




技术领域technical field
本发明涉及脑电数据采集技术领域,具体涉及一种视觉诱导虚拟现实晕动症生理数据采集方法及系统。The invention relates to the technical field of electroencephalogram data acquisition, in particular to a method and system for acquiring physiological data of visual induced virtual reality motion sickness.
背景技术Background technique
虚拟现实技术主要以计算机为基础,通过配合相关科技手段,可以在有限空间内构造与现实环境高度相似的视、听、触感等方面的虚拟环境,基于完备的数字化场景装置给用户带来较强的立体感和沉浸感,但也存在着视觉诱导虚拟现实晕动症的弊端。用户在体验以及应用过程中,可能会存在眩晕,继有恶心、面色苍白等症状。Virtual reality technology is mainly based on computers. By cooperating with relevant scientific and technological means, a virtual environment in terms of sight, hearing and touch that is highly similar to the real environment can be constructed in a limited space. The three-dimensional sense and immersion sense, but there are also the drawbacks of visually induced virtual reality motion sickness. Users may experience dizziness during the experience and application process, followed by nausea, paleness and other symptoms.
所以对于视觉诱导虚拟现实晕动症的评估、研究和检测也是必要的。现在对于视觉诱导虚拟现实晕动症的生理数据是解决该症状的前提和基础,同时也要保证数据的真实性、准确性和易采集性。但是目前对于数据采集的技术发展的还不够完善,现有采集口头报告时主观性较强,导致数据偏差较大,难以满足脑电数据与主观数据的关联对应。Therefore, it is also necessary for the evaluation, research and detection of visually induced virtual reality motion sickness. Now the physiological data for visually induced virtual reality motion sickness is the premise and basis for solving the symptom, and at the same time, the authenticity, accuracy and easy collection of the data must be ensured. However, the development of data collection technology is not perfect at present. The existing oral reports are highly subjective, resulting in large data deviations, and it is difficult to meet the correlation between EEG data and subjective data.
发明内容SUMMARY OF THE INVENTION
本发明的目的是针对现有技术存在的缺陷,提供一种视觉诱导虚拟现实晕动症生理数据采集方法及系统,利用口头报告结合问卷调查的方式来获取主观晕动症级别数据,通过当中的问题进行引导计算,获得相对客观的数据,主观偏差不大,结果与测试出的生理数据进行综合分析,使后续脑电数据分析的结果更全面,更具可信性。The purpose of the present invention is to aim at the defects of the prior art, to provide a visual induction virtual reality motion sickness physiological data collection method and system, use the oral report combined with the questionnaire to obtain the subjective motion sickness level data, through the middle The problem is guided and calculated to obtain relatively objective data, with little subjective deviation. The results are comprehensively analyzed with the measured physiological data, so that the results of subsequent EEG data analysis are more comprehensive and more credible.
本发明的目的是提供一种视觉诱导虚拟现实晕动症生理数据采集系统,采用以下方案:The purpose of this invention is to provide a kind of visual induction virtual reality motion sickness physiological data acquisition system, adopts the following scheme:
包括:include:
获取受试者在使用虚拟现实设备过程中诱发产生的脑电数据,依据受试者的口头报告和书面问卷采集主观虚拟现实晕动症级别数据;Obtain the EEG data induced by the subjects in the process of using the virtual reality equipment, and collect the subjective virtual reality motion sickness level data according to the subjects' oral reports and written questionnaires;
根据算法对脑电数据进行处理,获取异常值,依据异常值的标定,体现得到虚拟现实晕动症测试者的反应程度和时间节点;The EEG data is processed according to the algorithm to obtain abnormal values, and according to the calibration of the abnormal values, the response degree and time node of the virtual reality motion sickness tester are reflected;
关联主观虚拟现实晕动症级别数据与脑电数据,得到虚拟现实晕动症综合生理数据。Correlate subjective virtual reality motion sickness level data and EEG data to obtain virtual reality motion sickness comprehensive physiological data.
进一步地,对不同组受试者通过虚拟现实设备施加画面刺激并采集脑电数据。Further, different groups of subjects were subjected to image stimulation through virtual reality equipment and EEG data was collected.
进一步地,在使用虚拟现实设备过程中,获取受试者的口头报告,在采集脑电数据后,获取受试者的书面问卷。Further, in the process of using the virtual reality device, the oral report of the subject is obtained, and after the EEG data is collected, the written questionnaire of the subject is obtained.
进一步地,处理脑电数据包括:Further, processing the EEG data includes:
对原始脑电信号进行滤波和降噪;Filter and denoise the original EEG signal;
利用滑动窗对脑电信号进行分段,提取脑电信号特征;Use sliding window to segment the EEG signal and extract the EEG signal features;
通过假设检验对脑电信号的异常点进行实时监测并进行提取。The abnormal points of EEG signals are monitored and extracted in real time through hypothesis testing.
进一步地,采集多通道脑电信号,分别针对单个通道脑电信号进行滤波和降噪。Further, multi-channel EEG signals are collected, and filtering and noise reduction are performed for a single channel EEG signal respectively.
进一步地,所述脑电信号特征包括脑电信号的平均值、方差、标准差和短时傅里叶变换。Further, the EEG signal features include the mean value, variance, standard deviation and short-time Fourier transform of the EEG signal.
进一步地,对于不同指标特征采用零假设检验进行变化决策,利用高斯模型进行假设检验对脑电信号异常点进行实时监测。Further, the null hypothesis test is used to make change decisions for different index features, and the Gaussian model is used to test the hypothesis to monitor the abnormal points of EEG signals in real time.
进一步地,所述口头报告和书面问卷分别设定评价指标,对书面问卷的多项评价指标附加权重。Further, evaluation indicators are respectively set for the oral report and the written questionnaire, and weights are added to multiple evaluation indicators of the written questionnaire.
进一步地,采集对应大脑额叶、中央、顶叶、枕叶和颞叶的脑电数据。Further, EEG data corresponding to the frontal, central, parietal, occipital and temporal lobes of the brain are collected.
本发明的第二目的是提供一种视觉诱导虚拟现实晕动症生理数据采集系统,包括:The second object of the present invention is to provide a visual induction virtual reality motion sickness physiological data acquisition system, including:
数据获取模块,被配置为:获取受试者在使用虚拟现实设备过程中诱发产生的脑电数据,依据受试者的口头报告和书面问卷采集主观虚拟现实晕动症级别数据;The data acquisition module is configured to: acquire the EEG data induced by the subject in the process of using the virtual reality device, and collect the subjective virtual reality motion sickness level data according to the subject's oral report and written questionnaire;
预处理模块,被配置为:对脑电数据进行处理,获取异常值,依据异常值的标定,得到虚拟现实晕动症测试者的反应程度和时间节点;The preprocessing module is configured to: process the EEG data, obtain the abnormal value, and obtain the response degree and time node of the virtual reality motion sickness tester according to the calibration of the abnormal value;
数据关联模块,被配置为:关联主观虚拟现实晕动症级别数据与脑电数据,得到虚拟现实晕动症综合生理数据。The data correlation module is configured to: correlate the subjective virtual reality motion sickness level data and the EEG data to obtain the virtual reality motion sickness comprehensive physiological data.
与现有技术相比,本发明具有的优点和积极效果是:Compared with the prior art, the present invention has the following advantages and positive effects:
1.针对目前口头报告对主观晕动症级别反映效果差的问题,利用口头报告结合问卷调查的方式来获取主观晕动症级别数据,通过当中的问题进行引导计算,获得相对客观的数据,主观偏差不大,结果与测试出的生理数据进行综合分析,使后续脑电数据分析的结果更全面,更具可信性。1. Aiming at the problem that the current oral report has a poor effect on the subjective motion sickness level, use the oral report combined with the questionnaire to obtain the subjective motion sickness level data, and guide the calculation through the questions to obtain relatively objective data. The deviation is not large, and the results are comprehensively analyzed with the measured physiological data, so that the results of the subsequent EEG data analysis are more comprehensive and more credible.
2.通过对比模拟器眩晕感问卷与脑电图生理数据确定了脑电实验对虚拟现实晕动症评估的可靠性;非侵入式智能脑电系统已形成完整体系,模块化配置,可定制化,与侵入式脑电系统对比,对被试的身体伤害小,不适感大大降低,可以更加精确的获得原始数据;从可用性的标准来看,对脑电数据的收集与分析可以方便日后建立信息系统。2. The reliability of the EEG experiment in the assessment of virtual reality motion sickness was determined by comparing the simulator vertigo questionnaire and EEG physiological data; the non-invasive intelligent EEG system has formed a complete system, modular configuration, and can be customized Compared with the invasive EEG system, the physical damage to the subjects is less, the discomfort is greatly reduced, and the original data can be obtained more accurately; from the perspective of usability, the collection and analysis of EEG data can facilitate the establishment of information in the future. system.
附图说明Description of drawings
构成本发明的一部分的说明书附图用来提供对本发明的进一步理解,本发明的示意性实施例及其说明用于解释本发明,并不构成对本发明的不当限定。The accompanying drawings forming a part of the present invention are used to provide further understanding of the present invention, and the exemplary embodiments of the present invention and their descriptions are used to explain the present invention, and do not constitute an improper limitation of the present invention.
图1为本发明实施例1或2中视觉诱导虚拟现实晕动症生理数据采集所利用系统硬件的结构示意图。FIG. 1 is a schematic structural diagram of the system hardware used for the acquisition of physiological data of visually induced virtual reality motion sickness in Embodiment 1 or 2 of the present invention.
图2为本发明实施例1或2中视觉诱导虚拟现实晕动症生理数据采集的流程图。FIG. 2 is a flowchart of physiological data acquisition for visually induced virtual reality motion sickness in Embodiment 1 or 2 of the present invention.
图3为本发明实施例1或2中晕动症检测流程示意图。3 is a schematic diagram of a motion sickness detection process flow diagram in Embodiment 1 or 2 of the present invention.
图4为本发明实施例1或2中滤波后的脑电信号示意图。FIG. 4 is a schematic diagram of an EEG signal after filtering in Embodiment 1 or 2 of the present invention.
图5为本发明实施例1或2中视觉诱导虚拟现实晕动症生理数据采集方法输出波形图。5 is an output waveform diagram of the physiological data acquisition method for visually induced virtual reality motion sickness in Embodiment 1 or 2 of the present invention.
具体实施方式Detailed ways
实施例1Example 1
本发明的一个典型实施例中,如图1-图5所示,给出一种视觉诱导虚拟现实晕动症生理数据采集方法。In a typical embodiment of the present invention, as shown in FIG. 1 to FIG. 5 , a method for collecting physiological data of visually induced virtual reality motion sickness is provided.
视觉诱导虚拟现实晕动症生理数据采集方法利用如图1所示的系统硬件进行数据采集,如图1所示的系统硬件的主要结构包括:虚拟现实晕动症测试者预筛模块、人机交互信号采集模块、脑电数据处理模块。Visually induced virtual reality motion sickness physiological data collection method uses the system hardware shown in Figure 1 to collect data. The main structure of the system hardware shown in Figure 1 includes: virtual reality motion sickness tester pre-screening module, human-machine Interactive signal acquisition module, EEG data processing module.
其中虚拟现实晕动症测试者预筛系统,主要包括:问卷系统测试、计算机、显示屏。Among them, the virtual reality motion sickness tester pre-screening system mainly includes: questionnaire system test, computer, and display screen.
对受试者进行预筛选,选出合适的人群参加系统测试,再通过人机交互信号采集系统,获取受试者在使用虚拟现实设备过程中诱发产生的脑电数据,依据受试者的口头报告和书面问卷采集主观虚拟现实晕动症级别数据;Pre-screen the subjects, select suitable people to participate in the system test, and then obtain the EEG data induced by the subjects in the process of using the virtual reality equipment through the human-computer interaction signal acquisition system. Reports and written questionnaires collect subjective VR motion sickness level data;
通过脑电数据处理系统,处理脑电数据获取异常值,依据异常值标定虚拟现实晕动症的反应程度和时间节点;Through the EEG data processing system, the abnormal value is obtained by processing the EEG data, and the response degree and time node of virtual reality motion sickness are calibrated according to the abnormal value;
关联主观虚拟现实晕动症级别数据与脑电数据,得到虚拟现实晕动症生理数据。Correlate subjective virtual reality motion sickness level data and EEG data to obtain virtual reality motion sickness physiological data.
被测者首先进入问卷系统,根据显示屏所示测试问题进行回答勾选,再通过提交问卷,计算机自动算出问卷总分值。根据《运动病易感性量表》的评分标准判别测试者是否日常有虚拟现实晕动症相关症状。若符合虚拟现实晕动症相关症状,则被测者可以进行下一步的人机交互信号采集系统的虚拟现实晕动症的深度测试。The testee first enters the questionnaire system, selects the answers according to the test questions displayed on the display screen, and then submits the questionnaire, and the computer automatically calculates the total score of the questionnaire. According to the scoring criteria of the "Motion Sickness Susceptibility Scale", the test subjects were judged whether they had symptoms related to virtual reality motion sickness in daily life. If the symptoms related to virtual reality motion sickness are met, the tested person can perform the next step of the in-depth test of virtual reality motion sickness of the human-computer interaction signal acquisition system.
其中人机交互信号采集系统,主要包括人机交互端和信息采集端。The human-computer interaction signal acquisition system mainly includes a human-computer interaction terminal and an information acquisition terminal.
其中人机交互端主要包括:虚拟现实头戴式显示器、定位追踪套件、计算机。其中的定位追踪套件主要包括:运动手柄、信号追踪器、陀螺仪。The human-computer interaction terminal mainly includes: virtual reality head-mounted display, positioning tracking kit, and computer. The positioning and tracking kits mainly include: motion handles, signal trackers, and gyroscopes.
信息采集端主要包括:脑电帽、铜线、脑电机箱、计算机。The information collection terminal mainly includes: EEG cap, copper wire, EEG box, and computer.
人机交互端主要为定位追踪套件中的信号追踪器与虚拟现实头戴式显示器通过无线信号相连,虚拟现实头戴式显示器由测试者进行镜架式头部佩戴,运动手柄由测试者手持进行运动测试。组装完成的虚拟现实头戴式显示器通过数据线与计算机相连。The human-computer interaction terminal is mainly the signal tracker in the positioning tracking kit and the virtual reality head-mounted display connected by wireless signals. The virtual reality head-mounted display is worn by the tester on the head of the frame, and the motion handle is held by the tester. Exercise test. The assembled virtual reality head-mounted display is connected to the computer through a data cable.
设备屏幕为采用的为双FAST LCD屏幕,该设备支持调节700°以内的近视对焦调节,确保每位测试者的视力健康或被矫正。再将实验素材导入进电脑中,通过USB导线连接电脑与头戴式虚拟现实显示器设备。使用定位追踪套件辅助用户的视点落于素材画面中心。The screen of the device adopts dual FAST LCD screens. The device supports the adjustment of myopia focus within 700° to ensure that each tester's vision is healthy or corrected. Then import the experimental material into the computer, and connect the computer and the head-mounted virtual reality display device through a USB cable. Use the Position Tracking Kit to help the user's viewpoint fall in the center of the footage.
信息采集端主要为脑电帽通过铜线连接脑电机箱,脑电机箱通过网线连接计算机。The information collection terminal is mainly connected to the brain electrical box through the copper wire, and the brain electrical box is connected to the computer through the network cable.
测试者通过头戴脑电帽,观看虚拟现实头戴式显示器,手持运动手柄,根据播放的视频进行操作,同时计算机通过软件对实时数据进行采集和显示。The tester wears an EEG cap, watches the virtual reality head-mounted display, holds a motion handle, and operates according to the played video. At the same time, the computer collects and displays the real-time data through the software.
脑电数据处理系统主要包括:计算机、Matlab软件、人工智能算法。计算机通过Matlab软件将实时采集的数据转化为可视化分贝图,并根据智能算法对The EEG data processing system mainly includes: computer, Matlab software, artificial intelligence algorithm. The computer converts the real-time collected data into a visual decibel graph through Matlab software, and adjusts the data according to the intelligent algorithm.
脑电信号进行降噪,去除伪影干扰,得到大脑的五个区域(额叶、中央、顶叶、枕叶和颞叶)的脑电数据异常值,从而精准判断测试者对虚拟现实晕动症的反应程度和时间节点。The EEG signal is denoised to remove the artifact interference, and the abnormal values of the EEG data in the five regions of the brain (frontal, central, parietal, occipital and temporal lobes) are obtained, so as to accurately judge the tester's motion sickness in virtual reality. The degree and timing of the response of the disease.
电脑以及显示屏提供人机交互端口,以便可视化实时输出的脑电信号波形图。波形图基于PC端软件设计,能够已波形的形式显示脑电数据,最终以.csv格式储存,方便对数据的储存和后续分析。The computer and the display screen provide a human-computer interaction port to visualize the real-time output of the EEG signal waveform. The waveform diagram is based on the PC software design, which can display the EEG data in the form of waveform, and finally store it in .csv format, which is convenient for data storage and subsequent analysis.
在本实施例中,发放了100份《运动病易感性量表》,从中筛选出问卷得分较高的志愿者,这些志愿者普遍对虚拟现实晕动症易感。招募了20名18至30岁的无偿参与者。所有参与者都是当地大学校园的本科生。他们都是右撇子,其中有3个参与者有使用头戴式显示器进行3D操作的经验,2人有使用头戴式虚拟现实显示器的经验。实验素材采用《WhatRemains of Edith Finch》游戏中一段高度刺激运动镜头,通过利用视觉刺激或流场视频在视觉上诱导由被看到但感觉不到的运动引起的疾病。In this embodiment, 100 copies of the "Motion Sickness Susceptibility Scale" are distributed, and volunteers with higher scores on the questionnaire are selected from them, and these volunteers are generally susceptible to virtual reality motion sickness. Twenty unpaid participants aged 18 to 30 were recruited. All participants were undergraduate students on local university campuses. They were all right-handed, and 3 of the participants had experience with head-mounted displays for 3D manipulation, and 2 had experience with head-mounted virtual reality displays. The experimental material uses a highly stimulating motion shot in the game "WhatRemains of Edith Finch" to visually induce diseases caused by motions that are seen but not felt by using visual stimuli or flow field videos.
该摄像头运动频率可以较大程度的诱发晕动反应。要求受试者正坐在椅子上,动作受限。每个研究参与者都被解释了整个过程,为了保证每名参与者对剧情的理解,并对每位被试口头解释了视频的前情内容。当实验正式开始时,每位受试者手中放置一个按钮,要求被试在首次感到有关于虚拟现实晕动症的不适症状时摁下按钮。为了最小化其他变量的干扰,要求被试在实验过程中尽量保持静息,并在实验开始前告知被试其需要完成在观看后填写一份关于视频剧情内容问卷的任务,以最大程度的确保被试的注意力集中在视频,而不是分散注意力。The camera motion frequency can induce motion sickness to a greater extent. Ask the subject to be sitting in a chair with limited movement. Each study participant was explained the entire process, and to ensure that each participant understood the plot, the pre-sentence content of the video was verbally explained to each participant. When the experiment officially started, a button was placed in each subject's hand, and they were asked to press the button when they first felt uncomfortable symptoms related to virtual reality motion sickness. In order to minimize the interference of other variables, subjects were asked to keep as still as possible during the experiment, and before the start of the experiment, they were told that they needed to complete the task of filling out a questionnaire about the content of the video plot after watching, to ensure maximum assurance The subjects' attention was focused on the video, not distracted.
实验人员观看的影片有丰富的文字描述帮助他们构筑完整的情境,生理实验数据记录为脑电图。实验结束后,要求被试回答两个口头问题:一个问题要求被试通过1-20的等级评分报告他们的虚拟现实晕动症主观感受水平,另一问题则是报告他们感知到在虚拟环境中的存在感。然后要求参与者完成书面的虚拟现实晕动症问卷。The videos watched by the experimenters have rich text descriptions to help them construct a complete situation, and the physiological experimental data are recorded as electroencephalograms. After the experiment, the subjects were asked to answer two oral questions: one question asked the subjects to report their subjective perception level of VR motion sickness on a scale of 1-20, and the other question asked them to report their perception of being in the virtual environment. sense of presence. Participants were then asked to complete a written virtual reality motion sickness questionnaire.
脑电信号是在一个静音无光的实验室中采集的。在本实施例中,将两段完整的32通道脑电图记录进行分析。使用带通滤波器截取0.1-50赫兹的脑电信号,应用小波降噪的硬阈值处理降低数据传输和采集过程中的伪影干扰,得到最终的脑电数据。采样率设置为333赫兹。脑电图数据主要分析大脑的五个区域:额叶、中央、顶叶、枕叶和颞叶。EEG signals were collected in a quiet, dark laboratory. In this example, two complete 32-channel EEG recordings were analyzed. A bandpass filter is used to intercept the EEG signal of 0.1-50 Hz, and the hard threshold processing of wavelet noise reduction is applied to reduce the artifact interference in the data transmission and acquisition process, and the final EEG data is obtained. The sample rate is set to 333 Hz. The EEG data were analyzed primarily in five regions of the brain: frontal, central, parietal, occipital, and temporal.
实验数据采用32通道国际标准10-20系统,进行采集,得到32通道脑电信号。The experimental data was collected using a 32-channel international standard 10-20 system to obtain 32-channel EEG signals.
在采集脑电信号数据后,对脑电信号数据进行处理,本实施例中,针对原始脑电信号进行滤波处理,并利用滑动窗进行分段。提取特征。提取平均值、方差、标准差、短时傅里叶变换特征,进行后续处理。假设检验。最终利用高斯模型进行假设检验对脑电信号的异常点进行实时监测。再进行异常点的结果输出。After the EEG signal data is collected, the EEG signal data is processed. In this embodiment, the original EEG signal is filtered and segmented by using a sliding window. Extract features. Extract the mean, variance, standard deviation, and short-time Fourier transform features for subsequent processing. hypothetical test. Finally, the Gaussian model is used for hypothesis testing to monitor the abnormal points of EEG signals in real time. Then output the result of the abnormal point.
具体的,结合图2-图5,脑电数据处理模块的具体算法如下:Specifically, with reference to Figures 2-5, the specific algorithm of the EEG data processing module is as follows:
1.信号预处理1. Signal preprocessing
采集的原始脑电信号为多通道的,我们选取某单通道脑电信号进行处理,例如:T7通道。原始单通道脑电信号通过带通滤波器得到所使用的0.1-50赫兹的信号。使用硬阈值去噪处理去除各种噪声;得到滤波后的脑电信号序列Y。The original EEG signals collected are multi-channel, and we select a single-channel EEG signal for processing, such as the T7 channel. The raw single-channel EEG signal was passed through a bandpass filter to obtain the used 0.1-50 Hz signal. Use hard threshold denoising to remove various noises; obtain the filtered EEG signal sequence Y.
根据脑电采集箱的采样频率,对滤波后的脑电信号使用一秒钟的长度为T滑动窗进行分段处理。得到M段脑电信号,第m段脑电信号序列如下Ym={yt},t=1,…,T。According to the sampling frequency of the EEG acquisition box, the filtered EEG signal is processed in segments by using a sliding window with a length of T of one second. M-segment EEG signals are obtained, and the m-th segment EEG signal sequence is as follows: Ym ={yt }, t=1,...,T.
2.提取特征2. Extract features
2.1平均值2.1 Average
针对m段脑电信号,平均值计算如下;For m-segment EEG signals, the average value is calculated as follows;
平均值特征如下:The mean characteristics are as follows:
MEAN={mean1,mean2,…,meanm,…,meanM}MEAN={mean1 , mean2 , ..., meanm , ..., meanM }
2.2方差2.2 Variance
针对m段脑电信号,方差计算如下;For m-segment EEG signals, the variance is calculated as follows;
方差特征如下:VAR={var1,var2,…,varm,…,varM}The variance characteristics are as follows: VAR={var1 , var2 , ..., varm , ..., varM }
2.3标准差2.3 Standard Deviation
针对m段脑电信号,标准差计算如下;For m-segment EEG signals, the standard deviation is calculated as follows;
标准差特征如下:RMS={rms1,rms2,…,rmsm,…,rmsM}The standard deviation is characterized as follows: RMS={rms1 , rms2 , ..., rmsm , ..., rmsM }
2.3短时傅里叶变换2.3 Short-time Fourier transform
针对m段脑电信号,采用短时傅立叶变换将其转换为频域,公式如下For the m-segment EEG signal, the short-time Fourier transform is used to convert it into the frequency domain, and the formula is as follows
其中为窗口函数,N为窗口函数移动的时间步长,周期图计算如下:in is the window function, N is the time step of the window function movement, and the periodogram is calculated as follows:
用周期图{p(i,n)}表示Fn={f(i)},得到时间索引n的频率分辨率。然后用欧氏距离计算f(i)和f(i-1)之间的距离作为特征即:Representing Fn ={f(i)} by the periodogram {p(i,n)}, the frequency resolution of time index n is obtained. Then use the Euclidean distance to calculate the distance between f(i) and f(i-1) as a feature namely:
Fi=|f(i)-f(i-1)|Fi =|f(i)-f(i-1)|
短时傅里叶变换特征:STFT={F1,F2,…,Fm,…FM}Short-time Fourier transform feature: STFT={F1 , F2 , ..., Fm , ... FM }
3.假设检验3. Hypothesis testing
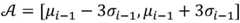
对于不同指标特征MEAN,VAR,RMS,STFT采用零假设检验进行变化决策。对于第i个片段的特征Qi,假设检验如下For different indicator features MEAN, VAR, RMS, and STFT, the null hypothesis test is used to make change decisions. For the feature Qi of the ith segment, the hypothesis test is as follows
没发生改变:Nothing has changed:
发生改变:changes happened:
这里是由常用的3σ准则定义的置信区间,μi-1和σi-1是前i-1个片段加权异常得分的平均值和标准差。here is the confidence interval defined by the commonly used 3σ criterion, and μi-1 and σi-1 are the mean and standard deviation of the weighted anomaly scores for the first i-1 segments.
如图5所示,当相似性指标发生改变,说明此刻脑电信号发生异常,即大脑处于晕动症状态,对实验人员进行提醒。As shown in Figure 5, when the similarity index The change indicates that the EEG signal is abnormal at this moment, that is, the brain is in a state of motion sickness, and the experimenter is reminded.
在使用虚拟现实设备过程中,获取受试者的口头报告,在采集脑电数据后,获取受试者的书面问卷。During the use of the virtual reality device, the subjects' oral reports were obtained, and after the EEG data was collected, the subjects' written questionnaires were obtained.
具体操作为:一个问题要求被试通过1-20的等级评分报告他们的晕动症主观感受水平:“你感觉如何?”,0是‘根本没有症状’,20是‘严重的眩晕反应’;另一问题则是报告他们感知到在虚拟环境中的存在感:“你在多大程度上感觉到在环境中存在,就像你真的在那里一样?”,在0-10的尺度上,0是‘根本不存在’,10是‘完全存在’。然后要求参与者完成书面虚拟现实晕动症问卷。The specific operation is: one question asks the subjects to report their subjective feeling level of motion sickness on a scale of 1-20: "How do you feel?", 0 is 'no symptoms at all', 20 is 'severe vertigo reaction'; Another question was to report their perceived presence in the virtual environment: "To what extent do you feel present in the environment as if you were actually there?", on a 0-10 scale, 0 is 'not at all' and 10 is 'exactly'. Participants were then asked to complete a written virtual reality motion sickness questionnaire.
书面虚拟现实晕动症问卷由16个问题组成。检查晕动症的症状,包括全身不适、疲劳、头痛、恶心、眩晕等。0表示没有症状,3表示严重症状。在本研究中,我们使用了一个简短的书面虚拟现实晕动症问卷版本,包括不适、疲劳、头痛、恶心和眩晕。对模拟器眩晕感问卷结果与脑电波谱数据进行对应分析。The Written Virtual Reality Motion Sickness Questionnaire consisted of 16 questions. Check for symptoms of motion sickness, including general malaise, fatigue, headache, nausea, dizziness, and more. 0 means no symptoms and 3 means severe symptoms. In this study, we used a short written version of the VR Motion Sickness Questionnaire covering discomfort, fatigue, headache, nausea, and vertigo. Correspondence analysis was made between the results of the simulator vertigo questionnaire and the EEG data.
口头报告和书面问卷分别设定评价指标,对书面问卷的多项评价指标附加权重;综合主观计算,以及客观算法的计算,对可视化实时输出的脑电信号波形图综合结果输出。Oral reports and written questionnaires set evaluation indicators respectively, and weights are added to multiple evaluation indicators of written questionnaires; comprehensive subjective calculation and calculation of objective algorithms are used to output the comprehensive results of visualized real-time output of EEG signal waveforms.
关联主观虚拟现实晕动症级别数据与脑电数据,得到虚拟现实晕动症综合生理数据,供后续分析使用。Correlate the subjective virtual reality motion sickness level data with the EEG data to obtain the virtual reality motion sickness comprehensive physiological data for subsequent analysis.
实施例2Example 2
本发明的另一典型实施方式中,如图1-图5所示,给出一种视觉诱导虚拟现实晕动症生理数据采集系统。In another typical embodiment of the present invention, as shown in FIG. 1 to FIG. 5 , a system for collecting physiological data of visually induced virtual reality motion sickness is provided.
包括:include:
数据获取模块,被配置为:获取受试者在使用虚拟现实设备过程中诱发产生的脑电数据,依据受试者的口头报告和书面问卷采集主观虚拟现实晕动症级别数据;The data acquisition module is configured to: acquire the EEG data induced by the subject in the process of using the virtual reality device, and collect the subjective virtual reality motion sickness level data according to the subject's oral report and written questionnaire;
预处理模块,被配置为:处理脑电数据获取异常值,依据异常值标定虚拟现实晕动症的反应程度和时间节点;The preprocessing module is configured to: process the EEG data to obtain abnormal values, and calibrate the response degree and time node of virtual reality motion sickness according to the abnormal values;
数据关联模块,被配置为:关联主观虚拟现实晕动症级别数据与脑电数据,得到虚拟现实晕动症生理数据。The data association module is configured to: correlate the subjective virtual reality motion sickness level data and the EEG data to obtain the virtual reality motion sickness physiological data.
可以理解的是,上述视觉诱导虚拟现实晕动症生理数据采集系统的工作方法与实施例1提供的视觉诱导虚拟现实晕动症生理数据采集方法相同,可以参见上述实施例1中的详细描述,这里不再赘述。It can be understood that the working method of the above-mentioned visually induced virtual reality motion sickness physiological data acquisition system is the same as the visually induced virtual reality motion sickness physiological data acquisition method provided in Embodiment 1. Please refer to the detailed description in the above Embodiment 1. I won't go into details here.
以上所述仅为本发明的优选实施例而已,并不用于限制本发明,对于本领域的技术人员来说,本发明可以有各种更改和变化。凡在本发明的精神和原则之内,所作的任何修改、等同替换、改进等,均应包含在本发明的保护范围之内。The above descriptions are only preferred embodiments of the present invention, and are not intended to limit the present invention. For those skilled in the art, the present invention may have various modifications and changes. Any modification, equivalent replacement, improvement, etc. made within the spirit and principle of the present invention shall be included within the protection scope of the present invention.
| Application Number | Priority Date | Filing Date | Title |
|---|---|---|---|
| CN202210905242.XACN115153591A (en) | 2022-07-29 | 2022-07-29 | Physiological data collection method and system for visually induced virtual reality motion sickness |
| Application Number | Priority Date | Filing Date | Title |
|---|---|---|---|
| CN202210905242.XACN115153591A (en) | 2022-07-29 | 2022-07-29 | Physiological data collection method and system for visually induced virtual reality motion sickness |
| Publication Number | Publication Date |
|---|---|
| CN115153591Atrue CN115153591A (en) | 2022-10-11 |
| Application Number | Title | Priority Date | Filing Date |
|---|---|---|---|
| CN202210905242.XAPendingCN115153591A (en) | 2022-07-29 | 2022-07-29 | Physiological data collection method and system for visually induced virtual reality motion sickness |
| Country | Link |
|---|---|
| CN (1) | CN115153591A (en) |
| Publication number | Priority date | Publication date | Assignee | Title |
|---|---|---|---|---|
| CN119902620A (en)* | 2024-12-31 | 2025-04-29 | 山东大学 | A subjective feeling intervention method for virtual reality motion sickness based on perceptual theory |
| CN120236710A (en)* | 2025-05-28 | 2025-07-01 | 中国人民解放军总医院第一医学中心 | Headache relaxation training management system based on virtual reality |
| Publication number | Priority date | Publication date | Assignee | Title |
|---|---|---|---|---|
| CN109009094A (en)* | 2018-06-20 | 2018-12-18 | 成都美律科技有限公司 | Vision based on EEG signals KC complexity induces motion sickness detection method |
| CN110613429A (en)* | 2019-09-17 | 2019-12-27 | 清华大学 | Motion sickness detection method |
| CN110960233A (en)* | 2019-11-21 | 2020-04-07 | 唐延智 | Depression state detection method and system based on brain waves |
| CN111743535A (en)* | 2020-06-28 | 2020-10-09 | 山东大学 | A method and system for monitoring EEG abnormality based on graph model |
| CN112237433A (en)* | 2020-11-05 | 2021-01-19 | 山东大学 | Electroencephalogram signal abnormity monitoring system and method |
| Publication number | Priority date | Publication date | Assignee | Title |
|---|---|---|---|---|
| CN109009094A (en)* | 2018-06-20 | 2018-12-18 | 成都美律科技有限公司 | Vision based on EEG signals KC complexity induces motion sickness detection method |
| CN110613429A (en)* | 2019-09-17 | 2019-12-27 | 清华大学 | Motion sickness detection method |
| CN110960233A (en)* | 2019-11-21 | 2020-04-07 | 唐延智 | Depression state detection method and system based on brain waves |
| CN111743535A (en)* | 2020-06-28 | 2020-10-09 | 山东大学 | A method and system for monitoring EEG abnormality based on graph model |
| CN112237433A (en)* | 2020-11-05 | 2021-01-19 | 山东大学 | Electroencephalogram signal abnormity monitoring system and method |
| Title |
|---|
| 徐苗: "基于 EEG 的视觉诱导晕动症评估初步研究", 中国优秀硕士学位论文全文数据库信息科技辑, no. 06, 15 June 2018 (2018-06-15)* |
| Publication number | Priority date | Publication date | Assignee | Title |
|---|---|---|---|---|
| CN119902620A (en)* | 2024-12-31 | 2025-04-29 | 山东大学 | A subjective feeling intervention method for virtual reality motion sickness based on perceptual theory |
| CN119902620B (en)* | 2024-12-31 | 2025-09-26 | 山东大学 | Subjective feeling intervention method for virtual reality motion sickness based on perception theory |
| CN120236710A (en)* | 2025-05-28 | 2025-07-01 | 中国人民解放军总医院第一医学中心 | Headache relaxation training management system based on virtual reality |
| Publication | Publication Date | Title |
|---|---|---|
| CN110801237B (en) | Cognitive ability evaluation system based on eye movement and electroencephalogram characteristics | |
| US20230056506A1 (en) | Systems and methods for assessing and improving sustained attention | |
| JP7373555B2 (en) | Quantification of motor function using EEG signals | |
| CN111326253A (en) | Methods for assessing multimodal affective cognitive abilities in patients with autism spectrum disorder | |
| US20220039715A1 (en) | Realtime evaluation method and system for virtual reality immersion effect | |
| CN106407733A (en) | Depression risk screening system and method based on virtual reality scene electroencephalogram signal | |
| CN111544015B (en) | Cognitive-based control ergonomics analysis method, equipment and system | |
| CN111598451B (en) | Control ergonomics analysis method, equipment and system based on task execution ability | |
| CN115659207B (en) | EEG emotion recognition method and system | |
| CN106803017A (en) | A kind of craving degree appraisal procedure of amphetamines habituation personnel | |
| CN115153591A (en) | Physiological data collection method and system for visually induced virtual reality motion sickness | |
| CN113143208A (en) | Pain sensitivity assessment system and method based on multi-dimensional measurement | |
| CN115022617B (en) | Video quality assessment method based on EEG signals and spatiotemporal multi-scale joint network | |
| CN107517375A (en) | Evaluation and Analysis Method for Stereo Viewing Fatigue Caused by Stereo Depth Motion | |
| Liu et al. | Exploring quantitative assessment of cybersickness in virtual reality using EEG signals and a CNN-ECA-LSTM network | |
| CN113440151A (en) | Concentration detection system, detection method and use method of system | |
| CN110569968B (en) | Method and system for evaluating entrepreneurship failure resilience based on electrophysiological signals | |
| CN105700687A (en) | Single-trial electroencephalogram P300 component detection method based on folding HDCA algorithm | |
| CN119989027A (en) | A method for EEG recognition and analysis under complex visual stimulation based on clustering ensemble | |
| CN118569490A (en) | A method for emotion recognition based on visual perception of urban streets based on EEG experiments | |
| CN116269447B (en) | Speech recognition evaluation system based on voice modulation and electroencephalogram signals | |
| Khushaba et al. | A neuroscientific approach to choice modeling: Electroencephalogram (EEG) and user preferences | |
| CN112545460A (en) | Mental load detection method based on double visual-audio tasks | |
| CN109770919A (en) | A kind of method and system of the effect using visual event-related potential assessment qigong regulation psychological condition | |
| WO2020139108A1 (en) | Method for conducting cognitive examinations using a neuroimaging system and a feedback mechanism |
| Date | Code | Title | Description |
|---|---|---|---|
| PB01 | Publication | ||
| PB01 | Publication | ||
| SE01 | Entry into force of request for substantive examination | ||
| SE01 | Entry into force of request for substantive examination | ||
| RJ01 | Rejection of invention patent application after publication | ||
| RJ01 | Rejection of invention patent application after publication | Application publication date:20221011 |