Movatterモバイル変換


[0]ホーム

URL:


CN115270263A - Method for quickly generating dome prestressed steel beam - Google Patents

Method for quickly generating dome prestressed steel beam
Download PDF

Info

Publication number
CN115270263A
CN115270263ACN202210920095.3ACN202210920095ACN115270263ACN 115270263 ACN115270263 ACN 115270263ACN 202210920095 ACN202210920095 ACN 202210920095ACN 115270263 ACN115270263 ACN 115270263A
Authority
CN
China
Prior art keywords
steel beam
dome
prestressed steel
coordinate
projection
Prior art date
Legal status (The legal status is an assumption and is not a legal conclusion. Google has not performed a legal analysis and makes no representation as to the accuracy of the status listed.)
Granted
Application number
CN202210920095.3A
Other languages
Chinese (zh)
Other versions
CN115270263B (en
Inventor
范兴朗
向华伟
韩子叶
荣华
李吉娃
王永焕
Current Assignee (The listed assignees may be inaccurate. Google has not performed a legal analysis and makes no representation or warranty as to the accuracy of the list.)
Central Research Institute of Building and Construction Co Ltd MCC Group
MCC Inspection and Certification Co Ltd
Original Assignee
Central Research Institute of Building and Construction Co Ltd MCC Group
MCC Inspection and Certification Co Ltd
Priority date (The priority date is an assumption and is not a legal conclusion. Google has not performed a legal analysis and makes no representation as to the accuracy of the date listed.)
Filing date
Publication date
Application filed by Central Research Institute of Building and Construction Co Ltd MCC Group, MCC Inspection and Certification Co LtdfiledCriticalCentral Research Institute of Building and Construction Co Ltd MCC Group
Priority to CN202210920095.3ApriorityCriticalpatent/CN115270263B/en
Publication of CN115270263ApublicationCriticalpatent/CN115270263A/en
Application grantedgrantedCritical
Publication of CN115270263BpublicationCriticalpatent/CN115270263B/en
Activelegal-statusCriticalCurrent
Anticipated expirationlegal-statusCritical

Links

Images

Classifications

Landscapes

Abstract

The invention discloses a method for quickly generating a dome prestressed steel beam, which comprises the following steps of: determining geometric parameters according to the plane and elevation projection drawings of the steel beam; establishing a target function based on the least square thought to solve the circle center coordinates of three sections of curves of the plane projection when the curves are tangent at the same time, solving the intersection point coordinates and the curve equation of the three sections of curves according to the geometric relation equation of the circle center coordinates and the intersection point coordinates between the curves, and calculating the coordinates of each point on the plane projection surface according to certain interval increment; establishing a space equation set, substituting the plane projection coordinate point set into the space equation set, and determining a vertical coordinate corresponding to the projection coordinate point set, namely forming a three-dimensional space coordinate point set of the dome prestressed steel beam; and importing the space coordinate point set into a graph generation system to generate a three-dimensional model of the dome prestressed steel beam. The method can accurately and quickly model any type of reactor of the same type, and has great significance for the researches such as containment structure performance calculation, steel beam prestress loss analysis and the like.

Description

Method for quickly generating dome prestressed steel beam
Technical Field
The invention belongs to the technical field of nuclear power, and particularly relates to a method for quickly generating a dome prestressed steel beam.
Background
The nuclear power safety is the central importance of nuclear power development, advanced nuclear power technology and nuclear power operation life prolonging put higher requirements on the service performance of a nuclear power plant structural facility during service, and the reliability of the structural performance of a containment serving as the most important barrier protection structure is very important. The structural mechanical properties of the containment vessel under various load working conditions are usually analyzed by adopting a finite element system, and the dome prestressed steel beam is time-consuming and tedious in the generation process due to the complexity of the form, and the change point cannot be accurately determined, so that the structural calculation accuracy is influenced.
Disclosure of Invention
Aiming at the problems in the prior art, the invention provides a method for quickly generating dome prestressed steel beams, which can accurately and quickly model any form of the same type of reactor and has great significance for the researches such as containment structure performance calculation, steel beam prestress loss analysis and the like.
In order to achieve the above purposes, the invention adopts the technical scheme that: the method for quickly generating the dome prestressed steel beam comprises the following steps:
1) Determining geometric parameters according to the plane and elevation projection drawings of the steel beam;
2) Establishing a target function based on the least square idea, establishing a plane projection curve equation set, and calculating a plane projection coordinate point set;
3) Establishing a space equation set, substituting the plane projection coordinate point set into the space equation set, and calculating a vertical coordinate corresponding to the plane projection coordinate point set, namely constructing a dome prestressed steel beam three-dimensional space coordinate point set;
4) And importing the three-dimensional space coordinate point set into a graph generation system to generate a dome prestressed steel beam three-dimensional model.
Further, in the method for quickly generating a dome prestressed steel beam as described above, in step 1), the geometric parameters to be determined are as follows:
11 From the horizontal projection view, determining the horizontal projection exit angle θ of the prestressed steel beam1 Angle of deflection theta2 The cylindrical surface radius R;
12 According to the vertical projection drawing, determining the radius R of the dome top part of the prestressed steel beam dome1 The top part of the prestressed steel beam is divided into circle centers (0, z)0 ) The inclination angle alpha of the prestressed steel beam and the maximum radius R of the prestressed steel beam distributionmax Circle center (x) of second section of vertical face rotating reference steel beam6 ,z6 ) And radius R2 And the exit angle theta of the vertical plane rotating reference steel beam8 Vertical face rotating reference steel bundle section intersection point coordinate (x)5 ,z5 )、(x7 ,z7 )、(x8 ,z8 )。
Further, in the method for rapidly generating a dome prestressed steel beam as described above, in step 2), the method for calculating the plane projection coordinate point set includes:
21 Taking the center of the containment cylinder as the origin 0 of a space coordinate system, and establishing the space coordinate system xyz;
22 According to the position relation of tangency of the three-segment curves at the intersection point in the horizontal projection drawing, the coordinate of the intersection point of the first segment and the second segment is set as (x)1 ,y1 ) (ii) a The center of the second segment is (x)0 ,y0 ) (ii) a The coordinates of the intersection point of the second segment and the third segment are (x)2 ,y2 ) (ii) a The coordinates of the exit point of the third segment are (x)3 ,y3 );
23 Establishing an objective function based on least square idea, and solving the circle center coordinate (x) when three curves are tangent at the same time0 ,y0 );
24 According to the center coordinates (x)0 ,y0 ) Solving a three-section curve equation by using a geometric relation equation of the intersection point coordinates;
25 Starting from the initial coordinate, respectively calculating the y coordinate corresponding to the x coordinate at intervals of a certain preset value, and obtaining a plane projection coordinate point set.
Further, according to the method for quickly generating the dome prestressed steel beam, in the step 3), the radius R of the dome top part of the dome is determined according to the radius R of the dome top part1 Vertical surface rotating second section radius R2 The vertical face rotates the second circle center (x)6 ,z6 ) A third section of vertical rotation outlet angle theta8 Coordinate of intersection (x)5 ,z5 )、(x7 ,z7 )、(x8 ,z8 ) And determining a vertical surface rotation space positioning equation of the prestressed steel beam.
Further, in the method for rapidly generating a dome prestressed steel beam as described above, in step 4), the graph generation system includes a CAD system.
The invention has the beneficial technical effects that:
1. the method for quickly generating the dome prestressed steel beam has great significance for the researches such as calculation of containment structure performance, analysis of steel beam prestress loss and the like by accurately and quickly modeling any reactor type of the same type by using plane and elevation projection drawings.
2. The method for quickly generating the dome prestressed steel beam is a method for solving a point cloud space coordinate set based on geometric information, and is convenient to use and strong in operability by programming and automating a calculation method and realizing accurate results.
3. According to the method, the accuracy and the calculation performance of the method are verified through designing the simulation model, and the feasibility of the method in the engineering environment is verified.
Drawings
FIG. 1 is a flow chart of a method for rapidly generating a dome prestressed steel beam according to the present invention;
FIG. 2 is a plan view of the dome prestressed steel beam of the present invention;
FIG. 3 is a plan view of the dome prestressed steel beam deflection angle positioning of the present invention;
FIG. 4 is a view of the dome prestressing steel beam elevation rotation datum line positioning of the present invention;
FIG. 5 is a view of the dome prestressed steel beam elevation rotation angle positioning of the present invention;
FIG. 6 shows a dome-shaped prestressed steel beam model in an embodiment of the method for rapidly generating dome-shaped prestressed steel beams according to the present invention;
FIG. 7 is a set of dome prestressed steel beam models in an embodiment of the method for rapidly generating dome prestressed steel beams according to the present invention;
fig. 8 shows a dome prestressed steel beam model in an embodiment of the method for rapidly generating a dome prestressed steel beam.
Detailed Description
The following describes embodiments of the present invention in further detail with reference to the accompanying drawings.
The dome prestressed steel beams are divided into three groups, and each group of dome prestressed steel beam plane projection surface comprises three sections of curves, and each section of curve is an intersecting line of a steel beam forming surface. The first section is an intersection line of a plane which forms a certain inclination angle through the spherical center and the vertical plane of the dome top part and the steel bundle forming surface of the group, and the plane is parallel to the axis of the steel bundle group; the second section is an intersection line of a cylindrical surface with a certain radius and a steel bundle forming surface; the third section is an intersecting line of a cylinder axis of the safety shell or a vertical plane which does not pass through the cylinder axis and a steel beam forming plane. The intersection point of the first section of curve of each group of steel bundles and the horizontal plane is on a circle.
Each steel beam in each group of dome prestressed steel beams is on the same rotating surface, the vertical surface rotating datum line is composed of three sections of curves, and the sections are tangent at the intersection point. The first section is an arc section which takes the sphere center of the dome top as the center of a circle and takes the radius of the dome top as the radius; the second section is an arc section with a certain point as the center of a circle and a certain radius; the third segment is an oblique straight line segment tangent to the second segment at the point of intersection.
As shown in fig. 1, the method for rapidly generating the dome prestressed steel beam of the invention comprises the following steps:
1) Receiving a drawing; determining geometric parameters according to the plane and elevation projection drawings;
2) Establishing a target function based on the least square thought, establishing a plane projection curve equation set, and calculating a projection coordinate point set (establishing a circle center coordinate when the target function is established to solve three sections of curves of plane projection and are tangent at the same time based on the least square thought, solving an intersection point coordinate and a curve equation of the three sections of curves according to a geometric relation equation of the circle center coordinate and the intersection point coordinate between the curves, and calculating the coordinate of each point on a plane projection plane according to a certain interval increment);
3) Establishing a space equation set, and calculating a vertical coordinate corresponding to the projection coordinate point set, (substituting the projection coordinate point set into the space equation, and determining the vertical coordinate corresponding to the projection coordinate point set, namely forming a three-dimensional space coordinate point set of the dome prestressed steel beam);
4) And (3) introducing the space coordinate point set into a CAD system (not limited to the CAD system, but other systems can also be used) to generate a three-dimensional model of the dome prestressed steel beam.
In step 1), the geometric parameters to be determined are as follows:
11 Based on the plane projection, determining the plane projection exit angle theta of the prestressed steel beam1 Angle of deflection theta2 Cylinder radius R, as shown in fig. 2 and 3;
12 Determining the radius R1 of the top part of the prestressed steel beam sphere and the center (0, Z) of the top part of the prestressed steel beam sphere according to the elevation projection drawing0 ) The inclination angle alpha of the prestressed steel beam and the maximum radius R of the prestressed steel beam distributionmax Circle center (x) of second section of vertical face rotating reference steel beam6 ,z6 ) And radius R2 And the exit angle theta of the vertical plane rotating reference steel beam8 Vertical face rotating reference steel bundle section intersection point coordinate (x)5 ,z5 )、(x7 ,z7 )、(x8 ,z8 ) As shown in fig. 4 and 5.
In step 2), a specific calculation method for calculating the projection coordinates is as follows:
21 Taking the circle center of the containment cylinder as the origin 0 of a space coordinate system, and establishing a space coordinate system xyz;
22 According to the plane projection diagram, the position relation of tangency of the three sections of curves at the intersection point is added with an auxiliary line and a reference point, and the coordinate of the intersection point of the first section and the second section is set as (x)1 ,y1 ) The tangent at this point is L0, and L3 is perpendicular to L0 at this point; the center of the second segment is (x)0 ,y0 ) Any straight line passing through the circle center is L2; the coordinate of the intersection point of the second segment and the third segment is (x)2 ,y2 ) L4 is perpendicular to the tangent at that point; l1 is the straight line in which the third segment is located, and is also the point (x) at which the third segment is located2 ,y2 ) The coordinates of the exit point of the third segment are (x)3 ,y3 ) As shown in fig. 2.
23 Based on the least square idea, the specific calculation method for solving the center coordinates when three curves are tangent at the same time is as follows:
according to the distribution of the prestressed steel beam, the maximum radius Rmax Angle of exit theta1 Denotes the coordinates (x) of the exit point3 ,y3 );
And the third deflection angle of the prestressed steel beam is theta2 According to theta1 And theta2 Determining the slope k of the straight line L11
Assume that the equation for the straight line L1 is y = k1 x+m1 And point (x)3 ,y3 ) On a straight line, then: m is1 =y3 -k1 x3
According to the point (x)0 ,y0 ) The distance from the straight line L1 is R, and y is obtained by combining the expression of the straight line L10 The expression of (1);
and point (x)0 ,y0 ) Located on the straight line L2: y = k2 x+m2 To obtain k2 And k is1 Relation of (1), m2 And m1 The relational expression of (1);
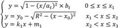
let the first section of curveThe ellipse equation of (a) is:
Figure BDA0003776018310000061
wherein, at 、bt Are all Rmax Is represented by the formula (1);
the straight line L0 is the point (x) on the ellipse1 ,y1 ) Perpendicular to the line L3, and point (x)1 ,y1 ) On the arc segment, the straight line L3 passes through the center of the circle (x)0 ,y0 ). Obtaining a parameterized expression by combining an elliptic equation according to the relationship between the slopes of mutually perpendicular lines, so that the slope of the line L3 is at /bt tanθ;
Let (x)1 ,y1 )=(at cosθ,bt sin θ) from the line L3 and the center (x)0 ,y0 ) Is solved for (x)0 ,y0 ) The expression of (1);
point (x)0 ,y0 ) The distance to the ellipse is:
Figure BDA0003776018310000062
in order to determine the coordinates of the circle center when the circular arc section with the radius R and the elliptical section are tangent to the straight line section at the same time, the following objective function is defined: minf (theta) = (d)2 -R2 )2 The constraint condition is 0-pi/2;
after theta is solved according to the objective function, the circle center coordinate (x) can be determined0 ,y0 ) The tangent point coordinate (x) of the first segment1 ,y1 )。
24 The specific calculation method for solving the three-segment curve equation according to the geometric relation equation of the center coordinates and the intersection coordinates is as follows:
is perpendicular to the straight line L1 according to the straight line L4, and the straight line L4 passes through the circle center (x)0 ,y0 ) Point (x)2 ,y2 ) On the straight line L4 and the straight line L1, simultaneous equations are solved to obtain a point (x)2 ,y2 ) The expression of (1);
to sum up, the plane orientation equation of the prestressed steel beam is shown as follows:
Figure BDA0003776018310000063
25 Starting from the initial coordinate, respectively calculating the y coordinate corresponding to the x coordinate at intervals (x-direction coordinate increment) of a certain preset value, and obtaining a plane projection coordinate point set.
In step 3), the specific calculation method of the three-dimensional space coordinate is as follows:
31 The specific calculation method for establishing the space equation is as follows:
according to the radius R of the dome part1 A second vertical rotation radius R2 The vertical surface rotates the second section circle center (x)6 ,z6 ) Vertical surface rotating third section outlet angle theta8 Coordinate of intersection (x)5 ,z5 )、(x7 ,z7 )、(x8 ,z8 ) The vertical surface rotation space positioning equation of the prestressed steel beam is shown as the following formula:
Figure BDA0003776018310000071
wherein k is8 =-tanθ8 ,m8 =z8 -k8 x8
32 Substituting the projection coordinate point set obtained by calculation in the step two into the space equation of the A to solve the corresponding z coordinate, and obtaining the space coordinate point set of the dome prestressed steel beam.
The following will describe the steps of rapidly forming the dome prestressed steel bundle in detail with reference to fig. 1-5, taking one steel bundle of a group of (29) dome prestressed steel bundles as an example:
a. in step 1), the geometric parameters are determined: from fig. 2-3, the exit angle θ is determined1 =54.375 ° and deflection angle θ2 =13.5 °, cylinder radius R =6000; according to fig. 4-5, the radius R of the dome portion is determined1 =2451, the center of the spherical top part (0, 31880), the bevel angle α =35.91 °, and the maximum radius R of the prestressed steel beam distributionmax =19700 vertical face rotating referenceCenter of circle (x) of second segment of steel bundle6 ,z6 ) = (9755, 42621) and radius R2 =10000, exit angle θ of vertical plane rotation reference steel bundle8 =49.306 degrees and vertical plane rotating reference steel bundle intersection point coordinates (x)5 ,z5 )=(16478,50024)、(x7 ,z7 )=(17337,49141)、(x8 ,z8 )=(19700,46390)。
b. In step 2), a circle center coordinate of the objective function when three curves are tangent at the same time is established based on the least square idea:
according to the distribution of the prestressed steel beam, the maximum radius Rmax Angle of exit theta1 Determining the coordinates (x) of the exit point3 ,y3 );
The third deflection angle of the prestressed steel beam is theta2 According to theta1 And theta2 Determining the slope k of the straight line L11
Assume that the straight line L1 equation is y = k1 x+m1 And point (x)3 ,y3 ) On a straight line, then: m is1 =6082.05;
According to the point (x)0 ,y0 ) The distance from the straight line L1 is R, and y is obtained by combining the expression of the straight line L10 The expression of (1);
and point (x)0 ,y0 ) On the straight line L2: y = k2 x+m2 And (3) obtaining: k is a radical of2 =0.8655,m2 =14017.24;
The elliptic equation of the first section of curve is set as:
Figure BDA0003776018310000081
wherein, at =19700,bt =14375.45;
Obtaining a parameterized expression, point (x), in combination with an elliptic equation0 ,y0 ) The distance to the ellipse is:
Figure BDA0003776018310000082
theta is more than or equal to 0 and less than or equal to pi/2Solving an objective function minf (theta) = (d)2 -R2 )2 To obtain the following solution: θ =1.327;
thereby obtaining the center coordinates (x)0 ,y0 ) And the tangent point coordinate (x) of the first segment1 ,y1 );
Is perpendicular to the straight line L1 according to the straight line L4, and the straight line L4 passes through the circle center (x)0 ,y0 ) After obtaining the expression of the straight line L4, the (x) is obtained2 ,y2 )=(10709,15351);
In summary, the plane orientation equation of the dome prestressed steel beam is shown as follows:
Figure BDA0003776018310000083
and (3) solving a corresponding y coordinate by taking x =0 as a starting coordinate and 100 as an x-direction coordinate increment according to the equation set to obtain a plane projection plane coordinate point set.
c. In step 3), solving a prestressed steel beam vertical surface rotation space positioning equation according to the geometric parameters obtained in step 1), as shown in the following formula:
Figure BDA0003776018310000084
substituting the coordinate set (x, y) obtained in the step 2) into the equation set, and solving a corresponding z coordinate, namely forming a three-dimensional space coordinate point set (x, y, z) of the dome prestressed steel beam.
d. In step 4), the spatial coordinate point set (x, y, z) obtained in step 3) is imported into a CAD system, so as to generate a three-dimensional model of the single dome prestressed steel beam as shown in fig. 6.
The rapid generation method of the dome prestressed steel beam provided by the invention realizes program automation, takes a group of (29) steel beams as an example, and automatically generates a group of dome prestressed steel beam models, as shown in fig. 7. And assembling the three groups of steel beams to automatically generate the whole dome prestressed steel beam model, as shown in fig. 8.
The above description is only a preferred embodiment of the present invention, but the scope of the present invention is not limited thereto. The technical solutions disclosed in the present invention and the inventive concept thereof are equivalent or changed by those skilled in the art, and the obtained technical solutions should be covered by the protection scope of the present invention.

Claims (5)

1. A method for quickly generating dome prestressed steel beams comprises the following steps:
1) Determining geometric parameters according to the plane and elevation projection drawings of the steel beam;
2) Establishing a target function based on the least square idea, establishing a plane projection curve equation set, and calculating a plane projection coordinate point set;
3) Establishing a space equation set, substituting the plane projection coordinate point set into the space equation set, and calculating a vertical coordinate corresponding to the plane projection coordinate point set, namely constructing a dome prestressed steel beam three-dimensional space coordinate point set;
4) And (4) importing the three-dimensional space coordinate point set into a graph generation system to generate a dome prestressed steel beam three-dimensional model.
2. The method for rapidly generating the dome prestressed steel beam as claimed in claim 1, wherein: in step 1), the geometric parameters to be determined are as follows:
11 From the horizontal projection view, determining the horizontal projection exit angle θ of the prestressed steel beam1 Angle of deflection theta2 A cylindrical surface radius R;
12 According to the vertical projection drawing, determining the radius R of the dome top part of the prestressed steel beam dome1 The center of circle of the top part of the prestressed steel beam ball is (0, z)0 ) The inclination angle alpha of the prestressed steel beam and the maximum radius R of the prestressed steel beam distributionmax Circle center (x) of second section of vertical face rotating reference steel beam6 ,z6 ) And radius R2 And the exit angle theta of the vertical-face rotating reference steel bundle8 And the intersection point coordinates (x) of each section of the vertical face rotating reference steel bundle5 ,z5 )、(x7 ,z7 )、(x8 ,z8 )。
3. The method for rapidly generating the dome prestressed steel beam as claimed in claim 1, wherein: in step 2), the calculation method of the plane projection coordinate point set is as follows:
21 Taking the center of the containment cylinder as the origin 0 of a space coordinate system, and establishing the space coordinate system xyz;
22 The coordinate of the intersection point of the first and second segments is set as (x) according to the position relation of the tangency of the three segments of curves at the intersection point in the horizontal projection drawing1 ,y1 ) (ii) a The circle center of the second section is (x)0 ,y0 ) (ii) a The coordinates of the intersection point of the second segment and the third segment are (x)2 ,y2 ) (ii) a The coordinates of the exit point of the third stage are (x)3 ,y3 );
23 Establishing an objective function based on least square thought, and solving the circle center coordinate (x) when three curves are tangent at the same time0 ,y0 );
24 According to the centre coordinates (x)0 ,y0 ) Solving a three-section curve equation by using a geometric relation equation of the intersection point coordinates;
25 Starting from the initial coordinate, respectively calculating the y coordinate corresponding to the x coordinate at intervals of a certain preset value, and obtaining a plane projection coordinate point set.
4. A method for rapidly forming a dome prestressed steel strand as claimed in claim 1, wherein: in step 3), according to the radius R of the dome top part1 Vertical surface rotating second section radius R2 The vertical surface rotates the second section circle center (x)6 ,z6 ) Vertical surface rotating third section outlet angle theta8 Coordinate of intersection point (x)5 ,z5 )、(x7 ,z7 )、(x8 ,z8 ) And determining a vertical surface rotation space positioning equation of the prestressed steel beam.
5. A method for rapidly forming a dome prestressed steel strand as claimed in claim 1, wherein: in step 4), the graph generation system comprises a CAD system.
CN202210920095.3A2022-08-012022-08-01Dome prestress steel beam rapid generation methodActiveCN115270263B (en)

Priority Applications (1)

Application NumberPriority DateFiling DateTitle
CN202210920095.3ACN115270263B (en)2022-08-012022-08-01Dome prestress steel beam rapid generation method

Applications Claiming Priority (1)

Application NumberPriority DateFiling DateTitle
CN202210920095.3ACN115270263B (en)2022-08-012022-08-01Dome prestress steel beam rapid generation method

Publications (2)

Publication NumberPublication Date
CN115270263Atrue CN115270263A (en)2022-11-01
CN115270263B CN115270263B (en)2023-05-23

Family

ID=83746884

Family Applications (1)

Application NumberTitlePriority DateFiling Date
CN202210920095.3AActiveCN115270263B (en)2022-08-012022-08-01Dome prestress steel beam rapid generation method

Country Status (1)

CountryLink
CN (1)CN115270263B (en)

Citations (5)

* Cited by examiner, † Cited by third party
Publication numberPriority datePublication dateAssigneeTitle
CN103942830A (en)*2014-04-042014-07-23浙江大学Method for achieving scene three-dimensional reconstruction by directly using phase with non-linear error
CN104405135A (en)*2014-10-312015-03-11中国建筑股份有限公司Space positioning construction method for prestressed tendon of dome structure
CN106960466A (en)*2017-03-142017-07-18东华大学A kind of creation method of the bra steel ring prototype based on least square method
CN109598946A (en)*2018-11-192019-04-09南京理工大学A kind of multilane speed-measuring method based on radar system
CN113155098A (en)*2021-04-202021-07-23中国铁路设计集团有限公司Existing railway track line high-precision three-dimensional reconstruction method based on unmanned aerial vehicle multi-view images

Patent Citations (5)

* Cited by examiner, † Cited by third party
Publication numberPriority datePublication dateAssigneeTitle
CN103942830A (en)*2014-04-042014-07-23浙江大学Method for achieving scene three-dimensional reconstruction by directly using phase with non-linear error
CN104405135A (en)*2014-10-312015-03-11中国建筑股份有限公司Space positioning construction method for prestressed tendon of dome structure
CN106960466A (en)*2017-03-142017-07-18东华大学A kind of creation method of the bra steel ring prototype based on least square method
CN109598946A (en)*2018-11-192019-04-09南京理工大学A kind of multilane speed-measuring method based on radar system
CN113155098A (en)*2021-04-202021-07-23中国铁路设计集团有限公司Existing railway track line high-precision three-dimensional reconstruction method based on unmanned aerial vehicle multi-view images

Non-Patent Citations (1)

* Cited by examiner, † Cited by third party
Title
韩西安,杨海涛,邱铭铭,赵东杰: "基于切片图像的血管三维重建方法"*

Also Published As

Publication numberPublication date
CN115270263B (en)2023-05-23

Similar Documents

PublicationPublication DateTitle
CN110580376B (en)Revit and Dynamo-based pile foundation model creation method
CN112632814B (en)Recycled concrete three-dimensional model construction method based on ellipsoidal random aggregate
CN106844443B (en)The rapid correction method and system of a kind of map vector
Zhou et al.Accurate virtual trial assembly method of prefabricated steel components using terrestrial laser scanning
CN113204812A (en)Method for creating bridge prestressed pipeline model by adopting Dynamo
Gebreiter et al.sbpRAY–A fast and versatile tool for the simulation of large scale CSP plants
CN114254541B (en)Arch dam full dam face equivalent stress calculation method and system
CN110414059B (en) Simulation method of radiant energy density for flat heliostats in tower solar thermal power station
CN115270263A (en)Method for quickly generating dome prestressed steel beam
CN113867267B (en)Digital machining system and method for steel pipe based on BIM spherical shell structure modeling construction
CN119960463A (en) A ground wire inspection method and related equipment
CN113432572B (en) An optimal measuring point planning method for complex structures based on 3D scanning
CN118332846A (en) A method, device, equipment and medium for process planning of part surface measurement
CN116305415B (en)Hinge column foot parameterization modeling method based on 3DExperience
CN114611243B (en)Construction method of shield general segment point location selection model and point location selection method
CN118094707A (en)Digital pre-splicing manufacturing control method for large-span arch bridge
CN116341327B (en)Automatic planning method and device for high-precision measuring field
CN114528658B (en) Active reflector panel adjustment method for large radio telescope based on search algorithm
CN115391984A (en) A 3D space model verification method for angle steel tower based on ICP matching algorithm
CN112381908B (en) A method for extracting boundary line of terrain scanning point cloud
CN111366125A (en)Method for measuring rotation angle of crawler crane
CN118332639A (en)Abaqus parametric modeling method for CANDU reactor nuclear power containment prestress steel beam
CN117557744B (en) A three-dimensional modeling method for concrete anchoring tooth block
CN115358133A (en)S applied to shielding calculation curved surface connection N -MC coupling calculation method
CN118445885B (en) Method and system for automatically generating three-dimensional coordinates of surface measurement points of large-scale urban building complexes

Legal Events

DateCodeTitleDescription
PB01Publication
PB01Publication
SE01Entry into force of request for substantive examination
SE01Entry into force of request for substantive examination
GR01Patent grant
GR01Patent grant

[8]ページ先頭

©2009-2025 Movatter.jp