




技术领域technical field
本发明涉及电网领域,具体而言,涉及一种高压配电网供电能力测试方法、装置及电子设备。The invention relates to the field of power grids, and in particular, to a method, device and electronic equipment for testing the power supply capability of a high-voltage distribution network.
背景技术Background technique
近年来的研究成果表明,基于柔性直流技术的交直流混合配电网更适合现代城市配电网的发展。交直流混合配电网可更好地接纳分布式电源和直流负荷,可缓解城市电网站点走廊有限与负荷密度高的矛盾,同时在负荷中心提供动态无功支持,可提高系统安全稳定水平并降低损耗。交直流混合配电网是配电网的一个重要发展趋势,可以有效提升城市配电系统的电能质量、可靠性与运行效率。The research results in recent years show that the AC-DC hybrid distribution network based on flexible DC technology is more suitable for the development of modern urban distribution network. The AC-DC hybrid distribution network can better accommodate distributed power sources and DC loads, and can alleviate the contradiction between limited corridors and high load density in urban power grid sites. loss. The AC/DC hybrid distribution network is an important development trend of the distribution network, which can effectively improve the power quality, reliability and operation efficiency of the urban distribution system.
相关技术中交直流混合高压配电网中出现预定故障时,仅确定故障元件,对故障元件进行处理,缺乏对其他方面的考虑。In the related art, when a predetermined fault occurs in the AC-DC hybrid high-voltage distribution network, only the faulty component is determined and the faulty component is processed, and other aspects are lacking.
针对上述的问题,目前尚未提出有效的解决方案。For the above problems, no effective solution has been proposed yet.
发明内容SUMMARY OF THE INVENTION
本发明实施例提供了一种高压配电网供电能力测试方法、装置及电子设备,以至少解决相关技术中高压配电网中出现故障时,仅考虑故障元件,出现的考虑不全面易导致高压配电网难以正常运行的技术问题。Embodiments of the present invention provide a method, device, and electronic equipment for testing the power supply capability of a high-voltage distribution network, so as to at least solve the problem that when a fault occurs in a high-voltage distribution network in the related art, only the faulty components are considered. The technical problem that the distribution network is difficult to operate normally.
根据本发明实施例的一个方面,提供了一种高压配电网供电能力测试方法,包括:在预定高压配电网中出现预定故障的场景下,确定故障元件与第一低电压元件;确定所述故障元件所需的有功支援量与所述第一低电压元件所需的第一无功补偿量;比较所述有功支援量与预定有功支援阈值;在所述有功支援量大于等于所述预定有功支援阈值的情况下,依据所述有功支援量,所述第一无功补偿量与极限功率传输容量,得到比较结果;依据所述比较结果,得到所述预定高压配电网的第一供电能力测试结果。According to an aspect of the embodiments of the present invention, a method for testing the power supply capability of a high-voltage distribution network is provided, including: in a scenario where a predetermined fault occurs in a predetermined high-voltage distribution network, determining a faulty component and a first low-voltage component; comparing the active power support amount required by the faulty element and the first reactive power compensation amount required by the first low-voltage element; comparing the active power support amount with a predetermined active power support threshold; when the active power support amount is greater than or equal to the predetermined In the case of the active power support threshold, according to the active power support amount, the first reactive power compensation amount and the limit power transmission capacity, a comparison result is obtained; according to the comparison result, the first power supply of the predetermined high-voltage distribution network is obtained Aptitude test results.
可选地,还包括:在所述预定高压配电网的第一供电能力测试结果为供电能力值大于预定阈值的情况下,调度所述有功支援量至所述故障元件,所述第一无功补偿量至所述第一低电压元件;确定第二低电压元件,以及所述第二低电压元件所需的第二无功补偿量;调度所述第二无功补偿量至所述第二低电压元件。Optionally, it further includes: when the first power supply capability test result of the predetermined high-voltage distribution network is that the power supply capability value is greater than a predetermined threshold, dispatching the active power support amount to the faulty element, and the first power compensation amount to the first low voltage element; determining a second low voltage element and a second reactive power compensation amount required by the second low voltage element; scheduling the second reactive power compensation amount to the first low voltage element Two low voltage components.
可选地,还包括:确定所述预定高压配电网中多个元件对应的多个负荷初始值,其中,所述多个元件与所述多个负荷初始值一一对应;依据所述预定高压配电网的第一供电能力测试结果,更新所述多个元件对应的多个负荷初始值为多个目标负荷值,其中,所述多个负荷初始值与所述多个目标负荷值一一对应;再次测试所述预定高压配电网的供电能力,得到所述预定高压配电网的第二供电能力测试结果。Optionally, the method further includes: determining a plurality of initial load values corresponding to a plurality of elements in the predetermined high-voltage distribution network, wherein the plurality of elements are in one-to-one correspondence with the plurality of initial load values; according to the predetermined The first power supply capability test result of the high-voltage distribution network, updating the multiple initial load values corresponding to the multiple elements to multiple target load values, wherein the multiple initial load values and the multiple target load values are identical. One-to-one correspondence; test the power supply capability of the predetermined high-voltage distribution network again, and obtain a second power supply capability test result of the predetermined high-voltage distribution network.
可选地,所述依据所述预定高压配电网的第一供电能力测试结果,更新所述多个元件对应的多个负荷初始值为多个目标负荷值,包括:确定所述预定高压配电网中多个元件对应的多个负荷增长值和多个收敛精度值,其中,所述多个元件与所述多个负荷增长值一一对应,所述多个元件与所述多个收敛精度值一一对应;在所述预定高压配电网的第一供电能力测试结果为供电能力值大于预定阈值的情况下,依据预定随机数,所述多个元件对应的所述多个负荷初始值与所述多个负荷增长值,更新所述多个元件对应的多个负荷初始值为多个目标负荷值;和/或,在所述预定高压配电网的第一供电能力测试结果为供电能力值小于等于所述预定阈值的情况下,依据目标随机数,所述多个元件对应的所述多个负荷初始值与所述多个负荷增长值,更新所述多个元件对应的多个负荷初始值为多个目标负荷值,其中,所述目标随机数小于等于所述收敛精度值。Optionally, the updating, according to the first power supply capability test result of the predetermined high-voltage distribution network, the multiple initial load values corresponding to the multiple components includes multiple target load values, including: determining the predetermined high-voltage distribution network. Multiple load growth values and multiple convergence accuracy values corresponding to multiple elements in the power grid, wherein the multiple elements are in one-to-one correspondence with the multiple load growth values, and the multiple elements are associated with the multiple convergence accuracy values. The precision values correspond one-to-one; when the first power supply capability test result of the predetermined high-voltage distribution network is that the power supply capability value is greater than the predetermined threshold, according to the predetermined random number, the multiple loads corresponding to the multiple components are initially value and the multiple load growth values, update multiple initial load values corresponding to the multiple components to multiple target load values; and/or, the first power supply capability test result in the predetermined high-voltage distribution network is: When the power supply capacity value is less than or equal to the predetermined threshold value, according to the target random number, the plurality of load initial values and the plurality of load increase values corresponding to the plurality of elements are updated. The initial value of each load is a plurality of target load values, wherein the target random number is less than or equal to the convergence precision value.
可选地,所述依据所述有功支援量,所述第一无功补偿量与极限功率传输容量,得到比较结果,包括:对所述有功支援量求平方,得到第一平方值,对所述第一无功补偿量求平方,得到第二平方值;将所述第一平方值与所述第二平方值进行先求和后开方操作,得到目标功率传输量;比较所述目标功率传输量与所述极限功率传输容量,得到所述比较结果。Optionally, obtaining a comparison result according to the active power support amount, the first reactive power compensation amount and the limit power transmission capacity includes: squaring the active power support amount to obtain a first square value, The first reactive power compensation amount is squared to obtain a second square value; the first square value and the second square value are first summed and then square rooted to obtain a target power transmission amount; and the target power is compared The transmission amount and the limit power transmission capacity are used to obtain the comparison result.
可选地,所述依据所述有功支援量,所述第一无功补偿量与极限功率传输容量,得到比较结果,包括:确定电压调制比;依据所述电压调制比确定出所述极限功率传输容量所包括的极限有功功率传输容量与极限无功功率传输容量;比较所述有功支援量与所述极限有功功率传输容量,得到第一子比较结果,以及比较所述第一无功补偿量与所述极限无功功率传输容量,得到第二子比较结果;基于所述第一子比较结果和所述第二子比较结果,得到所述比较结果。Optionally, obtaining a comparison result according to the active power support amount, the first reactive power compensation amount and the limit power transmission capacity includes: determining a voltage modulation ratio; determining the limit power according to the voltage modulation ratio the limit active power transmission capacity and the limit reactive power transmission capacity included in the transmission capacity; compare the active power support amount with the limit active power transmission capacity, obtain a first sub-comparison result, and compare the first reactive power compensation amount A second sub-comparison result is obtained with the limit reactive power transmission capacity; and the comparison result is obtained based on the first sub-comparison result and the second sub-comparison result.
可选地,还包括:在所述有功支援量小于所述预定有功支援阈值的情况下,启用备用高压配电网。Optionally, the method further includes: in the case that the amount of active power support is less than the predetermined active power support threshold, enabling a backup high-voltage power distribution network.
根据本发明实施例的一个方面,提供了一种高压配电网供电能力测试装置,包括:第一确定模块,用于在预定高压配电网中出现预定故障的场景下,确定故障元件与第一低电压元件;第二确定模块,用于确定所述故障元件所需的有功支援量与所述第一低电压元件所需的第一无功补偿量;第一比较模块,用于比较所述有功支援量与预定有功支援阈值;第二比较模块,用于在所述有功支援量大于等于所述预定有功支援阈值的情况下,依据所述有功支援量,所述第一无功补偿量与极限功率传输容量,得到比较结果;获取模块,用于依据所述比较结果,得到所述预定高压配电网的第一供电能力测试结果。According to an aspect of the embodiments of the present invention, a device for testing the power supply capability of a high-voltage distribution network is provided, including: a first determination module, configured to determine the relationship between a faulty element and a first determination module in a scenario where a predetermined fault occurs in a predetermined high-voltage distribution network. a low voltage element; a second determination module for determining the active power support amount required by the faulty element and the first reactive power compensation amount required by the first low voltage element; a first comparison module for comparing all the active power support amount and a predetermined active power support threshold; the second comparison module is configured to, when the active power support amount is greater than or equal to the predetermined active power support threshold, according to the active power support amount, the first reactive power compensation amount and the limit power transmission capacity to obtain a comparison result; the obtaining module is configured to obtain the first power supply capability test result of the predetermined high-voltage distribution network according to the comparison result.
根据本发明实施例的一个方面,提供了一种电子设备,包括:处理器;用于存储所述处理器可执行指令的存储器;其中,所述处理器被配置为执行所述指令,以实现上述任一项所述的高压配电网供电能力测试方法。According to an aspect of the embodiments of the present invention, there is provided an electronic device, comprising: a processor; a memory for storing instructions executable by the processor; wherein the processor is configured to execute the instructions to achieve The method for testing the power supply capability of a high-voltage distribution network described in any one of the above.
根据本发明实施例的一个方面,提供了一种计算机可读存储介质,当所述计算机可读存储介质中的指令由电子设备的处理器执行时,使得电子设备能够执行上述任一项所述的高压配电网供电能力测试方法。According to an aspect of the embodiments of the present invention, a computer-readable storage medium is provided, when instructions in the computer-readable storage medium are executed by a processor of an electronic device, the electronic device can execute any of the above The test method for the power supply capacity of the high-voltage distribution network.
在本发明实施例中,通过在预定高压配电网中出现预定故障的场景下,确定故障元件与第一低电压元件,再确定故障元件所需的有功支援量与第一低电压元件所需的第一无功补偿量,比较有功支援量与预定有功支援阈值,在有功支援量大于等于预定有功支援阈值的情况下,在预定高压配电网中传输功率以处理故障安全性通过,依据有功支援量,第一无功补偿量与极限功率传输容量,得到比较结果,依据比较结果,得到预定高压配电网的第一供电能力测试结果,第一供电能力测试结果能够反映出预定高压配电网在发生预定故障情况下供电的可行性。在此过程中,本申请不仅确定了故障元件,还确定了低电压元件,在保证对故障元件进行处理的前提下,还对电压稳定问题进行了考虑,解决了相关技术中高压配电网中出现故障时,仅考虑故障元件,出现的考虑不全面易导致高压配电网难以正常运行的技术问题。In the embodiment of the present invention, in a scenario where a predetermined fault occurs in a predetermined high-voltage distribution network, the faulty element and the first low-voltage element are determined, and then the active power support amount required by the faulty element and the required amount of the first low-voltage element are determined. The first reactive power compensation amount of the Support amount, the first reactive power compensation amount and the limit power transmission capacity, get the comparison result, and according to the comparison result, get the first power supply capability test result of the predetermined high-voltage distribution network, and the first power supply capability test result can reflect the predetermined high-voltage distribution network The feasibility of supplying electricity to the grid in the event of a predetermined failure. During this process, the application not only determines the faulty components, but also determines the low-voltage components. On the premise of ensuring the processing of the faulty components, the problem of voltage stability is also considered, which solves the problem of the high-voltage distribution network in the related art. When a fault occurs, only the faulty components are considered, and the lack of comprehensive consideration will easily lead to technical problems that the high-voltage distribution network is difficult to operate normally.
附图说明Description of drawings
此处所说明的附图用来提供对本发明的进一步理解,构成本申请的一部分,本发明的示意性实施例及其说明用于解释本发明,并不构成对本发明的不当限定。在附图中:The accompanying drawings described herein are used to provide a further understanding of the present invention and constitute a part of the present application. The exemplary embodiments of the present invention and their descriptions are used to explain the present invention and do not constitute an improper limitation of the present invention. In the attached image:
图1是根据本发明实施例的高压配电网供电能力测试方法的流程图;1 is a flowchart of a method for testing the power supply capability of a high-voltage distribution network according to an embodiment of the present invention;
图2是本发明实施例提供的电网示意图;2 is a schematic diagram of a power grid provided by an embodiment of the present invention;
图3是本发明实施例提供的分区互联装置的示意图;3 is a schematic diagram of a partition interconnection device provided by an embodiment of the present invention;
图4是本发明实施例提供的功率输出范围示意图;4 is a schematic diagram of a power output range provided by an embodiment of the present invention;
图5是根据本发明实施例的高压配电网供电能力测试装置的结构框图。5 is a structural block diagram of a device for testing the power supply capability of a high-voltage distribution network according to an embodiment of the present invention.
具体实施方式Detailed ways
为了使本技术领域的人员更好地理解本发明方案,下面将结合本发明实施例中的附图,对本发明实施例中的技术方案进行清楚、完整地描述,显然,所描述的实施例仅仅是本发明一部分的实施例,而不是全部的实施例。基于本发明中的实施例,本领域普通技术人员在没有做出创造性劳动前提下所获得的所有其他实施例,都应当属于本发明保护的范围。In order to make those skilled in the art better understand the solutions of the present invention, the technical solutions in the embodiments of the present invention will be clearly and completely described below with reference to the accompanying drawings in the embodiments of the present invention. Obviously, the described embodiments are only Embodiments are part of the present invention, but not all embodiments. Based on the embodiments of the present invention, all other embodiments obtained by persons of ordinary skill in the art without creative efforts shall fall within the protection scope of the present invention.
需要说明的是,本发明的说明书和权利要求书及上述附图中的术语“第一”、“第二”等是用于区别类似的对象,而不必用于描述特定的顺序或先后次序。应该理解这样使用的数据在适当情况下可以互换,以便这里描述的本发明的实施例能够以除了在这里图示或描述的那些以外的顺序实施。此外,术语“包括”和“具有”以及他们的任何变形,意图在于覆盖不排他的包含,例如,包含了一系列步骤或单元的过程、方法、系统、产品或设备不必限于清楚地列出的那些步骤或单元,而是可包括没有清楚地列出的或对于这些过程、方法、产品或设备固有的其它步骤或单元。It should be noted that the terms "first", "second" and the like in the description and claims of the present invention and the above drawings are used to distinguish similar objects, and are not necessarily used to describe a specific sequence or sequence. It is to be understood that the data so used may be interchanged under appropriate circumstances such that the embodiments of the invention described herein can be practiced in sequences other than those illustrated or described herein. Furthermore, the terms "comprising" and "having" and any variations thereof, are intended to cover non-exclusive inclusion, for example, a process, method, system, product or device comprising a series of steps or units is not necessarily limited to those expressly listed Rather, those steps or units may include other steps or units not expressly listed or inherent to these processes, methods, products or devices.
实施例1Example 1
根据本发明实施例,提供了一种高压配电网供电能力测试方法的实施例,需要说明的是,在附图的流程图示出的步骤可以在诸如一组计算机可执行指令的计算机系统中执行,并且,虽然在流程图中示出了逻辑顺序,但是在某些情况下,可以以不同于此处的顺序执行所示出或描述的步骤。According to an embodiment of the present invention, an embodiment of a method for testing the power supply capability of a high-voltage distribution network is provided. It should be noted that the steps shown in the flowchart of the accompanying drawings may be implemented in a computer system such as a set of computer-executable instructions. and, although a logical order is shown in the flowcharts, in some cases the steps shown or described may be performed in an order different from that herein.
图1是根据本发明实施例的高压配电网供电能力测试方法的流程图,如图1所示,该方法包括如下步骤:1 is a flowchart of a method for testing the power supply capability of a high-voltage distribution network according to an embodiment of the present invention. As shown in FIG. 1 , the method includes the following steps:
步骤S102,在预定高压配电网中出现预定故障的场景下,确定故障元件与第一低电压元件;Step S102, in a scenario where a predetermined fault occurs in a predetermined high-voltage distribution network, determine the faulty component and the first low-voltage component;
步骤S104,确定故障元件所需的有功支援量与第一低电压元件所需的第一无功补偿量;Step S104, determining the active power support amount required by the faulty element and the first reactive power compensation amount required by the first low-voltage element;
步骤S106,比较有功支援量与预定有功支援阈值;Step S106, comparing the active power support amount with the predetermined active power support threshold;
步骤S108,在有功支援量大于等于预定有功支援阈值的情况下,依据有功支援量,第一无功补偿量与极限功率传输容量,得到比较结果;Step S108, when the active power support amount is greater than or equal to a predetermined active power support threshold, obtain a comparison result according to the active power support amount, the first reactive power compensation amount and the limit power transmission capacity;
步骤S110,依据比较结果,得到预定高压配电网的第一供电能力测试结果。Step S110, obtaining a first power supply capability test result of the predetermined high-voltage distribution network according to the comparison result.
通过上述步骤,通过在预定高压配电网中出现预定故障的场景下,确定故障元件与第一低电压元件,再确定故障元件所需的有功支援量与第一低电压元件所需的第一无功补偿量,比较有功支援量与预定有功支援阈值,在有功支援量大于等于预定有功支援阈值的情况下,在预定高压配电网中传输功率以处理故障安全性通过,依据有功支援量,第一无功补偿量与极限功率传输容量,得到比较结果,依据比较结果,得到预定高压配电网的第一供电能力测试结果,第一供电能力测试结果能够反映出预定高压配电网在发生预定故障情况下供电的可行性。在此过程中,本申请不仅确定了故障元件,还确定了低电压元件,在保证对故障元件进行处理的前提下,还对电压稳定问题进行了考虑,解决了相关技术中高压配电网中出现故障时,仅考虑故障元件,出现的考虑不全面易导致高压配电网难以正常运行的技术问题。Through the above steps, in a scenario where a predetermined fault occurs in a predetermined high-voltage distribution network, the faulty component and the first low-voltage component are determined, and then the active power support amount required by the faulty component and the first low-voltage component required by the first low-voltage component are determined. Reactive power compensation amount, compare the active power support amount with the predetermined active power support threshold value, in the case that the active power support amount is greater than or equal to the predetermined active power support threshold value, transmit power in the predetermined high-voltage distribution network to handle the fail-safe pass, according to the active power support amount, A comparison result is obtained between the first reactive power compensation amount and the limit power transmission capacity. According to the comparison result, a first power supply capability test result of the predetermined high-voltage distribution network is obtained. The first power supply capability test result can reflect the occurrence of the predetermined high-voltage distribution network. Feasibility of supplying power in the event of a predetermined failure. During this process, the application not only determines the faulty components, but also determines the low-voltage components. On the premise of ensuring the processing of the faulty components, the problem of voltage stability is also considered, which solves the problem of the high-voltage distribution network in the related art. When a fault occurs, only the faulty components are considered, and the lack of comprehensive consideration will easily lead to technical problems that the high-voltage distribution network is difficult to operate normally.
需要说明的是,上述元件可以表示变电站或负荷站或其他电站,故障元件即表示故障变电站或负荷站或其他电站,低电压元件即表示低电压的变电站或负荷站或其他电站。It should be noted that the above-mentioned components can represent substations or load stations or other power stations, the faulty components refer to faulty substations or load stations or other power stations, and the low-voltage components refer to low-voltage substations or load stations or other power stations.
还需要说明的是,上述预定高压配电网中出现预定故障的场景为通过分区互联装置联系起两个高压配电网分区的场景。图2是本发明实施例提供的电网示意图,图2中表示的场景即为一种示例,依据如图2所示的场景,对高压配电网的供电能力的测试。其中,分区互联装置如图3所示,图3是本发明实施例提供的分区互联装置的示意图。分区互联装置是基于背靠背柔性直流技术的新型功率控制装置。装置内部无直流输电线路,两端的MMC(模块化多电平换流器)可安装于同一换流站内以减小投资,且控制系统响应速度快。装置可利用脉冲宽度调制(pulse width modulation,PWM)技术控制全控型器件的开通和关断,实现有功与无功功率的迅速独立调节。图3中包括了交流系统参数与分区互联装置内部参数,首先对参数进行解释说明,其中,交流系统参数如下:Us1∠Φ1—交流母线1的基频电压;Us2∠Φ2—交流母线2的基频电压;Ps1—母线1与分区互联装置有功功率交换值;Ps2—母线2与分区互联装置有功功率交换值;Qs1—母线1与分区互联装置无功功率交换值;Qs2—母线2与分区互联装置无功功率交换值。其中,分区互联装置内部参数如下:Uc1∠Ψ1—MMC1输出的基频电压;Uc2∠Ψ2—MMC2输出的基频电压;R1、R2—MMC与相应线路损耗的等效电阻;X1、X2—换流电抗器,能够起到滤波与抑制短路电流的作用;C—直流电容,给MMC提供相应的电压支撑,且减小直流侧的电压谐波;δ1、δ2—MMC中脉冲宽度调制的控制变量;M1、M2—MMC中脉冲宽度调制的控制变量。图2中分区互联装置通过直流侧电容C将2个MMC以背靠背方式相连形成对称结构。MMC能够自由的接通和切断电流,起整流与逆变作用,故障发生后进行功率支援的一端为整流端,另一端为逆变端。It should also be noted that the above-mentioned scenario in which a predetermined fault occurs in the predetermined high-voltage distribution network is a scenario in which two partitions of the high-voltage distribution network are connected through a partition interconnection device. FIG. 2 is a schematic diagram of a power grid provided by an embodiment of the present invention. The scenario shown in FIG. 2 is an example. According to the scenario shown in FIG. 2 , the power supply capability of the high-voltage distribution network is tested. The partition interconnection device is shown in FIG. 3 , which is a schematic diagram of a partition interconnection device provided by an embodiment of the present invention. The partition interconnection device is a new type of power control device based on back-to-back flexible DC technology. There is no DC transmission line inside the device, MMC (modular multi-level converter) at both ends can be installed in the same converter station to reduce investment, and the control system responds quickly. The device can use the pulse width modulation (PWM) technology to control the turn-on and turn-off of the fully-controlled device, so as to realize the rapid and independent regulation of active and reactive power. The AC system parameters and the internal parameters of the partition interconnection device are included in Fig. 3. First, the parameters are explained. Among them, the AC system parameters are as follows: Us1 ∠Φ1 —the fundamental frequency voltage of the AC bus 1; Us2 ∠Φ2 — the AC The fundamental frequency voltage of
作为一种可选的实施例,在预定高压配电网中出现预定故障的场景下,确定故障元件与第一低电压元件。其中,预定故障可以为N-1故障,具体地,可以分为多种类型的故障,例如,配电网外部系统电源被切除的故障,电网本地电源被切除的故障,电网500kV主变被切除的故障,电网500kV双回线中某一回线发生N-1故障,电网220kV双回线中某一回线发生N-1故障。电网发生以上几种故障时,分区间功率支援策略非常重要。为防止近端故障时,分区互联装置功率支援导致短路电流增大,本申请假设故障元件两端的断路器跳闸后再考虑通过分区互联装置进行功率支援。分区互联装置进行有功支援,可以减少故障区重载元件所带负荷,有利于电网安全;同时,分区互联装置在低电压穿越中可进行暂态电压控制,通过两端无功补偿恢复电网电压。As an optional embodiment, in a scenario where a predetermined fault occurs in a predetermined high-voltage distribution network, the faulty element and the first low-voltage element are determined. Among them, the predetermined fault can be N-1 fault, specifically, it can be divided into various types of faults, for example, the fault in which the external system power supply of the distribution network is cut off, the fault in which the local power supply of the power grid is cut off, and the power grid 500kV main transformer is cut off. N-1 fault occurs in one of the 500kV double-circuit lines of the power grid, and N-1 faults occur in one of the 220kV double-circuit lines in the power grid. When the above-mentioned faults occur in the power grid, the inter-division power support strategy is very important. In order to prevent an increase in short-circuit current caused by the power support of the partition interconnection device during a near-end fault, the present application assumes that the circuit breaker at both ends of the faulty element is tripped, and then considers the power support through the partition interconnection device. The active power support of the partition interconnection device can reduce the load carried by the heavy-duty components in the fault area, which is beneficial to the safety of the power grid; at the same time, the partition interconnection device can perform transient voltage control during low voltage ride-through, and restore the grid voltage through reactive power compensation at both ends.
作为一种可选的实施例,确定故障元件所需的有功支援量与第一低电压元件所需的第一无功补偿量。确定故障元件所需的有功支援量,即假设电网中A分区某元件发生N-1故障,导致m个元件过载,过载量分别为dP1、dP2…dPm,此时可利用分区互联装置从B分区向A分区进行功率支援,元件S11为整流端,元件S7为逆变端。若过载元件对元件S7与元件S11的有功注入灵敏度分别为S17、S111;…;Sm7、Sm11。若忽略分区互联装置有功损耗,认为整流端与逆变端有功支援值相等,则消除各元件过载所需的有功支援量分别为:Pn=dPn/(Sn11-Sn7),1≤n≤m。确定第一低电压元件所需的第一无功补偿量,其中,第一低电压元件通常为逆变端的元件,即对逆变端无功补偿Qsi求解,下面阐述Qsi求解的方法。设电网中A分区某元件发生N-1故障,导致A分区中k个元件电压过低,电压越限值分别为dV1、dV2…dVk,此时分区互联装置逆变端可发出无功,支撑电压。若低电压元件对逆变端元件S7的无功注入灵敏度分别为Sv17、…Svk7,则由灵敏度分析可得,消除各元件低电压所需的无功补偿为Qn=dVn/Svn7,1≤n≤k。由于逆变端进行无功补偿后,A分区内元件电压均升高,即Svn7均为正值,故取无功补偿值:Qsi=max{Q1,…,Qn},1≤n≤k。通过补偿上述的无功补偿量可消除A分区所有元件低电压现象。As an optional embodiment, the active power support amount required by the faulty element and the first reactive power compensation amount required by the first low-voltage element are determined. Determine the active power support required by the faulty component, that is, assuming that an N-1 fault occurs in a component in the A partition of the power grid, causing m components to be overloaded, and the overloads are dP1 , dP2 ... dPm . Power support is carried out from the B partition to the A partition, the element S11 is the rectifier end, and the element S7 is the inverter end. If the active power injection sensitivity of the overload element to the element S7 and the element S11 are respectively S17 , S111 ; ...; Sm7 , Sm11 . If the active power loss of the partition interconnection device is ignored, and the active power support values of the rectifier end and the inverter end are considered to be equal, the active power support amounts required to eliminate the overload of each element are: Pn =dPn /(Sn11 -Sn7 ), 1≤ n≤m. Determine the first reactive power compensation amount required by the first low-voltage element, where the first low-voltage element is usually an element at the inverter end, that is, solve the reactive power compensation Qsi at the inverter end, and the method for solving Qsi is described below. Suppose that an N-1 fault occurs in a component in partition A of the power grid, resulting in the voltage of k components in partition A being too low, and the voltage over-limits are respectively dV1 , dV2 ... dVk , at this time, the inverter terminal of the partition interconnection device can send out no work, support voltage. If the reactive power injection sensitivities of the low-voltage element to the inverter-side element S7 are respectively Sv17 , ... S vk7, then from the sensitivity analysis, it can be obtained that the reactive power compensation required to eliminate the low voltage of each element is Qn =dVn /Svn7 , 1≤n≤k. After the reactive power compensation is performed at the inverter end, the voltages of the components in the A partition are all increased, that is, Svn7 are all positive values, so take the reactive power compensation value: Qsi =max{Q1 ,...,Qn },1≤ n≤k. By compensating the above reactive power compensation amount, the low voltage phenomenon of all components in the A partition can be eliminated.
作为一种可选的实施例,比较有功支援量与预定有功支援阈值,在有功支援量大于等于预定有功支援阈值的情况下进行后续操作,其中,预定有功支援阈值可以为0,在有功支援量大于等于预定有功支援阈值的情况下,即为有功支援量均大于0的情况,即Pn符号相同,因为,若求得Pn符号不全相同,表明在功率支援后,至少有一个元件会加重过载现象,无法满足安全性的要求,即此时静态安全性分析不通过。若求得Pn符号均相同,则可以进行后续操作。保证了过程中的安全性。As an optional embodiment, the amount of active power support is compared with a predetermined active power support threshold, and subsequent operations are performed when the amount of active power support is greater than or equal to the predetermined active power support threshold, wherein the predetermined active power support threshold may be 0, and when the active power support amount is greater than or equal to the predetermined active power support threshold When it is greater than or equal to the predetermined active power support threshold, that is, the active power support amount is greater than 0, that is, the symbols of Pn are the same, because if the symbols of Pn are not all the same, it means that after power support, at least one component will increase The overload phenomenon cannot meet the security requirements, that is, the static security analysis fails at this time. If the symbols of Pn are all the same, subsequent operations can be performed. The safety of the process is guaranteed.
作为一种可选的实施例,在有功支援量小于预定有功支援阈值的情况下,预定高压配电网难以解决,可以启用备用高压配电网以保证预定高压配电网的有序运行。As an optional embodiment, when the active power support amount is less than the predetermined active power support threshold, the predetermined high-voltage distribution network is difficult to solve, and the backup high-voltage distribution network can be activated to ensure the orderly operation of the predetermined high-voltage distribution network.
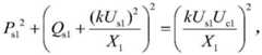
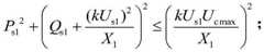
作为一种可选的实施例,在有功支援量大于等于预定有功支援阈值的情况下,依据有功支援量,第一无功补偿量与极限功率传输容量,得到比较结果时可以通过如下方式进行比较:对有功支援量求平方,得到第一平方值,对第一无功补偿量求平方,得到第二平方值;将第一平方值与第二平方值进行先求和后开方操作,得到目标功率传输量;比较目标功率传输量与极限功率传输容量,得到比较结果。其中,极限功率传输容量即为分区互联装置的容量,由于实际运行中,装置传输的有功Ps1和无功Qs1受到分区互联装置Sr的限制,Ps12+Qs12≤Sr2,因此,是否满足该条件,即该比较结果是评判配电网供电能力的一大指标。As an optional embodiment, when the active power support amount is greater than or equal to a predetermined active power support threshold, according to the active power support amount, the first reactive power compensation amount and the limit power transmission capacity, the comparison result can be compared in the following manner : Square the active power support amount to get the first square value, square the first reactive power compensation amount to get the second square value; perform the first sum and the square root operation on the first square value and the second square value to get Target power transfer amount; compare the target power transfer amount with the limit power transfer capacity, and obtain the comparison result. Among them, the limit power transmission capacity is the capacity of the partition interconnection device. In actual operation, the active power Ps1 and reactive power Qs1 transmitted by the device are limited by the partition interconnection device Sr , and Ps12 +Qs12 ≤Sr2 , therefore, whether this condition is met, that is, the comparison result is a major indicator for judging the power supply capacity of the distribution network.
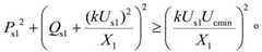
作为一种可选的实施例,在有功支援量大于等于预定有功支援阈值的情况下,依据有功支援量,第一无功补偿量与极限功率传输容量,得到比较结果时,考虑到装置提供的最大有功支援也许可达到装置容量,最大动态无功补偿值可能小于装置容量,需进一步分析确定,因此,可以采用如下方式进行比较:确定电压调制比;依据电压调制比确定出极限功率传输容量所包括的极限有功功率传输容量与极限无功功率传输容量;比较有功支援量与极限有功功率传输容量,得到第一子比较结果,以及比较第一无功补偿量与极限无功功率传输容量,得到第二子比较结果;基于第一子比较结果和第二子比较结果,得到比较结果。以装置的MMC1端为例,等效换相电抗为X1,由于R1较小忽略不计,则有换算可得,且当控制系统中采取SPWM调制时,输出电压有效值Uc1和直流电压Ud存在如下关系即Uc1与电压调制比M1有关。设Mmax与Mmin分别为电压调制比最大值与最小值,则可对应得出Uc1的最大值与最小值,分别设为Ucmax与Ucmin。将其代入式中因此需要比较:由此可绘制装置MMC1侧的功率输出范围,图4是本发明实施例提供的功率输出范围示意图,如图4中实线所围成区域。图中横轴上方表示输出无功,下方表示吸收无功。由上图可看出,由于调制比的范围限制,装置在某联接变压器变比k值下,可输出的最大无功(对应A点)可能小于装置的容量(对应C点)。通过调节k能够改变装置输出的无功范围,但在N-1后的暂态过程中,变压器分接头无法迅速动作,因此,实际可输出的最大动态无功补偿为A点对应的无功值。因此,是否满足该条件,即该比较结果是评判配电网供电能力的重要指标。As an optional embodiment, when the active power support amount is greater than or equal to the predetermined active power support threshold, according to the active power support amount, the first reactive power compensation amount and the limit power transmission capacity, when obtaining the comparison result, considering the power provided by the device The maximum active power support may reach the device capacity, and the maximum dynamic reactive power compensation value may be less than the device capacity, which needs further analysis and determination. Therefore, the comparison can be carried out in the following ways: determine the voltage modulation ratio; determine the limit power transmission capacity according to the voltage modulation ratio. Including the limit active power transmission capacity and limit reactive power transmission capacity; compare the active support amount and the limit active power transmission capacity, obtain the first sub-comparison result, and compare the first reactive power compensation amount and the limit reactive power transmission capacity, obtain The second sub-comparison result; the comparison result is obtained based on the first sub-comparison result and the second sub-comparison result. Taking the MMC1 end of the device asan example, the equivalent commutation reactance is X1. Since R1 is small and can be ignored, there are can be converted, And when SPWM modulation is adopted in the control system, the effective value of the output voltage Uc1 and the DC voltage Ud have the following relationship: That is, Uc1 is related to the voltage modulation ratio M1 . Assuming that Mmax and Mmin are the maximum value and the minimum value of the voltage modulation ratio, respectively, the maximum value and the minimum value of Uc1 can be correspondingly obtained, which are respectively set as Ucmax and Ucmin . Substituting this into the formula therefore requires a comparison: From this, the power output range on the MMC1 side of the device can be drawn. FIG. 4 is a schematic diagram of the power output range provided by the embodiment of the present invention, and the area enclosed by the solid line in FIG. 4 is shown. The upper part of the horizontal axis in the figure represents the output reactive power, and the lower part represents the absorbed reactive power. As can be seen from the above figure, due to the limitation of the modulation ratio, the maximum reactive power (corresponding to point A) that can be output by the device under a certain connection transformer transformation ratio k value may be smaller than the capacity of the device (corresponding to point C). The reactive power range output by the device can be changed by adjusting k, but in the transient process after N-1, the transformer tap cannot act quickly. Therefore, the actual maximum dynamic reactive power compensation that can be output is the reactive power value corresponding to point A. . Therefore, whether this condition is met, that is, the comparison result is an important index for judging the power supply capacity of the distribution network.
作为一种可选的实施例,在预定高压配电网的第一供电能力测试结果为供电能力值大于预定阈值的情况下,调度有功支援量至故障元件,第一无功补偿量至第一低电压元件,实现对故障的处理,使得高压配电网能够有序运行,此时,由于整流端进行有功支援Ps相当于增加了B分区所带负荷,可能导致B分区元件在有功支援后出现新的低电压现象。因此,调度有功支援量至故障元件,第一无功补偿量至第一低电压元件后,需要再确定B分区中低电压元件,即还需确定第二低电压元件,第二低电压元件通常为整流端的元件,以及第二低电压元件所需的第二无功补偿量;以解决B分区中出现的低电压现象。对整流端无功补偿Qsr求解与逆变端无功补偿Qsi求取过程类似,利用B分区低电压元件对整流端S11元件的无功补偿灵敏度可求得Qsr。进而调度第二无功补偿量至第二低电压元件,解决低压问题。As an optional embodiment, when the first power supply capability test result of the predetermined high-voltage distribution network is that the power supply capability value is greater than the predetermined threshold value, the active power support amount is dispatched to the faulty element, and the first reactive power compensation amount is dispatched to the first Low-voltage components can handle faults, so that the high-voltage distribution network can operate in an orderly manner. At this time, due to the active support Ps on the rectifier end, it is equivalent to increasing the load carried by the B partition, which may cause the B partition components to appear after the active power support. New low voltage phenomenon. Therefore, after dispatching the active power support amount to the faulty element and the first reactive power compensation amount to the first low-voltage element, it is necessary to determine the low-voltage element in the B partition, that is, the second low-voltage element needs to be determined. The second low-voltage element is usually It is the component of the rectifier end and the second reactive power compensation amount required by the second low-voltage component; to solve the low-voltage phenomenon that occurs in the B partition. The process of calculating the reactive power compensation Qsr at the rectifier end is similar to the process of calculating the reactive power compensation Qsi at the inverter end. Qsr can be obtained by using the reactive power compensation sensitivity of the low-voltage element in the B partition to the S11 element at the rectifier end. Further, the second reactive power compensation amount is dispatched to the second low-voltage element to solve the low-voltage problem.
作为一种可选的实施例,确定预定高压配电网中多个元件对应的多个负荷初始值,其中,多个元件与多个负荷初始值一一对应;依据预定高压配电网的第一供电能力测试结果,更新多个元件对应的多个负荷初始值为多个目标负荷值,其中,多个负荷初始值与多个目标负荷值一一对应;再次测试预定高压配电网的供电能力,得到预定高压配电网的第二供电能力测试结果。即测试元件在不同负荷下高压配电网的供电能力。扩大测试范围。As an optional embodiment, multiple initial load values corresponding to multiple elements in the predetermined high-voltage distribution network are determined, wherein the multiple elements are in one-to-one correspondence with multiple initial load values; As a result of the power supply capability test, update multiple initial load values corresponding to multiple components to multiple target load values, wherein multiple initial load values correspond to multiple target load values one-to-one; test the power supply of the predetermined high-voltage distribution network again The second power supply capability test result of the predetermined high-voltage distribution network is obtained. That is, the power supply capability of the test element under different loads of the high-voltage distribution network. Expand test coverage.
作为一种可选的实施例,依据预定高压配电网的第一供电能力测试结果,更新多个元件对应的多个负荷初始值为多个目标负荷值时,可以通过如下方式:确定预定高压配电网中多个元件对应的多个负荷增长值和多个收敛精度值,其中,多个元件与多个负荷增长值一一对应,多个元件与多个收敛精度值一一对应;在预定高压配电网的第一供电能力测试结果为供电能力值大于预定阈值的情况下,依据预定随机数,多个元件对应的多个负荷初始值与多个负荷增长值,更新多个元件对应的多个负荷初始值为多个目标负荷值;和/或,在预定高压配电网的第一供电能力测试结果为供电能力值小于等于预定阈值的情况下,依据目标随机数,多个元件对应的多个负荷初始值与多个负荷增长值,更新多个元件对应的多个负荷初始值为多个目标负荷值,其中,目标随机数小于等于收敛精度值。举例说明:设定多个元件对应的负荷PLi初值PL0i、负荷增长初始步长λ、负荷增长方向bpi、收敛精度ε;若预定高压配电网的第一供电能力测试结果为供电能力值大于预定阈值的情况下,令PLi=PLi+λbpi,并按照恒功率因素更新电网无功负荷QLi;若预定高压配电网的第一供电能力测试结果为供电能力值小于等于预定阈值的情况下,则令PLi=PLi-λbpi,并按照恒功率因素更新电网无功负荷QLi,然后判断λ是否大于ε。若是,则令λ=λ/2,直到目标随机数小于等于收敛精度值。依此,依据预定高压配电网的第一供电能力测试结果,更新多个元件对应的多个负荷初始值为多个目标负荷值,再次测试预定高压配电网的供电能力。As an optional embodiment, according to the first power supply capability test result of the predetermined high-voltage distribution network, when updating multiple initial values of loads corresponding to multiple components to multiple target load values, the following methods may be used: determine the predetermined high-voltage Multiple load growth values and multiple convergence accuracy values corresponding to multiple components in the distribution network, wherein multiple components correspond to multiple load growth values one-to-one, and multiple components correspond to multiple convergence accuracy values one-to-one; When the first power supply capacity test result of the predetermined high-voltage distribution network is that the power supply capacity value is greater than the predetermined threshold value, according to the predetermined random number, the plurality of load initial values corresponding to the plurality of components and the plurality of load increase values are updated. and/or, when the first power supply capability test result of the predetermined high-voltage distribution network is that the power supply capability value is less than or equal to the predetermined threshold value, according to the target random number, a plurality of component A plurality of corresponding initial load values and a plurality of load growth values are updated, and the plurality of initial load values corresponding to the plurality of elements are updated to a plurality of target load values, wherein the target random number is less than or equal to the convergence precision value. For example: set the initial value of load PLi corresponding to multiple components PL0i , the initial step size λ of load growth, the direction of load growth bpi , and the convergence accuracy ε; if the first power supply capability test result of the predetermined high-voltage distribution network is power supply When the capacity value is greater than the predetermined threshold, let PLi =PLi +λbpi , and update the grid reactive load QLi according to the constant power factor; if the first power supply capacity test result of the predetermined high-voltage distribution network is that the power supply capacity value is less than If it is equal to the predetermined threshold, set PLi =PLi -λbpi , update the grid reactive load QLi according to the constant power factor, and then judge whether λ is greater than ε. If so, let λ=λ/2 until the target random number is less than or equal to the convergence precision value. Accordingly, according to the first power supply capability test result of the predetermined high-voltage distribution network, the initial values of the loads corresponding to the multiple components are updated to multiple target load values, and the power supply capability of the predetermined high-voltage distribution network is tested again.
下面进行具体示例对本发明实施方式所提供的方法进行说明:Specific examples are given below to illustrate the method provided by the embodiments of the present invention:
以城市电网作为算例,表1为选取系统基准容量为100MVA,500kV主变及电网中线路参数示意表,表2为城市电网中线路以及线路中多种参数的示意表,如下表、2所示,其中表2中的电阻、电抗、导纳均为标幺值。Taking the urban power grid as an example, Table 1 is a schematic table of parameters of the selected system reference capacity of 100MVA, 500kV main transformer and lines in the power grid. The resistance, reactance and admittance in Table 2 are all per unit values.
表1Table 1
表2Table 2
注:1.线路1-线路14为双回线,表中列出双回线参数。下文用线路.1和线路.2分别表示某线路的两回线;2.线路15为分区间备用联络线,传统城市电网正常运行时断开;3.线路18-线路21为外部系统电源输电线。4.“-”代表忽略该值。Note: 1. Line 1-Line 14 are double-circuit lines, and the parameters of double-circuit lines are listed in the table. In the following, Line.1 and Line.2 are used to represent the two circuits of a certain line respectively; 2. Line 15 is an inter-division backup tie line, which is disconnected when the traditional urban power grid is in normal operation; 3. Line 18-Line 21 is the external system power transmission Wire. 4. "-" means ignore the value.
另外,分区互联装置设在S7与S11之间的备用联络线上,为充分对比直接合环与通过分区互联装置合环的安全性分析结果,设分区互联装置容量Smax=3.50P.U,与备用线路15容量相同。In addition, the partition interconnection device is installed on the spare connection line between S7 and S11. In order to fully compare the safety analysis results of direct loop closure and loop closure through the partition interconnection device, the partition interconnection device capacity Smax = 3.50PU, which is equal to that of the standby interconnection device. Line 15 has the same capacity.
算例中GE1~GE4为电网外部系统电源,G1、G2为区内发电机,简化考虑无功上限,设为无穷大。表3为各电源元件类型以及出力的示意表,表4为分区中的负荷数据的示意表。In the calculation example, GE1 to GE4 are the external system power sources of the power grid, and G1 and G2 are the generators in the area. The upper limit of reactive power is considered to be simplified and set to infinity. Table 3 is a schematic table of the types and outputs of each power supply element, and Table 4 is a schematic table of the load data in the partitions.
表3table 3
表4Table 4
可以看出,前表中分区B接受外部系统及区内供电589MW;后表中分区B有功负荷768MW。功率缺额179MW。正常开环运行时,需由A分区通过500kV双环网对B分区进行功率输送。It can be seen that the partition B in the previous table receives 589MW of external systems and power supply in the region; the active load of partition B in the latter table is 768MW. The power shortage is 179MW. During normal open-loop operation, power transmission from sub-area A to sub-area B through a 500kV double-ring network is required.
②城市电网静态安全性分析对比:②Static safety analysis and comparison of urban power grid:
(A)开环运行分析结果:(A) Analysis results of open-loop operation:
开环运行时联络线15断开,针对上节中提到的5种故障类型,进行静态安全性分析,且N-1后分区间联络线不合入。经校验发现,某些故障后电网中存在过载的线路以及低电压元件(电压低于0.95P.U),表5为电网开环运行N-1校验不通过情况的示意图,为如下表5所示。The tie line 15 is disconnected during open-loop operation, and the static safety analysis is carried out for the five fault types mentioned in the previous section, and the tie line between the N-1 rear partitions is not integrated. After verification, it is found that there are overloaded lines and low-voltage components (voltage lower than 0.95P.U) in the power grid after some faults. Show.
表5table 5
注:线路5.1-线路9.2断开时,低电压元件中S2代表该变电站二次侧母线。Note: When line 5.1-line 9.2 is disconnected, S2 in the low-voltage element represents the busbar on the secondary side of the substation.
针对上表中N-1安全性校验不通过的故障,合入联络线进行支援,经潮流分析可得,安全性校验仍存在不通过现象,表6为电网闭环支援N-1校验不通过情况的示意图统计情况如下表所示。For the faults that fail the N-1 safety verification in the above table, the tie line is incorporated for support. After the power flow analysis, it can be seen that the safety verification still fails. Table 6 shows the N-1 verification of the grid closed-loop support. The schematic statistics of the failure cases are shown in the following table.
表6Table 6
对比可以看出,N-1后合入备用联络线,在某些情况下(线路5.1—线路9.2发生N-1),过载百分数下降,但仍未消除过载;但某些情况下(线路10.1—线路14.2发生N-1),合入联络线后反而加重了过载现象;另外,针对线路16或线路17发生N-1故障后的低电压情况,合入联络线反而扩大了低压事故范围,严重破坏了电网安全性。由于功率的自然分布规律,潮流方向无法有效控制,所以直接合入联络线加重了事故,没有起到支援的作用。因此,直接合入分区间备用联络线不能可靠的提升电网安全性水平。It can be seen from the comparison that after N-1 is combined into the spare tie line, in some cases (line 5.1 - line 9.2 occurs N-1), the overload percentage decreases, but the overload is still not eliminated; but in some cases (line 10.1 - The occurrence of N-1) on line 14.2, the overload phenomenon is aggravated after the tie line is merged; in addition, for the low voltage situation after the N-1 fault occurs on line 16 or line 17, the tie line is merged to expand the scope of low-voltage accidents. Serious damage to the power grid security. Due to the natural distribution law of power, the direction of the power flow cannot be effectively controlled, so the direct integration of the tie line aggravates the accident and does not play a supporting role. Therefore, the direct integration of the inter-zone backup tie line cannot reliably improve the security level of the power grid.
(B)分区互联装置功率支援结果:(B) Power support results of partition interconnection devices:
分区互联装置参数设置为R1=0.004;R2=0.004;X1=0.06;X2=0.06;逆变端MMC控制直流电压为Ud=2.0P.U。The parameters of the partition interconnection device are set as R1 =0.004; R2 =0.004; X1 =0.06; X2 =0.06; the MMC control DC voltage at the inverter end is Ud =2.0PU.
需要注意的是,A分区故障时,元件S11为整流端,元件S7为逆变端,由B分区向A分区进行功率支援;B分区故障时,元件S7为整流端,元件S11为逆变端,由A分区向B分区进行功率支援。It should be noted that when the A partition fails, the element S11 is the rectifier terminal, and the element S7 is the inverter terminal, and the power is supported from the B partition to the A partition; when the B partition fails, the component S7 is the rectifier terminal, and the component S11 is the inverter terminal. , the power support is carried out from the A partition to the B partition.
针对N-1安全性校验不通过的故障,通过分区互联装置进行灵活功率支援,表7电网柔性闭环N-1校验结果,校验结果以及分区互联装置对应的功率传输状态如表7所示。For the failure of N-1 safety verification, flexible power support is carried out through the partition interconnection device. Table 7 The power grid flexible closed-loop N-1 verification results, the verification results and the power transmission status corresponding to the partition interconnection device are shown in Table 7. Show.
表7Table 7
注:“-”表示不需要进行该项功率支援。Note: "-" indicates that this power support is not required.
由上表可以看出,通过分区互联装置有功支援和无功补偿作用,可完全消除N-1后线路过载以及元件低电压情况,电网安全性得到提升。由于MMC的传输功率快速可控,而且传输方向是可逆的,在某分区故障后,MMC可迅速控制分区间传输功率。首先保证功率支援方向由非故障分区向故障分区,不会发生“功率逆流”现象;其次根据运行负荷水平,调节功率支援大小,消除过载现象,能稳定提升电网安全性。另外,分区互联装置两端可提供无功补偿,既可消除故障分区的低电压现象,同时保证了非故障分区在进行功率支援过程中不会影响电压安全。As can be seen from the above table, through the active power support and reactive power compensation of the partition interconnection device, the line overload and the low voltage of the components after N-1 can be completely eliminated, and the safety of the power grid is improved. Since the transmission power of the MMC is quickly controllable and the transmission direction is reversible, after a partition fails, the MMC can quickly control the transmission power between partitions. First, ensure that the power support direction is from the non-fault zone to the fault zone, and there will be no "power reverse flow" phenomenon; secondly, according to the operating load level, adjust the size of the power support to eliminate the overload phenomenon, which can stably improve the security of the power grid. In addition, reactive power compensation can be provided at both ends of the partition interconnection device, which can not only eliminate the low voltage phenomenon of the faulty partition, but also ensure that the non-faulty partition will not affect the voltage safety during the power support process.
通过上述可选实施方式,可以达到至少以下的有益效果:Through the above-mentioned optional embodiments, at least the following beneficial effects can be achieved:
分析结果表明,分区互联装置控制分区联络线有功功率由非故障区向故障区支援,相当于为故障分区提供了可控的“虚拟电源”。由于分区互联装置两端MMC既可工作于整流状态,也可工作于逆变状态,传输功率具有快速可调性,即使故障后联络线功率支援方向与正常柔性闭环运行时相反,也能保证功率支援的可靠性。需要说明的是,对于前述的各方法实施例,为了简单描述,故将其都表述为一系列的动作组合,但是本领域技术人员应该知悉,本发明并不受所描述的动作顺序的限制,因为依据本发明,某些步骤可以采用其他顺序或者同时进行。其次,本领域技术人员也应该知悉,说明书中所描述的实施例均属于优选实施例,所涉及的动作和模块并不一定是本发明所必须的。The analysis results show that the partition interconnection device controls the active power of the partition tie line to be supported from the non-faulty area to the faulty area, which is equivalent to providing a controllable "virtual power supply" for the faulty partition. Since the MMC at both ends of the partition interconnection device can work in both the rectification state and the inverter state, the transmission power has fast adjustability. Reliability of support. It should be noted that, for the sake of simple description, the foregoing method embodiments are all expressed as a series of action combinations, but those skilled in the art should know that the present invention is not limited by the described action sequence. As in accordance with the present invention, certain steps may be performed in other orders or simultaneously. Secondly, those skilled in the art should also know that the embodiments described in the specification are all preferred embodiments, and the actions and modules involved are not necessarily required by the present invention.
通过以上的实施方式的描述,本领域的技术人员可以清楚地了解到根据上述实施例的方法可借助软件加必需的通用硬件平台的方式来实现,当然也可以通过硬件,但很多情况下前者是更佳的实施方式。基于这样的理解,本发明的技术方案本质上或者说对现有技术做出贡献的部分可以以软件产品的形式体现出来,该计算机软件产品存储在一个存储介质(如ROM/RAM、磁碟、光盘)中,包括若干指令用以使得一台终端设备(可以是手机,计算机,服务器,或者网络设备等)执行本发明各个实施例的方法。From the description of the above embodiments, those skilled in the art can clearly understand that the method according to the above embodiment can be implemented by means of software plus a necessary general hardware platform, and of course can also be implemented by hardware, but in many cases the former is better implementation. Based on this understanding, the technical solutions of the present invention can be embodied in the form of software products in essence or the parts that make contributions to the prior art, and the computer software products are stored in a storage medium (such as ROM/RAM, magnetic disk, CD-ROM), including several instructions to make a terminal device (which may be a mobile phone, a computer, a server, or a network device, etc.) to execute the methods of the various embodiments of the present invention.
实施例2Example 2
根据本发明实施例,还提供了一种用于实施上述高压配电网供电能力测试方法的装置,图5是根据本发明实施例的高压配电网供电能力测试装置的结构框图,如图5所示,该装置包括:第一确定模块502,第二确定模块504,第一比较模块506,第二比较模块508和获取模块510,下面对该装置进行详细说明。According to an embodiment of the present invention, a device for implementing the above-mentioned method for testing the power supply capability of a high-voltage distribution network is also provided. FIG. 5 is a structural block diagram of a device for testing the power supply capability of a high-voltage distribution network according to an embodiment of the present invention, as shown in FIG. 5 As shown, the device includes: a first determination module 502, a second determination module 504, a first comparison module 506, a second comparison module 508 and an acquisition module 510. The device will be described in detail below.
第一确定模块502,用于在预定高压配电网中出现预定故障的场景下,确定故障元件与第一低电压元件;第二确定模块504,连接于上述第一确定模块502,用于确定故障元件所需的有功支援量与第一低电压元件所需的第一无功补偿量;第一比较模块506,连接于上述第二确定模块504,用于比较有功支援量与预定有功支援阈值;第二比较模块508,连接于上述第一比较模块506,用于在有功支援量大于等于预定有功支援阈值的情况下,依据有功支援量,第一无功补偿量与极限功率传输容量,得到比较结果;获取模块510,连接于上述第二比较模块508,用于依据比较结果,得到预定高压配电网的第一供电能力测试结果。The first determination module 502 is used to determine the faulty element and the first low-voltage element in the scenario of a predetermined fault in the predetermined high-voltage distribution network; the second determination module 504 is connected to the above-mentioned first determination module 502 and is used to determine The active power support amount required by the faulty element and the first reactive power compensation amount required by the first low-voltage element; the first comparison module 506, connected to the second determining module 504, is used for comparing the active power support amount with the predetermined active power support threshold value The second comparison module 508 is connected to the above-mentioned first comparison module 506, and is used in the case that the active power support amount is greater than or equal to the predetermined active power support threshold value, according to the active power support amount, the first reactive power compensation amount and the limit power transmission capacity, to obtain The comparison result; the obtaining module 510 is connected to the above-mentioned second comparison module 508, and is used for obtaining the first power supply capability test result of the predetermined high-voltage distribution network according to the comparison result.
此处需要说明的是,上述第一确定模块502,第二确定模块504,第一比较模块506,第二比较模块508和获取模块510对应于实施高压配电网供电能力测试方法中的步骤S102至步骤S110,多个模块与对应的步骤所实现的实例和应用场景相同,但不限于上述实施例1所公开的内容。It should be noted here that the above-mentioned first determination module 502, second determination module 504, first comparison module 506, second comparison module 508 and acquisition module 510 correspond to step S102 in implementing the method for testing the power supply capability of a high-voltage distribution network Up to step S110, the examples and application scenarios implemented by the multiple modules and the corresponding steps are the same, but are not limited to the content disclosed in the above-mentioned Embodiment 1.
实施例3Example 3
根据本发明实施例的另外一个方面,还提供了一种电子设备,包括:处理器;用于存储处理器可执行指令的存储器,其中,处理器被配置为执行指令,以实现上述任一项的高压配电网供电能力测试方法。According to another aspect of the embodiments of the present invention, an electronic device is also provided, including: a processor; and a memory for storing instructions executable by the processor, wherein the processor is configured to execute the instructions to implement any of the above The test method for the power supply capability of the high-voltage distribution network.
实施例4Example 4
根据本发明实施例的另外一个方面,还提供了一种计算机可读存储介质,当计算机可读存储介质中的指令由电子设备的处理器执行时,使得电子设备能够执行上述任一项的高压配电网供电能力测试方法。According to another aspect of the embodiments of the present invention, a computer-readable storage medium is also provided. When the instructions in the computer-readable storage medium are executed by a processor of an electronic device, the electronic device can execute any one of the above-mentioned high voltage Test method for power supply capability of distribution network.
上述本发明实施例序号仅仅为了描述,不代表实施例的优劣。The above-mentioned serial numbers of the embodiments of the present invention are only for description, and do not represent the advantages or disadvantages of the embodiments.
在本发明的上述实施例中,对各个实施例的描述都各有侧重,某个实施例中没有详述的部分,可以参见其他实施例的相关描述。In the above-mentioned embodiments of the present invention, the description of each embodiment has its own emphasis. For parts that are not described in detail in a certain embodiment, reference may be made to related descriptions of other embodiments.
在本申请所提供的几个实施例中,应该理解到,所揭露的技术内容,可通过其它的方式实现。其中,以上所描述的装置实施例仅仅是示意性的,例如所述单元的划分,可以为一种逻辑功能划分,实际实现时可以有另外的划分方式,例如多个单元或组件可以结合或者可以集成到另一个系统,或一些特征可以忽略,或不执行。另一点,所显示或讨论的相互之间的耦合或直接耦合或通信连接可以是通过一些接口,单元或模块的间接耦合或通信连接,可以是电性或其它的形式。In the several embodiments provided in this application, it should be understood that the disclosed technical content can be implemented in other ways. The device embodiments described above are only illustrative, for example, the division of the units may be a logical function division, and there may be other division methods in actual implementation, for example, multiple units or components may be combined or Integration into another system, or some features can be ignored, or not implemented. On the other hand, the shown or discussed mutual coupling or direct coupling or communication connection may be through some interfaces, indirect coupling or communication connection of units or modules, and may be in electrical or other forms.
所述作为分离部件说明的单元可以是或者也可以不是物理上分开的,作为单元显示的部件可以是或者也可以不是物理单元,即可以位于一个地方,或者也可以分布到多个单元上。可以根据实际的需要选择其中的部分或者全部单元来实现本实施例方案的目的。The units described as separate components may or may not be physically separated, and components shown as units may or may not be physical units, that is, may be located in one place, or may be distributed to multiple units. Some or all of the units may be selected according to actual needs to achieve the purpose of the solution in this embodiment.
另外,在本发明各个实施例中的各功能单元可以集成在一个处理单元中,也可以是各个单元单独物理存在,也可以两个或两个以上单元集成在一个单元中。上述集成的单元既可以采用硬件的形式实现,也可以采用软件功能单元的形式实现。In addition, each functional unit in each embodiment of the present invention may be integrated into one processing unit, or each unit may exist physically alone, or two or more units may be integrated into one unit. The above-mentioned integrated units may be implemented in the form of hardware, or may be implemented in the form of software functional units.
所述集成的单元如果以软件功能单元的形式实现并作为独立的产品销售或使用时,可以存储在一个计算机可读取存储介质中。基于这样的理解,本发明的技术方案本质上或者说对现有技术做出贡献的部分或者该技术方案的全部或部分可以以软件产品的形式体现出来,该计算机软件产品存储在一个存储介质中,包括若干指令用以使得一台计算机设备(可为个人计算机、服务器或者网络设备等)执行本发明各个实施例所述方法的全部或部分步骤。而前述的存储介质包括:U盘、只读存储器(ROM,Read-Only Memory)、随机存取存储器(RAM,Random Access Memory)、移动硬盘、磁碟或者光盘等各种可以存储程序代码的介质。The integrated unit, if implemented in the form of a software functional unit and sold or used as an independent product, may be stored in a computer-readable storage medium. Based on such understanding, the technical solution of the present invention is essentially or the part that contributes to the prior art, or all or part of the technical solution can be embodied in the form of a software product, and the computer software product is stored in a storage medium , including several instructions for causing a computer device (which may be a personal computer, a server, or a network device, etc.) to execute all or part of the steps of the methods described in the various embodiments of the present invention. The aforementioned storage medium includes: U disk, read-only memory (ROM, Read-Only Memory), random access memory (RAM, Random Access Memory), mobile hard disk, magnetic disk or optical disk and other media that can store program codes .
以上所述仅是本发明的优选实施方式,应当指出,对于本技术领域的普通技术人员来说,在不脱离本发明原理的前提下,还可以做出若干改进和润饰,这些改进和润饰也应视为本发明的保护范围。The above are only the preferred embodiments of the present invention. It should be pointed out that for those skilled in the art, without departing from the principles of the present invention, several improvements and modifications can be made. It should be regarded as the protection scope of the present invention.
| Application Number | Priority Date | Filing Date | Title |
|---|---|---|---|
| CN202210668346.3ACN115201624A (en) | 2022-06-14 | 2022-06-14 | Method and device for testing power supply capacity of high-voltage distribution network and electronic equipment |
| Application Number | Priority Date | Filing Date | Title |
|---|---|---|---|
| CN202210668346.3ACN115201624A (en) | 2022-06-14 | 2022-06-14 | Method and device for testing power supply capacity of high-voltage distribution network and electronic equipment |
| Publication Number | Publication Date |
|---|---|
| CN115201624Atrue CN115201624A (en) | 2022-10-18 |
| Application Number | Title | Priority Date | Filing Date |
|---|---|---|---|
| CN202210668346.3APendingCN115201624A (en) | 2022-06-14 | 2022-06-14 | Method and device for testing power supply capacity of high-voltage distribution network and electronic equipment |
| Country | Link |
|---|---|
| CN (1) | CN115201624A (en) |
| Publication number | Priority date | Publication date | Assignee | Title |
|---|---|---|---|---|
| CN106374455A (en)* | 2016-09-10 | 2017-02-01 | 天津大学 | A Calculation Method for Maximum Power Supply Capacity of 220kV Urban Power Grid Division |
| CN113922409A (en)* | 2021-10-19 | 2022-01-11 | 国网江苏省电力有限公司 | Constant volume method for multi-partition flexible interconnected converter station of urban power grid |
| Publication number | Priority date | Publication date | Assignee | Title |
|---|---|---|---|---|
| CN106374455A (en)* | 2016-09-10 | 2017-02-01 | 天津大学 | A Calculation Method for Maximum Power Supply Capacity of 220kV Urban Power Grid Division |
| CN113922409A (en)* | 2021-10-19 | 2022-01-11 | 国网江苏省电力有限公司 | Constant volume method for multi-partition flexible interconnected converter station of urban power grid |
| Title |
|---|
| 肖峻 等: "分区柔性互联城市电网的最大供电能力分析", 《电力自动化设备》, vol. 37, no. 8, 31 August 2017 (2017-08-31), pages 66 - 73* |
| 肖峻 等: "分区柔性互联城市电网的静态安全性分析", 电网技术, vol. 40, no. 10, 31 October 2016 (2016-10-31), pages 3140 - 3146* |
| 郭伟: "分区柔性互联城市电网的安全性评估与供电能力分析", 《中国优秀硕士学位论文全文数据库工程科技Ⅱ辑》, no. 06, 15 June 2018 (2018-06-15), pages 042 - 788* |
| Publication | Publication Date | Title |
|---|---|---|
| CN109802419B (en) | Transient overvoltage evaluation and calculation method for receiving-end power grid of multi-direct-current feed-in system | |
| CN108400609B (en) | Method for suppressing multi-feed-in direct current commutation failure site selection suitable for phase modulator | |
| CN103094905B (en) | Selection method of dynamic reactive power compensation configuration point | |
| CN113193586B (en) | A flexible DC compensation control method and system | |
| CN109449945B (en) | 10kV closed-loop current constraint optimization method for distribution network transfer based on DG regulation | |
| CN112086995A (en) | Control strategy for parallel MMC units in LCC-MMC hybrid cascaded converter stations | |
| CN107221930A (en) | A kind of intelligent Sofe Switch service restoration method of active power distribution network | |
| Xie et al. | Adaptive master-slave control strategy for medium voltage DC distribution systems based on a novel nonlinear droop controller | |
| CN107749630A (en) | A kind of near region line voltage of phase modifier coordinates emergency control method | |
| CN107453383A (en) | A kind of flexible direct current collocation method and device for power supply zone interconnection | |
| CN113193561B (en) | Direct current transformation control method for power distribution network | |
| CN112686772B (en) | A Method for Determining the Sequence of Flexibility and Direct Transformation of Multi-feed-in-Receiver Power Grid | |
| CN113852142A (en) | Multi-voltage-level static and dynamic reactive power configuration method for multi-direct-current feed-in power grid | |
| CN117239717B (en) | Determination method of hybrid cascade multi-terminal DC transient overvoltage risk suppression strategy | |
| CN118707403A (en) | A method for analyzing transformer neutral point voltage considering inverter-type distributed photovoltaic storage capacity | |
| CN115201624A (en) | Method and device for testing power supply capacity of high-voltage distribution network and electronic equipment | |
| Wang et al. | Multi-circuit HVDC system emergency DC power support with reactive control | |
| CN217282225U (en) | Controllable energy dissipation device of alternating current system | |
| CN117526390A (en) | Active coordination control method and device for cascade hybrid direct current transmission system | |
| Yu et al. | Multi-terminal energy router and its distributed control strategy in micro-grid community applications | |
| CN108092278A (en) | A kind of reactive-load compensation method and system for considering low-voltage equipment influence | |
| Li et al. | Voltage cooperative control technology for flexible interconnected distribution network | |
| CN106058915A (en) | Active grid-connected-to-off-network switching control method based on single-phase multiple microgrids | |
| CN118074195B (en) | Distributed energy storage converter integrated system and power distribution method thereof | |
| Chen et al. | Research on Voltage Coordinated Control Strategy of Low-Voltage Distribution Network Based on SNOP in Weak Communication Condition |
| Date | Code | Title | Description |
|---|---|---|---|
| PB01 | Publication | ||
| PB01 | Publication | ||
| SE01 | Entry into force of request for substantive examination | ||
| SE01 | Entry into force of request for substantive examination | ||
| RJ01 | Rejection of invention patent application after publication | Application publication date:20221018 |