
技术领域technical field
本发明涉及计算机算法优化与供应链网络设计技术领域,具体为一种基 于设计供应链网络来降低供应链成本的方法。The invention relates to the technical field of computer algorithm optimization and supply chain network design, in particular to a method for reducing supply chain costs based on designing supply chain networks.
背景技术Background technique
在一个以频繁合并和收购为特征的全球化时代,制造商常常在采购、补 给和仓储方面效率低下,以及在分销网络和客户服务方面存在问题,与此同 时,它们面临着全球市场竞争和扩张的巨大压力。在这些条件下,对卓越的 供应网络设计和优化的需求具有新的重要性,目标是在为客户提供最高水平 的服务的同时最小化供应链的总成本。为了需求驱动和抓住可持续增长的机 会,(1)现代企业必须能够确定仓库的最佳数量、位置和规模;(2)制定最 佳的全企业采购和补给策略;(3)权衡位置、库存和运输;(4)并确定在整 个供应网络设计中涉及的许多复杂的成本权衡和服务需求。这种理想的供应 网络设计有助于同时优化整个供应链,使企业能够平衡仓储和存储成本与位 置和运输成本,并根据客户的需求不断提高效率。然而,由于现实的供应网 络设计中涉及许多复杂的成本权衡和服务需求,从集成的角度进行供应链的 优化设计通常是非常困难的,甚至是不可能做到的。In an era of globalization characterized by frequent mergers and acquisitions, manufacturers often have inefficiencies in procurement, replenishment and warehousing, as well as problems with distribution networks and customer service, all while facing competition and expansion in global markets enormous pressure. Under these conditions, the need for superior supply network design and optimization takes on new importance, with the goal of providing customers with the highest level of service while minimizing the total cost of the supply chain. To drive demand and seize opportunities for sustainable growth, (1) modern businesses must be able to determine the optimal number, location, and size of warehouses; (2) develop optimal enterprise-wide sourcing and replenishment strategies; (3) weigh location, Inventory and shipping; (4) and identify the many complex cost trade-offs and service requirements involved in the design of the entire supply network. This ideal supply network design helps optimize the entire supply chain at the same time, enabling companies to balance warehousing and storage costs with location and transportation costs, and continuously improve efficiency based on customer demand. However, due to the many complex cost trade-offs and service requirements involved in realistic supply network design, it is often very difficult or even impossible to optimize supply chain design from an integration perspective.
本发明所设计的供应网络设计优化模型涉及一组空间分布的零售网点、 一组潜在的补充零售商的分销中心和一个向分销中心提供供应的外部供应商, 并且同时确定分销中心的数量、地点、分销中心-零售网点的分配以及确定分 销中心-零售网点梯级库存补货策略和分销中心和零售网点的安全库存水平。 其目标是将系统范围内设备相关、运输、二级库存和安全库存的长期平均成 本降至最低。本发明的优化模型概括了运筹学文献中的几个著名模型。例如, 如果只考虑两级订货和持有成本,则问题简化为单仓库多零售商(OWMR)问 题。如果只考虑固定的选址和运输成本,则该问题成为经典的无能力设施选 址问题(UFLP)。如果忽略设施运营和安全库存成本,这个问题被简化为仓库 -零售商网络设计问题(W-RND)。本发明涉及的模型还引入一个额外的非递减 的凹运营成本函数,并且同时考虑了在运输过程中的交通设施的碳排放成本, 虽然传统的列生成或拉格朗日松弛方法在供应网络设计方法中常用,但由于 更多的实际成本考虑增加了该优化模型的复杂性,这些方法都无法有效解决 该问题,因此本发明设计了一种基于供应链网络来降低供应链成本的方法来 解决这个问题。The supply network design optimization model designed by the present invention involves a group of spatially distributed retail outlets, a group of distribution centers that potentially supplement retailers, and an external supplier that provides supplies to the distribution center, and at the same time determines the number and location of distribution centers , distribution center-to-retail outlet allocation, and determination of distribution center-to-retail outlet cascade inventory replenishment strategies and safety stock levels for distribution centers and retail outlets. The goal is to minimize the long-term average costs associated with equipment, transportation, secondary inventory, and safety stock system-wide. The optimization model of the present invention summarizes several well-known models in the operations research literature. For example, if only two levels of ordering and carrying costs are considered, the problem reduces to a one-warehouse multi-retailer (OWMR) problem. If only fixed location and transportation costs are considered, the problem becomes the classic Uncapable Facility Location Problem (UFLP). If facility operation and safety stock costs are ignored, the problem is reduced to a warehouse-retailer network design problem (W-RND). The model involved in the present invention also introduces an additional non-decreasing concave operating cost function, and also takes into account the carbon emission cost of transportation facilities in the transportation process, although traditional column generation or Lagrangian relaxation methods are used in supply network design. However, these methods cannot effectively solve the problem due to the fact that more practical cost considerations increase the complexity of the optimization model. Therefore, the present invention designs a method to reduce supply chain costs based on supply chain network to solve the problem. this problem.
发明内容SUMMARY OF THE INVENTION
(一)解决的技术问题(1) Technical problems solved
针对现有技术的不足,本发明提供了一种基于设计供应链网络来降低供 应链成本的方法,解决了更多的实际成本考虑增加了该优化模型的复杂性的 问题。Aiming at the deficiencies of the prior art, the present invention provides a method for reducing supply chain cost based on designing supply chain network, which solves the problem that more practical cost considerations increase the complexity of the optimization model.
(二)技术方案(2) Technical solutions
为实现以上目的,本发明通过以下技术方案予以实现:一种基于设计供 应链网络来降低供应链成本的方法,包括:In order to achieve the above objects, the present invention is achieved through the following technical solutions: a method for reducing supply chain costs based on designing a supply chain network, comprising:
分销中心的固定位置成本的设立,所述固定位置成本由企业自行进行估 计,是一个一旦分销中心设立便会产生的固定不变成本;The establishment of the fixed location cost of the distribution center, the fixed location cost is estimated by the enterprise itself, which is a fixed and constant cost that will be incurred once the distribution center is established;
运输成本的控制,所述运输成本包括从工厂到分销中心,分销中心到零 售点两部分的成本;分别需要设置从工厂到分销中心j的单位运输成本dj,0和 分销中心j到零售点i的单位运输成本dj,i,通过合理安排分销中心服务哪些零 售点来使得所述运输成本最小;The control of transportation cost, which includes the cost from the factory to the distribution center and the distribution center to the retail point; it is necessary to set the unit transportation cost dj,0 from the factory to the distribution center j and the distribution center j to the retail point respectively. The unit transportation cost dj,i of i is minimized by rationally arranging which retail points the distribution center serves;
库存成本的控制,采用固定库存控制策略来补充库存,在该控制策略下, 企业会设置Tj,0和Ti来分别表示分销中心向工厂订货的时间间隔和零售点向工 厂订货的时间间隔;In the control of inventory cost, the fixed inventory control strategy is used to replenish inventory. Under this control strategy, the enterprise will set Tj, 0 and Ti to represent the time interval for the distribution center to place an order from the factory and the time interval for the retail point to place an order from the factory. ;
车辆燃油消耗而产生的二氧化碳排放所征收的碳税成本的控制,碳税成 本随二氧化碳排放量线性增加;Control the cost of carbon tax levied on carbon dioxide emissions from vehicle fuel consumption, and the cost of carbon tax increases linearly with carbon dioxide emissions;
安全库存的设置,通过决策分销中心与零售点的库存量来降低。The setting of safety stock is reduced by deciding the stock level of the distribution center and retail point.
所述库存成本包括分销中心库存成本和零售点的库存成本。The inventory costs include distribution center inventory costs and retail point inventory costs.
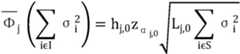
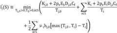
其中,所述分销中心与零售点的库存成本通过公式来表示,其中Kj,0(Ki)表示分销中心从工厂和零售点到分销中心订货的固定订货 成本,与企业内部库存管理有关,由企业内部自行设置。用一个线性函数来 表示零售点和分销中心的库存持有成本,即其中hi和hj,0是一个常量系数,由企业设置。Among them, the inventory cost of the distribution center and retail point is calculated by the formula to represent, where Kj, 0 (Ki ) represents the fixed ordering cost of the distribution center from factories and retail points to the distribution center, which is related to the internal inventory management of the enterprise and is set by the enterprise itself. The inventory carrying cost at retail locations and distribution centers is represented by a linear function, namely where hi and hj, 0 is a constant coefficient set by the firm.
所述二氧化碳排放量的测量方法步骤包括:计算燃油消耗量,利用标准 道路运输燃料换算系数将燃油消耗量量换算为二氧化碳排放量车辆的燃油消 耗量由车辆的消耗模式、车辆容量的利用率和运输距离决定。The steps of the method for measuring carbon dioxide emissions include: calculating fuel consumption, converting the fuel consumption into carbon dioxide emissions using a standard road transport fuel conversion factor. The fuel consumption of the vehicle is determined by the consumption mode of the vehicle, the utilization rate of the vehicle capacity and Shipping distance is determined.
所述燃油消耗量包括空载车辆消耗量Ev和满载车辆消耗量Fv。The fuel consumption includes an empty vehicle consumption Ev and a fully loaded vehicle consumption Fv .
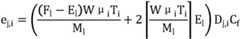
其中,一辆货车所述二氧化碳排放量函数可以用计算,其中e表示一辆货车二氧化碳排放量,Wv表示一辆货车的真实载重量, Mv表示一辆货车的真实载重量,D表示车辆行驶的距离,Cf表示消耗一单位 燃料所排放的二氧化碳量。Among them, the CO2 emission function of a truck can be used Calculation, where e represents the carbon dioxide emissions of a truck, Wv represents the real load of a truck, Mv represents the real load of a truck, D represents the distance traveled by the vehicle, and Cf represents the emission of a unit of fuel consumption amount of carbon dioxide.
作为本发明的进一步改进,其中外部物流运输的所述二氧化碳排放量为As a further improvement of the present invention, the carbon dioxide emission of external logistics transportation is
其中内部物流运输的所述二氧化碳排放量为The CO2 emissions of intralogistics transportation are
所述碳税成本的平均值为其中pe表示每公斤 二氧化碳排放的价格。The average cost of the carbon tax is where pe represents the price per kilogram of carbon dioxide emissions.
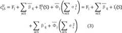
所述零售商集合S和所述分销中心j的成本总和为The sum of the costs of the retailer set S and the distribution center j is
(三)有益效果(3) Beneficial effects
本发明提供了一种基于设计供应链网络来降低供应链成本的方法,解决 了考虑更多实际成本而增加供应链网络优化模型复杂性的问题。The present invention provides a method for reducing supply chain cost based on designing supply chain network, and solves the problem of increasing the complexity of supply chain network optimization model considering more actual costs.
附图说明Description of drawings
图1为本发明算法流程图。Fig. 1 is the algorithm flow chart of the present invention.
具体实施方式Detailed ways
下面将结合本发明的附图,对本发明实施例中的技术方案进行清楚、完 整地描述,显然,所描述的实施例仅仅是本发明一部分实施例,而不是全部 的实施例。基于本发明中的实施例,本领域普通技术人员在没有做出创造性 劳动前提下所获得的所有其他实施例,都属于本发明保护的范围。The technical solutions in the embodiments of the present invention will be clearly and completely described below with reference to the accompanying drawings of the present invention. Obviously, the described embodiments are only a part of the embodiments of the present invention, rather than all the embodiments. Based on the embodiments in the present invention, all other embodiments obtained by those of ordinary skill in the art without creative work, all belong to the protection scope of the present invention.
实施例Example
如图1所示,本发明实施例提供一种基于设计供应链网络来降低供应链 成本的方法,包括:As shown in Figure 1, an embodiment of the present invention provides a method for reducing supply chain costs based on designing a supply chain network, including:
固定位置成本一般由企业自行进行估计,是一个一旦分销中心设立便会 产生的固定不变成本。The fixed location cost is generally estimated by the enterprise itself and is a fixed and constant cost that will be incurred once the distribution center is established.
运输成本包括从工厂到分销中心,分销中心到零售点两部分的成本。分 别需要设置从工厂到分销中心j的单位运输成本dj,0和分销中心j到零售点i的 单位运输成本dj,i。该发明通过合理安排分销中心服务哪些零售点来使得该运 输成本最小。Transportation costs include the cost from the factory to the distribution center, and from the distribution center to the retail point. It is necessary to set the unit transportation costdj,0 from the factory to the distribution center j and the unit transportation cost dj,i from the distribution center j to the retail point i, respectively. The invention minimizes this shipping cost by arranging which retail locations are served by the distribution center.
本发明适用于企业采用固定库存控制策略来补充库存,在该控制策略下, 企业会设置Tj,0和Ti来分别表示分销中心向工厂订货的时间间隔和零售点向工 厂订货的时间间隔。该发明用下面的公式来刻画两级库存的库存成本,即分 销中心与零售点的库存成本。The present invention is suitable for enterprises to use a fixed inventory control strategy to replenish inventory. Under this control strategy, the enterprise will set Tj, 0 and Ti to represent the time interval for the distribution center to place an order from the factory and the time interval for the retail point to place an order from the factory, respectively. . The invention uses the following formula to describe the inventory cost of two-level inventory, that is, the inventory cost of the distribution center and the retail point.
其中Kj,0(Ki)表示分销中心(零售点)从工厂(分销中心)订货的固定订 货成本,与企业内部库存管理有关,由企业内部自行设置。该发明用一个线 性函数来表示零售点和分销中心的库存持有成本,即其中hi和hj,0是一个常量系数,由企业设置。Among them, Kj, 0 (Ki ) represents the fixed order cost of the distribution center (retail point) ordering from the factory (distribution center), which is related to the internal inventory management of the enterprise and is set by the enterprise itself. The invention uses a linear function to represent the inventory holding cost of retail points and distribution centers, namely where hi and hj, 0 is a constant coefficient set by the firm.
企业为了预防缺货,都会设置一个可以接受的安全库存,该发明用下面 的公式来刻画分销中心(零售点)的补货提前期为Lj,0(Lj,i)天,该提前期由 企业自行设置In order to prevent out-of-stocks, enterprises will set up an acceptable safety stock. The invention uses the following formula to describe the replenishment lead time of the distribution center (retail point) as Lj, 0 (Lj, i ) days, the lead time Set up by the company
其中αj,0和αi表示分销中心和零售点的服务水平,比如95%,90%。而和表示对应于分销中心和零售点服务水平的正态标准偏差。Among them αj, 0 and αi represent the service level of the distribution center and retail point, such as 95%, 90%. and and Represents the normal standard deviation corresponding to the level of service at the distribution center and retail location.
本发明不仅通过决策哪个分销中心服务哪些零售点,而且通过决策分销 中心与零售点的库存量来降低(3)(4)成本。The present invention reduces (3)(4) costs not only by deciding which distribution center serves which retail locations, but also by determining the inventory levels of the distribution center and retail locations.
本发明不仅考虑上述传统已有的成本输入,而且考虑两级库存补充活动 中因车辆燃油消耗而产生的二氧化碳排放所征收的碳税成本。在本发明中, 碳税成本随二氧化碳排放量线性增加。货运二氧化碳排放量的测量方法包括 两个步骤:(1)计算燃料消耗;(2)利用标准道路运输燃料换算系数将燃料消耗 量换算为二氧化碳排放量车辆的燃油消耗量由车辆的消耗模式(即,车辆空载 或满载时的燃油消耗量)、车辆容量的利用率和运输距离决定。用Ev和Fv来表 示空载车辆和满载车辆每单位距离的燃油消耗量。一个货车的真实载重量和 最大载重量用Wv和Mv来表示。以上四个参数由货车基本数据提供。D表示车 辆行驶的距离,是企业内部可提供。一个货车的碳排放函数可以用下面的式 子估计:The present invention not only considers the above-mentioned conventional existing cost input, but also considers the carbon tax cost levied on the carbon dioxide emissions due to vehicle fuel consumption in the two-level inventory replenishment activity. In the present invention, the carbon tax cost increases linearly with carbon dioxide emissions. The measurement method of freight CO2 emissions consists of two steps: (1) calculating fuel consumption; (2) converting fuel consumption into CO2 emissions using standard road transport fuel conversion factors. , the fuel consumption when the vehicle is empty or fully loaded), the utilization rate of the vehicle capacity and the transportation distance. Use Ev and Fv to denote the fuel consumption per unit distance of empty and fully loaded vehicles. The real and maximum load capacity of a truck is represented by Wv and Mv . The above four parameters are provided by the basic data of the truck. D represents the distance traveled by the vehicle, which is available within the enterprise. The carbon emission function of a truck can be estimated using the following equation:
其中Cf表示消耗一单位燃料所排放的二氧化碳量。在本发明的物流决策系 统适用于内部物流(工厂到分销中心)的运输是由重货车运输的,而外部物 流(分销中心到零售点)的运输都是由轻货车运输的。where Cf represents the amount of carbon dioxide emitted by consuming one unit of fuel. The logistics decision system of the present invention is suitable for the transportation of internal logistics (factory to distribution center) is carried by heavy trucks, and the transportation of external logistics (distribution center to retail points) is carried by light trucks.
外部物流运输的碳排放量为The carbon emissions of external logistics transportation are
内部物流运输的碳排放量为The carbon emissions of intralogistics transportation are
让pe代表每公斤二氧化碳排放的价格,一般由国家给出,比如碳税率。 本发明提出长期平均碳税成本为Letpe denote the price per kilogram of CO2 emissions, typically given by the country, such as a carbon tax rate. The present invention proposes that the long-term average carbon tax cost is
本发明通过决策哪个分销中心服务哪些零售点来降低该碳税成本。The present invention reduces this carbon tax cost by making decisions about which distribution centers serve which retail points.
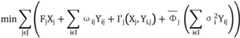
上述五个成本即为本发明所涉及的物流决策系统所涉及的成本参数。我 们可以得到服务于零售商集合S的分销中心j的成本总和如下:The above five costs are the cost parameters involved in the logistics decision-making system involved in the present invention. We can obtain the sum of the costs of distribution center j serving the set S of retailers as follows:
带入上述五个成本的具体表达,展开后如下:Bringing in the specific expressions of the above five costs, the expansion is as follows:
对(2)式的某些部分进行定义,可以得到如下和Defining some parts of the formula (2), we can get the following and
并且and
于是(1)式可以写成So (1) can be written as
由于在该物流决策系统中,企业设置轻重卡车的数量有界限,我们分别 用nj,0+1和ni来代替式子的和因此我们可以得到的上界Since in this logistics decision-making system, the number of light and heavy trucks set by the enterprise has a limit, we use nj, 0 +1 and ni to replace formula and Therefore we can get upper bound
为了简写,我们定义和所以cj,S的上界为For shorthand, we define and So the upper bound of cj, S is
其中,in,
我们定义式子(2)可以写成下面的式子we define Equation (2) can be written as the following formula
同理可得的下界为The same can be obtained The lower bound is
根据上面的数学变换,可以得到cj,S的上下界,由此该发明需要解决的模 型为两个,上界模型为According to the above mathematical transformation, the upper and lower bounds of cj, S can be obtained. Therefore, the invention needs to solve two models, and the upper bound model is
Pupper:Pupper :
其中in
βij=μi(dj,0+dj,i);βij = μi (dj, 0 +dj, i );
使得make
其中:in:
本发明的上述模型的目标函数为最小化本发明所提出的五个成本之和, 其约束条件含义为The objective function of the above-mentioned model of the present invention is to minimize the sum of the five costs proposed by the present invention, and the meaning of the constraints is as follows:
(3)式表示该发明适合于每个零售点只能由一个分销中心服务。Equation (3) indicates that the invention is suitable for each retail point to be served by only one distribution center.
(4)式表示零售点只能由开着的分销中心来服务。Equation (4) indicates that retail outlets can only be served by open distribution centers.
(5)和(6)式表示Yij和Xj是0,1变量,分别表示分销中心j服务零售 点i以及分销中心j设立。Equations (5) and (6) indicate that Yij and Xj are 0, 1 variables, respectively indicating that the distribution center j serves the retail point i and the distribution center j is established.
在上述上界模型的基础上,将和替换成Kj,0和Ki,即可以得到 下界模型。On the basis of the above upper bound model, the and Replacing with Kj, 0 and Ki , the lower bound model can be obtained.
其中:in:
I为所有零售商的集合;I is the set of all retailers;
J为所有仓库的集合;J is the set of all warehouses;
对每一个仓库j,S为该仓库服务的所有零售商的集合,它是I的子集;For each warehouse j, S is the set of all retailers serving that warehouse, which is a subset of I;
Fj为仓库j的位置成本(location cost);Fj is the location cost of warehouse j;
Xj为仓库j的决策变量:当Xj=1时,仓库j开放,当Xj=0时,仓库 j关闭;Xj is the decision variable of warehouse j: when Xj =1, warehouse j is open, and when Xj =0, warehouse j is closed;
hi为零售商i的持有成本的增长率(the increasing rate of the holdingcost);hi is the increasing rate of the holding cost of retailer i;
hj,0为仓库j的持有成本的增长率(the increasing rate of the holdingcost);hj, 0 is the increasing rate of the holding cost of warehouse j;
为与服务水平对应的零售商i的标准差(the standard normal deviationscorresponding to the service levels); is the standard normal deviation corresponding to the service levels of retailer i (the standard normal deviation corresponding to the service levels);
为与服务水平对应的仓库j的标准差(the standard normal deviationscorresponding to the service levels); is the standard deviation of warehouse j corresponding to the service levels (the standard normal deviations corresponding to the service levels);
Lj,i为零售商i的补货提前时间(replenishment lead t imes);Lj, i is the replenishment lead time of retailer i;
Lj,0为仓库j的补货提前时间(replenishment lead times);Lj, 0 is the replenishment lead times of warehouse j;
Fh为重型货车满载时单位距离油耗;Fh is the fuel consumption per unit distance when the heavy goods vehicle is fully loaded;
Eh为重型货车空载时单位距离油耗;Eh is the fuel consumption per unit distance when the heavy goods vehicle is empty;
Mh为重型货车最大装载;Mh is the maximum load of heavy goods vehicles;
Fl为轻型货车满载时单位距离油耗;Fl is the fuel consumption per unit distance when the light truck is fully loaded;
E1为轻型货车空载时单位距离油耗;E1 is the fuel consumption per unit distance when the light truck is empty;
Ml为轻型货车最大装载重量;Ml is the maximum loading weight of the light truck;
W为实际装载重量;W is the actual loading weight;
Dj,0为仓库j到供应点的欧氏距离;Dj, 0 is the Euclidean distance from warehouse j to the supply point;
Dj,i为仓库j到零售商i的欧氏距离;Dj, i is the Euclidean distance from warehouse j to retailer i;
Cf为消耗单位燃料排放的二氧化碳量;Cf is the amount of carbon dioxide emitted per unit of fuel consumption;
pe为每排放一千克二氧化碳所需缴纳的金额;pe is the amount to be paid per kilogram of carbon dioxide emitted;
μi为零售商i的年需求量(annual demand);μi is the annual demand of retailer i;
σi为零售商i日需求量的标准差(the standard deviation of the dailydemand);σi is the standard deviation of the daily demand of retailer i;
dj,0为从仓库j到供应点单位距离的转换的所需费用;dj, 0 is the required cost of conversion from warehouse j to the unit distance of the supply point;
dj,i为从仓库j到零售商i单位距离的转换的所需费用;dj, i is the required cost of conversion from warehouse j to retailer i unit distance;
Yij为仓库j提供服务给零售商i的决策变量:当仓库j不提供服务给零 售商i时,Yij=0,当仓库j提供服务给零售商i时,Yij=1;The decision variable thatYi ij provides service to retailer i for warehouse j: when warehouse j does not provide service to retailer i,Yi ij =0; when warehouse j provides service to retailer i,Yi ij =1;
Kj,0为仓库j向供应点订货所需缴纳的固定的订单成本;Kj, 0 is the fixed order cost that warehouse j needs to pay for ordering from the supply point;
Ki为零售商i订货所需缴纳的固定的订单成本;Ki is the fixed order cost paid by retailer i to place an order;
Tj,0为仓库j的再下单间隔时间(reorder intervals);Tj, 0 is the reorder intervals of warehouse j;
Ti为零售商i的再下单间隔时间(reorder intervals)。Ti is the reorder intervals of retailer i.
本发明需要解决的模型如上,通过相关数学验证可以得到,本发明所涉 及的上下界模型在数学上都具有子模性质,而且该模型涉及多个非线性项, 所以本发明提出一种polymatroid cutting-plane(多边形切割平面)算法来 解决该模型。The model to be solved in the present invention is as above, which can be obtained through relevant mathematical verification. The upper and lower bound models involved in the present invention both have sub-model properties in mathematics, and the model involves multiple nonlinear terms. Therefore, the present invention proposes a polymatroid cutting -plane (polygon cutting plane) algorithm to solve the model.
接下来,我们以上界模型(上文Pupper)为例来说明该算法是如何解决该 类问题。Next, we take the upper bound model (Pupper above) as an example to illustrate how the algorithm solves this type of problem.
步骤1:在数学变换上,添加两个辅助变量t1,j和t2,j,重构Pupper:Step 1: On the mathematical transformation, add two auxiliary variables t1,j and t2,j , Refactor Pupper :
P′upper:P′upper :
使得make
(7)和(8)式为数学上的子模约束,表示函数Ij′(Xj,Yi,j)和函数在上界模型参数中的式子)的上界值。Equations (7) and (8) are mathematical submodular constraints, representing the function Ij ′(Xj , Yi, j ) and the function The upper bound value of the formula in the upper bound model parameter).
步骤2:该发明在上述模型Pupper′的基础上舍弃掉约束(7)和(8),获 得一个松弛模型PR′。Step 2: The invention discards constraints (7) and (8) on the basis of the above-mentioned model Pupper ' to obtain a relaxed model PR '.
步骤3:在C++语言环境下调用CPLEX的Solver可以直接带入上述企业 设置的成本参数,求解松弛模型PR′至最优,并把该最优解表示为Step 3: Calling the Solver of CPLEX in the C++ language environment can directly bring in the cost parameters set by the above enterprises, solve the relaxation model PR ' to the optimum, and express the optimum solution as
步骤4:该发明首先初始化两个参数j=1和cut=0,其中j表示分销中 心在系统中的下标,cut表示该算法的循环次数。Step 4: The invention first initializes two parameters j=1 and cut=0, where j represents the subscript of the distribution center in the system, and cut represents the cycle times of the algorithm.
步骤5:如果j≤|J|,执行步骤5.1;否则执行步骤6;Step 5: If j≤|J|, go to Step 5.1; otherwise, go to Step 6;
步骤5.1:如果最优解中的执行步骤5.5,否则执行步骤5.2;Step 5.1: If in the optimal solution Go to step 5.5, otherwise go to step 5.2;
步骤5.2:初始化一个参数变量τ=1,表示第一个零售点, s表示零售网点的总个数,即s=|I|。对i=1,2,3,…,|I|,如果上述最优解中 的则令参数pr=i,r=r+1,否则令ps=i,s=s-1。 用参数pr记录由分销中心j服务的零售点的下标,用参数ps记录不是由分销中 心j服务的零售点的下标。令集合该集合是将分销中心j 与零售网点i,i=1,2,3,…,|I|,按照服务与不服务进行了排序。接着执行步骤 5.3;Step 5.2: Initialize a parameter variable τ=1, which represents the first retail point, and s represents the total number of retail points, that is, s=|I|. For i=1, 2, 3, ..., |I|, if the above optimal solution Then let the parameterspr =i, r=r+1, otherwise let ps=i,s =s-1. The index of retail locations served by distribution center j is recorded with parameterpr , and the index of retail locations not served by distribution center j is recorded with parameterps . set of orders The set is to sort distribution center j and retail outlets i, i=1, 2, 3, . . . , |I|, according to service and non-service. Then perform step 5.3;
步骤5.3:令参数变量current=0。对i=1,2,3,…,|I|,令根据步骤5.2的中的结果依据公式(4)进行计算,可以得到I′j(Spi), 令参数Step 5.3: Let the parameter variable current=0. For i = 1, 2, 3, ..., |I|, let According to step 5.2 The result of is calculated according to formula (4),I'j (Spi ) can be obtained, let the parameter
根据子模性质的判定条件(1),如果将∑i∈IτiYij>t1j加入模型P′R,同时令cut=cut+1。 According to the judgment condition (1) of the submodule property, if Add ∑i∈I τi Yij >t1j to the model P′R , while letting cut=cut+1.
执行步骤4.4;Perform step 4.4;
步骤5.4:令参数变量present=0。对i=1,2,3,…,|I|,令present=safetycost。根据子模型的判定条件(2),如果将∑i∈IπiYij>t2j加入模型P′R, 同时令cut=cut+1;执行步骤5.5;Step 5.4: Let the parameter variable present=0. For i = 1, 2, 3, ..., |I|, let present=safetycost. According to the decision condition (2) of the submodel, if Add ∑i∈I πi Yij >t2j to the model P′R , and set cut=cut+1 at the same time; go to step 5.5;
步骤5.5:令j=j+1,执行步骤6;Step 5.5: Let j=j+1, and execute step 6;
步骤6:如果参数变量cut≥1,执行步骤3;否则已得到最优解;Step 6: If the parameter variable cut≥1, go to step 3; otherwise, the optimal solution has been obtained;
自此本发明涉及的算法结束。同理,用Kj,0和Ki替代上边界模型中的和重复上述的过程,得到下界模型的计算结果。The algorithm involved in the present invention thus ends. In the same way, replace the upper bound model with Kj, 0 and Ki and Repeat the above process to obtain the calculation result of the lower bound model.
本发明提供该算法的数值实验效果如下:The numerical experiment effect of the algorithm provided by the present invention is as follows:
表1、基于二级库存管理的传统供应网络设计模型的算法性能Table 1. Algorithm performance of traditional supply network design model based on secondary inventory management
表2未考虑碳排放成本函数,从表2可以看出,该polymatroid cutting-plane(多边形切割平面)算法可以有效解决中等规模的传统二级 库存管理问题实例,例如在表2中,当实例规模达到100个分销中心DCs和 500个零售网点时,生成的随机实例可以在1000sCPU时间内求解,而且解决 方案时间随着实例大小的增加而适度增加。Table 2 does not consider the carbon emission cost function. It can be seen from Table 2 that the polymatroid cutting-plane algorithm can effectively solve medium-scale instances of traditional secondary inventory management problems. For example, in Table 2, when the instance scale Up to 100 distribution center DCs and 500 retail outlets, the generated random instances can be solved in 1000s CPU time, and the solution time increases moderately with instance size.
表2、上界模型vs下界模型Table 2. Upper bound model vs lower bound model
在表1中可以看到低碳供应网络设计的上界模型与下界模型得到的最优 值差距在1%左右可以接受,即可说明该算法得到的最优解有效,并可以确定 该低碳供应网络设计问题的最优解。In Table 1, it can be seen that the difference between the optimal value obtained by the upper bound model and the lower bound model of the low-carbon supply network design is acceptable at about 1%, which means that the optimal solution obtained by the algorithm is effective, and the low-carbon supply network can be determined. Optimal solutions to supply network design problems.
表3、低碳与传统供应网络模型算法性能比较Table 3. Comparison of algorithm performance between low-carbon and traditional supply network models
从表3中可以看出,本发明涉及的低碳供应网络设计模型在100个分销 中心DCs和300个零售网点的测试实例可以在7分钟以上的时间内解决,这 表明中等规模的问题可以有效解决。并且,为了有效降低碳排放成本,低碳 供应网络设计模型比传统供应网络设计模型需要开放更多的DCs,并且从实验 结果也可以看出,低碳供应网络设计模型比传统供应网络设计模型更难求解。As can be seen from Table 3, the low-carbon supply network design model involved in the present invention can be solved in more than 7 minutes in a test case of 100 distribution center DCs and 300 retail outlets, which shows that medium-scale problems can be effectively solve. Moreover, in order to effectively reduce the cost of carbon emissions, the low-carbon supply network design model needs to open more DCs than the traditional supply network design model, and it can be seen from the experimental results that the low-carbon supply network design model is more efficient than the traditional supply network design model. Difficult to solve.
需要说明的是,在本文中,诸如第一和第二等之类的关系术语仅仅用来 将一个实体或者操作与另一个实体或操作区分开来,而不一定要求或者暗示 这些实体或操作之间存在任何这种实际的关系或者顺序。而且,术语“包括”、 “包含”或者其任何其他变体意在涵盖非排他性的包含,从而使得包括一系 列要素的过程、方法、物品或者设备不仅包括那些要素,而且还包括没有明 确列出的其他要素,或者是还包括为这种过程、方法、物品或者设备所固有 的要素。在没有更多限制的情况下,由语句“包括一个……”限定的要素, 并不排除在包括所述要素的过程、方法、物品或者设备中还存在另外的相同 要素。It should be noted that, in this document, relational terms such as first and second are only used to distinguish one entity or operation from another entity or operation, and do not necessarily require or imply any relationship between these entities or operations. any such actual relationship or sequence exists. Furthermore, the terms "comprising", "comprising" or any other variation thereof are intended to encompass non-exclusive inclusion such that a process, method, article or device comprising a list of elements includes not only those elements, but also includes not explicitly listed or other elements inherent to such a process, method, article or apparatus. Without further limitation, an element qualified by the phrase "comprising a..." does not preclude the presence of additional identical elements in a process, method, article or apparatus that includes the element.
| Application Number | Priority Date | Filing Date | Title |
|---|---|---|---|
| CN202210454301.6ACN114997577A (en) | 2022-04-27 | 2022-04-27 | A method to reduce supply chain cost based on designing supply chain network |
| Application Number | Priority Date | Filing Date | Title |
|---|---|---|---|
| CN202210454301.6ACN114997577A (en) | 2022-04-27 | 2022-04-27 | A method to reduce supply chain cost based on designing supply chain network |
| Publication Number | Publication Date |
|---|---|
| CN114997577Atrue CN114997577A (en) | 2022-09-02 |
| Application Number | Title | Priority Date | Filing Date |
|---|---|---|---|
| CN202210454301.6APendingCN114997577A (en) | 2022-04-27 | 2022-04-27 | A method to reduce supply chain cost based on designing supply chain network |
| Country | Link |
|---|---|
| CN (1) | CN114997577A (en) |
| Publication number | Priority date | Publication date | Assignee | Title |
|---|---|---|---|---|
| US6078900A (en)* | 1998-10-23 | 2000-06-20 | International Business Machines Corporation | Method for estimating stock levels in production-distribution networks with inventory control |
| US20150254589A1 (en)* | 2014-03-04 | 2015-09-10 | Tata Consultancy Services Limited | System and Method to Provide Inventory Optimization in a Multi-Echelon Supply Chain Network |
| CN112598190A (en)* | 2020-12-30 | 2021-04-02 | 苏州优壮软件有限公司 | Multistage large-scale network system based on supply chain network |
| Publication number | Priority date | Publication date | Assignee | Title |
|---|---|---|---|---|
| US6078900A (en)* | 1998-10-23 | 2000-06-20 | International Business Machines Corporation | Method for estimating stock levels in production-distribution networks with inventory control |
| US20150254589A1 (en)* | 2014-03-04 | 2015-09-10 | Tata Consultancy Services Limited | System and Method to Provide Inventory Optimization in a Multi-Echelon Supply Chain Network |
| CN112598190A (en)* | 2020-12-30 | 2021-04-02 | 苏州优壮软件有限公司 | Multistage large-scale network system based on supply chain network |
| Title |
|---|
| 张晓玲: "需求不确定下多级低碳供应链网络设计优化", 《中国优秀硕士论文电子期刊网》, no. 1, 15 January 2021 (2021-01-15)* |
| Publication | Publication Date | Title |
|---|---|---|
| CN112884404B (en) | An intelligent supply chain inventory transfer optimization and abnormality early warning system | |
| Subramanya et al. | Impact of warehouse management system in a supply chain | |
| Qiu et al. | Supply Hub in Industrial Park (SHIP): The value of freight consolidation | |
| CN112613701B (en) | Finished cigarette logistics scheduling method | |
| CN107578128B (en) | Cross-level distribution network planning method based on immune particle swarm algorithm | |
| CN112200509B (en) | Logistics resource integration platform and integration method | |
| Zheng et al. | A Lagrangian heuristic algorithm for sustainable supply chain network considering CO2 emission | |
| US7856371B2 (en) | Pull planning for unserviceable parts in connection with on-demand repair planning | |
| CN117709836A (en) | A management system for digital logistics supply chain | |
| CN112613807B (en) | An optimization method for finished cigarette shipment scheduling | |
| Wang et al. | Research of oil product secondary distribution optimization based on collaborative distribution | |
| CN114037335B (en) | An intelligent decision-making method and system for vehicle-cargo matching to maximize carrying capacity | |
| CN114881367A (en) | Supply planning method based on particle swarm optimization algorithm | |
| CN119227940A (en) | A method for selecting a logistics distribution center location based on logistics services and costs | |
| Ariyanti et al. | Reduce Overtime of Distribution Centre by Re-Layout and Employee Shift Scheduling Use Class Based Storage and Integer Linear Programming | |
| CN114997577A (en) | A method to reduce supply chain cost based on designing supply chain network | |
| CN117910779A (en) | Cloud platform-based freight intelligent management method and system | |
| Zhang et al. | The reliability measures model of multilayer urban distribution network | |
| Kmiecik | Automation of warehouse resource planning process by using a cloud demand forecasting tool | |
| US7620561B1 (en) | On-demand repair planning | |
| Fikejz et al. | Modification of the Clarke and wright algorithm with a dynamic savings matrix | |
| Zhou et al. | Location Model of Pallet Service Centers Based on the Pallet Pool Mode | |
| Goyal et al. | Impact of warehouse management system in a supply chain | |
| Huanhuan et al. | Research on After-Sales Information System And Data Of Automotive OEMs | |
| Darley-Waddilove et al. | An allocation model framework for a capacity-constrained port: A case for citrus exports at the port of Durban |
| Date | Code | Title | Description |
|---|---|---|---|
| PB01 | Publication | ||
| PB01 | Publication | ||
| SE01 | Entry into force of request for substantive examination | ||
| SE01 | Entry into force of request for substantive examination |