设的预测误差平方和公式,计算所述气电函数关系式中的最优参数 组;将所述最优参数组代入所述气电函数关系式以获取协整校验预测结果。As an improvement of the above scheme, the co-integration verification is performed on the electricity market price data and the natural gas market price data, and the co-integration verification prediction result is obtained, which specifically includes: the power market price data and the natural gas market price The data is fitted to obtain the gas-electric function relational expression; through the least squares method, according to the preset prediction error sum of squares formula, calculate the optimal parameter group in the gas-electric function relational expression; the optimal parameter group Substituting the gas-electricity function relational expression to obtain the cointegration verification prediction result.
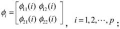
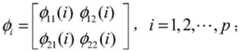
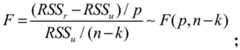
作为上述方案的改进,所述气电向量自回归模型的模型表达式具体为:εt=[ε1t,ε2t]T,φ0=[φ10,φ20]T,式中,p为气电价格VAR模型中的滞后阶数;T为 所收集价格数据的总天数;φ0是电价气价各自回归方程中常数项构成的列向量; φi为气价电价当期数据与滞后项数据间的系数矩阵;εt为模型扰动项列向量,各 自独立互不相关且均值为0。As an improvement of the above scheme, the model expression of the gas-electric vector autoregressive model is specifically: εt = [ε1t ,ε2t ]T , φ0 =[φ10 ,φ20 ]T , In the formula, p is the lag order in the VAR model of gas and electricity prices; T is the total number of days of price data collected;φ0 is a column vector composed of constant items in the respective regression equations of electricity price and gas price; The coefficient matrix between the data and the lag item data; εt is the column vector of the model disturbance item, each independent and uncorrelated with an average value of 0.
作为上述方案的改进,所述价格波动计算公式为:其中,Yt1为 通过协整方程得到的电价;Yt2为通过VAR表达式得到的电价。As an improvement of the above scheme, the formula for calculating the price fluctuation is: Among them, Yt1 is the electricity price obtained through the co-integration equation; Yt2 is the electricity price obtained through the VAR expression.
作为上述方案的改进,在对所述电力市场价格数据以及所述天然气市场价格 数据进行平稳性校验之后,所述预警方法还包括:当未通过平稳性校验时,对所 述天然气市场价格数据以及所述电力市场价格数据分别进行差分处理以对应获 取气价差分序列以及电价差分序列;对所述气价差分序列以及所述电价差分序列 进行平稳性校验,若所述气价差分序列以及所述电价差分序列之间同阶单整,则 对所述气价差分序列以及所述电价差分序列进行协整校验,获取协整校验预测结 果;在协整校验通过时,根据所述气价差分序列以及所述电价差分序列,构建气 电向量自回归模型,并根据所述气电向量自回归模型、所述气价差分序列以及所 述电价差分序列,计算模型预测结果;根据预设的价格波动计算公式、所述协整 校验预测结果以及所述模型预测结果,计算电力价格的价格波动,并在所述价格 波动超过预设的波动阈值时,进行电力价格预警。As an improvement to the above solution, after the stationarity check is performed on the electricity market price data and the natural gas market price data, the early warning method further includes: when the stationarity check is not passed, the natural gas market price Data and the electricity market price data are differentially processed to obtain the gas price difference sequence and the electricity price difference sequence respectively; the stationarity check is performed on the gas price difference sequence and the electricity price difference sequence, if the gas price difference sequence and the integration of the same order between the electricity price difference sequences, the cointegration verification is performed on the gas price difference sequence and the electricity price difference sequence to obtain the prediction result of the cointegration verification; when the cointegration verification is passed, according to Constructing a gas-electricity vector autoregressive model for the gas price difference sequence and the electricity price difference sequence, and calculating model prediction results according to the gas-electricity vector autoregressive model, the gas price difference sequence, and the electricity price difference sequence; According to the preset price fluctuation calculation formula, the prediction result of the co-integration verification and the prediction result of the model, the price fluctuation of the electricity price is calculated, and when the price fluctuation exceeds a preset fluctuation threshold, an electric power price warning is performed.
本发明另一实施例对应提供了一种电力价格的预警装置,所述预警装置包括 协整预测单元、模型预测单元以及波动预警单元,其中,所述协整预测单元用于 获取电力市场价格数据以及天然气市场价格数据,对所述电力市场价格数据以及 所述天然气市场价格数据进行平稳性校验,在通过平稳性校验时,对所述电力市 场价格数据以及所述天然气市场价格数据进行协整校验,获取协整校验预测结 果;所述模型预测单元用于在协整校验通过时,根据所述电力市场价格数据以及 所述天然气市场价格数据,构建气电向量自回归模型,并根据所述气电向量自回 归模型、所述电力市场价格数据以及所述天然气市场价格数据,计算模型预测结 果;所述波动预警单元用于根据预设的价格波动计算公式、所述协整校验预测结 果以及所述模型预测结果,计算电力价格的价格波动,并在所述价格波动超过预 设的波动阈值时,进行电力价格预警。Another embodiment of the present invention provides an early warning device for electricity prices, the early warning device includes a co-integration prediction unit, a model prediction unit, and a fluctuation early warning unit, wherein the co-integration prediction unit is used to obtain electricity market price data and natural gas market price data, performing a stationarity check on the electricity market price data and the natural gas market price data, and coordinating the electricity market price data and the natural gas market price data when passing the stationarity check Integration verification, to obtain the cointegration verification prediction result; the model prediction unit is used to construct a gas-electricity vector autoregressive model according to the electricity market price data and the natural gas market price data when the cointegration verification is passed, And according to the gas-electricity vector autoregressive model, the electricity market price data and the natural gas market price data, calculate the prediction result of the model; Verifying the prediction results and the model prediction results, calculating the price fluctuation of the power price, and performing a power price warning when the price fluctuation exceeds a preset fluctuation threshold.
作为上述方案的改进,所述预警装置还包括动态分析单元,所述动态分析单 元用于:根据所述电力市场价格数据以及所述天然气市场价格数据,对气价和电 价进行格兰杰因果检验,并根据检验结果,判断所述气价和所述电价是否相互影 响;当判断认为所述气价和所述电价相互影响时,根据所述气电向量自回归模型、 所述电力市场价格数据以及所述天然气市场价格数据,对所述气价和电价进行脉 冲相应动态分析,分别判断所述气价和所述电价在发生脉冲波动时,是否会相应 对所述电价和所述气价产生动态影响;若是,则以预设的贡献度分析方法,量化 分析气价和电价对于电力系统的影响以获取气价贡献度以及电价贡献度,并根据 所述气价贡献度以及所述电价贡献度,分析获得气电价格动态变化情况。As an improvement to the above solution, the early warning device further includes a dynamic analysis unit, which is used to perform a Granger causality test on gas prices and electricity prices according to the electricity market price data and the natural gas market price data , and according to the test results, it is judged whether the gas price and the electricity price interact with each other; As well as the natural gas market price data, perform a pulse-response dynamic analysis on the gas price and the electricity price, and respectively judge whether the gas price and the electricity price will have a corresponding impact on the electricity price and the gas price when pulse fluctuations occur. Dynamic impact; if so, quantitatively analyze the impact of gas price and electricity price on the power system with the preset contribution degree analysis method to obtain the gas price contribution degree and electricity price contribution degree, and based on the gas price contribution degree and the electricity price contribution To analyze and obtain the dynamic changes of gas and electricity prices.
作为上述方案的改进,所述预警装置还包括二次校验单元,所述二次校验单 元用于:当未通过平稳性校验时,对所述天然气市场价格数据以及所述电力市场 价格数据分别进行差分处理以对应获取气价差分序列以及电价差分序列;对所述 气价差分序列以及所述电价差分序列进行平稳性校验,若所述气价差分序列以及 所述电价差分序列之间同阶单整,则对所述气价差分序列以及所述电价差分序列 进行协整校验,获取协整校验预测结果;在协整校验通过时,根据所述气价差分 序列以及所述电价差分序列,构建气电向量自回归模型,并根据所述气电向量自 回归模型、所述气价差分序列以及所述电价差分序列,计算模型预测结果;根据 预设的价格波动计算公式、所述协整校验预测结果以及所述模型预测结果,计算 电力价格的价格波动,并在所述价格波动超过预设的波动阈值时,进行电力价格 预警。As an improvement to the above solution, the early warning device further includes a secondary verification unit, the secondary verification unit is used to: when the stationarity verification fails, the natural gas market price data and the electricity market price Differential processing is performed on the data to obtain the gas price difference sequence and the electricity price difference sequence correspondingly; the stationarity check is performed on the gas price difference sequence and the electricity price difference sequence, if the difference between the gas price difference sequence and the electricity price difference sequence Integrating at the same order, then carry out co-integration verification on the gas price difference sequence and the electricity price difference sequence to obtain the cointegration verification prediction result; when the co-integration verification is passed, according to the gas price difference sequence and the The electricity price difference sequence constructs a gas-electricity vector autoregressive model, and calculates the model prediction result according to the gas-electricity vector autoregressive model, the gas price difference sequence, and the electricity price difference sequence; calculates according to the preset price fluctuation The formula, the prediction result of the co-integration verification and the prediction result of the model calculate the price fluctuation of the power price, and when the price fluctuation exceeds a preset fluctuation threshold, an early warning of the power price is performed.
作为上述方案的改进,所述协整预测单元还用于:对所述电力市场价格数据 以及所述天然气市场价格数据进行拟合,从而获得气电函数关系式;通过最小二 乘法,根据预设的预测误差平方和公式,计算所述气电函数关系式中的最优参数 组;将所述最优参数组代入所述气电函数关系式以获取协整校验预测结果。As an improvement of the above solution, the cointegration prediction unit is also used to: fit the electricity market price data and the natural gas market price data, so as to obtain the gas-electricity function relational expression; through the least square method, according to the preset Calculate the optimal parameter group in the gas-electric function relational expression; substitute the optimal parameter group into the gas-electricity function relational expression to obtain the cointegration verification prediction result.
作为上述方案的改进,所述协整预测单元还用于:根据预设的电价回归方程、 预设的气价回归方程以及单位根检验方程,分别对电价和气价进行平稳性校验。As an improvement of the above solution, the co-integration prediction unit is further configured to: perform stationarity verification on the electricity price and the gas price respectively according to the preset electricity price regression equation, the preset gas price regression equation and the unit root test equation.
本发明另一实施例提供了一种计算机可读存储介质,所述计算机可读存储介 质包括存储的计算机程序,其中,在所述计算机程序运行时控制所述计算机可读 存储介质所在设备执行如前所述的电力价格的预警方法。Another embodiment of the present invention provides a computer-readable storage medium, the computer-readable storage medium includes a stored computer program, wherein, when the computer program is running, the device where the computer-readable storage medium is located is controlled to execute the following steps: The aforementioned early warning method for electricity prices.
本发明另一实施例提供了一种电力价格的预警系统,所述预警系统包括处理 器、存储器以及存储在所述存储器中且被配置为由所述处理器执行的计算机程 序,所述处理器执行所述计算机程序时实现如前所述的电力价格的预警方法。Another embodiment of the present invention provides an early warning system for electricity prices, the early warning system includes a processor, a memory, and a computer program stored in the memory and configured to be executed by the processor, the processor When the computer program is executed, the method for early warning of electricity price as mentioned above is realized.
与现有技术相比,本技术方案存在如下有益效果:Compared with the prior art, this technical solution has the following beneficial effects:
本发明提供了一种电力价格的预警方法、装置、存储介质以及系统,通过基 于气价和电价的历史数据进行平稳性校验以及协整校验,在两个校验均通过后计 算获取协整校验预测结果,随后,基于VAR模型定量地研究了当期电价和历史 气价、历史电价间的关系,进行预测以获取模型预测结果,通过对比协整方程与 VAR模型表达式各自的电价预测误差进行预警判断,易于操作、结果直观,充分 考虑了气价波动对电价预测的影响,该预警方法、装置、存储介质以及系统提升 了电力价格的预警准确性,从而为提升调度效率提供数据支持。The present invention provides an early warning method, device, storage medium and system for electricity prices. The stationarity check and cointegration check are performed based on the historical data of gas price and electricity price. Then, based on the VAR model, the relationship between the current electricity price, historical gas price, and historical electricity price was quantitatively studied, and the prediction was made to obtain the model prediction results. By comparing the cointegration equation and the respective electricity price predictions of the VAR model expressions Early warning and judgment of errors are easy to operate and the results are intuitive, fully considering the impact of gas price fluctuations on electricity price forecasting. The early warning method, device, storage medium and system improve the accuracy of early warning of electricity prices, thereby providing data support for improving dispatching efficiency .
附图说明Description of drawings
图1是本发明一实施例提供的一种电力价格的预警方法的流程示意图;Fig. 1 is a schematic flow chart of an early warning method for electricity prices provided by an embodiment of the present invention;
图2是本发明一实施例提供的一种电力价格的预警装置的结构示意图。Fig. 2 is a schematic structural diagram of an electric price early warning device provided by an embodiment of the present invention.
具体实施方式Detailed ways
下面将结合本发明实施例中的附图,对本发明实施例中的技术方案进行清 楚、完整地描述,显然,所描述的实施例仅仅是本发明一部分实施例,而不是全 部的实施例。基于本发明中的实施例,本领域普通技术人员在没有作出创造性劳 动前提下所获得的所有其他实施例,都属于本发明保护的范围。The technical solutions in the embodiments of the present invention will be clearly and completely described below in conjunction with the accompanying drawings in the embodiments of the present invention. Apparently, the described embodiments are only some, not all, embodiments of the present invention. Based on the embodiments of the present invention, all other embodiments obtained by persons of ordinary skill in the art without creative efforts fall within the protection scope of the present invention.
具体实施例一Specific embodiment one
本发明实施例首先描述了一种电力价格的预警方法。图1是本发明一实施例 提供的一种电力价格的预警方法的流程示意图。The embodiment of the present invention firstly describes a method for early warning of electricity price. Fig. 1 is a schematic flowchart of an early warning method for electricity prices provided by an embodiment of the present invention.
如图1所示,所述预警方法包括:As shown in Figure 1, the early warning method includes:
S1:获取电力市场价格数据以及天然气市场价格数据,对所述电力市场价格 数据以及所述天然气市场价格数据进行平稳性校验,在通过平稳性校验时,对所 述电力市场价格数据以及所述天然气市场价格数据进行协整校验,获取协整校验 预测结果。S1: Obtain electricity market price data and natural gas market price data, perform a stationarity check on the electricity market price data and the natural gas market price data, and check the electricity market price data and all natural gas market price data when passing the stationarity check Co-integration verification is carried out on the above natural gas market price data to obtain the prediction results of co-integration verification.
考虑到气电价格时间序列可能存在共线性问题和因异方差而造成的伪回归 现象,一般先对原始数据取对数并进行处理,设处理后的天然气和电力价格时间 序列分别为Xt和Yt,以电力价格时间序列Yt的平稳性检验为例,考虑电价回归方 程:Considering that the time series of gas and electricity prices may have collinearity problems and pseudo-regression phenomena caused by heteroscedasticity, the logarithm of the original data is generally taken and processed first, and the processed natural gas and electricity price time series are respectivelyXt and Yt , taking the stationarity test of the electricity price time series Yt as an example, consider the electricity price regression equation:
Yt=kYt-1+εt;Yt = kYt-1 +εt ;
式中,k为回归系数,εt为误差项且服从独立同分布。In the formula, k is the regression coefficient, εt is the error term and obeys independent and identical distribution.
通过已获取的前n天数据表示t时刻的电价:The electricity price at time t is represented by the obtained data of the previous n days:
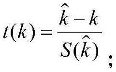
若k=1,即电力价格时间序列存在单位根,此时电价时间序列的方差会不断 增大,残差的影响不可消除,序列不稳定。ADF(Augmented Dickey-Fuller test, ADF)检验法根据系统是否存在单位根来判断时间序列是否稳定。首先利用最小 二乘法(OrdinaryLeast Square,OLS)估计再构建检验统计量t对方程是否至 少含有一个单位根进行判断:If k=1, that is, there is a unit root in the power price time series, at this time the variance of the power price time series will continue to increase, the influence of the residual error cannot be eliminated, and the sequence is unstable. The ADF (Augmented Dickey-Fuller test, ADF) test method judges whether the time series is stable according to whether there is a unit root in the system. First use the least square method (Ordinary Least Square, OLS) to estimate Then construct the test statistic t to judge whether the equation contains at least one unit root:
根据t(k)得到的概率结果,即可判断电价时间序列是否稳定;同理,对气价 时间序列Xt也应进行相同的平稳性检验。According to the probability result obtained by t(k), it can be judged whether the electricity price time series is stable; similarly, the same stationarity test should be carried out for the gas price time series Xt .
在一个实施例中,对所述电力市场价格数据以及所述天然气市场价格数据进 行平稳性校验,具体包括:根据预设的电价回归方程、预设的气价回归方程以及 单位根检验方程,分别对电价和气价进行平稳性校验。In one embodiment, performing a stationarity check on the electricity market price data and the natural gas market price data specifically includes: according to a preset electricity price regression equation, a preset gas price regression equation, and a unit root test equation, The stationarity check of electricity price and gas price is carried out separately.
在通过平稳性校验后,应该继续针对气—电价格长期均衡关系进行协整检 验,具体实现方法如下:After passing the stationarity check, the co-integration test should be continued for the long-term equilibrium relationship between gas and electricity prices. The specific implementation method is as follows:
当气价与电价间存在稳定的内在机制,便可以利用长期数据拟合、回归得到 二者稳定的函数关系,称为长期均衡关系。即使气价或电价出现短期波动,二者 仍然能够保持静态稳定的均衡状态。为了研究气电价格间长期的静态关系,以下 针对不同稳定性状态的气电价格序列进行分析,得到气电函数关系式:When there is a stable internal mechanism between gas price and electricity price, long-term data fitting and regression can be used to obtain a stable functional relationship between the two, which is called the long-term equilibrium relationship. Even if there are short-term fluctuations in gas prices or electricity prices, the two can still maintain a static and stable equilibrium. In order to study the long-term static relationship between gas and electricity prices, the gas and electricity price series in different stable states are analyzed as follows to obtain the gas and electricity functional relationship:
Yt=aXt+b;Yt = aXt + b;
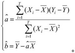
若气价Xt与电价Yt通过平稳性检验,说明通过历史数据所研究得到的气电价 格关系与性质在未来一定时间内保持不变,具有现实意义,并且能够保证气电价 格间不会出现伪回归现象。此时可以直接进行拟合回归分析。If the gas price Xt and the electricity price Yt pass the stationarity test, it means that the gas-power price relationship and properties obtained through historical data will remain unchanged for a certain period of time in the future, which is of practical significance and can ensure that the gas-power price will not vary Pseudo-regression occurs. At this point, the fitted regression analysis can be performed directly.
采用OLS方法估计气价与电价回归方程中的最优参数和即回归方程为:Estimating the Optimal Parameters in the Regression Equation of Gas Price and Electricity Price Using OLS Method and That is, the regression equation is:
式中,表示估计电价。In the formula, Indicates the estimated electricity price.
根据OLS原理,当选取最优参数后真实电力价格数据Yt和估计电价之差的 平方和Q最小:According to the principle of OLS, when the optimal parameters are selected, the real electricity price data Yt and the estimated electricity price The sum of squares of the difference Q is the smallest:
解得:Solutions have to:
但是,在实际应用中,实际获取的原时间序列大部分不能满足严格的平稳性 要求,因此需要对原序列差分处理进一步检验,若原序列间同阶单整则满足平稳 性要求。However, in practical applications, most of the original time series actually obtained cannot meet the strict stationarity requirements, so it is necessary to further test the difference processing of the original series. If the original series are integrated at the same order, the stationarity requirements will be met.
对气价和电价进行一阶差分并再次进行平稳性校验:Take the first-order difference of the gas price and the electricity price and perform the stationarity check again:
时间序列第d次差分时检验结果平稳称之服从d阶单整,因此只有当气价和 电价序列满足同阶、低阶单整时才符合平稳性要求。后续研究以序列满足平稳性 检验为前提,进一步判断二者是否存在协整关系。The stability of the test results at the dth difference of the time series is said to obey the d-order integration. Therefore, only when the gas price and electricity price series meet the same-order and low-order integration can the stationarity requirements be met. Subsequent research is based on the premise that the sequence satisfies the stationarity test, and further judges whether there is a co-integration relationship between the two.
重复前述拟合回归步骤,此时回归方程又称为协整关系式,对电价残差项进行单位根检验,判断协整关系式是否正确。若残差项通过单位根检 验则说明气价和电价间存在长期均衡的关系,协整关系表达式成立。Repeat the aforementioned fitting and regression steps. At this time, the regression equation is also called the co-integration relational expression. For the electricity price residual item Carry out the unit root test to judge whether the cointegration relationship is correct. If the residual item passes the unit root test, it indicates that there is a long-term equilibrium relationship between gas price and electricity price, and the cointegration relationship expression is established.
在一个实施例中,对所述电力市场价格数据以及所述天然气市场价格数据进 行协整校验,获取协整校验预测结果,具体包括:对所述电力市场价格数据以及 所述天然气市场价格数据进行拟合,从而获得气电函数关系式;通过最小二乘法, 根据预设的预测误差平方和公式,计算所述气电函数关系式中的最优参数组;将 所述最优参数组代入所述气电函数关系式以获取协整校验预测结果。In one embodiment, the co-integration verification is performed on the electricity market price data and the natural gas market price data, and the cointegration verification prediction result is obtained, which specifically includes: the power market price data and the natural gas market price The data are fitted to obtain the gas-electric function relational expression; through the least squares method, according to the preset forecast error sum of squares formula, calculate the optimal parameter group in the gas-electrical function relational expression; the optimal parameter group Substituting the gas-electricity function relational expression to obtain the cointegration verification prediction result.
在一个实施例中,在对所述电力市场价格数据以及所述天然气市场价格数据 进行平稳性校验之后,所述预警方法还包括:当未通过平稳性校验时,对所述天 然气市场价格数据以及所述电力市场价格数据分别进行差分处理以对应获取气 价差分序列以及电价差分序列;对所述气价差分序列以及所述电价差分序列进行 平稳性校验,若所述气价差分序列以及所述电价差分序列之间同阶单整,则对所 述气价差分序列以及所述电价差分序列进行协整校验,获取协整校验预测结果; 在协整校验通过时,根据所述气价差分序列以及所述电价差分序列,构建气电向 量自回归模型,并根据所述气电向量自回归模型、所述气价差分序列以及所述电 价差分序列,计算模型预测结果;根据预设的价格波动计算公式、所述协整校验 预测结果以及所述模型预测结果,计算电力价格的价格波动,并在所述价格波动 超过预设的波动阈值时,进行电力价格预警。In one embodiment, after the stationarity check is performed on the electricity market price data and the natural gas market price data, the early warning method further includes: when the stationarity check is not passed, the natural gas market price Data and the electricity market price data are differentially processed to obtain the gas price difference sequence and the electricity price difference sequence respectively; the stationarity check is performed on the gas price difference sequence and the electricity price difference sequence, if the gas price difference sequence and the integration of the same order between the electricity price difference sequences, the cointegration verification is performed on the gas price difference sequence and the electricity price difference sequence to obtain the prediction result of the cointegration verification; when the cointegration verification is passed, according to Constructing a gas-electricity vector autoregressive model for the gas price difference sequence and the electricity price difference sequence, and calculating model prediction results according to the gas-electricity vector autoregressive model, the gas price difference sequence, and the electricity price difference sequence; According to the preset price fluctuation calculation formula, the prediction result of the co-integration verification and the prediction result of the model, the price fluctuation of the electricity price is calculated, and when the price fluctuation exceeds a preset fluctuation threshold, an electric power price warning is performed.
S2:在协整校验通过时,根据所述电力市场价格数据以及所述天然气市场价 格数据,构建气电向量自回归模型,并根据所述气电向量自回归模型、所述电力 市场价格数据以及所述天然气市场价格数据,计算模型预测结果。S2: When the co-integration check is passed, according to the electricity market price data and the natural gas market price data, construct a gas-electricity vector autoregressive model, and according to the gas-electricity vector autoregressive model, the electricity market price data As well as the natural gas market price data, model prediction results are calculated.
在一个实施例中,所述气电向量自回归模型的模型表达式具体为:In one embodiment, the model expression of the gas-electric vector autoregressive model is specifically:
式中,p为气电价格VAR模型中的滞后阶数;T为所收集价格数据的总天数; φ0是电价气价各自回归方程中常数项构成的列向量;φi为气价电价当期数据与滞 后项数据间的系数矩阵;εt为模型扰动项列向量,各自独立互不相关且均值为0。In the formula, p is the lag order in the VAR model of gas and electricity prices; T is the total number of days of price data collected;φ0 is a column vector composed of constant items in the respective regression equations of electricity price and gas price; The coefficient matrix between the data and the lag item data; εt is the column vector of the model disturbance item, each independent and uncorrelated with an average value of 0.
在一个实施例中,为了确保气价与电价之间存在联动关系,从而避免气价与 电价没有联动关系情况下的计算;需要进一步基于VAR模型进行气—电价格的 动态分析,具体实现方法如下:In one embodiment, in order to ensure that there is a linkage relationship between the gas price and the electricity price, so as to avoid the calculation when there is no linkage relationship between the gas price and the electricity price; it is necessary to further perform a dynamic analysis of the gas-electricity price based on the VAR model, and the specific implementation method is as follows :
1)对气-电价格进行格兰杰因果检验。以分析1阶滞后模型“气价Xt是否为 引起电价Yt变化的原因”为例,此时的原假设为“气价Xt不是电价Yt变化的原因”1) Carry out Granger causality test on gas-electricity price. Taking the analysis of the first-order lag model "whether the gas price Xt is the cause of the change in the electricity price Yt " as an example, the null hypothesis at this time is "the gas price Xt is not the cause of the change in the electricity price Yt "
(1)对电价Yt的无约束回归模型(u)和有约束回归模型(r)进行估计。(1) Estimate the unconstrained regression model (u) and the constrained regression model (r) of the electricity priceYt .
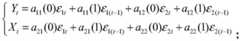
其中,无约束回归模型(u):Among them, the unconstrained regression model (u):
Yt=φ11(1)Yt-1+φ12(1)Xt-1+ε1t;Yt = φ11 (1) Yt-1 + φ12 (1) Xt-1 + ε1t ;
有约束回归模型(r):Constrained regression model (r):
Yt=kYt-1+ε1t;Yt = kYt-1 +ε1t ;
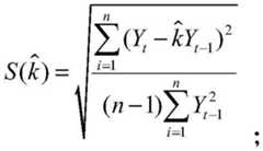
根据VAR模型和OLS分别得到估计系数和分别计算得到模 型的残差平方和并构造F统计量:According to the VAR model and OLS, the estimated coefficients are obtained respectively and Calculate the residual sum of squares of the model and construct the F statistic:
式中,F表示为方差的统计量,k=2p即p=1,k=2。In the formula, F is expressed as the statistic of variance, k=2p, that is, p=1, k=2.
根据统计量结果可对原假设“气价Xt不是电价Yt变化的原因”进行判断。若 F<Fα(p,n-k),则认为在显著性水平为α的前提下“气价Xt不是电价Yt变化的原 因”;否则拒绝原假设。According to the statistical results, the null hypothesis "gas price Xt is not the reason for the change of electricity price Yt " can be judged. If F<Fα (p,nk), it is considered that "gas price Xt is not the reason for the change of electricity price Yt " under the premise of a significance level of α; otherwise, the null hypothesis is rejected.
(2)更换气价Xt与电价Yt的因果关系顺序,利用(1)中相同的方法检验此时的假 设“电价Yt不是引起气价Xt变化的原因”。(2) Change the sequence of causality between gas price Xt and electricity price Yt , and use the same method in (1) to test the hypothesis at this time that "electricity price Yt is not the cause of the change in gas price Xt ".
(3)如果检验结果同时拒绝了“气价Xt不是引起电价Yt变化的原因”和接受了 “电价Yt不是引起气价Xt变化的原因”,则可以得到结论“气价是电价的格兰杰 原因”。(3) If the test result rejects "the gas price Xt is not the cause of the change in the electricity price Yt " and accepts "the electricity price Yt is not the cause of the change in the gas price Xt " at the same time, it can be concluded that "the gas price is the cause of the change in the electricity price Granger reasons".
2)对气-电价格进行脉冲响应动态。以1阶滞后模型为例,此时VAR模型 为:2) Impulse response dynamics to gas-electricity prices. Taking the first-order lag model as an example, the VAR model at this time is:
设X-1=X-2=Y-1=Y-2=0,检验天然气价格突变对模型的影响时需要对气价Xt进行赋值,令ε10=1,ε20=0,ε1t=ε2t=0(t=1,2,…,T),根据模型可分别计算得到 X1,X2,…,XT与Y1,Y2,…,YT,即可获得在天然气价格发生脉冲波动下后续气价和电价 的动态变化,同理可检验当电力价格发生骤变对系统的影响。Suppose X-1 =X-2 =Y-1 =Y-2 =0, when testing the impact of natural gas price mutation on the model, it is necessary to assign the gas price Xt , set ε10 =1, ε20 =0, ε1t =ε2t =0(t=1,2,…,T), X1 ,X2 ,…,XT and Y1 ,Y2 ,…,YT can be calculated respectively according to the model. The subsequent dynamic changes of gas prices and electricity prices under pulse fluctuations in prices can also be used to test the impact on the system when sudden changes in electricity prices occur.
3)对气-电价格进行方差分解分析。方差分解进一步量化了气价电价受到冲 击后的影响程度,描述了不同冲击对气价电价波动的贡献度。3) Carry out variance decomposition analysis on gas-electricity price. Variance decomposition further quantifies the degree of impact on gas and electricity prices, and describes the contribution of different shocks to gas and electricity price fluctuations.
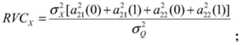
考虑气价电价关于随机干扰项的2变量1阶序列形式:Consider the 2-variable first-order sequence form of the gas price and electricity price with respect to the random disturbance item:
式中a11、a12、a21、a22为随机干扰项的对应系数In the formula, a11 , a12 , a21 , a22 are the corresponding coefficients of random interference items
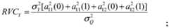
为了测定各扰动项对系统方差的贡献度,定义了方差贡献度RVC(Rate ofVariance Contribution,RVC),若干扰项之间两两互不相关则有:In order to measure the contribution of each disturbance item to the system variance, the variance contribution rate RVC (Rate of Variance Contribution, RVC) is defined. If the disturbance items are not correlated with each other, then:
式中σ代表序列的方差,RVCY和RVCX分别表示电力价格和天然气价格扰动 冲击对系统整体方差的相对贡献比例。In the formula, σ represents the variance of the sequence, and RVCY and RVCX respectively represent the relative contribution ratios of electricity price and natural gas price disturbance shocks to the overall system variance.
气—电价格动态分析能够为电力市场主体提供更全面的价格相关性信息,为 电价预警提供更充分的判断依据,辅助判断未来电价波动的剧烈程度。The dynamic analysis of gas-electricity prices can provide more comprehensive price correlation information for the main body of the electricity market, provide a more sufficient judgment basis for electricity price warnings, and assist in judging the intensity of future electricity price fluctuations.
在一个实施例中,所述预警方法还包括:根据所述电力市场价格数据以及所 述天然气市场价格数据,对气价和电价进行格兰杰因果检验,并根据检验结果, 判断所述气价和所述电价是否相互影响;当判断认为所述气价和所述电价相互影 响时,根据所述气电向量自回归模型、所述电力市场价格数据以及所述天然气市 场价格数据,对所述气价和电价进行脉冲相应动态分析,分别判断所述气价和所 述电价在发生脉冲波动时,是否会相应对所述电价和所述气价产生动态影响;若 是,则以预设的贡献度分析方法,量化分析气价和电价对于电力系统的影响以获 取气价贡献度以及电价贡献度,并根据所述气价贡献度以及所述电价贡献度,分 析获得气电价格动态变化情况。In one embodiment, the early warning method further includes: performing a Granger causality test on gas prices and electricity prices according to the electricity market price data and the natural gas market price data, and judging the gas price according to the test results and the electricity price interact with each other; when it is judged that the gas price and the electricity price interact with each other, according to the gas-electricity vector autoregressive model, the electricity market price data and the natural gas market price data, the The pulse response dynamic analysis of the gas price and the electricity price is carried out to determine whether the gas price and the electricity price will have a corresponding dynamic impact on the electricity price and the gas price when pulse fluctuations occur; if so, the preset contribution The degree analysis method quantitatively analyzes the impact of gas price and electricity price on the power system to obtain gas price contribution degree and electricity price contribution degree, and analyzes and obtains the dynamic change of gas price and electricity price according to the gas price contribution degree and the electricity price contribution degree.
S3:根据预设的价格波动计算公式、所述协整校验预测结果以及所述模型预 测结果,计算电力价格的价格波动,并在所述价格波动超过预设的波动阈值时, 进行电力价格预警。S3: According to the preset price fluctuation calculation formula, the cointegration check prediction result and the model prediction result, calculate the price fluctuation of the electricity price, and when the price fluctuation exceeds the preset fluctuation threshold, calculate the electricity price early warning.
由于气—电价格的协整方程是基于历史数据得到的长期稳定的价格函数关 系,体现当期气—电价格内在的机制,因此通过协整方程得到的电价Yt1可以作为 判断未来电价的基准。气—电价格VAR模型表达式考虑到了价格时间序列的时 滞性现象,主要从短期角度对当期电价和历史电价、历史气价间的关系进行了定 量解释,因此通过VAR表达式得到的电价Yt2对未来电价的预测更贴近真实情况。 当Yt2和Yt1的预测误差超过阈值θ,即时系统将会发出电价预警。Since the co-integration equation of gas-electricity price is a long-term stable price function relationship obtained based on historical data, which reflects the internal mechanism of the current gas-electricity price, the electricity priceYt1 obtained through the co-integration equation can be used as a benchmark for judging future electricity prices. The gas-electricity price VAR model expression takes into account the time-lag phenomenon of the price time series, mainly from a short-term perspective to quantitatively explain the relationship between the current electricity price, historical electricity price, and historical gas price, so the electricity price Y obtained through the VAR expressiont2 's prediction of future electricity prices is closer to the real situation. When the prediction error of Yt2 and Yt1 exceeds the threshold θ, that is The system will issue an electricity price warning.
在一个实施例中,所述价格波动计算公式为:In one embodiment, the price fluctuation calculation formula is:
式中,Yt1为通过协整方程得到的电价;Yt2为通过VAR表达式得到的电价。 在一个实施例中,θ为5%。In the formula, Yt1 is the electricity price obtained through the co-integration equation; Yt2 is the electricity price obtained through the VAR expression. In one embodiment, θ is 5%.
本发明实施例描述了一种电力价格的预警方法,通过基于气价和电价的历史 数据进行平稳性校验以及协整校验,在两个校验均通过后计算获取协整校验预测 结果,随后,基于VAR模型定量地研究了当期电价和历史气价、历史电价间的 关系,进行预测以获取模型预测结果,通过对比协整方程与VAR模型表达式各 自的电价预测误差进行预警判断,易于操作、结果直观,充分考虑了气价波动对 电价预测的影响,该预警方法提升了电力价格的预警准确性,从而为提升调度效 率提供数据支持。The embodiment of the present invention describes a method for early warning of electricity price, which performs stationarity verification and cointegration verification based on the historical data of gas price and electricity price, and calculates and obtains the prediction result of cointegration verification after both verifications pass Then, based on the VAR model, the relationship between the current electricity price, historical gas price and historical electricity price was quantitatively studied, and the prediction was carried out to obtain the model prediction results. By comparing the respective electricity price prediction errors of the co-integration equation and the VAR model expression, early warning judgments were made. It is easy to operate and the results are intuitive, fully considering the impact of gas price fluctuations on electricity price forecasting. This early warning method improves the accuracy of early warning of electricity prices, thereby providing data support for improving dispatching efficiency.
具体实施例二Specific embodiment two
除上述方法外,本发明实施例还公开了一种电力价格的预警装置。图2是本 发明一实施例提供的一种电力价格的预警装置的结构示意图。In addition to the above method, the embodiment of the invention also discloses an electric price early warning device. Fig. 2 is a schematic structural diagram of an electric price early warning device provided by an embodiment of the present invention.
如图2所示,所述预警装置包括协整预测单元11、模型预测单元12以及波 动预警单元13。As shown in Figure 2, the early warning device includes a
其中,协整预测单元11用于获取电力市场价格数据以及天然气市场价格数 据,对所述电力市场价格数据以及所述天然气市场价格数据进行平稳性校验,在 通过平稳性校验时,对所述电力市场价格数据以及所述天然气市场价格数据进行 协整校验,获取协整校验预测结果。Wherein, the
在一个实施例中,所述协整预测单元还用于:对所述电力市场价格数据以及 所述天然气市场价格数据进行拟合,从而获得气电函数关系式;通过最小二乘法, 根据预设的预测误差平方和公式,计算所述气电函数关系式中的最优参数组;将 所述最优参数组代入所述气电函数关系式以获取协整校验预测结果。In one embodiment, the co-integration prediction unit is also used to: fit the electricity market price data and the natural gas market price data, so as to obtain the gas-electricity functional relationship; through the least square method, according to the preset Calculate the optimal parameter group in the gas-electric function relational expression; substitute the optimal parameter group into the gas-electricity function relational expression to obtain the cointegration verification prediction result.
在一个实施例中,所述协整预测单元还用于:根据预设的电价回归方程、预 设的气价回归方程以及单位根检验方程,分别对电价和气价进行平稳性校验。In one embodiment, the cointegration prediction unit is also used for: performing stationarity checks on the electricity price and gas price respectively according to the preset electricity price regression equation, the preset gas price regression equation and the unit root test equation.
模型预测单元12用于在协整校验通过时,根据所述电力市场价格数据以及 所述天然气市场价格数据,构建气电向量自回归模型,并根据所述气电向量自回 归模型、所述电力市场价格数据以及所述天然气市场价格数据,计算模型预测结 果。The
波动预警单元13用于根据预设的价格波动计算公式、所述协整校验预测结 果以及所述模型预测结果,计算电力价格的价格波动,并在所述价格波动超过预 设的波动阈值时,进行电力价格预警。The
在一个实施例中,所述预警装置还包括动态分析单元,所述动态分析单元用 于:根据所述电力市场价格数据以及所述天然气市场价格数据,对气价和电价进 行格兰杰因果检验,并根据检验结果,判断所述气价和所述电价是否相互影响; 当判断认为所述气价和所述电价相互影响时,根据所述气电向量自回归模型、所 述电力市场价格数据以及所述天然气市场价格数据,对所述气价和电价进行脉冲 相应动态分析,分别判断所述气价和所述电价在发生脉冲波动时,是否会相应对 所述电价和所述气价产生动态影响;若是,则以预设的贡献度分析方法,量化分 析气价和电价对于电力系统的影响以获取气价贡献度以及电价贡献度,并根据所 述气价贡献度以及所述电价贡献度,分析获得气电价格动态变化情况。In one embodiment, the early warning device further includes a dynamic analysis unit, the dynamic analysis unit is used to perform a Granger causality test on gas prices and electricity prices according to the electricity market price data and the natural gas market price data , and judge whether the gas price and the electricity price interact with each other according to the test results; when it is judged that the gas price and the electricity price interact with each other, according to the gas-electricity vector autoregressive model, the electricity market price data As well as the natural gas market price data, perform a pulse-response dynamic analysis on the gas price and the electricity price, and respectively judge whether the gas price and the electricity price will have a corresponding impact on the electricity price and the gas price when pulse fluctuations occur. Dynamic impact; if so, quantitatively analyze the impact of gas price and electricity price on the power system with the preset contribution degree analysis method to obtain the gas price contribution degree and electricity price contribution degree, and based on the gas price contribution degree and the electricity price contribution To analyze and obtain the dynamic changes of gas and electricity prices.
在一个实施例中,所述预警装置还包括二次校验单元,所述二次校验单元用 于:当未通过平稳性校验时,对所述天然气市场价格数据以及所述电力市场价格 数据分别进行差分处理以对应获取气价差分序列以及电价差分序列;对所述气价 差分序列以及所述电价差分序列进行平稳性校验,若所述气价差分序列以及所述 电价差分序列之间同阶单整,则对所述气价差分序列以及所述电价差分序列进行 协整校验,获取协整校验预测结果;在协整校验通过时,根据所述气价差分序列 以及所述电价差分序列,构建气电向量自回归模型,并根据所述气电向量自回归 模型、所述气价差分序列以及所述电价差分序列,计算模型预测结果;根据预设 的价格波动计算公式、所述协整校验预测结果以及所述模型预测结果,计算电力 价格的价格波动,并在所述价格波动超过预设的波动阈值时,进行电力价格预警。In one embodiment, the early warning device further includes a secondary verification unit, and the secondary verification unit is used for: when the stationarity verification fails, the natural gas market price data and the electricity market price Differential processing is performed on the data to obtain the gas price difference sequence and the electricity price difference sequence correspondingly; the stationarity check is performed on the gas price difference sequence and the electricity price difference sequence, if the difference between the gas price difference sequence and the electricity price difference sequence Integrating at the same order, then carry out co-integration verification on the gas price difference sequence and the electricity price difference sequence to obtain the cointegration verification prediction result; when the co-integration verification is passed, according to the gas price difference sequence and the The electricity price difference sequence constructs a gas-electricity vector autoregressive model, and calculates the model prediction result according to the gas-electricity vector autoregressive model, the gas price difference sequence, and the electricity price difference sequence; calculates according to the preset price fluctuation The formula, the prediction result of the co-integration verification and the prediction result of the model calculate the price fluctuation of the power price, and when the price fluctuation exceeds a preset fluctuation threshold, an early warning of the power price is performed.
其中,所述预警装置集成的单元如果以软件功能单元的形式实现并作为独立 的产品销售或使用时,可以存储在一个计算机可读取存储介质中。基于这样的理 解,本发明实现上述实施例方法中的全部或部分流程,也可以通过计算机程序来 指令相关的硬件来完成,所述的计算机程序可存储于计算机可读存储介质中,该 计算机程序在被处理器执行时,可实现上述各个方法实施例的步骤。即,本发明 另一实施例提供了一种计算机可读存储介质,所述计算机可读存储介质包括存储 的计算机程序,其中,在所述计算机程序运行时控制所述计算机可读存储介质所 在设备执行如前所述的电力价格的预警方法。Wherein, if the integrated unit of the early warning device is realized in the form of a software function unit and sold or used as an independent product, it can be stored in a computer-readable storage medium. Based on this understanding, the present invention realizes all or part of the processes in the methods of the above embodiments, and can also be completed by instructing related hardware through computer programs. The computer program can be stored in a computer-readable storage medium. The computer program When executed by a processor, the steps in the above-mentioned various method embodiments can be realized. That is, another embodiment of the present invention provides a computer-readable storage medium, the computer-readable storage medium includes a stored computer program, wherein, when the computer program is running, the device on which the computer-readable storage medium is located is controlled The early warning method of electricity price as mentioned above is implemented.
其中,所述计算机程序包括计算机程序代码,所述计算机程序代码可以为源 代码形式、对象代码形式、可执行文件或某些中间形式等。所述计算机可读介质 可以包括:能够携带所述计算机程序代码的任何实体或装置、记录介质、U盘、 移动硬盘、磁碟、光盘、计算机存储器、只读存储器(ROM,Read-Only Memory)、 随机存取存储器(RAM,Random AccessMemory)、电载波信号、电信信号以 及软件分发介质等。需要说明的是,所述计算机可读介质包含的内容可以根据司 法管辖区内立法和专利实践的要求进行适当的增减,例如在某些司法管辖区,根 据立法和专利实践,计算机可读介质不包括电载波信号和电信信号。Wherein, the computer program includes computer program code, and the computer program code may be in the form of source code, object code, executable file or some intermediate form, etc. The computer-readable medium may include: any entity or device capable of carrying the computer program code, a recording medium, a U disk, a removable hard disk, a magnetic disk, an optical disk, a computer memory, and a read-only memory (ROM, Read-Only Memory) , Random Access Memory (RAM, Random Access Memory), electrical carrier signal, telecommunication signal, software distribution medium, etc. It should be noted that the content contained in the computer-readable medium may be appropriately increased or decreased according to the requirements of legislation and patent practice in the jurisdiction. For example, in some jurisdictions, computer-readable media Excludes electrical carrier signals and telecommunication signals.
需说明的是,以上所描述的装置实施例仅仅是示意性的,其中所述作为分离 部件说明的单元可以是或者也可以不是物理上分开的,作为单元显示的部件可以 是或者也可以不是物理单元,即可以位于一个地方,或者也可以分布到多个网络 单元上。可以根据实际的需要选择其中的部分或者全部模块来实现本实施例方案 的目的。另外,本发明提供的装置实施例附图中,单元之间的连接关系表示它们 之间具有通信连接,具体可以实现为一条或多条通信总线或信号线。本领域普通 技术人员在不付出创造性劳动的情况下,即可以理解并实施。It should be noted that the device embodiments described above are only illustrative, and the units described as separate components may or may not be physically separated, and the components shown as units may or may not be physically separated. A unit can be located in one place, or it can be distributed to multiple network units. Part or all of the modules can be selected according to actual needs to realize the purpose of the solution of this embodiment. In addition, in the drawings of the device embodiments provided by the present invention, the connection relationship between units indicates that there is a communication connection between them, which can be implemented as one or more communication buses or signal lines. It can be understood and implemented by those skilled in the art without creative effort.
本发明实施例描述了一种电力价格的预警装置及存储介质,通过基于气价和 电价的历史数据进行平稳性校验以及协整校验,在两个校验均通过后计算获取协 整校验预测结果,随后,基于VAR模型定量地研究了当期电价和历史气价、历 史电价间的关系,进行预测以获取模型预测结果,通过对比协整方程与VAR模 型表达式各自的电价预测误差进行预警判断,易于操作、结果直观,充分考虑了 气价波动对电价预测的影响,该预警装置及存储介质提升了电力价格的预警准确 性,从而为提升调度效率提供数据支持。The embodiment of the present invention describes an early warning device and storage medium for electricity prices. The stationarity check and cointegration check are performed based on the historical data of gas price and electricity price, and the cointegration check is obtained after both checks pass. Then, based on the VAR model, the relationship between the current electricity price, historical gas price and historical electricity price was quantitatively studied, and the prediction was made to obtain the model prediction results. By comparing the electricity price prediction errors of the co-integration equation and VAR model expressions The early warning judgment is easy to operate and the result is intuitive. It fully considers the impact of gas price fluctuations on electricity price forecasting. The early warning device and storage medium improve the accuracy of early warning of electricity prices, thereby providing data support for improving dispatching efficiency.
具体实施例三Specific embodiment three
除上述方法和装置外,本发明实施例还描述了一种电力价格的预警系统。In addition to the above method and device, the embodiment of the present invention also describes an early warning system for electricity prices.
所述预警系统包括处理器、存储器以及存储在所述存储器中且被配置为由所 述处理器执行的计算机程序,所述处理器执行所述计算机程序时实现如前所述的 电力价格的预警方法。The early warning system includes a processor, a memory, and a computer program stored in the memory and configured to be executed by the processor. When the processor executes the computer program, the early warning of electricity prices as described above is realized. method.
所称处理器可以是中央处理单元(Central Processing Unit,CPU),还可以是其他通用处理器、数字信号处理器(Digital Signal Processor,DSP)、专用集成电路(Application Specific Integrated Circuit,ASIC)、现成可编程门阵列 (Field-Programmable Gate Array,FPGA)或者其他可编程逻辑器件、分立门或者 晶体管逻辑器件、分立硬件组件等。通用处理器可以是微处理器或者该处理器也 可以是任何常规的处理器等,所述处理器是所述装置的控制中心,利用各种接口 和线路连接整个装置的各个部分。The so-called processor can be a central processing unit (Central Processing Unit, CPU), and can also be other general-purpose processors, digital signal processors (Digital Signal Processor, DSP), application specific integrated circuits (Application Specific Integrated Circuit, ASIC), off-the-shelf Programmable gate array (Field-Programmable Gate Array, FPGA) or other programmable logic devices, discrete gate or transistor logic devices, discrete hardware components, etc. The general-purpose processor can be a microprocessor or the processor can also be any conventional processor, etc., and the processor is the control center of the device, and uses various interfaces and lines to connect various parts of the entire device.
所述存储器可用于存储所述计算机程序和/或模块,所述处理器通过运行或执 行存储在所述存储器内的计算机程序和/或模块,以及调用存储在存储器内的数 据,实现所述装置的各种功能。所述存储器可主要包括存储程序区和存储数据区, 其中,存储程序区可存储操作系统、至少一个功能所需的应用程序(比如声音播 放功能、图像播放功能等)等;存储数据区可存储根据手机的使用所创建的数据 (比如音频数据、电话本等)等。此外,存储器可以包括高速随机存取存储器, 还可以包括非易失性存储器,例如硬盘、内存、插接式硬盘,智能存储卡(Smart Media Card,SMC),安全数字(Secure Digital,SD)卡,闪存卡(Flash Card)、 至少一个磁盘存储器件、闪存器件、或其他易失性固态存储器件。The memory can be used to store the computer programs and/or modules, and the processor realizes the device by running or executing the computer programs and/or modules stored in the memory and calling the data stored in the memory various functions. The memory may mainly include a program storage area and a data storage area, wherein the program storage area may store an operating system, an application program (such as a sound playback function, an image playback function, etc.) required by at least one function; the storage data area may store Data created based on the use of the mobile phone (such as audio data, phonebook, etc.), etc. In addition, the memory may include high-speed random access memory, and may also include non-volatile memory, such as hard disk, internal memory, plug-in hard disk, smart memory card (Smart Media Card, SMC), secure digital (Secure Digital, SD) card , a flash memory card (Flash Card), at least one magnetic disk storage device, flash memory device, or other volatile solid-state storage devices.
本发明实施例描述了一种电力价格的预警系统,通过基于气价和电价的历史 数据进行平稳性校验以及协整校验,在两个校验均通过后计算获取协整校验预测 结果,随后,基于VAR模型定量地研究了当期电价和历史气价、历史电价间的 关系,进行预测以获取模型预测结果,通过对比协整方程与VAR模型表达式各 自的电价预测误差进行预警判断,易于操作、结果直观,充分考虑了气价波动对 电价预测的影响,该预警系统提升了电力价格的预警准确性,从而为提升调度效 率提供数据支持。The embodiment of the present invention describes an early warning system for electricity prices, which performs stationarity verification and cointegration verification based on historical data of gas prices and electricity prices, and calculates and obtains cointegration verification prediction results after both verifications pass Then, based on the VAR model, the relationship between the current electricity price, historical gas price and historical electricity price was quantitatively studied, and the prediction was carried out to obtain the model prediction results. By comparing the respective electricity price prediction errors of the co-integration equation and the VAR model expression, early warning judgments were made. It is easy to operate and the results are intuitive, fully considering the impact of gas price fluctuations on electricity price forecasts. This early warning system improves the accuracy of early warnings for electricity prices, thereby providing data support for improving dispatching efficiency.
以上所述是本发明的优选实施方式,应当指出,对于本技术领域的普通技术 人员来说,在不脱离本发明原理的前提下,还可以做出若干改进和润饰,这些改 进和润饰也视为本发明的保护范围。The above description is a preferred embodiment of the present invention, and it should be pointed out that for those skilled in the art, without departing from the principle of the present invention, some improvements and modifications can also be made, and these improvements and modifications are also considered Be the protection scope of the present invention.
| Application Number | Priority Date | Filing Date | Title |
|---|---|---|---|
| CN202210820890.5ACN115271796A (en) | 2022-07-13 | 2022-07-13 | An early warning method, device, storage medium and system for electricity price |
| Application Number | Priority Date | Filing Date | Title |
|---|---|---|---|
| CN202210820890.5ACN115271796A (en) | 2022-07-13 | 2022-07-13 | An early warning method, device, storage medium and system for electricity price |
| Publication Number | Publication Date |
|---|---|
| CN115271796Atrue CN115271796A (en) | 2022-11-01 |
| Application Number | Title | Priority Date | Filing Date |
|---|---|---|---|
| CN202210820890.5APendingCN115271796A (en) | 2022-07-13 | 2022-07-13 | An early warning method, device, storage medium and system for electricity price |
| Country | Link |
|---|---|
| CN (1) | CN115271796A (en) |
| Publication number | Priority date | Publication date | Assignee | Title |
|---|---|---|---|---|
| US7315835B1 (en)* | 1999-07-08 | 2008-01-01 | Sony Corporation | Price fluctuation predicting device and predicting method, price fluctuation warning device and method, and program providing medium |
| WO2021077977A1 (en)* | 2019-10-23 | 2021-04-29 | 华能大理风力发电有限公司 | Method for analyzing transaction data in wind power bidding market, device, apparatus, and medium |
| CN113822714A (en)* | 2021-09-23 | 2021-12-21 | 广西电网有限责任公司 | A method and system for industry electricity consumption forecasting considering price change factors |
| Publication number | Priority date | Publication date | Assignee | Title |
|---|---|---|---|---|
| US7315835B1 (en)* | 1999-07-08 | 2008-01-01 | Sony Corporation | Price fluctuation predicting device and predicting method, price fluctuation warning device and method, and program providing medium |
| WO2021077977A1 (en)* | 2019-10-23 | 2021-04-29 | 华能大理风力发电有限公司 | Method for analyzing transaction data in wind power bidding market, device, apparatus, and medium |
| CN113822714A (en)* | 2021-09-23 | 2021-12-21 | 广西电网有限责任公司 | A method and system for industry electricity consumption forecasting considering price change factors |
| Publication | Publication Date | Title |
|---|---|---|
| CN106097043B (en) | The processing method and server of a kind of credit data | |
| CN110852476A (en) | Passenger flow prediction method, device, computer equipment and storage medium | |
| CN110796542A (en) | Financial risk control method, financial risk control device and electronic equipment | |
| CN112734128A (en) | 7-day power load peak value prediction method based on optimized RBF | |
| CN118316190B (en) | Electric power system monitoring system based on Internet of things | |
| CN113379168B (en) | A time series prediction processing method, device and equipment | |
| CN113283795B (en) | Data processing method and device based on two-classification model, medium and equipment | |
| CN112419025A (en) | User data processing method and device, storage medium and electronic equipment | |
| CN110019420A (en) | A kind of data sequence prediction technique and calculate equipment | |
| CN111181757A (en) | Information security risk prediction method and device, computing equipment and storage medium | |
| CN117688336A (en) | Intelligent power dispatching fault set generation method based on equipment fault risk | |
| CN107992991A (en) | Annual electricity sales amount Forecasting Methodology based on external environmental factor and Co-integration Theory | |
| CN111199469A (en) | User payment model generation method and device and electronic equipment | |
| CN109344394A (en) | A kind of text class data quality monitoring method and system | |
| CN111292146B (en) | Insurance recommendation method and apparatus, computer storage medium and electronic device | |
| CN118396036A (en) | Wind power prediction method, system, equipment and medium | |
| CN111667151B (en) | Electric power market risk panorama identification method and system | |
| CN118868064A (en) | A combined forecasting method for power load | |
| CN119994916A (en) | A resource scheduling method, device, equipment and storage medium for a virtual power plant | |
| CN110866672A (en) | Data processing method, device, terminal and medium | |
| CN115271796A (en) | An early warning method, device, storage medium and system for electricity price | |
| CN118378952A (en) | Digital employee evaluation method and device | |
| Okon et al. | Agricultural expenditure, Maputo declaration target and agricultural output: A case study of Nigeria | |
| Khodadadi et al. | Multimarket trading strategy of a hydropower producer considering active-time duration: A distributional regression approach | |
| CN117764617A (en) | Property running cost prediction method and device based on big data analysis |
| Date | Code | Title | Description |
|---|---|---|---|
| PB01 | Publication | ||
| PB01 | Publication | ||
| SE01 | Entry into force of request for substantive examination | ||
| SE01 | Entry into force of request for substantive examination |