



技术领域technical field
本发明属于制造系统性能预测领域,具体涉及一种基于GCN-GRU的离散制造车间订单剩余完工期实时预测方法。The invention belongs to the field of performance prediction of manufacturing systems, and in particular relates to a real-time prediction method for the remaining completion period of discrete manufacturing workshop orders based on GCN-GRU.
背景技术Background technique
为了适应激烈的市场竞争和复杂的客户需求,企业逐步向智能制造转型,生产模式由面向库存生产转向面向订单生产,精准的订单剩余完工期预测,一方面可以量化车间生产过程中的不确定因素对生产进度的影响程度,辅助管理者了解生产进度,及时更改生产计划消除不确定因素的影响,保证订单按时交付;另一方面准确掌握在加工订单的生产进度,帮助管理者安排其他订单的生产计划。In order to adapt to the fierce market competition and complex customer needs, enterprises are gradually transforming to intelligent manufacturing. The production mode has changed from inventory-oriented production to order-oriented production. Accurate prediction of the remaining completion period of orders can quantify the uncertain factors in the workshop production process on the one hand. The degree of influence on the production schedule, assist the manager to understand the production schedule, change the production plan in time to eliminate the influence of uncertain factors, and ensure that the order is delivered on time; on the other hand, accurately grasp the production progress of the processing order and help the manager to arrange the production of other orders plan.
在对离散制造车间进行预测的问题中,对订单的生产进度的预测一直是研究热点问题,研究方法以数据分析为主,而大多数研究往往不能全面考虑制造过程的特点,得益于制造物联技术在车间的应用,为制造系统提供了全面有效的实时生产数据采集手段,因此本方法以制造数据为基础,分析制造过程所表现的不同特点,实现对制造过程更全面的描述。物联设备采集的制造过程数据呈现出海量、多源、高速等大数据特征,常用的建模仿真、统计分析、浅层神经网络等方法已经较难满足制造大数据环境下的高效精准预测需求,而深度学习可以拟合任意复杂函数,适用于复杂非线性映射,并且特征提取具有更强的泛化能力,对于处理大数据具有更优越的性能,因此针对制造过程所表现的时空特性,采用深度神经网络提取特征,提高预测的效率和精度。考虑到制造过程所表现出的时空特性,制造过程在时序上具有连续性,产品制造工艺也有前后顺序,这形成了制造过程的时序特性,产品在车间的不同工位上流转,其流转轨迹和转运轨迹,以及加工路线的变化,均体现制造过程的空间特性,所以针对制造过程所表现的时空特性,采用不同的深度神经网络提取时序特征和空间特征,对制造过程形成更全面的描述,提高预测精度。In the problem of forecasting the discrete manufacturing workshop, the forecasting of the production schedule of the order has always been a hot research issue. The research method is mainly based on data analysis, but most studies often fail to fully consider the characteristics of the manufacturing process. The application of the integrated technology in the workshop provides a comprehensive and effective means of real-time production data acquisition for the manufacturing system. Therefore, this method is based on the manufacturing data, analyzes the different characteristics of the manufacturing process, and achieves a more comprehensive description of the manufacturing process. The manufacturing process data collected by IoT equipment presents the characteristics of massive, multi-source, high-speed and other big data. Commonly used methods such as modeling simulation, statistical analysis, and shallow neural network are difficult to meet the needs of efficient and accurate prediction in the manufacturing big data environment. , while deep learning can fit any complex function, is suitable for complex nonlinear mapping, and has stronger generalization ability for feature extraction, and has better performance for processing big data. Therefore, according to the spatiotemporal characteristics of the manufacturing process, adopt Deep neural networks extract features to improve the efficiency and accuracy of predictions. Considering the spatiotemporal characteristics of the manufacturing process, the manufacturing process has continuity in time sequence, and the product manufacturing process also has a sequence before and after, which forms the time sequence characteristics of the manufacturing process. The transport trajectory and the change of the processing route all reflect the spatial characteristics of the manufacturing process. Therefore, according to the spatial and temporal characteristics of the manufacturing process, different deep neural networks are used to extract the time series and spatial characteristics to form a more comprehensive description of the manufacturing process. prediction accuracy.
鉴于此,设计实现一种可供车间生产管理人员使用的基于GCN-GRU的订单剩余完工期预测方法,对于快速响应生产异常、提升车间生产执行能力、保证订单按时交付等具有十分重要的意义。In view of this, the design and implementation of a GCN-GRU-based order remaining completion forecast method for workshop production managers is of great significance for quickly responding to production exceptions, improving workshop production execution capabilities, and ensuring on-time delivery of orders.
发明内容SUMMARY OF THE INVENTION
发明目的:本发明的目的是针对目前离散制造车间存在的生产计划调整、制造任务重调度、计划执行在线跟踪与预测等需求以及现有预测方法存在的预测效率低、精度不足的问题,提供一种基于GCN-GRU的订单剩余完工期预测方法。Purpose of the invention: The purpose of the present invention is to provide a method for adjusting production plans, rescheduling manufacturing tasks, online tracking and forecasting of plan execution, etc. existing in discrete manufacturing workshops, as well as the problems of low forecasting efficiency and insufficient precision in existing forecasting methods. A GCN-GRU-based forecasting method for remaining completion time of orders.
技术方案:本发明提供一种基于GCN-GRU的订单剩余完工期预测方法,包括以下步骤:Technical solution: The present invention provides a method for predicting the remaining completion period of an order based on GCN-GRU, which includes the following steps:
(1)采用车间部署的物联感知设备按照时间顺序连续采集生产过程的生产数据,以订单任务数据、任务已完成产品数据、实时生产状态数据和预测时间为特征形成数据集,并对数据集进行预处理;(1) The IoT sensing equipment deployed in the workshop continuously collects the production data of the production process in chronological order, and forms a data set with the characteristics of order task data, task completed product data, real-time production status data and prediction time, and analyzes the data set. preprocessing;
(2)针对制造过程所表现的时空特性,建立制造过程时序数据模型和制造过程图模型,进而建立制造过程时序数据集和图数据集;(2) According to the spatiotemporal characteristics of the manufacturing process, establish a manufacturing process time series data model and a manufacturing process graph model, and then establish a manufacturing process time series data set and a graph data set;
(3)以制造过程图数据集为输入,构建深层图卷积神经网络,用于对制造过程进行空间特征提取;(3) Taking the manufacturing process graph dataset as input, construct a deep graph convolutional neural network for spatial feature extraction of the manufacturing process;
(4)以制造过程时序数据集为输入,构建门控循环单元网络,用于对制造过程进行时序特征提取;(4) Using the manufacturing process time series data set as input, construct a gated cyclic unit network for extracting time series features of the manufacturing process;
(5)针对步骤(3)和步骤(4)所提取的空间特征信息和时序特征信息,采用集成学习思想融合两部分特征,然后采用全连接层整合两部分特征信息,得到当前订单的剩余完工期。(5) For the spatial feature information and time series feature information extracted in steps (3) and (4), the integrated learning idea is used to integrate the two parts of the features, and then the fully connected layer is used to integrate the two parts of the feature information to obtain the remaining completion of the current order. Expect.
进一步地,步骤(1)所述订单任务数据的特征包括订单组成产品类型、各类产品数量;所述任务已完成产品数据的特征包括已完成的产品数量、当前时刻各类产品的每道工序已经完成的数量;所述实时生产状态数据的特征包括在当前时刻每一个工位的入缓存区状态、加工状态、出缓存区状态和转运状态,具体为入缓存区队列、入缓存区的等待时间、在制品类型、在制品已加工时间、机床实时状态、出缓存区队列、出缓存区的等待时间、转运中的产品类型、转运的产品数量、已经转运的时间;所述预测时间由最终完成时刻和当前时刻的时间差来表示。Further, the features of the order task data described in step (1) include the type of products that form the order, and the quantity of various products; the features of the task completed product data include the number of products that have been completed, and each process of various products at the current moment. The number that has been completed; the characteristics of the real-time production status data include the state of entering the buffer area, the processing state, the state of exiting the buffer area and the transfer state of each station at the current moment, specifically the waiting of entering the buffer area queue and entering the buffer area Time, WIP type, WIP processing time, real-time state of machine tools, queue out of buffer area, waiting time out of buffer area, type of products in transit, quantity of products in transit, time already in transit; the predicted time is determined by the final It is represented by the time difference between the completion time and the current time.
进一步地,所述步骤(2)包括以下步骤:Further, described step (2) comprises the following steps:
(21)以物联感知设备采集的制造过程数据为基础,建立制造过程时序数据模型,将N*M维数据转换为N*T*M维数据,其中N表示完成一个任务所记录的数据条目,M为每一个数据所包含的特征维度,T为门控循环单元网络中时间步的长度,由于订单开始加工的前T个时间点内没有完整的前T维数据作为数据输入,所以针对前T个时间点的数据进行补“0”,以保证输入数据的完整;(21) Based on the manufacturing process data collected by the IoT sensing device, establish a time series data model of the manufacturing process, and convert the N*M-dimensional data into N*T*M-dimensional data, where N represents the data entry recorded for completing a task , M is the feature dimension contained in each data, T is the length of the time step in the gated cyclic unit network, since there is no complete pre-T dimension data as data input in the first T time points when the order starts processing, so for the previous The data at T time points are filled with "0" to ensure the integrity of the input data;
(22)以物联感知设备采集的制造过程数据为基础,分析制造过程中物料的流转、工艺的执行、机床的布局等特点,建立制造过程图模型,并描述图模型节点和边的属性值,制造过程图模型定义如下:(22) Based on the manufacturing process data collected by the IoT sensing equipment, analyze the characteristics of material flow, process execution, machine tool layout and other characteristics in the manufacturing process, establish a manufacturing process graph model, and describe the attribute values of the nodes and edges of the graph model , the manufacturing process diagram model is defined as follows:
G=(V,E)G=(V,E)
V=(M,O,Pd,Pc)V=(M,O,Pd,Pc)
E=(MO,MPd,…,PdPc)E=(MO,MPd,...,PdPc)
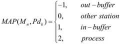
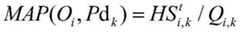
其中,V表示图的节点集,E表示边集,M={M1,M2,…,Mn,…,MN}为车间中N个加工工位,O={O1,O2,…,Oi,…,OI}为车间中I个在加工的订单,Pd={Pd1,Pd2,…,Pdk,…,PdK}为车间中K类在制品,Pc={Pc1,Pc2,…,Pcj,…,PcJ}为车间中J类工序;边的属性值如下:Among them, V represents the node set of the graph, E represents the edge set, M={M1 ,M2 ,…,Mn ,…,MN } is the N processing stations in the workshop, O={O1 ,O2 ,...,Oi ,...,OI } is an order being processed in the workshop, Pd={Pd1 ,Pd2 ,...,Pdk ,...,PdK } is the K-type work in process in the workshop, Pc= {Pc1 ,Pc2 ,…,Pcj ,…,PcJ } are the J-type processes in the workshop; the attribute values of the edges are as follows:
其中,MAP(Mn,Pdk)表示机床和产品的连边关系,MAP(Pdk,Pcj)表示产品和工序的连边关系,MAP(Mn,Pcj)表示机床和工序的连边关系,MAP(Oi,Pdk)表示订单和产品的连边关系,表示截止到t时刻第i个订单中第k类产品已完成的任务量,Qi,k表示第i个订单中要求的第k类产品的任务量。Among them, MAP(Mn , Pdk ) represents the connection between the machine tool and the product, MAP(Pdk , Pcj ) represents the connection between the product and the process, and MAP(Mn , Pcj ) represents the connection between the machine tool and the process Edge relationship, MAP(Oi , Pdk ) represents the edge relationship between orders and products, Represents the completed tasks of the k-th product in the ith order by the time t, and Qi,k represents the task volume of the k-th product required in the ith order.
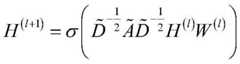
进一步地,所述步骤(3)实现过程如下:Further, described step (3) realization process is as follows:
其中,H(0)=X,X为节点特征矩阵,W∈RN×N为要训练的参数矩阵,A∈RN×N为邻接矩阵,D∈RN×N为度矩阵,IN为N维单位矩阵。Among them, H(0) =X, X is the node feature matrix, W∈RN×N is the parameter matrix to be trained, A∈RN×N is the adjacency matrix, D∈RN×N is the degree matrix, IN is an N-dimensional identity matrix.
进一步地,所述步骤(4)实现过程如下:Further, described step (4) realization process is as follows:
更新门:zt=σ(Wzxt+Uzht-1)Update gate: zt =σ(Wz xt +Uz ht-1 )
重置门:rt=σ(Wrxt+Urht-1)Reset gate: rt =σ(Wr xt +Ur ht-1 )
当前记忆:h't=tanh(Wxt+Urt⊙ht-1)Current memory: h't = tanh(Wxt +Urt ⊙ht-1 )
最终记忆:ht=(1-zt)⊙ht-1+zt⊙h'tFinal memory: ht =(1-zt )⊙ht-1 +zt ⊙h't
其中,⊙表示两个矩阵按元素相乘,xt为当前时刻的数据,ht-1为上一个GRU单元的输出,zt为更新门的输出,rt为重置门的输出,h't为候选隐藏状态,ht为当前GRU单元的输出,Wz和Uz为更新门的更新参数,Wr和Ur为重置门的更新参数,W和U为当前记忆公式的更新参数。Among them, ⊙ represents the element-wise multiplication of two matrices, xt is the data at the current moment, ht-1 is the output of the previous GRU unit, zt is the output of the update gate, rt is the output of the reset gate, h 't is the candidate hidden state, ht is the output of the current GRU unit, Wz and Uz are the update parameters of the update gate, Wr and Ur are the update parameters of the reset gate, W and U are the update of the current memory formula parameter.
进一步地,所述步骤(5)实现过程如下:Further, the step (5) implementation process is as follows:
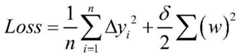
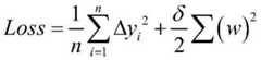
融合步骤(3)和步骤(4)所提取到的空间特征信息和时序特征信息,然后建立深度神经网络整合两方面特征信息,并引入Dropout和L2正则化项来防止模型出现过拟合问题,特征融合模型计算公式如下:Integrate the spatial feature information and time series feature information extracted in steps (3) and (4), then build a deep neural network to integrate the two aspects of feature information, and introduce Dropout and L2 regularization terms to prevent the model from overfitting. The calculation formula of the feature fusion model is as follows:
y=f(w[yi;yj]+b)y=f(w[yi ; yj ]+b)
式中,f为该层的激活函数,w为对应的权重值,yi是GCN模型的输出,yj是GRU模型的输出,y是模型融合后的值,b为偏置;In the formula, f is the activation function of the layer, w is the corresponding weight value, yi is the output of the GCN model, yj is the output of the GRU model, y is the value after model fusion, and b is the bias;
误差计算公式如下:The error calculation formula is as follows:
式中,n为数据个数,△yi表示真实值与预测值之间的差值,δ表示权重衰减参数,w是神经元间的连接权重。In the formula, n is the number of data, △yi is the difference between the actual value and the predicted value, δ is the weight decay parameter, and w is the connection weight between neurons.
有益效果:与现有技术相比,本发明的有益效果:1、本发明在订单生产进度预测中引入了更全面的制造过程数据,并利用物联设备采集实时生产状态因素,实现了离散制造车间生产进程中制造系统运行在线分析与实时预测;2、本发明提出的订单剩余完工期预测模型能够兼顾制造过程蕴含的时序特性和空间特征,通过建立时序特征和空间特征的提取与融合模型,对制造过程进行多方位分析,能够有效提升当前订单的剩余完工期预测精度;3、本发明根据制造过程空间特性,分析制造资源空间流转特点,为离散制造车间提供一种建立制造过程图模型的方法,为制造过程空间特征分析提供一种思路;4、本发明为离散制造系统性能分析、在线决策与优化提供了依据,对生产管控智能化水平的提升具有重要的价值。Beneficial effects: Compared with the prior art, the beneficial effects of the present invention are as follows: 1. The present invention introduces more comprehensive manufacturing process data in order production progress prediction, and utilizes IoT equipment to collect real-time production status factors to realize discrete manufacturing On-line analysis and real-time prediction of the manufacturing system operation in the workshop production process; 2. The order remaining completion period prediction model proposed by the present invention can take into account the time series characteristics and spatial characteristics contained in the manufacturing process. The multi-directional analysis of the manufacturing process can effectively improve the prediction accuracy of the remaining completion period of the current order; 3. The present invention analyzes the spatial flow characteristics of manufacturing resources according to the spatial characteristics of the manufacturing process, and provides a discrete manufacturing workshop with a method for establishing a manufacturing process diagram model. The method provides a way of thinking for the analysis of the spatial characteristics of the manufacturing process; 4. The invention provides a basis for the performance analysis, online decision-making and optimization of the discrete manufacturing system, and has important value for the improvement of the intelligent level of production management and control.
附图说明Description of drawings
图1是本发明的流程图;Fig. 1 is the flow chart of the present invention;
图2是制造过程图模型构建过程;Figure 2 is the manufacturing process diagram model construction process;
图3是基于GCN的制造过程空间特征提取示意图;Fig. 3 is a schematic diagram of spatial feature extraction of manufacturing process based on GCN;
图4是基于GRU的制造过程时序特征提取示意图。FIG. 4 is a schematic diagram of timing feature extraction in a manufacturing process based on GRU.
具体实施方式Detailed ways
下面结合附图对本发明做进一步详细说明。The present invention will be further described in detail below in conjunction with the accompanying drawings.
本发明针对目前离散制造车间存在的生产计划调整、制造任务重调度、计划执行在线跟踪与预测等需求以及现有预测方法存在的预测效率低、精度不足的问题,提供一种基于GCN-GRU的订单剩余完工期预测方法,在物联设备采集的制造过程数据的基础上,建立车间制造过程图模型,并用GCN提取制造过程所蕴含的空间特征,同时采用GRU提取制造过程所蕴含的时序特征,通过特征融合完成预测模型的训练,为离散制造车间订单生产进度的在线分析与预测提供一种有效的技术手段。具体实现方法如图1所示,包括如下步骤:Aiming at the requirements of production plan adjustment, manufacturing task rescheduling, plan execution on-line tracking and forecasting in the current discrete manufacturing workshop, and the problems of low forecasting efficiency and insufficient precision existing in the existing forecasting method, the invention provides a GCN-GRU-based method. Based on the manufacturing process data collected by the IoT equipment, the method for predicting the remaining completion period of the order establishes a workshop manufacturing process diagram model, and uses GCN to extract the spatial features contained in the manufacturing process, and at the same time uses GRU to extract the time series features contained in the manufacturing process. The training of the prediction model is completed through feature fusion, which provides an effective technical means for online analysis and prediction of the production progress of discrete manufacturing shop orders. The specific implementation method is shown in Figure 1, including the following steps:
步骤1:采用车间部署的物联感知设备按照时序采集连续多个生产过程的海量生产数据,所有制造数据以订单任务数据OS、任务已完成产品数据PS、实时生产状态数据MS和预测时间△T为特征形成数据集。Step 1: The IoT sensing equipment deployed in the workshop is used to collect mass production data of multiple consecutive production processes according to the time series. All manufacturing data is based on order task data OS, task completed product data PS, real-time production status data MS and predicted time △T Form a dataset for features.
OS的数据特征包括订单组成产品类型和各类产品数量;PS包括当前时刻已完成的产品数量和当前时刻各类产品的每道工序已经完成的数量;MS包括在当前时刻每一个工位的入缓存区状态、加工状态、出缓存区状态和转运状态,其中入缓存区状态数据包括入缓存区队列和在入缓存区的等待时间,加工状态数据包括该工位正在加工的产品类型、该产品已经在该工位加工的时间和操作机床的实时状态,出缓存区状态数据包括出缓存区队列和在出缓存区的等待时间,转运状态包括当前时刻已经离开该工位且处于转运状态中的产品类型、数量和已经离开的时间;预测时间△T为最终完成时刻和当前时刻的时间差。The data features of OS include the type of products that make up the order and the quantity of various products; PS includes the number of products completed at the current moment and the completed quantity of each process of various products at the current moment; MS includes the input of each station at the current moment. Buffer status, processing status, out-buffer status, and transfer status, where the buffer-in status data includes the buffer-in queue and the waiting time in the buffer-in, and the processing status data includes the type of product being processed at the station, the product The time that has been processed at the station and the real-time state of the operating machine tool, the status data of the buffer area includes the queue of the buffer area and the waiting time in the buffer area, and the transfer status includes the current moment that has left the station and is in the transfer state. Product type, quantity and the time it has left; the predicted time ΔT is the time difference between the final completion time and the current time.
由上述所有特征组成的历史订单数据集按照训练数据和测试数据分为用于训练预测模型的订单数据和用于测试预测模型的订单数据,对所有样本数据采用最大最小归一化方法进行[0,1]归一化处理。The historical order data set composed of all the above features is divided into order data for training the prediction model and order data for testing the prediction model according to the training data and test data, and the maximum and minimum normalization method is used for all sample data [0 , 1] normalized processing.
步骤2:针对制造过程所表现的时空特性,在步骤1的数据集的基础上,建立制造过程图模型和时序模型,进而建立适合图神经网络和循环神经网络进行特征提取的制造过程时序数据集和制造过程图数据集。Step 2: According to the spatiotemporal characteristics of the manufacturing process, on the basis of the data set in Step 1, establish a manufacturing process graph model and a time series model, and then establish a manufacturing process time series data set suitable for feature extraction by graph neural network and recurrent neural network. and the manufacturing process map dataset.
以物联感知设备采集的制造过程数据为基础,针对门控循环单元网络结构特点,构建时序模型,将N*M维数据转换为N*T*M维数据,其中N表示完成一个任务所记录的数据条目,M为每一个数据所包含的特征维度,T为门控循环单元网络中时间步的长度,由于订单开始加工的前T个时间点内没有完整的前T维数据作为数据输入,所以针对前T个时间点的数据进行补“0”,以保证输入数据的完整。Based on the manufacturing process data collected by the IoT sensing equipment, according to the network structure characteristics of the gated cyclic unit, a time series model is constructed to convert the N*M-dimensional data into N*T*M-dimensional data, where N represents the record of completing a task , M is the feature dimension contained in each data, T is the length of the time step in the gated cyclic unit network, since there is no complete pre-T dimension data as data input within the first T time points when the order starts processing, Therefore, "0" is added for the data of the first T time points to ensure the integrity of the input data.
以物联感知设备采集的制造过程数据为基础,建立制造过程图模型,并确定图模型节点和边的属性值,如图2所示,制造过程图模型定义如下:Based on the manufacturing process data collected by the IoT sensing device, a manufacturing process graph model is established, and the attribute values of the nodes and edges of the graph model are determined. As shown in Figure 2, the manufacturing process graph model is defined as follows:
G=(V,E)G=(V,E)
V=(M,O,Pd,Pc)V=(M,O,Pd,Pc)
E=(MO,MPd,…,PdPc)E=(MO,MPd,...,PdPc)
其中,V表示图的节点集,E表示边集,M={M1,M2,…,Mn,…,MN}为车间中N个加工工位,O={O1,O2,…,Oi,…,OI}为车间中I个在加工的订单,Pd={Pd1,Pd2,…,Pdk,…,PdK}为车间中K类在制品,Pc={Pc1,Pc2,…,Pcj,…,PcJ}为车间中J类工序。边的属性值如下:Among them, V represents the node set of the graph, E represents the edge set, M={M1 ,M2 ,…,Mn ,…,MN } is the N processing stations in the workshop, O={O1 ,O2 ,...,Oi ,...,OI } is an order being processed in the workshop, Pd={Pd1 ,Pd2 ,...,Pdk ,...,PdK } is the K-type work in process in the workshop, Pc= {Pc1 ,Pc2 ,…,Pcj ,…,PcJ } are J-type processes in the workshop. The attribute values of the edges are as follows:
其中,MAP(Mn,Pdk)表示机床和产品的连边关系,MAP(Pdk,Pcj)表示产品和工序的连边关系,MAP(Mn,Pcj)表示机床和工序的连边关系,MAP(Oi,Pdk)表示订单和产品的连边关系,表示截止到t时刻第i个订单中第k类产品已完成的任务量,Qi,k表示第i个订单中要求的第k类产品的任务量。Among them, MAP(Mn , Pdk ) represents the connection between the machine tool and the product, MAP(Pdk , Pcj ) represents the connection between the product and the process, and MAP(Mn , Pcj ) represents the connection between the machine tool and the process Edge relationship, MAP(Oi , Pdk ) represents the edge relationship between orders and products, Represents the completed tasks of the k-th product in the ith order by the time t, and Qi,k represents the task volume of the k-th product required in the ith order.
步骤3:以制造过程图数据集为输入,构建深层图卷积神经网络,提取制造过程中的空间特征,如图3所示,网络结构如下:Step 3: Using the manufacturing process graph dataset as input, construct a deep graph convolutional neural network to extract spatial features in the manufacturing process, as shown in Figure 3, the network structure is as follows:
其中,H(0)=X,X为节点特征矩阵,W∈RN×N为要训练的参数矩阵,A∈RN×N为邻接矩阵,D∈RN×N为度矩阵,IN为N维单位矩阵。Among them, H(0) =X, X is the node feature matrix, W∈RN×N is the parameter matrix to be trained, A∈RN×N is the adjacency matrix, D∈RN×N is the degree matrix, IN is an N-dimensional identity matrix.
步骤4:以制造过程时序数据集为输入,构建门控循环单元网络,提取制造过程中的时序特征,如图4所示,网络结构如下:Step 4: Using the manufacturing process time series data set as input, construct a gated recurrent unit network, and extract the time series features in the manufacturing process, as shown in Figure 4, the network structure is as follows:
更新门:zt=σ(Wzxt+Uzht-1)Update gate: zt =σ(Wz xt +Uz ht-1 )
重置门:rt=σ(Wrxt+Urht-1)Reset gate: rt =σ(Wr xt +Ur ht-1 )
当前记忆:h't=tanh(Wxt+Urt⊙ht-1)Current memory: h't = tanh(Wxt +Urt ⊙ht-1 )
最终记忆:ht=(1-zt)⊙ht-1+zt⊙h'tFinal memory: ht =(1-zt )⊙ht-1 +zt ⊙h't
其中,⊙表示两个矩阵按元素相乘,xt为当前时刻的数据,ht-1为上一个GRU单元的输出,zt为更新门的输出,rt为重置门的输出,h't为候选隐藏状态,ht为当前GRU单元的输出,Wz和Uz为更新门的更新参数,Wr和Ur为重置门的更新参数,W和U为当前记忆公式的更新参数。Among them, ⊙ represents the element-wise multiplication of two matrices, xt is the data at the current moment, ht-1 is the output of the previous GRU unit, zt is the output of the update gate, rt is the output of the reset gate, h 't is the candidate hidden state, ht is the output of the current GRU unit, Wz and Uz are the update parameters of the update gate, Wr and Ur are the update parameters of the reset gate, W and U are the update of the current memory formula parameter.
步骤5:针对步骤3和步骤4所提取到的空间特征信息和时序特征信息,建立深度神经网络融合两方面特征信息,并引入Dropout和L2正则化项来防止模型出现过拟合问题,特征融合模型计算公式如下:Step 5: According to the spatial feature information and time series feature information extracted in steps 3 and 4, a deep neural network is established to fuse the two aspects of feature information, and Dropout and L2 regularization terms are introduced to prevent the model from overfitting and feature fusion. The model calculation formula is as follows:
y=f(w[yi;yj]+b)y=f(w[yi ; yj ]+b)
式中,f为该层的激活函数,w为对应的权重值,yi是GCN模型的输出,yj是GRU模型的输出,y是模型融合后的值,b为偏置。In the formula, f is the activation function of the layer, w is the corresponding weight value, yi is the output of the GCN model, yj is the output of the GRU model, y is the value after model fusion, and b is the bias.
误差计算公式如下:The error calculation formula is as follows:
式中,n为数据个数,△yi表示真实值与预测值之间的差值,δ表示权重衰减参数,w是神经元间的连接权重。In the formula, n is the number of data, △yi is the difference between the actual value and the predicted value, δ is the weight decay parameter, and w is the connection weight between neurons.
| Application Number | Priority Date | Filing Date | Title |
|---|---|---|---|
| CN202210705184.6ACN115146837B (en) | 2022-06-21 | 2022-06-21 | A method for predicting remaining completion time of an order based on GCN-GRU |
| Application Number | Priority Date | Filing Date | Title |
|---|---|---|---|
| CN202210705184.6ACN115146837B (en) | 2022-06-21 | 2022-06-21 | A method for predicting remaining completion time of an order based on GCN-GRU |
| Publication Number | Publication Date |
|---|---|
| CN115146837Atrue CN115146837A (en) | 2022-10-04 |
| CN115146837B CN115146837B (en) | 2024-07-23 |
| Application Number | Title | Priority Date | Filing Date |
|---|---|---|---|
| CN202210705184.6AActiveCN115146837B (en) | 2022-06-21 | 2022-06-21 | A method for predicting remaining completion time of an order based on GCN-GRU |
| Country | Link |
|---|---|
| CN (1) | CN115146837B (en) |
| Publication number | Priority date | Publication date | Assignee | Title |
|---|---|---|---|---|
| CN116307528A (en)* | 2023-02-21 | 2023-06-23 | 云南中烟工业有限责任公司 | A Time Series Prediction Method of Process Quality Based on Graph Neural Network |
| CN118071307A (en)* | 2024-04-19 | 2024-05-24 | 山东尚智建设有限公司 | Data analysis method and system for project construction progress prediction |
| Publication number | Priority date | Publication date | Assignee | Title |
|---|---|---|---|---|
| CN103996145A (en)* | 2014-05-07 | 2014-08-20 | 西安交通大学 | Manufacturing workshop carbon discharge comprehensive evaluation method |
| CN109376848A (en)* | 2018-09-01 | 2019-02-22 | 哈尔滨工程大学 | A Simplified Gated Unit Neural Network |
| CN112001618A (en)* | 2020-08-18 | 2020-11-27 | 西安建筑科技大学 | Integrated optimization method for project period assignment, order acceptance and production scheduling |
| CN112541638A (en)* | 2020-12-21 | 2021-03-23 | 北京邮电大学 | Method for estimating travel time of vehicle connected with Internet |
| US20220004584A1 (en)* | 2020-07-03 | 2022-01-06 | Hitachi, Ltd. | Generation device, generation method, and recording medium |
| CN114529081A (en)* | 2022-02-18 | 2022-05-24 | 哈尔滨工程大学 | Space-time combined traffic flow prediction method and device |
| Publication number | Priority date | Publication date | Assignee | Title |
|---|---|---|---|---|
| CN103996145A (en)* | 2014-05-07 | 2014-08-20 | 西安交通大学 | Manufacturing workshop carbon discharge comprehensive evaluation method |
| CN109376848A (en)* | 2018-09-01 | 2019-02-22 | 哈尔滨工程大学 | A Simplified Gated Unit Neural Network |
| US20220004584A1 (en)* | 2020-07-03 | 2022-01-06 | Hitachi, Ltd. | Generation device, generation method, and recording medium |
| CN112001618A (en)* | 2020-08-18 | 2020-11-27 | 西安建筑科技大学 | Integrated optimization method for project period assignment, order acceptance and production scheduling |
| CN112541638A (en)* | 2020-12-21 | 2021-03-23 | 北京邮电大学 | Method for estimating travel time of vehicle connected with Internet |
| CN114529081A (en)* | 2022-02-18 | 2022-05-24 | 哈尔滨工程大学 | Space-time combined traffic flow prediction method and device |
| Title |
|---|
| SHENGBO WANG 等: "A spatial-temporal feature fusion network for order remaining completion time prediction in discrete manufacturing workshop", 《INTERNATIONAL JOURNAL OF PRODUCTION RESEARCH》, 17 August 2023 (2023-08-17), pages 1 - 17* |
| 刘道元 等: "一种面向订单剩余完工时间预测的SOM-FWFCM特征选择算法", 《 中国机械工程》, vol. 32, no. 9, 23 December 2019 (2019-12-23), pages 1073 - 1079* |
| Publication number | Priority date | Publication date | Assignee | Title |
|---|---|---|---|---|
| CN116307528A (en)* | 2023-02-21 | 2023-06-23 | 云南中烟工业有限责任公司 | A Time Series Prediction Method of Process Quality Based on Graph Neural Network |
| CN118071307A (en)* | 2024-04-19 | 2024-05-24 | 山东尚智建设有限公司 | Data analysis method and system for project construction progress prediction |
| Publication number | Publication date |
|---|---|
| CN115146837B (en) | 2024-07-23 |
| Publication | Publication Date | Title |
|---|---|---|
| CN118884908A (en) | Industrial manufacturing process and production operation and maintenance optimization method and system based on digital twin | |
| Wu et al. | A weighted deep domain adaptation method for industrial fault prognostics according to prior distribution of complex working conditions | |
| CN109902861B (en) | Order production progress real-time prediction method based on double-layer transfer learning | |
| CN110648014B (en) | A regional wind power forecasting method and system based on spatiotemporal quantile regression | |
| CN115376317B (en) | A Traffic Flow Prediction Method Based on Dynamic Graph Convolution and Temporal Convolutional Network | |
| CN113449919B (en) | Power consumption prediction method and system based on feature and trend perception | |
| CN116485576A (en) | Intelligent manufacturing management platform for brain data with known source in aviation manufacturing industry | |
| CN119357769A (en) | A deep fusion network production line fault prediction method based on deep learning | |
| CN104407589A (en) | Workshop manufacturing process-oriented active sensing and anomaly analysis method of real-time generating performance | |
| CN116168548A (en) | Traffic flow prediction method of space-time attention pattern convolution network based on multi-feature fusion | |
| CN110335168A (en) | Method and system for optimizing power consumption information collection terminal fault prediction model based on GRU | |
| CN115146837A (en) | A GCN-GRU-based method for predicting the remaining completion period of an order | |
| CN110517488A (en) | Short-term Traffic Flow Forecasting Method Based on Time Series Decomposition and Recurrent Neural Network | |
| CN108346293A (en) | A kind of arithmetic for real-time traffic flow Forecasting Approach for Short-term | |
| CN118607361A (en) | An intelligent rationing method and system for pig house feed supply | |
| CN114912169B (en) | Industrial building heat supply autonomous optimization regulation and control method based on multisource information fusion | |
| CN119004072A (en) | Intelligent big data acquisition and analysis method and system based on deep learning | |
| CN116777049A (en) | User electricity consumption prediction method and system | |
| CN114841063A (en) | A deep learning-based method for predicting the remaining life of aero-engines | |
| CN117116045A (en) | Traffic flow prediction method and device based on space-time sequence deep learning | |
| CN119558609A (en) | A planning method for complex tasks of UAV inspection in pumped storage power stations | |
| Li et al. | A novel ensemble learning approach for intelligent logistics demand management | |
| Ghosh et al. | Weather data mining using artificial neural network | |
| CN105913142B (en) | Method for improving order completion period prediction accuracy by utilizing workshop RFID data | |
| Cui et al. | Prediction of aeroengine remaining useful life based on SE-BiLSTM |
| Date | Code | Title | Description |
|---|---|---|---|
| PB01 | Publication | ||
| PB01 | Publication | ||
| SE01 | Entry into force of request for substantive examination | ||
| SE01 | Entry into force of request for substantive examination | ||
| GR01 | Patent grant | ||
| GR01 | Patent grant |