Movatterモバイル変換


[0]ホーム

URL:


CN115052270A - Service index determination method and device, electronic equipment and nonvolatile storage medium - Google Patents

Service index determination method and device, electronic equipment and nonvolatile storage medium
Download PDF

Info

Publication number
CN115052270A
CN115052270ACN202210697971.0ACN202210697971ACN115052270ACN 115052270 ACN115052270 ACN 115052270ACN 202210697971 ACN202210697971 ACN 202210697971ACN 115052270 ACN115052270 ACN 115052270A
Authority
CN
China
Prior art keywords
target
determining
base station
vertex
target area
Prior art date
Legal status (The legal status is an assumption and is not a legal conclusion. Google has not performed a legal analysis and makes no representation as to the accuracy of the status listed.)
Granted
Application number
CN202210697971.0A
Other languages
Chinese (zh)
Other versions
CN115052270B (en
Inventor
张国成
曹蕊
左娟
洪沛
杨国锋
徐虎
李冠华
戴胜林
曹雅琼
张刚
Current Assignee (The listed assignees may be inaccurate. Google has not performed a legal analysis and makes no representation or warranty as to the accuracy of the list.)
China Telecom Corp Ltd
Original Assignee
China Telecom Corp Ltd
Priority date (The priority date is an assumption and is not a legal conclusion. Google has not performed a legal analysis and makes no representation as to the accuracy of the date listed.)
Filing date
Publication date
Application filed by China Telecom Corp LtdfiledCriticalChina Telecom Corp Ltd
Priority to CN202210697971.0ApriorityCriticalpatent/CN115052270B/en
Publication of CN115052270ApublicationCriticalpatent/CN115052270A/en
Application grantedgrantedCritical
Publication of CN115052270BpublicationCriticalpatent/CN115052270B/en
Activelegal-statusCriticalCurrent
Anticipated expirationlegal-statusCritical

Links

Images

Classifications

Landscapes

Abstract

The invention discloses a method and a device for determining a service index, electronic equipment and a nonvolatile storage medium. Wherein, the method comprises the following steps: determining a first target area and a first target base station in the first target area; determining people flow data and service data corresponding to a first target base station; and determining a target service index according to the people flow data and the service data. The invention solves the technical problems of search error of the coverage base station, low search performance of the base station, single insight index and the like caused by the fact that the traditional search method of the coverage base station only searches the base station in the area and is usually violent search.

Description

Service index determination method and device, electronic equipment and nonvolatile storage medium
Technical Field
The invention relates to the field of computer big data, in particular to a method and a device for determining a service index, electronic equipment and a nonvolatile storage medium.
Background
Along with the rapid development of the mobile internet, the mobile internet users in China are large in scale and rapid in development, the generated massive user data brings pressure to data storage and processing, meanwhile, the traditional business of a mobile operator is impacted by a new media, and the users are not limited to the traditional requirements, so that the problems of the massive data in the aspects of storage and processing are solved by utilizing a big data technology, the user characteristics are analyzed according to the obtained user data, a customer figure is constructed, the personalized requirements of the users are mined, and the personalized service is provided for the users.
The existing searching method for the area coverage base station only searches the base station in the area, and does not consider the signal coverage factor of the base station, so that the area is slightly less in the amount of people flow. And usually, violent retrieval is performed, whether the base station falls in the area range is calculated according to a base station falling area algorithm, the calculation complexity is high, and the efficiency is low. The problems of search error of the coverage base station, low search performance of the base station, single insight index and the like exist.
In view of the above problems, no effective solution has been proposed.
Disclosure of Invention
The embodiment of the invention provides a service index determining method, a service index determining device, electronic equipment and a nonvolatile storage medium, which are used for at least solving the technical problems of search errors of a coverage base station, low base station search performance, single insight index and the like caused by the fact that only base stations in an area are searched by a traditional area coverage base station search method and violent search is generally carried out.
According to an aspect of the embodiments of the present invention, a method for determining a service index is provided, including: determining a first target area and a first target base station in the first target area; determining people stream data and service data corresponding to a first target base station; and determining a target service index according to the people flow data and the service data.
Optionally, determining the first target region comprises: determining a second target area and a second target base station in the second target area; determining a signal coverage range of a second target base station; and correcting the contour line of the second target area according to the signal coverage area to obtain a first target area, wherein the first target area completely covers the signal coverage area of the second target base station.
Optionally, the modifying the contour line of the second target area according to the signal coverage to obtain the first target area includes: determining a target coordinate system, and determining coordinate values of a second vertex on the contour line of the second target area in the target coordinate system, wherein the second vertex is any vertex on the contour line of the second target area; determining a coordinate value of the first vertex in a target coordinate system according to the second vertex and the signal coverage range, wherein the first vertex is a vertex corresponding to the second vertex in the contour line of the first target area; and determining a second target area according to the coordinate value of the second vertex in the target coordinate system.
Optionally, the modifying the contour line of the second target area according to the signal coverage to obtain the first target area includes: determining an included angle between two edges corresponding to a second vertex, wherein the second vertex is any one of the vertexes, and the edge is an edge taking the second vertex as an endpoint in the contour line of the second target area; determining the distance between a second vertex and a first vertex according to the included angle and the signal coverage range, wherein the first vertex is a vertex corresponding to the second vertex in the contour line of the first target area; and determining the coordinate value of the first vertex according to the distance.
Optionally, determining the first target base station in the first target area includes: determining a third target area, wherein a graph formed by the contour line of the third target area is an circumscribed graph of the first target area; determining a third target base station in a third target area; determining a target ray taking the third target base station as an end point and a preset direction as a direction; determining the number of intersection points between the target ray and the contour line of the first target area; and under the condition that the number of the intersection points is odd, determining the third target base station as the first target base station.
Optionally, determining the people flow data corresponding to the first target base station includes: determining a target user corresponding to the first target base station, wherein the target user is a user using terminal equipment connected with the first target base station within a preset time period; determining signaling data of a target user; determining a first resident base station of a target user in a first target time period and a second resident base station of the target user in a second target time period according to the signaling data; judging whether the first resident base station and the second resident base station are first target base stations or not, and determining the user types of target users according to the judgment results, wherein the user types comprise resident users and visiting users; and determining people flow data according to the user type of the target user, wherein the people flow data comprises resident user data and visiting user data.
Optionally, the target traffic indicator comprises at least one of: the permeability of a 5G terminal, the permeability of a 5G package, flow use behavior characteristics, target application use behavior characteristics, target conversation package coverage rate and consumption grade in a target user group.
According to another aspect of the embodiments of the present invention, there is also provided a service index determining apparatus, including: an acquisition module, configured to determine a first target area and a first target base station in the first target area; the first processing module is used for determining people stream data and service data corresponding to the first target base station; and the second processing module is used for determining the target service index according to the people flow data and the service data.
According to another aspect of the embodiment of the present invention, a nonvolatile storage medium is further provided, where the nonvolatile storage medium includes a stored program, and when the program runs, a device in which the nonvolatile storage medium is located is controlled to execute the service index determining method.
According to another aspect of the embodiments of the present invention, there is also provided an electronic device, where the electronic device includes a processor, and the processor is configured to execute a program, where the method for determining a service index is executed when the program is executed.
In the embodiment of the invention, a first target area and a first target base station in the first target area are determined; determining people flow data and service data corresponding to a first target base station; the method comprises the steps of determining a target service index according to people flow data and service data, achieving the purpose of accurate retrieval of coverage base stations in an area, achieving the technical effects of accurate search and multi-dimensional systematic insight of the coverage base stations in any defined irregular area, and further solving the technical problems of retrieval errors of the coverage base stations, low base station retrieval performance, single insight index and the like caused by the fact that only base stations in the area are retrieved and violent retrieval is usually performed in the traditional area coverage base station retrieval method.
Drawings
The accompanying drawings, which are included to provide a further understanding of the invention and are incorporated in and constitute a part of this application, illustrate embodiment(s) of the invention and together with the description serve to explain the invention without limiting the invention. In the drawings:
fig. 1 is a schematic flow chart of a service index determining method according to an embodiment of the present invention;
fig. 2 is a schematic diagram of an irregular area outlined according to a coverage area of a base station according to an embodiment of the present invention;
FIG. 3 is a schematic diagram of a complete process for determining a first target area according to an embodiment of the present invention;
fig. 4 is a schematic diagram of a method for screening base stations according to circumscribed cuboids of a region provided by an embodiment of the invention;
FIG. 5 is a schematic diagram of a case where a line segment does not intersect a ray provided in accordance with an embodiment of the present invention;
fig. 6 is a schematic flowchart illustrating a method for a base station to land in a region according to an embodiment of the present invention;
FIG. 7 is a schematic diagram of a region people flow identification model according to an embodiment of the present invention;
FIG. 8 is a schematic diagram of a regional population characteristic identification model, a product penetration analysis model and a regional population behavior analysis model according to an embodiment of the present invention;
FIG. 9 is a block diagram of a business indicator determining apparatus according to an embodiment of the present invention;
fig. 10 is a block diagram of a hardware structure of a computer terminal (or an electronic device) for implementing a method for determining a service indicator according to an embodiment of the present invention.
Detailed Description
In order to make the technical solutions of the present invention better understood, the technical solutions in the embodiments of the present invention will be clearly and completely described below with reference to the drawings in the embodiments of the present invention, and it is obvious that the described embodiments are only a part of the embodiments of the present invention, and not all of the embodiments. All other embodiments, which can be derived by a person skilled in the art from the embodiments given herein without making any creative effort, shall fall within the protection scope of the present invention.
It should be noted that the terms "first," "second," and the like in the description and claims of the present invention and in the drawings described above are used for distinguishing between similar elements and not necessarily for describing a particular sequential or chronological order. It is to be understood that the data so used is interchangeable under appropriate circumstances such that the embodiments of the invention described herein are capable of operation in other sequences than those illustrated or described herein. Furthermore, the terms "comprises," "comprising," and "having," and any variations thereof, are intended to cover a non-exclusive inclusion, such that a process, method, system, article, or apparatus that comprises a list of steps or elements is not necessarily limited to those steps or elements expressly listed, but may include other steps or elements not expressly listed or inherent to such process, method, article, or apparatus.
In order to facilitate the understanding of the embodiments of the present application by those skilled in the art, some technical terms or terms related to the embodiments of the present application will be explained as follows:
HDFS (English: Hadoop Distributed File System): refers to a distributed file system designed to fit on general purpose hardware.
HBase database: a distributed, column-oriented open source database.
JDBC (Java Database Connectivity): the application program interface in the Java language, which is used to specify how a client program accesses a database, provides methods such as querying and updating data in the database. Inceptor: the analytical database is based on Hadoop.
Echarts framework: a visual front end frame.
In accordance with an embodiment of the present invention, there is provided an embodiment of a method for determining a business metric, it should be noted that the steps illustrated in the flowchart of the accompanying drawings may be executed in a computer system, such as a set of computer-executable instructions, and that while a logical order is illustrated in the flowchart, in some cases, the steps illustrated or described may be executed in an order different than that illustrated herein.
Fig. 1 is a method for determining a service index according to an embodiment of the present invention, as shown in fig. 1, the method includes the following steps:
step S102, determining a first target area and a first target base station in the first target area;
in some embodiments of the present application, determining the first target region comprises: determining a second target area and a second target base station in the second target area; determining a signal coverage range of a second target base station; and correcting the contour line of the second target area according to the signal coverage area to obtain a first target area, wherein the first target area completely covers the signal coverage area of the second target base station.
Specifically, the contour line of the second target area is corrected according to the signal coverage to obtain the first target area, that is, the irregular second target area to be observed is subjected to contour extension according to the coverage of the base station, the base station is retrieved from the extended area, the base station a and the base station B can be retrieved simultaneously, so that the deviation of the people flow rate observation is avoided, and the schematic diagram of the irregular area subjected to contour extension according to the coverage of the base station is shown in fig. 2;
in some embodiments of the present application, modifying the contour of the second target area according to the signal coverage to obtain the first target area includes: determining a target coordinate system, and determining coordinate values of a second vertex on the contour line of the second target area in the target coordinate system, wherein the second vertex is any vertex on the contour line of the second target area; determining a coordinate value of the first vertex in a target coordinate system according to the second vertex and the signal coverage range, wherein the first vertex is a vertex corresponding to the second vertex in the contour line of the first target area; and determining a second target area according to the coordinate value of the second vertex in the target coordinate system.
In some embodiments of the present application, modifying the contour of the second target area according to the signal coverage to obtain the first target area includes: determining an included angle between two edges corresponding to a second vertex, wherein the second vertex is any one of the vertexes, and the edge is an edge taking the second vertex as an end point in the contour line of the second target area; determining the distance between a second vertex and a first vertex according to the included angle and the signal coverage range, wherein the first vertex is a vertex corresponding to the second vertex in the contour line of the first target area; and determining the coordinate value of the first vertex according to the distance.
Specifically, when determining the first target region, the present embodiment provides an expand algorithm from region to region, where the complete flow of determining the first target region is shown in fig. 3, and includes the following steps:
step S302, determining each vertex coordinate and a base station coverage range L in a second target area;
in this embodiment, the coverage L of the base station may be estimated and determined according to the sector coverage of the base station and the actual demand condition. In addition, when the second target area is determined, the area fence coordinates of the second target area are determined through input parameters, and the method can be communicated with various GIS (Geographic Information Science) maps in the market, so that business personnel can customize the area individually;
step S304, calculating vectors formed by two adjacent vertexes of a certain second vertex respectively;
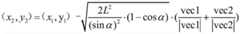
specifically, for a vertex F, the coordinate is (x)1 ,y1 ) And respectively calculating vectors vec1 and vec2 formed by two adjacent vertexes.
Step S306, calculating the included angle of two edges forming the vertex;
specifically, vectors vec1 and vec2 are first unitized, and cosine values cos α of included angles of vec1 and vec2 are calculated according to the following formula:
Figure BDA0003703465030000051
step S308, calculating the modular length of the vector formed by the second vertex and the expanded first vertex
Specifically, firstly, the side length of a rhombus formed by a vertex F and a corresponding outward-extended vertex M is calculated, wherein the side length of the rhombus is the length of a line segment formed by an intersection point of two sides forming a second vertex F and a first target area boundary and the second vertex F after the two sides forming the second vertex F extend outwards, and the value of the length is
Figure BDA0003703465030000061
Then calculating the modular length of the vector formed by the vertex F and the corresponding outward-extended vertex M
Figure BDA0003703465030000062
The calculation formula is as follows:
Figure BDA0003703465030000063
step S310, calculating the direction of the vector formed by the second vertex and the expanded first vertex, which is:
Figure BDA0003703465030000064
step S312, calculating the coordinates of the expanded first vertex;
specifically, the vector can be obtained according to the modular length and the direction of the vector formed by the vertex F and the corresponding outward-expanding vertex M. Knowing the coordinates of vertex F, the corresponding coordinate of the flaring vertex M can be calculated as (x2, y2), which is calculated as:
Figure BDA0003703465030000065
step S314, outputting the coordinates of each vertex after the irregular area is expanded.
In some embodiments of the present application, determining the first target base station in the first target area comprises: determining a third target area, wherein a graph formed by the contour line of the third target area is an circumscribed graph of the first target area; determining a third target base station in a third target area; determining a target ray taking the third target base station as an end point and a preset direction as a direction; determining the number of intersection points between the target ray and the contour line of the first target area; and under the condition that the number of the intersection points is odd, determining the third target base station as the first target base station.
Specifically, in the embodiment of the present application, the third target area is determined; when a third target base station in a third target area is determined, the base stations are preliminarily screened through the circumscribed cuboid of the irregular first target area, an algorithm is designed by self, a candidate set is selected in a frame mode, and the retrieval efficiency of the base stations is improved to the second level. The method for screening the base stations according to the circumscribed cuboid of the region is shown in fig. 4 and comprises the following steps:
obtaining the coordinates of each extended vertex by a regional contour extension algorithm, wherein the coordinates are as follows: p isi =(xi ,yi ) I is 1,2, …, N, wherein N is the number of vertices;
computing the circumscribed length of the expanded regionThe coordinates of four vertexes of the cube are respectively as follows: (max (x)i ),min(yi ))、(max(xi ),max(yi ))、(min(xi ),min(yi ))、(min(xi ),max(yi ));
Judging whether the base station is in the circumscribed cuboid: assume all base station coordinates as Qj =(aj ,bj ) J is 1,2, …, M, where M is the number of base stations. If for base station Qj Simultaneously, the following requirements are met:
min(xi )≤aj ≤max(xi )
min(yi )≤bj ≤max(yi )
then base station Qj Is positioned in the circumscribed cuboid.
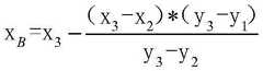
In some embodiments of the present application, after determining a third target base station in a third target area, determining a target ray with the third target base station as an end point and a preset direction as a direction; determining the number of intersection points between the target ray and the contour line of the first target area; and under the condition that the number of the intersection points is odd, determining the third target base station as the first target base station.
When the third target base station is determined to be the first target base station, the method judges whether the third target base station in the sector screened by the circumscribed cuboid is in the expanded first target area or not by utilizing a ray method, and the final retrieval of the area coverage base station is realized. The ray method principle is that a ray is made to a first direction based on a judgment point (base station), wherein the first direction is horizontal to the left, the number of intersection points of the ray and each edge of a polygon is calculated, if the number of the intersection points is an odd number, the point is located in the polygon, and if the number of the intersection points is an even number, the point is located outside the polygon. The algorithm can also judge the composite polygon correctly. In addition, it is specified that a line segment overlaps a ray or a ray passes through a lower end point of the line segment without intersecting, and specifically, the coordinate of the judgment point a is assumed to be (x)1 ,y1 ) The coordinates of two end points of the line segment are (x)2 ,y2 )、(x3 ,y3 ) The following 8 cases are included: parallel, overlapping, line segment length 0, line segment above ray, line segment to the left of ray, intersection point upThe end point and the intersection point are lower end points as shown in fig. 5.
Specifically, at y2 =y3 ≠y1 In the case of (3), judging that the line segment is parallel to the ray;
at y2 =y3 =y1 In the case of (2), it is determined that the line segment overlaps the ray;
at y2 =y3 And x3 =x3 In the case of (2), the length of the line segment is determined to be 0;
at y2 >y1 And y is3 >y1 In the case of (2), determining that the line segment is above the ray;
at y2 <y1 And y is3 <y1 In the case of (2), determining that the line segment is below the ray;
at x2 <x1 And x3 <x1 Determine that the line segment is to the left of the ray;
at y1 =y2 And y is3 >y1 Under the condition of (1), judging that the intersection point of the line segment and the ray is an upper end point;
at y1 =y3 And y is2 >y1 In the case of (3), the intersection of the line segment and the ray is determined as the lower end point.
Specifically, when it is determined that the third target base station is the first target base station, the method for locating a base station is adopted in the present application, as shown in fig. 6, and includes the following steps:
step S602, randomly selecting a base station as a judgment point (x)1 ,y1 ) And initializing a variable Count to 0;
step S604, sequentially taking polygons according to the same sequence to obtain edges, wherein the longitude and latitude of two end points of the obtained edges are (x)2 ,y2 )、(x3 ,y3 );
Step S606, judging whether the point and the line segment are intersected or not based on 8 scenes in which the point and the line segment are not intersected;
specifically, at y2 =y3 ≠y1 In the case of (3), judging that the line segment is parallel to the ray;
at y2 =y3 =y1 Determining that the line segment overlaps the ray;
at y2 =y3 And x3 =x3 In the case of (2), the length of the line segment is determined to be 0;
at y2 >y1 And y is3 >y1 In the case of (2), determining that the line segment is above the ray;
at y2 <y1 And y is3 <y1 In the case of (2), determining that the line segment is below the ray;
at x2 <x1 And x3 <x1 In the case of (2), it is determined that the line segment is to the left of the ray;
at y1 =y2 And y is3 >y1 Under the condition of (1), judging that the intersection point of the line segment and the ray is an upper end point;
at y1 =y3 And y is2 >y1 In the case of (3), the intersection of the line segment and the ray is determined as the lower end point.
Step S608, when the point and the line segment do not belong to 8 disjoint cases, calculating the abscissa x of the point at the intersection point of the line segmentB The calculation formula is as follows:
Figure BDA0003703465030000081
when x isB >x1 When the intersection point B is positioned on the right side of the judgment point, the ray and the line segment are intersected, otherwise, the ray and the line segment are not intersected;
step S610, circularly calculating the number of the sides intersected with the polygon for the judgment points, wherein if the number is an odd number, the judgment points are inside the polygon, otherwise, the judgment points are outside the polygon;
step S612, traversing calculation is carried out on the screened base stations, and finally the retrieval result of the base stations is output;
step S104, determining people stream data and service data corresponding to the first target base station;
in some embodiments of the present application, determining the people flow data corresponding to the first target base station comprises: determining a target user corresponding to the first target base station, wherein the target user is a user using terminal equipment connected with the first target base station within a preset time period; determining signaling data of a target user; determining a first resident base station of a target user in a first target time period and a second resident base station of the target user in a second target time period according to the signaling data; judging whether the first resident base station and the second resident base station are first target base stations or not, and determining the user types of target users according to the judgment results, wherein the user types comprise resident users and visiting users; and determining people flow data according to the user type of the target user, wherein the people flow data comprises resident user data and visiting user data.
In this embodiment, when there are multiple first target base stations, the first target area is taken as a unit, the multiple first target base stations in the first target area are analyzed in an integrated manner, and people stream data determined by the multiple first target base stations is summarized in a duplicate-removing manner, that is, when a terminal device of one target user corresponds to the multiple first target base stations, data is recorded only once.
Specifically, when determining the people flow data corresponding to the first target base station, the embodiment of the application constructs an area people flow identification model by using the coverage base station information based on the 4G/5G signaling data and the area, and outputs people flow information such as people flow, visiting people, resident people, residence time and the like. The schematic diagram of the region people stream identification model is shown in fig. 7, and includes:
and processing indexes such as daytime, night base station residence time, residence days and the like of the user in one month based on 4/5G signaling data to construct a permanent residence identification month model to identify the night and day resident base stations of the user. And performing correlation analysis based on 4/5G signaling data and an area coverage base station, and constructing an area pedestrian flow identification day model to identify area crowds and area residence time. Based on the identified regional population, the regional population is further subdivided into visiting populations and resident populations by combining whether the night resident base station and the day resident base station of the user belong to the regional coverage base station.
And step S106, determining a target service index according to the people flow data and the service data.
In some embodiments of the present application, the target business indicator comprises at least one of: 5G terminal permeability, 5G package permeability, flow use behavior characteristics, target application use behavior characteristics, target conversation package coverage rate and consumption grade in a target user group.
Specifically, in the present application, based on regional crowd data and 5G full-service data, a product penetration analysis model, a crowd characteristic identification model, and a crowd behavior analysis model are constructed, and indexes such as age, gender, source, social group, terminal, package, consumption grade, 5G terminal permeability, 5G package permeability, flow usage behavior, APP usage of the crowd are output, where the above regional crowd characteristic identification model, the product penetration analysis model, and the regional crowd behavior analysis model are shown in fig. 8, and include:
constructing a regional population characteristic identification day model based on regional populations and 5G full-service data, and outputting population characteristics such as population age, gender, origin, terminal and social population;
constructing a regional product permeability analysis daily model based on regional population and 5G full-service data, and outputting product permeability analysis indexes such as 5G package permeability, 5G terminal permeability, broadband permeability, ITV permeability and the like;
constructing a regional population behavior analysis daily model based on regional populations and 5G full-service data, and outputting behavior characteristics of dimensionalities such as 5G network-surfing behaviors, flow using behaviors and APP using behaviors;
the 5G full service data is all service data pre-stored in the database and related to 5G, and at least includes B-domain data (customer data), O-domain data (network data), M-domain data (location information), and the like.
In some embodiments of the invention, based on regional crowd data and 5G full-service data, a region is selected or a region is defined by self according to marketing requirements, and after a target customer group is screened through a user basic tag, a statistical tag and a model tag according to different activity requirements, accurate marketing of business hall drainage, ground push activity preheating and other various scenes is realized by using channel contact such as self short message, outbound and the like. For the accurate operation such as accurate marketing of net, the accurate location in position, the accurate input of resource, bring major change and promotion such as specialization, intellectuality.
Through the steps, a first target area and a first target base station in the first target area are determined; determining people flow data and service data corresponding to a first target base station; and determining a target service index according to the people flow data and the service data. The method has the advantages that the technical effects of accurate search and multi-dimensional systematic insight of the coverage base stations in any defined irregular area can be achieved, and the technical problems that the traditional area coverage base station search method only searches base stations in the area and is usually violent search, so that the search error of the coverage base station, the search performance of the base station is low, the insight index is single and the like are solved.
The embodiment provides a regional insight system based on 5G full-service data, which comprises a data layer, an analysis processing layer, a data access layer, a service layer and a view layer. Data of the data layer is stored in an HDFS file, an HBase database, an internal memory or an SSD (Solid State Disk), and the data of the data layer has both data obtained through preprocessing and result data obtained through processing of a timing task. And the analysis processing layer analyzes the user fact label and the model label on the big data processing platform by utilizing the big data computing capability. External Java programs access database objects within an inceptor through an inceptor JDBC and can perform data operations using standard SQL statements. The regional insight system provides services such as login and identity, system management, basic analysis, social analysis, position track, thematic analysis and the like for business personnel, and a user can select related services from the view layer page. The returned result is also displayed in the page of the view layer, and part of the data is rendered through the Echarts frame display.
FIG. 9 is a block diagram of a business index determining apparatus according to an embodiment of the present application;
an acquisition module, configured to determine a first target area and a first target base station in the first target area;
the first processing module is used for determining people stream data and service data corresponding to the first target base station;
and the second processing module is used for determining the target service index according to the people flow data and the service data.
It should be noted that the service index determining apparatus shown in fig. 9 is used for executing the method for determining a service index shown in fig. 1, and therefore, the related explanation in the method for determining a service index is also applicable to the apparatus for determining a service index, and is not described herein again.
The method for determining the service index provided by the embodiment of the application can be executed in a mobile terminal, a computer terminal or a similar operation device. Fig. 10 shows a block diagram of a hardware structure of a computer terminal (or electronic device) for implementing the method of business metric determination. As shown in fig. 10, the computer terminal 100 (or electronic device 100) may include one or more processors (shown as 1002a, 1002b, … …, & 1002n in the figure) which may include, but are not limited to, a processing device such as a microprocessor MCU or a programmable logic device FPGA, amemory 1004 for storing data, and a transmission module 1006 for communication functions. Besides, the method can also comprise the following steps: a display, an input/output interface (I/O interface), a Universal Serial Bus (USB) port (which may be included as one of the ports of the I/O interface), a network interface, a power source, and/or a camera. It will be understood by those skilled in the art that the structure shown in fig. 10 is only an illustration and is not intended to limit the structure of the electronic device. For example, computer terminal 100 may also include more or fewer components than shown in FIG. 10, or have a different configuration than shown in FIG. 10.
It should be noted that the one or more processors and/or other data processing circuitry described above may be referred to generally herein as "data processing circuitry". The data processing circuitry may be embodied in whole or in part in software, hardware, firmware, or any combination thereof. Further, the data processing circuit may be a single stand-alone processing module, or incorporated in whole or in part into any of the other elements in the computer terminal 100 (or electronic device). As referred to in the embodiments of the application, the data processing circuit acts as a processor control (e.g. selection of a variable resistance termination path connected to the interface).
Thememory 1004 may be used to store software programs and modules of application software, such as program instructions/data storage devices corresponding to the service index determination method in the embodiment of the present application, and the processor executes various functional applications and data processing by running the software programs and modules stored in thememory 1004, that is, implementing the service index determination method described above. Thememory 1004 may include high-speed random access memory, and may also include non-volatile memory, such as one or more magnetic storage devices, flash memory, or other non-volatile solid-state memory. In some examples, thememory 1004 may further include memory located remotely from the processor, which may be connected to the computer terminal 100 through a network. Examples of such networks include, but are not limited to, the internet, intranets, local area networks, mobile communication networks, and combinations thereof.
The transmission module 1006 is used for receiving or transmitting data via a network. Specific examples of the network described above may include a wireless network provided by a communication provider of the computer terminal 60. In one example, the transmission device 1006 includes a Network adapter (NIC) that can be connected to other Network devices through a base station so as to communicate with the internet. In one example, the transmission device 1006 can be a Radio Frequency (RF) module, which is used for communicating with the internet in a wireless manner.
The display may be, for example, a touch screen type Liquid Crystal Display (LCD) that may enable a user to interact with a user interface of the computer terminal 100 (or electronic device).
It should be noted here that in some alternative embodiments, the computer device (or electronic device) shown in fig. 10 may include hardware elements (including circuitry), software elements (including computer code stored on a computer-readable medium), or a combination of both hardware and software elements. It should be noted that fig. 10 is only one example of a specific example and is intended to illustrate the types of components that may be present in the computer device (or electronic device) described above.
It should be noted that the electronic device for determining the service index shown in fig. 10 is configured to execute the method for determining the service index shown in fig. 1, and therefore, the related explanation in the method for determining the service index is also applicable to the device for determining the service index, which is not described herein again.
The embodiment of the present application further provides a nonvolatile storage medium, where the nonvolatile storage medium includes a stored program, and when the program runs, a device where the nonvolatile storage medium is located is controlled to execute the following method for determining a service index: determining a first target area and a first target base station in the first target area; determining people flow data and service data corresponding to a first target base station; and determining a target service index according to the people flow data and the service data.
The above-mentioned serial numbers of the embodiments of the present invention are merely for description and do not represent the merits of the embodiments.
In the above embodiments of the present invention, the descriptions of the respective embodiments have respective emphasis, and for parts that are not described in detail in a certain embodiment, reference may be made to related descriptions of other embodiments.
In the embodiments provided in the present application, it should be understood that the disclosed technical content can be implemented in other manners. The above-described embodiments of the apparatus are merely illustrative, and for example, the division of the units may be a logical division, and in actual implementation, there may be another division, for example, multiple units or components may be combined or integrated into another system, or some features may be omitted, or not executed. In addition, the shown or discussed mutual coupling or direct coupling or communication connection may be an indirect coupling or communication connection through some interfaces, units or modules, and may be in an electrical or other form.
The units described as separate parts may or may not be physically separate, and parts displayed as units may or may not be physical units, may be located in one place, or may be distributed on a plurality of units. Some or all of the units can be selected according to actual needs to achieve the purpose of the solution of the embodiment.
In addition, functional units in the embodiments of the present invention may be integrated into one processing unit, or each unit may exist alone physically, or two or more units are integrated into one unit. The integrated unit can be realized in a form of hardware, and can also be realized in a form of a software functional unit.
The integrated unit, if implemented in the form of a software functional unit and sold or used as a stand-alone product, may be stored in a computer readable storage medium. Based on such understanding, the technical solution of the present invention may be embodied in the form of a software product, which is stored in a storage medium and includes instructions for causing a computer device (which may be a personal computer, a server, or a network device) to execute all or part of the steps of the method according to the embodiments of the present invention. And the aforementioned storage medium includes: a U-disk, a Read-Only Memory (ROM), a Random Access Memory (RAM), a removable hard disk, a magnetic or optical disk, and other various media capable of storing program codes.
The foregoing is only a preferred embodiment of the present invention, and it should be noted that, for those skilled in the art, various modifications and decorations can be made without departing from the principle of the present invention, and these modifications and decorations should also be regarded as the protection scope of the present invention.

Claims (10)

1. A method for determining a service index includes:
determining a first target area and a first target base station in the first target area;
determining people flow data and service data corresponding to the first target base station;
and determining a target business index according to the people flow data and the business data.
2. The traffic indicator determination method of claim 1, wherein determining the first target region comprises:
determining a second target area and a second target base station in the second target area;
determining a signal coverage range of the second target base station;
and correcting the contour line of the second target area according to the signal coverage area to obtain the first target area, wherein the first target area completely covers the signal coverage area of the second target base station.
3. The method of claim 2, wherein the step of modifying the contour of the second target area according to the signal coverage to obtain the first target area comprises:
determining a target coordinate system, and determining coordinate values of a second vertex on the contour line of the second target area in the target coordinate system, wherein the second vertex is any vertex on the contour line of the second target area;
determining a coordinate value of a first vertex in the target coordinate system according to the second vertex and the signal coverage range, wherein the first vertex is a vertex corresponding to the second vertex in the contour line of the first target area;
and determining the second target area according to the coordinate value of the second vertex in the target coordinate system.
4. The method of claim 3, wherein the step of modifying the contour of the second target area according to the signal coverage to obtain the first target area comprises:
determining an included angle between two edges corresponding to a second vertex, wherein the second vertex is any one of the vertices, and the edge is an edge taking the second vertex as an end point in the contour line of the second target area;
determining the distance between a second vertex and a first vertex according to the included angle and the signal coverage range, wherein the first vertex is a vertex corresponding to the second vertex in the contour line of the first target area;
and determining the coordinate value of the first vertex according to the distance.
5. The traffic indicator determination method of claim 1, wherein determining the first target base station in the first target area comprises:
determining a third target area, wherein a graph formed by the contour line of the third target area is an circumscribed graph of the first target area;
determining a third target base station in the third target area;
determining a target ray taking the third target base station as an end point and a preset direction as a direction;
determining the number of intersections between the target ray and the contour line of the first target area;
and determining the third target base station as the first target base station under the condition that the number of the intersection points is odd.
6. The method of claim 1, wherein determining the traffic flow data corresponding to the first target base station comprises:
determining a target user corresponding to the first target base station, wherein the target user is a user using a terminal device connected with the first target base station within a preset time period;
determining signaling data of the target user;
determining a first resident base station of the target user in a first target time period and a second resident base station of the target user in a second target time period according to the signaling data;
judging whether the first resident base station and the second resident base station are the first target base station or not, and determining the user type of the target user according to the judgment result, wherein the user type comprises a resident user and a visiting user;
and determining the people flow data according to the user type of the target user, wherein the people flow data comprises resident user data and visiting user data.
7. The traffic index determination method of claim 1, wherein the target traffic index comprises at least one of: the permeability of a 5G terminal, the permeability of a 5G package, flow use behavior characteristics, target application use behavior characteristics, target conversation package coverage rate and consumption grade in a target user group.
8. A traffic indicator determining apparatus, comprising:
an obtaining module, configured to determine a first target area and a first target base station in the first target area;
the first processing module is used for determining people stream data and service data corresponding to the first target base station;
and the second processing module is used for determining a target business index according to the people flow data and the business data.
9. A non-volatile storage medium, comprising a stored program, wherein when the program runs, a device in which the non-volatile storage medium is located is controlled to execute the service index determination method according to any one of claims 1 to 7.
10. An electronic device comprising a processor, wherein the processor is configured to execute a program, and wherein the program executes to perform the service indicator determination method according to any one of claims 1 to 7.
CN202210697971.0A2022-06-202022-06-20Service index determining method and device, electronic equipment and nonvolatile storage mediumActiveCN115052270B (en)

Priority Applications (1)

Application NumberPriority DateFiling DateTitle
CN202210697971.0ACN115052270B (en)2022-06-202022-06-20Service index determining method and device, electronic equipment and nonvolatile storage medium

Applications Claiming Priority (1)

Application NumberPriority DateFiling DateTitle
CN202210697971.0ACN115052270B (en)2022-06-202022-06-20Service index determining method and device, electronic equipment and nonvolatile storage medium

Publications (2)

Publication NumberPublication Date
CN115052270Atrue CN115052270A (en)2022-09-13
CN115052270B CN115052270B (en)2024-06-28

Family

ID=83163773

Family Applications (1)

Application NumberTitlePriority DateFiling Date
CN202210697971.0AActiveCN115052270B (en)2022-06-202022-06-20Service index determining method and device, electronic equipment and nonvolatile storage medium

Country Status (1)

CountryLink
CN (1)CN115052270B (en)

Cited By (1)

* Cited by examiner, † Cited by third party
Publication numberPriority datePublication dateAssigneeTitle
CN116523738A (en)*2023-07-032023-08-01腾讯科技(深圳)有限公司Task triggering method and device, storage medium and electronic equipment

Citations (4)

* Cited by examiner, † Cited by third party
Publication numberPriority datePublication dateAssigneeTitle
WO2017219625A1 (en)*2016-06-232017-12-28哈尔滨海能达科技有限公司Data processing method and server
WO2021063157A1 (en)*2019-09-302021-04-08华为技术有限公司Wireless broadcast beam coverage enhancement method and apparatus
WO2021243893A1 (en)*2020-06-042021-12-09中移(成都)信息通信科技有限公司Three-dimensional warning fence manufacturing method, air route planning method, and flight adjustment method
CN114071525A (en)*2021-11-102022-02-18中国联合网络通信集团有限公司 Base station optimization order determination method, device and storage medium

Patent Citations (4)

* Cited by examiner, † Cited by third party
Publication numberPriority datePublication dateAssigneeTitle
WO2017219625A1 (en)*2016-06-232017-12-28哈尔滨海能达科技有限公司Data processing method and server
WO2021063157A1 (en)*2019-09-302021-04-08华为技术有限公司Wireless broadcast beam coverage enhancement method and apparatus
WO2021243893A1 (en)*2020-06-042021-12-09中移(成都)信息通信科技有限公司Three-dimensional warning fence manufacturing method, air route planning method, and flight adjustment method
CN114071525A (en)*2021-11-102022-02-18中国联合网络通信集团有限公司 Base station optimization order determination method, device and storage medium

Cited By (2)

* Cited by examiner, † Cited by third party
Publication numberPriority datePublication dateAssigneeTitle
CN116523738A (en)*2023-07-032023-08-01腾讯科技(深圳)有限公司Task triggering method and device, storage medium and electronic equipment
CN116523738B (en)*2023-07-032024-04-05腾讯科技(深圳)有限公司Task triggering method and device, storage medium and electronic equipment

Also Published As

Publication numberPublication date
CN115052270B (en)2024-06-28

Similar Documents

PublicationPublication DateTitle
Li et al.Predicting multi-level socioeconomic indicators from structural urban imagery
US12361040B2 (en)Question answering method for query information, and related apparatus
CN106681996B (en)The method and apparatus for determining interest region in geographic range, point of interest
US20240265038A1 (en)Method and apparatus for dividing region, storage medium, and electronic device
CN112560862A (en) Text recognition method, device and electronic device
Tang et al.Object-oriented change detection based on the Kolmogorov–Smirnov test using high-resolution multispectral imagery
CN112233062B (en)Ground object change detection method, electronic device and storage medium
KR20160010278A (en)Method and apparatus for displaying point of interest
CN112861972A (en)Site selection method and device for exhibition area, computer equipment and medium
CN108512883B (en)Information pushing method and device and readable medium
CN114416900A (en)Method and device for analyzing track stop point
CN110910334B (en)Instance segmentation method, image processing device and computer readable storage medium
CN111694994B (en)Information processing method and device
CN111324679A (en)Method, device and system for processing address information
US10366134B2 (en)Taxonomy-based system for discovering and annotating geofences from geo-referenced data
CN114070760A (en)Network space asset mapping method and device, network space asset database and computer readable storage medium
CN111882524A (en)Food weight calculation method and device and storage medium
CN113704373A (en)User identification method and device based on movement track data and storage medium
CN111899279A (en) Method and device for detecting movement speed of target object
CN115052270A (en)Service index determination method and device, electronic equipment and nonvolatile storage medium
CN109190740A (en)Generation method, device, equipment and the storage medium of subregion gradual change color 2 D code
CN112418925A (en)Demographic data statistics method, device, computer equipment and readable storage medium
CN116051811A (en)Region identification method, device, computer equipment and computer readable storage medium
CN110838078B (en)Early warning method and system for judgment result
CN114332809A (en)Image identification method and device, electronic equipment and storage medium

Legal Events

DateCodeTitleDescription
PB01Publication
PB01Publication
SE01Entry into force of request for substantive examination
SE01Entry into force of request for substantive examination
GR01Patent grant
GR01Patent grant

[8]ページ先頭

©2009-2025 Movatter.jp