Movatterモバイル変換


[0]ホーム

URL:


CN115239738B - Intelligent detection method for automobile part configuration - Google Patents

Intelligent detection method for automobile part configuration
Download PDF

Info

Publication number
CN115239738B
CN115239738BCN202211169457.6ACN202211169457ACN115239738BCN 115239738 BCN115239738 BCN 115239738BCN 202211169457 ACN202211169457 ACN 202211169457ACN 115239738 BCN115239738 BCN 115239738B
Authority
CN
China
Prior art keywords
surface image
defect
pixel points
suspicious
clusters
Prior art date
Legal status (The legal status is an assumption and is not a legal conclusion. Google has not performed a legal analysis and makes no representation as to the accuracy of the status listed.)
Active
Application number
CN202211169457.6A
Other languages
Chinese (zh)
Other versions
CN115239738A (en
Inventor
臧加祥
Current Assignee (The listed assignees may be inaccurate. Google has not performed a legal analysis and makes no representation or warranty as to the accuracy of the list.)
Nantong Xinshengpai Intelligent Technology Co ltd
Original Assignee
Nantong Xinshengpai Intelligent Technology Co ltd
Priority date (The priority date is an assumption and is not a legal conclusion. Google has not performed a legal analysis and makes no representation as to the accuracy of the date listed.)
Filing date
Publication date
Application filed by Nantong Xinshengpai Intelligent Technology Co ltdfiledCriticalNantong Xinshengpai Intelligent Technology Co ltd
Priority to CN202211169457.6ApriorityCriticalpatent/CN115239738B/en
Publication of CN115239738ApublicationCriticalpatent/CN115239738A/en
Application grantedgrantedCritical
Publication of CN115239738BpublicationCriticalpatent/CN115239738B/en
Activelegal-statusCriticalCurrent
Anticipated expirationlegal-statusCritical

Links

Images

Classifications

Landscapes

Abstract

The invention relates to the technical field of data processing, in particular to an intelligent detection method for automobile part configuration. The method comprises the following steps: obtaining a plurality of annular tracks of a dust cover area in a surface image; calculating the abnormal index of each pixel point on each annular track based on the gray value of the pixel point on each annular track; the pixel points with the abnormal indexes more than or equal to the preset threshold are abnormal pixel points; clustering based on the distance of the abnormal pixel points to obtain a plurality of clusters; acquiring a defect index of each cluster based on the number of pixels in each cluster, the variance of gray values of the pixels and the density of the pixels; obtaining clusters with defect indexes larger than or equal to a first threshold value, wherein the clusters are suspicious clusters, and pixel points in the suspicious clusters form a suspicious defect area; avoiding the suspicious defect area to filter the surface image to obtain the filtered surface image; and detecting based on the filtered surface image to obtain a defect area. The invention can accurately detect the surface defects of the bearing dust cap.

Description

Intelligent detection method for automobile part configuration
Technical Field
The invention relates to the technical field of data processing, in particular to an intelligent detection method for automobile part configuration.
Background
The bearing system is the core transmission assembly of the car, it plays an important role in parts such as car engine, gearbox, clutch, wheel, the quality of bearing is one of the key factors that determine car performance, current bearing both ends face, will install corresponding dustproof sealing device, its effect is that the dust or harmful gas of protecting the bearing external world can not get into the bearing inner chamber, prevent causing the damage to the bearing. Thereby ensuring the kinetic energy output of the bearing parts and the running stability of the automobile.
The existing detection system for the surface defects and the tightness of the bearing dust cap utilizes an industrial CCD flaw detection camera to capture image data of the dust cap, then defect identification is carried out based on a threshold segmentation algorithm, and the surface of the metal bearing dust cap presents dense and hemp particles after flaw detection imaging, so that great interference is caused to the detection and identification of some small defects on the surface of the dust cap.
Disclosure of Invention
In order to solve the technical problems, the invention aims to provide an intelligent detection method for automobile part configuration, which adopts the following technical scheme:
one embodiment of the invention provides an intelligent detection method for automobile part configuration, which comprises the following steps:
obtaining a surface image of a bearing dust cover; obtaining the width of a circular ring representing the dustproof cover in the surface image, and obtaining a plurality of circular tracks of the dustproof cover area in the surface image, wherein the number of the circular tracks is equal to the width of the circular ring; calculating the abnormal index of each pixel point on each annular track based on the gray value of the pixel point on each annular track; the pixel points with the abnormal index larger than or equal to the preset threshold are abnormal pixel points;
clustering based on the distance of the abnormal pixel points to obtain a plurality of clusters; acquiring a defect index of each cluster based on the number of pixels in each cluster, the variance of gray values of the pixels and the density of the pixels; obtaining clusters with defect indexes larger than or equal to a first threshold value, wherein the clusters are suspicious clusters, and pixel points in the suspicious clusters form suspicious defect areas;
avoiding the suspicious defect area to filter the surface image to obtain the filtered surface image; and detecting based on the filtered surface image to obtain a defect area.
Preferably, obtaining the surface image of the bearing dust cap comprises: and capturing a surface image of the bearing dust cover by using a CCD industrial flaw detection camera, wherein the surface image is a gray image, and carrying out normalization processing on the surface image to obtain a final surface image.
Preferably, the circular track comprises: the center of each annular track is the same as the center of the ring representing the dust cover on the surface image.
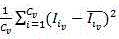
Preferably, the abnormal index of each pixel point on each circular track is as follows:
Figure 271036DEST_PATH_IMAGE002
wherein,
Figure 100002_DEST_PATH_IMAGE003
representing a circular locus of radius vThe abnormal index of the ith pixel point;
Figure 6911DEST_PATH_IMAGE004
representing the gray value of the ith pixel point on the circular track with the radius v;
Figure 100002_DEST_PATH_IMAGE005
expressing the gray average value of all pixel points on the circular track with the radius v;
Figure 533707DEST_PATH_IMAGE006
represents the length of the circular track with the radius v, namely the number of pixel points on the circular track with the radius v;
Figure 100002_DEST_PATH_IMAGE007
representing a bi-tangent function.
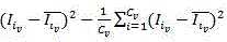
Preferably, the defect index of each cluster is:
Figure 100002_DEST_PATH_IMAGE009
wherein,
Figure 260310DEST_PATH_IMAGE010
denotes the first
Figure 100002_DEST_PATH_IMAGE011
Defect index of individual clusters;
Figure 112728DEST_PATH_IMAGE012
is shown as
Figure 601478DEST_PATH_IMAGE011
The number of pixels of each cluster;
Figure 100002_DEST_PATH_IMAGE013
is shown as
Figure 994282DEST_PATH_IMAGE011
Clustered togetherVariance of gray values of pixel points;
Figure 376722DEST_PATH_IMAGE014
is shown as
Figure 540987DEST_PATH_IMAGE011
Density of clustered pixels;
Figure 251454DEST_PATH_IMAGE007
representing a bi-tangent function; e represents a natural constant;
Figure 100002_DEST_PATH_IMAGE015
Figure 136365DEST_PATH_IMAGE016
and
Figure 100002_DEST_PATH_IMAGE017
respectively, are the weight coefficients of the image data,
Figure 983098DEST_PATH_IMAGE015
=0.5、
Figure 177319DEST_PATH_IMAGE016
=0.3、
Figure 375082DEST_PATH_IMAGE018
preferably, the filtering the surface image to avoid the suspicious defect region, and the obtaining the filtered surface image includes: and filtering the surface image by using mean filtering, and avoiding suspicious defect areas in the surface image in the filtering process.
Preferably, the detecting based on the filtered surface image to obtain the defect region includes:
and carrying out edge detection on the filtered surface image to obtain a region with a closed edge in the suspicious defect region, wherein the region with the closed edge is the defect region.
The embodiment of the invention at least has the following beneficial effects: obtaining a plurality of annular tracks of a dust cover area in a surface image; calculating the abnormal index of each pixel point on each annular track based on the gray value of the pixel point on each annular track; the pixel points with the abnormal index larger than or equal to the preset threshold are abnormal pixel points; clustering based on the distance of the abnormal pixel points to obtain a plurality of clusters; acquiring a defect index of each cluster based on the number of pixels in each cluster, the variance of gray values of the pixels and the density of the pixels; obtaining clusters with defect indexes larger than or equal to a first threshold value, wherein the clusters are suspicious clusters, and pixel points in the suspicious clusters form suspicious defect areas; avoiding the suspicious defect area to filter the surface image to obtain the filtered surface image; and detecting based on the filtered surface image to obtain a defect area. Aiming at the problem that the surface defect detection of the dust cover of the bearing is easily interfered by background texture noise, the invention provides a method for determining a suspicious defect area by using local abnormal points to smoothly guide the average filtering, so that the background texture noise is removed, the defect details are kept from being smoothed, a large number of redundant detection results can not be generated in the defect detection of the dust cover, and the defect of the dust cover can be identified more quickly and accurately.
Drawings
In order to more clearly illustrate the embodiments of the present invention or the technical solutions and advantages of the prior art, the drawings used in the description of the embodiments or the prior art will be briefly described below, it is obvious that the drawings in the following description are only some embodiments of the present invention, and other drawings can be obtained by those skilled in the art without creative efforts.
Fig. 1 is a flowchart of a method for intelligently detecting an automobile part configuration according to an embodiment of the present invention.
Detailed Description
To further illustrate the technical means and effects of the present invention adopted to achieve the predetermined objects, the following detailed description of the method for intelligently detecting the configuration of the vehicle components according to the present invention, the specific implementation manner, the structure, the features and the effects thereof are provided in conjunction with the accompanying drawings and the preferred embodiments. In the following description, different "one embodiment" or "another embodiment" refers to not necessarily the same embodiment. Furthermore, the particular features, structures, or characteristics may be combined in any suitable manner in one or more embodiments.
Unless defined otherwise, all technical and scientific terms used herein have the same meaning as commonly understood by one of ordinary skill in the art to which this invention belongs.
The following describes a specific scheme of the intelligent detection method for automobile part configuration provided by the invention in detail with reference to the accompanying drawings.
Example (b):
the main application scenarios of the invention are as follows: the invention relates to a detection system for surface defects and sealing performance of a bearing dust cap, which is used for detecting the defects and sealing performance of the bearing dust cap.
Referring to fig. 1, a flowchart of a method for intelligently detecting an automobile part configuration according to an embodiment of the present invention is shown, where the method includes the following steps:
s1, obtaining a surface image of a bearing dust cover; obtaining the width of a circular ring representing the dustproof cover in the surface image, and obtaining a plurality of circular tracks of the dustproof cover area in the surface image, wherein the number of the circular tracks is equal to the width of the circular ring; calculating the abnormal index of each pixel point on each annular track based on the gray value of the pixel point on each annular track; and the pixel points with the abnormal index being more than or equal to the preset threshold are abnormal pixel points.
Firstly, a CCD industrial flaw detection camera is used for capturing surface image data of a bearing dust cover, namely, a surface image of the dust cover is obtained, the surface image collected by the CCD industrial flaw detection camera is a gray image, but in order to avoid highlight pixel points in the image, normalization processing needs to be carried out on the gray image, the gray range of the pixel points is converted into 0-255, and a final surface image is obtained.
The bearing dust cap is made of a cold-rolled electroplated tin steel plate, the surface of the dust cap presents a dense and rough granular feeling after being amplified by a flaw detection camera, and the dense and rough grains are interference information for defect detection due to traces left after the surface of the dust cap is polished and corroded, so that a large amount of redundant detection results appear in the detection results, false detection and missed detection are easily caused, and a large amount of interference information brought by the surface texture characteristics of the dust cap needs to be reduced. But now interference information, these background textures can be considered as noise information in the image.
The surface of the dust cover can be smoothed by mean filtering, but if the surface of the dust cover has defects, the defect area is smoothed after filtering, so that the details and even the edges of the defects are lost, and the accuracy of the detection result is seriously disturbed. Therefore, it is necessary to guide the smoothing filtering to stop filtering at the suspicious defect region, so as to achieve smooth background noise while preserving details at the defect.
Furthermore, local abnormal pixel points need to be screened out, and regions suspected of defects on the surface image need to be marked to serve as guidance of smooth filtering. However, because the texture of the surface of the dust cover is complex, it is difficult to identify suspicious defect pixel points and suspicious defect regions on the surface image of the whole dust cover by the discreteness of the gray level of the pixel points, so that the method is not as good as that of directly targeting a single pixel point, analyzing the discreteness of the single pixel point on the circular track to determine abnormal pixel points by taking the circular track corresponding to the radius of the pixel point as a local reference region, and then screening the locally abnormal pixel points in the next step to determine the suspicious defect pixel points. The basis for judging the suspicious defect area or the suspicious defect pixel point is as follows: it has anomaly and discreteness on the same-radius circular track and aggregation in the vicinity of the area where the circular track is located.
The circular tracks corresponding to each radius have a radius of a distance from a center point to a certain point on the dust cap, and the dust cap is in a precise and uniform-width circular shape, so that the number of the circular tracks is equal to the width of the dust cap in the surface image, the dust cap is a circular ring in the surface image, the width of the dust cap is expressed by the number of pixels, the width of the circular ring expressing the dust cap is L, and the number of the circular tracks is L. It should be noted that the circular track is a circle, and the center of the circle is the same as the center of the circle representing the dust cap on the surface image.
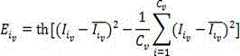
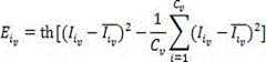
And finally, calculating the abnormal index of each pixel point on each annular track:
Figure DEST_PATH_IMAGE019
wherein,
Figure 31060DEST_PATH_IMAGE003
expressing the abnormal index of the ith pixel point on the circular track with the radius v;
Figure 263459DEST_PATH_IMAGE004
representing the gray value of the ith pixel point on the circular track with the radius v;
Figure 503947DEST_PATH_IMAGE005
expressing the gray average value of all pixel points on the circular track with the radius v;
Figure 579219DEST_PATH_IMAGE006
represents the length of the circular track with the radius v, namely the number of pixel points on the circular track with the radius v;
Figure 930566DEST_PATH_IMAGE007
representing a double tangent function.
Figure 17471DEST_PATH_IMAGE020
Representing the gray variance of the pixel points on the circular track with the radius v; the essence of the method is that the dispersion of the gray value of each pixel point relative to the average gray value is
Figure DEST_PATH_IMAGE021
Carry out accumulation averaging, thereby
Figure 38648DEST_PATH_IMAGE022
The meaning of (1) is the difference between the dispersion of the gray value of the ith pixel point on the circular track with the radius of v relative to the average gray value and the integral or average dispersion of all the pixel points on the circular track when
Figure 211003DEST_PATH_IMAGE022
When larger, the representative pixel point
Figure 490675DEST_PATH_IMAGE004
The original discrete pixel point set on the same-radius track is more discrete, so that local abnormal pixel points are screened out on the background with complex dustproof cover textures.
Figure DEST_PATH_IMAGE023
Then to use the hyperbolic tangent function will
Figure 166507DEST_PATH_IMAGE022
The value of (A) is normalized in proportion to be between 0 and 1,
Figure 122699DEST_PATH_IMAGE003
the larger the value between 0 and 1, the larger the value represents a pixel point
Figure 516771DEST_PATH_IMAGE004
The higher the local abnormality.
Setting a preset threshold, preferably, setting the value of the preset threshold to be 0.85, and an implementer can adjust according to actual conditions, and when the abnormal index of a pixel is greater than or equal to the preset threshold, the pixel is an abnormal pixel, and obtaining and marking the abnormal pixel on each circular track to obtain all the abnormal pixels. The abnormal pixel points are local abnormal pixel points obtained on the basis of each annular track.
And (3) carrying out phase difference on the discreteness of the local average gray value and the discreteness of the local whole gray value of the single pixel point gray value to obtain local abnormal pixel points under the complex background. In short, a pixel is more discrete than the integral discreteness of the pixel point set where the pixel point is located, and the pixel point is an abnormal pixel point in a complex background.
Originally, local abnormal pixel points are calculated, the gray characteristic difference of the pixel points is used for screening, but for the special complex texture background of the dust cover, the algorithm screens the abnormal pixel points by using the discreteness characteristic with higher dimensionality, and the algorithm is more suitable for the detection scene of the dust cover.
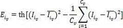
S2, clustering based on the distance of the abnormal pixel points to obtain a plurality of clusters; acquiring a defect index of each cluster based on the number of pixels in each cluster, the variance of gray values of the pixels and the density of the pixels; and obtaining clusters with the defect index larger than or equal to the first threshold value as suspicious clusters, wherein pixel points in the suspicious clusters form a suspicious defect area.
In step S1, an abnormal pixel is obtained, and further analysis needs to be performed based on the aggregations of the abnormal pixel. And clustering all marked abnormal pixel points on the surface image. The clustering aims to obtain the characteristic that the abnormal pixel points have clustering property near the area where the abnormal pixel points are located, the clustering algorithm is essentially classified based on distance, the gray feature difference of the abnormal pixel points is disregarded, clusters formed by a plurality of abnormal pixel points are obtained only by taking the close distance as a unique clustering standard, then the feature calculation is carried out on the cluster points in the same cluster, namely, the clustering features of the suspicious pixel points and the pixel area are extracted from three layers of whether the number of the abnormal pixel points close to the distance is large, whether the gray value difference between the abnormal pixel points is small and whether the density between the abnormal pixel points is large, and the suspicious area can be determined to a high degree according to the three features of the number of the internal pixel points in the cluster, the gray value variance of the pixel points and the density of the pixel points.
Defect index of each cluster based on the number of pixels in each cluster, the variance of gray values of the pixels, and the density of the pixels:
Figure 475500DEST_PATH_IMAGE009
wherein,
Figure 661631DEST_PATH_IMAGE010
denotes the first
Figure 680402DEST_PATH_IMAGE011
Defect index of individual clusters;
Figure 561771DEST_PATH_IMAGE012
is shown as
Figure 933977DEST_PATH_IMAGE011
The number of pixels of each cluster;
Figure 849981DEST_PATH_IMAGE013
is shown as
Figure 39654DEST_PATH_IMAGE011
The gray value variance of the clustered pixel points;
Figure 532952DEST_PATH_IMAGE014
is shown as
Figure 833483DEST_PATH_IMAGE011
Density of clustered pixels;
Figure 603993DEST_PATH_IMAGE007
representing a bi-tangent function; e represents a natural constant;
Figure 964567DEST_PATH_IMAGE015
Figure 991167DEST_PATH_IMAGE016
and
Figure 439597DEST_PATH_IMAGE017
respectively, are the weight coefficients of the image data,
Figure 330193DEST_PATH_IMAGE015
=0.5、
Figure 861668DEST_PATH_IMAGE016
=0.3、
Figure 63979DEST_PATH_IMAGE018
Figure 971892DEST_PATH_IMAGE012
Figure 716994DEST_PATH_IMAGE013
Figure 419371DEST_PATH_IMAGE014
respectively represent
Figure 358246DEST_PATH_IMAGE011
The number of abnormal pixel points in each cluster, the variance of gray values of the pixel points and the density of the pixel points, wherein the larger the number is, the higher the doubtability is, the smaller the variance is, the higher the doubtability is, and the higher the density is, so that a hyperbolic tangent function th pair is utilized
Figure 538692DEST_PATH_IMAGE012
Figure 403880DEST_PATH_IMAGE014
Normalized calculation of direct proportion relation is carried out to obtain
Figure 401791DEST_PATH_IMAGE024
Figure DEST_PATH_IMAGE025
Using pairs of exponential functions
Figure 188482DEST_PATH_IMAGE013
Carrying out normalization calculation of inverse proportion relation to obtain
Figure 47985DEST_PATH_IMAGE026
The higher the doubtful of the three, the larger the value between 0 and 1. The three parts need to set weights to correct the influence of the three parts on suspicious defect regions, the quantity characteristic of abnormal points in the cluster has the highest influence, and the similar types of the abnormal pixels in the cluster can represent that the abnormal pixels possibly come from the same defect region, so that the influence of the variance is inferior, and the minimum is the density characteristic, namely the density characteristic
Figure 767679DEST_PATH_IMAGE015
Figure 811858DEST_PATH_IMAGE016
Figure 476058DEST_PATH_IMAGE017
Respectively as
Figure 263885DEST_PATH_IMAGE024
Figure 838086DEST_PATH_IMAGE026
Figure 53167DEST_PATH_IMAGE025
Weight coefficient of (1) following
Figure DEST_PATH_IMAGE027
Due to the fact that
Figure 922772DEST_PATH_IMAGE028
And is made of
Figure 514290DEST_PATH_IMAGE024
Figure 67631DEST_PATH_IMAGE026
Figure 453613DEST_PATH_IMAGE025
The larger the value of (a) is between 0 and 1, the more suspicious the result is, so the larger the output result is between 0 and 1 after the three characteristics are weighted, the higher the value is
Figure 233350DEST_PATH_IMAGE011
The more likely an individual cluster is to be a suspicious cluster, i.e., the first
Figure 362980DEST_PATH_IMAGE011
The more likely a region made up of pixels within a cluster is a suspicious defect region.
Setting a first threshold, preferably, the value of the first threshold is 0.7, if the defect index of the cluster is greater than or equal to the first threshold, the cluster is a suspicious cluster, and pixel points in the suspicious cluster form a suspicious defect region.
S3, avoiding the suspicious defect area to filter the surface image to obtain a filtered surface image; and detecting based on the filtered surface image to obtain a defect area.
And smoothing the dustproof cover image by using mean filtering, wherein the filtering size is 5*5, the filtering is performed clockwise along the surface of the annular dustproof cover, the determined suspicious region is shielded in the process, the filtering is performed when the suspicious region is skipped, the detail characteristics of the defect region can be reserved, and the filtered surface image is obtained.
Because the texture noise on the surface of the dust cover can generate a large number of redundant detection results when the threshold detection is directly carried out, and the detection results can be distorted when the threshold is adjusted, the local abnormal pixel points on the annular track corresponding to each radius are calculated, then the local abnormal data are projected on the complete surface image, the aggregation of the abnormal pixel points is calculated for the area where the local abnormal pixel points are located according to the characteristic of the aggregation of the abnormal pixel points, so that the suspicious defect area is marked, and the background noise of other textures outside the suspicious area is smoothed by means of mean value filtering, so that the filtered surface image is obtained.
After the processing, the edge detection is carried out on the filtered surface image, so that a large number of redundant edge detection results caused by background noise can be greatly reduced, and the final defect area is determined only from the closed edge area detected in the suspicious defect area.
All edge detection results in the suspicious region are obtained, and the defect region damages the original surface structure of the dust cover, so that the defect region is necessarily a closed region, other edge results in the same suspicious defect region are all non-closed regions (damaged and truncated by the defect), and the defect can be determined only by determining whether the detection result of each suspicious defect region meets the characteristics. The algorithm for judging the closed region is more conventional, and can be determined according to the connection relation of adjacent pixel points on the edge without specific explanation, so that the defect region in the suspicious defect region can be obtained by edge detection.
It should be noted that the texture background noise is a texture feature originally existing on the dust cap, and the negative effect thereof is to bring a large amount of interference detection results, rather than distorting the defect area as the image noise, so that after the texture background noise is removed, a clear defect edge can still be obtained, but the redundant detection results are greatly reduced, so as to help better and faster identifying and locking the defect.
It should be noted that: the precedence order of the above embodiments of the present invention is only for description, and does not represent the merits of the embodiments. And specific embodiments thereof have been described above. In addition, the processes depicted in the accompanying figures do not necessarily require the particular order shown, or sequential order, to achieve desirable results. In some embodiments, multitasking and parallel processing may also be possible or may be advantageous.
The embodiments in the present specification are described in a progressive manner, and the same and similar parts among the embodiments are referred to each other, and each embodiment focuses on the differences from the other embodiments.
The above description is only for the purpose of illustrating the preferred embodiments of the present invention and is not to be construed as limiting the invention, and any modifications, equivalents, improvements and the like that fall within the spirit and principle of the present invention are intended to be included therein.

Claims (1)

1. An intelligent detection method for automobile part configuration is characterized by comprising the following steps:
obtaining a surface image of a bearing dust cover; obtaining the width of a circular ring representing the dustproof cover in the surface image, and obtaining a plurality of circular tracks of the dustproof cover area in the surface image, wherein the number of the circular tracks is equal to the width of the circular ring; calculating the abnormal index of each pixel point on each annular track based on the gray value of the pixel point on each annular track; the pixel points with the abnormal index larger than or equal to the preset threshold are abnormal pixel points;
clustering is carried out based on the distance of the abnormal pixel points to obtain a plurality of clusters; acquiring a defect index of each cluster based on the number of pixels in each cluster, the variance of gray values of the pixels and the density of the pixels; obtaining clusters with defect indexes larger than or equal to a first threshold value, wherein the clusters are suspicious clusters, and pixel points in the suspicious clusters form suspicious defect areas;
avoiding the suspicious defect area to filter the surface image to obtain the filtered surface image; detecting based on the filtered surface image to obtain a defect area;
the obtaining of the surface image of the bearing dust cover comprises the following steps: capturing a surface image of the bearing dust cover by using a CCD industrial flaw detection camera, wherein the surface image is a gray image, and carrying out normalization processing on the surface image to obtain a final surface image;
the circular track includes: the circle center of each annular track is the same as the circle center of the ring representing the dustproof cover on the surface image;
the abnormal index of each pixel point on each annular track is as follows:
Figure 412409DEST_PATH_IMAGE002
wherein,
Figure DEST_PATH_IMAGE003
expressing the abnormal index of the ith pixel point on the circular track with the radius v;
Figure 814572DEST_PATH_IMAGE004
representing the gray value of the ith pixel point on the circular track with the radius v;
Figure DEST_PATH_IMAGE005
expressing the gray average value of all pixel points on the circular track with the radius v;
Figure 342505DEST_PATH_IMAGE006
represents the length of the circular track with the radius v, namely the number of pixel points on the circular track with the radius v;
Figure DEST_PATH_IMAGE007
representing a bi-tangent function;
the defect index of each cluster is:
Figure DEST_PATH_IMAGE009
wherein,
Figure 506508DEST_PATH_IMAGE010
denotes the first
Figure DEST_PATH_IMAGE011
Defect index of individual clusters;
Figure 57575DEST_PATH_IMAGE012
is shown as
Figure 483002DEST_PATH_IMAGE011
The number of pixels of each cluster;
Figure DEST_PATH_IMAGE013
is shown as
Figure 599863DEST_PATH_IMAGE011
The gray value variance of the clustered pixel points;
Figure 721053DEST_PATH_IMAGE014
is shown as
Figure 369203DEST_PATH_IMAGE011
Density of clustered pixels;
Figure 96856DEST_PATH_IMAGE007
representing a bi-tangent function; e represents a natural constant;
Figure DEST_PATH_IMAGE015
Figure 897584DEST_PATH_IMAGE016
and
Figure DEST_PATH_IMAGE017
respectively, the weight coefficients are obtained by dividing the weight coefficients,
Figure 449395DEST_PATH_IMAGE015
=0.5、
Figure 116000DEST_PATH_IMAGE016
=0.3、
Figure 116185DEST_PATH_IMAGE018
the step of avoiding the suspicious defect region to filter the surface image, and the step of obtaining the filtered surface image comprises: filtering the surface image by using mean filtering, and avoiding suspicious defect areas in the surface image in the filtering process;
the detecting based on the filtered surface image to obtain the defect area comprises: and carrying out edge detection on the filtered surface image to obtain a region with a closed edge in the suspicious defect region, wherein the region with the closed edge is the defect region.
CN202211169457.6A2022-09-262022-09-26Intelligent detection method for automobile part configurationActiveCN115239738B (en)

Priority Applications (1)

Application NumberPriority DateFiling DateTitle
CN202211169457.6ACN115239738B (en)2022-09-262022-09-26Intelligent detection method for automobile part configuration

Applications Claiming Priority (1)

Application NumberPriority DateFiling DateTitle
CN202211169457.6ACN115239738B (en)2022-09-262022-09-26Intelligent detection method for automobile part configuration

Publications (2)

Publication NumberPublication Date
CN115239738A CN115239738A (en)2022-10-25
CN115239738Btrue CN115239738B (en)2022-12-09

Family

ID=83667453

Family Applications (1)

Application NumberTitlePriority DateFiling Date
CN202211169457.6AActiveCN115239738B (en)2022-09-262022-09-26Intelligent detection method for automobile part configuration

Country Status (1)

CountryLink
CN (1)CN115239738B (en)

Families Citing this family (5)

* Cited by examiner, † Cited by third party
Publication numberPriority datePublication dateAssigneeTitle
CN115423813B (en)*2022-11-052023-03-24江苏惠汕新能源集团有限公司Method for detecting welding defects on surface of welded pipe
CN116342597B (en)*2023-05-292023-07-28深圳市民达科技有限公司Method and system for detecting electroplating processing defects on surface of automobile part
CN117314894B (en)*2023-11-272024-03-29深圳市金三维实业有限公司Method for rapidly detecting defects of watch bottom cover
CN118761989B (en)*2024-07-122025-04-22四川银利华应用科技有限责任公司Industrial product quality detection method and system for artificial intelligence
CN119205759B (en)*2024-11-272025-05-02无锡斯达新能源科技股份有限公司Method and system for detecting grooves of polishing pad

Citations (5)

* Cited by examiner, † Cited by third party
Publication numberPriority datePublication dateAssigneeTitle
CN108387580A (en)*2018-02-082018-08-10深圳市晟达机械设计有限公司A kind of bearing defect detection device
CN112862760A (en)*2021-01-192021-05-28浙江大学Bearing outer ring surface defect area detection method
CN114140462A (en)*2021-12-102022-03-04江苏牛犇轴承有限公司Bearing wear degree evaluation method based on image processing
CN115049835A (en)*2022-08-162022-09-13众烁精密模架(南通)有限公司Data preprocessing method based on die-casting die defect identification
CN115082482A (en)*2022-08-232022-09-20山东优奭趸泵业科技有限公司Metal surface defect detection method

Patent Citations (5)

* Cited by examiner, † Cited by third party
Publication numberPriority datePublication dateAssigneeTitle
CN108387580A (en)*2018-02-082018-08-10深圳市晟达机械设计有限公司A kind of bearing defect detection device
CN112862760A (en)*2021-01-192021-05-28浙江大学Bearing outer ring surface defect area detection method
CN114140462A (en)*2021-12-102022-03-04江苏牛犇轴承有限公司Bearing wear degree evaluation method based on image processing
CN115049835A (en)*2022-08-162022-09-13众烁精密模架(南通)有限公司Data preprocessing method based on die-casting die defect identification
CN115082482A (en)*2022-08-232022-09-20山东优奭趸泵业科技有限公司Metal surface defect detection method

Also Published As

Publication numberPublication date
CN115239738A (en)2022-10-25

Similar Documents

PublicationPublication DateTitle
CN115239738B (en)Intelligent detection method for automobile part configuration
CN115861325B (en)Suspension spring defect detection method and system based on image data
CN115170576A (en)Aluminum pipe surface defect detection method based on machine vision
CN115330767B (en)Method for identifying production abnormity of corrosion foil
CN116758083A (en)Quick detection method for metal wash basin defects based on computer vision
CN116012357A (en) Air mark defect detection method of automobile circular trailer hole based on machine vision
CN116091504B (en)Connecting pipe connector quality detection method based on image processing
CN112528868B (en) A method for discriminating illegal line pressing based on improved Canny edge detection algorithm
CN115619793B (en)Power adapter appearance quality detection method based on computer vision
CN115063430B (en)Electric pipeline crack detection method based on image processing
Li et al.Detection algorithm of defects on polyethylene gas pipe using image recognition
CN102768731A (en) System and method for automatic positioning and recognition of targets based on high-definition video images
CN114372983A (en) A method and system for detecting coating quality of shielding box based on image processing
CN102799862A (en)System and method for pedestrian rapid positioning and event detection based on high definition video monitor image
CN116402810B (en)Image processing-based lubricating oil anti-abrasive particle quality detection method
CN109190455B (en) Smoky vehicle identification method based on Gaussian mixture and autoregressive moving average model
CN110414308A (en) A Target Recognition Method for Dynamic Foreign Objects on Transmission Lines
CN115965623A (en)Surface flaw detection method and system in transformer production
CN102902951A (en)System and method for vehicle target location and event detection on basis of high-definition video monitoring images
CN116912254B (en)Cable defect identification method based on data enhancement preprocessing
CN115294118A (en)Marine metal plate welding defect identification method
CN117893527A (en)New energy storage box surface defect detection method
CN106851140B (en) A method of digital photo image source identification using spatial smoothing filter
CN115641279A (en)High-noise image edge detection method
CN114373147A (en) A detection method for low-texture video license plate

Legal Events

DateCodeTitleDescription
PB01Publication
PB01Publication
SE01Entry into force of request for substantive examination
SE01Entry into force of request for substantive examination
GR01Patent grant
GR01Patent grant

[8]ページ先頭

©2009-2025 Movatter.jp