






技术领域technical field
本申请涉及计算机仿真技术领域,具体涉及一种挖掘机作业仿真方法、装置及服务器。The present application relates to the technical field of computer simulation, and in particular to a method, device and server for excavator operation simulation.
背景技术Background technique
随着自动驾驶技术的发展,能够控制挖掘机进行无人化作业以及智能化作业的智能控制系统得到广泛应用。为了提高挖掘机作业过程的控制精度,智能控制系统往往需要通过大量的强化训练,考虑到训练效率和训练成本,强化训练过程中所用到的训练数据通常是通过仿真方法获得的。With the development of autonomous driving technology, intelligent control systems that can control excavators to perform unmanned and intelligent operations have been widely used. In order to improve the control accuracy of the excavator operation process, the intelligent control system often needs to pass a lot of intensive training. Considering the training efficiency and training cost, the training data used in the intensive training process is usually obtained through simulation methods.
现有技术中,挖掘机作业仿真通常结合多种算法协同实现,比如有限元算法、多体力学以及离散元算法等,虽然通过多种算法进行协同仿真的结果可信度极高,但仿真过程耗时极长,训练数据的输出效率低下,加之智能控制系统所需训练数据的数据量巨大,现有技术已经难以满足智能控制系统的训练需求。In the prior art, excavator operation simulation is usually implemented in conjunction with a variety of algorithms, such as finite element algorithm, multi-body mechanics, and discrete element algorithm. It takes a long time, the output efficiency of training data is low, and the amount of training data required by the intelligent control system is huge, and the existing technology has been difficult to meet the training requirements of the intelligent control system.
发明内容SUMMARY OF THE INVENTION
有鉴于此,本申请致力于提供一种挖掘机作业仿真方法,有效缩短仿真过程耗时,提高训练数据的输出效率,满足实际训练需求。In view of this, the present application is devoted to providing an excavator operation simulation method, which can effectively shorten the time-consuming of the simulation process, improve the output efficiency of training data, and meet the actual training needs.
第一方面,本申请提供一种挖掘机作业仿真方法,包括:In a first aspect, the present application provides an excavator operation simulation method, including:
获取挖掘机的目标挖掘深度;Get the target digging depth of the excavator;
基于所述目标挖掘深度和预设映射关系,确定目标铲斗负载力;determining the target bucket load force based on the target excavation depth and the preset mapping relationship;
其中,所述预设映射关系中记录有挖掘深度与铲斗负载力之间的对应关系;Wherein, the preset mapping relationship records the corresponding relationship between the excavation depth and the bucket load force;
在所述挖掘机的预设仿真环境中,基于所述目标挖掘深度以及所述目标铲斗负载力模拟所述挖掘机作业。In a preset simulation environment of the excavator, the excavator operation is simulated based on the target excavation depth and the target bucket load force.
在一种可能的实施方式中,确定所述预设映射关系的过程,包括:In a possible implementation manner, the process of determining the preset mapping relationship includes:
获取所述挖掘机的多组作业数据,其中,所述作业数据包括所述挖掘机的挖掘深度和铲斗负载力;acquiring multiple sets of operation data of the excavator, wherein the operation data includes the digging depth and bucket load force of the excavator;
基于预设数据解析算法解析所述作业数据,得到挖掘深度与铲斗负载力之间的预设映射关系。The operation data is analyzed based on a preset data analysis algorithm, and a preset mapping relationship between the excavation depth and the bucket load force is obtained.
在一种可能的实施方式中,所述预设数据解析算法是最小二乘法、高斯拟合以及局部最小二乘法中的任意一种。In a possible implementation manner, the preset data analysis algorithm is any one of least squares method, Gaussian fitting and local least squares method.
在一种可能的实施方式中,获取所述挖掘机的多组作业数据,包括:In a possible implementation manner, acquiring multiple sets of operation data of the excavator includes:
构建所述挖掘机的上车结构模型、铲斗网络模型以及土壤颗粒模型;Construct the upper structure model, bucket network model and soil particle model of the excavator;
基于所述上车结构模型、所述铲斗网络模型以及所述土壤颗粒模型,模拟所述挖掘机作业;simulating the excavator operation based on the upper vehicle structure model, the bucket network model and the soil particle model;
在模拟所述挖掘机作业过程中采集多组所述作业数据。During the process of simulating the operation of the excavator, a plurality of sets of the operation data are collected.
在一种可能的实施方式中,所述上车结构模型基于多体力学仿真算法构建;In a possible implementation manner, the upper vehicle structure model is constructed based on a multi-body mechanics simulation algorithm;
所述铲斗网络模型基于有限元仿真算法构建;The bucket network model is constructed based on a finite element simulation algorithm;
所述土壤颗粒模型基于离散元仿真算法构建。The soil particle model is constructed based on discrete element simulation algorithm.
在一种可能的实施方式中,所述铲斗负载力包括铲斗齿尖负载力和铲斗中心负载力。In a possible implementation, the bucket load force includes bucket tooth tip load force and bucket center load force.
在一种可能的实施方式中,本发明第一方面提供的挖掘机作业仿真方法,还包括:In a possible implementation, the excavator operation simulation method provided by the first aspect of the present invention further includes:
在基于所述目标挖掘深度以及所述目标铲斗负载力模拟所述挖掘机作业的过程中,采集用于训练智能驾驶系统的训练数据。During the process of simulating the excavator operation based on the target digging depth and the target bucket load force, training data for training the intelligent driving system is collected.
第二方面,本发明提供一种挖掘机作业仿真装置,包括:In a second aspect, the present invention provides an excavator operation simulation device, comprising:
第一获取单元,用于获取挖掘机的目标挖掘深度;a first obtaining unit, used for obtaining the target digging depth of the excavator;
确定单元,用于基于所述目标挖掘深度和预设映射关系,确定目标铲斗负载力;a determining unit, configured to determine the target bucket load force based on the target excavation depth and the preset mapping relationship;
其中,所述预设映射关系中记录有挖掘深度与铲斗负载力之间的对应关系;Wherein, the preset mapping relationship records the corresponding relationship between the excavation depth and the bucket load force;
仿真单元,用于在所述挖掘机的预设仿真环境中,基于所述目标挖掘深度以及所述目标铲斗负载力模拟所述挖掘机作业。A simulation unit, configured to simulate the excavator operation based on the target excavation depth and the target bucket load force in a preset simulation environment of the excavator.
在一种可能的实施方式中,本发明第二方面提供的挖掘机作业仿真装置,还包括:In a possible implementation, the excavator operation simulation device provided by the second aspect of the present invention further includes:
第二获取单元,用于获取所述挖掘机的多组作业数据,其中,所述作业数据包括所述挖掘机的挖掘深度和铲斗负载力;a second acquiring unit, configured to acquire multiple sets of operation data of the excavator, wherein the operation data includes the excavation depth and bucket load force of the excavator;
创建单元,用于基于预设数据解析算法解析所述作业数据,得到挖掘深度与铲斗负载力之间的预设映射关系。The creation unit is configured to analyze the operation data based on a preset data analysis algorithm to obtain a preset mapping relationship between the digging depth and the bucket load force.
第三方面,本发明提供一种服务器,包括:存储器和处理器;所述存储器存储有适于所述处理器执行的程序,以实现本发明第一方面任一项所述的挖掘机作业仿真方法。In a third aspect, the present invention provides a server, comprising: a memory and a processor; the memory stores a program suitable for the processor to execute, so as to realize the excavator operation simulation described in any one of the first aspect of the present invention method.
基于上述内容,本申请提供的挖掘机作业仿真方法,在获取挖掘机的目标挖掘深度之后,基于目标挖掘深度和预设映射关系,确定挖掘机铲斗的目标铲斗负载力,最终在挖掘机的预设仿真环境中,基于目标挖掘深度以及目标铲斗负载力模拟挖掘机作业。由于本方法提供的预设映射关系中记录有挖掘深度与铲斗负载力之间的对应关系,目标挖掘深度以及相应的目标铲斗负载力的获取过程,不再依赖于有限元算法以及离散元算法,进而极大的整个简化仿真过程,与现有技术中多种算法结合、协同仿真的方法相比,可以有效缩短仿真过程耗时,有助于提高训练数据的输出效率,进而满足实际的训练需求。Based on the above content, in the excavator operation simulation method provided by the present application, after the target excavation depth of the excavator is obtained, the target bucket load force of the excavator bucket is determined based on the target excavation depth and the preset mapping relationship, and finally the excavator In the preset simulation environment of , the excavator operation is simulated based on the target excavation depth and the target bucket load force. Since the preset mapping relationship provided by this method records the corresponding relationship between the excavation depth and the bucket load force, the acquisition process of the target excavation depth and the corresponding target bucket load force no longer depends on the finite element algorithm and discrete element Compared with the method of combining multiple algorithms and co-simulation in the prior art, it can effectively shorten the time-consuming of the simulation process, help to improve the output efficiency of training data, and then meet the actual requirements. training needs.
附图说明Description of drawings
为了更清楚地说明本发明实施例或现有技术中的技术方案,下面将对实施例或现有技术描述中所需要使用的附图作简单地介绍,显而易见地,下面描述中的附图是本发明的一些实施例,对于本领域普通技术人员来讲,在不付出创造性劳动的前提下,还可以根据这些附图获得其他的附图。In order to more clearly illustrate the embodiments of the present invention or the technical solutions in the prior art, the following briefly introduces the accompanying drawings that need to be used in the description of the embodiments or the prior art. Obviously, the drawings in the following description are For some embodiments of the present invention, for those of ordinary skill in the art, other drawings can also be obtained according to these drawings without any creative effort.
图1是本发明实施例提供的一种挖掘机作业仿真方法的流程图。FIG. 1 is a flowchart of an excavator operation simulation method provided by an embodiment of the present invention.
图2是本发明实施例提供的一种挖掘机作业场景示意图。FIG. 2 is a schematic diagram of an excavator working scene provided by an embodiment of the present invention.
图3是本发明实施例提供的一种预设映射关系获取方法的流程图。FIG. 3 is a flowchart of a method for obtaining a preset mapping relationship according to an embodiment of the present invention.
图4是本发明实施例提供的一种挖掘机作业仿真装置的结构框图。FIG. 4 is a structural block diagram of an excavator operation simulation device provided by an embodiment of the present invention.
图5是本发明实施例提供的另一种挖掘机作业仿真装置的结构框图。FIG. 5 is a structural block diagram of another excavator operation simulation device provided by an embodiment of the present invention.
图6是本发明实施例提供的再一种挖掘机作业仿真装置的结构框图。FIG. 6 is a structural block diagram of still another excavator operation simulation device provided by an embodiment of the present invention.
图7是本发明实施例提供的一种服务器的结构框图。FIG. 7 is a structural block diagram of a server provided by an embodiment of the present invention.
具体实施方式Detailed ways
下面将结合本申请实施例中的附图,对本申请实施例中的技术方案进行清楚、完整地描述,显然,所描述的实施例仅是本申请一部分实施例,而不是全部的实施例。基于本申请中的实施例,本领域普通技术人员在没有做出创造性劳动前提下所获得的所有其他实施例,都属于本申请保护的范围。The technical solutions in the embodiments of the present application will be clearly and completely described below with reference to the accompanying drawings in the embodiments of the present application. Obviously, the described embodiments are only a part of the embodiments of the present application, but not all of the embodiments. Based on the embodiments in the present application, all other embodiments obtained by those of ordinary skill in the art without creative efforts shall fall within the protection scope of the present application.
在实际应用中,挖掘机有可能需要在比较复杂的作业环境下作业,比如塌方、地震、核事故、火灾等人类无法进入或不宜靠近的作业环境,为满足复杂作业环境下的作业需求,完成预期的生产建设、灾后救助等作业任务,同时,还要确保作业人员的人身安全,近年来,能够进行无人化作业以及智能化作业的挖掘机得到越来越广泛的应用。In practical applications, excavators may need to operate in relatively complex operating environments, such as landslides, earthquakes, nuclear accidents, fires and other operating environments that humans cannot enter or should not approach. The expected production and construction, post-disaster rescue and other operational tasks, at the same time, it is necessary to ensure the personal safety of the operators. In recent years, excavators that can perform unmanned and intelligent operations have been more and more widely used.
而为了实现挖掘机无人化作业以及智能化作业,用于控制挖掘机作业过程的智能控制系统必然是不可或缺的。在实际应用中,挖掘机的智能控制系统可以通过多种方式得到,比如基于神经网络或其他网络模型等,但不论基于何种方式,智能控制系统往往都需要通过大量的强化训练之后,才能达到预期的控制效果。In order to realize the unmanned operation and intelligent operation of excavators, the intelligent control system used to control the operation process of excavators must be indispensable. In practical applications, the intelligent control system of an excavator can be obtained in various ways, such as based on neural networks or other network models, but no matter what method is based, the intelligent control system often needs to pass a lot of intensive training before it can achieve expected control effect.
智能控制系统的训练,必然离不开大量的训练数据的支持。结合实际训练经验,采集挖掘机实际作业过程中的相关参数作为训练数据,不仅部分关键数据在采集方式上难以实现,而且由于需要实际操作挖掘机作业,需要耗费大量的人力和物力,因此,综合训练效率和训练成本两方面因素,强化训练过程中所用到的训练数据通常是通过仿真方法获得的。The training of the intelligent control system is inseparable from the support of a large amount of training data. Combined with actual training experience, collecting relevant parameters during the actual operation of the excavator as training data, not only is it difficult to collect some key data in the way of collection, but also requires a lot of manpower and material resources due to the need to actually operate the excavator. Training efficiency and training cost are two factors. The training data used in the reinforcement training process is usually obtained through simulation methods.
现有技术中,挖掘机作业仿真通常是结合多种算法协同实现,比如有限元算法、多体力学以及离散元算法等,虽然通过多种算法进行协同仿真的结果可信度极高,但仿真过程耗时极长,特别是训练过程中的关键数据,比如挖掘深度与铲斗负载力等数据的输出效率低下,加之智能控制系统所需训练数据的数据量巨大,现有技术已经难以满足智能控制系统的训练需求。In the prior art, excavator operation simulation is usually realized by combining multiple algorithms, such as finite element algorithm, multi-body mechanics and discrete element algorithm. The process takes a long time, especially the key data in the training process, such as the excavation depth and bucket load force, have low output efficiency, and the amount of training data required by the intelligent control system is huge. The training needs of the control system.
为解决上述问题,本发明提供一种挖掘机作业仿真方法,该方法提供一种预设映射关系,该预设映射关系中记录有挖掘深度与铲斗负载力之间的对应关系,挖掘机仿真过程中所需的目标挖掘深度以及相应的目标铲斗负载力的获取过程,不再依赖于有限元算法以及离散元算法,进而极大的简化仿真过程,与现有技术中多种算法结合、协同仿真的方法相比,可以有效缩短仿真过程耗时,有助于提高训练数据的输出效率,进而满足实际的训练需求。In order to solve the above problems, the present invention provides an excavator operation simulation method, the method provides a preset mapping relationship, and the preset mapping relationship records the corresponding relationship between the excavation depth and the bucket load force, and the excavator simulation The acquisition process of the required target excavation depth and the corresponding target bucket load force in the process no longer depends on the finite element algorithm and discrete element algorithm, which greatly simplifies the simulation process, and combines with various algorithms in the prior art. Compared with the method of co-simulation, it can effectively shorten the time-consuming of the simulation process, help to improve the output efficiency of training data, and then meet the actual training needs.
基于上述内容,参见图1,图1是本发明实施例提供的一种挖掘机作业仿真方法的流程图,如图1所示,本实施例提供的挖掘机作业仿真方法的流程,可以包括:Based on the above content, referring to FIG. 1, FIG. 1 is a flowchart of an excavator operation simulation method provided by an embodiment of the present invention. As shown in FIG. 1, the process flow of the excavator operation simulation method provided by this embodiment may include:
S100、获取挖掘机的目标挖掘深度。S100. Obtain a target digging depth of the excavator.
结合智能控制系统的训练过程以及挖掘机的实际驾驶经验,挖掘机的挖掘深度,即挖掘机铲斗深入土壤的深度,对挖掘机铲斗以及挖掘机上车,甚至整台挖掘机的作业过程都有影响,特别是挖掘机铲斗,挖掘机的挖掘深度会直接影响挖掘机铲斗自身所承受的负载力。因此,在进行作业仿真过程中,首先需要获取挖掘机的目标挖掘深度。Combined with the training process of the intelligent control system and the actual driving experience of the excavator, the excavation depth of the excavator, that is, the depth of the excavator bucket into the soil, the operation process of the excavator bucket and the excavator, and even the entire excavator. All have an impact, especially the excavator bucket. The digging depth of the excavator will directly affect the load force that the excavator bucket itself bears. Therefore, in the process of operation simulation, it is first necessary to obtain the target excavation depth of the excavator.
在一些可能的实现方式中,可以根据训练需求,预设多个挖掘深度,相应的,本实施例中述及的目标挖掘深度,则可以是预设的多个挖掘深度中的任意一个。In some possible implementations, multiple excavation depths may be preset according to training requirements, and correspondingly, the target excavation depth mentioned in this embodiment may be any one of the preset multiple excavation depths.
在一些可能的实现方式中,可以进一步建立一个数据集,该数据集中包括前述预设的多个挖掘深度,在实际仿真的过程中,调用该数据集,进而可以获得所有的挖掘深度,将该数据集中的所有挖掘深度中的任意一个挖掘深度分别作为目标挖掘深度,即遍历该数据集,进而获得大量的训练数据。In some possible implementations, a data set may be further established, and the data set includes multiple preset mining depths. In the actual simulation process, the data set is called, and then all the mining depths can be obtained. Any one of all the mining depths in the data set is used as the target mining depth respectively, that is, the data set is traversed to obtain a large amount of training data.
在一些可能的实现方式中,目标挖掘深度还可以是用户在实际仿真过程中随机输入的挖掘深度。In some possible implementations, the target mining depth may also be the mining depth randomly input by the user in the actual simulation process.
当然,还可以通过其他方式获取挖掘机的目标挖掘深度,此处不再一一列举,在不超出本发明核心思想范围的前提下,同样属于本发明的保护范围内。Of course, the target excavation depth of the excavator can also be obtained in other ways, which will not be listed one by one here, but also fall within the protection scope of the present invention without exceeding the scope of the core idea of the present invention.
结合图2所示的仿真场景示意图,在一些可能的实现方式中,挖掘机的作业仿真基于多体力学仿真算法建立,此情况下,可以将仿真场景中坐标系Z轴的0点作为土壤表面,那么当挖掘机铲斗的Z轴坐标为负值时,对应的就是挖掘机铲斗的目标挖掘深度。基于此,通过给定挖掘机铲斗的Z轴坐标值,即设定了挖掘机的挖掘深度。Combined with the schematic diagram of the simulation scene shown in Figure 2, in some possible implementations, the operation simulation of the excavator is established based on the multi-body mechanics simulation algorithm. In this case, the 0 point of the Z axis of the coordinate system in the simulation scene can be used as the soil surface. , then when the Z-axis coordinate of the excavator bucket is negative, it corresponds to the target excavation depth of the excavator bucket. Based on this, the digging depth of the excavator is set by giving the Z-axis coordinate value of the excavator bucket.
S110、基于目标挖掘深度和预设映射关系,确定目标铲斗负载力。S110. Determine the target bucket load force based on the target excavation depth and the preset mapping relationship.
为了提高仿真效率,进而缩短智能控制系统训练过程的整体耗时,本发明实施例提供一种预设映射关系,该预设映射关系中记录有挖掘深度与铲斗负载力之间的对应关系,基于预设映射关系,可以确定任一挖掘深度对应的铲斗负载力。In order to improve the simulation efficiency and thereby shorten the overall time-consuming of the training process of the intelligent control system, an embodiment of the present invention provides a preset mapping relationship, in which the preset mapping relationship records the corresponding relationship between the excavation depth and the bucket load force, Based on the preset mapping relationship, the bucket load force corresponding to any digging depth can be determined.
基于此,在经过前述步骤得到目标挖掘深度之后,基于该预设映射关系即可确定与目标挖掘深度对应的铲斗负载力,即目标铲斗负载力。Based on this, after the target excavation depth is obtained through the aforementioned steps, the bucket load force corresponding to the target excavation depth, that is, the target bucket load force, can be determined based on the preset mapping relationship.
需要说明的是,在实际应用中,预设映射关系可以有多种具体的实现方式:It should be noted that, in practical applications, the preset mapping relationship can be implemented in multiple specific ways:
在一种可能的实施方式中,预设映射关系以函数式实现,该函数式以挖掘机铲斗的挖掘深度为输入,以铲斗负载力为输出,基于此,获得目标挖掘深度之后,将目标挖掘深度输入该函数式,即可得到相应的目标铲斗负载力。In a possible implementation manner, the preset mapping relationship is implemented by a functional formula. The functional formula takes the digging depth of the excavator bucket as the input and the bucket load force as the output. Based on this, after the target digging depth is obtained, the The target digging depth is input into this function formula, and the corresponding target bucket load force can be obtained.
在另一种可能的实现方式中,预设映射关系以二维曲线图实现。具体的,该二维曲线图的横坐标为挖掘深度,相应的,纵坐标为铲斗负载力。在实际应用中,通过查询该二维曲线图,即可确定与目标挖掘深度对应的目标铲斗负载力。In another possible implementation manner, the preset mapping relationship is implemented as a two-dimensional curve graph. Specifically, the abscissa of the two-dimensional graph is the excavation depth, and correspondingly, the ordinate is the bucket load force. In practical applications, by querying the two-dimensional curve graph, the target bucket load force corresponding to the target excavation depth can be determined.
在另一种可能的实施方式中,预设映射关系以数组集合的形式实现,该数组集合中包括多个数组,且任一数组中均包括挖掘机的挖掘深度以及与该挖掘深度对应的铲斗负载力。在实际应用中,遍历该数组集合,筛选得到包含目标挖掘深度的组数,即得到目标数组,相应的,目标数组中包括的铲斗负载力即目标铲斗负载力。In another possible implementation, the preset mapping relationship is implemented in the form of an array set, the array set includes multiple arrays, and any array includes the digging depth of the excavator and the shovel corresponding to the digging depth Bucket load capacity. In practical applications, the array set is traversed, and the number of groups containing the target excavation depth is obtained by screening, that is, the target array is obtained. Correspondingly, the bucket load force included in the target array is the target bucket load force.
当然,本发明提供的预设映射关系,还可以通过其他方式实现,此处不再一一列举,在不超出本发明核心思想范围的情况下,同样属于本发明保护的范围内。至于预设映射关系的具体确定过程,将在后续内容中展开,此处暂不详述。Of course, the preset mapping relationship provided by the present invention can also be implemented in other ways, which will not be listed one by one here, and also fall within the protection scope of the present invention without exceeding the scope of the core idea of the present invention. As for the specific determination process of the preset mapping relationship, it will be expanded in the subsequent content, and will not be described in detail here.
进一步的,在实际应用中,挖掘机铲斗的铲斗负载力会因为铲斗结构形式的不同而包括具体不同的项目,以3齿尖铲斗为例,铲斗负载力可以包括齿尖负载力和铲斗中心负载力,也就是说,前述目标铲斗负载力包括目标齿尖负载力以及目标铲斗中心负载力,相应的,预设映射关系中记录的具体是挖掘深度与齿尖负载力以及铲斗中心负载力之间的对应关系。当然,铲斗负载力还可包括其他项目,此处不再一一列举,在不超出本发明核心思想范围的情况下,同样属于本发明保护的范围内。Further, in practical applications, the bucket load force of an excavator bucket will include different specific items due to different bucket structures. Taking a 3-tooth bucket as an example, the bucket load force may include the tooth tip load. force and bucket center load force, that is to say, the aforementioned target bucket load force includes the target tooth tip load force and the target bucket center load force. Correspondingly, what is recorded in the preset mapping relationship is the digging depth and the tooth tip load. The corresponding relationship between the force and the bucket center load force. Of course, the bucket load force may also include other items, which will not be listed one by one here, and also fall within the protection scope of the present invention without departing from the scope of the core idea of the present invention.
S120、在挖掘机的预设仿真环境中,基于目标挖掘深度以及目标铲斗负载力模拟挖掘机作业。S120. In the preset simulation environment of the excavator, simulate the excavator operation based on the target excavation depth and the target bucket load force.
如前所述,铲斗负载力和挖掘深度是挖掘机仿真过程中的关键参数,在经过前述步骤确定挖掘机的目标挖掘深度以及相对应的目标铲斗负载力之后,即可在挖掘机的预设仿真环境中,基于目标挖掘深度以及目标铲斗负载力模拟挖掘机作业。As mentioned above, the bucket load force and digging depth are the key parameters in the excavator simulation process. In the preset simulation environment, the excavator operation is simulated based on the target excavation depth and the target bucket load force.
在一种可能的实施方式中,预设仿真环境可以基于多体力学仿真算法构建,在此情况下,还可以简化前述目标挖掘深度的获取过程,直接在预设仿真环境中获取即可。In a possible implementation, the preset simulation environment may be constructed based on a multi-body mechanics simulation algorithm. In this case, the acquisition process of the aforementioned target excavation depth may also be simplified, and may be obtained directly in the preset simulation environment.
需要说明的是,基于目标挖掘深度以及目标铲斗负载力模拟挖掘机作业的具体实现方式,可以参照相关技术实现,本发明对此不做限定。本发明的关键在于提供一种更为简单、快捷的目标挖掘深度以及与之对应的目标铲斗负载力的确定方法。It should be noted that the specific implementation manner of simulating the excavator operation based on the target excavation depth and the target bucket load force can be realized by referring to the related art, which is not limited in the present invention. The key of the present invention is to provide a simpler and faster method for determining the target excavation depth and the corresponding target bucket load force.
可选的,在基于目标挖掘深度以及目标铲斗负载力模拟所述挖掘机作业的过程中,即可采集用于训练智能驾驶系统的训练数据。当然,对于训练数据的具体内容以及具体的采集方式,均可以参照相关技术实现,本发明对此亦不做具体限定。Optionally, in the process of simulating the excavator operation based on the target digging depth and the target bucket load force, training data for training the intelligent driving system may be collected. Of course, the specific content of the training data and the specific collection method can be implemented with reference to the related art, which is not specifically limited in the present invention.
综上所述,由于本方法提供的预设映射关系中记录有挖掘深度与铲斗负载力之间的对应关系,目标挖掘深度以及相应的目标铲斗负载力的获取过程,不再依赖于有限元算法以及离散元算法,进而极大的整个简化仿真过程,与现有技术中多种算法结合、协同仿真的方法相比,可以有效缩短仿真过程耗时,有助于提高训练数据的输出效率,进而满足实际的训练需求。To sum up, since the preset mapping relationship provided by this method records the corresponding relationship between the excavation depth and the bucket load force, the acquisition process of the target excavation depth and the corresponding target bucket load force no longer depends on the limited Compared with the method of combining multiple algorithms and co-simulation in the prior art, it can effectively shorten the time-consuming of the simulation process and help improve the output efficiency of training data. , so as to meet the actual training needs.
下面对前述预设映射关系的获取过程进行介绍。The following describes the acquisition process of the foregoing preset mapping relationship.
参见图3,图3是本发明实施例提供的一种预设映射关系获取方法的流程图,如图3所示,获取预设映射关系的流程,可以包括:Referring to FIG. 3, FIG. 3 is a flowchart of a method for obtaining a preset mapping relationship provided by an embodiment of the present invention. As shown in FIG. 3, the process for obtaining a preset mapping relationship may include:
S200、获取挖掘机的多组作业数据。S200. Acquire multiple sets of operation data of the excavator.
基于前述内容,本实施例述及的作业数据包括挖掘机的挖掘深度和铲斗负载力,当然,铲斗负载力可以进一步包括齿尖负载力以及铲斗中心负载力,具体可参照前述内容,此处不再复述。Based on the foregoing content, the operation data mentioned in this embodiment includes the digging depth of the excavator and the bucket load force. Of course, the bucket load force may further include the tooth tip load force and the bucket center load force. For details, please refer to the foregoing content. It will not be repeated here.
挖掘机在实际作业过程中,挖掘机铲斗负载力是难以采集的,而且数据的准确性受环境影响非常大,因此,在获取预设映射关系的过程中,挖掘机的铲斗负载力仍然需要通过仿真的方式获得。During the actual operation of the excavator, it is difficult to collect the bucket load of the excavator, and the accuracy of the data is greatly affected by the environment. Therefore, in the process of obtaining the preset mapping relationship, the bucket load of the excavator is still It needs to be obtained by means of simulation.
为了获取挖掘机的作业数据,需要建立多个仿真模型,至少包括挖掘机的上车结构模型、铲斗网络模型以及土壤颗粒模型。In order to obtain the operation data of the excavator, multiple simulation models need to be established, at least including the structure model of the excavator on the vehicle, the bucket network model and the soil particle model.
在一种可能的实施方式中,前述上车结构模型可以基于多体力学仿真算法构建,铲斗网络模型可以基于有限元仿真算法构建,土壤颗粒模型则基于离散元仿真算法构建。当然,在实际应用中,还可以通过其他方法构建前述相应模型,此处不再详述。In a possible implementation manner, the aforementioned structure model of the upper vehicle may be constructed based on a multi-body mechanics simulation algorithm, the bucket network model may be constructed based on a finite element simulation algorithm, and the soil particle model may be constructed based on a discrete element simulation algorithm. Of course, in practical applications, the foregoing corresponding models may also be constructed by other methods, which will not be described in detail here.
可以理解的是,前述各个模型可以在确定预设映射关系前构建完毕,在确定预设映射关系时直接调用,也可以在确定映射关系的过程中构建,本发明对此不做限定。It can be understood that the aforementioned models can be constructed before the preset mapping relationship is determined, and directly invoked when the preset mapping relationship is determined, or can be constructed during the process of determining the mapping relationship, which is not limited in the present invention.
基于前述各个模型,即可模拟挖掘机的作业过程,并在模拟挖掘机作业过程中采集多组作业数据。Based on the aforementioned models, the operation process of the excavator can be simulated, and multiple sets of operation data can be collected during the simulated operation of the excavator.
需要说明的是,基于上车结构模型、铲斗网络模型以及土壤颗粒模型,模拟挖掘机作业并在模拟挖掘机作业过程中采集作业数据的具体实现,均可以参照相关技术实现,本发明对此不做限定。It should be noted that, based on the structure model of the vehicle, the bucket network model and the soil particle model, the specific realization of simulating the excavator operation and collecting the operation data in the process of simulating the excavator operation can all be realized with reference to the relevant technology, and the present invention is related to this. Not limited.
S210、基于预设数据解析算法解析作业数据,得到挖掘深度与铲斗负载力之间的预设映射关系。S210. Analyze the operation data based on a preset data analysis algorithm to obtain a preset mapping relationship between the digging depth and the bucket load force.
得到多组作业数据之后,即可基于预设数据分析算法对所得作业数据进行解析,最终得到挖掘深度与铲斗负载力之间的预设映射关系。After multiple sets of operation data are obtained, the obtained operation data can be analyzed based on a preset data analysis algorithm, and finally a preset mapping relationship between the digging depth and the bucket load force is obtained.
可选的,本实施例述及的预设数据解析算法可以是最小二乘法、高斯拟合以及局部最小二乘法中的任意一种。需要说明的是,相较于最小二乘法,采用高斯拟合或局部最小二乘法确定预设映射关系,所需要的作业数据的量更多一些。Optionally, the preset data analysis algorithm mentioned in this embodiment may be any one of least squares method, Gaussian fitting and local least squares method. It should be noted that, compared with the least squares method, using the Gaussian fitting or the local least squares method to determine the preset mapping relationship requires a larger amount of job data.
下面以最小二乘法为例,说明预设映射关系的确定过程:The following takes the least squares method as an example to illustrate the process of determining the preset mapping relationship:
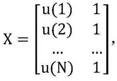
挖掘机铲斗的挖掘深度与铲斗负载力之间为线性关系,可采用如下公式(1)表示:There is a linear relationship between the digging depth of the excavator bucket and the bucket load force, which can be expressed by the following formula (1):
y=[u 1]·θ (1)y=[u 1]·θ (1)
其中,y表示铲斗负载力;Among them, y represents the bucket load force;
u1表示挖掘深度;u1 represents the excavation depth;
θ表示挖掘深度与铲斗负载力之间的线性比例关系。θ represents the linear proportional relationship between digging depth and bucket load force.
基于此,经过前述步骤,获取所得的作业数据可以表示为:(u(k),y(k)),k=1,2,…,N,其中,N为作业数据的总数量。Based on this, after the aforementioned steps, the obtained job data can be expressed as: (u(k), y(k)), k=1, 2, . . . , N, where N is the total number of job data.
进一步的,提供如公式(2)所示的损失函数:Further, a loss function as shown in formula (2) is provided:
其中,J表示损失函数;Among them, J represents the loss function;
y(k)为作业数据中挖掘机的铲斗负载力;y(k) is the bucket load force of the excavator in the operation data;
为预估的铲斗负载力。 is the estimated bucket load.
由于上面的损失函数是凸函数,令损失函数的导数为0的θ,即可使损失函数的值最小,因此,对于上面的损失函数通过最小二乘法进行优化求解,即可得到θ的表达式:Since the above loss function is a convex function, the value of the loss function can be minimized by setting the derivative of the loss function to 0 of 0. Therefore, the above loss function can be optimized and solved by the least square method, and the expression of θ can be obtained. :
θ=(XTX)-1XTY (3)θ=(XT X)-1 XT Y (3)
其中,X为各作业数据中挖掘深度组成的矩阵;in, X is a matrix composed of mining depths in each job data;
Y=[y(1),y(2),…,y(N)]T,Y为各作业数据中铲斗负载力组成的矩阵。Y=[y(1), y(2), . . . , y(N)]T , where Y is a matrix composed of bucket load forces in each work data.
至此,基于公式(3)所得线性比例,即可得到公式(1)的具体构成,即得到前述预设映射关系。So far, based on the linear ratio obtained by the formula (3), the specific structure of the formula (1) can be obtained, that is, the aforementioned preset mapping relationship can be obtained.
可以理解的是,在确定预设映射关系的过程中,需要通过多种算法协同仿真才能获取挖掘机的铲斗负载力,也就是说,获取作业数据的过程需要耗费的时间较长,但是,一旦基于作业数据确定预设映射关系,在后续进行挖掘机作业仿真的过程中,直接调用该预设映射关系即可,不必再通过多种算法协同仿真来获取铲斗负载力,与现有技术中每次仿真都要采用多种算法进行协同仿真才能获取铲斗负载力的方式相比,本实施例提供的方法仍然可以有效缩短仿真耗时,提高训练数据的输出效率,进而满足实际训练需求。It can be understood that in the process of determining the preset mapping relationship, it is necessary to obtain the bucket load force of the excavator through co-simulation of multiple algorithms. That is to say, the process of obtaining the operation data takes a long time. However, Once the preset mapping relationship is determined based on the operation data, in the subsequent process of excavator operation simulation, the preset mapping relationship can be called directly, and it is no longer necessary to obtain the bucket load force through the co-simulation of multiple algorithms, which is consistent with the prior art. Compared with the method in which each simulation requires the use of multiple algorithms for co-simulation to obtain the bucket load force, the method provided in this embodiment can still effectively shorten the simulation time, improve the output efficiency of training data, and then meet the actual training needs. .
下面对本发明提供的挖掘机作业仿真装置进行介绍,本发明提供的挖掘机作业仿真装置,与本申请实施例所提供的挖掘机作业仿真方法属于同一申请构思,可执行本申请任意实施例所提供的挖掘机作业仿真方法,具备执行挖掘机作业仿真方法相应的功能模块和有益效果。未在本实施例中详尽描述的技术细节,可参见本申请实施例提供的挖掘机作业仿真方法,此处不再加以赘述。The excavator operation simulation device provided by the present invention will be introduced below. The excavator operation simulation device provided by the present invention belongs to the same application concept as the excavator operation simulation method provided by the embodiment of the present application, and can execute any embodiment of the present application. The excavator operation simulation method has corresponding functional modules and beneficial effects for executing the excavator operation simulation method. For technical details that are not described in detail in this embodiment, reference may be made to the excavator operation simulation method provided by the embodiment of the present application, which will not be repeated here.
参见图4,图4是本发明实施例提供一种挖掘机作业仿真装置的结构框图,本发明提供的挖掘机作业仿真装置,包括:Referring to FIG. 4, FIG. 4 is a structural block diagram of an excavator operation simulation device provided by an embodiment of the present invention. The excavator operation simulation device provided by the present invention includes:
第一获取单元10,用于获取挖掘机的目标挖掘深度;The first obtaining
确定单元20,用于基于目标挖掘深度和预设映射关系,确定目标铲斗负载力;a
其中,预设映射关系中记录有挖掘深度与铲斗负载力之间的对应关系;Wherein, the preset mapping relationship records the corresponding relationship between the excavation depth and the bucket load force;
仿真单元30,用于在挖掘机的预设仿真环境中,基于目标挖掘深度以及目标铲斗负载力模拟挖掘机作业。The
可选的,参见图5,图5是本发明实施例提供的另一种挖掘机作业仿真装置的结构框图,在图4所示实施例提供的仿真装置的基础上,本实施例提供的挖掘机作业仿真装置,还包括:Optionally, referring to FIG. 5, FIG. 5 is a structural block diagram of another excavator operation simulation device provided by an embodiment of the present invention. On the basis of the simulation device provided by the embodiment shown in FIG. The machine operation simulation device also includes:
采集单元40,用于在基于目标挖掘深度以及目标铲斗负载力模拟挖掘机作业的过程中,采集用于训练智能驾驶系统的训练数据。The
可选的,参见图6,图6是本发明实施例提供的再一种挖掘机作业仿真装置的结构框图,在图4所示实施例提供的仿真装置的基础上,本实施例提供的仿真装置,还包括:Optionally, referring to FIG. 6, FIG. 6 is a structural block diagram of another excavator operation simulation device provided by an embodiment of the present invention. On the basis of the simulation device provided by the embodiment shown in FIG. 4, the simulation provided by this embodiment is device, which also includes:
第二获取单元50,用于获取挖掘机的多组作业数据,其中,作业数据包括挖掘机的挖掘深度和铲斗负载力;The second acquiring
创建单元60,用于基于预设数据解析算法解析作业数据,得到挖掘深度与铲斗负载力之间的预设映射关系。The creating
可选的,预设数据解析算法是最小二乘法、高斯拟合以及局部最小二乘法中的任意一种。Optionally, the preset data analysis algorithm is any one of least squares method, Gaussian fitting and local least squares method.
可选的,第二获取单元50,用于获取挖掘机的多组作业数据,包括:Optionally, the second obtaining
构建挖掘机的上车结构模型、铲斗网络模型以及土壤颗粒模型;Build the structure model of the excavator, the bucket network model and the soil particle model;
基于上车结构模型、铲斗网络模型以及土壤颗粒模型,模拟挖掘机作业;Based on the structure model of the vehicle, the bucket network model and the soil particle model, the excavator operation is simulated;
在模拟挖掘机作业过程中采集多组作业数据。Collect multiple sets of operation data during the simulated excavator operation.
可选的,上车结构模型基于多体力学仿真算法构建;Optionally, the boarding structure model is constructed based on a multi-body mechanics simulation algorithm;
铲斗网络模型基于有限元仿真算法构建;The bucket network model is constructed based on the finite element simulation algorithm;
土壤颗粒模型基于离散元仿真算法构建。The soil particle model is constructed based on discrete element simulation algorithm.
可选的,参见图7,图7为本发明实施例提供的服务器的结构框图,参见图7所示,可以包括:至少一个处理器100,至少一个通信接口200,至少一个存储器300和至少一个通信总线400。Optionally, see FIG. 7 , which is a structural block diagram of a server provided by an embodiment of the present invention. Referring to FIG. 7 , it may include: at least one
在本发明实施例中,处理器100、通信接口200、存储器300、通信总线400的数量为至少一个,且处理器100、通信接口200、存储器300通过通信总线400完成相互间的通信;显然,图7所示的处理器100、通信接口200、存储器300和通信总线400所示的通信连接示意仅是可选的。In this embodiment of the present invention, the number of the
可选的,通信接口200可以为通信模块的接口,如GSM模块的接口。Optionally, the
处理器100可能是一个中央处理器CPU,或者是特定集成电路ASIC(ApplicationSpecific Integrated Circuit),或者是被配置成实施本发明实施例的一个或多个集成电路。The
存储器300,存储有应用程序,可能包含高速RAM存储器,也可能还包括非易失性存储器(non-volatile memory),例如至少一个磁盘存储器。The
其中,处理器100具体用于执行存储器内的应用程序,以实现上述所述的挖掘机作业仿真方法的任一实施例。The
在一些实施例中,本实施例还提供了一种计算机可读存储介质,如软盘、光盘、硬盘、闪存、U盘、SD(Secure Digital Memory Card,安全数码卡)卡、MMC(Multimedia Card,多媒体卡)卡等,在该计算机可读存储介质中存储有实现上述各个步骤的一个或者多个指令,这一个或者多个指令被一个或者多个处理器执行时,使得所述处理器执行前文描述的挖掘机作业仿真方法。相关具体实现请参考前述描述,此处不过多赘述。In some embodiments, this embodiment also provides a computer-readable storage medium, such as a floppy disk, an optical disk, a hard disk, a flash memory, a U disk, an SD (Secure Digital Memory Card, secure digital card) card, an MMC (Multimedia Card, A multi-media card) card, etc., one or more instructions for implementing the above-mentioned steps are stored in the computer-readable storage medium, and when the one or more instructions are executed by one or more processors, the processor executes the preceding steps. Excavator job simulation method described. For related specific implementation, please refer to the foregoing description, which will not be repeated here.
除了上述方法和设备以外,本申请的实施例还可以是计算机程序产品,其包括计算机程序指令,计算机程序指令在被处理器运行时使得处理器执行本说明书上述内容中描述的根据本申请各种实施例的挖掘机作业仿真方法中的步骤。In addition to the above-mentioned methods and apparatuses, the embodiments of the present application may also be computer program products comprising computer program instructions that, when executed by a processor, cause the processor to execute the various methods described in the above-mentioned contents of this specification according to the present application. Steps in the excavator work simulation method of an embodiment.
计算机程序产品可以以一种或多种程序设计语言的任意组合来编写用于执行本申请实施例操作的程序代码,程序设计语言包括面向对象的程序设计语言,诸如Java、C++等,还包括常规的过程式程序设计语言,诸如“C”语言或类似的程序设计语言。程序代码可以完全地在用户计算设备上执行、部分地在用户设备上执行、作为一个独立的软件包执行、部分在用户计算设备上部分在远程计算设备上执行、或者完全在远程计算设备或服务器上执行。The computer program product may be written in any combination of one or more programming languages to write program codes for performing the operations of the embodiments of the present application. The programming languages include object-oriented programming languages, such as Java, C++, etc., as well as conventional procedural programming language, such as "C" language or similar programming language. The program code may execute entirely on the user computing device, partly on the user device, as a stand-alone software package, partly on the user computing device and partly on a remote computing device, or entirely on the remote computing device or server execute on.
本领域技术人员能够理解,本公开所披露的内容可以出现多种变型和改进。例如,以上所描述的各种设备或组件可以通过硬件实现,也可以通过软件、固件、或者三者中的一些或全部的组合实现。It will be understood by those skilled in the art that various modifications and improvements can occur to what is disclosed in this disclosure. For example, the various devices or components described above may be implemented by hardware, or by software, firmware, or a combination of some or all of the three.
此外,虽然本公开对根据本公开的实施例的系统中的某些单元做出了各种引用,然而,任何数量的不同单元可以被使用并运行在客户端和/或服务器上。单元仅是说明性的,并且系统和方法的不同方面可以使用不同单元。Furthermore, although this disclosure makes various references to certain elements in systems according to embodiments of the disclosure, any number of different elements may be used and run on clients and/or servers. The elements are illustrative only, and different aspects of the systems and methods may use different elements.
本公开中使用了流程图用来说明根据本公开的实施例的方法的步骤。应当理解的是,前面或后面的步骤不一定按照顺序来精确的进行。相反,可以按照倒序或同时处理各种步骤。同时,也可以将其他操作添加到这些过程中。Flow diagrams are used in this disclosure to illustrate the steps of methods according to embodiments of the present disclosure. It should be understood that the preceding or following steps are not necessarily performed in exact order. Rather, the various steps may be processed in reverse order or concurrently. Also, other actions can be added to these procedures.
本领域普通技术人员可以理解上述方法中的全部或部分的步骤可通过计算机程序来指令相关硬件完成,程序可以存储于计算机可读存储介质中,如只读存储器等。可选地,上述实施例的全部或部分步骤也可以使用一个或多个集成电路来实现。相应地,上述实施例中的各模块/单元可以采用硬件的形式实现,也可以采用软件功能模块的形式实现。本公开并不限制于任何特定形式的硬件和软件的结合。Those skilled in the art can understand that all or part of the steps in the above method can be completed by instructing relevant hardware through a computer program, and the program can be stored in a computer-readable storage medium, such as a read-only memory. Optionally, all or part of the steps in the above embodiments may also be implemented using one or more integrated circuits. Correspondingly, each module/unit in the above embodiments may be implemented in the form of hardware, or may be implemented in the form of software function modules. The present disclosure is not limited to any particular form of combination of hardware and software.
除非另有定义,这里使用的所有术语具有与本公开所属领域的普通技术人员共同理解的相同含义。还应当理解,诸如在通常字典里定义的那些术语应当被解释为具有与它们在相关技术的上下文中的含义相一致的含义,而不应用理想化或极度形式化的意义来解释,除非这里明确地这样定义。Unless otherwise defined, all terms used herein have the same meaning as commonly understood by one of ordinary skill in the art to which this disclosure belongs. It should also be understood that terms such as those defined in ordinary dictionaries should be construed as having meanings consistent with their meanings in the context of the related art, and should not be construed in an idealized or highly formalized sense unless explicitly stated herein defined as such.
以上是对本公开的说明,而不应被认为是对其的限制。尽管描述了本公开的若干示例性实施例,但本领域技术人员将容易地理解,在不背离本公开的优点的前提下可以对示例性实施例进行许多修改。因此,所有这些修改都意图包含在权利要求书所限定的本公开范围内。应当理解,上面是对本公开的说明,而不应被认为是限于所公开的特定实施例,并且对所公开的实施例以及其他实施例的修改意图包含在所附权利要求书的范围内。本公开由权利要求书及其等效物限定。The foregoing is illustrative of the present disclosure and should not be considered limiting thereof. Although several exemplary embodiments of the present disclosure have been described, those skilled in the art will readily appreciate that many modifications are possible in the exemplary embodiments without departing from the advantages of the present disclosure. Accordingly, all such modifications are intended to be included within the scope of this disclosure as defined by the claims. It is to be understood that the foregoing is a description of the present disclosure and is not to be considered limited to the particular embodiments disclosed, and that modifications to the disclosed embodiments, as well as other embodiments, are intended to be included within the scope of the appended claims. The present disclosure is defined by the claims and their equivalents.
| Application Number | Priority Date | Filing Date | Title |
|---|---|---|---|
| CN202210847234.4ACN115169190A (en) | 2022-07-19 | 2022-07-19 | Excavator operation simulation method, device and server |
| Application Number | Priority Date | Filing Date | Title |
|---|---|---|---|
| CN202210847234.4ACN115169190A (en) | 2022-07-19 | 2022-07-19 | Excavator operation simulation method, device and server |
| Publication Number | Publication Date |
|---|---|
| CN115169190Atrue CN115169190A (en) | 2022-10-11 |
| Application Number | Title | Priority Date | Filing Date |
|---|---|---|---|
| CN202210847234.4AWithdrawnCN115169190A (en) | 2022-07-19 | 2022-07-19 | Excavator operation simulation method, device and server |
| Country | Link |
|---|---|
| CN (1) | CN115169190A (en) |
| Publication number | Priority date | Publication date | Assignee | Title |
|---|---|---|---|---|
| CN118917022A (en)* | 2024-10-10 | 2024-11-08 | 浙江远算科技有限公司 | Non-uniform load force simulation processing method and system based on numerical calculation |
| Publication number | Priority date | Publication date | Assignee | Title |
|---|---|---|---|---|
| JPH06167036A (en)* | 1992-07-10 | 1994-06-14 | Yutani Heavy Ind Ltd | Automatic excavation controller for construction machinery |
| CN110382788A (en)* | 2017-03-22 | 2019-10-25 | 住友重机械工业株式会社 | Excavator, the managing device of excavator and assisting system |
| CN111027153A (en)* | 2019-12-12 | 2020-04-17 | 雷沃工程机械集团有限公司 | Excavator working device performance simulation calculation method based on VBA system |
| US20200131731A1 (en)* | 2017-07-05 | 2020-04-30 | Sumitomo Heavy Industries, Ltd. | Shovel |
| CN113865899A (en)* | 2021-08-27 | 2021-12-31 | 北京航空航天大学 | A method for monitoring working load spectrum of excavator based on model observer |
| Publication number | Priority date | Publication date | Assignee | Title |
|---|---|---|---|---|
| JPH06167036A (en)* | 1992-07-10 | 1994-06-14 | Yutani Heavy Ind Ltd | Automatic excavation controller for construction machinery |
| CN110382788A (en)* | 2017-03-22 | 2019-10-25 | 住友重机械工业株式会社 | Excavator, the managing device of excavator and assisting system |
| US20200011029A1 (en)* | 2017-03-22 | 2020-01-09 | Sumitomo Heavy Industries, Ltd. | Shovel, and management apparatus and assist device for shovel |
| US20200131731A1 (en)* | 2017-07-05 | 2020-04-30 | Sumitomo Heavy Industries, Ltd. | Shovel |
| CN111027153A (en)* | 2019-12-12 | 2020-04-17 | 雷沃工程机械集团有限公司 | Excavator working device performance simulation calculation method based on VBA system |
| CN113865899A (en)* | 2021-08-27 | 2021-12-31 | 北京航空航天大学 | A method for monitoring working load spectrum of excavator based on model observer |
| Title |
|---|
| 姬国强: ""装载机铲斗结构参数对其铲装性能的影响分析"", 《中国优秀硕士学位论文全文数据库(工程科技Ⅱ辑)》, no. 2019, 15 September 2019 (2019-09-15), pages 029 - 213* |
| 李二洋: ""大型矿用挖掘机结构与控制优化"", 《中国优秀硕士学位论文全文数据库(工程科技Ⅰ辑)》, no. 2019, 15 February 2019 (2019-02-15), pages 021 - 124* |
| 李玉奇: ""某型液压挖掘机行走架联接螺栓疲劳强度研究"", 《中国优秀硕士学位论文全文数据库(工程科技Ⅱ辑)》, no. 2021, 15 March 2021 (2021-03-15), pages 038 - 497* |
| Publication number | Priority date | Publication date | Assignee | Title |
|---|---|---|---|---|
| CN118917022A (en)* | 2024-10-10 | 2024-11-08 | 浙江远算科技有限公司 | Non-uniform load force simulation processing method and system based on numerical calculation |
| Publication | Publication Date | Title |
|---|---|---|
| CN110516325B (en) | CAE automatic simulation analysis method and system | |
| CN106066899B (en) | Method and system for simulating structural characteristics of reinforced concrete in finite element analysis | |
| US8046386B2 (en) | Partitioning for model-based design | |
| US20140122026A1 (en) | Self-testing Graphical Component Algorithm Specification | |
| CN102567172B (en) | For parallel workloads emulation mode and the system of application performance test | |
| CN118013703A (en) | Permeability analysis method, computer equipment and storage medium for rock shear process | |
| WO2024255436A1 (en) | Modeling method and apparatus for nodes in multivariate heterogeneous computing system, device, and medium | |
| WO2020005274A1 (en) | Tracking a topology optimization to construct an editable topology | |
| CN105912588A (en) | Visualization processing method and system for big data based on memory calculations | |
| CN115099095A (en) | Generating method of structural compliance matrix based on structural finite element model and related components | |
| WO2019168215A1 (en) | Automatic virtual wind tunnel system and automatic virtual wind tunnel analysis method | |
| CN114282752A (en) | Method and device for generating flow task, electronic equipment and storage medium | |
| CN113011072B (en) | Discrete element complex model identification method based on MIDAS-PFC3D | |
| CN115169190A (en) | Excavator operation simulation method, device and server | |
| WO2023193509A1 (en) | Engineering machinery equipment modeling method and apparatus | |
| CN114288665A (en) | Terrain construction method and device, electronic equipment and storage medium | |
| CN111950776A (en) | Business process optimization method, device, computer equipment and storage medium | |
| CN117631045B (en) | Method, device, terminal and medium for analyzing earthquake response of underground structure crossing fault | |
| CN118781566A (en) | A method, device, equipment and storage medium for determining the safe distance of a cave | |
| CN112861239A (en) | Method, system, device and storage medium for initially balancing ground stress of numerical model | |
| CN116415328B (en) | Calculation method and device for tunnel primary support construction position | |
| JP4790580B2 (en) | Model creation device, model creation method, and model creation program | |
| CN110286966A (en) | Method and device for docking multiple subsystems in embedded system | |
| CN116700700A (en) | A graphical algorithm programming tool | |
| CN116201596A (en) | Tunnel construction super-undermining analysis method, equipment, system and medium |
| Date | Code | Title | Description |
|---|---|---|---|
| PB01 | Publication | ||
| PB01 | Publication | ||
| SE01 | Entry into force of request for substantive examination | ||
| SE01 | Entry into force of request for substantive examination | ||
| WW01 | Invention patent application withdrawn after publication | ||
| WW01 | Invention patent application withdrawn after publication | Application publication date:20221011 |