Movatterモバイル変換


[0]ホーム

URL:


CN115131965B - Vehicle control method, device, system, electronic equipment and storage medium - Google Patents

Vehicle control method, device, system, electronic equipment and storage medium
Download PDF

Info

Publication number
CN115131965B
CN115131965BCN202210724762.0ACN202210724762ACN115131965BCN 115131965 BCN115131965 BCN 115131965BCN 202210724762 ACN202210724762 ACN 202210724762ACN 115131965 BCN115131965 BCN 115131965B
Authority
CN
China
Prior art keywords
time
vehicle
target
determining
relevant
Prior art date
Legal status (The legal status is an assumption and is not a legal conclusion. Google has not performed a legal analysis and makes no representation as to the accuracy of the status listed.)
Active
Application number
CN202210724762.0A
Other languages
Chinese (zh)
Other versions
CN115131965A (en
Inventor
陈鹏宇
游正民
Current Assignee (The listed assignees may be inaccurate. Google has not performed a legal analysis and makes no representation or warranty as to the accuracy of the list.)
Chongqing Changan Automobile Co Ltd
Original Assignee
Chongqing Changan Automobile Co Ltd
Priority date (The priority date is an assumption and is not a legal conclusion. Google has not performed a legal analysis and makes no representation as to the accuracy of the date listed.)
Filing date
Publication date
Application filed by Chongqing Changan Automobile Co LtdfiledCriticalChongqing Changan Automobile Co Ltd
Priority to CN202210724762.0ApriorityCriticalpatent/CN115131965B/en
Publication of CN115131965ApublicationCriticalpatent/CN115131965A/en
Application grantedgrantedCritical
Publication of CN115131965BpublicationCriticalpatent/CN115131965B/en
Activelegal-statusCriticalCurrent
Anticipated expirationlegal-statusCritical

Links

Images

Classifications

Landscapes

Abstract

The invention provides a vehicle control method, a device, a system, electronic equipment and a storage medium, wherein the method comprises the steps of determining related vehicles if a target vehicle is in a state to be converged, predicting related prediction convergence time of each related vehicle, and predicting target prediction convergence time of the target vehicle, and determining related vehicle distance, related interval and target interval, wherein an effective time window can be determined, a plurality of time to be selected are determined based on each effective time window, and the target vehicle is controlled to converge at a convergence position at a preferable time, so that the auxiliary control of the target vehicle to converge can be realized, the safety is higher, the related vehicle is not required to be an intelligent network-connected vehicle, the requirement on the information exchange capability of the vehicle to the outside is lower, the cloud platform calculation distribution is not required, the communication and calculation cost is low, and the usability is strong.

Description

Vehicle control method, device, system, electronic equipment and storage medium
Technical Field
The embodiment of the application relates to the technical field of automobiles, in particular to a vehicle control method, a device, a system, electronic equipment and a storage medium.
Background
The invention and development of the auxiliary driving bring great convenience to the human driving and reduce the fatigue of the driver, but the junction of the ramp or the junction caused by the reduction of the road is always a difficult point of the auxiliary driving, and the auxiliary driving is very easy to bring very poor driving feeling to the driver under the scene and even cause traffic accidents. In recent years. The technology in the auxiliary driving field is rapidly developed, and the improvement of sensor performance, ADAS (advanced driver assistant systems, advanced driving auxiliary system) map performance and the like lays a technical foundation for solving the special scene.
In the related art, the vehicles needing to be converged are often required to be uniformly called by means of an intelligent networking technology, the converging passing time is allocated, the vehicles are controlled to pass through the converging point according to the allocated time, so that safe convergence is realized, but all the vehicles needing to pass through the converging point are intelligent networking automobiles, and the vehicles have higher requirements on the information exchange capability of the outside, and the cloud platform is required to calculate and allocate, so that the communication and calculation cost is high, and the realization difficulty is high.
Disclosure of Invention
In view of the above-mentioned shortcomings of the prior art, the present invention provides a vehicle control method, apparatus, system, electronic device and storage medium, so as to solve the above-mentioned technical problems.
The invention provides a vehicle control method, which comprises the following steps:
if the target vehicle is in a waiting state, determining a relevant area according to the target vehicle position of the target vehicle, and determining a plurality of vehicles positioned in the relevant area as relevant vehicles;
acquiring a confluence position and a related vehicle position of each related vehicle, predicting a related predicted confluence time of each related vehicle, and a target predicted confluence time of the target vehicle;
Sorting the related vehicles according to the related prediction convergence time, determining a related distance according to the related vehicle position of each related vehicle in a related vehicle group, determining a related interval according to the related prediction convergence time of each related vehicle in the related vehicle group, and determining a target interval of each related vehicle according to a target prediction convergence time and the related prediction convergence time of each related vehicle in the related vehicle group, wherein the related vehicle group comprises sorting two adjacent related vehicles;
determining a relevant prediction convergence time of each relevant vehicle in at least one relevant vehicle group as an effective time window according to the relevant vehicle distance, the relevant interval and the target interval;
and determining a plurality of candidate moments based on the effective time windows, and controlling the target vehicle to converge at a preferred moment at the converging position, wherein the preferred moment is one candidate moment.
In an embodiment of the present invention, if a target vehicle is in a state to be converged, determining a relevant area according to a target vehicle position of the target vehicle, and before determining a plurality of vehicles located in the relevant area as relevant vehicles, the method includes:
Acquiring at least one of the current driving state and the current acceleration value, determining a target convergence distance according to the target vehicle position and the convergence position, and determining a vehicle region of the target vehicle according to the target vehicle position;
if the target vehicle meets a preset vehicle condition, the target vehicle is in a waiting and converging state, wherein the preset vehicle condition comprises at least one of the following conditions, the target converging distance is smaller than a preset converging threshold value, the vehicle area comprises a preset area, the current driving state comprises a preset driving state, and the current acceleration value is smaller than a preset acceleration threshold value.
In an embodiment of the present invention, determining a plurality of candidate moments based on each of the valid time windows, and controlling the target vehicle to converge at the convergence position at a preferred moment includes:
determining a plurality of to-be-selected moments based on each effective time window, and determining one to-be-selected moment as the preferred moment;
acquiring a target vehicle speed of the target vehicle, and determining a target confluence distance according to the target vehicle position and the confluence position;
determining a target acceleration according to the target vehicle speed, the target confluence distance and the preferred moment;
And controlling the target vehicle to accelerate according to the target acceleration so that the target vehicle converges at the converging position at a preferred moment.
In an embodiment of the present invention, determining, as the valid time window, the associated predicted convergence time of each associated vehicle in at least one of the associated vehicle groups according to the associated vehicle distance, the associated interval, and the target interval includes:
and if the related vehicle group meets a preset window condition, determining the related prediction convergence time of each related vehicle in the related vehicle group as an effective time window, wherein the preset window condition comprises that the related vehicle distance is larger than a preset vehicle distance threshold value, the related interval is larger than a first preset interval threshold value, and the target interval is larger than a second preset interval threshold value.
In an embodiment of the present invention, before determining a plurality of candidate moments based on each of the valid time windows, the method includes:
determining a post-vehicle estimated time according to the target predicted confluence time and a preset first coefficient, and determining the post-vehicle estimated time or the first preset estimated time as a theoretical estimated time, wherein the preset first coefficient is larger than 1;
determining an estimated window extremum based on the theoretical estimated time and a first target estimated time, wherein the first target estimated time is the largest correlation prediction convergence time in the correlation prediction convergence times;
And determining a post-vehicle estimated time window according to the first target estimated time and the estimated window extreme value, and determining the post-vehicle estimated time window as an effective time window.
In an embodiment of the present invention, before determining a plurality of candidate moments based on each of the valid time windows, the method includes:
if the target prediction confluence time is earlier than each relevant prediction confluence time, determining a front prediction time window according to a second preset prediction time and a second target prediction time, determining the front prediction time window as an effective time window, wherein the second target prediction time is the smallest relevant prediction confluence time in each relevant prediction confluence time.
In one embodiment of the present invention, before the target vehicle performs the converging at the converging position, the method includes:
re-determining a new effective time window, and determining a plurality of new candidate moments based on the new effective time window;
determining a new preferred moment based on each new candidate moment;
if the new time difference between the new priority time and the preferred time is smaller than a preset time difference threshold value, controlling the target vehicle to converge at the converging position at the preferred time;
And if the new time difference between the new priority time and the preferred time is larger than a preset time difference threshold value, controlling the target vehicle to converge at the converging position at the new preferred time.
In an embodiment of the present invention, after determining a plurality of candidate moments based on each of the valid time windows, the method includes:
acquiring a target vehicle position of the target vehicle and a related interval of a target related vehicle group, determining the related interval as a front-back time interval of the time to be selected, wherein the target related vehicle group is the related vehicle group of the effective time window in which the time to be selected is located;
determining a time change amount according to the target prediction convergence time and the waiting time;
determining the collision time of the front vehicle according to the time to be selected and the related prediction convergence time of a first target related vehicle in the target related vehicle group, wherein the first target related vehicle is a related vehicle with smaller related prediction convergence time in the target related vehicle group;
determining the collision time of the rear vehicle according to the time to be selected and the related prediction convergence time of a second target related vehicle in the target related vehicle group, wherein the second target related vehicle is a related vehicle with larger related prediction convergence time in the target related vehicle group;
Determining a target confluence distance according to the target vehicle position and the confluence position, and determining a speed error based on the target confluence distance, the time to be selected and a preset target speed;
and determining one time to be selected as a preferred time based on the front-rear time interval, the time change amount, the front vehicle collision time, the rear vehicle collision time and the speed error of each time to be selected.
In an embodiment of the present invention, determining one of the candidate moments as a preferred moment includes based on a front-rear time interval, a time change amount, a front vehicle collision time, a rear vehicle collision time, and a speed error of each of the candidate moments;
determining the minimum value in the time intervals before and after each time to be selected as the minimum time interval;
determining the maximum value in the time change amount of each time to be selected as the maximum change amount;
determining the minimum value of the collision time of the front vehicle at each time to be selected as the minimum time of the front vehicle;
determining the minimum value of the collision time of the rear vehicle at each time to be selected as the minimum time of the rear vehicle;
determining the maximum value of the speed errors at each time to be selected as the maximum error;
determining a cost value of the time to be selected based on the time to be selected, the minimum time interval, the maximum change amount, the minimum time of the front vehicle, the minimum time of the rear vehicle and the maximum error;
And determining the time to be selected with the minimum cost value as the preferred time.
In an embodiment of the present invention, determining the cost value of the time to be selected based on the time to be selected, the minimum time interval, the maximum change amount, the minimum time to be used in front of the vehicle, the minimum time to be used in back of the vehicle, and the maximum error includes:
Figure BDA0003710503830000041
wherein f (t)i ) For the i-th time t to be selectedi Gain1 is a preset second coefficient, and TimeChange is the time t to be selectedi Time change of (a)max For the maximum change, gain2 is a preset third coefficient, timeGapmin For the minimum time interval, timeGap is the time t to be selectedi Gain3 is a preset fourth coefficient, fttcmin For the minimum time of the front vehicle, fttc is the time t to be selectedi Gain4 is a preset fifth coefficient, rttcmin For the minimum time of the rear vehicle, rttc is the time t to be selectedi Gain5 is a preset sixth coefficient, velError is a time t to be selectedi Velocity error, velErrormax Is the maximum error.
The invention also provides a vehicle control device, which comprises:
the vehicle-related determining module is used for determining a related area according to the target vehicle position of the target vehicle if the target vehicle is in a state to be converged, and determining a plurality of vehicles positioned in the related area as related vehicles;
The acquisition prediction module is used for acquiring a confluence position and a related vehicle position of each related vehicle, predicting related prediction confluence time of each related vehicle and target prediction confluence time of the target vehicle;
the sequencing module is used for sequencing each related vehicle according to the related prediction convergence time, determining a related distance according to the related vehicle position of each related vehicle in the related vehicle group, determining a related interval according to the related prediction convergence time of each related vehicle in the related vehicle group, and determining a target interval of each related vehicle according to the target prediction convergence time and the related prediction convergence time of each related vehicle in the related vehicle group, wherein the related vehicle group comprises sequencing two adjacent related vehicles;
the effective time window determining module is used for determining the relevant prediction convergence time of each relevant vehicle in at least one relevant vehicle group as an effective time window according to the relevant vehicle distance, the relevant interval and the target interval;
and the control module is used for determining a plurality of to-be-selected moments based on the effective time windows and controlling the target vehicle to converge at the converging position at a preferable moment, wherein the preferable moment is one to-be-selected moment.
The invention also provides a vehicle control system, which comprises a satellite positioning module, a navigation map module, an image acquisition module, a millimeter wave radar module, a controller and a memory;
the satellite positioning module is used for providing a target vehicle position of a target vehicle;
the navigation map module is used for providing a confluence position, determining a target confluence distance and a confluence direction according to the target vehicle position and the confluence position;
the image acquisition module is used for outputting lane line curve equations of a current lane and an adjacent lane, front target information and front passable area points;
the millimeter wave radar module is used for outputting vehicle target information and radar reflection point data so as to determine related vehicles and related vehicle positions of the related vehicles;
one or more computer programs are stored in the memory;
the controller invokes the computer program to execute the vehicle control method according to any one ofclaims 1 to 10.
The invention provides an electronic device, comprising:
one or more processors;
a storage means for storing one or more programs that, when executed by the one or more processors, cause the electronic device to implement the vehicle control method as in any of the embodiments described above.
The present invention provides a computer-readable storage medium having stored thereon computer-readable instructions that, when executed by a processor of a computer, cause the computer to perform the vehicle control method of any one of the above embodiments.
The invention has the beneficial effects that: according to the vehicle control method, the device, the system, the electronic equipment and the storage medium, the method is characterized in that if the target vehicle is in a state to be converged, the related vehicles are determined, the related prediction convergence time of each related vehicle is predicted, the target prediction convergence time of the target vehicle is determined, the related vehicle distance, the related interval and the target interval are determined, the effective time window can be determined, a plurality of time to be selected are determined based on each effective time window, the target vehicle is controlled to be converged at the preferred time at the convergence position, the auxiliary control of the target vehicle to be converged can be realized, the safety is higher, the related vehicles are not required to be defined as intelligent network connected vehicles, the requirement on the information exchange capability of the vehicles to the outside is lower, the cloud platform calculation distribution is not required, the communication and calculation cost is low, and the usability is strong.
It is to be understood that both the foregoing general description and the following detailed description are exemplary and explanatory only and are not restrictive of the application.
Drawings
The accompanying drawings, which are incorporated in and constitute a part of this specification, illustrate embodiments consistent with the application and together with the description, serve to explain the principles of the application. It is apparent that the drawings in the following description are only some embodiments of the present application, and that other drawings may be obtained from these drawings without inventive effort for a person of ordinary skill in the art. In the drawings:
FIG. 1 is a schematic illustration of an environment in which a vehicle control method is implemented, as shown in an exemplary embodiment of the present application;
FIG. 2 is a flow chart illustrating a vehicle control method according to an exemplary embodiment of the present application;
FIG. 3 is a schematic diagram of a vehicle screening ID shown in an exemplary embodiment of the present application;
FIG. 4 is a flow chart illustrating a particular vehicle control method according to an exemplary embodiment of the present application;
FIG. 5 is a block diagram of a vehicle control apparatus shown in an exemplary embodiment of the present application;
FIG. 6 is a block diagram of a vehicle control system shown in an exemplary embodiment of the present application;
fig. 7 shows a schematic diagram of a computer system suitable for use in implementing the electronic device of the embodiments of the present application.
Detailed Description
Further advantages and effects of the present invention will become readily apparent to those skilled in the art from the disclosure herein, by referring to the accompanying drawings and the preferred embodiments. The invention may be practiced or carried out in other embodiments that depart from the specific details, and the details of the present description may be modified or varied from the spirit and scope of the present invention. It should be understood that the preferred embodiments are presented by way of illustration only and not by way of limitation.
It should be noted that the illustrations provided in the following embodiments merely illustrate the basic concept of the present invention by way of illustration, and only the components related to the present invention are shown in the drawings and are not drawn according to the number, shape and size of the components in actual implementation, and the form, number and proportion of the components in actual implementation may be arbitrarily changed, and the layout of the components may be more complicated.
In the following description, numerous details are set forth in order to provide a more thorough explanation of embodiments of the present invention, it will be apparent, however, to one skilled in the art that embodiments of the present invention may be practiced without these specific details, in other embodiments, well-known structures and devices are shown in block diagram form, rather than in detail, in order to avoid obscuring the embodiments of the present invention.
ADAS (advanced driving assistance systems) collect environmental data inside and outside a vehicle by various sensors mounted on the vehicle, and perform technical processes such as identification, detection and tracking of static or dynamic objects, so that a driver can perceive a possible danger in a minimum time, thereby improving driving safety. The ADAS is used for collecting the environmental data inside and outside the vehicle in real time through various sensors so as to predict the environment in front of the vehicle, wherein the sensors mainly comprise a vision sensor, a millimeter wave radar sensor, a laser Lei Chuan sensor and the like.
V2X (vehicle to everything, vehicle-to-outside information exchange), the Internet of vehicles establishes a new development direction of automobile technology by integrating a Global Positioning System (GPS) navigation technology, a vehicle-to-vehicle communication technology, wireless communication and a remote sensing technology, and realizes the compatibility of manual driving and automatic driving.
In short, the vehicle model matched with the system can automatically select the running route with the best road condition through analyzing the real-time traffic information in an automatic driving mode, so that traffic jam is greatly relieved. In addition, through using on-vehicle sensor and camera system, can also perceive the surrounding environment, make rapid adjustment to realize "zero traffic accident". For example, if a pedestrian suddenly appears, it may automatically slow down to a safe speed or stop.
Referring to fig. 1, fig. 1 is a schematic view of an implementation environment of a vehicle control method according to an exemplary embodiment of the present application. As shown in fig. 1, an exemplary vehicle control system includes atarget vehicle 101, a plurality ofrelated vehicles 102, 103, aserver 104, thetarget vehicle 101 and related vehicles may be any vehicle provided by one skilled in the art. The server may be a server required by those skilled in the art, and is not limited herein. The map includes two ramps a and a ramp B (the method provided by the embodiment of the application is not limited to use in a ramp scene, and other scenes needing lane confluence can be suitable), and the running direction of the vehicle is the direction shown by the upward direction along the ramp. The figures only take two related vehicles as examples, and the number of related vehicles can be selected by those skilled in the art as required. The method of the embodiment of the application can be realized based on equipment carried by the target vehicle, or can be realized by a server according to the method provided by the embodiment of the application, and the obtained preferable time is issued to the target vehicle. The server may also be equipped with a data receiving end of a satellite positioning system or an ADAS map. In an alternative embodiment, the vehicle control system may also be implemented as an overriding server as described above, relying on the computing power of the target vehicle itself to effect the determination of the preferred moment.
The invention and development of the auxiliary driving bring great convenience to the human driving and reduce the fatigue of the driver, but the junction of the ramp or the junction caused by the reduction of the road is always a difficult point of the auxiliary driving, and the auxiliary driving is very easy to bring very poor driving feeling to the driver under the scene and even cause traffic accidents. In recent years. The technology in the auxiliary driving field is rapidly developed, and the improvement of sensor performance, ADAS (advanced driving auxiliary systems) map performance and the like lays a technical foundation for solving the special scene.
In the related art, the vehicles needing to be converged are often required to be uniformly called by means of an intelligent networking technology, the converging passing time is allocated, and the vehicles are controlled to pass through the converging point according to the allocated time so as to realize safe convergence. To solve these problems, embodiments of the present application respectively propose a vehicle control method, a vehicle control apparatus, a vehicle control system, an electronic device, a computer-readable storage medium, and a computer program product, which will be described in detail below.
Referring to fig. 2, fig. 2 is a flowchart illustrating a vehicle control method according to an exemplary embodiment of the present application. The method may be applied to the implementation environment shown in fig. 1 and specifically executed by at least one of a server in the implementation environment, a processor and a controller in the target vehicle, and the like. It should be understood that the method may be adapted to other exemplary implementation environments and be specifically executed by devices in other implementation environments, and the implementation environments to which the method is adapted are not limited by the present embodiment.
As shown in fig. 2, in an exemplary embodiment, the vehicle control method at least includes steps S201 to S205, and is described in detail as follows:
in step S201, if the target vehicle is in the waiting state, the relevant area is determined according to the target vehicle position of the target vehicle, and a plurality of vehicles located in the relevant area are determined as relevant vehicles.
The target vehicle may be a vehicle having a communication function that travels on a road surface, and the target vehicle position may be determined by means of satellite positioning, or may be determined by other means known to those skilled in the art.
In an alternative embodiment, determining a plurality of vehicles located in a relevant area as relevant vehicles includes:
Identifying a plurality of vehicles positioned in the relevant area to obtain surrounding vehicle IDs, and identifying a target vehicle to obtain a target vehicle ID;
determining a converging direction according to the road information and the lane information of the current position of the target vehicle;
and screening a plurality of vehicles in the relevant area based on the converging direction, and determining the relevant vehicles.
The relevant area may be an area preset by a person skilled in the art, for example, an area of 50 meters around the target vehicle position, or the like. The relevant area may be an area that can be covered by a millimeter wave radar and/or a camera that is provided in the target vehicle itself.
Referring to fig. 3, fig. 3 is a schematic diagram of a vehicle screening ID shown in an exemplary embodiment of the present application. That is, by showing the target vehicle, a plurality of vehicles located in the relevant area, according to their IDs, an exemplary vehicle distribution map shown in fig. 3 can be obtained. Based on fig. 3, where HV/55 is the target vehicle ID, the remaining numbers are IDs of a plurality of vehicles located in the relevant area, where "1, 2, 3, 4, 5" identifies the lane number. When the merging direction is leftward merging, only the left vehicles (vehicles in front of HV/55,lanes 1, 2) need to be considered at this time. If there is a confluence on the right side, only the right vehicles (vehicles in front of HV/55,lanes 4, 5) need to be considered.
The road information may be the trend of the current road (such as straight, converging into a certain road, reducing lanes of the road, etc.), the intersection with other roads, such as converging into a certain road, etc. The determination of the converging direction may be implemented in a manner known to those skilled in the art, and will not be described herein.
By the method, the obstacle (vehicle) outside the relevant area can be temporarily disregarded, the occupation of calculation force is reduced, and the calculation speed is improved.
In an alternative embodiment, if the target vehicle is in a state to be converged, determining a relevant area according to the target vehicle position of the target vehicle, and before determining a plurality of vehicles located in the relevant area as relevant vehicles, determining whether the target vehicle is in a state to be converged is further required, the method includes:
acquiring at least one of a current driving state and a current acceleration value, determining a target confluence distance according to a target vehicle position and a confluence position, and determining a vehicle region of a target vehicle according to the target vehicle position;
if the target vehicle meets the preset vehicle condition, the target vehicle is in a waiting and converging state, wherein the preset vehicle condition comprises at least one of the following conditions, the target converging distance is smaller than a preset converging threshold value, the vehicle area comprises a preset area, the current driving state comprises a preset driving state, and the current acceleration value is smaller than a preset acceleration threshold value.
The current driving state includes manual driving, auxiliary driving and the like, and a person skilled in the art can distinguish the current driving state according to needs, and determine whether the current target vehicle needs to execute the vehicle control method provided by the embodiment based on the current driving state. The current acceleration value may be an acceleration value in an acceleration state or a deceleration value in a deceleration state, and is not limited herein. Based on the acceleration value, it may be determined whether the target vehicle is in a rapid acceleration or a rapid deceleration. The target confluence distance is the distance that the target vehicle reaches the confluence position. The vehicle area can be defined by a person skilled in the art according to the need, for example, the vehicle area is a preset area 500 m away from the converging position, and the vehicle area is other areas beyond 500 m away from the converging position. For example, in the case of lane reduction, the lane is a preset area when the lane is reduced, or two lanes are combined into one lane in the front, the vehicle areas of the target vehicles positioned on the two lanes are all preset areas, and the target vehicles of other lanes are non-preset areas. For example, the vehicle region of the target vehicle located on the ramp is a preset region. In other words, the preset area includes, but is not limited to, a ramp, a lane-reduction related lane, and the like.
In one embodiment, the predetermined vehicle condition is at least one of:
an ADAS map displays that a vehicle is in a ramp (a vehicle area comprises a preset area);
2. the distance to the confluence point is less than 150m (the target confluence distance is less than the preset confluence threshold value);
3. the self-vehicle is in high-level auxiliary driving, namely, is simultaneously controlled by the auxiliary driving in the transverse and longitudinal directions (the current driving state comprises a preset driving state);
4. the own vehicle does not accelerate or decelerate suddenly (the current acceleration value is smaller than the preset acceleration threshold value).
In other words, if the target vehicle does not meet the preset vehicle condition, it is continuously determined whether the target vehicle meets the preset vehicle condition, and if not, the method provided in this embodiment is not executed, and may be implemented in a manner known to those skilled in the art, and if so, the method provided in this embodiment may be implemented to control the target vehicle.
Step S202, acquiring a confluence position and a relevant vehicle position of each relevant vehicle, predicting a relevant predicted confluence time of each relevant vehicle, and a target predicted confluence time of a target vehicle.
The confluence position may be obtained through an ADAS map, and the relevant vehicle position may be obtained through satellite positioning or the like, but the method has high requirements on configuration, communication, and the like of the relevant vehicle, and in an embodiment, the relevant vehicle position may also be obtained through at least one of millimeter wave radar and a camera of the target vehicle. The method of acquiring the relevant vehicle position by using the millimeter wave radar and the camera may be implemented in a manner known to those skilled in the art, and will not be described herein.
In an alternative embodiment, the relevant predicted convergence time is determined according to the distance of the relevant vehicle from the convergence position (relevant convergence distance), the speed of the relevant vehicle, and a preset acceleration coefficient. The target predicted convergence time is determined according to the target convergence distance, the speed of the target vehicle and a preset acceleration coefficient. For different related vehicles or target vehicles, the preset acceleration coefficients can be the same, and the preset acceleration coefficient corresponding to the vehicle can be determined according to the speed, acceleration and other parameters of the vehicle.
For example, the relevant predicted convergence time and the target predicted convergence time are determined as follows.
If there is no vehicle in front of the vehicle (may be the relevant vehicle or the target vehicle), the time (the relevant predicted merging time or the target predicted merging time) at which it reaches the merging point (merging position) is estimated as:
Figure BDA0003710503830000091
where Time represents the relevant predicted convergence Time or the target predicted convergence Time to the convergence point (depending on whether the currently input parameter is a parameter of the relevant vehicle or a parameter of the target vehicle), distance represents the Distance of the vehicle from the convergence point, speed represents the current vehicle speed, and Gain is an influencing factor (preset acceleration coefficient) caused by acceleration.
The Gain can be obtained by inquiring a two-dimensional table, the input of the two-dimensional table is the Distance from the current to the current junction point and the current acceleration and deceleration of the related vehicle, and the output is the coefficient Gain. The two-dimensional table may be preset by a person skilled in the art. The specific two-dimensional table setting method is not described herein.
If a vehicle is in front of the vehicle, the time to approach the junction (the relevant predicted junction time or the target predicted junction time) is estimated in such a way that if the vehicle speed is greater than the preceding vehicle, the vehicle speed is greater than the preceding vehicle
Figure BDA0003710503830000101
Wherein, time represents the relevant predicted convergence Time or target predicted convergence Time to the convergence point, timeFront Distance represents the Distance between the vehicle and the front vehicle of the vehicle, v represents the speed of the vehicle (speed of the vehicle concerned or speed of the target vehicleDegree), vf The speed of the preceding vehicle is expressed, and Gain is an influence factor (preset acceleration coefficient) caused by acceleration.
If the speed of the vehicle is less than the speed of the preceding vehicle of the associated vehicle, the time for the vehicle to reach the junction is calculated using the method (equation (1)) with no vehicle ahead.
By the method, the time when the current target vehicle and the related vehicle are expected to be converged to the converging position can be known. Note that, the parameters of the relevant predicted convergence time, the target predicted convergence time, and the relevant time dimension determined based on the above two parameters in this embodiment may be a specific time, for example, XX minutes XX seconds in XX year XX month XX day XX, or may be expressed as how long from the current time, for example, 15 seconds.
Step S203, sorting the relevant vehicles according to the relevant predicted convergence time, determining the relevant distance according to the relevant vehicle position of the relevant vehicles in the relevant vehicle group, determining the relevant interval according to the relevant predicted convergence time of the relevant vehicles in the relevant vehicle group, and determining the target interval of the relevant vehicles according to the target predicted convergence time and the relevant predicted convergence time of the relevant vehicles in the relevant vehicle group.
Wherein the related vehicle group includes ordering two adjacent related vehicles. The two related vehicles in the related vehicle group may be located in the same lane or may be located in different lanes. The relevant distance may be a straight line distance or a distance in a certain direction as specified by a person skilled in the art.
Taking the example that the related prediction convergence time of the two related vehicles adjacent to each other in the sequence included in the related vehicle group is 15 seconds and 20 seconds, respectively, the related interval is 5 seconds.
The target interval may be any one of two time differences determined by the target predicted merging time and the correlated predicted merging time of each correlated vehicle in the correlated vehicle group, or may be the smallest one, or may be the time difference between the target predicted merging time and the earlier correlated predicted merging time in each correlated vehicle in the correlated vehicle group. Continuing to take the example that the related prediction convergence time of the two adjacent related vehicles in the sequencing included in the related vehicle group is 15 seconds and 20 seconds respectively, the target prediction convergence time is 18 seconds, and at the moment, the two time differences are 3 seconds and 2 seconds respectively, then the target interval can be 3 seconds or 2 seconds. When the target interval is a time difference between the target predicted merging time and an earlier related predicted merging time in each related vehicle in the related vehicle group (collision time of the target vehicle and the preceding vehicle), the target interval is 3 seconds.
Step S204, the relevant prediction confluence moment of each relevant vehicle in at least one relevant vehicle group is determined to be an effective time window according to the relevant vehicle distance, the relevant interval and the target interval.
In an alternative embodiment, determining the associated predicted convergence time of each associated vehicle in the at least one associated vehicle group as an effective time window based on the associated vehicle distance, the associated interval, and the target interval includes:
if the related vehicle group meets the preset window condition, determining the related prediction convergence time of each related vehicle in the related vehicle group as an effective time window, wherein the preset window condition comprises that the related vehicle distance is larger than a preset vehicle distance threshold, the related interval is larger than a first preset interval threshold, and the target interval is larger than a second preset interval threshold.
It will be appreciated that the validity time window is determined by verifying the validity of each gap between vehicles (i.e. the distance between two vehicles satisfies the vehicle ingress). The void requires at least one of the following conditions (preset window conditions) to be satisfied to be a valid void (valid time window):
1. the distance between two vehicles needs to be greater than a minimum value of 7m (the relevant vehicle distance is greater than a preset vehicle distance threshold value);
2. the time interval between two vehicles is greater than a certain time (the related interval is greater than a first preset interval threshold);
3. The own vehicle (target vehicle) needs to be greater than 1.5s (target interval is greater than the second preset interval threshold) with ttc (collision time) of the preceding vehicle if the gaps between the two vehicles (two related vehicles of the related vehicle group) converge.
The preset vehicle distance threshold, the first preset interval threshold, and the second preset interval threshold may be set by a person skilled in the art according to needs, which is only an example and not limited to the parameter selection in the embodiments of the present application.
If the effective time window does not exist, the method can be ended, the target vehicle can be applied to be manually controlled, or the effective time window can be continuously determined again on the premise of ensuring the safety of the target vehicle until a new effective time window is determined.
In step S205, a plurality of candidate moments are determined based on each valid time window, and the target vehicle is controlled to converge at the preferred moment at the converging position.
The preferred time is a time to be selected, and the preferred time may be selected randomly or may be selected with reference to the following embodiments.
The determination of the time to be selected may be that one or more time points are selected under a certain valid time window, for example, the valid time window is [ 11s,15s ], the time to be selected is (11.6 s, 11.12s … … 14.4.4 s,15 s), and the time to be selected may be an arithmetic progression of the valid time window or a plurality of time points selected randomly. The manner of determining the time to be selected may also be defined by one skilled in the art as desired.
In an alternative embodiment, determining a plurality of candidate moments based on each valid time window, and controlling the target vehicle to converge at the preferred moment in the convergence position includes:
determining a plurality of to-be-selected moments based on each effective time window, and determining one to-be-selected moment as a preferable moment;
acquiring a target vehicle speed of a target vehicle, and determining a target confluence distance according to the target vehicle position and the confluence position;
determining a target acceleration according to the target vehicle speed, the target confluence distance and the preferred moment;
the control target vehicle accelerates according to the target acceleration so that the target vehicle converges at the converging position at the preferred timing.
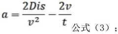
For example, one exemplary manner of determining the target acceleration that the target vehicle should perform in accordance with the preferred moment is as follows:
Figure BDA0003710503830000121
wherein a is target acceleration, dis is target convergence distance, v is target vehicle speed, and t is available time.
In the above embodiment, if the parameters of the relevant predicted convergence time, the target predicted convergence time, and the relevant time dimension determined based on the two parameters may be a specific time, for example, XX minutes XX seconds in XX month XX day XX in XX year XX month XX day XX, XX minutes XX seconds in XX year XX month in the formula, the current time and the current time need to be determined based on the preferred time, for example, 42 minutes 03 seconds in the current time is 2020, 11 months, 1 month, 12 minutes 42 minutes 15 seconds in the preferred time is 2020, and the available time is 12 seconds. If the relevant predicted convergence time, the target predicted convergence time, and the parameters of the relevant time dimension determined based on the two parameters are expressed by how long from the current time, such as 15 seconds, the available time period can be directly used at the current time.
After the target acceleration is determined in the above manner, the target vehicle can be operated to execute according to the calculated target acceleration, and the safe and comfortable passing convergence position (convergence point) can be achieved.
In an alternative embodiment, before determining a plurality of candidate instants based on the respective validity time windows, the method comprises:
determining a post-vehicle estimated time according to the target predicted converging time and a preset first coefficient, determining the post-vehicle estimated time or the first preset estimated time as a theoretical estimated time, wherein the preset first coefficient is larger than 1;
determining an estimated window extremum based on a theoretical estimated time and a first target estimated time, wherein the first target estimated time is the maximum relevant predicted convergence time in all relevant predicted convergence times;
and determining a post-vehicle estimated time window according to the first target estimated time and the estimated window extreme value, and determining the post-vehicle estimated time window as an effective time window.
In an alternative embodiment, before determining a plurality of candidate instants based on the respective validity time windows, the method comprises:
if the target predicted convergence time is earlier than the related predicted convergence time, that is, the time that the target vehicle is theoretically converged into the convergence position is earlier than the related vehicles, determining a pre-estimated time window according to the second preset estimated time and the second target estimated time, and determining the pre-estimated time window as an effective time window. The second target estimated time is the least relevant predicted convergence time among the relevant predicted convergence times.
In the above embodiment, the second preset estimated time may be 0 (current time) or a time preset by a person skilled in the art.
That is, in the above embodiment, only the valid time window is determined for the relevant vehicles in the relevant vehicle group, but there may be a valid time window after the relevant vehicle passing last, or if the target predicted merging time of the target vehicle is earlier than each relevant predicted merging time, there is a valid time window before the earliest relevant predicted merging time among the relevant predicted merging times, and in order to avoid the defect of the valid time window, the present embodiment also determines the estimated time window as the valid time window, so that the method provided in the above embodiment can complement the defect of the time window after the relevant vehicle passing last is missing, and the time window that the target predicted merging time of the target vehicle is earlier than each relevant predicted merging time. The first preset estimated time may be a value preset by a person skilled in the art, such as 10 seconds after the target estimated time.
In an embodiment, if the related vehicle does not have a front vehicle, taking 0 as a minimum passing time, taking the passing time of the related vehicle as a maximum passing time, determining a pre-estimated time window in front of the vehicle according to the minimum passing time and the maximum passing time, if the related vehicle does not have a rear vehicle, taking the maximum passing time of the related predicted convergence time +10s (first preset predicted time) and 2 times of the related predicted convergence time of the related vehicle, taking the passing time of the related vehicle as the minimum passing time, and determining a post-estimated time window according to the minimum passing time and the maximum passing time.
In an alternative embodiment, the method includes, prior to the target vehicle converging at the converging location:
re-determining a new effective time window, and determining a plurality of new candidate moments based on the new effective time window;
determining a new preferred moment based on each new candidate moment;
if the new time difference between the new priority time and the preferred time is smaller than a preset time difference threshold value, controlling the target vehicle to converge at the converging position at the preferred time;
and if the new time difference between the new priority time and the preferred time is larger than the preset time difference threshold, controlling the target vehicle to converge at the converging position at the new preferred time.
In this way frequent changes of the preferred moment can be avoided, requiring that the difference between the new preferred moment and the original preferred moment reaches a certain range to switch the target time.
In an alternative embodiment, after determining a plurality of candidate moments based on each valid time window, the method includes:
acquiring a target vehicle position of a target vehicle and a related interval of a target related vehicle group, wherein the related interval is determined to be a front-back time interval of a to-be-selected time, and the target related vehicle group is a related vehicle group of an effective time window in which the to-be-selected time is located;
Determining a time change amount according to the target prediction convergence time and the time to be selected;
determining the collision time of the front vehicle according to the time to be selected and the related prediction convergence time of a first target related vehicle in the target related vehicle group, wherein the first target related vehicle is a related vehicle with smaller related prediction convergence time in the target related vehicle group;
determining the collision time of the rear vehicle according to the time to be selected and the related prediction convergence time of a second target related vehicle in the target related vehicle group, wherein the second target related vehicle is a related vehicle with larger related prediction convergence time in the target related vehicle group;
determining a target confluence distance according to the target vehicle position and the confluence position, and determining a speed error based on the target confluence distance, a time to be selected and a preset target speed, wherein the preset target speed can be a certain value preset by a person skilled in the art, can be a speed of a preceding vehicle when the target vehicle exists, or can be a preset target speed by taking a road speed limit as the preset target speed;
and determining one time to be selected as a preferred time based on the front-rear time interval, the time change amount, the front vehicle collision time, the rear vehicle collision time and the speed error of each time to be selected.
In an alternative embodiment, a time to be selected is determined as a preferred time to include based on the front-rear time interval, the time change amount, the front vehicle collision time, the rear vehicle collision time, and the speed error of each time to be selected;
determining the minimum value in the front and back time intervals of each time to be selected as the minimum time interval;
determining the maximum value in the time change amount of each time to be selected as the maximum change amount;
determining the minimum value of the collision time of the front vehicle at each time to be selected as the minimum time of the front vehicle;
determining the minimum value of the collision time of the rear vehicle at each time to be selected as the minimum time of the rear vehicle;
determining the maximum value of the speed errors at each time to be selected as the maximum error;
determining a cost value of the time to be selected based on the time to be selected, the minimum time interval, the maximum change amount, the minimum time of the front vehicle, the minimum time of the rear vehicle and the maximum error;
and determining the time to be selected with the minimum cost value as the preferred time.
In an alternative embodiment, determining the cost value for the time to be selected based on the time to be selected, the minimum time interval, the maximum amount of change, the minimum time to lead, the minimum time to post, the maximum error comprises:
Figure BDA0003710503830000141
wherein f (t)i ) For the i-th time t to be selectedi Gain1 is a preset second coefficient, and TimeChange is the time t to be selectedi Time change of (a)max For the maximum change, gain2 is a preset third coefficient, timeGapmin For the minimum time interval, timeGap is the time t to be selectedi Gain3 is a preset fourth coefficient, fttcmin For the minimum time of the front vehicle, fttc is the time t to be selectedi Gain4 is a preset fifth coefficient, rttcmin For the minimum time of the rear vehicle, rttc is the time t to be selectedi Gain5 is a preset sixth coefficient, velError is a time t to be selectedi Velocity error, velErrormax Is the maximum error.
In an alternative embodiment, if it is determined that the valid time window is not reached, it may be sought to manually take over the target vehicle or otherwise control the target vehicle as would be known to those skilled in the art.
According to the method provided by the embodiment, if the target vehicles are in the state of waiting for bus, the related vehicles are determined, the related prediction bus time of each related vehicle is predicted, the target prediction bus time of the target vehicles is determined, the related vehicle distance, the related interval and the target interval are determined, the effective time windows can be determined, a plurality of waiting times are determined based on each effective time window, the target vehicles are controlled to bus at the preferred time at the bus position, the auxiliary control of the target vehicles for bus can be realized, the safety is higher, the related vehicles are not required to be defined as intelligent network connected vehicles, the requirement on the information exchange capability of the vehicles to the outside is lower, cloud platform calculation distribution is not required, the communication and calculation cost is low, and the usability is high.
The method of the embodiment provides a driving assistance technical scheme which has small calculated amount, does not need to rely on a V2X communication technology and does not need other vehicles to cooperate, can independently complete safe confluence, improves the scene coverage capability of assisted driving, and improves the application range of the driving assistance technical scheme. The implementation of the method can be as follows:
1. the method can assist the target vehicle applying the method of the embodiment to carry out safe and comfortable confluence, and improves the safety and efficiency during confluence.
2. According to the preference weights (the second coefficient is preset, the third coefficient is preset, the fourth coefficient is preset, the fifth coefficient is preset and the sixth coefficient is preset) of different cost functions, different driving styles can be adjusted, and driving habits of different drivers are met.
3. And no additional auxiliary equipment such as vehicles for communication with vehicles, vehicles for communication with roads and the like is needed, so that the cost is reduced.
Referring to fig. 4, fig. 4 is a flowchart illustrating a specific vehicle control method according to an exemplary embodiment of the present application, and the implementation procedure of the method is as follows, as shown in fig. 4:
step 1: and judging a confluence scene. And obtaining a confluence scene according to ADAS map, satellite positioning and visual positioning fusion, judging whether the state of a self-vehicle (target vehicle) and the state of an obstacle (related vehicle) meet the condition of entering auxiliary driving confluence, and if so, entering the next step (step 2). Otherwise, the condition judgment is continued.
Wherein, judge whether to have entered the conflux scene. Exemplary specific conditions include the following:
an ADAS map shows that a vehicle is in a ramp;
2. the distance to the junction is less than 150m;
3. the self-vehicle is in high-level auxiliary driving, namely, is controlled by the auxiliary driving in the transverse and longitudinal directions at the same time;
4. the vehicle does not accelerate or decelerate rapidly.
Step 2: obstacle screening (determination of the relevant vehicle). According to the converging scene, vehicles in a certain range in front and behind the roads on two adjacent sides and vehicles in front of the self-lane road are selected. And removing other useless barriers to reduce subsequent calculation amount. And ID numbering is carried out on the screened barriers.
With continued reference to fig. 3, all surrounding obstacles are zone-labeled, an obstacle on the left side of the host vehicle is selected, an obstacle in front of the host vehicle lane, an obstacle on the right side of the host vehicle is labeled, and the corresponding zone is labeled. And the obstacle outside the area is temporarily not considered. Meanwhile, road information given by an ADAS map is considered, and the current information of the road is combined to judge the converging direction of front converging. If converging to the left, only the left vehicle needs to be considered at this time. If there is a confluence on the right side, only the right vehicle needs to be considered.
Step 3: aiming at the screened obstacles, the time of each obstacle passing through the junction point is estimated by utilizing the distance between the current obstacle and the vehicle, the current speed, the current acceleration, the speed limit of the current road, the speed limit of the vehicle, the mutual influence limit of the vehicles and the like.
The time to reach the obstacle point is calculated for all screened obstacles. If there is no vehicle in front of the vehicle, then
The time to reach the junction can be estimated by referring to equation (1) if there is a vehicle in front of the vehicle, and the time to reach the junction can be estimated by referring to equation (2) if the vehicle speed is greater than the preceding vehicle. If the vehicle speed is less than the preceding vehicle, the time for the vehicle to reach the junction is calculated using the method with no vehicle in front.
Step 4: and checking the gap (determination of an effective time window) between the target vehicles, wherein the gap comprises a speed difference between the vehicles which is not larger than a certain value, the following distance at least meets the minimum value of 7m, the time difference passing through the junction point is not smaller than 0.8s, determining that the target gap meets the condition of passing of the self-vehicles, and recording the vehicle interval meeting the condition. If there are no gaps meeting the condition, the process goes to step 8.
And verifying the validity of each gap between vehicles (namely, the distance between two vehicles meets the requirement of the own vehicle import). The voids need to meet the following several exemplary conditions to be effective voids:
1. the distance between the two vehicles needs to be greater than the minimum value 7m;
2. the time interval between two vehicles is longer than a certain time;
3. if the own vehicle merges in the space between the two vehicles, ttc (collision time) with the preceding vehicle needs to be greater than 1.5s.
Step 5: spreading points (to-be-selected moments) at intervals of each vehicle meeting the conditions, uniformly taking 50 time points, and considering, for each point, the time from the vehicle to the point and the time difference T reaching the point without adding or subtracting under the assumption that the vehicle passes the pointError Difference V between the speed from the vehicle to the point and the target speedError Collision time F between the own vehicle and the preceding and following vehicles when reaching the pointttc And R_ttc, the time difference TG of the target vehicle void. And meanwhile, finding out the extreme value of each parameter to realize normalization of each parameter, and constructing a cost function when the vehicle acts at the target time according to the parameters:
Figure BDA0003710503830000161
wherein f (t)i ) As a cost function, ti Indicating the time (time to be selected) for the host vehicle to reach the junction point with the time as the target; k (k)1 、k2 、k3 、k4 、k5 For the weight coefficient of each parameter in the cost function, different weight coefficients can enable the auxiliary driving to be selected to different driving styles, and the g function (g1 、g2 、g3 、g4 、g5 ) Is a monotonically increasing function or a quadratic function with arbitrary smoothness.
For example, scattering points (time to be selected) are performed for each of the effective gaps (effective time windows) and the relevant parameters for each point are calculated. The point scattering method is to take the passing time of the front vehicle of the gap as the minimum time, take 0 as the minimum passing time if the front vehicle does not exist in the gap, take the passing time of the rear vehicle of the gap as the maximum time, and take the maximum value in the estimated time of +10s and 2 times of the passing converging point of the front vehicle if the rear vehicle does not exist in the gap. Obtaining a minimum passing time and a maximum passing time, obtaining an effective time window, uniformly selecting 50 points (the selection of the moment to be selected can be realized in a random selection mode) as the time of passing the bus through the bus point, calculating the following parameters for each point, and storing the parameters:
TimeChange: the amount of time change, i.e., the amount of change from the time the current state of the vehicle passes the point of confluence to the time passes the point of confluence. The larger the amount of change, the greater the acceleration or deceleration that is required of the host vehicle.
TimeGap: the larger the time difference (front-rear time interval) between the vehicles passing through the junction point before and after the gap, the safer the gap is. Conversely, it is more dangerous.
F_ttc refers to the collision time (front vehicle collision time) between the own vehicle and the front vehicle when the own vehicle passes through the junction point at the time, and the smaller F_ttc is, the easier the collision with the front vehicle is, and the more dangerous the collision with the front vehicle is.
R_ttc is the collision time (rear vehicle collision time) between the own vehicle and the rear vehicle when the own vehicle passes through the junction point at the time, and the smaller R_ttc is, the easier the collision with the rear vehicle is, and the more dangerous the collision with the rear vehicle is.
VelError refers to the error (speed error) from the target speed of the point of confluence when the host vehicle passes the point of confluence at that time.
The selection mode of the target speed is as follows: if there is no obstacle (the relevant vehicle located in front of the target vehicle), the road speed limit is taken as the target speed, and if there is an obstacle, the obstacle speed is taken as the target speed.
And recording extreme values of all parameters during calculation so as to facilitate the normalization of the cost function in the next step.
Step 6: the point with the smallest cost function value is found as the optimal point and becomes the target. To avoid frequent jumps of points, a threshold is provided that changes when the target time point changes beyond a certain value.
For example, the cost function is evaluated for each point in time in all the effective voids, and the cost function can refer to formula (4).
After traversing all points, selecting the time with the minimum cost value as the preferable time. Meanwhile, in order to avoid frequent change of the preferred time, when a time value is selected as the preferred time, a certain range of difference between the new preferred time and the original preferred time is required to be reached to switch the preferred time.
Step 7: from the obtained preferred time (target time), the acceleration value (target acceleration) can be calculated in combination with the current speed of the own vehicle (target vehicle speed), the distance (target convergence distance) to the target point (convergence point). And controls the vehicle to safely pass through the junction at the target time.
For example, the target acceleration may be determined according to formula (3).
Step 8: judging whether the convergence scene meets the exit condition, wherein the exit condition comprises insufficient distance to a convergence point or congestion of a road, requesting a driver to take over if no convergence opportunity exists, and returning to the obstacle screening step (step 2) to continuously find proper gap convergence if the exit condition is not met.
Fig. 5 is a block diagram of a vehicle control apparatus shown in an exemplary embodiment of the present application. The device may be applied to the implementation environment shown in fig. 1. The apparatus may also be adapted to other exemplary implementation environments and may be specifically configured in other devices, and the present embodiment is not limited to the implementation environments to which the apparatus is adapted.
As shown in fig. 5, the exemplaryvehicle control apparatus 500 includes:
a relatedvehicle determining module 501, configured to determine a related area according to a target vehicle position of a target vehicle if the target vehicle is in a state to be converged, and determine a plurality of vehicles located in the related area as related vehicles;
anacquisition prediction module 502, configured to acquire a confluence position and a relevant vehicle position of each relevant vehicle, predict a relevant predicted confluence time of each relevant vehicle, and a target predicted confluence time of a target vehicle;
aranking module 503, configured to rank each relevant vehicle according to a relevant predicted convergence time, determine a relevant distance according to a relevant vehicle position of each relevant vehicle in a relevant vehicle group, determine a relevant interval according to a relevant predicted convergence time of each relevant vehicle in the relevant vehicle group, and determine a target interval of each relevant vehicle according to a target predicted convergence time and a relevant predicted convergence time of each relevant vehicle in the relevant vehicle group, where the relevant vehicle group includes ranked two adjacent relevant vehicles;
an effective timewindow determining module 504, configured to determine, as an effective time window, a relevant predicted convergence time of each relevant vehicle in at least one relevant vehicle group according to the relevant vehicle distance, the relevant interval, and the target interval;
Thecontrol module 505 is configured to determine a plurality of candidate moments based on each valid time window, and control the target vehicle to converge at a preferred moment at a convergence position, where the preferred moment is one candidate moment.
It should be noted that, the vehicle control device provided in the above embodiment and the vehicle control method provided in fig. 2 in the above embodiment belong to the same concept, and the specific manner in which each module and unit perform the operation has been described in detail in the method embodiment, which is not repeated here. In practical application, the vehicle control device provided in the above embodiment may distribute the functions to different functional modules according to needs, that is, the internal structure of the device is divided into different functional modules to complete all or part of the functions described above, which is not limited herein.
FIG. 6 is a block diagram of a vehicle control system shown in an exemplary embodiment of the present application. The system may be applied to the implementation environment shown in fig. 1. The system may be adapted to other exemplary implementation environments and may be specifically configured in other devices, and the present embodiment is not limited to the implementation environments to which the system is adapted.
As shown in fig. 6, the exemplaryvehicle control system 600 includes asatellite positioning module 601, anavigation map module 602, animage acquisition module 603, a millimeterwave radar module 604, acontroller 605, and amemory 606, wherein:
thesatellite positioning module 601 is used for providing a target vehicle position of a target vehicle;
thenavigation map module 602 is configured to provide a confluence position, determine a target confluence distance according to the target vehicle position and the confluence position, and a confluence direction;
theimage acquisition module 603 is configured to output lane line curve equations of a current lane and an adjacent lane, front target information, and front passable area points, where the image acquisition module may be a camera or other devices;
the millimeterwave radar module 604 is configured to output vehicle target information, and radar reflection point data, to determine a relevant vehicle and a relevant vehicle position of the relevant vehicle;
memory 605 has one or more computer programs stored therein;
thecontroller 606 invokes a computer program to perform the vehicle control method in any of the embodiments described above.
It should be noted that, the vehicle control system provided in the above embodiment and the vehicle control method provided in fig. 2 in the above embodiment belong to the same concept, and the specific manner in which each module and unit perform the operation has been described in detail in the method embodiment, which is not repeated here. In practical application, the vehicle control system provided in the above embodiment may be configured to distribute the functions by different functional modules according to needs, that is, the internal structure of the system is divided into different functional modules to complete all or part of the functions described above, which is not limited herein.
The embodiment of the application also provides electronic equipment, which comprises: one or more processors; and a storage means for storing one or more programs that, when executed by the one or more processors, cause the electronic device to implement the vehicle control method provided in the respective embodiments described above.
Fig. 7 shows a schematic diagram of a computer system suitable for use in implementing the electronic device of the embodiments of the present application. It should be noted that, thecomputer system 700 of the electronic device shown in fig. 7 is only an example, and should not impose any limitation on the functions and the application scope of the embodiments of the present application.
As shown in fig. 7, thecomputer system 700 includes a central processing unit (Central Processing Unit, CPU) 1701, which can perform various appropriate actions and processes, such as performing the methods described in the above embodiments, according to a program stored in a Read-Only Memory (ROM) 702 or a program loaded from astorage section 708 into a random access Memory (Random Access Memory, RAM) 703. In theRAM 703, various programs and data required for the system operation are also stored. TheCPU 701,ROM 702, andRAM 703 are connected to each other through abus 704. An Input/Output (I/O)interface 705 is also connected tobus 704.
The following components are connected to the I/O interface 705: aninput section 706 including a keyboard, a mouse, and the like; anoutput section 707 including a Cathode Ray Tube (CRT), a liquid crystal display (Liquid Crystal Display, LCD), and the like, a speaker, and the like; astorage section 708 including a hard disk or the like; and acommunication section 709 including a network interface card such as a LAN (Local Area Network ) card, a modem, or the like. Thecommunication section 709 performs communication processing via a network such as the internet. Thedrive 710 is also connected to the I/O interface 705 as needed. Aremovable medium 711 such as a magnetic disk, an optical disk, a magneto-optical disk, a semiconductor memory, or the like is installed on thedrive 710 as needed, so that a computer program read out therefrom is installed into thestorage section 708 as needed.
In particular, according to embodiments of the present application, the processes described above with reference to flowcharts may be implemented as computer software programs. For example, embodiments of the present application include a computer program product comprising a computer program embodied on a computer readable medium, the computer program comprising a computer program for performing the method shown in the flowchart. In such an embodiment, the computer program may be downloaded and installed from a network via thecommunication portion 709, and/or installed from theremovable medium 711. When executed by a Central Processing Unit (CPU) 701, performs the various functions defined in the system of the present application.
It should be noted that, the computer readable medium shown in the embodiments of the present application may be a computer readable signal medium or a computer readable storage medium, or any combination of the two. The computer readable storage medium may be, for example, an electronic, magnetic, optical, electromagnetic, infrared, or semiconductor system, apparatus, or device, or any combination thereof. More specific examples of the computer-readable storage medium may include, but are not limited to: an electrical connection having one or more wires, a portable computer diskette, a hard disk, a Random Access Memory (RAM), a read-Only Memory (ROM), an erasable programmable read-Only Memory (Erasable Programmable Read Only Memory, EPROM), flash Memory, an optical fiber, a portable compact disc read-Only Memory (CD-ROM), an optical storage device, a magnetic storage device, or any suitable combination of the foregoing. In the present application, a computer-readable signal medium may include a data signal propagated in baseband or as part of a carrier wave, with a computer-readable computer program embodied therein. Such a propagated data signal may take any of a variety of forms, including, but not limited to, electro-magnetic, optical, or any suitable combination of the foregoing. A computer readable signal medium may also be any computer readable medium that is not a computer readable storage medium and that can communicate, propagate, or transport a program for use by or in connection with an instruction execution system, apparatus, or device. A computer program embodied on a computer readable medium may be transmitted using any appropriate medium, including but not limited to: wireless, wired, etc., or any suitable combination of the foregoing.
The flowcharts and block diagrams in the figures illustrate the architecture, functionality, and operation of possible implementations of systems, methods and computer program products according to various embodiments of the present application. Where each block in the flowchart or block diagrams may represent a module, segment, or portion of code, which comprises one or more executable instructions for implementing the specified logical function(s). It should also be noted that, in some alternative implementations, the functions noted in the block may occur out of the order noted in the figures. For example, two blocks shown in succession may, in fact, be executed substantially concurrently, or the blocks may sometimes be executed in the reverse order, depending upon the functionality involved. It will also be noted that each block of the block diagrams or flowchart illustration, and combinations of blocks in the block diagrams or flowchart illustration, can be implemented by special purpose hardware-based systems which perform the specified functions or acts, or combinations of special purpose hardware and computer instructions.
The units involved in the embodiments of the present application may be implemented by means of software, or may be implemented by means of hardware, and the described units may also be provided in a processor. Wherein the names of the units do not constitute a limitation of the units themselves in some cases.
Another aspect of the present application also provides a computer-readable storage medium having stored thereon a computer program which, when executed by a processor, implements a vehicle control method as described above. The computer-readable storage medium may be included in the electronic device described in the above embodiment or may exist alone without being incorporated in the electronic device.
Another aspect of the present application also provides a computer program product or computer program comprising computer instructions stored in a computer readable storage medium. The processor of the computer device reads the computer instructions from the computer-readable storage medium, and the processor executes the computer instructions so that the computer device executes the vehicle control method provided in the above-described respective embodiments.
The above embodiments are merely illustrative of the principles of the present invention and its effectiveness, and are not intended to limit the invention. Modifications and variations may be made to the above-described embodiments by those skilled in the art without departing from the spirit and scope of the invention. It is therefore intended that all equivalent modifications and changes made by those skilled in the art without departing from the spirit and technical spirit of the present invention shall be covered by the appended claims.

Claims (14)

1. A vehicle control method, characterized in that the method comprises:
if the target vehicle is in a waiting state, determining a relevant area according to the target vehicle position of the target vehicle, and determining a plurality of vehicles positioned in the relevant area as relevant vehicles;
acquiring a confluence position and a relevant vehicle position of each relevant vehicle, predicting relevant prediction confluence time of each relevant vehicle and target prediction confluence time of the target vehicle, wherein the relevant prediction confluence time is time when the relevant vehicle reaches the confluence position, the target prediction confluence time is time when the target vehicle reaches the confluence position, and the relevant vehicle position is acquired through at least one of a radar and a camera of the target vehicle;
sorting the related vehicles according to the related prediction convergence time, determining a related distance according to the related vehicle position of each related vehicle in the related vehicle group, determining a time difference of the related prediction convergence time of each related vehicle in the related vehicle group as a related interval, and determining a time difference between a target prediction convergence time and the related prediction convergence time of each related vehicle in the related vehicle group as a target interval of the related vehicles, wherein the related vehicle group comprises two related vehicles which are adjacently sorted;
Determining a relevant prediction convergence time of each relevant vehicle in at least one relevant vehicle group as an effective time window according to the relevant vehicle distance, the relevant interval and the target interval;
and determining a plurality of candidate moments based on the effective time windows, and controlling the target vehicle to converge at a preferred moment at the converging position, wherein the preferred moment is one candidate moment.
2. The method of claim 1, wherein if the target vehicle is in a waiting state, determining a relevant area based on a target vehicle position of the target vehicle, and before determining a plurality of vehicles located in the relevant area as relevant vehicles, the method comprises:
acquiring at least one of a current driving state and a current acceleration value, determining a target confluence distance according to the target vehicle position and the confluence position, and determining a vehicle region of the target vehicle according to the target vehicle position;
if the target vehicle meets a preset vehicle condition, the target vehicle is in a waiting and converging state, wherein the preset vehicle condition comprises at least one of the following conditions, the target converging distance is smaller than a preset converging threshold value, the vehicle area comprises a preset area, the current driving state comprises a preset driving state, and the current acceleration value is smaller than a preset acceleration threshold value.
3. The method of claim 1, wherein determining a plurality of candidate moments based on each of the valid time windows and controlling the target vehicle to converge at the preferred moment in the convergence location comprises:
determining a plurality of to-be-selected moments based on each effective time window, and determining one to-be-selected moment as the preferred moment;
acquiring a target vehicle speed of the target vehicle, and determining a target confluence distance according to the target vehicle position and the confluence position;
determining a target acceleration according to the target vehicle speed, the target confluence distance and the preferred moment;
and controlling the target vehicle to accelerate according to the target acceleration so that the target vehicle converges at the converging position at a preferred moment.
4. The method of claim 1, wherein determining the associated predicted convergence time instant for each associated vehicle in at least one of the associated vehicle groups as an effective time window based on the associated vehicle distance, the associated interval, and the target interval comprises:
and if the related vehicle group meets a preset window condition, determining the related prediction convergence time of each related vehicle in the related vehicle group as an effective time window, wherein the preset window condition comprises that the related vehicle distance is larger than a preset vehicle distance threshold value, the related interval is larger than a first preset interval threshold value, and the target interval is larger than a second preset interval threshold value.
5. A method according to any one of claims 1-4, wherein prior to determining a plurality of candidate instants based on each of the active time windows, the method comprises:
determining a post-vehicle estimated time according to the target predicted confluence time and a preset first coefficient, and determining the post-vehicle estimated time or the first preset estimated time as a theoretical estimated time, wherein the preset first coefficient is larger than 1;
determining an estimated window extremum based on the theoretical estimated time and a first target estimated time, wherein the first target estimated time is the largest correlation prediction convergence time in the correlation prediction convergence times;
and determining a post-vehicle estimated time window according to the first target estimated time and the estimated window extreme value, and determining the post-vehicle estimated time window as an effective time window.
6. A method according to any one of claims 1-4, wherein prior to determining a plurality of candidate instants based on each of the active time windows, the method comprises:
if the target prediction confluence time is earlier than each relevant prediction confluence time, determining a front prediction time window according to a second preset prediction time and a second target prediction time, determining the front prediction time window as an effective time window, wherein the second target prediction time is the smallest relevant prediction confluence time in each relevant prediction confluence time.
7. The method of any one of claims 1-4, wherein the target vehicle is prior to merging at the merging location, the method comprising:
re-determining a new effective time window, and determining a plurality of new candidate moments based on the new effective time window;
determining a new preferred moment based on each new candidate moment;
if the new time difference between the new priority time and the preferred time is smaller than a preset time difference threshold value, controlling the target vehicle to converge at the converging position at the preferred time;
and if the new time difference between the new priority time and the preferred time is larger than a preset time difference threshold value, controlling the target vehicle to converge at the converging position at the new preferred time.
8. The method according to any one of claims 1 to 4, wherein after determining a plurality of candidate moments based on each of the valid time windows, the method includes, before controlling the target vehicle to converge at the convergence location at a preferred moment:
acquiring a target vehicle position of the target vehicle and a related interval of a target related vehicle group, determining the related interval as a front-back time interval of the time to be selected, wherein the target related vehicle group is the related vehicle group of the effective time window in which the time to be selected is located;
Determining a time change amount according to the target prediction convergence time and the waiting time;
determining the collision time of the front vehicle according to the time to be selected and the related prediction convergence time of a first target related vehicle in the target related vehicle group, wherein the first target related vehicle is a related vehicle with smaller related prediction convergence time in the target related vehicle group;
determining the collision time of the rear vehicle according to the time to be selected and the related prediction convergence time of a second target related vehicle in the target related vehicle group, wherein the second target related vehicle is a related vehicle with larger related prediction convergence time in the target related vehicle group;
determining a target confluence distance according to the target vehicle position and the confluence position, and determining a speed error based on the target confluence distance, the time to be selected and a preset target speed;
and determining one time to be selected as a preferred time based on the front-rear time interval, the time change amount, the front vehicle collision time, the rear vehicle collision time and the speed error of each time to be selected.
9. The method of claim 8, wherein determining one of the candidate instants as a preferred instant based on a front-to-rear time interval, a time change amount, a front vehicle collision time, a rear vehicle collision time, a speed error for each of the candidate instants comprises;
Determining the minimum value in the time intervals before and after each time to be selected as the minimum time interval;
determining the maximum value in the time change amount of each time to be selected as the maximum change amount;
determining the minimum value of the collision time of the front vehicle at each time to be selected as the minimum time of the front vehicle;
determining the minimum value of the collision time of the rear vehicle at each time to be selected as the minimum time of the rear vehicle;
determining the maximum value of the speed errors at each time to be selected as the maximum error;
determining a cost value of the time to be selected based on the time to be selected, the minimum time interval, the maximum change amount, the minimum time of the front vehicle, the minimum time of the rear vehicle and the maximum error;
and determining the time to be selected with the minimum cost value as the preferred time.
10. The method of claim 9, wherein determining a cost value for the time to select based on the time to select, the minimum time interval, the maximum amount of change, the minimum time to front, the minimum time to rear, the maximum error comprises:
Figure FDA0004245946640000041
wherein f (t)i ) For the i-th time t to be selectedi Gain1 is a preset second coefficient, and TimeChange is the time t to be selectedi Time change of (a)max For the maximum change, gain2 is a preset third coefficient, timeGapmin For the minimum time interval, timeGap is the time t to be selectedi Gain3 is a preset fourth coefficient, fttcmin For the minimum time of the front vehicle, fttc is the time t to be selectedi Gain4 is a preset fifth coefficient, rttcmin For the minimum time of the rear vehicle, rttc is the time t to be selectedi Gain5 is a preset sixth coefficient, velError is a time t to be selectedi Velocity error, velErrormax Is the maximum error.
11. A vehicle control apparatus, characterized in that the apparatus comprises:
the vehicle-related determining module is used for determining a related area according to the target vehicle position of the target vehicle if the target vehicle is in a state to be converged, and determining a plurality of vehicles positioned in the related area as related vehicles;
the system comprises an acquisition prediction module, a prediction module and a control module, wherein the acquisition prediction module is used for acquiring a confluence position and related vehicle positions of related vehicles, predicting related prediction confluence time of the related vehicles and target prediction confluence time of the target vehicles, wherein the related prediction confluence time is the time when the related vehicles reach the confluence position, the target prediction confluence time is the time when the target vehicles reach the confluence position, and the related vehicle positions are acquired through at least one of a radar and a camera of the target vehicles;
The sequencing module is used for sequencing the related vehicles according to the related prediction convergence time, determining a related distance according to the related vehicle position of each related vehicle in the related vehicle group, determining a time difference of the related prediction convergence time of each related vehicle in the related vehicle group as a related interval, and determining a target prediction convergence time and the related prediction convergence time of each related vehicle in the related vehicle group as a target interval of the related vehicles, wherein the related vehicle group comprises sequencing two adjacent related vehicles;
the effective time window determining module is used for determining the relevant prediction convergence time of each relevant vehicle in at least one relevant vehicle group as an effective time window according to the relevant vehicle distance, the relevant interval and the target interval;
and the control module is used for determining a plurality of to-be-selected moments based on the effective time windows and controlling the target vehicle to converge at the converging position at a preferable moment, wherein the preferable moment is one to-be-selected moment.
12. The vehicle control system is characterized by comprising a satellite positioning module, a navigation map module, an image acquisition module, a millimeter wave radar module, a controller and a memory;
The satellite positioning module is used for providing a target vehicle position of a target vehicle;
the navigation map module is used for providing a confluence position, determining a target confluence distance and a confluence direction according to the target vehicle position and the confluence position;
the image acquisition module is used for outputting lane line curve equations of a current lane and an adjacent lane, front target information and front passable area points;
the millimeter wave radar module is used for outputting vehicle target information and radar reflection point data so as to determine related vehicles and related vehicle positions of the related vehicles;
one or more computer programs are stored in the memory;
the controller invokes the computer program to execute the vehicle control method according to any one of claims 1 to 10.
13. An electronic device, comprising:
one or more processors;
storage means for storing one or more programs that, when executed by the one or more processors, cause the electronic device to implement the vehicle control method of any one of claims 1 to 10.
14. A computer-readable storage medium having stored thereon computer-readable instructions that, when executed by a processor of a computer, cause the computer to perform the vehicle control method of any one of claims 1 to 10.
CN202210724762.0A2022-06-232022-06-23Vehicle control method, device, system, electronic equipment and storage mediumActiveCN115131965B (en)

Priority Applications (1)

Application NumberPriority DateFiling DateTitle
CN202210724762.0ACN115131965B (en)2022-06-232022-06-23Vehicle control method, device, system, electronic equipment and storage medium

Applications Claiming Priority (1)

Application NumberPriority DateFiling DateTitle
CN202210724762.0ACN115131965B (en)2022-06-232022-06-23Vehicle control method, device, system, electronic equipment and storage medium

Publications (2)

Publication NumberPublication Date
CN115131965A CN115131965A (en)2022-09-30
CN115131965Btrue CN115131965B (en)2023-07-07

Family

ID=83380591

Family Applications (1)

Application NumberTitlePriority DateFiling Date
CN202210724762.0AActiveCN115131965B (en)2022-06-232022-06-23Vehicle control method, device, system, electronic equipment and storage medium

Country Status (1)

CountryLink
CN (1)CN115131965B (en)

Citations (15)

* Cited by examiner, † Cited by third party
Publication numberPriority datePublication dateAssigneeTitle
CN110111605A (en)*2019-06-122019-08-09吉林大学Automatic driving vehicle entrance ring road based on dynamic game travels decision-making technique
CN110570049A (en)*2019-09-192019-12-13西南交通大学 A low-level control method for collaborative optimization of mixed traffic flows on expressways
CN110660213A (en)*2019-10-112020-01-07中国联合网络通信集团有限公司Ramp vehicle merging method, road side equipment and vehicle
CN110782704A (en)*2019-11-012020-02-11北京星云互联科技有限公司 Traffic guidance method, device, system and storage medium based on vehicle-road coordination
CN110853378A (en)*2019-11-192020-02-28中国联合网络通信集团有限公司 A method and system for the management of a vehicle on-ramp
CN110930697A (en)*2019-11-122020-03-27南京航空航天大学 A rule-based intelligent networked vehicle collaborative entry control method
CN111127908A (en)*2019-12-302020-05-08戴姆勒股份公司Automatic driving control method for vehicle confluence
CN111599194A (en)*2020-05-272020-08-28中汽研汽车检验中心(天津)有限公司 Speed guidance system and guidance method for heterogeneous traffic flow on expressway on-ramp
CN111968377A (en)*2020-08-312020-11-20姜忠太Vehicle network-based vehicle track optimization method for fuel saving and driving comfort
CN112650224A (en)*2020-12-112021-04-13国汽(北京)智能网联汽车研究院有限公司Method, device, equipment and storage medium for automatic driving simulation
CN112758092A (en)*2021-01-292021-05-07重庆长安汽车股份有限公司Expressway ramp speed limit control method, system, vehicle and storage medium
CN113345240A (en)*2021-08-032021-09-03华砺智行(武汉)科技有限公司Highway vehicle importing method and system based on intelligent networking environment
CN113936461A (en)*2021-10-152022-01-14吉林大学 A simulation method and system for signal-controlled vehicle mixing at intersection
CN114067559A (en)*2021-09-272022-02-18北京交通大学Confluence optimization control method for merging special lane for automatic vehicle into common lane
CN114241757A (en)*2021-12-092022-03-25宁波大学Entrance ramp cooperative convergence control method for intelligent networked vehicle

Family Cites Families (3)

* Cited by examiner, † Cited by third party
Publication numberPriority datePublication dateAssigneeTitle
US8810431B2 (en)*2011-10-202014-08-19GM Global Technology Operations LLCHighway merge assistant and control
US11398156B2 (en)*2020-02-042022-07-26Toyota Motor Engineering & Manufacturing North America, Inc.Ramp merging assistance
US11468774B2 (en)*2020-03-172022-10-11Honda Motor Co., Ltd.Systems and methods for cooperative ramp merge

Patent Citations (15)

* Cited by examiner, † Cited by third party
Publication numberPriority datePublication dateAssigneeTitle
CN110111605A (en)*2019-06-122019-08-09吉林大学Automatic driving vehicle entrance ring road based on dynamic game travels decision-making technique
CN110570049A (en)*2019-09-192019-12-13西南交通大学 A low-level control method for collaborative optimization of mixed traffic flows on expressways
CN110660213A (en)*2019-10-112020-01-07中国联合网络通信集团有限公司Ramp vehicle merging method, road side equipment and vehicle
CN110782704A (en)*2019-11-012020-02-11北京星云互联科技有限公司 Traffic guidance method, device, system and storage medium based on vehicle-road coordination
CN110930697A (en)*2019-11-122020-03-27南京航空航天大学 A rule-based intelligent networked vehicle collaborative entry control method
CN110853378A (en)*2019-11-192020-02-28中国联合网络通信集团有限公司 A method and system for the management of a vehicle on-ramp
CN111127908A (en)*2019-12-302020-05-08戴姆勒股份公司Automatic driving control method for vehicle confluence
CN111599194A (en)*2020-05-272020-08-28中汽研汽车检验中心(天津)有限公司 Speed guidance system and guidance method for heterogeneous traffic flow on expressway on-ramp
CN111968377A (en)*2020-08-312020-11-20姜忠太Vehicle network-based vehicle track optimization method for fuel saving and driving comfort
CN112650224A (en)*2020-12-112021-04-13国汽(北京)智能网联汽车研究院有限公司Method, device, equipment and storage medium for automatic driving simulation
CN112758092A (en)*2021-01-292021-05-07重庆长安汽车股份有限公司Expressway ramp speed limit control method, system, vehicle and storage medium
CN113345240A (en)*2021-08-032021-09-03华砺智行(武汉)科技有限公司Highway vehicle importing method and system based on intelligent networking environment
CN114067559A (en)*2021-09-272022-02-18北京交通大学Confluence optimization control method for merging special lane for automatic vehicle into common lane
CN113936461A (en)*2021-10-152022-01-14吉林大学 A simulation method and system for signal-controlled vehicle mixing at intersection
CN114241757A (en)*2021-12-092022-03-25宁波大学Entrance ramp cooperative convergence control method for intelligent networked vehicle

Non-Patent Citations (3)

* Cited by examiner, † Cited by third party
Title
匝道合流区网联车辆协同控制策略研究;洛玉乐;《中国优秀硕士学位论文全文数据库 工程科技Ⅱ辑》(第3期);C034-2143*
混合驾驶环境下快速路入口匝道协调控制;邸允冉;《中国优秀硕士学位论文全文数据库 工程科技Ⅱ辑》(第3期);C034-1622*
考虑自动车队强度的高速公路非常规瓶颈交通流控制策略研究;曹丹妮等;《中国公路学报》(第3期);78-88*

Also Published As

Publication numberPublication date
CN115131965A (en)2022-09-30

Similar Documents

PublicationPublication DateTitle
CN110562258B (en)Method for vehicle automatic lane change decision, vehicle-mounted equipment and storage medium
JP6493923B2 (en) Information display device, information display method, and information display program
JP6823512B2 (en) Route determination device, vehicle control device, route determination method, and program
CN110099831B (en)Vehicle control system, vehicle control method, and storage medium
JP6676697B2 (en) Vehicle control device, vehicle control method, and program
JP7186241B2 (en) Vehicle driving support method, vehicle driving support device, and automatic driving system
RU2719080C2 (en)Method and device for driving assistance
CN112829753B (en)Guard bar estimation method based on millimeter wave radar, vehicle-mounted equipment and storage medium
DE112015000229T5 (en) Automated driver assistance device, automated driver assistance procedure, and program
CN110422177A (en)A kind of control method for vehicle, apparatus and system
CN110087964A (en) Vehicle control system, vehicle control method, and vehicle control program
CN113291309A (en)Periphery recognition device, periphery recognition method, and storage medium
US11221226B2 (en)Passing gate determining device, vehicle control system, passing gate determining method, and storage medium
CN110248856B (en)Vehicle control device, vehicle control method, and storage medium
CN114170823A (en) Vehicle deployment system, vehicle deployment server, and vehicle deployment method
CN110740914B (en)Vehicle control system, vehicle control method, and storage medium
JP6460420B2 (en) Information display device, information display method, and information display program
CN110647801A (en)Method and device for setting region of interest, storage medium and electronic equipment
CN113415275A (en)Vehicle message processing method and device, readable medium and electronic equipment
JP2023024857A (en)Road-to-vehicle cooperative information processing method, apparatus, system, electronic device, storage medium, and computer program
CN110599790B (en)Method for intelligent driving vehicle to get on and stop, vehicle-mounted equipment and storage medium
CN111033596A (en)Vehicle control system, vehicle control method, and program
CN112249009A (en)Vehicle speed control method, device and system and electronic equipment
CN112689584B (en) Automatic driving control method and automatic driving control system
KR20200044192A (en)Method and apparatus of determining path

Legal Events

DateCodeTitleDescription
PB01Publication
PB01Publication
SE01Entry into force of request for substantive examination
SE01Entry into force of request for substantive examination
GR01Patent grant
GR01Patent grant

[8]ページ先頭

©2009-2025 Movatter.jp