Movatterモバイル変換


[0]ホーム

URL:


CN115271567A - Property service data analysis method and system based on work order scheduling platform - Google Patents

Property service data analysis method and system based on work order scheduling platform
Download PDF

Info

Publication number
CN115271567A
CN115271567ACN202211204553.XACN202211204553ACN115271567ACN 115271567 ACN115271567 ACN 115271567ACN 202211204553 ACN202211204553 ACN 202211204553ACN 115271567 ACN115271567 ACN 115271567A
Authority
CN
China
Prior art keywords
task execution
work order
task
order information
scheduling
Prior art date
Legal status (The legal status is an assumption and is not a legal conclusion. Google has not performed a legal analysis and makes no representation as to the accuracy of the status listed.)
Granted
Application number
CN202211204553.XA
Other languages
Chinese (zh)
Other versions
CN115271567B (en
Inventor
贺天川
孙博
蔡新宇
袁启庭
Current Assignee (The listed assignees may be inaccurate. Google has not performed a legal analysis and makes no representation or warranty as to the accuracy of the list.)
Rongtong Real Estate Property Management Co ltd
Original Assignee
Rongtong Real Estate Property Management Co ltd
Priority date (The priority date is an assumption and is not a legal conclusion. Google has not performed a legal analysis and makes no representation as to the accuracy of the date listed.)
Filing date
Publication date
Application filed by Rongtong Real Estate Property Management Co ltdfiledCriticalRongtong Real Estate Property Management Co ltd
Priority to CN202211204553.XApriorityCriticalpatent/CN115271567B/en
Publication of CN115271567ApublicationCriticalpatent/CN115271567A/en
Application grantedgrantedCritical
Publication of CN115271567BpublicationCriticalpatent/CN115271567B/en
Activelegal-statusCriticalCurrent
Anticipated expirationlegal-statusCritical

Links

Images

Classifications

Landscapes

Abstract

The invention provides a property service data analysis method and system based on a work order scheduling platform. The property service data analysis method comprises the following steps: the property service system sends work order information generated by each task execution mechanism in task execution to a work order scheduling platform, and the work order scheduling platform combines a work order monitoring time period setting model to set and monitor a monitoring time period for receiving the work order information; after receiving the work order information, the work order scheduling platform analyzes and identifies the data of the work order information to obtain the task execution state of each task execution mechanism, calls the work order information required by the task execution mechanism to the corresponding task execution mechanism, and performs coordinated scheduling on the task execution among the task execution mechanisms of the property service system; and visually displaying the coordination scheduling condition of the work order scheduling platform by using the IOC platform. The system comprises modules corresponding to the method steps.

Description

Property service data analysis method and system based on work order scheduling platform
Technical Field
The invention provides a property service data analysis method and system based on a work order scheduling platform, and belongs to the technical field of scheduling data analysis.
Background
With the continuous improvement of intelligent management technology, a property service intelligent platform for one service area is gradually applied to various large property management works, but in the technology, various services and tasks of the property service need manual supervision and scheduling, so that the problems of low automation degree of the property service platform, high manual consumption and low service and task scheduling efficiency occur.
Disclosure of Invention
The invention provides a property service data analysis method and system based on a work order scheduling platform, which are used for solving the problems that in the prior art, the property service platform is low in automation degree, large in labor consumption and low in service and task scheduling efficiency due to the fact that execution of various services and tasks of property services needs manual supervision and scheduling, and the adopted technical scheme is as follows:
a property service data analysis method based on a work order scheduling platform comprises the following steps:
the property service system sends work order information generated by each task execution mechanism in task execution to a work order scheduling platform, and the work order scheduling platform combines a work order monitoring time period setting model to set and monitor a monitoring time period for work order information reception;
after receiving the work order information, the work order scheduling platform analyzes and identifies the data of the work order information to obtain the task execution state of each task execution mechanism, calls the work order information required by the task execution mechanism to the corresponding task execution mechanism, and performs coordinated scheduling on the task execution among the task execution mechanisms of the property service system;
and visually displaying the coordination scheduling condition of the work order scheduling platform by using the IOC platform.
Further, the property service system sends the work order information generated by each task execution mechanism in the task execution to the work order scheduling platform, and the work order scheduling platform combines the work order monitoring time period setting model to perform monitoring time period setting and monitoring on the work order information reception, and the method comprises the following steps:
the property service system monitors stage work order information generated by each task execution mechanism in the task execution process in real time; the task execution mechanism comprises an intelligent equipment execution mechanism, a routing inspection execution mechanism, a maintenance execution mechanism, a customer service execution mechanism and a hidden danger counting execution mechanism; the tasks comprise an intelligent equipment operation task, an inspection task, a maintenance task, a customer service task and a hidden danger counting task;
immediately sending the work order information to the work order scheduling platform;
the work order scheduling platform extracts all task execution flows of the property service system, and sets a monitoring time period corresponding to each task execution stage according to a task execution time period corresponding to a task execution flow node specified in the task execution flow and a work order monitoring time period setting model; the work order monitoring time interval setting model comprises the following steps:
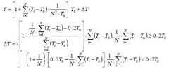
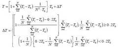
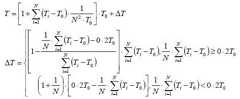
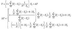
Figure DEST_PATH_IMAGE001
wherein,Trepresenting a monitoring time period corresponding to each task execution stage;T0 representing a task execution time period corresponding to a task execution flow node specified in the task execution flow;Nrepresenting the corresponding execution times of the current task execution stage; since the tasks in the property service system are performed cyclically, and back, therefore,Nrepresenting the first corresponding to the task execution stage in current executionNExecuting corresponding times;Ti denotes the firstiWhen the current task execution stage is executed, the work order scheduling platform receives the actual receiving time length of the corresponding work order information;
and when the monitoring time period corresponding to each task execution stage is exceeded and the corresponding work order information is not received, the work order scheduling platform performs early warning.
Further, the task execution state of each task execution mechanism is obtained through data analysis and identification of the work order information, and the method comprises the following steps:
marking a unique identification code for the task execution mechanism, and marking the unique identification code for all the work order information generated by the task execution mechanism;
forming a work order information database corresponding to the task execution mechanism according to the unique identification code mark;
scanning work order information and extracting task execution time information, task execution content information and task execution result information in the work order information;
and determining the current task execution stage and the task execution state corresponding to the task execution stage according to the task execution time information, the task execution content information and the task execution result information. The task execution state is determined according to the type of the task execution mechanism and the difference of the executed tasks, for example, the task execution state corresponding to the device running task of the intelligent device is as follows: run, shut down, and/or maintenance; the inspection task state is as follows: the inspection is finished and not finished; the maintenance task state is as follows: incomplete tasks, complete tasks, and/or overdue tasks are not executed; the state of the customer service task is: the customer service is completed, the customer service is not completed and the customer satisfaction degree is reached; the states of the hidden danger counting task are hidden danger counting completion, hidden danger rectification completion and hidden danger counting incompletion.
Furthermore, the method for scheduling the work order information required by the task execution mechanism to execute the tasks to the corresponding task execution mechanism and performing coordinated scheduling on the task execution among the task execution mechanisms of the property service system comprises the following steps:
extracting all task execution flows of the property service system and task execution flow nodes corresponding to each task execution flow, and forming a task execution logic diagram by using the task execution flows and the task execution flow nodes;
the method comprises the following steps of extracting all task execution flows of a property service system and task execution flow nodes corresponding to each task execution flow, and forming a task execution logic diagram by using the task execution flows and the task execution flow nodes, wherein the method comprises the following steps:
extracting all task execution flows of the property service system and task execution flow nodes corresponding to each task execution flow;
forming a task execution logic diagram corresponding to each task according to a task execution flow and task execution flow nodes, wherein the task execution logic diagram comprises the task execution logic nodes corresponding to the task execution flow nodes and execution logic guide lines corresponding to the obtained task execution flow;
and extracting a task execution mechanism which each task execution flow node participates in, and attaching the task execution mechanism to a task execution logic node corresponding to the task execution flow node.
And according to the task execution logic diagram, combining the current task execution stage and the task execution state corresponding to the task execution stage, sending corresponding work order information to a task execution mechanism which the task execution logic node participates in on each task execution logic node of the task execution logic diagram, and executing the next stage of task by the task execution mechanism according to the work order information.
According to the task execution logic diagram, in combination with the current task execution stage and the task execution state corresponding to the task execution stage, sending corresponding work order information to a task execution mechanism involved in the task execution logic node on each task execution logic node of the task execution logic diagram, wherein the task execution mechanism executes the next stage of task according to the work order information, and the method comprises the following steps:
the work order scheduling platform acquires the logic node positions of the task execution logic diagram of the task execution stage corresponding to the current execution mechanism and the task execution state corresponding to the task execution stage according to the task execution state of the current task execution stage and the task execution stage, and the logic node positions serve as current logic nodes;
acquiring a next execution logic node corresponding to the current logic node according to the task execution logic diagram and the current task logic position, and taking the next execution logic node as a target logic node;
extracting the task execution mechanisms participated in by the target logic node, and sending the work order information acquired by the previous task execution mechanism in the task execution logic after completing the periodic task to the next task execution mechanism according to the execution sequence and the execution logic of the task execution mechanisms in the task execution process, wherein the execution sequence and the execution logic comprise the task execution logic;
and after the next task execution mechanism acquires the work order information, executing the next stage of task according to the current task execution stage contained in the work order information and the task execution state corresponding to the task execution stage.
Further, the visual display of the coordination scheduling condition of the work order scheduling platform by using the IOC platform comprises the following steps:
the work order scheduling platform sends the task execution state and the coordination scheduling condition of each task execution mechanism to the IOC platform;
the IOC platform extracts a task execution flow and a task execution logic diagram after receiving the task execution state and the coordination scheduling condition of each task execution mechanism, and visually displays the task execution state and the coordination scheduling condition of each task execution mechanism by combining the task execution flow and the task execution logic diagram.
A property service data analysis system based on a work order scheduling platform, the property service data analysis system comprising:
the system comprises a sending and monitoring module, a work order scheduling platform and a work order monitoring module, wherein the sending and monitoring module is used for sending work order information generated by each task execution mechanism in task execution to the work order scheduling platform by the property service system, and the work order scheduling platform is used for setting and monitoring a monitoring time period for receiving the work order information by combining with a work order monitoring time period setting model; the work order information includes task execution detailed data at a task execution stage corresponding to a task execution flow node when each task execution mechanism reaches the task execution flow node, and specifically, the work order information includes task execution time information, task execution participant information, task execution content information, and task execution result information.
The scheduling module is used for acquiring the task execution state of each task execution mechanism by analyzing and identifying the data of the work order information after the work order scheduling platform receives the work order information, calling the work order information required by the task execution mechanism to the corresponding task execution mechanism, and performing coordinated scheduling on the task execution among the task execution mechanisms of the property service system;
and the display module is used for visually displaying the coordination scheduling condition of the work order scheduling platform by utilizing the IOC platform.
Further, the sending and monitoring module includes:
the work order information generation module is used for monitoring the staged work order information generated by each task execution mechanism in the task execution process in real time by the property service system; the task execution mechanism comprises an intelligent equipment execution mechanism, a routing inspection execution mechanism, a maintenance execution mechanism, a customer service execution mechanism and a hidden danger counting execution mechanism; the tasks comprise an intelligent equipment operation task, an inspection task, a maintenance task, a customer service task and a hidden danger counting task;
the data sending module is used for immediately sending the work order information to the work order scheduling platform;
the time period setting module is used for extracting all task execution flows of the property service system by the work order scheduling platform and setting a monitoring time period corresponding to each task execution stage according to a task execution time period corresponding to a task execution flow node specified in the task execution flows by combining with a work order monitoring time period setting model; the work order monitoring time interval setting model is as follows:
Figure 695614DEST_PATH_IMAGE001
wherein,Trepresenting a monitoring time period corresponding to each task execution stage;T0 representing a task execution time period corresponding to a task execution flow node specified in the task execution flow;Nrepresenting the corresponding execution times of the current task execution stage; since the tasks in the property service system are performed cyclically, and back, therefore,Nrepresents the corresponding first stage of the task execution stage in the current executionNExecuting corresponding times;Ti denotes the firstiWhen the current task execution stage is executed, the work order scheduling platform receives actual receiving of corresponding work order informationA duration;
and the monitoring early warning module is used for carrying out early warning by the work order scheduling platform when the corresponding work order information is not received in the monitoring time period corresponding to each task execution stage.
Further, the scheduling module includes:
the marking module is used for marking the unique identification code for the task execution mechanism and marking the unique identification code for all the work order information generated by the task execution mechanism;
the database construction module is used for forming a work order information database corresponding to the task execution mechanism according to the unique identification code mark;
the information extraction module is used for scanning the work order information and extracting task execution time information, task execution content information and task execution result information in the work order information;
and the state determining module is used for determining the current task execution stage and the task execution state corresponding to the task execution stage according to the task execution time information, the task execution content information and the task execution result information. The task execution state is determined according to the type of the task execution mechanism and the difference of the executed tasks, for example, the task execution state corresponding to the device running task of the intelligent device is as follows: operation, shutdown, and/or maintenance; the inspection task state is as follows: the inspection is finished and not finished; the maintenance task state is as follows: incomplete tasks, complete tasks, and/or overdue tasks are not executed; the state of the customer service task is: customer service completion, customer service incompletion and customer satisfaction; the states of the hidden danger counting task are hidden danger counting completion, hidden danger rectification completion and hidden danger counting incompletion.
Further, the scheduling module further comprises:
the logic diagram generation module is used for extracting all task execution flows of the property service system and task execution flow nodes corresponding to each task execution flow, and forming a task execution logic diagram by using the task execution flows and the task execution flow nodes;
and the coordination scheduling module is used for sending corresponding work order information to the task execution mechanism which the task execution logic node participates in on each task execution logic node of the task execution logic graph according to the task execution logic graph by combining the current task execution stage and the task execution state corresponding to the task execution stage, and the task execution mechanism executes the next stage task according to the work order information.
Wherein the logic diagram generation module comprises:
the process node extraction module is used for extracting all task execution processes of the property service system and task execution process nodes corresponding to each task execution process;
the logic diagram forming module is used for forming a task execution logic diagram corresponding to each task according to a task execution flow and task execution flow nodes, wherein the task execution logic diagram comprises the task execution logic nodes corresponding to the task execution flow nodes and execution logic guide lines corresponding to the obtained task execution flow;
and the attachment module is used for extracting the task execution mechanism which each task execution flow node participates in, and attaching the task execution mechanism to the task execution logic node corresponding to the task execution flow node.
Wherein the coordinated scheduling module comprises:
the current logic node acquisition module is used for acquiring the logic node positions of the task execution logic graph of the task execution stage corresponding to the current execution mechanism and the task execution state corresponding to the task execution stage according to the task execution state of the current task execution stage and the task execution stage, and the logic node positions are used as current logic nodes;
a target logic node obtaining module, configured to obtain, according to the task execution logic graph and in combination with the current task logic location, a next execution logic node corresponding to the current logic node according to task execution logic, and use the next execution logic node as a target logic node;
the mechanism extraction module is used for extracting the task execution mechanisms participating in the target logic node, and sending the work order information acquired by the previous task execution mechanism in the task execution logic after completing the periodic tasks to the next task execution mechanism according to the execution sequence and the execution logic of the task execution mechanisms in the task execution process, wherein the execution sequence and the execution logic comprise the task execution logic;
and the execution control module is used for executing the next-stage task according to the current task execution stage contained in the work order information and the task execution state corresponding to the task execution stage after the next task execution mechanism acquires the work order information.
Further, the display module comprises:
the information sending module is used for the work order scheduling platform to send the task execution state and the coordination scheduling condition of each task execution mechanism to the IOC platform, wherein the task execution state and the coordination scheduling condition are obtained by identification;
and the visual display module is used for extracting a task execution flow and a task execution logic diagram after the IOC platform receives the task execution state and the coordination scheduling condition of each task execution mechanism, and carrying out visual display on the task execution state and the coordination scheduling condition of each task execution mechanism by combining the task execution flow and the task execution logic diagram.
The invention has the beneficial effects that:
according to the property service data analysis method and system based on the work order scheduling platform, the work order information generated by each task execution mechanism in the task execution process of each stage is obtained, sent and called through the work order scheduling platform, so that automatic coordination scheduling among all task execution mechanisms in the property service system and/or all task execution mechanisms in the business system is achieved, and the task execution scheduling efficiency and scheduling accuracy of the task execution mechanisms are effectively improved. The problem that the error rate is high due to the fact that the proportion of manual participation in the real estate service task scheduling is too high is solved, and manual consumption can be reduced to the maximum extent. Meanwhile, the operation conditions and states of the work order scheduling platform and the property service system are displayed in real time in an IOC platform display mode, operation monitoring personnel can conveniently and directly observe the operation states of the system in real time, and supervision visualization performance and intuition are improved.
Drawings
FIG. 1 is a flow chart of a property service data analysis method of the present invention;
FIG. 2 is a system diagram of a property service data analysis system of the present invention;
FIG. 3 is a system block diagram of a property service data analysis system of the present invention.
Detailed Description
The preferred embodiments of the present invention will be described in conjunction with the accompanying drawings, and it should be understood that they are presented herein only to illustrate and explain the present invention and not to limit the present invention.
The embodiment of the invention provides a property service data analysis method based on a work order scheduling platform, which comprises the following steps of:
s1, a property service system sends work order information generated by each task execution mechanism in task execution to a work order scheduling platform, and the work order scheduling platform combines a work order monitoring time period setting model to set and monitor a monitoring time period for work order information reception;
s2, after receiving the work order information, the work order scheduling platform analyzes and identifies the data of the work order information to obtain the task execution state of each task execution mechanism, calls the work order information required by the task execution mechanism to the corresponding task execution mechanism, and performs coordinated scheduling on the task execution among the task execution mechanisms of the property service system;
and S3, visually displaying the coordination scheduling condition of the work order scheduling platform by using the IOC platform.
The working principle of the technical scheme is as follows: firstly, the property service system sends work order information generated by each task execution mechanism in task execution to a work order scheduling platform, and the work order scheduling platform combines a work order monitoring time period setting model to set and monitor a monitoring time period for work order information reception; the work order information includes task execution detailed data at a task execution stage corresponding to a task execution flow node when each task execution mechanism reaches the task execution flow node, and specifically, the work order information includes task execution time information, task execution participant information, task execution content information, and task execution result information. Then, after receiving the work order information, the work order scheduling platform analyzes and identifies the data of the work order information to obtain the task execution state of each task execution mechanism, calls the work order information required by the task execution mechanism to the corresponding task execution mechanism, and performs coordinated scheduling on the task execution among the task execution mechanisms of the property service system; and finally, visually displaying the coordination scheduling condition of the work order scheduling platform by using the IOC platform.
Specifically, each task execution mechanism in the property service system executes tasks according to a task execution flow and task execution logic in the task execution process, and generates corresponding work order information at a task execution flow node. Therefore, in the process of executing tasks by each task execution mechanism, each task execution node generates work order information corresponding to the task execution node and sends the work order information to a work order scheduling platform. Because each task execution mechanism in the property service system can have cross operation among the task execution mechanisms in the task execution process, namely, the next task execution of a certain task execution mechanism needs other task execution mechanisms to complete a certain task and then can be started to execute, the work order scheduling platform is required to identify the corresponding task execution state of each task mechanism through the received work order information, and call the task execution mechanism which is participated in by the corresponding node of the task execution flow to the task execution mechanism which is participated in by the corresponding node of the task execution flow according to the task execution logic or the corresponding work order information generated by other task mechanisms at the corresponding node of the task execution flow. That is, the coordination and scheduling of task execution by each task mechanism in the property service system according to the task execution flow and the execution logic are realized by using the work order call of the work order scheduling platform and the work order information transmission of the corresponding task mechanism. Meanwhile, the work order scheduling platform sends the coordination and scheduling process of task execution of each task mechanism in the property service system according to the task execution flow and the execution logic to the IOC platform according to the stage state corresponding to the flow execution node for visual display.
The effect of the above technical scheme is as follows: according to the property service data analysis method based on the work order scheduling platform, the work order scheduling platform obtains, sends and calls the work order information generated by each task execution mechanism in the task execution process of each stage to achieve automatic coordination scheduling among each task execution mechanism in the property service system and/or each task execution mechanism in the business system, and efficiency and scheduling accuracy of task execution scheduling of the task execution mechanisms are effectively improved. The problem that the error rate is high due to the fact that the property service task scheduling proportion is too high when people participate in the process is solved, and the manual consumption can be reduced to the maximum extent. Meanwhile, the operation conditions and states of the work order scheduling platform and the property service system are displayed in real time in an IOC platform display mode, operation monitoring personnel can conveniently observe the operation states of the system in real time and directly, and supervision visualization performance and intuition are improved.
In one embodiment of the present invention, a property service system sends work order information generated by each task execution mechanism during task execution to a work order scheduling platform, and the work order scheduling platform combines a work order monitoring time period setting model to set and monitor a monitoring time period for receiving the work order information, including:
s101, the property service system monitors stage work order information generated by each task execution mechanism in the task execution process in real time;
s102, immediately sending the work order information to the work order scheduling platform;
s103, the work order scheduling platform extracts all task execution flows of the property service system, and sets a monitoring time period corresponding to each task execution stage according to a task execution time period corresponding to a task execution flow node specified in the task execution flows and a work order monitoring time period setting model; the work order monitoring time interval setting model is as follows:
Figure 81596DEST_PATH_IMAGE001
wherein,Trepresenting a monitoring time period corresponding to each task execution stage;T0 representing a task execution time period corresponding to a task execution flow node specified in the task execution flow;Nrepresenting the corresponding execution times of the current task execution stage; since the tasks in the property service system are performed cyclically, and back, therefore,Nrepresenting the first corresponding to the task execution stage in current executionNExecuting corresponding times;Ti is shown asiWhen the current task execution stage is executed, the work order scheduling platform receives the actual receiving time length of the corresponding work order information;
and S104, when the corresponding work order information is not received in the monitoring time period corresponding to each task execution stage, the work order scheduling platform performs early warning.
The working principle of the technical scheme is as follows: firstly, the property service system monitors the stage work order information generated by each task execution mechanism in the task execution process in real time; the task execution mechanism comprises an intelligent equipment execution mechanism, a routing inspection execution mechanism, a maintenance execution mechanism, a customer service execution mechanism and a hidden danger counting execution mechanism; the tasks comprise an intelligent equipment operation task, an inspection task, a maintenance task, a customer service task and a hidden danger counting task; then, the work order information is immediately sent to the work order scheduling platform; then, the work order scheduling platform extracts all task execution flows of the property service system, and sets a monitoring time period corresponding to each task execution stage according to a task execution time period corresponding to a task execution flow node specified in the task execution flow and a work order monitoring time period setting model; and finally, when the corresponding work order information is not received in the monitoring time period corresponding to each task execution stage, the work order scheduling platform performs early warning.
The effect of the above technical scheme is as follows: by the method, the efficiency and the timeliness of acquiring each work order information from the property service system by the work order scheduling platform can be effectively improved. Meanwhile, the work order information is acquired according to the task execution flow, so that the tightness of acquiring the work order information can be effectively improved, and further, the problem that the work order information corresponding to the task execution stage is missed and is not found can be effectively prevented. Meanwhile, the work order information of the work order scheduling platform is received and monitored through the monitoring time period, so that the timeliness monitoring degree and the monitoring accuracy of obtaining the work order information in each task execution stage can be effectively improved. And the setting of the monitoring time period is carried out by combining the formulated time of each task execution stage through the formula, so that the matching between the setting of the monitoring time period and the actual execution situation of each task and the reasonability of the setting of the monitoring time period can be effectively improved, meanwhile, the monitoring time period setting provides enough and high-reasonability monitoring delay corresponding to the delay and redundancy processing situation of each task execution mechanism system along with the increase of time and the execution task frequency, the sufficient delay time duration can be ensured to be provided for the information transmission of the task execution work order, the condition of false early warning is prevented from occurring, the provision of the delay time duration can be maximally shortened, the problem that the abnormality of the work order information transmission and the task execution mechanism execution task cannot be found in time due to the overlong setting of the delay time duration is prevented, the problem of the abnormality finding timeliness is further reduced, and the timeliness of the abnormality finding is effectively improved through the setting of the delay time duration.
In one embodiment of the present invention, the acquiring of the task execution state of each task execution mechanism by data analysis and identification of the work order information includes:
step A201, marking a unique identification code for the task execution mechanism, and marking the unique identification code for all work order information generated by the task execution mechanism;
step A202, forming a work order information database corresponding to the task execution mechanism according to the unique identification code mark;
step A203, scanning work order information and extracting task execution time information, task execution content information and task execution result information in the work order information;
step A204, determining the current task execution stage and the task execution state corresponding to the task execution stage according to the task execution time information, the task execution content information and the task execution result information.
The working principle of the technical scheme is as follows: firstly, marking a unique identification code on the task execution mechanism, and marking the unique identification code on all work order information generated by the task execution mechanism; then, forming a work order information database corresponding to the task execution mechanism according to the unique identification code mark; then, scanning work order information and extracting task execution time information, task execution content information and task execution result information in the work order information; and finally, determining the current task execution stage and the task execution state corresponding to the task execution stage according to the task execution time information, the task execution content information and the task execution result information. The task execution state is determined according to the type of the task execution mechanism and the difference of the executed tasks, for example, the task execution state corresponding to the device running task of the intelligent device is as follows: operation, shutdown, and/or maintenance; the inspection task state is as follows: the inspection is finished and not finished; the maintenance task state is as follows: task incomplete, task complete and/or task overdue and unexecuted; the state of the customer service task is: customer service completion, customer service incompletion and customer satisfaction; the states of the hidden danger counting task are that hidden danger counting is completed, hidden danger rectification is completed and hidden danger counting is not completed.
The effect of the above technical scheme is as follows: through the mode that above-mentioned unique identification code mark and work order information database were established, can effectively improve the management rationality and the management tightness of the work order information that every task execution mechanism corresponds, make things convenient for follow-up trouble to trace back the convenience of getting of work order information among the in-process and trace back the treatment effeciency, prevent the storage confusion that work order information collective storage leads to, the supervision confusion easily leads to work order information to call wrong problem to take place.
One embodiment of the invention calls the work order information required by the task execution mechanism to execute the task to the corresponding task execution mechanism, and carries out coordination scheduling on the task execution among the task execution mechanisms of the property service system, and the method comprises the following steps:
step B201, extracting all task execution flows of the property service system and task execution flow nodes corresponding to each task execution flow, and forming a task execution logic diagram by using the task execution flows and the task execution flow nodes;
the method comprises the following steps of extracting all task execution flows of a property service system and task execution flow nodes corresponding to each task execution flow, and forming a task execution logic diagram by using the task execution flows and the task execution flow nodes, wherein the method comprises the following steps:
step B2011, all task execution flows of the property service system and task execution flow nodes corresponding to each task execution flow are extracted;
step B2012, a task execution logic diagram corresponding to each task is formed according to the task execution flow and the task execution flow nodes, wherein the task execution logic diagram comprises the task execution logic nodes corresponding to the task execution flow nodes and execution logic guide lines corresponding to the obtained task execution flow;
and step B2013, extracting the task execution mechanism which each task execution flow node participates in, and attaching the task execution mechanism to the task execution logic node corresponding to the task execution flow node.
Step B202, according to the task execution logic diagram, combining the current task execution stage and the task execution state corresponding to the task execution stage, sending corresponding work order information to the task execution mechanism involved by the task execution logic node on each task execution logic node of the task execution logic diagram, and the task execution mechanism executing the next stage task according to the work order information.
According to the task execution logic diagram, combining the current task execution stage and the task execution state corresponding to the task execution stage, sending corresponding work order information to a task execution mechanism which the task execution logic node participates in on each task execution logic node of the task execution logic diagram, and executing the next stage task by the task execution mechanism according to the work order information, wherein the method comprises the following steps:
step B2021, the work order scheduling platform acquires the logical node positions of the task execution logic diagram of the task execution stage corresponding to the current execution mechanism and the task execution state corresponding to the task execution stage according to the task execution state of the current task execution stage and the task execution stage, and takes the logical node positions as current logical nodes;
step B2022, obtaining a next execution logic node corresponding to the current logic node according to the task execution logic diagram and the current task logic position, and taking the next execution logic node as a target logic node;
step B2023, extracting the task execution mechanisms participating in the target logic node, and sending the work order information acquired by the previous task execution mechanism in the task execution logic after completing the periodic task to the next task execution mechanism according to the execution sequence and the execution logic of the task execution mechanisms in the task execution process, wherein the execution sequence and the execution logic comprise the task execution logic;
step B2024, after the next task execution mechanism obtains the work order information, the next task execution mechanism executes the task of the next stage according to the current task execution stage included in the work order information and the task execution state corresponding to the task execution stage.
The working principle of the technical scheme is as follows: extracting all task execution flows of the property service system and task execution flow nodes corresponding to each task execution flow; forming a task execution logic diagram corresponding to each task according to a task execution flow and task execution flow nodes, wherein the task execution logic diagram comprises the task execution logic nodes corresponding to the task execution flow nodes and execution logic guide lines corresponding to the obtained task execution flow; and extracting a task execution mechanism which each task execution flow node participates in, and attaching the task execution mechanism to a task execution logic node corresponding to the task execution flow node. The work order scheduling platform acquires the logic node positions of the task execution logic graph of the task execution stage corresponding to the current execution mechanism and the task execution state corresponding to the task execution stage according to the task execution state of the current task execution stage and the task execution state corresponding to the task execution stage, and the logic node positions are used as current logic nodes; acquiring a next execution logic node corresponding to the current logic node according to the task execution logic diagram and the current task logic position, and taking the next execution logic node as a target logic node; extracting the task execution mechanisms participated in by the target logic node, and sending the work order information acquired by the previous task execution mechanism in the task execution logic after completing the periodic task to the next task execution mechanism according to the execution sequence and the execution logic of the task execution mechanisms in the task execution process, wherein the execution sequence and the execution logic comprise the task execution logic; and after the next task execution mechanism acquires the work order information, executing the next-stage task according to the current task execution stage contained in the work order information and the task execution state corresponding to the task execution stage.
The effect of the above technical scheme is as follows: by combining the task execution flow and the task execution flow node to generate the task execution logic, the corresponding logic node and the execution logic guide line, the logic accuracy and the scheduling accuracy of the property service system scheduling performed by the work order scheduling platform can be effectively improved, the efficiency and the operation stability of coordinated scheduling are further effectively improved, and the error occurrence rate and the unreasonable scheduling occurrence rate of task scheduling execution can be further effectively reduced due to the fact that the work order scheduling platform is based on the task execution flow and the task execution logic. And further effectively improving the stability and the scheduling rationality of the real-time scheduling operation of the work order scheduling platform.
In an embodiment of the present invention, the visual display of the coordination scheduling condition of the work order scheduling platform by using the IOC platform includes:
s301, the work order scheduling platform sends the task execution state and the coordination scheduling condition of each task execution mechanism to the IOC platform, wherein the task execution state and the coordination scheduling condition are obtained through recognition;
s302, after receiving the task execution state and the coordination scheduling condition of each task execution mechanism, the IOC platform extracts a task execution flow and a task execution logic diagram, and visually displays the task execution state and the coordination scheduling condition of each task execution mechanism by combining the task execution flow and the task execution logic diagram.
The working principle of the technical scheme is as follows: firstly, the work order scheduling platform sends the task execution state and the coordination scheduling condition of each task execution mechanism to the IOC platform, wherein the task execution state and the coordination scheduling condition are obtained through recognition; and then, after receiving the task execution state and the coordination scheduling condition of each task execution mechanism, the IOC platform extracts a task execution flow and a task execution logic diagram, and visually displays the task execution state and the coordination scheduling condition of each task execution mechanism by combining the task execution flow and the task execution logic diagram.
The effect of the above technical scheme is as follows: through the mode, the operation conditions and states of the work order scheduling platform and the property service system are displayed in real time through the IOC platform display mode, the operation state of the system can be conveniently and directly observed by operation monitoring personnel in real time, and the visual monitoring performance and the intuition are improved.
The embodiment of the invention provides a property service data analysis system based on a work order scheduling platform, which comprises the following components:
the system comprises a sending and monitoring module, a work order scheduling platform and a work order monitoring module, wherein the sending and monitoring module is used for sending work order information generated by each task execution mechanism in task execution to the work order scheduling platform by the property service system, and the work order scheduling platform is used for setting and monitoring a monitoring time period for receiving the work order information by combining with a work order monitoring time period setting model;
the scheduling module is used for acquiring the task execution state of each task execution mechanism by analyzing and identifying the data of the work order information after the work order scheduling platform receives the work order information, calling the work order information required by the task execution mechanism to the corresponding task execution mechanism, and performing coordinated scheduling on the task execution among the task execution mechanisms of the property service system;
and the display module is used for visually displaying the coordination scheduling condition of the work order scheduling platform by utilizing the IOC platform.
The working principle of the technical scheme is as follows: firstly, a property service system is controlled by a sending and monitoring module to send work order information generated by each task execution mechanism in task execution to a work order scheduling platform, and the work order scheduling platform is combined with a work order monitoring time period setting model to set and monitor a monitoring time period for receiving the work order information; the work order information includes task execution detailed data at a task execution stage corresponding to a task execution flow node when each task execution mechanism reaches the task execution flow node, and specifically, the work order information includes task execution time information, task execution participant information, task execution content information, and task execution result information. Then, after the work order information is received by the work order scheduling platform through the scheduling module, the task execution state of each task execution mechanism is obtained through data analysis and identification of the work order information, the work order information required by the task execution mechanisms for executing the tasks is called to the corresponding task execution mechanisms, and task execution among the task execution mechanisms of the property service system is coordinated and scheduled; and finally, visually displaying the coordination scheduling condition of the work order scheduling platform by using the IOC platform through a display module.
Specifically, each task execution mechanism in the property service system executes tasks according to a task execution flow and task execution logic in the task execution process, and generates corresponding work order information at a task execution flow node. Therefore, in the process of executing tasks by each task execution mechanism, each task execution node generates work order information corresponding to the task execution node and sends the work order information to the work order scheduling platform. Because each task execution mechanism in the property service system can have cross operation among the task execution mechanisms in the task execution process, namely, the next task execution of a certain task execution mechanism needs other task execution mechanisms to complete a certain task and then can be started to execute, the work order scheduling platform is required to identify the corresponding task execution state of each task mechanism through the received work order information, and call the task execution mechanism which is participated in by the corresponding node of the task execution flow to the task execution mechanism which is participated in by the corresponding node of the task execution flow according to the task execution logic or the corresponding work order information generated by other task mechanisms at the corresponding node of the task execution flow. That is, the coordination and scheduling of task execution by each task mechanism in the property service system according to the task execution flow and the execution logic are realized by using the work order call of the work order scheduling platform and the work order information transmission of the corresponding task mechanism. Meanwhile, the work order scheduling platform sends the coordination and scheduling process of task execution of each task mechanism in the property service system according to the task execution flow and the execution logic to the IOC platform according to the stage state corresponding to the flow execution node for visual display.
The effect of the above technical scheme is: the property service data analysis system based on the work order scheduling platform provided by the embodiment realizes the automatic coordination scheduling among the task execution mechanisms in the property service system and/or the task execution mechanisms in the business system by acquiring, sending and calling the work order information generated by each task execution mechanism in the task execution process of each stage through the work order scheduling platform, and effectively improves the efficiency and the accuracy of the task execution scheduling of the task execution mechanisms. The problem that the error rate is high due to the fact that the property service task scheduling proportion is too high when people participate in the process is solved, and the manual consumption can be reduced to the maximum extent. Meanwhile, the operation conditions and states of the work order scheduling platform and the property service system are displayed in real time in an IOC platform display mode, operation monitoring personnel can conveniently and directly observe the operation states of the system in real time, and supervision visualization performance and intuition are improved.
In an embodiment of the present invention, the sending and monitoring module includes:
the work order information generation module is used for monitoring the stage work order information generated by each task execution mechanism in the task execution process in real time by the property service system;
the data sending module is used for immediately sending the work order information to the work order scheduling platform;
the time period setting module is used for extracting all task execution flows of the property service system by the work order scheduling platform and setting a monitoring time period corresponding to each task execution stage according to a task execution time period corresponding to a task execution flow node specified in the task execution flow by combining a work order monitoring time period setting model; the work order monitoring time interval setting model comprises the following steps:
Figure 330175DEST_PATH_IMAGE001
wherein,Trepresenting a monitoring time period corresponding to each task execution stage;T0 representing a task execution time period corresponding to a task execution flow node specified in the task execution flow;Nrepresenting the corresponding execution times of the current task execution stage; since the tasks in the property service system are performed cyclically, and back, therefore,Nrepresents the corresponding first stage of the task execution stage in the current executionNExecuting corresponding times;Ti is shown asiWhen the current task execution stage is executed, the work order scheduling platform receives the actual receiving time length of the corresponding work order information;
and the monitoring early warning module is used for carrying out early warning by the work order scheduling platform when the corresponding work order information is not received in the monitoring time period corresponding to each task execution stage.
The working principle of the technical scheme is as follows: firstly, controlling a property service system to monitor the stage work order information generated by each task execution mechanism in the task execution process in real time through a work order information generation module; the task execution mechanism comprises an intelligent equipment execution mechanism, a routing inspection execution mechanism, a maintenance execution mechanism, a customer service execution mechanism and a hidden danger counting execution mechanism; the tasks comprise an intelligent equipment operation task, an inspection task, a maintenance task, a customer service task and a hidden danger counting task; then, a data sending module is used for immediately sending the work order information to the work order scheduling platform; then, a time period setting module is adopted to control the work order scheduling platform to extract all task execution flows of the property service system, and a monitoring time period corresponding to each task execution stage is set according to a task execution time period corresponding to a task execution flow node specified in the task execution flow by combining with a work order monitoring time period setting model; and finally, when the monitoring time period corresponding to each task execution stage is exceeded and corresponding work order information is not received through the monitoring early warning module, the work order scheduling platform carries out early warning.
The effect of the above technical scheme is as follows: by the method, the efficiency and the timeliness of acquiring each work order information from the property service system by the work order scheduling platform can be effectively improved. Meanwhile, the work order information is acquired according to the task execution flow, so that the tightness of acquiring the work order information can be effectively improved, and further, the problem that the work order information corresponding to the task execution stage is missed and is not found can be effectively prevented. Meanwhile, the work order information of the work order scheduling platform is received and monitored through the monitoring time period, so that the timeliness monitoring degree and the monitoring accuracy of obtaining the work order information in each task execution stage can be effectively improved. And the setting of the monitoring time period is carried out by combining the formulated time of each task execution stage through the formula, so that the matching between the setting of the monitoring time period and the actual execution situation of each task and the reasonability of the setting of the monitoring time period can be effectively improved, meanwhile, the monitoring time period setting provides enough and high-reasonability monitoring delay corresponding to the delay and redundancy processing situation of each task execution mechanism system along with the increase of time and the execution task frequency, the sufficient delay time duration can be ensured to be provided for the information transmission of the task execution work order, the condition of false early warning is prevented from occurring, the provision of the delay time duration can be maximally shortened, the problem that the abnormality of the work order information transmission and the task execution mechanism execution task cannot be found in time due to the overlong setting of the delay time duration is prevented, the problem of the abnormality finding timeliness is further reduced, and the timeliness of the abnormality finding is effectively improved through the setting of the delay time duration.
In one embodiment of the present invention, the scheduling module includes:
the marking module is used for marking the unique identification code for the task execution mechanism and marking the unique identification code for all the work order information generated by the task execution mechanism;
the database construction module is used for forming a work order information database corresponding to the task execution mechanism according to the unique identification code mark;
the information extraction module is used for scanning the work order information and extracting task execution time information, task execution content information and task execution result information in the work order information;
and the state determining module is used for determining the current task execution stage and the task execution state corresponding to the task execution stage according to the task execution time information, the task execution content information and the task execution result information.
The working principle of the technical scheme is as follows: firstly, marking a unique identification code for the task execution mechanism through a marking module, and marking the unique identification code for all work order information generated by the task execution mechanism; then, a database construction module is used for forming a work order information database corresponding to the task execution mechanism according to the unique identification code mark; then, scanning the work order information through an information extraction module and extracting task execution time information, task execution content information and task execution result information in the work order information; and finally, determining the current task execution stage and the task execution state corresponding to the task execution stage by using a state determination module according to the task execution time information, the task execution content information and the task execution result information. The task execution state is determined according to the type of the task execution mechanism and the difference of the executed tasks, for example, the task execution state corresponding to the device running task of the intelligent device is as follows: run, shut down, and/or maintenance; the inspection task state is as follows: the inspection is finished and not finished; the maintenance task state is as follows: incomplete tasks, complete tasks, and/or overdue tasks are not executed; the state of the customer service task is: the customer service is completed, the customer service is not completed and the customer satisfaction degree is reached; the states of the hidden danger counting task are hidden danger counting completion, hidden danger rectification completion and hidden danger counting incompletion.
The effect of the above technical scheme is as follows: through the mode that above-mentioned unique identification code mark and work order information database were established, can effectively improve the management rationality and the management tightness of the work order information that every task execution mechanism corresponds, make things convenient for the convenience and the processing efficiency of traceing back to the work order information of follow-up trouble retrospection in-process, prevent the storage confusion that work order information collective storage leads to, the supervision confusion easily leads to the problem emergence that work order information was transferred and is taken the mistake.
In an embodiment of the present invention, the scheduling module further includes:
the logic diagram generation module is used for extracting all task execution flows of the property service system and task execution flow nodes corresponding to each task execution flow, and forming a task execution logic diagram by using the task execution flows and the task execution flow nodes;
and the coordination scheduling module is used for sending corresponding work order information to the task execution mechanism which the task execution logic node participates in on each task execution logic node of the task execution logic graph according to the task execution logic graph by combining the current task execution stage and the task execution state corresponding to the task execution stage, and the task execution mechanism executes the next stage task according to the work order information.
Wherein the logic diagram generation module comprises:
the process node extraction module is used for extracting all task execution processes of the property service system and task execution process nodes corresponding to each task execution process;
the logic diagram forming module is used for forming a task execution logic diagram corresponding to each task according to a task execution flow and task execution flow nodes, wherein the task execution logic diagram comprises the task execution logic nodes corresponding to the task execution flow nodes and execution logic guide lines corresponding to the obtained task execution flow;
and the attachment module is used for extracting the task execution mechanism which each task execution flow node participates in, and attaching the task execution mechanism to the task execution logic node corresponding to the task execution flow node.
Wherein the coordinated scheduling module comprises:
the current logic node acquisition module is used for acquiring the logic node positions of the task execution logic graph of the task execution stage corresponding to the current execution mechanism and the task execution state corresponding to the task execution stage according to the task execution state of the current task execution stage and the task execution stage, and the logic node positions are used as current logic nodes;
a target logic node obtaining module, configured to obtain, according to the task execution logic graph and in combination with the current task logic location, a next execution logic node corresponding to the current logic node according to task execution logic, and use the next execution logic node as a target logic node;
the mechanism extraction module is used for extracting the task execution mechanisms participating in the target logic node, and sending the work order information acquired by the previous task execution mechanism in the task execution logic after completing the periodic tasks to the next task execution mechanism according to the execution sequence and the execution logic of the task execution mechanisms in the task execution process, wherein the execution sequence and the execution logic comprise the task execution logic;
and the execution control module is used for executing the next-stage task according to the current task execution stage contained in the work order information and the task execution state corresponding to the task execution stage after the next task execution mechanism acquires the work order information.
The working principle of the technical scheme is as follows: firstly, extracting all task execution flows of a property service system and task execution flow nodes corresponding to each task execution flow through a logic diagram generation module, and forming a task execution logic diagram by using the task execution flows and the task execution flow nodes; and then, a coordinated scheduling module is adopted to combine the current task execution stage and the task execution state corresponding to the task execution stage according to the task execution logic diagram, corresponding work order information is sent to a task execution mechanism which participates in the task execution logic node on each task execution logic node of the task execution logic diagram, and the task execution mechanism executes the next stage of task according to the work order information.
The operation process of the logic diagram generation module comprises the following steps:
firstly, extracting all task execution flows of the property service system and task execution flow nodes corresponding to each task execution flow by using a flow node extraction module;
then, a logic graph forming module is adopted to form a task execution logic graph corresponding to each task according to a task execution flow and task execution flow nodes, wherein the task execution logic graph comprises task execution logic nodes corresponding to the task execution flow nodes and execution logic guide lines corresponding to the obtained task execution flow;
and finally, extracting a task execution mechanism which participates in each task execution flow node through an attachment module, and attaching the task execution mechanism to a task execution logic node corresponding to the task execution flow node.
The operation process of the coordinated scheduling module comprises the following steps:
firstly, a current logic node acquisition module is used for controlling the work order scheduling platform to acquire the logic node positions of a task execution logic graph of a task execution stage corresponding to a current execution mechanism and a task execution state corresponding to the task execution stage according to the task execution stage and the task execution state corresponding to the task execution stage, and the logic node positions are used as current logic nodes;
then, acquiring a next execution logic node corresponding to the current logic node according to the task execution logic by combining the current task logic position with the task execution logic diagram through a target logic node acquisition module, and taking the next execution logic node as a target logic node;
subsequently, a mechanism extraction module is adopted to extract the task execution mechanism which participates in the target logic node, and according to the execution sequence and the execution logic of the task execution mechanism in the task execution process, which are contained in the task execution logic, the work order information acquired by the previous task execution mechanism completing the periodic task in the task execution logic is sent to the next task execution mechanism;
and finally, controlling the next task execution mechanism to execute the next-stage task according to the current task execution stage contained in the work order information and the task execution state corresponding to the task execution stage after the work order information is acquired by the next task execution mechanism under the control of the execution control module.
The effect of the above technical scheme is as follows: by combining the task execution flow and the task execution flow node to generate the task execution logic, the corresponding logic node and the execution logic guide line, the logic accuracy and the scheduling accuracy of the work order scheduling platform for scheduling the property service system can be effectively improved, the efficiency of coordinated scheduling and the operation stability are further effectively improved, and the error occurrence rate and the unreasonable scheduling occurrence rate of task scheduling and execution can be further effectively reduced because the work order scheduling platform is based on the task execution flow and the task execution logic. And further effectively improving the stability and the rationality of real-time scheduling operation of the work order scheduling platform.
In one embodiment of the present invention, the display module comprises:
the information sending module is used for the work order scheduling platform to send the task execution state and the coordination scheduling condition of each task execution mechanism to the IOC platform, wherein the task execution state and the coordination scheduling condition are obtained by identification;
and the visual display module is used for extracting a task execution flow and a task execution logic diagram after the IOC platform receives the task execution state and the coordination scheduling condition of each task execution mechanism, and carrying out visual display on the task execution state and the coordination scheduling condition of each task execution mechanism by combining the task execution flow and the task execution logic diagram.
The working principle of the technical scheme is as follows: firstly, an information sending module controls a work order scheduling platform to send task execution states and coordination scheduling conditions of all task execution mechanisms obtained through recognition to an IOC platform; and then, controlling the IOC platform by using a visual display module to extract a task execution flow and a task execution logic diagram after receiving the task execution state and the coordination scheduling condition of each task execution mechanism, and carrying out visual display on the task execution state and the coordination scheduling condition of each task execution mechanism by combining the task execution flow and the task execution logic diagram.
The effect of the above technical scheme is as follows: through the mode, the operation condition and the state of the work order scheduling platform and the property service system are displayed in real time in an IOC platform display mode, the operation state of the system can be conveniently and directly observed by operation monitoring personnel in real time, and the supervision visualization performance and the intuition are improved.
It will be apparent to those skilled in the art that various changes and modifications may be made in the present invention without departing from the spirit and scope of the invention. Thus, if such modifications and variations of the present invention fall within the scope of the claims of the present invention and their equivalents, the present invention is also intended to include such modifications and variations.

Claims (10)

1. A property service data analysis method based on a work order scheduling platform is characterized by comprising the following steps:
the property service system sends work order information generated by each task execution mechanism in task execution to a work order scheduling platform, and the work order scheduling platform combines a work order monitoring time period setting model to set and monitor a monitoring time period for work order information reception;
after receiving the work order information, the work order scheduling platform analyzes and identifies the data of the work order information to obtain the task execution state of each task execution mechanism, calls the work order information required by the task execution mechanism to the corresponding task execution mechanism, and performs coordinated scheduling on the task execution among the task execution mechanisms of the property service system;
and visually displaying the coordination scheduling condition of the work order scheduling platform by using the IOC platform.
2. The property service data analysis method of claim 1, wherein the property service system sends work order information generated by each task execution mechanism during task execution to the work order scheduling platform, and the work order scheduling platform performs monitoring time period setting and monitoring on work order information reception in combination with a work order monitoring time period setting model, and the method comprises the following steps:
the property service system monitors stage work order information generated by each task execution mechanism in the task execution process in real time;
immediately sending the work order information to the work order scheduling platform;
the work order scheduling platform extracts all task execution flows of the property service system, and sets a monitoring time period corresponding to each task execution stage according to a task execution time period corresponding to a task execution flow node specified in the task execution flow and a work order monitoring time period setting model;
and when the monitoring time period corresponding to each task execution stage is exceeded and the corresponding work order information is not received, the work order scheduling platform performs early warning.
3. The property service data analysis method of claim 1, wherein identifying and obtaining the task execution status of each task execution mechanism through data analysis of the work order information comprises:
marking a unique identification code for the task execution mechanism, and marking the unique identification code for all work order information generated by the task execution mechanism;
forming a work order information database corresponding to the task execution mechanism according to the unique identification code mark;
scanning work order information and extracting task execution time information, task execution content information and task execution result information in the work order information;
and determining the current task execution stage and the task execution state corresponding to the task execution stage according to the task execution time information, the task execution content information and the task execution result information.
4. The property service data analysis method of claim 1, wherein the step of transferring the work order information required by the task execution mechanism to execute the task to the corresponding task execution mechanism and performing coordinated scheduling on the task execution among the task execution mechanisms of the property service system comprises:
extracting all task execution flows of the property service system and task execution flow nodes corresponding to each task execution flow, and forming a task execution logic diagram by using the task execution flows and the task execution flow nodes;
and according to the task execution logic diagram, combining the current task execution stage and the task execution state corresponding to the task execution stage, sending corresponding work order information to a task execution mechanism which the task execution logic node participates in on each task execution logic node of the task execution logic diagram, and executing the next stage task by the task execution mechanism according to the work order information.
5. The property service data analysis method of claim 1, wherein the step of visually displaying the coordinated scheduling condition of the work order scheduling platform by using the IOC platform comprises the following steps:
the work order scheduling platform sends the task execution state and the coordination scheduling condition of each task execution mechanism to the IOC platform;
the IOC platform extracts a task execution flow and a task execution logic diagram after receiving the task execution state and the coordination scheduling condition of each task execution mechanism, and visually displays the task execution state and the coordination scheduling condition of each task execution mechanism by combining the task execution flow and the task execution logic diagram.
6. A property service data analysis system based on a work order scheduling platform, the property service data analysis system comprising:
the system comprises a sending and monitoring module, a work order scheduling platform and a work order monitoring module, wherein the sending and monitoring module is used for sending work order information generated by each task execution mechanism in task execution to the work order scheduling platform by the property service system, and the work order scheduling platform is used for setting and monitoring a monitoring time period for receiving the work order information by combining with a work order monitoring time period setting model;
the scheduling module is used for acquiring the task execution state of each task execution mechanism by analyzing and identifying the data of the work order information after the work order scheduling platform receives the work order information, calling the work order information required by the task execution mechanism to the corresponding task execution mechanism, and performing coordinated scheduling on the task execution among the task execution mechanisms of the property service system;
and the display module is used for visually displaying the coordination scheduling condition of the work order scheduling platform by utilizing the IOC platform.
7. The property service data analysis system of claim 6, wherein the sending and monitoring module comprises:
the work order information generation module is used for monitoring the stage work order information generated by each task execution mechanism in the task execution process in real time by the property service system;
the data sending module is used for immediately sending the work order information to the work order scheduling platform;
the time period setting module is used for extracting all task execution flows of the property service system by the work order scheduling platform and setting a monitoring time period corresponding to each task execution stage according to a task execution time period corresponding to a task execution flow node specified in the task execution flow by combining a work order monitoring time period setting model;
and the monitoring early warning module is used for carrying out early warning by the work order scheduling platform when the corresponding work order information is not received in the monitoring time period corresponding to each task execution stage.
8. The property service data analysis system of claim 6, wherein the scheduling module comprises:
the marking module is used for marking the unique identification code for the task execution mechanism and marking the unique identification code for all the work order information generated by the task execution mechanism;
the database construction module is used for forming a work order information database corresponding to the task execution mechanism according to the unique identification code mark;
the information extraction module is used for scanning the work order information and extracting task execution time information, task execution content information and task execution result information in the work order information;
and the state determining module is used for determining the current task execution stage and the task execution state corresponding to the task execution stage according to the task execution time information, the task execution content information and the task execution result information.
9. The property service data analysis system of claim 6, wherein the scheduling module further comprises:
the logic diagram generation module is used for extracting all task execution flows of the property service system and task execution flow nodes corresponding to each task execution flow, and forming a task execution logic diagram by using the task execution flows and the task execution flow nodes;
and the coordination scheduling module is used for sending corresponding work order information to the task execution mechanism which the task execution logic node participates in on each task execution logic node of the task execution logic graph according to the task execution logic graph by combining the current task execution stage and the task execution state corresponding to the task execution stage, and the task execution mechanism executes the next stage task according to the work order information.
10. The property service data analysis system of claim 6, wherein the presentation module comprises:
the information sending module is used for the work order scheduling platform to send the task execution state and the coordination scheduling condition of each task execution mechanism to the IOC platform, wherein the task execution state and the coordination scheduling condition are obtained by identification;
and the visual display module is used for extracting a task execution flow and a task execution logic diagram after the IOC platform receives the task execution state and the coordination scheduling condition of each task execution mechanism, and carrying out visual display on the task execution state and the coordination scheduling condition of each task execution mechanism by combining the task execution flow and the task execution logic diagram.
CN202211204553.XA2022-09-302022-09-30Property service data analysis method and system based on work order scheduling platformActiveCN115271567B (en)

Priority Applications (1)

Application NumberPriority DateFiling DateTitle
CN202211204553.XACN115271567B (en)2022-09-302022-09-30Property service data analysis method and system based on work order scheduling platform

Applications Claiming Priority (1)

Application NumberPriority DateFiling DateTitle
CN202211204553.XACN115271567B (en)2022-09-302022-09-30Property service data analysis method and system based on work order scheduling platform

Publications (2)

Publication NumberPublication Date
CN115271567Atrue CN115271567A (en)2022-11-01
CN115271567B CN115271567B (en)2023-01-10

Family

ID=83757894

Family Applications (1)

Application NumberTitlePriority DateFiling Date
CN202211204553.XAActiveCN115271567B (en)2022-09-302022-09-30Property service data analysis method and system based on work order scheduling platform

Country Status (1)

CountryLink
CN (1)CN115271567B (en)

Citations (5)

* Cited by examiner, † Cited by third party
Publication numberPriority datePublication dateAssigneeTitle
US20140172479A1 (en)*2012-12-142014-06-19Lisa A. GallagherIntegrated Customer Profiling, Service Provider Matching and Smart Order, Creation System and Method
CN107291565A (en)*2017-06-092017-10-24千寻位置网络有限公司O&M visualizes automated job platform and implementation method
CN113762726A (en)*2021-08-132021-12-07广州启盟信息科技有限公司Property standardization management method, device and system
CN113887953A (en)*2021-09-302022-01-04深圳市万睿智能科技有限公司Intelligent scheduling management method and device, computer equipment and storage medium
CN114744769A (en)*2022-05-182022-07-12国网智能电网研究院有限公司Service processing method and system for power grid dispatching system

Patent Citations (5)

* Cited by examiner, † Cited by third party
Publication numberPriority datePublication dateAssigneeTitle
US20140172479A1 (en)*2012-12-142014-06-19Lisa A. GallagherIntegrated Customer Profiling, Service Provider Matching and Smart Order, Creation System and Method
CN107291565A (en)*2017-06-092017-10-24千寻位置网络有限公司O&M visualizes automated job platform and implementation method
CN113762726A (en)*2021-08-132021-12-07广州启盟信息科技有限公司Property standardization management method, device and system
CN113887953A (en)*2021-09-302022-01-04深圳市万睿智能科技有限公司Intelligent scheduling management method and device, computer equipment and storage medium
CN114744769A (en)*2022-05-182022-07-12国网智能电网研究院有限公司Service processing method and system for power grid dispatching system

Also Published As

Publication numberPublication date
CN115271567B (en)2023-01-10

Similar Documents

PublicationPublication DateTitle
CN110722571B (en)Automobile part assembling system and method based on image recognition
CN109543992A (en)Intelligent polling method, device, intelligent terminal and server
CN109409837A (en)Method, equipment and system for supervising on-duty qualification
CN104133451A (en)Management system and method for steel-making argon blowing ladle
CN111861180A (en)Management system for real-time early warning of digital energy production and manufacturing
CN113469385A (en)Visual monitoring method and system for equipment state
CN212990152U (en)Agricultural sewage management system
CN115271567B (en)Property service data analysis method and system based on work order scheduling platform
CN104346839A (en)Electronic employee attendance system based on local area network
CN111008787A (en)Planned power failure active monitoring and scheduling method based on metering terminal alarm technology
CN119311447A (en) An intelligent operation and maintenance method and system based on natural language processing technology
CN108460572A (en)Sanitationman's information management system and method
CN118134451A (en)Equipment fault intelligent processing method and system based on big data
CN116980565A (en)Wireless mobile video monitoring system and method
CN212433628U (en) Production line lean analysis device
WO2024198030A1 (en)Production management method and system based on hanging and sewing devices
CN113487092B (en)Production management system of MiniLED high dynamic printed circuit board
CN212012920U (en)Video operation and maintenance diagnostic system framework
CN116200809A (en)Centralized control system and control method for single crystal furnace
TWM630907U (en)Support system for real-time and continuous improvement of decision
CN117993689B (en)Water treatment method and system
CN112101056A (en)Electromechanical equipment identification and information acquisition method and system based on wearable equipment
CN114077229A (en)Lean analysis device and method for production line
CN117557258A (en)Method and system for resource utilization management of wastewater
CN109697252A (en)A kind of artificial mill APP error code inquiry system of machine and its operating procedure

Legal Events

DateCodeTitleDescription
PB01Publication
PB01Publication
SE01Entry into force of request for substantive examination
SE01Entry into force of request for substantive examination
GR01Patent grant
GR01Patent grant

[8]ページ先頭

©2009-2025 Movatter.jp