




技术领域technical field
本发明涉及医疗器材的技术领域,具体而言,涉及一种激光荡洗设备及方法。The present invention relates to the technical field of medical equipment, in particular, to a laser cleaning device and method.
背景技术Background technique
牙髓病及根尖周病是口腔科常见病之一,是导致患者失牙的最主要原因。牙根管治疗术是牙髓病及根尖周病的首选治疗方法,其核心内容是彻底清理根管系统中的炎症牙髓、坏死及感染物质。Endodontic disease and periapical disease are one of the common diseases in stomatology and the main cause of tooth loss. Root canal therapy is the preferred treatment for pulp disease and periapical disease.
脉冲激光可以激活牙髓腔或牙根管内的次氯酸钠溶液或生理盐水等冲洗液,使其在根管系统中产生强大的流体场,冲刷、荡洗根管内壁,并高效杀灭根管内的微生物,对牙根管的荡洗效果相较于传统的声波或超声波荡洗优势明显。但是,现有技术中的激光荡洗设备,为了保证荡洗效果,通常采用较长波长的激光,例如:波长为2.94μm的激光,而为了将其传输至治疗部位,还必须使用导光臂传输激光能量,而不论是激光器还是导光臂,成本均比较高,即,现有技术中的激光荡洗设备成本比较高。The pulsed laser can activate the sodium hypochlorite solution or saline solution in the pulp cavity or root canal to generate a strong fluid field in the root canal system, wash and wash the inner wall of the root canal, and efficiently kill the microorganisms in the root canal Compared with the traditional sonic or ultrasonic wave cleaning, the effect of swing cleaning on the root canal has obvious advantages. However, in the prior art laser sweeping equipment, in order to ensure the sweeping effect, a laser with a longer wavelength, such as a laser with a wavelength of 2.94 μm, is usually used. In order to transmit it to the treatment site, a light guide arm must also be used. The cost of transmitting laser energy, regardless of whether it is a laser or a light guide arm, is relatively high, that is, the cost of the laser washing equipment in the prior art is relatively high.
发明内容SUMMARY OF THE INVENTION
本发明的第一个目的在于提供一种激光荡洗设备,以解决现有技术中存在的激光荡洗设备成本比较高的技术问题。The first object of the present invention is to provide a laser cleaning device to solve the technical problem of relatively high cost of the laser cleaning device in the prior art.
本发明提供一种激光荡洗设备,用于荡洗牙根管或牙髓腔,其特征在于,包括激光器、激光传导器件和套管,所述激光器与所述激光传导器件的输入端连接,由所述激光器产生且由所述激光传导器件射出的脉冲激光的能量高于受到所述脉冲激光照射的液体汽化产生气泡的最小能量;所述激光传导器件的输出端位于所述套管内,且所述激光传导器件的输出端的端面与所述套管的出口之间具有设定距离。The present invention provides a laser cleaning device for cleaning a root canal or a dental pulp cavity. The energy of the pulsed laser generated by the laser and emitted by the laser conduction device is higher than the minimum energy of the liquid vapor irradiated by the pulsed laser to generate bubbles; the output end of the laser conduction device is located in the sleeve, and There is a set distance between the end face of the output end of the laser conducting device and the outlet of the sleeve.
本发明提供的激光荡洗设备,能够产生以下有益效果:The laser washing equipment provided by the present invention can produce the following beneficial effects:
本发明提供的激光荡洗设备,使用时,激光器产生的脉冲激光由激光传导器件进行能量传输,自激光传导器件的输出端射出后,由于,由激光器产生且由激光传导器件射出的脉冲激光的能量高于受到脉冲激光照射的液体汽化产生气泡的最小能量,所以套管内的一部分液体(例如:次氯酸钠溶液或者生理盐水)受到脉冲激光照射、吸收脉冲激光的能量后,能够在短时间内汽化生成气泡且在膨胀作用下能够推动套管内的液体喷出,形成高速微射流,从而对牙髓腔或牙根管内的目标区域进行荡洗。其中,微射流从套管的出口喷出,速度高,所以荡洗力度大,进而荡洗效果好;此外,微射流从套管的出口喷出,具有方向性,所以荡洗精准度高,进而能够进一步提高对目标区域的荡洗效果。所以,若要达到与现有技术同样的荡洗效果,本发明提供的激光荡洗设备所需的脉冲激光的能量比较低,对激光器、激光传输器件的要求也相应比较低,进而能够降低成本。此外,脉冲激光的能量低,荡洗温度和荡洗时的噪音也会相对较低,所以还能够提高患者的荡洗体验。In the laser cleaning device provided by the present invention, when in use, the pulsed laser generated by the laser is transmitted by the laser conducting device for energy transmission, and after being emitted from the output end of the laser conducting device, because the pulsed laser generated by the laser and emitted by the laser conducting device has The energy is higher than the minimum energy for the vaporization of the liquid irradiated by the pulsed laser to generate bubbles, so a part of the liquid in the cannula (such as sodium hypochlorite solution or normal saline) is irradiated by the pulsed laser and absorbed the energy of the pulsed laser. After the energy, it can be vaporized in a short time to generate The air bubbles can push the liquid in the sleeve to eject under the action of expansion, forming high-speed micro-jets, so as to wash the target area in the pulp cavity or root canal. Among them, the micro-jet is ejected from the outlet of the sleeve, and the speed is high, so the sweeping force is large, and the sweeping effect is good; in addition, the micro-jet is ejected from the outlet of the sleeve, which has directionality, so the sweeping precision is high, Further, the effect of washing the target area can be further improved. Therefore, in order to achieve the same sweeping effect as the prior art, the energy of the pulsed laser required by the laser sweeping device provided by the present invention is relatively low, and the requirements for lasers and laser transmission devices are also relatively low, thereby reducing costs. . In addition, the energy of the pulsed laser is low, and the washing temperature and noise during washing are relatively low, so it can also improve the washing experience of patients.
进一步地,所述激光传导器件为光纤。Further, the laser conducting device is an optical fiber.
该技术方案下,采用光纤进行激光能量传导,取材方便、成本低,且光纤体积小,有利于减小整个荡洗设备的体积、占用空间,也方便操作。Under this technical scheme, the optical fiber is used for laser energy conduction, which is convenient to obtain materials, low in cost, and small in size of the optical fiber, which is conducive to reducing the volume and occupied space of the entire washing equipment, and is also convenient for operation.
进一步地,所述光纤的外径范围为0.1mm至1.8mm,例如:可以为0.13mm、0.25mm、0.33mm、0.45mm、0.65mm、0.88mm等,所述套管的内径为所述光纤的外径的1倍至2倍。Further, the outer diameter of the optical fiber is in the range of 0.1 mm to 1.8 mm, for example, it can be 0.13 mm, 0.25 mm, 0.33 mm, 0.45 mm, 0.65 mm, 0.88 mm, etc., and the inner diameter of the sleeve is the optical fiber. 1 to 2 times the outer diameter.
进一步地,所述激光器为铥光纤脉冲激光器,或光纤耦合输出的Nd:YAG(Neodymium-Doped Yttrium Aluminum Garnet,掺钕钇铝石榴石)激光器。Further, the laser is a thulium fiber pulsed laser, or a Nd:YAG (Neodymium-Doped Yttrium Aluminum Garnet, neodymium-doped yttrium aluminum garnet) laser coupled with an output fiber.
该技术方案下,铥光纤脉冲激光器产生的激光波长在1900nm至2100nm范围内(典型值为1940nm),而Nd:YAG激光器产生的激光波长在1030nm至1100nm范围内(典型值为1064nm),两者的体积小,且所产生的激光的能量高低适宜,能够通过光纤传导,且光纤对其的吸收率低,能量传输损失少,而水对其的吸收系数高,能量的利用率高。Under this technical solution, the laser wavelength generated by the thulium fiber pulsed laser is in the range of 1900nm to 2100nm (typical value is 1940nm), while the laser wavelength generated by the Nd:YAG laser is in the range of 1030nm to 1100nm (typical value is 1064nm). The volume of the laser is small, and the energy of the generated laser is suitable, which can be transmitted through the optical fiber, and the absorption rate of the optical fiber is low, and the loss of energy transmission is small, while the absorption coefficient of water is high, and the utilization rate of energy is high.
进一步地,所述设定距离大于等于所述套管内的液体汽化生成的气泡的最大直径。Further, the set distance is greater than or equal to the maximum diameter of the air bubbles generated by the vaporization of the liquid in the casing.
进一步地,所述设定距离为所述套管内的液体汽化生成的气泡的最大直径的1倍至10倍,优选地,可以为1.5倍至3倍。Further, the set distance is 1 to 10 times, preferably 1.5 to 3 times, the maximum diameter of the bubbles generated by the vaporization of the liquid in the casing.
进一步地,所述套管内的液体汽化生成的气泡的最大直径为0.01mm至1.2mm,所述设定距离为0.01mm至12mm。Further, the maximum diameter of the bubbles generated by the vaporization of the liquid in the sleeve is 0.01 mm to 1.2 mm, and the set distance is 0.01 mm to 12 mm.
进一步地,所述套管为不锈钢管,或者透明硬质管,或者软管。Further, the sleeve is a stainless steel tube, or a transparent rigid tube, or a flexible tube.
该技术方案下,套管可以为不锈钢管,也可以为透明硬质管,例如:玻璃管,还可以为软管,例如:硅胶管,套管的材质可选范围大,取材方便、成本低廉。Under this technical solution, the sleeve can be a stainless steel tube, or a transparent rigid tube, such as a glass tube, or a flexible tube, such as a silicone tube. .
本发明的第二个目的在于提供一种激光荡洗方法,以解决现有技术中存在的激光荡洗设备成本比较高的技术问题。The second object of the present invention is to provide a laser cleaning method to solve the technical problem of relatively high cost of laser cleaning equipment in the prior art.
本发明提供的激光荡洗方法,用于荡洗牙根管或牙髓腔,所述激光荡洗方法,使用上述的激光荡洗设备,使所述套管内的至少部分液体汽化产生气泡,以推动另一部分液体,使混合有气泡的液体自所述套管喷出形成微射流,并喷射至牙根管或牙髓腔内。The laser sweeping method provided by the present invention is used for sweeping the root canal or pulp cavity of a tooth. The laser sweeping method uses the above-mentioned laser sweeping device to vaporize at least part of the liquid in the sleeve to generate air bubbles, so that the The other part of the liquid is pushed, so that the liquid mixed with air bubbles is ejected from the cannula to form a micro-jet, and is ejected into the root canal or pulp cavity.
进一步地,荡洗时,控制所述激光器输出的脉冲脉宽小于20μs和/或脉冲频率大于100Hz。Further, during washing, the pulse width of the pulse output by the laser is controlled to be less than 20 μs and/or the pulse frequency is greater than 100 Hz.
本发明提供的激光荡洗方法,具有上述的激光荡洗设备的全部优点,故在此不再赘述。The laser sweeping method provided by the present invention has all the advantages of the above-mentioned laser sweeping equipment, so it is not repeated here.
附图说明Description of drawings
为了更清楚地说明本发明实施例或现有技术中的技术方案,下面将对实施例或现有技术描述中所需要使用的附图作简单地介绍,显而易见地,下面描述中的附图仅仅是本发明的实施例,对于本领域普通技术人员来讲,在不付出创造性劳动的前提下,还可以根据提供的附图获得其他的附图。In order to explain the embodiments of the present invention or the technical solutions in the prior art more clearly, the following briefly introduces the accompanying drawings that need to be used in the description of the embodiments or the prior art. Obviously, the accompanying drawings in the following description are only It is an embodiment of the present invention. For those of ordinary skill in the art, other drawings can also be obtained according to the provided drawings without creative work.
图1为本发明实施例提供的激光荡洗设备的结构示意图;1 is a schematic structural diagram of a laser cleaning device provided by an embodiment of the present invention;
图2为最小脉冲激光能量与光斑直径的关系曲线;Figure 2 shows the relationship between the minimum pulsed laser energy and the spot diameter;
图3为气泡最大半径与脉冲激光能量的关系曲线;Figure 3 shows the relationship between the maximum radius of the bubble and the energy of the pulsed laser;
图4为水分子对不同波长的激光的吸收曲线;Figure 4 is the absorption curve of water molecules to lasers of different wavelengths;
图5为微射流最高速度与脉冲激光能量的关系曲线。Figure 5 shows the relationship between the maximum velocity of the microjet and the energy of the pulsed laser.
附图标记说明:Description of reference numbers:
100-激光器;200-光纤;300-套管;400-气泡。100-laser; 200-fiber; 300-tube; 400-bubble.
具体实施方式Detailed ways
为使本发明的上述目的、特征和优点能够更为明显易懂,下面结合附图对本发明的具体实施例做详细的说明。应当理解,此处所描述的具体实施例仅仅用以解释本发明,并不用于限定本发明。In order to make the above objects, features and advantages of the present invention more clearly understood, the specific embodiments of the present invention will be described in detail below with reference to the accompanying drawings. It should be understood that the specific embodiments described herein are only used to explain the present invention, but not to limit the present invention.
本实施例提供一种激光荡洗设备,用于荡洗牙根管或牙髓腔,如图1所示,该激光荡洗设备包括激光器100、激光传导器件和套管300,激光器100与激光传导器件的输入端连接,由激光器100产生且由激光传导器件射出的脉冲激光的能量高于受到脉冲激光照射的液体汽化产生气泡的最小能量;激光传导器件的输出端位于套管300内,且激光传导器件的输出端的端面与套管300的出口之间具有设定距离。This embodiment provides a laser cleaning device for cleaning a root canal or a dental pulp cavity. As shown in FIG. 1 , the laser cleaning device includes a
本实施例提供的激光荡洗设备,使用时,激光器100产生的脉冲激光由激光传导器件进行能量传输,自激光传导器件的输出端射出后,由于,由激光器100产生且由激光传导器件射出的脉冲激光的能量高于受到脉冲激光照射的液体汽化产生气泡的最小能量,所以套管300内的一部分液体(例如:次氯酸钠溶液或者生理盐水)受到脉冲激光照射、吸收脉冲激光的能量后,能够在短时间内汽化生成气泡且在膨胀作用下能够推动套管300内的液体喷出,形成高速微射流,从而对牙髓腔或牙根管内的目标区域进行荡洗。其中,微射流从套管300的出口喷出,速度高,所以荡洗力度大,进而荡洗效果好;此外,微射流从套管300的出口喷出,具有方向性,所以荡洗精准度高,进而能够进一步提高对目标区域的荡洗效果。所以,若要达到与现有技术同样的荡洗效果,本实施例提供的激光荡洗设备所需的脉冲激光的能量比较低,对激光器100、激光传输器件的要求也相应比较低,进而能够降低成本。此外,脉冲激光的能量低,荡洗温度和荡洗时的噪音也会相对较低,所以还能够提高患者的荡洗体验。In the laser sweeping device provided in this embodiment, when in use, the pulsed laser generated by the
此处,关于微射流的形成,详细介绍如下:Here, about the formation of microfluidics, the details are as follows:
在脉冲激光的作用下,水的热弛豫时间与光斑直径的平方成正比,与水的热扩散系数成反比,用公式可以表示为:Under the action of the pulsed laser, the thermal relaxation time of water is proportional to the square of the spot diameter and inversely proportional to the thermal diffusivity of water, which can be expressed as:
τth(d)=d2/4k (1)τth (d)=d2 /4k (1)
式(1)中,τth表示水的热弛豫时间,d表示激光光斑直径,k表示水的热扩散系数。在100摄氏度时,水的热扩散系数参考值为50mm2/s。据此可以计算得到,对于100μm的光斑直径,水的热弛豫时间是500μs。当脉冲激光的持续时间远小于(例如:小于10倍以上)水的热弛豫时间时,气泡的形成过程可以近似为绝热膨胀过程。由于脉冲激光的持续时间较短,所以局部液体吸收脉冲激光能量后温度会迅速升高并远超过沸点(例如:100μm光斑直径的1940nm激光,10mJ脉冲激光能量,可以把局部水温迅速加热至1000摄氏度以上),然后迅速膨胀,形成气泡,推动周边液体,形成微射流。In formula (1), τth represents the thermal relaxation time of water, d represents the diameter of the laser spot, and k represents the thermal diffusivity of water. At 100 degrees Celsius, the reference value for the thermal diffusivity of water is 50 mm2 /s. From this, it can be calculated that for a spot diameter of 100 μm, the thermal relaxation time of water is 500 μs. When the duration of the pulsed laser is much shorter than (for example, less than 10 times) the thermal relaxation time of water, the formation process of bubbles can be approximated as an adiabatic expansion process. Due to the short duration of the pulsed laser, the temperature of the local liquid will rise rapidly after absorbing the pulsed laser energy and far exceed the boiling point (for example: 100μm spot diameter 1940nm laser, 10mJ pulsed laser energy, can quickly heat the local water temperature to 1000 degrees Celsius above), and then rapidly expand to form bubbles that push the surrounding liquid to form microjets.
关于使液体汽化产生气泡的最小能量的计算,详细介绍如下:The calculation of the minimum energy required to vaporize a liquid to produce bubbles is detailed below:
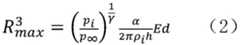
因为光纤200输出端附近汽化产生的气泡在不受空间限制的情况下近似为球形,所以,气泡的最大半径可表示为:Because the bubbles generated by vaporization near the output end of the
式(2)中,Rmax表示气泡的最大半径;pi表示气泡的初始压力,对于水气泡,参考值为218个大气压;p∞表示气泡半径达到最大值时气泡周边环境对气泡的压力,在此可近似为1个大气压;γ表示气泡内气体的绝热系数,也称绝热指数,也即等压比热容与等容比热容的比值,干饱和水蒸气的绝热系数参考值为1.135;α表示液体对激光的吸收系数;ρi表示气泡的初始密度,对于水气泡,参考值为322kg/m3;h表示气化热,对于水,参考值为2840J/g;E表示脉冲激光能量;d表示激光光斑直径,为方便分析计算,可近似为光纤纤芯的直径。In formula (2), Rmax represents the maximum radius of the bubble;pi represents the initial pressure of the bubble, for water bubbles, the reference value is 218 atmospheres; p∞ represents the pressure of the surrounding environment on the bubble when the bubble radius reaches the maximum value, It can be approximated as 1 atmosphere here; γ represents the adiabatic coefficient of the gas in the bubble, also known as the adiabatic index, that is, the ratio of the isobaric specific heat capacity to the isobaric specific heat capacity, and the reference value of the adiabatic coefficient of dry saturated water vapor is 1.135; α represents the liquid Absorption coefficient to laser; ρi represents the initial density of bubbles, for water bubbles, the reference value is 322kg/m3 ; h represents the heat of vaporization, for water, the reference value is 2840J/g; E represents pulsed laser energy; d represents The diameter of the laser spot can be approximated as the diameter of the fiber core for the convenience of analysis and calculation.
根据式(2),再合理假设气泡最小直径与光斑直径(或光纤纤芯的直径)一致,便可以计算得出产生气泡的最小脉冲激光能量与光斑直径的关系,也即产生气泡的阈值能量与气泡最小直径的关系,如图2所示。图2中,激光波长设定为1.94μm,常温水对1.94μm激光的吸收系数参考值约为100/cm。由图2可以看出,对于100μm直径光斑,局部水汽化成气泡的最小能量约为0.05mJ;对于400μm直径光斑,局部水汽化成气泡的最小能量约为0.8mJ。也就是说,光斑直径越大,产生气泡所需要的最小脉冲激光能量越大。由这个关系式,可以由光斑直径(或光纤纤芯的直径),确定产生气泡所需要的脉冲激光的最小能量。According to formula (2), and then reasonably assuming that the minimum diameter of the bubble is consistent with the diameter of the spot (or the diameter of the fiber core), the relationship between the minimum pulsed laser energy and the spot diameter can be calculated to generate bubbles, that is, the threshold energy to generate bubbles The relationship with the minimum diameter of the bubble is shown in Figure 2. In Figure 2, the laser wavelength is set to 1.94 μm, and the reference value of the absorption coefficient of the 1.94 μm laser by normal temperature water is about 100/cm. It can be seen from Figure 2 that for a 100μm diameter spot, the minimum energy for local water vaporization to form bubbles is about 0.05mJ; for a 400μm diameter spot, the minimum energy for local water vaporization to bubbles is about 0.8mJ. That is, the larger the spot diameter, the greater the minimum pulsed laser energy required to generate bubbles. From this relationship, the minimum energy of the pulsed laser required to generate the bubble can be determined from the spot diameter (or the diameter of the fiber core).
图3示出了气泡的最大直径与脉冲激光能量的关系曲线,从图中可以看出,大能量(大于10mJ)脉冲激光被液体吸收可以显著提高气泡的最大直径,所以,使用大能量脉冲激光可以提高微射流的强度。以输出光斑直径分别为100μm与200μm、中心波长为1940nm的铥光纤脉冲激光为例,气泡的最大直径随着脉冲激光能量的增长而增大,在脉冲能量为1mJ时,气泡最大直径为0.27mm;在脉冲能量为10mJ时,气泡最大直径为0.58mm;在脉冲能量为100mJ时,气泡最大直径为1.26mm。所以,可以通过增大脉冲激光的能量而增大气泡的最大直径,从而提高微射流的强度。临床试验中使用的激光脉冲能量典型值为5mJ至30mJ。Figure 3 shows the relationship between the maximum diameter of the bubble and the energy of the pulsed laser. It can be seen from the figure that the absorption of the high-energy (greater than 10mJ) pulsed laser by the liquid can significantly increase the maximum diameter of the bubble. Therefore, using a high-energy pulsed laser The intensity of the microjet can be increased. Taking the thulium fiber pulsed laser with the output spot diameters of 100 μm and 200 μm and the center wavelength of 1940 nm as an example, the maximum diameter of the bubble increases with the increase of the pulse laser energy. When the pulse energy is 1 mJ, the maximum diameter of the bubble is 0.27 mm. ; When the pulse energy is 10mJ, the maximum bubble diameter is 0.58mm; when the pulse energy is 100mJ, the maximum bubble diameter is 1.26mm. Therefore, the maximum diameter of the bubble can be increased by increasing the energy of the pulsed laser, thereby increasing the intensity of the microjet. Typical laser pulse energies used in clinical trials are 5mJ to 30mJ.
需要说明的是,实际使用过程中,脉冲激光有一部分能量是被牙髓腔或牙根管内的液体吸收的;套管300内的一部分液体吸收脉冲激光能量汽化成气泡,通过气泡的膨胀作用将另一部分液体从套管300的出口推出。所以,激光器100的脉冲能量要适当地大于产生气泡的最小能量。It should be noted that, in the actual use process, part of the energy of the pulsed laser is absorbed by the liquid in the pulp cavity or root canal; part of the liquid in the
具体地,本实施例中,如图1所示,激光传导器件为光纤200。更具体地,采用商品化的石英光纤200即可。采用光纤200进行激光能量传导,取材方便、成本低,且光纤200体积小,有利于减小整个荡洗设备的体积、占用空间,也方便操作。Specifically, in this embodiment, as shown in FIG. 1 , the laser conducting device is an
更具体地,光纤200的外径范围为0.1mm至1.8mm,例如:可以为0.13mm、0.25mm、0.33mm、0.45mm、0.65mm、0.88mm等,套管300的内径为光纤200的外径的1倍至2倍。如此设置,便于安装套管300。More specifically, the outer diameter of the
具体地,光纤200的输出端的端面可以是非平面,比如可以设置成球面,实现激光汇聚,降低产生气泡的激光功率阈值。Specifically, the end face of the output end of the
具体地,本实施例中,激光器100为铥光纤脉冲激光器,或光纤耦合输出的Nd:YAG(Neodymium-Doped Yttrium Aluminum Garnet,掺钕钇铝石榴石)激光器。其中,铥光纤脉冲激光器产生的激光波长在1900nm至2100nm范围内(典型值为1940nm),而Nd:YAG激光器产生的激光波长在1030nm至1100nm范围内(典型值为1064nm),两者的体积小,且所产生的激光的能量高低适宜,能够通过光纤200传导,且光纤200对其的吸收率低,能量传输损失少,而水对其的吸收系数高,能量的利用率高。此外,铥光纤脉冲激光器,其尾纤可以直接与能量传输光纤200熔接,从而能够提高系统的可靠性,降低系统的体积。Specifically, in this embodiment, the
图4为水分子对不同波长的激光的吸收曲线,参考图4,脉冲激光的发射光谱峰值与水的固有吸收峰值(例如:水的吸收峰值之一的1940nm)基本重叠,此时,液体能够实现对脉冲激光能量的高效吸收。所以,铥光纤脉冲激光器产生的脉冲激光,可实现水对其的高效吸收,从而能够提高汽化率,产生更多的气泡,进而提高微射流的强度。Figure 4 shows the absorption curves of water molecules for different wavelengths of laser light. Referring to Figure 4, the emission spectrum peak of the pulsed laser basically overlaps with the inherent absorption peak of water (for example, one of the absorption peaks of water at 1940 nm). At this time, the liquid can Achieve efficient absorption of pulsed laser energy. Therefore, the pulsed laser generated by the thulium fiber pulsed laser can realize the efficient absorption of water, thereby increasing the vaporization rate, generating more bubbles, and increasing the intensity of the microjet.
需要说明的是,在本申请的其他实施例中,激光器100的选择不限于上述两种,而是还可以选择其他产生的激光适于光纤200传导的激光器100,例如:钬激光(波长2.0μm至2.1μm)或半导体激光(波长0.43μm至0.98μm)等也适于光纤200传导,所以,只要能够产生微射流,也可以选择产生这些激光的激光器100。It should be noted that, in other embodiments of the present application, the selection of the
具体地,本实施例中,设定距离大于等于套管300内的液体汽化生成的气泡的最大直径。进一步地,本实施例中,设定距离为套管300内的液体汽化生成的气泡的最大直径的1倍至10倍,优选地,可以为1.5倍至3倍。Specifically, in this embodiment, the set distance is greater than or equal to the maximum diameter of the bubbles generated by the vaporization of the liquid in the
更具体地,套管300内的液体汽化生成的气泡的最大直径可以为0.01mm至1.2mm,设定距离为0.01mm至12mm,优选地,可以为0.4mm至3.8mm。More specifically, the maximum diameter of the bubbles generated by the vaporization of the liquid in the
光纤200的输出端端面与套管300的出口之间的设定距离df,以及套管300的内径dt、气泡的最大直径(或最大体积Vmax)等参数均与微射流的喷射速度vs有直接关系,除此之外,微射流的喷射速度vs还与气泡的膨胀速度有直接关系,具体介绍如下:The set distance df between the output end face of the
为了获得较高的微射流的喷射速度,可以把套管300内从光纤200输出端端面到套管300出口之间的腔体的体积等于气泡的最大体积,即:In order to obtain a higher injection velocity of the micro-jet, the volume of the cavity in the
Vmax=4πRmax3/3=(πdt2/4)*df(3)Vmax =4πRmax3 /3=(πdt2 /4)*df (3)
由式(3)可知,套管300的内径dt以及光纤200的输出端端面与套管300出口之间的设定距离df可以由气泡的最大体积确定。It can be known from equation (3) that the inner diameter dt of the
关于气泡的膨胀速度,可以使用现有模型进行近似计算,也可以使用超高速相机摄影测定,本申请直接采用现有文献数据,汽化气泡在10μs至50μs内膨胀至最大。Regarding the expansion speed of bubbles, the existing model can be used for approximate calculation, and ultra-high-speed camera photography can also be used to measure. This application directly adopts the existing literature data, and the vaporized bubble expands to the maximum within 10 μs to 50 μs.
根据气泡的膨胀速度和最大体积,以及套管300的内径,将汽化气泡膨胀到最大的时间记为Δtb,则微射流的最高喷射速度vs可估算为:According to the expansion speed and maximum volume of the bubbles, as well as the inner diameter of the
vs=(4πRmax3/3)/(πdt2/4)/Δtbvs =(4πRmax3 /3)/(πdt2 /4)/Δtb
由上式可以计算出当光斑直径为200μm、套管300的内径为400μm时,在不同脉冲激光能量下的微射流最高速度,计算结果如图5所示。由图5可知,在脉冲激光能量为10mJ时,微射流最高速度可以达到266m/s。From the above formula, when the spot diameter is 200 μm and the inner diameter of the
此外,可以采用高重频短脉冲激光,例如:脉冲宽度小于20μs,频率大于100Hz,以提高气泡产生速率,进而提高荡洗效率。In addition, high repetition frequency short pulse laser can be used, for example, the pulse width is less than 20 μs and the frequency is greater than 100 Hz, so as to increase the bubble generation rate and thus improve the washing efficiency.
关于套管300,本实施例中,套管300可以为不锈钢管,也可以为透明硬质管,例如:玻璃管,还可以为软管,例如:硅胶管,套管300的材质可选范围大,取材方便、成本低廉。Regarding the
具体地,套管300的长度范围为1mm到200mm,优选地,可以为10mm至30mm。如此设置,套管300的长度较短,方便操作。Specifically, the length of the
具体地,套管300的出口附近可以是弯曲的,以方便操作人员把套管300的出口伸入牙髓腔内。Specifically, the vicinity of the outlet of the
具体地,套管300的出口附近的内径可以是变化的,可以增大也可以缩小,以改变微射流的速度和流量。Specifically, the inner diameter near the outlet of the
本实施例还提供一种激光荡洗方法,用于荡洗牙根管或牙髓腔,该激光荡洗方法,使用上述的激光荡洗设备,使套管300内的至少部分液体汽化产生气泡,以推动另一部分液体,使混合有气泡的液体自套管300喷出形成微射流,并喷射至牙根管或牙髓腔内。This embodiment also provides a laser rinsing method for rinsing a root canal or a dental pulp cavity. The laser rinsing method uses the above-mentioned laser rinsing equipment to vaporize at least part of the liquid in the
具体地,本实施例中,荡洗时,控制激光器100输出的脉冲脉宽小于20μs和/或脉冲频率大于100Hz。Specifically, in this embodiment, the pulse width of the pulse output by the
该激光荡洗方法,具有上述的激光荡洗设备的全部优点,故在此不再赘述。The laser sweeping method has all the advantages of the above-mentioned laser sweeping equipment, so it will not be repeated here.
最后,还需要说明的是,在本文中,诸如“第一”和“第二”等之类的关系术语仅仅用来将一个实体或者操作与另一个实体或者操作区分开来,而不一定要求或者暗示这些实体或者操作之间存在任何这种实际的关系或者顺序。而且,术语“包括”、“包含”或者其任何其他变体意在涵盖非排他性的包含,从而使得包括一系列要素的过程、方法、物品或者设备不仅包括那些要素,而且还包括没有明确列出的其他要素,或者是还包括为这种过程、方法、物品或者设备所固有的要素。Finally, it should also be noted that in this document, relational terms such as "first" and "second" are used only to distinguish one entity or operation from another entity or operation, and do not necessarily require Or imply that there is any such actual relationship or order between these entities or operations. Moreover, the terms "comprising", "comprising" or any other variation thereof are intended to encompass non-exclusive inclusion such that a process, method, article or device comprising a list of elements includes not only those elements, but also includes not explicitly listed or other elements inherent to such a process, method, article or apparatus.
对所公开的实施例的上述说明,使本领域专业技术人员能够实现或使用本发明。对实施例的多种修改对本领域的专业技术人员来说将是显而易见的,本文中所定义的一般原理可以在不脱离本发明的精神或范围的情况下,在其它实施例中实现。因此,本发明将不会被限制于本文所示的实施例,而是要符合与本文所公开的原理和新颖特点相一致的最宽的范围。The above description of the disclosed embodiments enables any person skilled in the art to make or use the present invention. Various modifications to the embodiments will be readily apparent to those skilled in the art, and the generic principles defined herein may be implemented in other embodiments without departing from the spirit or scope of the invention. Thus, the present invention is not intended to be limited to the embodiments shown herein, but is to be accorded the widest scope consistent with the principles and novel features disclosed herein.
| Application Number | Priority Date | Filing Date | Title |
|---|---|---|---|
| CN202211016826.8ACN115227419A (en) | 2022-08-24 | 2022-08-24 | Laser oscillation washing equipment and method |
| Application Number | Priority Date | Filing Date | Title |
|---|---|---|---|
| CN202211016826.8ACN115227419A (en) | 2022-08-24 | 2022-08-24 | Laser oscillation washing equipment and method |
| Publication Number | Publication Date |
|---|---|
| CN115227419Atrue CN115227419A (en) | 2022-10-25 |
| Application Number | Title | Priority Date | Filing Date |
|---|---|---|---|
| CN202211016826.8APendingCN115227419A (en) | 2022-08-24 | 2022-08-24 | Laser oscillation washing equipment and method |
| Country | Link |
|---|---|
| CN (1) | CN115227419A (en) |
| Publication number | Priority date | Publication date | Assignee | Title |
|---|---|---|---|---|
| CN1216910A (en)* | 1996-04-24 | 1999-05-19 | 加利福尼亚大学董事会 | Opto-acoustic thrombolysis |
| WO2001010327A1 (en)* | 1999-08-11 | 2001-02-15 | Ceramoptec Industries, Inc. | Dental laser scaling device and method |
| JP2003111766A (en)* | 2001-10-03 | 2003-04-15 | Sparkling Photon Inc | Jet flow former |
| JP2004215862A (en)* | 2003-01-15 | 2004-08-05 | Tohoku Techno Arch Co Ltd | Shock wave producing device |
| JP2005143945A (en)* | 2003-11-18 | 2005-06-09 | Univ Nihon | Intraoral laser beam irradiation device |
| JP2005169094A (en)* | 2003-11-21 | 2005-06-30 | Terumo Corp | Laser induced liquid jet generating apparatus |
| JP2009061083A (en)* | 2007-09-06 | 2009-03-26 | Hi-Lex Corporation | Shock wave ablation system |
| US20110230826A1 (en)* | 2010-03-16 | 2011-09-22 | Snu R&Db Foundation | Microjet drug delivery system |
| US20120237893A1 (en)* | 2010-10-21 | 2012-09-20 | Sonendo, Inc. | Apparatus, methods, and compositions for endodontic treatments |
| CN202821693U (en)* | 2009-03-20 | 2013-03-27 | 洁碧有限公司 | Oral cavity irrigator with radiation energy source used for improving sterilizing effect |
| CN103040554A (en)* | 2013-01-07 | 2013-04-17 | 华中科技大学同济医学院附属协和医院 | Surgical device for curing glaucoma by femtosecond laser transmitted by energy transmission optical fiber |
| CN103167892A (en)* | 2010-10-21 | 2013-06-19 | M.I.技术有限公司 | Liquid crystal polymer-based electro-optrode neural interface, and method for producing same |
| CN104405613A (en)* | 2014-11-28 | 2015-03-11 | 广东工业大学 | Laser-induced micro pump |
| US20150223911A1 (en)* | 2014-02-13 | 2015-08-13 | Fotona D.D. | Laser system and method for operating the laser system |
| JP2015171547A (en)* | 2015-04-30 | 2015-10-01 | セイコーエプソン株式会社 | Fluid injection device |
| CN106058619A (en)* | 2015-04-03 | 2016-10-26 | 株式会社东芝 | Laser light irradiation apparatus and laser peening treatment method |
| WO2017033998A1 (en)* | 2015-08-25 | 2017-03-02 | 国立大学法人東北大学 | Jet flow generating device and jet flow generating method for jet flow generating device |
| US20170056042A1 (en)* | 2014-02-18 | 2017-03-02 | Tohoku University | Jet stream generating device and jet stream generating method |
| CN107915326A (en)* | 2017-10-31 | 2018-04-17 | 南京航空航天大学 | Microbubble production method and jet stream fine bubble diffuser based on jet stream |
| WO2018193701A1 (en)* | 2017-04-17 | 2018-10-25 | 学校法人東京電機大学 | Liquid ejection device |
| CN114950284A (en)* | 2022-05-19 | 2022-08-30 | 台州学院 | Gas jet flow optimization method for gas-liquid bubbling fluidized bed |
| US20230026586A1 (en)* | 2020-01-28 | 2023-01-26 | Ecole Polytechnique Federale De Lausanne (Epfl) | System and Method for a Microfluidic Jet Generation from a Compact Device |
| Publication number | Priority date | Publication date | Assignee | Title |
|---|---|---|---|---|
| CN1216910A (en)* | 1996-04-24 | 1999-05-19 | 加利福尼亚大学董事会 | Opto-acoustic thrombolysis |
| WO2001010327A1 (en)* | 1999-08-11 | 2001-02-15 | Ceramoptec Industries, Inc. | Dental laser scaling device and method |
| JP2003111766A (en)* | 2001-10-03 | 2003-04-15 | Sparkling Photon Inc | Jet flow former |
| JP2004215862A (en)* | 2003-01-15 | 2004-08-05 | Tohoku Techno Arch Co Ltd | Shock wave producing device |
| JP2005143945A (en)* | 2003-11-18 | 2005-06-09 | Univ Nihon | Intraoral laser beam irradiation device |
| JP2005169094A (en)* | 2003-11-21 | 2005-06-30 | Terumo Corp | Laser induced liquid jet generating apparatus |
| JP2009061083A (en)* | 2007-09-06 | 2009-03-26 | Hi-Lex Corporation | Shock wave ablation system |
| CN202821693U (en)* | 2009-03-20 | 2013-03-27 | 洁碧有限公司 | Oral cavity irrigator with radiation energy source used for improving sterilizing effect |
| US20110230826A1 (en)* | 2010-03-16 | 2011-09-22 | Snu R&Db Foundation | Microjet drug delivery system |
| CN107115154A (en)* | 2010-10-21 | 2017-09-01 | 索南多股份有限公司 | Equipment, method and combination for endodontic treatment |
| US20120237893A1 (en)* | 2010-10-21 | 2012-09-20 | Sonendo, Inc. | Apparatus, methods, and compositions for endodontic treatments |
| CN103167892A (en)* | 2010-10-21 | 2013-06-19 | M.I.技术有限公司 | Liquid crystal polymer-based electro-optrode neural interface, and method for producing same |
| CN103040554A (en)* | 2013-01-07 | 2013-04-17 | 华中科技大学同济医学院附属协和医院 | Surgical device for curing glaucoma by femtosecond laser transmitted by energy transmission optical fiber |
| US20150223911A1 (en)* | 2014-02-13 | 2015-08-13 | Fotona D.D. | Laser system and method for operating the laser system |
| US20170056042A1 (en)* | 2014-02-18 | 2017-03-02 | Tohoku University | Jet stream generating device and jet stream generating method |
| CN104405613A (en)* | 2014-11-28 | 2015-03-11 | 广东工业大学 | Laser-induced micro pump |
| CN106058619A (en)* | 2015-04-03 | 2016-10-26 | 株式会社东芝 | Laser light irradiation apparatus and laser peening treatment method |
| JP2015171547A (en)* | 2015-04-30 | 2015-10-01 | セイコーエプソン株式会社 | Fluid injection device |
| WO2017033998A1 (en)* | 2015-08-25 | 2017-03-02 | 国立大学法人東北大学 | Jet flow generating device and jet flow generating method for jet flow generating device |
| WO2018193701A1 (en)* | 2017-04-17 | 2018-10-25 | 学校法人東京電機大学 | Liquid ejection device |
| CN107915326A (en)* | 2017-10-31 | 2018-04-17 | 南京航空航天大学 | Microbubble production method and jet stream fine bubble diffuser based on jet stream |
| US20230026586A1 (en)* | 2020-01-28 | 2023-01-26 | Ecole Polytechnique Federale De Lausanne (Epfl) | System and Method for a Microfluidic Jet Generation from a Compact Device |
| CN114950284A (en)* | 2022-05-19 | 2022-08-30 | 台州学院 | Gas jet flow optimization method for gas-liquid bubbling fluidized bed |
| Publication | Publication Date | Title |
|---|---|---|
| US11964311B2 (en) | Cleaning system and method for operating the cleaning system | |
| US20190021827A1 (en) | Method and apparatus for laser induced thermo-acoustical streaming of liquid | |
| US6129723A (en) | Apparatus and methods for laser-induced superficial alteration of a substrate | |
| KR101529367B1 (en) | Laser induced vapor/plasma mediated medical procedures and device | |
| Kang et al. | Dependence of calculus retropulsion on pulse duration during Ho: YAG laser lithotripsy | |
| JP2024052981A (en) | Method and apparatus for laser lithotripsy - Patent application | |
| EP2907471A1 (en) | Laser system and method for operating the laser system | |
| US20160081749A1 (en) | Surgical laser systems and laser lithotripsy techniques | |
| JPH02116384A (en) | Laser catheter | |
| WO1996028998A2 (en) | Two-pulse, lateral tissue illuminator | |
| Dyer et al. | Transient photoacoustic studies of laser tissue ablation | |
| Mohammadzadeh et al. | Synthetic jet generation by high-frequency cavitation | |
| Tzelves et al. | Basic and advanced technological evolution of laser lithotripsy over the past decade: an educational review by the European Society of Urotechnology Section of the European Association of Urology | |
| US12303193B2 (en) | Surgical laser systems and laser lithotripsy techniques | |
| CN115227419A (en) | Laser oscillation washing equipment and method | |
| Zharov et al. | Applications of power optoacoustic effects in medicine and biology | |
| Watson et al. | Laser fragmentation of urinary calculi | |
| Rajabhandharaks et al. | Dependence of water content in calculus phantom during Q-switched Tm: YAG laser lithotripsy | |
| Jiang et al. | Fragmentation methods in laser lithotripsy | |
| CN201088786Y (en) | Multi-energy beauty and tumor therapeutic apparatus combining electromagnetic waves and ultrasonic waves | |
| CN120414212A (en) | Fiber laser induced microjet generating device and microjet forming method | |
| CN220089625U (en) | Device for treating oviduct obstruction based on laser-induced cavitation bubble technology | |
| CN117825522A (en) | Optical fiber multi-point ultrasonic transmitting device and preparation method | |
| Frenz et al. | Perfluorocarbon compounds: transmitting liquids for infrared laser tissue ablation | |
| Childs et al. | Vapor Channel Oscillations in Laser Lithotripsy |
| Date | Code | Title | Description |
|---|---|---|---|
| PB01 | Publication | ||
| PB01 | Publication | ||
| SE01 | Entry into force of request for substantive examination | ||
| SE01 | Entry into force of request for substantive examination |