







技术领域technical field
本发明涉及电力系统协调控制的技术领域,特别是涉及一种风火储系统的多能协调优化调度方法及装置。The invention relates to the technical field of coordinated control of power systems, in particular to a multi-energy coordinated optimal scheduling method and device for a wind-fired storage system.
背景技术Background technique
随着新能源发电渗透率的不断增加,其随机波动性与反调峰特性增大了电力系统等效峰谷差,使电网调峰愈加复杂,因而协调各类能源间的关系,建设坚强可靠的新型电力系统势在必行。在新型电力系统中,调度中心将依据各类能源发电特性,协调火电、核电等不可再生能源与传统水电、抽水蓄能、风电、光伏等清洁能源的发电占比,充分发挥其互补性,减小电力系统调峰调频压力。With the continuous increase of the penetration rate of new energy power generation, its random fluctuation and anti-peak shaving characteristics increase the equivalent peak-to-valley difference of the power system, making the power grid peak shaving more complicated. The new power system is imperative. In the new power system, the dispatch center will coordinate the power generation ratio of non-renewable energy such as thermal power and nuclear power with the power generation ratio of traditional hydropower, pumped storage, wind power, photovoltaic and other clean energy according to the power generation characteristics of various energy sources, and give full play to their complementarity and reduce power generation. Small power system peak and frequency regulation pressure.
目前作为装机容量最大的发电电源,火电机组承担着电力系统的主要调峰任务,在新能源渗透率不断提高的背景下,存在调节速率与调节容量不足的情况;当等效负荷峰谷差较大时,现有的快速调峰电源,如储能、水电机组等因其装机容量或水库库容等限制,难以完全满足系统的全部调峰需求;因而,在电源侧,需要火电机组通过灵活性及深度调峰改造,释放更多的可调空间,来尽可能满足新能源消纳,达到削峰填谷、提高新能源消纳水平的远期目标;在储能侧,引入具有快速调节能力的储能资源来应对尖峰时刻,减轻火电机组调峰压力,达到清洁能源消纳最大化,也是可行的探索路径;但深度调峰及快速调节带来的火电机组收入负增长化以及大容量储能高昂的造价及运行成本制约着调峰能力的发;因此,探索一种既保证电力系统安全稳定运行,又能同时兼顾火电与储能收益及新能源消纳的调度方法显得尤为重要。At present, as the power generation source with the largest installed capacity, thermal power units are responsible for the main task of peak regulation in the power system. Under the background of the continuous increase in the penetration rate of new energy, there is insufficient regulation rate and regulation capacity; when the peak-to-valley difference of equivalent load is relatively high When it is large, the existing fast peak-shaving power sources, such as energy storage, hydropower units, etc., cannot fully meet all the peak-shaving needs of the system due to their installed capacity or reservoir capacity. And in-depth peak-shaving transformation, release more adjustable space to meet the new energy consumption as much as possible, achieve the long-term goal of shaving peaks and filling valleys, and improving the level of new energy consumption; on the energy storage side, the introduction of rapid adjustment capabilities It is also a feasible exploration path to use energy storage resources to cope with peak hours, reduce the peak load regulation pressure of thermal power units, and maximize clean energy consumption. High construction and operating costs restrict the development of peak shaving capacity; therefore, it is particularly important to explore a dispatch method that not only ensures the safe and stable operation of the power system, but also takes into account the benefits of thermal power and energy storage and new energy consumption.
发明内容SUMMARY OF THE INVENTION
本发明要解决的技术问题是:提供一种风火储系统的多能协调优化调度方法及装置,充分发挥风能、火能、储能资源的优势互补,实现对风电的最经济消纳,降低电网净负荷峰谷差及调峰难度,降低储能充放电深度,降低受端电网运行成本。The technical problem to be solved by the present invention is: to provide a multi-energy coordinated optimal dispatching method and device for a wind-fired storage system, which fully utilizes the complementary advantages of wind energy, thermal energy and energy storage resources, realizes the most economical consumption of wind power, and reduces The peak-to-valley difference of the net load of the power grid and the difficulty of peak regulation can reduce the depth of charging and discharging of energy storage, and reduce the operating cost of the receiving end power grid.
为了解决上述技术问题,本发明提供了一种风火储系统的多能协调优化调度方法及装置,包括:In order to solve the above-mentioned technical problems, the present invention provides a multi-energy coordinated optimal scheduling method and device for a wind-fire storage system, including:
分别对负荷和风电出力进行预测,得到并根据负荷曲线和风电并网功率曲线,计算各时段对应的负荷与风电出力的第一差值;Predict the load and wind power output respectively, obtain and calculate the first difference between the load and the wind power output corresponding to each time period according to the load curve and the wind power grid-connected power curve;
判断所述第一差值是否在储能系统功率裕度内,若否,则以受端电网净负荷方差最小为目标,构建一段风火储联合调度模型,以使所述一段风火储联合调度模型对各时段的最优弃风率及储能系统充放电功率进行优化处理,得到各时段对应的最优风电功率和储能系统最优充放电功率;Determine whether the first difference is within the power margin of the energy storage system, and if not, take the minimum variance of the net load of the receiving end grid as the goal, and build a wind-fire-storage joint dispatch model for the first stage, so that the wind-fire-storage joint dispatching model of the first stage is combined. The dispatching model optimizes the optimal wind curtailment rate and the charging and discharging power of the energy storage system in each time period, and obtains the optimal wind power and the optimal charging and discharging power of the energy storage system corresponding to each time period;
同时以受端电网运行成本最小为目标,构建二段风火储联合调度模型,以使所述二段风火储联合调度模型对各时段的火电机组出力进行优化处理,得到并根据各时段风火机组最优出力,对风火储系统出力进行协调。At the same time, aiming at the minimum operating cost of the receiving-end power grid, a second-stage wind-fire-storage joint dispatch model is constructed, so that the second-stage wind-fire-storage joint dispatch model can optimize the output of thermal power units in each time period, and obtain and according to the wind power in each time period. The optimal output of the fire unit is coordinated with the output of the wind-fire storage system.
在一种可能的实现方式中,以受端电网净负荷方差最小为目标,构建一段风火储联合调度模型,具体包括:In a possible implementation, a wind-fire-storage joint dispatch model is constructed with the goal of minimizing the net load variance of the receiving-end power grid, which specifically includes:
Pnet,t=PD,t-(1-λw,t)Pw,t+ηcPc,t-ηdPd,t;Pnet,t =PD,t -(1-λw,t )Pw,t + ηc Pc,t -ηd Pd,t ;
其中,F1为受端电网净负荷方差;Pnet,t为t时段受端电网的净负荷;Pnet,ave为受端电网在整个调度周期内净负荷的平均值;PD,t为t时段受端电网的初始负荷;Pw,t为t时段风电场的输出功率;λw,t表示t时段的弃风率;Pc,t表示t时段储能系统的充电功率;ηc表示储能系统的充电效率;Pd,t表示t时段储能系统的放电功率;ηd表示储能系统的放电效率。Among them, F1 is the net load variance of the receiving end grid; Pnet,t is the net load of the receiving end grid in the t period; Pnet,ave is the average value of the net load of the receiving end grid in the whole dispatch period; PD,t is Initial load of the receiving end grid in period t; Pw,t is the output power of the wind farm in period t; λw,t is the wind curtailment rate in period t; Pc,t is the charging power of the energy storage system in period t; ηc represents the charging efficiency of the energy storage system; Pd,t represents the discharge power of the energy storage system in the t period; ηd represents the discharge efficiency of the energy storage system.
在一种可能的实现方式中,设置所述一段风火储联合调度模型的第一约束条件,其中,所述第一约束条件包括风电出力约束、弃风率约束和储能系统充放电功率约束;In a possible implementation manner, a first constraint condition of the first-stage wind-fire-storage joint dispatch model is set, wherein the first constraint condition includes a wind power output constraint, a wind curtailment rate constraint, and an energy storage system charge-discharge power constraint ;
所述风电出力约束,如下所示:The wind power output constraints are as follows:
0≤Pw,t≤Pw,max;0≤Pw,t ≤P w,max ;
其中,Pw,max表示t时段风电场的最大出力;Among them, Pw,max represents the maximum output of the wind farm in period t;
所述弃风率约束,如下所示:The curtailment rate constraints are as follows:
其中,Kw,max表示风电场允许的最大弃风率;Among them, Kw,max represents the maximum wind curtailment rate allowed by the wind farm;
所述储能系统充放电功率约束,如下所示:The charging and discharging power constraints of the energy storage system are as follows:
0≤Pc,t≤Pc,max,0≤Pd,t≤Pd,max;0≤Pc,t ≤Pc,max , 0≤Pd,t ≤Pd,max ;
其中,Pc,max表示储能系统最大充电功率;Pd,max表示储能系统最大放电功率。Among them, Pc,max represents the maximum charging power of the energy storage system; Pd,max represents the maximum discharging power of the energy storage system.
在一种可能的实现方式中,以受端电网运行成本最小为目标,构建二段风火储联合调度模型,具体包括:In a possible implementation, aiming at the minimum operating cost of the receiving end power grid, a second-stage wind-fire-storage joint dispatch model is constructed, which includes:
minF2=C1+C2+C3-C4;minF2 =C1 +C2 +C3 -C4 ;
其中,F2为受端电网运行成本;C1为火电机组调峰成本;C2为风电和储能系统的运行成本;C3为系统旋转备用成本;C4为风电并网消纳及储能系统的环境收益;Pgit为t时段火电机组i的有功功率;NG为火电机组总台数;T为一个调度周期的时段数;ugit为t时段火电机组i的启停状态变量,ugit=1表示机组i处于开机状态,ugit=0表示机组i处于关停状态;Sgi为火电机组i的启停成本;ρw、ρsoc分别为风电和储能系统的运行成本系数;Psoc,t分别为t时段的风电消纳功率和储能系统的充放电功率;ρres为系统旋转备用成本系数;eD,ew分别为负荷和风电出力的预测误差率;βw、βsoc分别为风电并网消纳产生的环境收益系数和储能系统运行产生的环境收益系数。Among them, F2 is the operating cost of the receiving end grid; C1 is the peak shaving cost of the thermal power unit; C2 is the operating cost of the wind power and energy storage system; C3 is the system spinning reserve cost; C4 is the wind power grid-connected consumption and storage is the environmental benefit of the energy system; Pgit is the active power of thermal power unit i in period t; NG is the total number of thermal power units; T is the number of periods in a dispatch cycle; ugit is the start-stop state variable of thermal power unit i in period t, ugit =1 means that the unit i is in the power-on state, ugit =0 means that the unit i is in the shut-down state; Sgi is the start-up and shutdown cost of the thermal power unit i; ρw , ρsoc are the operating cost coefficients of the wind power and energy storage systems, respectively; Psoc,t are the wind power consumption power and the charging and discharging power of the energy storage system in the t period respectively; ρres is the cost coefficient of the system spinning reserve; eD , ew are the prediction error rates of the load and wind power output, respectively; βw , βsoc is the environmental benefit coefficient generated by wind power grid-connected consumption and the environmental benefit coefficient generated by the operation of the energy storage system.
在一种可能的实现方式中,设置所述二段风火储联合调度模型的第二约束条件,其中,所述第二约束条件包括系统功率平衡约束、系统正负旋转备用约束、火电机组出力约束、火电机组爬坡速率约束、火电机组最小启停时间约束和线路输电容量约束;In a possible implementation manner, a second constraint condition of the second-stage wind, fire, and storage joint dispatch model is set, wherein the second constraint condition includes a system power balance constraint, a system positive and negative spinning reserve constraint, and the output of thermal power units. Constraints, thermal power unit ramp rate constraints, thermal power unit minimum start-stop time constraints and line transmission capacity constraints;
所述系统功率平衡约束,如下所示:The system power balance constraints are as follows:
所述系统正负旋转备用约束,如下所示:Said system has positive and negative spinning reserve constraints as follows:
其中,Pgimax、Pgimin分别为火电机组i的出力上限和出力下限;μd1、μd2分别为应对负荷预测误差的正、负旋转备用容量系数;μw1、μw2分别为应对风电预测误差的正、负旋转备用容量系数;Among them, Pgimax and Pgimin are the output upper limit and output lower limit of thermal power unit i, respectively; μd1 and μd2 are the positive and negative rotating reserve capacity coefficients to cope with the load forecast error, respectively; μw1 and μw2 are to cope with the wind power forecast error, respectively The positive and negative spinning reserve capacity coefficients of ;
所述火电机组出力约束,如下所示:The output constraints of the thermal power unit are as follows:
ugitPgimin≤Pgit≤ugitPgimax;ugit Pgimin ≤Pgit ≤ugit Pgimax ;
所述火电机组爬坡速率约束,如下所示:The thermal power unit ramp rate constraints are as follows:
其中,rgi,up、rgi,diown分别为火电机组i的上爬坡速率上限和下爬坡速率下限;Among them, rgi,up and rgi,diown are the upper limit and lower limit of the ramp rate of thermal power unit i, respectively;
所述火电机组最小启停时间约束,如下所示:The minimum start and stop time constraints of the thermal power unit are as follows:
其中,T0n,T0ff分别为火电机组i的最大持续开机时间和最大持续关停时间;Wherein, T0n and T0ff are respectively the maximum continuous startup time and the maximum continuous shutdown time of thermal power unit i;
所述线路输电容量约束,如下所示:The line transmission capacity constraints are as follows:
0≤PLt≤PLmax;0≤PLt ≤PLmax ;
其中,PLt为t时段线路L的输电功率,PLmax为线路L的最大输电容量。Among them,PLt is the transmission power of line L in period t, andPLmax is the maximum transmission capacity of line L.
本发明还提供了一种风火储系统的多能协调优化调度装置,包括:预测模块、一段风火储联合调度模型构建模块和二段风火储联合调度模型构建模块;The invention also provides a multi-energy coordination and optimization scheduling device for a wind-fire storage system, comprising: a prediction module, a first-stage wind-fire-storage joint scheduling model building module, and a second-stage wind-fire-storage joint scheduling model building module;
其中,所述预测模块,用于分别对负荷和风电出力进行预测,得到并根据负荷曲线和风电并网功率曲线,计算各时段对应的负荷与风电出力的第一差值;The prediction module is used to predict the load and the wind power output respectively, and obtain and calculate the first difference between the load and the wind power output corresponding to each time period according to the load curve and the wind power grid-connected power curve;
所述一段风火储联合调度模型构建模块,用于判断所述第一差值是否在储能系统功率裕度内,若否,则以受端电网净负荷方差最小为目标,构建一段风火储联合调度模型,以使所述一段风火储联合调度模型对各时段的最优弃风率及储能系统充放电功率进行优化处理,得到各时段对应的最优风电功率和储能系统最优充放电功率;The first-stage wind-fire-storage joint dispatch model building module is used to judge whether the first difference is within the power margin of the energy storage system; The wind-fire-storage joint dispatching model of the first stage is used to optimize the optimal wind curtailment rate and the charging and discharging power of the energy storage system in each time period, so as to obtain the optimal wind power and the maximum energy storage system corresponding to each time period. Excellent charging and discharging power;
所述二段风火储联合调度模型构建模块,用于以受端电网运行成本最小为目标,构建二段风火储联合调度模型,以使所述二段风火储联合调度模型对各时段的火电机组出力进行优化处理,得到并根据各时段风火机组最优出力,对风火储系统出力进行协调。The second-stage wind-fire-storage joint dispatch model building module is used to build a second-stage wind-fire-storage joint dispatch model with the goal of minimizing the operating cost of the receiving-end power grid, so that the second-stage wind-fire-storage joint dispatch model can be used for each time period. The output of the wind-fired power unit is optimized, and the output of the wind-fired storage system is coordinated according to the optimal output of the wind-fired unit at each time period.
在一种可能的实现方式中,所述一段风火储联合调度模型构建模块,用于以受端电网净负荷方差最小为目标,构建一段风火储联合调度模型,具体包括:In a possible implementation manner, the first-stage wind-fire-storage joint dispatch model building module is used to build a first-stage wind-fire-storage joint dispatch model with the goal of minimizing the net load variance of the receiving end power grid, which specifically includes:
Pnet,t=PD,t-(1-λw,t)Pw,t+ηcPc,t-ηdPd,t;Pnet,t =PD,t -(1-λw,t )Pw,t + ηc Pc,t -ηd Pd,t ;
其中,F1为受端电网净负荷方差;Pnet,t为t时段受端电网的净负荷;Pnet,ave为受端电网在整个调度周期内净负荷的平均值;PD,t为t时段受端电网的初始负荷;Pw,t为t时段风电场的输出功率;λw,t表示t时段的弃风率;Pc,t表示t时段储能系统的充电功率;ηc表示储能系统的充电效率;Pd,t表示t时段储能系统的放电功率;ηd表示储能系统的放电效率。Among them, F1 is the net load variance of the receiving end grid; Pnet,t is the net load of the receiving end grid in the t period; Pnet,ave is the average value of the net load of the receiving end grid in the whole dispatch period; PD,t is Initial load of the receiving end grid in period t; Pw,t is the output power of the wind farm in period t; λw,t is the wind curtailment rate in period t; Pc,t is the charging power of the energy storage system in period t; ηc represents the charging efficiency of the energy storage system; Pd,t represents the discharge power of the energy storage system in the t period; ηd represents the discharge efficiency of the energy storage system.
在一种可能的实现方式中,所述一段风火储联合调度模型构建模块,还用于设置所述一段风火储联合调度模型的第一约束条件,其中,所述第一约束条件包括风电出力约束、弃风率约束和储能系统充放电功率约束;In a possible implementation manner, the first-stage wind-fire-storage joint dispatch model building module is further configured to set a first constraint condition of the first-stage wind-fire-storage joint dispatch model, wherein the first constraint condition includes wind power Output constraints, curtailment rate constraints and energy storage system charge and discharge power constraints;
所述风电出力约束,如下所示:The wind power output constraints are as follows:
0≤Pw,t≤Pw,max;0≤Pw,t ≤P w,max ;
其中,Pw,max表示t时段风电场的最大出力;Among them, Pw,max represents the maximum output of the wind farm in period t;
所述弃风率约束,如下所示:The curtailment rate constraints are as follows:
其中,Kw,max表示风电场允许的最大弃风率;Among them, Kw,max represents the maximum wind curtailment rate allowed by the wind farm;
所述储能系统充放电功率约束,如下所示:The charging and discharging power constraints of the energy storage system are as follows:
0≤Pc,t≤Pc,max,0≤Pd,t≤Pd,max;0≤Pc,t ≤Pc,max , 0≤Pd,t ≤Pd,max ;
其中,Pc,max表示储能系统最大充电功率;Pd,max表示储能系统最大放电功率。Among them, Pc,max represents the maximum charging power of the energy storage system; Pd,max represents the maximum discharging power of the energy storage system.
在一种可能的实现方式中,所述二段风火储联合调度模型构建模块,用于以受端电网运行成本最小为目标,构建二段风火储联合调度模型,具体包括:In a possible implementation manner, the second-stage wind-fire-storage joint dispatch model building module is used to build a second-stage wind-fire-storage joint dispatch model with the goal of minimizing the operating cost of the receiving end power grid, which specifically includes:
minF2=C1+C2+C3-C4;minF2 =C1 +C2 +C3 -C4 ;
其中,F2为受端电网运行成本;C1为火电机组调峰成本;C2为风电和储能系统的运行成本;C3为系统旋转备用成本;C4为风电并网消纳及储能系统的环境收益;Pgit为t时段火电机组i的有功功率;NG为火电机组总台数;T为一个调度周期的时段数;ugit为t时段火电机组i的启停状态变量,ugit=1表示机组i处于开机状态,ugit=0表示机组i处于关停状态;Sgi为火电机组i的启停成本;ρw、ρsoc分别为风电和储能系统的运行成本系数;Psoc,t分别为t时段的风电消纳功率和储能系统的充放电功率;ρres为系统旋转备用成本系数;eD,ew分别为负荷和风电出力的预测误差率;βw、βsoc分别为风电并网消纳产生的环境收益系数和储能系统运行产生的环境收益系数。Among them, F2 is the operating cost of the receiving end grid; C1 is the peak shaving cost of the thermal power unit; C2 is the operating cost of the wind power and energy storage system; C3 is the system spinning reserve cost; C4 is the wind power grid-connected consumption and storage is the environmental benefit of the energy system; Pgit is the active power of thermal power unit i in period t; NG is the total number of thermal power units; T is the number of periods in a dispatch cycle; ugit is the start-stop state variable of thermal power unit i in period t, ugit =1 means that the unit i is in the power-on state, ugit =0 means that the unit i is in the shut-down state; Sgi is the start-up and shutdown cost of the thermal power unit i; ρw , ρsoc are the operating cost coefficients of the wind power and energy storage systems, respectively; Psoc,t are the wind power consumption power and the charging and discharging power of the energy storage system in the t period respectively; ρres is the cost coefficient of the system spinning reserve; eD , ew are the prediction error rates of the load and wind power output, respectively; βw , βsoc is the environmental benefit coefficient generated by wind power grid-connected consumption and the environmental benefit coefficient generated by the operation of the energy storage system.
在一种可能的实现方式中,所述二段风火储联合调度模型构建模块,还用于设置所述二段风火储联合调度模型的第二约束条件,其中,所述第二约束条件包括系统功率平衡约束、系统正负旋转备用约束、火电机组出力约束、火电机组爬坡速率约束、火电机组最小启停时间约束和线路输电容量约束;In a possible implementation manner, the second-stage wind-fire-storage joint scheduling model building module is further configured to set a second constraint condition of the second-stage wind-fire-storage joint scheduling model, wherein the second constraint condition Including system power balance constraints, system positive and negative rotating reserve constraints, thermal power unit output constraints, thermal power unit ramp rate constraints, thermal power unit minimum start-stop time constraints and line transmission capacity constraints;
所述系统功率平衡约束,如下所示:The system power balance constraints are as follows:
所述系统正负旋转备用约束,如下所示:Said system has positive and negative spinning reserve constraints as follows:
其中,Pgimax、Pgimin分别为火电机组i的出力上限和出力下限;μd1、μd2分别为应对负荷预测误差的正、负旋转备用容量系数;μw1、μw2分别为应对风电预测误差的正、负旋转备用容量系数;Among them, Pgimax and Pgimin are the output upper limit and output lower limit of thermal power unit i, respectively; μd1 and μd2 are the positive and negative rotating reserve capacity coefficients to cope with the load forecast error, respectively; μw1 and μw2 are to cope with the wind power forecast error, respectively The positive and negative spinning reserve capacity coefficients of ;
所述火电机组出力约束,如下所示:The output constraints of the thermal power unit are as follows:
ugitPgimin≤Pgit≤ugitPgimax;ugit Pgimin ≤Pgit ≤ugit Pgimax ;
所述火电机组爬坡速率约束,如下所示:The thermal power unit ramp rate constraints are as follows:
其中,rgi,up、rgi,diown分别为火电机组i的上爬坡速率上限和下爬坡速率下限;Among them, rgi,up and rgi,diown are the upper limit and lower limit of the ramp rate of thermal power unit i, respectively;
所述火电机组最小启停时间约束,如下所示:The minimum start and stop time constraints of the thermal power unit are as follows:
其中,T0n,T0ff分别为火电机组i的最大持续开机时间和最大持续关停时间;Wherein, T0n and T0ff are respectively the maximum continuous startup time and the maximum continuous shutdown time of thermal power unit i;
所述线路输电容量约束,如下所示:The line transmission capacity constraints are as follows:
0≤PLt≤PLmax;0≤PLt ≤PLmax ;
其中,PLt为t时段线路L的输电功率,PLmax为线路L的最大输电容量。Among them,PLt is the transmission power of line L in period t, andPLmax is the maximum transmission capacity of line L.
本发明还提供了一种终端设备,包括处理器、存储器以及存储在所述存储器中且被配置为由所述处理器执行的计算机程序,所述处理器执行所述计算机程序时实现如上述任意一项所述的风火储系统的多能协调优化调度方法。The present invention also provides a terminal device, comprising a processor, a memory, and a computer program stored in the memory and configured to be executed by the processor, when the processor executes the computer program, any of the above A multi-energy coordination optimization scheduling method of the wind-fire storage system.
本发明还提供了一种计算机可读存储介质,所述计算机可读存储介质包括存储的计算机程序,其中,在所述计算机程序运行时控制所述计算机可读存储介质所在设备执行如上述任意一项所述的风火储系统的多能协调优化调度方法。The present invention also provides a computer-readable storage medium, the computer-readable storage medium includes a stored computer program, wherein when the computer program runs, the device where the computer-readable storage medium is located is controlled to perform any one of the above The multi-energy coordination optimization scheduling method of the wind-fire storage system described in the above item.
本发明实施例一种风火储系统的多能协调优化调度方法及装置,与现有技术相比,具有如下有益效果:Compared with the prior art, a multi-energy coordinated optimal scheduling method and device for a wind-fire storage system according to an embodiment of the present invention has the following beneficial effects:
本发明提供了一种风火储系统的多能协调优化调度方法及装置,通过预测计算各时段对应的负荷与风电出力的第一差值;当第一差值不在储能系统功率裕度内时,以受端电网净负荷方差最小为目标,构建一段风火储联合调度模型,用于对各时段的最优弃风率及储能系统充放电功率进行优化,得到最优风电功率和储能系统最优充放电功率;以受端电网运行成本最小为目标,构建二段风火储联合调度模型,用于对各时段的火电机组出力进行优化,得到并根据各时段风火机组最优出力,对风火储系统出力进行协调,能充分发挥风能、火能、储能资源的优势互补,实现对风电的最经济消纳,降低电网净负荷峰谷差及调峰难度,降低储能充放电深度,降低受端电网运行成本。The invention provides a multi-energy coordinated optimal scheduling method and device for a wind-fired storage system, which calculates the first difference between the load corresponding to each time period and the wind power output through prediction; when the first difference is not within the power margin of the energy storage system When the net load variance of the receiving-end power grid is minimized, a wind-fire-storage joint dispatch model is constructed to optimize the optimal wind curtailment rate and the charging and discharging power of the energy storage system in each time period, so as to obtain the optimal wind power and storage capacity. The optimal charging and discharging power of the energy system; with the goal of minimizing the operating cost of the receiving-end power grid, a second-stage wind-thermal-storage joint dispatch model is constructed to optimize the output of thermal power units in each time period, and obtain and according to each time period the optimal wind-fired power generation unit output, coordinate the output of the wind and thermal storage system, can give full play to the complementary advantages of wind energy, thermal energy and energy storage resources, realize the most economical consumption of wind power, reduce the peak-to-valley difference of the net load of the power grid and the difficulty of peak regulation, and reduce the energy storage. The depth of charge and discharge reduces the operating cost of the receiving end grid.
附图说明Description of drawings
图1是本发明提供的一种风火储系统的多能协调优化调度方法的一种实施例的流程示意图;1 is a schematic flowchart of an embodiment of a multi-energy coordination and optimal scheduling method for a wind-fire storage system provided by the present invention;
图2是本发明提供的一种风火储系统的多能协调优化调度装置的一种实施例的结构示意图;2 is a schematic structural diagram of an embodiment of a multi-energy coordination and optimization scheduling device for a wind-fire storage system provided by the present invention;
图3是本发明实施例提供的风火储系统的结构示意图;3 is a schematic structural diagram of a wind-fire storage system provided by an embodiment of the present invention;
图4是本发明实施例提供的风火储系统IEEE-30节点系统结构示意图;4 is a schematic structural diagram of an IEEE-30 node system of a wind-fire storage system provided by an embodiment of the present invention;
图5是本发明实施例提供的一段风火储联合调度模型的结构示意图5 is a schematic structural diagram of a first-stage wind-fire-storage joint scheduling model provided by an embodiment of the present invention
图6是本发明实施例提供的二段风火储联合调度模型的结构示意图6 is a schematic structural diagram of a two-stage wind-fire-storage joint scheduling model provided by an embodiment of the present invention
图7是本发明实施例提供的火电机组最优出力图;Fig. 7 is the optimal output diagram of the thermal power unit provided by the embodiment of the present invention;
图8是本发明实施例提供的初始负荷和风电出力曲线图以及优化调度后负荷曲线示意图。FIG. 8 is an initial load and wind power output curve diagram and a schematic diagram of a load curve after optimal dispatch provided by an embodiment of the present invention.
具体实施方式Detailed ways
下面将结合本发明中的附图,对本发明实施例中的技术方案进行清楚、完整地描述,显然,所描述的实施例仅仅是本发明一部分实施例,而不是全部的实施例。基于本发明中的实施例,本领域普通技术人员在没有作出创造性劳动前提下所获得的所有其他实施例,都属于本发明保护的范围。The technical solutions in the embodiments of the present invention will be clearly and completely described below with reference to the accompanying drawings of the present invention. Obviously, the described embodiments are only a part of the embodiments of the present invention, rather than all the embodiments. Based on the embodiments of the present invention, all other embodiments obtained by those of ordinary skill in the art without creative efforts shall fall within the protection scope of the present invention.
实施例1Example 1
参见图1,图1是本发明提供的一种风火储系统的多能协调优化调度方法的一种实施例的流程示意图,如图1所示,该方法包括步骤101-步骤104,具体如下:Referring to FIG. 1, FIG. 1 is a schematic flowchart of an embodiment of a multi-energy coordination optimization scheduling method for a wind-fire storage system provided by the present invention. As shown in FIG. 1, the method includes
步骤101:分别对负荷和风电出力进行预测,得到并根据负荷曲线和风电并网功率曲线,计算各时段对应的负荷与风电出力的第一差值。Step 101: Predict the load and the wind power output respectively, obtain and calculate the first difference between the load and the wind power output corresponding to each time period according to the load curve and the wind power grid-connected power curve.
一实施例中,所述风火储系统是在常规火电机组的基础上,加入风电场和储能系统所形成的,如图3所示,图3是风火储系统的结构示意图。In one embodiment, the wind-fired storage system is formed by adding a wind farm and an energy storage system on the basis of a conventional thermal power unit, as shown in FIG. 3 , which is a schematic structural diagram of the wind-fired storage system.
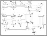
一实施例中,风火储系统包括4台火电机组,1个风电场和1个储能电站。火电机组分别接于节点1、5、11、13,用G1、G2、G3、G4表示;风电场接于节点7,用PV表示;储能电站接于节点2,用PES表示;如图4所示,图4为风火储系统IEEE-30节点系统结构示意图。In one embodiment, the wind and thermal storage system includes four thermal power units, one wind farm and one energy storage power station. The thermal power units are connected to
一实施例中,采用多维密集算法对负荷进行预测,得到预测日24小时的负荷曲线。In one embodiment, a multi-dimensional dense algorithm is used to predict the load, and a load curve of the predicted 24-hour day is obtained.
一实施例中,采用多维密集算法对风电出力进行预测,得到预测日24小时的风电并网功率曲线。In one embodiment, a multi-dimensional dense algorithm is used to predict the wind power output, and the grid-connected power curve of the wind power for 24 hours on a forecast day is obtained.
优选的,选取负荷较大的夏至日为预测日。Preferably, the summer solstice day with a larger load is selected as the prediction day.
一实施例中,对于得到的负荷曲线和风电并网功率曲线,分别计算每个时段负荷与风电出力之差,得到第一差值。In one embodiment, for the obtained load curve and the wind power grid-connected power curve, the difference between the load and the wind power output in each time period is calculated respectively to obtain the first difference.
步骤102:判断所述第一差值是否在储能系统功率裕度内,若否,则以受端电网净负荷方差最小为目标,构建一段风火储联合调度模型,以使所述一段风火储联合调度模型对各时段的最优弃风率及储能系统充放电功率进行优化处理,得到各时段对应的最优风电功率和储能系统最优充放电功率。Step 102: Determine whether the first difference is within the power margin of the energy storage system, and if not, build a wind-fire-storage joint dispatch model for the first stage with the goal of minimizing the net load variance of the receiving-end power grid, so that the wind power in the first stage is The combined dispatching model of fire and storage optimizes the optimal wind curtailment rate and the charging and discharging power of the energy storage system in each time period, and obtains the optimal wind power and the optimal charging and discharging power of the energy storage system corresponding to each time period.
一实施例中,当所述第一差值在储能系统功率裕度内,则控制储能系统投入,火电机组不投入。In one embodiment, when the first difference is within the power margin of the energy storage system, the energy storage system is controlled to be turned on, and the thermal power unit is not turned on.
一实施例中,当所述第一差值不在储能系统功率裕度内,则构建风火储联合调度模型,以使所述风火储联合调度模型对风火储系统出力进行优化处理,使得风火储系统出力最优。In one embodiment, when the first difference is not within the power margin of the energy storage system, a wind-fire-storage joint dispatch model is constructed, so that the wind-fire-storage joint dispatch model optimizes the output of the wind-fire-storage system, The output of the wind-fire storage system is optimized.
一实施例中,构建的风火储联合调度模型包括一段风火储联合调度模型和二段风火储联合调度模型。In one embodiment, the constructed wind-fire-storage joint scheduling model includes a first-stage wind-fire-storage joint scheduling model and a second-stage wind-fire-storage joint scheduling model.
一实施例中,如图5所示,图5是一段风火储联合调度模型的结构示意图;以受端电网净负荷方差最小为目标,构建一段风火储联合调度模型,其中,构建的一段风火储联合调度模型,如下所示:In one embodiment, as shown in FIG. 5, FIG. 5 is a schematic structural diagram of a wind-fire-storage joint dispatch model for a section; with the goal of minimizing the net load variance of the receiving-end power grid, a wind-fire-storage joint dispatch model for a section is constructed. The wind-fire-storage joint scheduling model is as follows:
Pnet,t=PD,t-(1-λw,t)Pw,t+ηcPc,t-ηdPd,t;Pnet,t =PD,t -(1-λw,t )Pw,t + ηc Pc,t -ηd Pd,t ;
其中,F1为受端电网净负荷方差;Pnet,t为t时段受端电网的净负荷;Pnet,ave为受端电网在整个调度周期内净负荷的平均值;PD,t为t时段受端电网的初始负荷;Pw,t为t时段风电场的输出功率;λw,t表示t时段的弃风率;Pc,t表示t时段储能系统的充电功率;ηc表示储能系统的充电效率;Pd,t表示t时段储能系统的放电功率;ηd表示储能系统的放电效率。Among them, F1 is the net load variance of the receiving end grid; Pnet,t is the net load of the receiving end grid in the t period; Pnet,ave is the average value of the net load of the receiving end grid in the whole dispatch period; PD,t is Initial load of the receiving end grid in period t; Pw,t is the output power of the wind farm in period t; λw,t is the wind curtailment rate in period t; Pc,t is the charging power of the energy storage system in period t; ηc represents the charging efficiency of the energy storage system; Pd,t represents the discharge power of the energy storage system in the t period; ηd represents the discharge efficiency of the energy storage system.
一实施例中,对于构建的所述一段风火储联合调度模型设置第一约束条件,其中,所述第一约束条件包括风电出力约束、弃风率约束和储能系统充放电功率约束。In an embodiment, a first constraint condition is set for the constructed first-stage wind-fire-storage joint dispatch model, wherein the first constraint condition includes a wind power output constraint, a wind curtailment rate constraint, and an energy storage system charge-discharge power constraint.
所述风电出力约束,如下所示:The wind power output constraints are as follows:
0≤Pw,t≤Pw,max;0≤Pw,t ≤P w,max ;
其中,Pw,max表示t时段风电场的最大出力。Among them, Pw,max represents the maximum output of the wind farm in t period.
所述弃风率约束,如下所示:The curtailment rate constraints are as follows:
其中,Kw,max表示风电场允许的最大弃风率。Among them, Kw,max represents the maximum wind curtailment rate allowed by the wind farm.
所述储能系统充放电功率约束,如下所示:The charging and discharging power constraints of the energy storage system are as follows:
0≤Pc,t≤Pc,max,0≤Pd,t≤Pd,max;0≤Pc,t ≤Pc,max , 0≤Pd,t ≤Pd,max ;
其中,Pc,max表示储能系统最大充电功率;Pd,max表示储能系统最大放电功率。Among them, Pc,max represents the maximum charging power of the energy storage system; Pd,max represents the maximum discharging power of the energy storage system.
步骤103:同时以受端电网运行成本最小为目标,构建二段风火储联合调度模型,以使所述二段风火储联合调度模型对各时段的火电机组出力进行优化处理,得到并根据各时段风火机组最优出力,对风火储系统出力进行协调。Step 103: At the same time, aiming at the minimum operation cost of the receiving-end power grid, a second-stage wind-fire-storage joint dispatch model is constructed, so that the second-stage wind-fire-storage joint dispatch model can optimize the output of thermal power units in each period, and obtain and according to The optimal output of the wind-fired unit at each time period is to coordinate the output of the wind-fired storage system.
一实施例中,如图6所示,图6是二段风火储联合调度模型的结构示意图;以受端电网运行成本最小为目标,构建二段风火储联合调度模型,其中,构建的二段风火储联调度模型,如下所示:In one embodiment, as shown in FIG. 6, FIG. 6 is a schematic structural diagram of the second-stage wind-fire-storage joint dispatch model; with the goal of minimizing the operating cost of the receiving end power grid, a second-stage wind-fire-storage joint dispatch model is constructed, wherein the constructed The second-stage Fenghuo reserve-linked scheduling model is as follows:
minF2=C1+C2+C3-C4;minF2 =C1 +C2 +C3 -C4 ;
其中,F2为受端电网运行成本;C1为火电机组调峰成本;C2为风电和储能系统的运行成本;C3为系统旋转备用成本;C4为风电并网消纳及储能系统的环境收益。Among them, F2 is the operating cost of the receiving end grid; C1 is the peak shaving cost of the thermal power unit; C2 is the operating cost of the wind power and energy storage system; C3 is the system spinning reserve cost; C4 is the wind power grid-connected consumption and storage Environmental benefits of energy systems.
对于火电机组调峰成本C1:For thermal power unit peak shaving cost C1 :
f(Pgit)=(a2iPgit2+a1iPgit+a0i)Pcoal;f(Pgit )=(a2i Pgit2 +a1i Pgit +a0i )Pcoal ;
其中,Pgit为t时段火电机组i的有功功率;NG为火电机组总台数;T为一个调度周期的时段数;ugit为t时段火电机组i的启停状态变量,ugit=1表示机组i处于开机状态,ugit=0表示机组i处于关停状态;Sgi为火电机组i的启停成本,f(Pgit)为火电机组i的燃料成本函数;a2i、a1i、a0i分别为其二次项系数、一次项系数及常数项系数;Pcoal为燃煤单价。Among them, Pgit is the active power of thermal power unit i in the t period; NG is the total number of thermal power units; T is the number of time periods in a dispatch cycle; ugit is the start-stop state variable of the thermal power unit i in the t period, ugit =1 means Unit i is on, and ugit = 0 indicates that unit i is shut down; Sgi is the startup and shutdown cost of thermal power unit i, and f(Pgit ) is the fuel cost function of thermal power unit i; a2i , a1i , a0i is the quadratic term coefficient, the primary term coefficient and the constant term coefficient respectively; Pcoal is the unit price of coal.
对于风电和储能系统的运行成本C2:Operating costs C2 for wind and energy storage systems:
Psoc,t=Pc,t+Pd,t;Psoc,t =Pc,t +Pd,t ;
其中,ρw、ρsoc分别为风电和储能系统的运行成本系数;Psoc,t分别为t时段的风电消纳功率和储能系统的充放电功率。Among them, ρw and ρsoc are the operating cost coefficients of wind power and energy storage systems, respectively; Psoc,t are the wind power consumption power and the charging and discharging power of the energy storage system in the t period, respectively.
对于系统旋转备用成本C3:For system spinning reserve costC3 :
其中,ρres为系统旋转备用成本系数;eD,ew分别为负荷和风电出力的预测误差率。Among them, ρres is the cost coefficient of system spinning reserve; eD , ew are the prediction error rates of load and wind power output, respectively.
对于风电并网消纳及储能系统的环境收益C4:For the environmental benefit C4 of wind power grid-connected consumption and energy storage system:
其中,βw、βsoc分别为风电并网消纳产生的环境收益系数和储能系统运行产生的环境收益系数。Among them, βw , βsoc are the environmental benefit coefficient generated by wind power grid-connected consumption and the environmental benefit coefficient generated by the operation of the energy storage system, respectively.
一实施例中,对于构建的所述二段风火储联合调度模型设置第一约束条件,其中,所述第二约束条件包括系统功率平衡约束、系统正负旋转备用约束、火电机组出力约束、火电机组爬坡速率约束、火电机组最小启停时间约束和线路输电容量约束。In one embodiment, a first constraint condition is set for the constructed two-stage wind, fire, and storage joint scheduling model, wherein the second constraint condition includes a system power balance constraint, a system positive and negative spinning reserve constraint, a thermal power unit output constraint, Thermal power unit ramp rate constraint, thermal power unit minimum start-stop time constraint and line transmission capacity constraint.
所述系统功率平衡约束,如下所示:The system power balance constraints are as follows:
所述系统正负旋转备用约束,如下所示:Said system has positive and negative spinning reserve constraints as follows:
其中,Pgimax、Pgimin分别为火电机组i的出力上限和出力下限;μd1、μd2分别为应对负荷预测误差的正、负旋转备用容量系数;μw1、μw2分别为应对风电预测误差的正、负旋转备用容量系数。Among them, Pgimax and Pgimin are the output upper limit and output lower limit of thermal power unit i, respectively; μd1 and μd2 are the positive and negative rotating reserve capacity coefficients to cope with the load forecast error, respectively; μw1 and μw2 are to cope with the wind power forecast error, respectively The positive and negative spinning reserve capacity factors of .
所述火电机组出力约束,如下所示:The output constraints of the thermal power unit are as follows:
ugitPgimin≤Pgit≤ugitPgimax;ugit Pgimin ≤Pgit ≤ugit Pgimax ;
所述火电机组爬坡速率约束,如下所示:The thermal power unit ramp rate constraints are as follows:
其中,rgi,up、rgi,diown分别为火电机组i的上爬坡速率上限和下爬坡速率下限。Among them, rgi,up and rgi,diown are the upper limit and lower limit of the ramp rate of thermal power unit i, respectively.
所述火电机组最小启停时间约束,如下所示:The minimum start and stop time constraints of the thermal power unit are as follows:
其中,T0n,T0ff分别为火电机组i的最大持续开机时间和最大持续关停时间。Among them, T0n and T0ff are the maximum continuous power-on time and the maximum continuous shutdown time of the thermal power unit i, respectively.
所述线路输电容量约束,如下所示:The line transmission capacity constraints are as follows:
0≤PLt≤PLmax;0≤PLt ≤PLmax ;
其中,PLt为t时段线路L的输电功率,PLmax为线路L的最大输电容量。Among them,PLt is the transmission power of line L in period t, andPLmax is the maximum transmission capacity of line L.
一实施例中,如图7所示,图7为火电机组最优出力图,可以看出整个调度期间火电机组3、4都在开机状态,机组2大部分时间处于开机,机组1仅在9点到13点开机,这说明2-4容量大,出力较为稳定,能承担大部分时段的电量任务,并满足为应对负荷、风电预测误差而预留的旋转备用需求;机组1只在高峰负荷出力,这样在兼顾经济性下可以获得火电机组的最优功率输出,大大减小了电网运行成本。In one embodiment, as shown in Fig. 7, Fig. 7 is the optimal output diagram of thermal power units. It can be seen that
一实施例中,如图8所示,图8为初始负荷和风电出力曲线图以及优化调度后负荷曲线示意图,可以看出风电出力具有很大的随机性和波动性,日间负荷高峰时出力低,在凌晨跟夜间出力较大,具有明显的反调峰特征。而优化之后的负荷曲线更加平滑,大大减小了峰谷差,降低了电网调峰难度,增加了火电机组调度的灵活性。In one embodiment, as shown in Fig. 8, Fig. 8 is a graph of the initial load and wind power output and a schematic diagram of the load curve after optimal dispatch. It can be seen that the wind power output has great randomness and volatility, and the output during the peak load during the day Low, the output is larger in the early morning and at night, with obvious anti-peak characteristics. The optimized load curve is smoother, which greatly reduces the peak-to-valley difference, reduces the difficulty of power grid peak regulation, and increases the flexibility of thermal power unit scheduling.
综上,本发明提供的一种风火储系统的多能协调优化调度方法,在常规火电机组的基础上,加入风电和储能系统,以受端电网净负荷方差最小为一段目标,电网运行总成本最小为二段目标,建立风火储联合调度模型。风火储联合调度系统与传统火电调度系统相比,充分发挥风能、火能、储能资源的优势互补,实现对风电的最经济消纳,降低电网净负荷峰谷差及调峰难度,降低储能充放电深度,降低受端电网运行成本。To sum up, the present invention provides a multi-energy coordination and optimal dispatching method for a wind-thermal storage system. On the basis of a conventional thermal power unit, wind power and an energy storage system are added. The minimum total cost is the target of the second stage, and the joint dispatching model of wind, fire and storage is established. Compared with the traditional thermal power dispatching system, the wind-thermal-storage joint dispatching system gives full play to the complementary advantages of wind energy, thermal energy and energy storage resources, realizes the most economical consumption of wind power, reduces the peak-to-valley difference between the net load of the power grid and the difficulty of peak regulation, and reduces the The depth of charge and discharge of energy storage reduces the operating cost of the receiving end grid.
实施例2Example 2
参见图2,图2是本发明提供的一种风火储系统的多能协调优化调度装置的一种实施例的结构示意图,如图2所示,该装置包括预测模块201、一段风火储联合调度模型构建模块202和二段风火储联合调度模型构建模块203,具体如下:Referring to FIG. 2, FIG. 2 is a schematic structural diagram of an embodiment of a multi-energy coordination and optimization scheduling device for a wind-fire storage system provided by the present invention. As shown in FIG. 2, the device includes a
所述预测模块201,用于分别对负荷和风电出力进行预测,得到并根据负荷曲线和风电并网功率曲线,计算各时段对应的负荷与风电出力的第一差值。The
所述一段风火储联合调度模型构建模块202,用于判断所述第一差值是否在储能系统功率裕度内,若否,则以受端电网净负荷方差最小为目标,构建一段风火储联合调度模型,以使所述一段风火储联合调度模型对各时段的最优弃风率及储能系统充放电功率进行优化处理,得到各时段对应的最优风电功率和储能系统最优充放电功率。The first-stage wind-fire-storage joint dispatch
所述二段风火储联合调度模型构建模块203,用于以受端电网运行成本最小为目标,构建二段风火储联合调度模型,以使所述二段风火储联合调度模型对各时段的火电机组出力进行优化处理,得到并根据各时段风火机组最优出力,对风火储系统出力进行协调。The second-stage wind-fire-storage joint dispatch
一实施例中,所述一段风火储联合调度模型构建模块202,用于以受端电网净负荷方差最小为目标,构建一段风火储联合调度模型,具体包括:In one embodiment, the
Pnet,t=PD,t-(1-λw,t)Pw,t+ηcPc,t-ηdPd,t;Pnet,t =PD,t -(1-λw,t )Pw,t + ηc Pc,t -ηd Pd,t ;
其中,F1为受端电网净负荷方差;Pnet,t为t时段受端电网的净负荷;Pnet,ave为受端电网在整个调度周期内净负荷的平均值;PD,t为t时段受端电网的初始负荷;Pw,t为t时段风电场的输出功率;λw,t表示t时段的弃风率;Pc,t表示t时段储能系统的充电功率;ηc表示储能系统的充电效率;Pd,t表示t时段储能系统的放电功率;ηd表示储能系统的放电效率。Among them, F1 is the net load variance of the receiving end grid; Pnet,t is the net load of the receiving end grid in the t period; Pnet,ave is the average value of the net load of the receiving end grid in the whole dispatch period; PD,t is Initial load of the receiving end grid in period t; Pw,t is the output power of the wind farm in period t; λw,t is the wind curtailment rate in period t; Pc,t is the charging power of the energy storage system in period t; ηc represents the charging efficiency of the energy storage system; Pd,t represents the discharge power of the energy storage system in the t period; ηd represents the discharge efficiency of the energy storage system.
一实施例中,所述一段风火储联合调度模型构建模块202,还用于设置所述一段风火储联合调度模型的第一约束条件,其中,所述第一约束条件包括风电出力约束、弃风率约束和储能系统充放电功率约束;In one embodiment, the
所述风电出力约束,如下所示:The wind power output constraints are as follows:
0≤Pw,t≤Pw,max;0≤Pw,t ≤P w,max ;
其中,Pw,max表示t时段风电场的最大出力;Among them, Pw,max represents the maximum output of the wind farm in period t;
所述弃风率约束,如下所示:The curtailment rate constraints are as follows:
其中,Kw,max表示风电场允许的最大弃风率;Among them, Kw,max represents the maximum wind curtailment rate allowed by the wind farm;
所述储能系统充放电功率约束,如下所示:The charging and discharging power constraints of the energy storage system are as follows:
0≤Pc,t≤Pc,max,0≤Pd,t≤Pd,max;0≤Pc,t ≤Pc,max , 0≤Pd,t ≤Pd,max ;
其中,Pc,max表示储能系统最大充电功率;Pd,max表示储能系统最大放电功率。Among them, Pc,max represents the maximum charging power of the energy storage system; Pd,max represents the maximum discharging power of the energy storage system.
一实施例中,所述二段风火储联合调度模型构建模块203,用于以受端电网运行成本最小为目标,构建二段风火储联合调度模型,具体包括:In one embodiment, the second-stage wind-fire-storage joint dispatch
minF2=C1+C2+C3-C4;minF2 =C1 +C2 +C3 -C4 ;
其中,F2为受端电网运行成本;C1为火电机组调峰成本;C2为风电和储能系统的运行成本;C3为系统旋转备用成本;C4为风电并网消纳及储能系统的环境收益;Pgit为t时段火电机组i的有功功率;NG为火电机组总台数;T为一个调度周期的时段数;ugit为t时段火电机组i的启停状态变量,ugit=1表示机组i处于开机状态,ugit=0表示机组i处于关停状态;Sgi为火电机组i的启停成本;ρw、ρsoc分别为风电和储能系统的运行成本系数;Psoc,t分别为t时段的风电消纳功率和储能系统的充放电功率;ρres为系统旋转备用成本系数;eD,ew分别为负荷和风电出力的预测误差率;βw、βsoc分别为风电并网消纳产生的环境收益系数和储能系统运行产生的环境收益系数。Among them, F2 is the operating cost of the receiving end grid; C1 is the peak shaving cost of the thermal power unit; C2 is the operating cost of the wind power and energy storage system; C3 is the system spinning reserve cost; C4 is the wind power grid-connected consumption and storage is the environmental benefit of the energy system; Pgit is the active power of thermal power unit i in period t; NG is the total number of thermal power units; T is the number of periods in a dispatch cycle; ugit is the start-stop state variable of thermal power unit i in period t, ugit =1 means that the unit i is in the power-on state, ugit =0 means that the unit i is in the shut-down state; Sgi is the start-up and shutdown cost of the thermal power unit i; ρw , ρsoc are the operating cost coefficients of the wind power and energy storage systems, respectively; Psoc,t are the wind power consumption power and the charging and discharging power of the energy storage system in the t period respectively; ρres is the cost coefficient of the system spinning reserve; eD , ew are the prediction error rates of the load and wind power output, respectively; βw , βsoc is the environmental benefit coefficient generated by wind power grid-connected consumption and the environmental benefit coefficient generated by the operation of the energy storage system.
一实施例中,所述二段风火储联合调度模型构建模块203,还用于设置所述二段风火储联合调度模型的第二约束条件,其中,所述第二约束条件包括系统功率平衡约束、系统正负旋转备用约束、火电机组出力约束、火电机组爬坡速率约束、火电机组最小启停时间约束和线路输电容量约束;In one embodiment, the second-stage wind, fire, and storage joint scheduling
所述系统功率平衡约束,如下所示:The system power balance constraints are as follows:
所述系统正负旋转备用约束,如下所示:Said system has positive and negative spinning reserve constraints as follows:
其中,Pgimax、Pgimin分别为火电机组i的出力上限和出力下限;μd1、μd2分别为应对负荷预测误差的正、负旋转备用容量系数;μw1、μw2分别为应对风电预测误差的正、负旋转备用容量系数;Among them, Pgimax and Pgimin are the output upper limit and output lower limit of thermal power unit i, respectively; μd1 and μd2 are the positive and negative rotating reserve capacity coefficients to cope with the load forecast error, respectively; μw1 and μw2 are to cope with the wind power forecast error, respectively The positive and negative spinning reserve capacity coefficients of ;
所述火电机组出力约束,如下所示:The output constraints of the thermal power unit are as follows:
ugitPgimin≤Pgit≤ugitPgimax;ugit Pgimin ≤Pgit ≤ugit Pgimax ;
所述火电机组爬坡速率约束,如下所示:The thermal power unit ramp rate constraints are as follows:
其中,rgi,up、rgi,diown分别为火电机组i的上爬坡速率上限和下爬坡速率下限;Among them, rgi,up and rgi,diown are the upper limit and lower limit of the ramp rate of thermal power unit i, respectively;
所述火电机组最小启停时间约束,如下所示:The minimum start and stop time constraints of the thermal power unit are as follows:
其中,T0n,T0ff分别为火电机组i的最大持续开机时间和最大持续关停时间;Wherein, T0n and T0ff are respectively the maximum continuous startup time and the maximum continuous shutdown time of thermal power unit i;
所述线路输电容量约束,如下所示:The line transmission capacity constraints are as follows:
0≤PLt≤PLmax;0≤PLt ≤PLmax ;
其中,PLt为t时段线路L的输电功率,PLmax为线路L的最大输电容量。Among them,PLt is the transmission power of line L in period t, andPLmax is the maximum transmission capacity of line L.
所属领域的技术人员可以清楚的了解到,为描述的方便和简洁,上述描述的装置的具体工作过程,可以参考前述方法实施例中的对应过程,在此不在赘述。Those skilled in the art can clearly understand that, for the convenience and brevity of description, for the specific working process of the apparatus described above, reference may be made to the corresponding process in the foregoing method embodiments, which will not be repeated here.
需要说明的是,上述风火储系统的多能协调优化调度装置的实施例仅仅是示意性的,其中所述作为分离部件说明的模块可以是或者也可以不是物理上分开的,作为模块显示的部件可以是或者也可以不是物理单元,即可以位于一个地方,或者也可以分布到多个网络单元上。可以根据实际的需要选择其中的部分或者全部模块来实现本实施例方案的目的。It should be noted that the above-mentioned embodiments of the multi-energy coordination and optimization scheduling device of the wind-fire storage system are merely illustrative, and the modules described as separate components may or may not be physically separated, and are shown as modules. Components may or may not be physical units, that is, they may be located in one place, or they may be distributed over multiple network units. Some or all of the modules may be selected according to actual needs to achieve the purpose of the solution in this embodiment.
在上述的风火储系统的多能协调优化调度方法的实施例的基础上,本发明另一实施例提供了一种风火储系统的多能协调优化调度终端设备,该风火储系统的多能协调优化调度终端设备,包括处理器、存储器以及存储在所述存储器中且被配置为由所述处理器执行的计算机程序,所述处理器执行所述计算机程序时,实现本发明任意一实施例的风火储系统的多能协调优化调度方法。On the basis of the above-mentioned embodiment of the multi-energy coordinated optimal scheduling method of the wind-fired storage system, another embodiment of the present invention provides a multi-energy coordinated optimal scheduling terminal device of the wind-fired storage system. Multi-energy coordination and optimal scheduling terminal equipment, including a processor, a memory, and a computer program stored in the memory and configured to be executed by the processor, when the processor executes the computer program, any one of the present invention is implemented. The multi-energy coordination optimization scheduling method of the wind-fire storage system of the embodiment.
示例性的,在这一实施例中所述计算机程序可以被分割成一个或多个模块,所述一个或者多个模块被存储在所述存储器中,并由所述处理器执行,以完成本发明。所述一个或多个模块可以是能够完成特定功能的一系列计算机程序指令段,该指令段用于描述所述计算机程序在所述风火储系统的多能协调优化调度终端设备中的执行过程。Exemplarily, in this embodiment the computer program may be divided into one or more modules, and the one or more modules are stored in the memory and executed by the processor to complete the present invention. invention. The one or more modules may be a series of computer program instruction segments capable of accomplishing specific functions, and the instruction segments are used to describe the execution process of the computer program in the multi-energy coordination, optimization and scheduling terminal equipment of the wind-fire-storage system. .
所述风火储系统的多能协调优化调度终端设备可以是桌上型计算机、笔记本、掌上电脑及云端服务器等计算设备。所述风火储系统的多能协调优化调度终端设备可包括,但不仅限于,处理器、存储器。The multi-energy coordination and optimal scheduling terminal device of the wind-fire storage system may be a desktop computer, a notebook, a palmtop computer, a cloud server, and other computing devices. The multi-energy coordination and optimal scheduling terminal equipment of the wind-fire storage system may include, but is not limited to, a processor and a memory.
所称处理器可以是中央处理单元(Central Processing Unit,CPU),还可以是其他通用处理器、数字信号处理器(Digital Signal Processor,DSP)、专用集成电路(Application Specific Integrated Circuit,ASIC)、现成可编程门阵列(Field-Programmable Gate Array,FPGA)或者其他可编程逻辑器件、分立门或者晶体管逻辑器件、分立硬件组件等。通用处理器可以是微处理器或者该处理器也可以是任何常规的处理器等,所述处理器是所述风火储系统的多能协调优化调度终端设备的控制中心,利用各种接口和线路连接整个风火储系统的多能协调优化调度终端设备的各个部分。The processor may be a central processing unit (Central Processing Unit, CPU), or other general-purpose processors, digital signal processors (Digital Signal Processor, DSP), application specific integrated circuits (Application Specific Integrated Circuit, ASIC), off-the-shelf processors Programmable Gate Array (Field-Programmable Gate Array, FPGA) or other programmable logic devices, discrete gate or transistor logic devices, discrete hardware components, etc. The general-purpose processor can be a microprocessor or the processor can also be any conventional processor, etc. The processor is the control center of the multi-energy coordination and optimal scheduling terminal equipment of the wind-fire-storage system, using various interfaces and The line connects all parts of the entire wind-fire-storage system, which can coordinate and optimally dispatch all parts of the terminal equipment.
所述存储器可用于存储所述计算机程序和/或模块,所述处理器通过运行或执行存储在所述存储器内的计算机程序和/或模块,以及调用存储在存储器内的数据,实现所述风火储系统的多能协调优化调度终端设备的各种功能。所述存储器可主要包括存储程序区和存储数据区,其中,存储程序区可存储操作系统、至少一个功能所需的应用程序等;存储数据区可存储根据手机的使用所创建的数据等。此外,存储器可以包括高速随机存取存储器,还可以包括非易失性存储器,例如硬盘、内存、插接式硬盘,智能存储卡(Smart MediaCard,SMC),安全数字(Secure Digital,SD)卡,闪存卡(Flash Card)、至少一个磁盘存储器件、闪存器件、或其他易失性固态存储器件。The memory can be used to store the computer program and/or module, and the processor implements the wind by running or executing the computer program and/or module stored in the memory and calling the data stored in the memory. The multi-function of the fire storage system can coordinate and optimize various functions of the terminal equipment. The memory may mainly include a storage program area and a storage data area, wherein the storage program area may store an operating system, an application program required for at least one function, and the like; the storage data area may store data created according to the use of the mobile phone. In addition, the memory may include high-speed random access memory, and may also include non-volatile memory, such as hard disk, internal memory, plug-in hard disk, Smart Media Card (SMC), Secure Digital (SD) card, Flash Card, at least one magnetic disk storage device, flash memory device, or other volatile solid state storage device.
在上述风火储系统的多能协调优化调度方法的实施例的基础上,本发明另一实施例提供了一种存储介质,所述存储介质包括存储的计算机程序,其中,在所述计算机程序运行时,控制所述存储介质所在的设备执行本发明任意一实施例的风火储系统的多能协调优化调度方法。On the basis of the above embodiments of the multi-energy coordination optimization scheduling method of the wind-fire storage system, another embodiment of the present invention provides a storage medium, where the storage medium includes a stored computer program, wherein in the computer program During operation, the device where the storage medium is located is controlled to execute the multi-energy coordination optimization scheduling method of the wind-fired storage system according to any embodiment of the present invention.
在这一实施例中,上述存储介质为计算机可读存储介质,所述计算机程序包括计算机程序代码,所述计算机程序代码可以为源代码形式、对象代码形式、可执行文件或某些中间形式等。所述计算机可读介质可以包括:能够携带所述计算机程序代码的任何实体或装置、记录介质、U盘、移动硬盘、磁碟、光盘、计算机存储器、只读存储器(ROM,Read-OnlyMemory)、随机存取存储器(RAM,Random Access Memory)、电载波信号、电信信号以及软件分发介质等。需要说明的是,所述计算机可读介质包含的内容可以根据司法管辖区内立法和专利实践的要求进行适当的增减,例如在某些司法管辖区,根据立法和专利实践,计算机可读介质不包括电载波信号和电信信号。In this embodiment, the above-mentioned storage medium is a computer-readable storage medium, and the computer program includes computer program code, and the computer program code may be in the form of source code, object code, executable file or some intermediate form, etc. . The computer-readable medium may include: any entity or device capable of carrying the computer program code, a recording medium, a U disk, a removable hard disk, a magnetic disk, an optical disk, a computer memory, a read-only memory (ROM, Read-Only Memory), Random Access Memory (RAM, Random Access Memory), electric carrier signal, telecommunication signal and software distribution medium, etc. It should be noted that the content contained in the computer-readable media may be appropriately increased or decreased according to the requirements of legislation and patent practice in the jurisdiction, for example, in some jurisdictions, according to legislation and patent practice, the computer-readable media Electric carrier signals and telecommunication signals are not included.
综上,本发明提供的一种风火储系统的多能协调优化调度方法及装置,本发明提供了一种风火储系统的多能协调优化调度方法及装置,通过预测计算各时段对应的负荷与风电出力的第一差值;当第一差值不在储能系统功率裕度内时,以受端电网净负荷方差最小为目标,构建一段风火储联合调度模型,用于对各时段的最优弃风率及储能系统充放电功率进行优化,得到最优风电功率和储能系统最优充放电功率;以受端电网运行成本最小为目标,构建二段风火储联合调度模型,用于对各时段的火电机组出力进行优化,得到并根据各时段风火机组最优出力,对风火储系统出力进行协调,能充分发挥风能、火能、储能资源的优势互补,实现对风电的最经济消纳,降低电网净负荷峰谷差及调峰难度,降低储能充放电深度,降低受端电网运行成本。To sum up, the present invention provides a multi-energy coordinated optimal scheduling method and device for a wind-fired storage system, and the present invention provides a multi-energy coordinated optimal scheduling method and device for a wind-fired storage system. The first difference between the load and the wind power output; when the first difference is not within the power margin of the energy storage system, with the goal of minimizing the net load variance of the receiving end grid, a joint dispatching model of wind, fire and storage is constructed for each time period. The optimal wind curtailment rate and the charging and discharging power of the energy storage system are optimized to obtain the optimal wind power and the optimal charging and discharging power of the energy storage system; with the goal of minimizing the operating cost of the receiving-end power grid, a second-stage wind-fire-storage joint dispatch model is constructed. , which is used to optimize the output of thermal power units in each period, obtain and coordinate the output of the wind-fired storage system according to the optimal output of the wind-fired units in each period, and give full play to the complementary advantages of wind energy, thermal energy, and energy storage resources, and achieve The most economical consumption of wind power, reducing the peak-to-valley difference between the net load of the grid and the difficulty of peak regulation, reducing the depth of energy storage charging and discharging, and reducing the operating cost of the receiving end grid.
以上所述仅是本发明的优选实施方式,应当指出,对于本技术领域的普通技术人员来说,在不脱离本发明技术原理的前提下,还可以做出若干改进和替换,这些改进和替换也应视为本发明的保护范围。The above are only the preferred embodiments of the present invention. It should be pointed out that for those skilled in the art, without departing from the technical principle of the present invention, several improvements and replacements can be made. These improvements and replacements It should also be regarded as the protection scope of the present invention.
| Application Number | Priority Date | Filing Date | Title |
|---|---|---|---|
| CN202211009201.9ACN115189423A (en) | 2022-08-18 | 2022-08-18 | A multi-energy coordinated optimal scheduling method and device for wind-fire storage system |
| Application Number | Priority Date | Filing Date | Title |
|---|---|---|---|
| CN202211009201.9ACN115189423A (en) | 2022-08-18 | 2022-08-18 | A multi-energy coordinated optimal scheduling method and device for wind-fire storage system |
| Publication Number | Publication Date |
|---|---|
| CN115189423Atrue CN115189423A (en) | 2022-10-14 |
| Application Number | Title | Priority Date | Filing Date |
|---|---|---|---|
| CN202211009201.9APendingCN115189423A (en) | 2022-08-18 | 2022-08-18 | A multi-energy coordinated optimal scheduling method and device for wind-fire storage system |
| Country | Link |
|---|---|
| CN (1) | CN115189423A (en) |
| Publication number | Priority date | Publication date | Assignee | Title |
|---|---|---|---|---|
| CN116191490A (en)* | 2022-12-16 | 2023-05-30 | 中国华能集团清洁能源技术研究院有限公司 | Base multi-power-supply joint optimization scheduling method |
| CN116488212A (en)* | 2023-06-19 | 2023-07-25 | 长沙电机厂集团长瑞有限公司 | Method and system for virtually controlling multiple motor groups to perform power energy storage configuration |
| CN116596101A (en)* | 2022-11-10 | 2023-08-15 | 国网浙江省电力有限公司丽水供电公司 | Multi-source multi-time scale coordinated scheduling method |
| CN117713035A (en)* | 2023-10-10 | 2024-03-15 | 中国科学院地理科学与资源研究所 | A power consumption analysis method for fluctuating power sources taking into account spatial topology |
| CN119093508A (en)* | 2024-08-27 | 2024-12-06 | 东北电力大学 | A peak-shaving layered optimization control method for thermal power units assisted by energy storage clusters |
| Publication number | Priority date | Publication date | Assignee | Title |
|---|---|---|---|---|
| CN112821462A (en)* | 2021-01-05 | 2021-05-18 | 国网浙江省电力有限公司电力科学研究院 | Coordination optimization method for multiple adjustment resources of power grid |
| CN113241803A (en)* | 2021-05-26 | 2021-08-10 | 广东电网有限责任公司 | Energy storage scheduling method based on new energy consumption and computer medium |
| CN114004395A (en)* | 2021-10-21 | 2022-02-01 | 南昌大学 | Wind-solar-fire-storage double-layer scheduling method for synergistically promoting carbon emission reduction by considering heat storage transformation and optimal energy abandonment |
| Publication number | Priority date | Publication date | Assignee | Title |
|---|---|---|---|---|
| CN112821462A (en)* | 2021-01-05 | 2021-05-18 | 国网浙江省电力有限公司电力科学研究院 | Coordination optimization method for multiple adjustment resources of power grid |
| CN113241803A (en)* | 2021-05-26 | 2021-08-10 | 广东电网有限责任公司 | Energy storage scheduling method based on new energy consumption and computer medium |
| CN114004395A (en)* | 2021-10-21 | 2022-02-01 | 南昌大学 | Wind-solar-fire-storage double-layer scheduling method for synergistically promoting carbon emission reduction by considering heat storage transformation and optimal energy abandonment |
| Publication number | Priority date | Publication date | Assignee | Title |
|---|---|---|---|---|
| CN116596101A (en)* | 2022-11-10 | 2023-08-15 | 国网浙江省电力有限公司丽水供电公司 | Multi-source multi-time scale coordinated scheduling method |
| CN116191490A (en)* | 2022-12-16 | 2023-05-30 | 中国华能集团清洁能源技术研究院有限公司 | Base multi-power-supply joint optimization scheduling method |
| CN116488212A (en)* | 2023-06-19 | 2023-07-25 | 长沙电机厂集团长瑞有限公司 | Method and system for virtually controlling multiple motor groups to perform power energy storage configuration |
| CN116488212B (en)* | 2023-06-19 | 2023-08-22 | 长沙电机厂集团长瑞有限公司 | Method and system for virtually controlling multiple motor groups to perform power energy storage configuration |
| CN117713035A (en)* | 2023-10-10 | 2024-03-15 | 中国科学院地理科学与资源研究所 | A power consumption analysis method for fluctuating power sources taking into account spatial topology |
| CN117713035B (en)* | 2023-10-10 | 2025-07-25 | 中国科学院地理科学与资源研究所 | Power consumption analysis method of fluctuation power supply considering space topology |
| CN119093508A (en)* | 2024-08-27 | 2024-12-06 | 东北电力大学 | A peak-shaving layered optimization control method for thermal power units assisted by energy storage clusters |
| Publication | Publication Date | Title |
|---|---|---|
| CN115189423A (en) | A multi-energy coordinated optimal scheduling method and device for wind-fire storage system | |
| CN116667395B (en) | Capacity allocation method for water-wind-solar-energy-storage complementary pump station based on cascade hydropower transformation | |
| CN113205273A (en) | Low-carbon power supply planning method and system considering off-site electric energy transaction | |
| CN114389262B (en) | Regional power grid dispatching method based on robust optimization in elastic environment | |
| CN112186734B (en) | Medium-and-long-term operation simulation method for power system, storage medium and computing equipment | |
| CN118281865A (en) | Multi-time-scale scheduling optimization method and system for regional power grid | |
| CN108683211B (en) | A Combination Optimization Method and Model of Virtual Power Plant Considering Distributed Power Volatility | |
| CN117879063A (en) | Water-wind-light resource distribution robust optimal configuration method, device, equipment and medium | |
| CN109687441A (en) | A kind of independent micro-capacitance sensor flexibility resource capacity configuration method based on scene decomposition-coordination | |
| CN111082424B (en) | Method and device for predicting reliability of comprehensive energy and microgrid system | |
| CN115313441A (en) | A new energy station energy storage configuration calculation method, system, medium and equipment | |
| CN118589495B (en) | Energy planning method, device, equipment and medium for power system | |
| CN119787309A (en) | Method, device and storage medium for evaluating the new energy consumption capacity of a park based on power generation cost and prediction error | |
| CN119168339A (en) | Energy interconnection intelligent management control method, device, computer equipment and medium | |
| CN118095796B (en) | IES adjustable capability assessment method, device, equipment and medium based on conditional risk value | |
| CN119051033A (en) | Optimal scheduling method and device for wind-solar energy storage pumping and accumulating combined system | |
| CN116961124B (en) | Electric power system rapid production simulation method integrating rules and optimization algorithm | |
| Ma et al. | Two-stage optimal dispatching based on wind-photovoltaic-pumped storage-thermal power combined power generation system | |
| CN117060396A (en) | Day-ahead optimal operation method of wind-solar-fire-storage multi-energy power system | |
| CN117526282A (en) | Source-load coordination optimization method for power system and related system | |
| Pan et al. | Energy storage system planning based on cost analysis in distribution network | |
| CN116316740B (en) | Energy storage replacing thermal power capacity efficiency calculation method considering new energy influence | |
| Chen et al. | Coordinated source-grid-storage planning of high renewable energy proportion power system based on refined operation simulation | |
| CN116454931A (en) | Novel energy storage optimization method, device, terminal and storage medium for power system | |
| CN119253686A (en) | Energy storage system benefit evaluation method considering the uncertainty of renewable energy output |
| Date | Code | Title | Description |
|---|---|---|---|
| PB01 | Publication | ||
| PB01 | Publication | ||
| SE01 | Entry into force of request for substantive examination | ||
| SE01 | Entry into force of request for substantive examination |