


技术领域technical field
本发明属于无线通信技术领域,具体涉及一种与正交频分复用(OrthogonalFrequency Division Multiplexing,OFDM)和智能反射表面(reconfigurableintelligent surface,RIS)结合的新型调制编码方法。The invention belongs to the technical field of wireless communication, and in particular relates to a novel modulation and coding method combined with Orthogonal Frequency Division Multiplexing (OFDM) and an intelligent reflective surface (reconfigurable intelligent surface, RIS).
背景技术Background technique
随着5G移动通信系统系统在多个国家部署完成,当前业界的研究重心已经转向下一代移动通信,即6G。6G的愿景是构建空天地海一体化网络,预计将实现超低时延,超大带宽,超高速率以及超高容量。在6G的相关研究中,新型编码调制技术占据了重要的地位。With the completion of the deployment of 5G mobile communication systems in many countries, the current research focus of the industry has shifted to the next generation of mobile communication, namely 6G. The vision of 6G is to build an integrated air-space-ground-sea network, which is expected to achieve ultra-low latency, ultra-large bandwidth, ultra-high speed, and ultra-high capacity. In the related research of 6G, the new coding and modulation technology occupies an important position.
在所有调制技术中,由于具有对抗多径衰落的能力,OFDM技术及其变种依然被认为是6G的热点技术。此外,由于索引调制(IM)具有低复杂度,高频谱效率和高能量效率的特点,近年来得到了研究人员的广泛关注。大量科研人员致力于将IM与OFDM结合(IM-OFDM)并取得了喜人的成果。2022年,最大距离可分码(maximum distance separable code,MDS)得到了Yarkin等人的关注,他们提出了两种基于MDS码的调制方案并证明该方案具有比IM更优的误码率性能。然而,该调制技术对抗多径衰落的能力还不够理想,这意味需要更多的技术来进一步提升此系统在多径信道下的误码率性能。Among all modulation technologies, OFDM technology and its variants are still considered to be the hotspot technology of 6G due to its ability to resist multipath fading. In addition, due to the characteristics of low complexity, high spectral efficiency and high energy efficiency, indexed modulation (IM) has received extensive attention from researchers in recent years. A large number of researchers have devoted themselves to the combination of IM and OFDM (IM-OFDM) and achieved gratifying results. In 2022, maximum distance separable code (MDS) received the attention of Yarkin et al. They proposed two modulation schemes based on MDS codes and proved that the scheme has better bit error rate performance than IM. However, the ability of this modulation technology to resist multipath fading is not ideal enough, which means that more technologies are needed to further improve the bit error rate performance of this system under multipath channels.
RIS是一项近年来兴起的技术,它的出现使无线信道从一个不可控的环境变成了一个可以人为控制和改变的传播环境。由于RIS突出的优势,它被认为是6G的核心技术之一。具体来说,一个RIS系统由多个可编程的反射表面组成,这些反射表面不需要射频源额外提供能量。信号经过RIS后被散射至多条路径传输,反射表面同时对系统进行移相操作。RIS的优点吸引了大量的研究人员将其与IM系统结合(IM-RIS),并取得了一定的成果。RIS is a technology that has emerged in recent years. Its appearance has changed the wireless channel from an uncontrollable environment to a propagation environment that can be controlled and changed artificially. Due to its outstanding advantages, RIS is considered to be one of the core technologies of 6G. Specifically, a RIS system consists of multiple programmable reflective surfaces that do not require additional energy from an RF source. After the signal passes through the RIS, it is scattered to multiple paths for transmission, and the reflective surface shifts the phase of the system at the same time. The advantages of RIS have attracted a large number of researchers to combine it with IM system (IM-RIS), and achieved certain results.
然而,在现有的文献中,对于引入RIS后的系统的联合优化还处于初步的研究阶段。此外,MDS码与RIS的结合还鲜有研究人员关注。研究人员在对比不同调制方案时,更多时候采用了一些比较简单的信道模型,如平坦瑞利信道和高斯信道,调制方案的抗衰落技术得到的关注也还不充分。However, in the existing literature, the joint optimization of the system after introducing RIS is still in the preliminary research stage. In addition, the combination of MDS codes and RIS has received little attention from researchers. When comparing different modulation schemes, researchers often use some relatively simple channel models, such as flat Rayleigh channel and Gaussian channel, and the anti-fading technology of modulation schemes has not received enough attention.
发明内容Contents of the invention
本发明的目的,就是针对上述现有方案的限制,提出一种将MDS码、OFDM与RIS结合的系统架构,以提高更好的误码率性能来对抗多径衰落。The purpose of the present invention is to propose a system framework combining MDS codes, OFDM and RIS in view of the limitations of the above-mentioned existing solutions, so as to improve better bit error rate performance and resist multipath fading.
本发明的技术方案是:一种基于最大距离可分码和智能反射表面的通信方法,MDS码的引入有利于增加符号间的最小汉明距离,RIS能够创造出多条到达接收端的路径并对信号进行移相,二者的性能都对提升系统误码率很有利。此外,RIS的散射作用还有利于提升系统的容量。如图1所示,所提出的系统在发射端首先对输入比特进行分组,然后对每组输入比特进行MDS编码并根据编码结果进行幅度相位调制机制。对调制后的信号,我们进一步进行了OFDM调制以对抗多径衰落,最后信号经过射频源发射。发射信号首先会经过RIS信道,随后经过传统的无线信道到达接收端。接收端首先进行逆OFDM操作,随后对信号进行检测。最后对检测后的信号进行解调和解码,就恢复出了输入比特流。RIS与接收端直接的路径采用独立同分布的瑞利多径衰落信道。本发明包括以下步骤:The technical solution of the present invention is: a communication method based on maximum distance separable codes and intelligent reflective surfaces, the introduction of MDS codes is beneficial to increase the minimum Hamming distance between symbols, RIS can create multiple paths to the receiving end and The signal is phase-shifted, and the performance of both is very beneficial to improving the bit error rate of the system. In addition, the scattering effect of RIS is also beneficial to improve the capacity of the system. As shown in Fig. 1, the proposed system first groups the input bits at the transmitting end, then performs MDS coding on each group of input bits and performs amplitude-phase modulation mechanism according to the coding results. For the modulated signal, we further carry out OFDM modulation to resist multipath fading, and finally the signal is transmitted through a radio frequency source. The transmitted signal will first pass through the RIS channel, and then pass through the traditional wireless channel to the receiving end. The receiving end first performs inverse OFDM operation, and then detects the signal. Finally, the detected signal is demodulated and decoded to recover the input bit stream. The direct path between the RIS and the receiving end adopts independent and identically distributed Rayleigh multipath fading channels. The present invention comprises the following steps:
S1、将N个输入比特分为M组,每组有n=N/M个比特,设共有NS个子载波,则每组有ns个子载波,每组的信息比特长度如下公式1:S1. Divide N input bits into M groups, each group has n=N/M bits, if there are NS subcarriers in total, then each group has nS subcarriers, and the information bit length of each group is as follows Formula 1:
n=(ns-1)log2 K+(ns-1)log2 P (公式1)n=(ns -1)log2 K+(ns -1)log2 P (Equation 1)
其中K和P分别为幅度调制和相位调制的阶数;Where K and P are the order of amplitude modulation and phase modulation respectively;
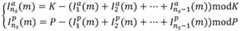
S2、对每组信息比特进行MDS编码,具体编码过程为(以第m组为例,m∈{1,2,...,M}):S2. MDS encoding is performed on each group of information bits, and the specific encoding process is (taking the mth group as an example, m∈{1,2,...,M}):
对于前(ns-1)log2 K个比特,将每log2 K个比特转换为一个0~K-1之间的十进制数并加一,从而得到对前ns-1个用于的幅度调制的MDS码同理,对于后(ns-1)log2 P个比特,将每log2 P个比特转换为十进制数并加一,得到前ns-1个用于相位调制的MDS码/>第ns个MDS码的码字为校验码字,计算公式如下公式2:For the first (ns -1) log2 K bits, convert each log2 K bits into a decimal number between 0 and K-1 and add one, so as to obtain the first ns -1 used MDS code for amplitude modulation Similarly, for the last (ns -1) log2 P bits, convert every log2 P bits to a decimal number and add one to get the first ns -1 MDS codes for phase modulation /> The code word of the nsth MDS code is a check code word, and the calculation formula is as follows Equation 2:
其中mod(·)代表模(·)运算;Among them, mod( ) represents the modulo ( ) operation;
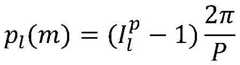
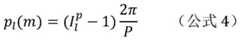
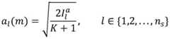
S3、根据两组MDS码,分别对子载波进行幅度和相位调制,幅度和相位的计算公式如下公式3和公式4:S3, according to two groups of MDS codes, carry out amplitude and phase modulation to subcarrier respectively, the calculation formula of amplitude and phase is as follows formula 3 and formula 4:
S4、根据幅度调制和相位调制的信息得到每个调制符号的最终结果,计算公式如下公式5:S4. According to the information of amplitude modulation and phase modulation, the final result of each modulation symbol is obtained, and the calculation formula is as follows formula 5:
S5、对M组输入比特分别进行S2~S4,得到NS维调制符号x,随后对该符号进行OFDM调制,得到最终的发射信号。具体来说,OFDM包括了逆快速傅里叶变换(Inverse FastFourier Transform,IFFT)以及添加循环前缀(Cyclic Prefix,CP);发射信号的表达式为如下公式6:S5. Perform S2 to S4 on M groups of input bits respectively to obtain an NS- dimensional modulation symbol x, and then perform OFDM modulation on the symbol to obtain a final transmission signal. Specifically, OFDM includes the inverse fast Fourier transform (Inverse FastFourier Transform, IFFT) and adding a cyclic prefix (Cyclic Prefix, CP); the expression of the transmitted signal is the following formula 6:
其中为添加的循环前缀,为了保证能够消除ISI,循环前缀的长度应该不低于信道长度减一。[·]^T代表转置操作;in For the added cyclic prefix, in order to ensure that ISI can be eliminated, the length of the cyclic prefix should not be less than the channel length minus one. [·]^T stands for transpose operation;
S6、OFDM调制后的信号经过RIS信道,RIS将信号散射至L条独立同分布的路径并根据信道信息对符号进行移相操作,所得到的符号的表达式如公式7所示:S6. After the OFDM modulated signal passes through the RIS channel, the RIS scatters the signal to L independent and identically distributed paths and performs a phase shift operation on the symbols according to the channel information. The expression of the obtained symbols is shown in formula 7:
[x1,x2,...,xL]^T=[R1xt,R2xt,...,RLxt]^T (公式7)[x1 , x2 , . . . , xL ]^T=[R1 xt , R2 xt , . . . , RL xt ]^T (Formula 7)
其中是第i条路径的相移矩阵;in is the phase shift matrix of the i-th path;
以最小化误码率上界和最大化信道容量为目标,我们得到的最优RIS相移的公式为如下公式8:With the goal of minimizing the upper bound of the bit error rate and maximizing the channel capacity, the formula of the optimal RIS phase shift we obtained is the following formula 8:
S7、经过RIS信道后的L串信号分布经过L条独立同分布的路径后到达接收端,接收端随后对其进行移除循环前缀和FFT操作,接收信号的表达式为如下公式9:S7. After passing through the RIS channel, the L series signal distribution passes through L independent and identically distributed paths and reaches the receiving end, and the receiving end then performs cyclic prefix removal and FFT operations on it. The expression of the received signal is the following formula 9:
其中Hi为第i条信道的频域表达式,n为加性高斯白噪声;Where Hi is the frequency domain expression of the i-th channel, and n is additive Gaussian white noise;
S8、对接收到的信号分组进行最大似然(Maximum likelihood,ML)检测,检测公式为如下公式10(以第m组为例):S8. Perform maximum likelihood (Maximum likelihood, ML) detection on the received signal groups, and the detection formula is the following formula 10 (taking the mth group as an example):
其中ym,Him,Rim分别为第m组的检测符号,接收信号,信道信息以及RIS相移信息。B为每组所有可能的调制符号的集合;in ym , Him , and Rim are the detected symbol, received signal, channel information, and RIS phase shift information of the mth group, respectively. B is the set of all possible modulation symbols for each group;
S9、对检测的符号进行解调并解码,得到输出比特流。S9. Demodulate and decode the detected symbols to obtain an output bit stream.
附图说明Description of drawings
图1为本发明的系统模型示意图;Fig. 1 is a schematic diagram of a system model of the present invention;
图2为本发明与传统的OFDM系统的误码率对比示意图;Fig. 2 is the comparative schematic diagram of bit error rate of the present invention and traditional OFDM system;
图3为本发明与传统的OFDM系统的信道容量对比示意图;Fig. 3 is the channel capacity comparison schematic diagram of the present invention and traditional OFDM system;
具体实施方式Detailed ways
下面结合附图和仿真示例,以证明本发明的有效性和实用性:Below in conjunction with accompanying drawing and simulation example, to prove effectiveness and practicality of the present invention:
模拟参数设置如下:仿真时采用ETU多径信道模型,多普勒频移设置为300Hz,循环前缀长度为22;RIS的反射表面数量设置为4个。图2中子载波数设为128个,共有32组,每组4个子载波,幅度调制和相位调制阶数均为4,每次可以传输384个比特;图3中子载波数设为256个,共有128组,每组2个子载波,幅度调制和相位调制的阶数均为2,每次可以传输256个比特。The simulation parameters are set as follows: the ETU multipath channel model is used in the simulation, the Doppler frequency shift is set to 300 Hz, the cyclic prefix length is 22; the number of RIS reflective surfaces is set to 4. In Figure 2, the number of sub-carriers is set to 128, and there are 32 groups in total, each group has 4 sub-carriers, the order of amplitude modulation and phase modulation is 4, and 384 bits can be transmitted each time; , there are 128 groups in total, each group has 2 subcarriers, the order of amplitude modulation and phase modulation is both 2, and 256 bits can be transmitted each time.
由图2和图3可知,在不加RIS时,所提出的新型编码调制方案也可以给系统带来一定的误码率性能和容量增益。引入RIS后,即使不利用RIS进行移相,本发明的误码率性能和信道容量也明显优于传统系统。再根据公式8对系统进行移相后,性能的优化更加明显和突出。这证明了本发明能够同时提供明显优于传统系统的误码率性能和信道容量,是可行且有效的方案。It can be seen from Fig. 2 and Fig. 3 that when RIS is not added, the proposed new coding and modulation scheme can also bring a certain bit error rate performance and capacity gain to the system. After the RIS is introduced, even if the RIS is not used for phase shifting, the performance of the bit error rate and the channel capacity of the present invention are obviously better than those of the traditional system. After phase-shifting the system according to
由图2和图3可知,本发明的频谱效率接近于传统的CML算法,随着BS发射天线数的增加,本发明的传输开销比CML算法要低的多,这充分表明本发明在多用户MIMO系统中具有较好的适用性。It can be seen from Fig. 2 and Fig. 3 that the spectrum efficiency of the present invention is close to that of the traditional CML algorithm, and as the number of BS transmit antennas increases, the transmission overhead of the present invention is much lower than that of the CML algorithm, which fully demonstrates that the present invention is more effective in multi-user It has better applicability in MIMO system.
| Application Number | Priority Date | Filing Date | Title |
|---|---|---|---|
| CN202210799431.3ACN115208737B (en) | 2022-07-08 | 2022-07-08 | Communication method based on maximum distance separable code and intelligent reflecting surface |
| Application Number | Priority Date | Filing Date | Title |
|---|---|---|---|
| CN202210799431.3ACN115208737B (en) | 2022-07-08 | 2022-07-08 | Communication method based on maximum distance separable code and intelligent reflecting surface |
| Publication Number | Publication Date |
|---|---|
| CN115208737A CN115208737A (en) | 2022-10-18 |
| CN115208737Btrue CN115208737B (en) | 2023-07-04 |
| Application Number | Title | Priority Date | Filing Date |
|---|---|---|---|
| CN202210799431.3AExpired - Fee RelatedCN115208737B (en) | 2022-07-08 | 2022-07-08 | Communication method based on maximum distance separable code and intelligent reflecting surface |
| Country | Link |
|---|---|
| CN (1) | CN115208737B (en) |
| Publication number | Priority date | Publication date | Assignee | Title |
|---|---|---|---|---|
| CN117692294B (en)* | 2023-12-11 | 2025-06-13 | 电子科技大学 | A multi-dimensional and multi-domain communication method for intelligent transportation scenarios |
| Publication number | Priority date | Publication date | Assignee | Title |
|---|---|---|---|---|
| US6152613A (en)* | 1994-07-08 | 2000-11-28 | California Institute Of Technology | Circuit implementations for asynchronous processors |
| CN107707500A (en)* | 2017-08-30 | 2018-02-16 | 华南理工大学 | A kind of OFDM sequence number modulator approaches based on various modes |
| CN107866072A (en)* | 2017-10-31 | 2018-04-03 | 浙江大学 | A kind of system that plug-in detection is carried out using increment decision-making tree |
| CN110086743A (en)* | 2019-03-14 | 2019-08-02 | 西安电子科技大学 | A kind of short burst MIMO-OFDM communication system and method based on differential encoding |
| Publication number | Priority date | Publication date | Assignee | Title |
|---|---|---|---|---|
| US6152613A (en)* | 1994-07-08 | 2000-11-28 | California Institute Of Technology | Circuit implementations for asynchronous processors |
| CN107707500A (en)* | 2017-08-30 | 2018-02-16 | 华南理工大学 | A kind of OFDM sequence number modulator approaches based on various modes |
| CN107866072A (en)* | 2017-10-31 | 2018-04-03 | 浙江大学 | A kind of system that plug-in detection is carried out using increment decision-making tree |
| CN110086743A (en)* | 2019-03-14 | 2019-08-02 | 西安电子科技大学 | A kind of short burst MIMO-OFDM communication system and method based on differential encoding |
| Title |
|---|
| 孙海龙 ; 怀进鹏 ; 富公为 ; .一种自适应的网格计算资源组织与发现机制.软件学报.2009,(第01期),全文.* |
| Publication number | Publication date |
|---|---|
| CN115208737A (en) | 2022-10-18 |
| Publication | Publication Date | Title |
|---|---|---|
| CN101039136B (en) | Space-frequency coding-based multi-antenna transmitter diversity method and system thereof | |
| CN106161328B (en) | The detection method of MIMO-OFDM system based on carrier index modulation | |
| CN102970115A (en) | System and method for interleaving | |
| CN101494528A (en) | Training sequence design and channel estimation method of transmission diversity block transmission system | |
| CN101496332A (en) | Method and apparatus for improving multi-carrier MIMO channel performance using Hadamard transform | |
| CN102075222B (en) | Method for reducing peak-to-average power ratio of multiple input multiple output (MIMO) - orthogonal frequency division multiplexing (OFDM) signal for space-frequency coding | |
| CN1917498B (en) | A Phase Compensation Method for Space-Frequency Block Codes to Overcome OFDM Interception Position Drift | |
| CN115208737B (en) | Communication method based on maximum distance separable code and intelligent reflecting surface | |
| CN107302419A (en) | A kind of low complex degree detection method for MIMO ofdm systems | |
| CN100591065C (en) | Differential unitary space-time modulation constellation mapping method in multi-antenna OFDM system | |
| CN101217300A (en) | Channel Estimation Method for Transmit Diversity Systems | |
| CN101496333A (en) | Space-time-frequency encoding/decoding method and device | |
| CN103516484B (en) | Orthogonality difference space-time network coding method of double-direction relay channel model | |
| CN104836643A (en) | Communication method based on MIMO-OFDM and physical layer network coding | |
| CN103179067B (en) | A kind of multi-system digital communication carrier modulation method | |
| CN100448236C (en) | Design Method of Orthogonal Frequency Division Multiplexing System Based on Quasi-Orthogonal Space-Time-Frequency Block Coding | |
| JP2006511154A (en) | Transmitter diversity method for OFDM system | |
| CN104780129B (en) | A kind of improved SIM OFDM based on pilot tone channel estimation methods | |
| CN101267289A (en) | A multi-carrier data transmission method | |
| Zhang et al. | Complementary M‐ary orthogonal spreading OFDM architecture for HF communication link | |
| CN108616475B (en) | A Subcarrier Index Differential Modulation Method for OFDM System | |
| CN101321040B (en) | Transmitter, data transmission method and receiver, data receiving method | |
| CN1870462A (en) | Null-time-frequency coding method and transmit-receive system in multi-antenna communication system | |
| CN101325419B (en) | Method and apparatus for constructing null frequency encoding | |
| CN117579439B (en) | Backscatter communication transmission method based on multi-antenna cyclic modulation |
| Date | Code | Title | Description |
|---|---|---|---|
| PB01 | Publication | ||
| PB01 | Publication | ||
| SE01 | Entry into force of request for substantive examination | ||
| SE01 | Entry into force of request for substantive examination | ||
| GR01 | Patent grant | ||
| GR01 | Patent grant | ||
| CF01 | Termination of patent right due to non-payment of annual fee | Granted publication date:20230704 | |
| CF01 | Termination of patent right due to non-payment of annual fee |