













技术领域technical field
本发明涉及叉车相关技术领域,特别是涉及一种一体式电机、驱动装置及叉车。The present invention relates to the related technical field of forklifts, in particular to an integrated motor, a driving device and a forklift.
背景技术Background technique
用于叉车的驱动装置由于载荷扭矩大,通常会配置有减速器以增加扭矩,现有的电机与减速器大多呈分体设置,导致驱动系统尺寸与体积偏大,功率密度和效率低下;Due to the large load torque, the drive device used for the forklift is usually equipped with a reducer to increase the torque. Most of the existing motors and reducers are installed separately, resulting in large size and volume of the drive system, low power density and low efficiency;
由于将减速器与电机一体化后,一体化电机自身各项参数会发生改变,若只是简单地将减速器与电机设置为一体,而不对反谐振频率、谐振频率以及负载惯量比等参数进行调节,会导致无法获得惯量的最佳匹配,影响整个驱动系统的动态特性和运动输出精度。After the reducer is integrated with the motor, the parameters of the integrated motor itself will change. If the reducer and the motor are simply set as one, the parameters such as anti-resonance frequency, resonance frequency and load inertia ratio are not adjusted. , which will result in the inability to obtain the best match of inertia, affecting the dynamic characteristics and motion output accuracy of the entire drive system.
发明内容SUMMARY OF THE INVENTION
基于此,有必要针对一体化电机无法获得惯量的最佳匹配,影响整个驱动系统的动态特性和运动输出精度的问题,提供一种一体式电机、驱动装置及叉车。Based on this, it is necessary to provide an integrated motor, a drive device and a forklift for the problem that the integrated motor cannot obtain the best match of inertia, which affects the dynamic characteristics and motion output accuracy of the entire drive system.
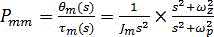
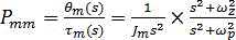
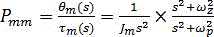
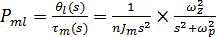
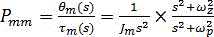
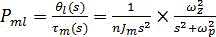
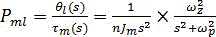
本申请首先提供一种一体式电机,所述一体式电机包括壳体、驱动部以及减速部,所述驱动部与所述减速部均设置于所述壳体内,所述减速部的输出端通过柔性部与载荷部连接;所述一体式电机由所述驱动部的输出转矩到所述驱动部输出端位置的传递函数;所述一体式电机由所述驱动部的输出转矩到所述载荷部位置的传递函数;且反谐振频率;谐振频率;负载惯量比;其中,为所述驱动部输出端的位置函数,为所述驱动部的输出转矩函数,为所述驱动部的惯量,为所述载荷部的位置函数,n为所述减速部的减速比,K为所述柔性部的刚度,为所述载荷部的惯量,R为所述柔性部的阻尼。The application first provides an integrated motor, the integrated motor includes a casing, a driving part and a deceleration part, the driving part and the deceleration part are both arranged in the casing, and the output end of the deceleration part passes through the The flexible part is connected with the load part; the integrated motor is driven by the output torque of the driving part to the position of the output end of the drive unit transfer function of ; The integrated motor is driven by the output torque of the drive unit to the load section position transfer function of ; and the anti-resonant frequency ;Resonant frequency ;Load inertia ratio ;in, is the position function of the output end of the drive part, is the output torque function of the drive part, is the inertia of the drive part, is the position function of the load part, n is the reduction ratio of the reduction part, K is the stiffness of the flexible part, is the inertia of the load portion, and R is the damping of the flexible portion.
上述一体式电机,基于一体式电机的动力学方程得到一体式电机的输出转矩到驱动部输出端位置以及载荷部位置的传递函数,以实现对一体式电机的控制;同时通过对谐振频率、反谐振频率以及负载惯量比等参数进行调整,以保证一体式电机惯量匹配,具有良好的动态特性及运动输出精度。For the above integrated motor, the output torque of the integrated motor is obtained based on the dynamic equation of the integrated motor To the position of the output terminal of the driver and the position of the load The transfer function of , to realize the control of the integrated motor; , anti-resonance frequency and load inertia ratio and other parameters to be adjusted to ensure that the inertia of the integrated motor is matched and has good dynamic characteristics and motion output accuracy.
在其中一个实施例中,所述驱动部包括第一转轴,所述减速部包括第二转轴,所述驱动部能够驱动所述第一转轴转动,所述第一转轴的转动经由所述减速部减速后由所述第二转轴输出,所述第一转轴与所述第二转轴同轴线设置,且平行于所述第三轴线。In one embodiment, the driving part includes a first rotating shaft, the speed reducing part includes a second rotating shaft, the driving part can drive the first rotating shaft to rotate, and the rotation of the first rotating shaft passes through the speed reducing part After deceleration, it is output by the second rotating shaft. The first rotating shaft and the second rotating shaft are arranged coaxially and parallel to the third axis.
可以理解的是,通过将驱动部以及减速部均安装于壳体内部,以保证一体式电机结构紧凑,并能够达到轻量化的效果。It can be understood that by installing the driving part and the deceleration part inside the casing, the integrated motor can be compact in structure and can achieve the effect of light weight.
在其中一个实施例中,所述减速部还包括中心轮、行星架、多个行星轮以及环形内齿圈,所述中心轮固设于所述第一转轴,且同时与各个所述行星轮啮合,所述行星轮以自身轴线为转动中轴线与所述行星架转动连接,所述行星架以所述第一转轴的轴线为转动中轴线与所述壳体转动连接,各个所述行星轮均与所述环形内齿圈啮合,所述环形内齿圈固设于所述壳体,所述第二转轴固设于行星架。In one embodiment, the speed reduction part further includes a sun wheel, a planet carrier, a plurality of planet wheels and an annular ring gear, the sun wheel is fixed on the first rotating shaft, and is connected with each of the planet wheels at the same time. meshing, the planetary gear is rotatably connected to the planet carrier with its own axis as the central axis of rotation, the planetary carrier is rotatably connected to the housing with the axis of the first rotating shaft as the central axis of rotation, and each of the planetary gears Both are engaged with the annular inner gear, the annular inner gear is fixed on the housing, and the second rotating shaft is fixed on the planet carrier.
本申请还提供一种驱动装置,用于叉车,包括箱体、两个驱动结构以及一个连接结构;两个所述驱动结构均设置于所述箱体,每一所述驱动结构包括上述的一体式电机以及通过所述一体式电机驱动的滚轮,所述滚轮以第三轴线为转动中心与所述箱体转动连接;所述连接结构连接所述箱体以及所述叉车的车体,以使得所述箱体能够相对于所述车体以第一轴线为转动中心转动,所述第一轴线垂直于水平面,所述第三轴线与所述第一轴线垂直。The present application also provides a driving device for a forklift, including a box body, two driving structures and a connecting structure; the two driving structures are both disposed on the box body, and each driving structure includes the above-mentioned integrated A type motor and a roller driven by the integrated motor, the roller is rotatably connected to the box body with the third axis as the rotation center; the connection structure connects the box body and the body of the forklift, so that the The box body can rotate relative to the vehicle body with a first axis as a rotation center, the first axis is perpendicular to the horizontal plane, and the third axis is perpendicular to the first axis.
可以理解的是,上述驱动装置通过两个一体式电机分别驱动一个滚轮,并且通过连接结构可转动地连接箱体以及叉车的车体,以使得两个一体式电机在大部分情况下用于驱动前进,而在需要进行转向时通过两个一体式电机差速转动,以实现驱动装置转向,极大提高了一体式电机的工作效率,此外,由于采取控制驱动装置方向的方式实现叉车的转向,能够实现全向移动,满足狭窄地形的使用需求。It can be understood that the above-mentioned driving device drives a roller through two integrated motors, and is rotatably connected to the box body and the body of the forklift through the connecting structure, so that the two integrated motors are used for driving in most cases. When steering is required, the differential rotation of the two integrated motors is used to realize the steering of the driving device, which greatly improves the working efficiency of the integrated motor. In addition, the steering of the forklift is realized by controlling the direction of the driving device. It can achieve omnidirectional movement and meet the needs of narrow terrain.
在其中一个实施例中,所述连接结构包括活动座,所述活动座以所述第一轴线为转动中心与所述车体转动连接,所述活动座还连接所述箱体。In one embodiment, the connecting structure includes a movable seat, the movable seat is rotatably connected to the vehicle body with the first axis as a rotation center, and the movable seat is also connected to the box body.
在其中一个实施例中,所述连接结构还包括固定座以及支撑轴;所述固定座固设于所述箱体,所述支撑轴沿第二轴线方向设置,所述活动座通过所述支撑轴与所述固定座可转动的连接,所述第一轴线、所述第二轴线以及所述第三轴线两两垂直。In one embodiment, the connection structure further includes a fixed seat and a support shaft; the fixed seat is fixed on the box body, the support shaft is arranged along the second axis direction, and the movable seat passes through the support The shaft is rotatably connected to the fixed seat, and the first axis, the second axis and the third axis are perpendicular to each other.
可以理解的是,当驱动装置行驶至高低不平的路况时,两个滚轮能够在地面对其的挤压力的作用下,以第二轴线为转动中心转动,通过滚轮对不同地形的自适应调节,最大化滚轮与地面的接触面积,以增加驱动装置的可操控性。It can be understood that when the driving device travels to uneven road conditions, the two rollers can rotate with the second axis as the rotation center under the action of the crushing force of the ground, and the rollers can adapt to different terrains. Adjustment to maximize the contact area of the rollers with the ground to increase the maneuverability of the drive.
在其中一个实施例中,所述驱动结构还包括传动组件,所述一体式电机能够通过所述传动组件驱动所述滚轮转动,每一所述驱动结构呈L型,两个所述驱动结构呈四边形设置,所述连接结构设置于该四边形内部。In one embodiment, the driving structure further includes a transmission assembly, and the integrated motor can drive the roller to rotate through the transmission assembly, each of the driving structures is L-shaped, and two of the driving structures are in the shape of an L-shape. A quadrilateral is arranged, and the connecting structure is arranged inside the quadrilateral.
可以理解的是,通过将连接结构设置于驱动结构所围成的四边形内部,能够使得驱动装置的箱体在保持形状规整的前提下尽可能紧凑,从而减少箱体的加工难度的同时尽可能减少驱动装置的体积。It can be understood that by arranging the connecting structure inside the quadrilateral enclosed by the driving structure, the box body of the driving device can be made as compact as possible on the premise of maintaining a regular shape, thereby reducing the processing difficulty of the box body as much as possible. The volume of the drive unit.
本申请还提供一种叉车,包括车体、叉板、抬升装置以及四个上述的驱动装置,所述抬升装置与所述驱动装置均设置于所述车体,所述叉板设置于所述抬升装置,所述抬升装置能够驱动所述叉板升降。The present application also provides a forklift truck, which includes a vehicle body, a fork plate, a lifting device, and four above-mentioned driving devices, wherein the lifting device and the driving device are both arranged on the vehicle body, and the fork plate is arranged on the A lifting device, which can drive the fork plate to rise and fall.
在其中一个实施例中,所述抬升装置包括滑块抬升组件,所述滑块抬升组件包括连杆、固定轴、导轨以及驱动滑块,所述叉板以及所述车体上均固设有所述导轨,所述导轨沿所述叉板的长度方向设置,每一所述导轨滑动连接有一个所述驱动滑块,每一所述驱动滑块上转动连接有一根所述连杆,位于所述叉板的所述驱动滑块所连接的所述连杆另一端与所述车体转动连接,位于所述车体的所述驱动滑块所连接的所述连杆另一端与所述叉板转动连接,所述固定轴位于两根所述连杆的相交处,且与两根所述连杆均转动连接。In one embodiment, the lifting device includes a slider lifting assembly, the slider lifting assembly includes a connecting rod, a fixed shaft, a guide rail and a driving slider, and the fork plate and the vehicle body are fixed with The guide rails are arranged along the length direction of the fork plate, each of the guide rails is slidably connected with one of the drive sliders, and each of the drive sliders is rotatably connected with one of the connecting rods, located in the The other end of the connecting rod connected to the driving slider of the fork plate is rotatably connected to the vehicle body, and the other end of the connecting rod connected to the driving slider located on the vehicle body is connected to the vehicle body. The fork plates are rotatably connected, and the fixed shaft is located at the intersection of the two connecting rods, and is rotatably connected with the two connecting rods.
在其中一个实施例中,所述抬升装置包括丝杠抬升组件,所述丝杠抬升组件包括抬升电机、丝杠以及螺母座,所述抬升电机设置于所述车体,且能够驱动所述丝杠转动,所述丝杠平行于所述第一轴线方向设置,且与所述螺母座螺纹连接,所述螺母座固设于所述叉板。In one embodiment, the lifting device includes a lead screw lifting assembly, the lead screw lifting assembly includes a lifting motor, a lead screw and a nut seat, the lifting motor is arranged on the vehicle body and can drive the screw When the rod rotates, the lead screw is arranged parallel to the first axis direction, and is threadedly connected with the nut seat, and the nut seat is fixed on the fork plate.
可以理解的是,通过丝杠与螺母座螺纹连接,具有自锁特性,能够在断电后保持自锁状态,避免叉板失去动力后掉落,增加叉车的安全性。It can be understood that the thread connection between the lead screw and the nut seat has self-locking characteristics, which can maintain the self-locking state after power failure, prevent the fork plate from falling after losing power, and increase the safety of the forklift.
在其中一个实施例中,所述丝杠抬升组件还包括蜗轮以及蜗杆,所述蜗杆固设于所述抬升电机的输出轴,所述蜗轮固设于所述丝杠,且与所述蜗杆啮合。In one embodiment, the lead screw lifting assembly further includes a worm wheel and a worm screw, the worm screw is fixed on the output shaft of the lifting motor, and the worm wheel is fixed on the lead screw and is engaged with the worm screw .
可以理解的是,蜗轮蜗杆同样具有自锁特性,能够进一步增加叉车的安全性。It can be understood that the worm gear also has the self-locking feature, which can further increase the safety of the forklift.
附图说明Description of drawings
为了更清楚地说明本申请实施例或传统技术中的技术方案,下面将对实施例或传统技术描述中所需要使用的附图作简单地介绍,显而易见地,下面描述中的附图仅是本申请的一些实施例,对于本领域普通技术人员而言,在不付出创造性劳动的前提下,还可以根据这些附图获得其他的附图。In order to more clearly illustrate the technical solutions in the embodiments of the present application or in the traditional technology, the following briefly introduces the accompanying drawings that need to be used in the description of the embodiments or the traditional technology. Obviously, the drawings in the following description are only the For some embodiments of the application, for those of ordinary skill in the art, other drawings can also be obtained based on these drawings without any creative effort.
图1为本发明的驱动装置的立体结构示意图;1 is a schematic three-dimensional structure diagram of a driving device of the present invention;
图2为图1沿A-A方向剖开后的立体结构示意图;Fig. 2 is the three-dimensional structure schematic diagram after Fig. 1 is cut along the A-A direction;
图3为图2中连接结构的立体结构示意图;Fig. 3 is the three-dimensional structure schematic diagram of the connection structure in Fig. 2;
图4为本发明的叉车的正视结构示意图;Fig. 4 is the front view structure schematic diagram of the forklift of the present invention;
图5为本发明的驱动装置的滚轮自适应高低不平地面的示意图;5 is a schematic diagram of a roller of the drive device of the present invention adaptively adapting to uneven ground;
图6为图1中一体式电机的剖视结构示意图;Fig. 6 is the sectional structure schematic diagram of the integrated motor in Fig. 1;
图7为图6中减速部的剖视结构示意图;Fig. 7 is the sectional structure schematic diagram of the deceleration part in Fig. 6;
图8为图6的减速部沿第一转轴径向方向剖开后的示意图;FIG. 8 is a schematic view of the deceleration portion of FIG. 6 cut away along the radial direction of the first rotating shaft;
图9为图1的驱动装置隐藏箱体以及连接结构后的立体结构示意图;FIG. 9 is a schematic three-dimensional structure diagram of the drive device of FIG. 1 after the hidden box body and the connection structure;
图10为图4中滑块抬升组件的正视结构示意图;Fig. 10 is the front view structure schematic diagram of the slider lifting assembly in Fig. 4;
图11为图10中B-B方向的剖视结构示意图;FIG. 11 is a schematic cross-sectional structure diagram of the direction B-B in FIG. 10;
图12为图10中滑块抬升组件的结构简图;Figure 12 is a schematic structural diagram of the slider lifting assembly in Figure 10;
图13为图4中丝杠抬升组件的剖视结构示意图;FIG. 13 is a cross-sectional structural schematic diagram of the lead screw lifting assembly in FIG. 4;
图14为本申请的一体式电机的机械传动结构示意图。FIG. 14 is a schematic diagram of the mechanical transmission structure of the integrated motor of the present application.
附图标记:10、箱体;20、驱动结构;21、一体式电机;211、壳体;212、驱动部;212a、第一转轴;212b、定子;212c、转子;213、减速部;213a、第二转轴;213b、中心轮;213c、行星架;213d、行星轮;213e、环形内齿圈;213f、行星轮轴;22、滚轮;23、传动组件;24、柔性部;25、载荷部;30、连接结构;31、活动座;32、固定座;33、支撑轴;34、连接座;35、编码器静盘;36、编码器动盘;Reference numerals: 10, box body; 20, drive structure; 21, integrated motor; 211, housing; 212, drive part; 212a, first rotating shaft; 212b, stator; 212c, rotor; 213b, center wheel; 213c, planet carrier; 213d, planetary gear; 213e, annular ring gear; 213f, planetary gear shaft; 22, roller; 23, transmission assembly; 24, flexible part; 25, load part ; 30, connection structure; 31, movable seat; 32, fixed seat; 33, support shaft; 34, connection seat; 35, encoder static disk; 36, encoder moving disk;
100、车体;200、叉板;300、抬升装置;310、滑块抬升组件;311、连杆;312、固定轴;313、导轨;314、驱动滑块;320、丝杠抬升组件;321、抬升电机;322、丝杠;323、螺母座;100, car body; 200, fork plate; 300, lifting device; 310, slider lifting assembly; 311, connecting rod; 312, fixed shaft; 313, guide rail; 314, driving slider; 320, screw lifting assembly; 321 , lift motor; 322, lead screw; 323, nut seat;
1、第一轴线;2、第二轴线;3、第三轴线。1. The first axis; 2. The second axis; 3. The third axis.
具体实施方式Detailed ways
为使本申请的上述目的、特征和优点能够更加明显易懂,下面结合附图对本申请的具体实施方式做详细的说明。在下面的描述中阐述了很多具体细节以便于充分理解本申请。但是本申请能够以很多不同于在此描述的其它方式来实施,本领域技术人员可以在不违背本申请内涵的情况下做类似改进,因此本申请不受下面公开的具体实施例的限制。In order to make the above objects, features and advantages of the present application more clearly understood, the specific embodiments of the present application will be described in detail below with reference to the accompanying drawings. In the following description, numerous specific details are set forth in order to provide a thorough understanding of the present application. However, the present application can be implemented in many other ways different from those described herein, and those skilled in the art can make similar improvements without departing from the connotation of the present application. Therefore, the present application is not limited by the specific embodiments disclosed below.
需要说明的是,当组件被称为“固定于”或“设置于”另一个组件,它可以直接在另一个组件上或者也可以存在居中的组件。当一个组件被认为是“连接”另一个组件,它可以是直接连接到另一个组件或者可能同时存在居中组件。本申请的说明书所使用的术语“垂直的”、“水平的”、“上”、“下”、“左”、“右”以及类似的表述只是为了说明的目的,并不表示是唯一的实施方式。It should be noted that when a component is referred to as being "fixed to" or "disposed on" another component, it can be directly on the other component or there may also be an intervening component. When a component is considered to be "connected" to another component, it may be directly connected to the other component or there may be a co-existence of an intervening component. The terms "vertical", "horizontal", "upper", "lower", "left", "right" and similar expressions used in the specification of this application are for illustrative purposes only and do not represent the only implementation Way.
此外,术语“第一”、“第二”仅用于描述目的,而不能理解为指示或暗示相对重要性或者隐含指明所指示的技术特征的数量。由此,限定有“第一”、“第二”的特征可以明示或者隐含地包括至少一个该特征。在本申请的描述中,“多个”的含义是至少两个,例如两个,三个等,除非另有明确具体的限定。In addition, the terms "first" and "second" are only used for descriptive purposes, and should not be construed as indicating or implying relative importance or implying the number of indicated technical features. Thus, a feature delimited with "first", "second" may expressly or implicitly include at least one of that feature. In the description of the present application, "plurality" means at least two, such as two, three, etc., unless expressly and specifically defined otherwise.
在本申请中,除非另有明确的规定和限定,第一特征在第二特征“上”、“下”可以是第一特征直接和第二特征接触,或第一特征和第二特征间接地通过中间媒介接触。而且,第一特征在第二特征“之上”、“上方”和“上面”可是第一特征在第二特征正上方或斜上方,或仅表示第一特征水平高度高于第二特征。第一特征在第二特征“之下”、“下方”和“下面”可以是第一特征在第二特征正下方或斜下方,或仅表示第一特征水平高度小于第二特征。In this application, unless otherwise expressly specified and defined, the first feature "on" or "under" the second feature may be that the first feature directly contacts the second feature, or the first feature and the second feature indirectly contact through an intermediary. Also, the first feature is "above", "over" and "above" the second feature may mean that the first feature is directly above or obliquely above the second feature, or simply means that the first feature is level higher than the second feature. The first feature "below", "below" and "below" the second feature may mean that the first feature is directly below or diagonally below the second feature, or simply means that the first feature is level lower than the second feature.
除非另有定义,本申请的说明书所使用的所有的技术和科学术语与属于本申请的技术领域的技术人员通常理解的含义相同。在本申请的说明书中所使用的术语只是为了描述具体的实施方式的目的,不是旨在于限制本申请。本申请的说明书所使用的术语“及/或”包括一个或多个相关的所列项目的任意的和所有的组合。Unless otherwise defined, all technical and scientific terms used in the specification of this application have the same meaning as commonly understood by one of ordinary skill in the technical field to which this application belongs. The terms used in the specification of the present application are for the purpose of describing specific embodiments only, and are not intended to limit the present application. As used in this specification, the term "and/or" includes any and all combinations of one or more of the associated listed items.
请参考图14所示,本申请首先提供一种一体式电机,一体式电机21包括壳体211、驱动部212以及减速部213,驱动部212与减速部213均设置于壳体211内,减速部213的输出端通过柔性部24与载荷部25连接;一体式电机21由驱动部212的输出转矩到驱动部212输出端位置的传递函数;一体式电机21由驱动部212的输出转矩到载荷部25位置的传递函数;且反谐振频率;谐振频率;负载惯量比;其中,为驱动部212输出端的位置函数,为驱动部212的输出转矩函数,为驱动部212的惯量,为载荷部25的位置函数,n为减速部213的减速比,K为柔性部24的刚度,为载荷部25的惯量,R为柔性部24的阻尼。Referring to FIG. 14 , the present application first provides an integrated motor. The
一体式电机21的机械传动过程可分为一体式电机21、柔性部24以及载荷部25三部分进行分析,柔性部24用于柔性连接一体式电机21以及载荷部25;一体式电机21的机械部分以及载荷部25的动力学响应均可近似地看作惯量和阻尼系统,两者通过柔性部24耦合;柔性部24近似为刚度为K、阻尼为D的弹簧阻尼系统,则一体式电机21的动力学方程可按下式表示:The mechanical transmission process of the
; ;
; ;
。 .
其中,、、以及分别为一体式电机21的惯量、负载惯量、电机阻尼以及负载阻尼;、、分别是一体式电机21的输出转矩、受到的力矩以及外载荷力矩,与分别是驱动部212输出端位置以及载荷部25位置,𝑛为减速比。基于上述动力学模型,电机反电动势与减速器引入的阻尼与𝐷,可以得出由一体式电机21的输出转矩到驱动部212输出端位置以及载荷部25位置的传递函数分别为:in, , , as well as Inertia, load inertia, motor damping and load damping of the
; ;
。 .
通过上述传递函数,即可实现对一体式电机21的控制。Through the above transfer function, the control of the
此外,在对电机及减速器进行一体化集成设计时,若不对谐振频率、反谐振频率以及负载惯量比等参数进行调整,会导致无法获得惯量的最佳匹配,影响整个驱动系统的动态特性和运动输出精度。In addition, when the integrated design of the motor and the reducer is carried out, if the resonant frequency is not , anti-resonance frequency and load inertia ratio Adjustment of other parameters will result in the inability to obtain the best match of inertia, which will affect the dynamic characteristics and motion output accuracy of the entire drive system.
具体地,一方面,由于减速器带载下的反谐振频率通常不高(大约在10Hz 附近),如果仅利用反谐振频率前的控制带宽,无法实现一体式电机21的快速响应;另一方面,如果谐振与反谐振频率过于接近,则在一定的频率范围内,频率响应的相位会剧烈变化;第三方面,在载荷改变,谐振、反谐振频率漂移情况下,组合滤波器(图未示)的存在会引起系统失稳。Specifically, on the one hand, due to the anti-resonance frequency of the reducer under load Usually not high (about 10Hz), if only the control bandwidth before the anti-resonance frequency is used, the fast response of the
而通过将谐振频、反谐振频以及负载惯量比三者按照反谐振频率、谐振频率以及负载惯量比的关系进行配置,即可完成电机及减速器进行一体化集成设计中反谐振频率的合理配置,并拉大谐振频率与反谐振频率之间的差距,有利于后续驱动装置的高带宽控制以及滚轮22的柔顺控制的实现。By shifting the resonant frequency , anti-resonant frequency and load inertia ratio The three according to the anti-resonance frequency ,Resonant frequency and load inertia ratio The relationship between the configuration, the motor and reducer can be integrated to complete the integrated design of the anti-resonance frequency The reasonable configuration of , and pull up the resonant frequency with anti-resonant frequency The gap between them is beneficial to the realization of the high bandwidth control of the subsequent driving device and the compliant control of the
请结合图1至图4所示,本申请还提供一种驱动装置,用于叉车,包括箱体10、两个驱动结构20以及一个连接结构30;两个驱动结构20均设置于箱体10,每一驱动结构20包括上述的一体式电机21以及通过一体式电机21驱动的滚轮22,滚轮22以第三轴线3为转动中心与箱体10转动连接;连接结构30连接箱体10以及叉车的车体100,以使得箱体10能够相对于车体100以第一轴线1为转动中心转动,第一轴线1垂直于水平面,第三轴线3与第一轴线1垂直。Referring to FIGS. 1 to 4 , the present application also provides a driving device for a forklift, including a
通过两个一体式电机21分别驱动一个滚轮22,能够分别控制两个滚轮22的转速;又由于连接结构30连接箱体10以及叉车的车体100,以使得箱体10能够相对于车体100以第一轴线1为转动中心转动,因此,通过控制两个滚轮22差速转动,即可通过差速转动时地面对滚轮22的作用力,实现箱体10以及滚轮22以第一轴线1为中心的转动,从而完成驱动装置的转向。The two
本申请中无需设置单独额外的转向电机,两个一体式电机21在大部分情况下用于驱动前进,而在需要进行转向时通过两个一体式电机21差速转动,以实现驱动装置转向,极大提高了一体式电机21的工作效率;此外,由于本申请中采取控制驱动装置方向的方式实现叉车的转向,在根据需要控制驱动装置转向后,能够实现全向移动,相较于传统的差速转向,所需转弯半径小,能够满足狭窄地形的使用需求。In this application, there is no need to provide a separate additional steering motor, the two
请结合图2以及图3所示,在一些实施例中,连接结构30包括活动座31,活动座31以第一轴线1为转动中心与车体100转动连接,活动座31还连接箱体10,以使得箱体10以及活动座31能够相对于车体100以第一轴线1为中心转动。Referring to FIG. 2 and FIG. 3 , in some embodiments, the connecting
在一些实施例中,连接结构30还包括连接座34、编码器静盘35以及编码器动盘36,连接座34固设于车体100,活动座31与连接座34以第一轴线1为转动中心转动连接,编码器静盘35固设于连接座34,编码器动盘36固设于活动座31且与编码器静盘35对应;通过编码器静盘35能够检测编码器动盘36的转动,从而检测得到活动座31以及箱体10的转动角度以及转动速冻,进而实现对转动装置转向的高精度控制。In some embodiments, the connecting
在一些实施例中,活动座31沿支撑轴33的轴线方向贯通开设有走线孔(图未示),走线孔位于支撑轴33与连接座34之间,便于线缆能够从走线孔穿过,保证在驱动装置转向过程中,一体式电机21的线缆不会发生缠绕。In some embodiments, the
请结合图2、图3以及图5所示,在一些实施例中,连接结构30还包括固定座32以及支撑轴33;固定座32固设于箱体10,支撑轴33沿第二轴线2方向设置,活动座31通过支撑轴33与固定座32可转动的连接,第一轴线1、第二轴线2以及第三轴线3两两垂直。Referring to FIG. 2 , FIG. 3 and FIG. 5 , in some embodiments, the connecting
由于固定座32与活动座31之间通过支撑轴33可转动的连接,固定座32固设于箱体10,因此滚轮22与箱体10能够以第二轴线2为转动中心相对于活动座31转动;当驱动装置行驶至高低不平的路况时,两个滚轮22能够在地面对其的挤压力的作用下,以第二轴线2为转动中心转动,通过滚轮22对不同地形的自适应调节,最大化滚轮22与地面的接触面积,以增加驱动装置的可操控性。Since the fixed
请参考图6所示,在一些实施例中,一体式电机21包括壳体211、驱动部212以及减速部213,驱动部212与减速部213均设置于壳体211内;驱动部212包括第一转轴212a,减速部213包括第二转轴213a,驱动部212能够驱动第一转轴212a转动,第一转轴212a的转动经由减速部213减速后由第二转轴213a输出,第一转轴212a与第二转轴213a同轴线设置,且平行于第三轴线3。Referring to FIG. 6 , in some embodiments, the
通过将减速部213与驱动部212进行一体化集成设计,即,将驱动部212以及减速部213均安装于壳体内部,以保证一体式电机21结构紧凑,并能够达到轻量化的效果。The integrated design of the
具体的,驱动部212还包括固定于壳体211的定子212b以及固定于第一转轴212a的转子212c,定子212b通电后能够驱动转子212c以第一转轴212a的轴线为中心转动,并带动第一转轴212a自转。Specifically, the driving
请结合图7和图8所示,在一些实施例中,减速部213还包括中心轮213b、行星架213c、多个行星轮213d以及环形内齿圈213e,中心轮213b固设于第一转轴212a,且同时与各个行星轮213d啮合,行星轮213d以自身轴线为转动中轴线与行星架213c转动连接,行星架213c以第一转轴212a的轴线为转动中轴线与壳体211转动连接,各个行星轮213d均与环形内齿圈213e啮合,环形内齿圈213e固设于壳体211,第二转轴213a固设于行星架213c。Referring to FIG. 7 and FIG. 8 , in some embodiments, the
第一转轴212a能够通过中心轮213b带动各行星轮213d以各自的轴线为中心自转,而由于与各行星轮213d啮合的环形内齿圈213e与壳体211固定,因此随着各行星轮213d与环形内齿圈213e的啮合,各行星轮213d具有绕第一转轴212a的轴线公转的趋势,又由于行星架213c以第一转轴212a的轴线为中心与壳体211转动连接,因此各行星轮213d的转动会带动行星架213c以第一转轴212a为中心转动,从而带动第二转轴213a转动。The first
具体的,行星架213c分为上部及下部,上、下部分别通过轴承与壳体211转动连接,下部开设有通孔,以供第一转轴212a贯穿,第二转轴213a固设于上部,此外,上、下部之间通过多根行星轮轴213f固定连接,行星轮轴213f以第一转轴212a的轴线为中心周向设置,每一行星轮轴213f上通过轴承转动连接有一个行星轮213d。Specifically, the
可以理解的是,中心轮213b可以为与行星轮213d啮合的齿轮,也可以为其他形式,例如设置于第一转轴212a外周壁的齿形部等,只要能够与行星轮213d啮合并带动行星轮213d转动即可,本申请在此不做具体限定。It can be understood that the
进一步的,中心轮213b、行星轮213d以及环形内齿圈213e也不限于齿轮,可以为摩擦轮、摆线轮或凸轮等常用的传动结构,只要能够实现减速传动即可,本申请在此同样不做具体限定。Further, the
在一些实施例中,减速部213包括三个行星轮213d,三个行星轮213d以第一转轴212a的轴线为中心周向均布。In some embodiments, the
请参考图9所示,在一些实施例中,驱动结构20还包括传动组件23,一体式电机21能够通过传动组件23驱动滚轮22转动,每一驱动结构20呈L型,两个驱动结构20呈四边形设置,连接结构30设置于该四边形内部。Referring to FIG. 9 , in some embodiments, the driving
可以理解的,传动组件23即为该实施例中的柔性部24,滚轮22即为该实施例中的载荷部25。It can be understood that the
通过将连接结构30设置于驱动结构20所围成的四边形内部,能够使得驱动装置的箱体10在保持形状规整的前提下尽可能紧凑,从而减少箱体10的加工难度的同时尽可能减少驱动装置的体积。By arranging the connecting
请参考图4所示,本申请还提供一种叉车,包括车体100、叉板200、抬升装置300以及四个上述的驱动装置,抬升装置300与驱动装置均设置于车体100,叉板200设置于抬升装置300,抬升装置300能够驱动叉板200升降。Referring to FIG. 4 , the present application also provides a forklift truck, which includes a
请结合图10至图12所示,在一些实施例中,抬升装置300包括滑块抬升组件310,滑块抬升组件310包括连杆311、固定轴312、导轨313以及驱动滑块314,叉板200以及车体100上均固设有导轨313,导轨313沿叉板200的长度方向设置,每一导轨313滑动连接有一个驱动滑块314,每一驱动滑块314上转动连接有一根连杆311,位于叉板200的驱动滑块314所连接的连杆311另一端与车体100转动连接,位于车体100的驱动滑块314所连接的连杆311另一端与叉板200转动连接,固定轴312位于两根连杆311的相交处,且与两根连杆311均转动连接。10 to 12 , in some embodiments, the
通过驱动滑块314沿导轨313平移,使得两根连杆311以自身与叉板200或车体100的连接点为中心转动,从而实现叉板200相对于车体100升降。By driving the
请参考图13所示,在一些实施例中,抬升装置300包括丝杠抬升组件320,丝杠抬升组件320包括抬升电机321、丝杠322以及螺母座323,抬升电机321设置于车体100,且能够驱动丝杠322转动,丝杠322平行于第一轴线1方向设置,且与螺母座323螺纹连接,螺母座323固设于叉板200。Referring to FIG. 13 , in some embodiments, the
通过丝杠322与螺母座323螺纹连接,一方面具有自锁特性,能够在断电后保持自锁状态,避免叉板200失去动力后掉落,增加叉车的安全性,另一方面能够限制叉板200的移动自由度,使得叉板200仅能够沿竖直方向升降,以便于滑块抬升组件310的运行。The
在一些实施例中,丝杠抬升组件320还包括蜗轮以及蜗杆,蜗杆固设于抬升电机321的输出轴,蜗轮固设于丝杠322,且与蜗杆啮合;蜗轮蜗杆同样带有自锁特性,能够在断电时保持自锁状态,避免叉板200失去动力后掉落,进一步增加叉车的安全性。In some embodiments, the lead
以上所述实施例的各技术特征可以进行任意的组合,为使描述简洁,未对上述实施例中的各个技术特征所有可能的组合都进行描述,然而,只要这些技术特征的组合不存在矛盾,都应当认为是本说明书记载的范围。The technical features of the above-described embodiments can be combined arbitrarily. For the sake of brevity, all possible combinations of the technical features in the above-described embodiments are not described. However, as long as there is no contradiction between the combinations of these technical features, All should be regarded as the scope described in this specification.
以上所述实施例仅表达了本申请的几种实施方式,其描述较为具体和详细,但并不能因此而理解为对申请专利范围的限制。应当指出的是,对于本领域的普通技术人员来说,在不脱离本申请构思的前提下,还可以做出若干变形和改进,这些都属于本申请的保护范围。因此,本申请的专利保护范围应以所附权利要求为准。The above-mentioned embodiments only represent several embodiments of the present application, and the descriptions thereof are relatively specific and detailed, but should not be construed as a limitation on the scope of the patent application. It should be pointed out that for those skilled in the art, without departing from the concept of the present application, several modifications and improvements can be made, which all belong to the protection scope of the present application. Therefore, the scope of patent protection of the present application should be governed by the appended claims.
| Application Number | Priority Date | Filing Date | Title |
|---|---|---|---|
| CN202210996899.1ACN115085467B (en) | 2022-08-19 | 2022-08-19 | Drives and Forklifts |
| Application Number | Priority Date | Filing Date | Title |
|---|---|---|---|
| CN202210996899.1ACN115085467B (en) | 2022-08-19 | 2022-08-19 | Drives and Forklifts |
| Publication Number | Publication Date |
|---|---|
| CN115085467Atrue CN115085467A (en) | 2022-09-20 |
| CN115085467B CN115085467B (en) | 2022-11-22 |
| Application Number | Title | Priority Date | Filing Date |
|---|---|---|---|
| CN202210996899.1AActiveCN115085467B (en) | 2022-08-19 | 2022-08-19 | Drives and Forklifts |
| Country | Link |
|---|---|
| CN (1) | CN115085467B (en) |
| Publication number | Priority date | Publication date | Assignee | Title |
|---|---|---|---|---|
| JPH0698580A (en)* | 1992-09-10 | 1994-04-08 | Toshiba Corp | Motor controller |
| JP2002291272A (en)* | 2001-03-29 | 2002-10-04 | Toyo Electric Mfg Co Ltd | Velocity control device and its control method |
| JP2009046060A (en)* | 2007-08-22 | 2009-03-05 | Hitachi Ltd | Shaft coupling of electric power steering device |
| CN104993766A (en)* | 2015-08-05 | 2015-10-21 | 南京埃斯顿自动控制技术有限公司 | Two-mass system resonance suppression method |
| CN106300795A (en)* | 2016-11-04 | 2017-01-04 | 南京信息工程大学 | A kind of big retarding is than harmonic reduction all-in-one |
| CN107733313A (en)* | 2017-12-04 | 2018-02-23 | 广东石油化工学院 | Rotating machinery resonance Adaptive Suppression method |
| CN108501672A (en)* | 2017-02-25 | 2018-09-07 | 华为技术有限公司 | Power drive system |
| CN211198487U (en)* | 2019-11-22 | 2020-08-07 | 宁波如意股份有限公司 | Omnidirectional movement forklift |
| CN111590579A (en)* | 2020-05-26 | 2020-08-28 | 山东理工大学 | Human-simulated flexible arm resonance suppression method |
| CN112039395A (en)* | 2020-07-09 | 2020-12-04 | 苏州绿控传动科技股份有限公司 | Method and device for restraining resonance of flexible load driven by permanent magnet synchronous motor |
| CN215322095U (en)* | 2021-08-06 | 2021-12-28 | 昆山斯沃普智能装备有限公司 | Vehicle lifting device for power conversion station |
| CN114310874A (en)* | 2021-12-20 | 2022-04-12 | 中国科学院宁波材料技术与工程研究所 | Cooperative robot joint torque control method and system and computer equipment |
| Publication number | Priority date | Publication date | Assignee | Title |
|---|---|---|---|---|
| JPH0698580A (en)* | 1992-09-10 | 1994-04-08 | Toshiba Corp | Motor controller |
| JP2002291272A (en)* | 2001-03-29 | 2002-10-04 | Toyo Electric Mfg Co Ltd | Velocity control device and its control method |
| JP2009046060A (en)* | 2007-08-22 | 2009-03-05 | Hitachi Ltd | Shaft coupling of electric power steering device |
| CN104993766A (en)* | 2015-08-05 | 2015-10-21 | 南京埃斯顿自动控制技术有限公司 | Two-mass system resonance suppression method |
| CN106300795A (en)* | 2016-11-04 | 2017-01-04 | 南京信息工程大学 | A kind of big retarding is than harmonic reduction all-in-one |
| CN108501672A (en)* | 2017-02-25 | 2018-09-07 | 华为技术有限公司 | Power drive system |
| CN107733313A (en)* | 2017-12-04 | 2018-02-23 | 广东石油化工学院 | Rotating machinery resonance Adaptive Suppression method |
| CN211198487U (en)* | 2019-11-22 | 2020-08-07 | 宁波如意股份有限公司 | Omnidirectional movement forklift |
| CN111590579A (en)* | 2020-05-26 | 2020-08-28 | 山东理工大学 | Human-simulated flexible arm resonance suppression method |
| CN112039395A (en)* | 2020-07-09 | 2020-12-04 | 苏州绿控传动科技股份有限公司 | Method and device for restraining resonance of flexible load driven by permanent magnet synchronous motor |
| CN215322095U (en)* | 2021-08-06 | 2021-12-28 | 昆山斯沃普智能装备有限公司 | Vehicle lifting device for power conversion station |
| CN114310874A (en)* | 2021-12-20 | 2022-04-12 | 中国科学院宁波材料技术与工程研究所 | Cooperative robot joint torque control method and system and computer equipment |
| Title |
|---|
| 丁有爽等: "基于负载位置反馈的永磁同步电机驱动柔性负载谐振抑制方法", 《电工技术学报》* |
| 罗自荣等: "伺服机构谐振特性的虚拟试验方法", 《机械设计》* |
| Publication number | Publication date |
|---|---|
| CN115085467B (en) | 2022-11-22 |
| Publication | Publication Date | Title |
|---|---|---|
| JP5026434B2 (en) | Decelerator | |
| CN108443422A (en) | A kind of wheel motor drive device | |
| CN104842781B (en) | Motor integral electric bridge is put in a kind of distribution function with driving force | |
| CN107171489A (en) | Wheel hub electric motor of electric vehicle and wheel hub electric motor of electric vehicle control method | |
| CN106555858B (en) | Power-driven system and vehicle with it | |
| CN115958946A (en) | Drive axle for vehicle and vehicle having same | |
| WO2018014481A1 (en) | Automobile and transmission system thereof | |
| CN115085467A (en) | Integrated motor, driving device and forklift | |
| CN113531082A (en) | Intelligent differential device for vehicle | |
| CN212616133U (en) | Planetary reducer running gear | |
| CN111884420A (en) | High output torque density's rotary motion module | |
| CN208774418U (en) | A kind of non-maintaining single-stage speed reducing electric drive axle | |
| CN214626687U (en) | Outer rotor speed reduction wheel hub motor | |
| CN115435061A (en) | Reducers, transaxles and vehicles | |
| CN217944895U (en) | Novel steering wheel | |
| CN217575338U (en) | Omnidirectional mobile chassis and vehicles | |
| CN115750686A (en) | High-rigidity large-load precise speed reduction closed-loop transmission device | |
| CN110332285A (en) | An AGV driving wheel with high speed ratio and high torque | |
| CN212717830U (en) | High-speed high-efficiency planetary gear reducer | |
| CN115122887A (en) | A six-mode dual-motor power coupling drive system based on planetary gear mechanism | |
| WO2022142971A1 (en) | Hub motor and vehicle | |
| CN114696531A (en) | In-wheel motor and vehicle | |
| CN214689030U (en) | Offset speed change system and drive axle assembly | |
| CN206234336U (en) | A kind of unit is input into four axles output differential gear | |
| CN216045287U (en) | Differential gear mechanism and automobile |
| Date | Code | Title | Description |
|---|---|---|---|
| PB01 | Publication | ||
| PB01 | Publication | ||
| SE01 | Entry into force of request for substantive examination | ||
| SE01 | Entry into force of request for substantive examination | ||
| GR01 | Patent grant | ||
| GR01 | Patent grant |