
技术领域technical field
本发明属于热泵空调热管理控制领域,尤其涉及基于组合智能算法的热泵空调热管理控制方法及系统。The invention belongs to the field of heat pump air conditioner thermal management control, and in particular relates to a heat pump air conditioner thermal management control method and system based on a combined intelligent algorithm.
背景技术Background technique
本部分的陈述仅仅是提供了与本发明相关的背景技术信息,不必然构成在先技术。The statements in this section merely provide background information related to the present invention and do not necessarily constitute prior art.
传统燃油车在行驶过程中难免存在尾气排放问题,面对日益严苛的排放法规和能源环境问题,电动汽车成为新兴产业,电动汽车在行驶过程中可以实现零排放,应用越来越广泛。对于电动汽车而言,在电池技术没有突破性进展的技术背景下,续航里程不足和难以提高是当前限制纯电动车发展的主要因素。空调系统作为电动汽车的耗能系统,其能耗的降低对于提高电动汽车续航里程至关重要。Traditional fuel vehicles inevitably have exhaust emission problems during driving. Facing increasingly stringent emission regulations and energy and environmental issues, electric vehicles have become an emerging industry. Electric vehicles can achieve zero emissions during driving and are more and more widely used. For electric vehicles, under the technical background of no breakthrough in battery technology, insufficient cruising range and difficulty in improving are the main factors currently restricting the development of pure electric vehicles. As the energy consumption system of electric vehicles, the reduction of energy consumption of the air conditioning system is very important to improve the cruising range of electric vehicles.
目前,电动汽车空调系统普遍为夏季蒸汽压缩式空调制冷和冬季通过PTC加热来满足乘员舱的采暖需求,但是使用PTC加热会使电池续航里程降低。目前通过热泵空调是解决电动汽车冬季续航的非常新颖的方法,由于热泵空调系统是一个非线性的复杂系统,采用现有的阈值控制或者P I D控制使功耗过高。At present, the air-conditioning system of electric vehicles generally uses vapor compression air-conditioning refrigeration in summer and PTC heating in winter to meet the heating demand of the passenger compartment, but the use of PTC heating will reduce the battery cruising range. At present, heat pump air conditioning is a very novel method to solve the winter battery life of electric vehicles. Since the heat pump air conditioning system is a nonlinear complex system, the existing threshold control or PID control will make the power consumption too high.
发明内容SUMMARY OF THE INVENTION
为了解决上述背景技术中存在的至少一项技术问题,本发明提供基于组合智能算法的热泵空调热管理控制方法及系统,其通过调节压缩机转速、车内换热器风量等参数使得乘员舱温度快速、准确达到设定温度以保证空调系统实时处于最佳工作状态。In order to solve at least one technical problem existing in the above-mentioned background art, the present invention provides a heat management control method and system for a heat pump air conditioner based on a combined intelligent algorithm. Quickly and accurately reach the set temperature to ensure that the air conditioning system is in the best working condition in real time.
为了实现上述目的,本发明采用如下技术方案:In order to achieve the above object, the present invention adopts the following technical solutions:
本发明的第一个方面提供基于组合智能算法的热泵空调热管理控制方法,包括如下步骤:A first aspect of the present invention provides a heat pump air conditioner thermal management control method based on a combined intelligent algorithm, comprising the following steps:
获取待检测实车运行数据;Obtain the running data of the real vehicle to be tested;
根据待检测实车运行数据和训练后的不同工况下压缩机转速与风扇转速预测模型得到热泵空调压缩机与风扇实际转速;According to the actual vehicle operation data to be tested and the prediction model of compressor speed and fan speed under different working conditions after training, the actual speed of the compressor and fan of the heat pump air conditioner is obtained;
其中,所述不同工况下压缩机转速与风扇转速预测模型的构建过程为:采用人工鱼群算法改进灰狼算法,基于改进的灰狼算法优化回归型支持向量机算法,具体包括:在灰狼算法中引入人工鱼群的觅食行为,将灰狼算法的每一条狼看成一条人工鱼,将每个优势狼与猎物之间的距离看成人工鱼的视野范围,每个狼在其视野范围内寻找适应度最优结果;Wherein, the construction process of the compressor speed and fan speed prediction model under different working conditions is as follows: using artificial fish swarm algorithm to improve the gray wolf algorithm, and optimizing the regression support vector machine algorithm based on the improved gray wolf algorithm, which specifically includes: The foraging behavior of artificial fish is introduced into the wolf algorithm, and each wolf in the gray wolf algorithm is regarded as an artificial fish, and the distance between each dominant wolf and its prey is regarded as the field of vision of the artificial fish. Find the optimal result of fitness within the field of view;
根据热泵空调压缩机与风扇实际转速控制热泵空调压缩机与风扇运行。。Control the operation of the heat pump air conditioner compressor and fan according to the actual speed of the heat pump air conditioner compressor and fan. .
本发明的第二个方面提供基于组合智能算法的热泵空调热管理控制系统,包括:A second aspect of the present invention provides a heat pump air conditioner thermal management control system based on a combined intelligent algorithm, including:
运行数据获取模块,用于获取待检测实车运行数据;The operation data acquisition module is used to acquire the operation data of the real vehicle to be detected;
智能算法预测模块,用于根据待检测实车运行数据和训练后的不同工况下压缩机转速与风扇转速预测模型得到热泵空调压缩机与风扇实际转速;The intelligent algorithm prediction module is used to obtain the actual speed of the compressor and fan of the heat pump air conditioner according to the actual vehicle operation data to be detected and the prediction model of the compressor speed and fan speed under different working conditions after training;
其中,所述不同工况下压缩机转速与风扇转速预测模型的构建过程为:采用人工鱼群算法改进灰狼算法,基于改进的灰狼算法优化回归型支持向量机算法,具体包括:在灰狼算法中引入人工鱼群的觅食行为,将灰狼算法的每一条狼看成一条人工鱼,将每个优势狼与猎物之间的距离看成人工鱼的视野范围,每个狼在其视野范围内寻找适应度最优结果;Wherein, the construction process of the compressor speed and fan speed prediction model under different working conditions is as follows: using artificial fish swarm algorithm to improve the gray wolf algorithm, and optimizing the regression support vector machine algorithm based on the improved gray wolf algorithm, which specifically includes: The foraging behavior of artificial fish is introduced into the wolf algorithm, and each wolf in the gray wolf algorithm is regarded as an artificial fish, and the distance between each dominant wolf and its prey is regarded as the field of vision of the artificial fish. Find the optimal result of fitness within the field of view;
控制模块,用于根据热泵空调压缩机与风扇实际转速控制热泵空调压缩机与风扇运行。The control module is used to control the operation of the heat pump air conditioner compressor and the fan according to the actual rotational speed of the heat pump air conditioner compressor and the fan.
本发明的第三个方面提供一种计算机可读存储介质。A third aspect of the present invention provides a computer-readable storage medium.
一种计算机可读存储介质,其上存储有计算机程序,该程序被处理器执行时实现如上述所述的基于组合智能算法的热泵空调热管理控制方法中的步骤。A computer-readable storage medium on which a computer program is stored, when the program is executed by a processor, implements the steps in the above-mentioned heat pump air conditioner thermal management control method based on a combined intelligent algorithm.
本发明的第四个方面提供一种计算机设备。A fourth aspect of the present invention provides a computer apparatus.
一种计算机设备,包括存储器、处理器及存储在存储器上并可在处理器上运行的计算机程序,所述处理器执行所述程序时实现如上述所述的基于组合智能算法的热泵空调热管理控制方法中的步骤。A computer device, comprising a memory, a processor and a computer program stored on the memory and running on the processor, the processor implements the above-mentioned combined intelligent algorithm-based heat pump air conditioner thermal management when the program is executed Steps in the control method.
与现有技术相比,本发明的有益效果是:Compared with the prior art, the beneficial effects of the present invention are:
本发明通过灰狼算法引入人工鱼群算法的觅食行为,人工鱼群算法觅食行为使得算法在迭代前期的全局搜索能力增强,能更加充分地对解空间进行探索,解决了灰狼算法容易陷入局部最优解问题;与现有的灰狼算法相比具有更精准的寻优能力,采用改进的灰狼算法改进回归型支持向量机对数据库进行训练,构建压缩机转速与风扇转速预测模型,得到热泵空调热管理控制策略,使该系统在满足乘员舱的制热需求的同时,最大限度的降低电池能耗,增加电动汽车续航里程。The invention introduces the foraging behavior of the artificial fish swarm algorithm through the gray wolf algorithm. The artificial fish swarm algorithm foraging behavior enhances the global search ability of the algorithm in the early stage of iteration, and can explore the solution space more fully, and solves the problem that the gray wolf algorithm is easy to solve. Falling into the local optimal solution problem; compared with the existing gray wolf algorithm, it has more accurate optimization ability, using the improved gray wolf algorithm to improve the regression support vector machine to train the database, and build the compressor speed and fan speed prediction model , and obtain the thermal management control strategy of the heat pump air conditioner, so that the system can meet the heating demand of the passenger compartment while minimizing the battery energy consumption and increasing the cruising range of the electric vehicle.
本发明基于改进的灰狼算法优化回归型支持向量机,得到组合智能算法,与原始回归型支持向量机算法相比,组合智能算法回归效果更好,能够更加准确的预测热泵空调压缩机转速与风扇转速,在满足乘员舱制热需求的同时,可以最大限度的降低能耗,为热管理系统控制策略的研发提供了依据。Compared with the original regression support vector machine algorithm, the combined intelligent algorithm has better regression effect and can more accurately predict the speed and speed of the heat pump air conditioner compressor. The fan speed can minimize the energy consumption while meeting the heating demand of the passenger compartment, which provides a basis for the research and development of the control strategy of the thermal management system.
本发明附加方面的优点将在下面的描述中部分给出,部分将从下面的描述中变得明显,或通过本发明的实践了解到。Advantages of additional aspects of the invention will be set forth in part in the description which follows, and in part will become apparent from the description which follows, or may be learned by practice of the invention.
附图说明Description of drawings
构成本发明的一部分的说明书附图用来提供对本发明的进一步理解,本发明的示意性实施例及其说明用于解释本发明,并不构成对本发明的不当限定。The accompanying drawings forming a part of the present invention are used to provide further understanding of the present invention, and the exemplary embodiments of the present invention and their descriptions are used to explain the present invention, and do not constitute an improper limitation of the present invention.
图1是本发明基于组合智能算法的热泵空调热管理控制方法流程图。FIG. 1 is a flow chart of a heat management control method for a heat pump air conditioner based on a combined intelligent algorithm according to the present invention.
具体实施方式Detailed ways
下面结合附图与实施例对本发明作进一步说明。The present invention will be further described below with reference to the accompanying drawings and embodiments.
应该指出,以下详细说明都是例示性的,旨在对本发明提供进一步的说明。除非另有指明,本文使用的所有技术和科学术语具有与本发明所属技术领域的普通技术人员通常理解的相同含义。It should be noted that the following detailed description is exemplary and intended to provide further explanation of the invention. Unless otherwise defined, all technical and scientific terms used herein have the same meaning as commonly understood by one of ordinary skill in the art to which this invention belongs.
需要注意的是,这里所使用的术语仅是为了描述具体实施方式,而非意图限制根据本发明的示例性实施方式。如在这里所使用的,除非上下文另外明确指出,否则单数形式也意图包括复数形式,此外,还应当理解的是,当在本说明书中使用术语“包含”和/或“包括”时,其指明存在特征、步骤、操作、器件、组件和/或它们的组合。It should be noted that the terminology used herein is for the purpose of describing specific embodiments only, and is not intended to limit the exemplary embodiments according to the present invention. As used herein, unless the context clearly dictates otherwise, the singular is intended to include the plural as well, furthermore, it is to be understood that when the terms "comprising" and/or "including" are used in this specification, it indicates that There are features, steps, operations, devices, components and/or combinations thereof.
为了在保证乘员舱在满足温度要求的前提下,尽可能的提高控制精度,本发明提供一种基于组合智能算法的热泵空调热管理控制方法及系统,通过一维仿真软件搭建热泵空调仿真模型,得到不同车速、环境温度、蒸发器进风量、冷凝器进风量、乘员舱温度以及环境湿度等条件下的压缩机转速与风扇转速,采用以上数据构建得到样本库,采用改进的灰狼算法改进回归型支持向量机对样本库进行训练,在灰狼算法中引入人工鱼群的觅食行为,将灰狼算法的每一条狼看出一条人工鱼,将每个α狼与猎物之间的距离看成人工鱼的视野范围,每个狼在其视野范围内尝试寻找适应度高的位置,构建压缩机转速与风扇转速预测模型,得到热泵空调热管理控制策略,使该系统在满足乘员舱的制热需求的同时,最大限度的降低电池能耗,增加电动汽车续航里程。In order to improve the control accuracy as much as possible on the premise of ensuring that the passenger compartment meets the temperature requirements, the present invention provides a heat pump air conditioner thermal management control method and system based on a combined intelligent algorithm, and a heat pump air conditioner simulation model is built through one-dimensional simulation software. Obtain the compressor speed and fan speed under the conditions of different vehicle speed, ambient temperature, evaporator air intake, condenser air intake, passenger compartment temperature, and ambient humidity. The above data is used to construct a sample library, and the improved gray wolf algorithm is used to improve the regression Alpha-type support vector machine trains the sample database, introduces the foraging behavior of artificial fish in the gray wolf algorithm, sees each wolf in the gray wolf algorithm as an artificial fish, and sees the distance between each α wolf and its prey In the field of vision of an adult artificial fish, each wolf tries to find a position with high fitness within its field of vision, builds a prediction model of compressor speed and fan speed, and obtains a heat pump air conditioner thermal management control strategy, so that the system can meet the requirements of the crew cabin. At the same time, it minimizes battery energy consumption and increases the cruising range of electric vehicles.
实施例一Example 1
如图1所示,本实施例提供基于组合智能算法的热泵空调热管理控制方法,包括如下步骤:As shown in FIG. 1 , this embodiment provides a heat management control method for a heat pump air conditioner based on a combined intelligent algorithm, including the following steps:
步骤1:获取待检测实车运行数据;Step 1: Obtain the running data of the real vehicle to be detected;
本实施中,可以应用于电动汽车或者插电式混合动力汽车等,具体根据实际场景进行获取相应的实车运行数据。In this implementation, it can be applied to electric vehicles or plug-in hybrid electric vehicles, etc., and the corresponding real vehicle operation data is obtained according to the actual scene.
步骤2:根据待检测实车运行数据和训练后的不同工况下压缩机转速与风扇转速预测模型得到热泵空调压缩机与风扇实际转速;Step 2: Obtain the actual rotational speed of the compressor and fan of the heat pump air conditioner according to the operating data of the actual vehicle to be detected and the prediction model of the rotational speed of the compressor and the rotational speed of the fan under different working conditions after training;
其中,所述不同工况下压缩机转速与风扇转速预测模型的构建过程为:采用人工鱼群算法改进灰狼算法,基于改进的灰狼算法优化回归型支持向量机算法得到智能组合算法,所述采用人工鱼群算法改进灰狼算法包括:在灰狼算法中引入人工鱼群的觅食行为,将灰狼算法的每一条狼看成一条人工鱼,将每个优势狼与猎物之间的距离看成人工鱼的视野范围,每个狼在其视野范围内寻找适应度最优结果;Among them, the construction process of the compressor speed and fan speed prediction model under different working conditions is as follows: using the artificial fish swarm algorithm to improve the gray wolf algorithm, and optimizing the regression support vector machine algorithm based on the improved gray wolf algorithm to obtain an intelligent combination algorithm. The artificial fish swarm algorithm to improve the gray wolf algorithm includes: introducing the foraging behavior of artificial fish swarms into the gray wolf algorithm, treating each wolf in the gray wolf algorithm as an artificial fish, and considering the relationship between each dominant wolf and its prey. The distance is regarded as the field of vision of the artificial fish, and each wolf finds the optimal result of fitness within its field of vision;
步骤3:根据热泵空调压缩机与风扇实际转速控制热泵空调压缩机与风扇运行,使该系统在满足乘员舱的制热需求的同时,最大限度的降低电池能耗,增加电动汽车续航里程。Step 3: Control the operation of the heat pump air conditioner compressor and fan according to the actual speed of the heat pump air conditioner compressor and fan, so that the system can meet the heating demand of the passenger compartment while minimizing battery energy consumption and increasing the cruising range of the electric vehicle.
作为一种或多种实施例,步骤1中,待检测实车运行数据包括实时车速、环境温度、蒸发器进风量、冷凝器进风量、乘员舱温度以及环境湿度等。As one or more embodiments, in step 1, the actual vehicle operation data to be detected includes real-time vehicle speed, ambient temperature, air intake volume of the evaporator, air intake volume of the condenser, passenger compartment temperature, and ambient humidity.
所述热泵空调系统,具体包括蒸发器、冷凝器、电子风扇、电动压缩机、电子膨胀阀、四通阀等部件。The heat pump air conditioning system specifically includes components such as an evaporator, a condenser, an electronic fan, an electric compressor, an electronic expansion valve, and a four-way valve.
作为一种或多种实施例,步骤2中,所述每个狼在其视野范围内寻找适应度最优结果,具体包括:As one or more embodiments, in step 2, each wolf searches for an optimal fitness result within its field of vision, specifically including:
所述的灰狼算法中引入人工鱼群的觅食行为,得到改进的灰狼算法。The foraging behavior of artificial fish schools is introduced into the gray wolf algorithm to obtain an improved gray wolf algorithm.
灰狼算法引入人工鱼群的觅食行为:将灰狼算法的每一条狼看出一条人工鱼,将每个α狼与猎物之间的距离看成人工鱼的视野范围。The gray wolf algorithm introduces the foraging behavior of artificial fish groups: each wolf in the gray wolf algorithm is seen as an artificial fish, and the distance between each alpha wolf and its prey is regarded as the field of view of the artificial fish.
在迭代前期,每个狼在其视野范围内按公式向着猎物的方向移动,尝试寻找适应度高的位置。In the early stage of the iteration, each wolf in its field of view by the formula Move in the direction of the prey, trying to find a location with high fitness.
具体包括:Specifically include:
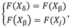
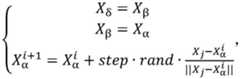
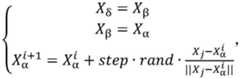
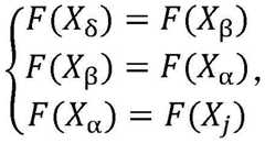
若在Xj处的适应度值高于Xα则α狼,β狼,δ狼的位置更新为:If the fitness value at Xj is higher than Xα , the positions of α wolf, β wolf and δ wolf are updated as:
适应度值更新为: The fitness value is updated as:
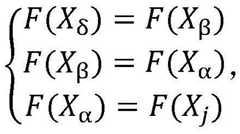
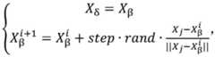
若在Xj处的适应度值优于Xβ且劣于Xα,则β狼,δ狼的位置更新为:If the fitness value at Xj is better than Xβ and worse than Xα , the positions of β wolf and δ wolf are updated as:
适应度值更新为: The fitness value is updated as:
若Xj处的适应度值优于Xδ且劣于Xβ,则δ狼的位置更新为:适应度值更新为:F(Xδ)=F(Xj)。If the fitness value at Xj is better than Xδ and worse than Xβ , the position of δ wolf is updated as: The fitness value is updated as: F(Xδ )=F(Xj ).
其中,i为当前迭代次数,Xα,Xβ,Xδ,Xj分别为α狼,β狼,δ狼和当前搜索代理的位置,F(Xα),F(Xβ),F(Xδ),F(Xj)分别为α狼,β狼,δ狼和当前搜索代理的适应度值,step为迭代步长,Dα为当前时刻α狼与猎物之间的距离,rand为[0,1]之间的随机值。Among them, i is the current number of iterations, Xα , Xβ , Xδ , Xj are the positions of α wolf, β wolf, δ wolf and the current search agent, respectively, F(Xα ), F(Xβ ), F( Xδ ), F(Xj ) are the fitness values of α wolf, β wolf, δ wolf and the current search agent respectively, step is the iteration step size, Dα is the distance between the α wolf and the prey at the current moment, and rand is A random value between [0, 1].
其中,所述灰狼算法依据灰狼的习性将狼群划分为α、β、δ和ω四个等级,各个等级的狼之间相互配合来完成捕食过程,每个狼群中有一只优势狼,即α狼,是狼群中的独裁者,负责群体的一切决策,处于灰狼群体中第二阶层的为β狼,在群体中β狼会协助α的决策并将其他等级狼群信息反馈给α狼,第三个阶层为δ狼,δ狼服从α狼和β狼的命令,同时也可以指挥ω狼的行动。Among them, the gray wolf algorithm divides the wolf group into four levels: α, β, δ and ω according to the habits of gray wolves. The wolves of each level cooperate with each other to complete the predation process, and there is one dominant wolf in each wolf group. , that is, the alpha wolf is the dictator in the wolf pack and is responsible for all decisions of the group. The second level in the gray wolf group is the beta wolf. In the group, the beta wolf will assist the decision-making of the alpha and feed back the information of other levels of the wolf pack. For alpha wolves, the third level is delta wolves, delta wolves obey the orders of alpha wolves and beta wolves, and can also direct the actions of ω wolves.
引用的人工鱼群算法一种基于鱼群行为的智能算法通过模拟人工鱼的觅食、聚群、追尾以及随机行为在可行域中进行搜索,得到最优解。The cited artificial fish swarm algorithm is an intelligent algorithm based on fish swarm behavior to search in the feasible region by simulating the foraging, swarming, tail-chasing and random behavior of artificial fish to obtain the optimal solution.
在水域有一含有N条人工鱼的鱼群{(xi,yi),i=1,2,...,N},其中为某条人工鱼的位置,即可行解,共j个变量;yi为该位置的食物浓度,即目标函数值。There is a fish school {(xi , yi ), i=1, 2, . . . , N} containing N artificial fish in the water, where is the position of an artificial fish, i.e. a feasible solution, with j variables in total; yi is the food concentration at this position, that is, the value of the objective function.
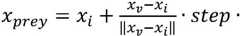
设人工鱼当前位置为xi,该人工鱼通过搜索视野范围内其他人工鱼位置的食物浓度、拥挤度等判断后,执行觅食行为、随机行为、追尾行为。人工鱼群的觅食行为是在可视空间内,人工鱼xi发现位置xv具有浓度更高的食物yv时,便向该方向移动,当尝试最大次数trynum之后仍然未发现更优的解,人工鱼进行随机行为。觅食行为公式为xv=xi+rand×visual,yv>yi。其中rand是一个数值在[-1,1]之间的1×n的随机向量,step为移动步长,visual为视野范围。Let the current position of the artificial fish bexi , and the artificial fish will perform foraging behavior, random behavior and tail-chasing behavior after judging by the food concentration and crowding degree of other artificial fish positions within the field of view. The foraging behavior of the artificial fish school is that in the visible space, when the artificial fishxi finds that the position xv has a higher concentration of food yv , it will move in this direction, and after the maximum number of attempts, it still does not find a better food y v. Solution, the artificial fish performs random behavior. The foraging behavior formula is xv =xi +rand×visual, yv >yi . where rand is a 1×n random vector with a value between [-1, 1], step is the moving step size, and visual is the field of view.
上述方案的优势在于,通过灰狼算法引入人工鱼群算法的觅食行为,得到改进的灰狼算法,与灰狼算法相比,改进的灰狼算法全局寻优能力更强,不易陷入局部最优解,收敛速度更快,改进的灰狼算法与灰狼算法相比具有更精准的寻优能力,能够更加准确的预测热泵空调压缩机转速与风扇转速,在满足乘员舱制热需求的同时,可以最大限度的降低能耗,为热管理系统控制策略的研发提供了依据。The advantage of the above scheme is that the foraging behavior of the artificial fish swarm algorithm is introduced through the gray wolf algorithm, and the improved gray wolf algorithm is obtained. Compared with the gray wolf algorithm, the improved gray wolf algorithm has a more accurate optimization ability, and can more accurately predict the compressor speed and fan speed of the heat pump air conditioner, while meeting the heating demand of the passenger compartment. , which can minimize energy consumption and provide a basis for the research and development of thermal management system control strategies.
作为一种或多种实施例,采用改进的灰狼算法对回归型支持向量机算法优化,得到组合智能算法,通过设定种群数目、迭代次数、定义参数惩罚因子c和径向基核函数的方差g的范围,并将c和g作为改进的灰狼算法中α狼的位置坐标;As one or more embodiments, the improved gray wolf algorithm is used to optimize the regression support vector machine algorithm to obtain a combined intelligent algorithm. the range of the variance g, and use c and g as the position coordinates of the alpha wolf in the improved gray wolf algorithm;
将回归型支持向量机算法回归均方根误差作为目标函数,通过改进的灰狼算法对回归型支持向量机的径向基核函数的方差g和惩罚因子c进行寻优,得到最优惩罚因子c和径向基核函数的方差g的值,改进的灰狼算法迭代完成后会输出适应度最优的结果及其对应的位置,其最优的位置即为最终α狼的位置,即将目标函数的最小值时对应的惩罚因子c的取值作为α狼的横坐标,径向基核函数的方差g的值作为α狼的纵坐标,根据α狼的横坐标和纵坐标得到最终α狼的位置。The regression root mean square error of the regression support vector machine algorithm is used as the objective function, and the variance g and the penalty factor c of the radial basis kernel function of the regression support vector machine are optimized by the improved gray wolf algorithm, and the optimal penalty factor is obtained. c and the value of the variance g of the radial basis kernel function, the improved gray wolf algorithm will output the result with the best fitness and its corresponding position after the iteration is completed. The optimal position is the position of the final α wolf, that is, the target The value of the corresponding penalty factor c at the minimum value of the function is taken as the abscissa of the α wolf, the value of the variance g of the radial basis kernel function is taken as the ordinate of the α wolf, and the final α wolf is obtained according to the abscissa and the ordinate of the α wolf. s position.
采用组合智能算法训练样本库,得到热泵空调压缩机转速与风扇转速预测模型。The combined intelligent algorithm is used to train the sample library, and the prediction model of the compressor speed and fan speed of the heat pump air conditioner is obtained.
上述方案的优势在于,与原始回归型支持向量机算法相比,组合智能算法回归效果更好,能够更加准确的预测热泵空调压缩机转速与风扇转速,在满足乘员舱制热需求的同时,可以最大限度的降低能耗,为热管理系统控制策略的研发提供了依据。The advantage of the above scheme is that compared with the original regression SVM algorithm, the combined intelligent algorithm has better regression effect, and can more accurately predict the compressor speed and fan speed of the heat pump air conditioner. The maximum reduction of energy consumption provides a basis for the research and development of thermal management system control strategies.
作为一种或多种实施例,采用组合智能算法训练样本库,得到不同工况下压缩机转速与风扇转速预测模型,其中,采用的样本数据库通过一维仿真软件搭建热泵空调仿真模型仿真得到,具体数据包括:车速、环境温度、蒸发器进风量、冷凝器进风量、乘员舱温度以及环境湿度等及此条件下的电动压缩机转速和电子风扇转速,采用以上数据构建样本库,并随机产生训练集与测试集。As one or more embodiments, the combined intelligent algorithm is used to train the sample database, and the prediction model of the compressor speed and the fan speed under different working conditions is obtained, wherein the sample database used is obtained by building a simulation model of a heat pump air conditioner through one-dimensional simulation software, The specific data include: vehicle speed, ambient temperature, air intake volume of evaporator, air intake volume of condenser, temperature of passenger compartment, ambient humidity, etc. and the speed of electric compressor and electronic fan under these conditions. The above data is used to build a sample library and randomly generated training set and test set.
实施例二Embodiment 2
本实施例提供一种基于组合智能算法的热泵空调热管理控制系统,包括:This embodiment provides a heat management control system for a heat pump air conditioner based on a combined intelligent algorithm, including:
运行数据获取模块,用于获取待检测实车运行数据;The operation data acquisition module is used to acquire the operation data of the real vehicle to be detected;
智能算法预测模块,用于根据待检测实车运行数据和训练后的不同工况下压缩机转速与风扇转速预测模型得到热泵空调压缩机与风扇实际转速;The intelligent algorithm prediction module is used to obtain the actual speed of the compressor and fan of the heat pump air conditioner according to the actual vehicle operation data to be detected and the prediction model of the compressor speed and fan speed under different working conditions after training;
其中,所述不同工况下压缩机转速与风扇转速预测模型的构建过程为:采用人工鱼群算法改进灰狼算法,基于改进的灰狼算法优化回归型支持向量机算法,具体包括:在灰狼算法中引入人工鱼群的觅食行为,将灰狼算法的每一条狼看成一条人工鱼,将每个优势狼与猎物之间的距离看成人工鱼的视野范围,每个狼在其视野范围内寻找适应度最优结果;Wherein, the construction process of the compressor speed and fan speed prediction model under different working conditions is as follows: using artificial fish swarm algorithm to improve the gray wolf algorithm, and optimizing the regression support vector machine algorithm based on the improved gray wolf algorithm, which specifically includes: The foraging behavior of artificial fish is introduced into the wolf algorithm, and each wolf in the gray wolf algorithm is regarded as an artificial fish, and the distance between each dominant wolf and its prey is regarded as the field of vision of the artificial fish. Find the optimal result of fitness within the field of view;
控制策略输出模块,用于根据热泵空调压缩机与风扇实际转速控制热泵空调压缩机与风扇实际转速运行。The control strategy output module is used to control the actual speed operation of the heat pump air conditioner compressor and fan according to the actual speed of the heat pump air conditioner compressor and fan.
实施例三Embodiment 3
本实施例提供了一种计算机可读存储介质,其上存储有计算机程序,该程序被处理器执行时实现如上述所述的基于组合智能算法的热泵空调热管理控制方法中的步骤。This embodiment provides a computer-readable storage medium on which a computer program is stored, and when the program is executed by a processor, implements the steps in the above-mentioned combined intelligent algorithm-based heat pump air conditioner thermal management control method.
实施例四Embodiment 4
本实施例提供了一种计算机设备,包括存储器、处理器及存储在存储器上并可在处理器上运行的计算机程序,所述处理器执行所述程序时实现如上述所述的基于组合智能算法的热泵空调热管理控制方法中的步骤。This embodiment provides a computer device, including a memory, a processor, and a computer program stored in the memory and running on the processor, where the processor implements the combination-based intelligent algorithm described above when the processor executes the program The steps in the heat management control method of the heat pump air conditioner.
本领域内的技术人员应明白,本发明的实施例可提供为方法、系统、或计算机程序产品。因此,本发明可采用硬件实施例、软件实施例、或结合软件和硬件方面的实施例的形式。而且,本发明可采用在一个或多个其中包含有计算机可用程序代码的计算机可用存储介质(包括但不限于磁盘存储器和光学存储器等)上实施的计算机程序产品的形式。As will be appreciated by one skilled in the art, embodiments of the present invention may be provided as a method, system, or computer program product. Accordingly, the invention may take the form of a hardware embodiment, a software embodiment, or an embodiment combining software and hardware aspects. Furthermore, the present invention may take the form of a computer program product embodied on one or more computer-usable storage media having computer-usable program code embodied therein, including but not limited to disk storage, optical storage, and the like.
本发明是参照根据本发明实施例的方法、设备(系统)、和计算机程序产品的流程图和/或方框图来描述的。应理解可由计算机程序指令实现流程图和/或方框图中的每一流程和/或方框、以及流程图和/或方框图中的流程和/或方框的结合。可提供这些计算机程序指令到通用计算机、专用计算机、嵌入式处理机或其他可编程数据处理设备的处理器以产生一个机器,使得通过计算机或其他可编程数据处理设备的处理器执行的指令产生用于实现在流程图一个流程或多个流程和/或方框图一个方框或多个方框中指定的功能的装置。The present invention is described with reference to flowchart illustrations and/or block diagrams of methods, apparatus (systems), and computer program products according to embodiments of the invention. It will be understood that each flow and/or block in the flowchart illustrations and/or block diagrams, and combinations of flows and/or blocks in the flowchart illustrations and/or block diagrams, can be implemented by computer program instructions. These computer program instructions may be provided to the processor of a general purpose computer, special purpose computer, embedded processor or other programmable data processing device to produce a machine such that the instructions executed by the processor of the computer or other programmable data processing device produce Means for implementing the functions specified in a flow or flow of a flowchart and/or a block or blocks of a block diagram.
这些计算机程序指令也可存储在能引导计算机或其他可编程数据处理设备以特定方式工作的计算机可读存储器中,使得存储在该计算机可读存储器中的指令产生包括指令装置的制造品,该指令装置实现在流程图一个流程或多个流程和/或方框图一个方框或多个方框中指定的功能。These computer program instructions may also be stored in a computer-readable memory capable of directing a computer or other programmable data processing apparatus to function in a particular manner, such that the instructions stored in the computer-readable memory result in an article of manufacture comprising instruction means, the instructions The apparatus implements the functions specified in the flow or flow of the flowcharts and/or the block or blocks of the block diagrams.
这些计算机程序指令也可装载到计算机或其他可编程数据处理设备上,使得在计算机或其他可编程设备上执行一系列操作步骤以产生计算机实现的处理,从而在计算机或其他可编程设备上执行的指令提供用于实现在流程图一个流程或多个流程和/或方框图一个方框或多个方框中指定的功能的步骤。These computer program instructions can also be loaded on a computer or other programmable data processing device to cause a series of operational steps to be performed on the computer or other programmable device to produce a computer-implemented process such that The instructions provide steps for implementing the functions specified in the flow or blocks of the flowcharts and/or the block or blocks of the block diagrams.
本领域普通技术人员可以理解实现上述实施例方法中的全部或部分流程,是可以通过计算机程序来指令相关的硬件来完成,所述的程序可存储于一计算机可读取存储介质中,该程序在执行时,可包括如上述各方法的实施例的流程。其中,所述的存储介质可为磁碟、光盘、只读存储记忆体(Read-Only Memory,ROM)或随机存储记忆体(RandomAccessMemory,RAM)等。Those of ordinary skill in the art can understand that all or part of the processes in the methods of the above embodiments can be implemented by instructing relevant hardware through a computer program, and the program can be stored in a computer-readable storage medium. During execution, the processes of the embodiments of the above-mentioned methods may be included. The storage medium may be a magnetic disk, an optical disk, a read-only memory (Read-Only Memory, ROM), or a random access memory (Random Access Memory, RAM) or the like.
以上所述仅为本发明的优选实施例而已,并不用于限制本发明,对于本领域的技术人员来说,本发明可以有各种更改和变化。凡在本发明的精神和原则之内,所作的任何修改、等同替换、改进等,均应包含在本发明的保护范围之内。The above descriptions are only preferred embodiments of the present invention, and are not intended to limit the present invention. For those skilled in the art, the present invention may have various modifications and changes. Any modification, equivalent replacement, improvement, etc. made within the spirit and principle of the present invention shall be included within the protection scope of the present invention.
| Application Number | Priority Date | Filing Date | Title |
|---|---|---|---|
| CN202210675313.1ACN114992808B (en) | 2022-06-15 | 2022-06-15 | Heat pump air conditioner heat management control method and system based on combined intelligent algorithm |
| Application Number | Priority Date | Filing Date | Title |
|---|---|---|---|
| CN202210675313.1ACN114992808B (en) | 2022-06-15 | 2022-06-15 | Heat pump air conditioner heat management control method and system based on combined intelligent algorithm |
| Publication Number | Publication Date |
|---|---|
| CN114992808Atrue CN114992808A (en) | 2022-09-02 |
| CN114992808B CN114992808B (en) | 2023-06-02 |
| Application Number | Title | Priority Date | Filing Date |
|---|---|---|---|
| CN202210675313.1AActiveCN114992808B (en) | 2022-06-15 | 2022-06-15 | Heat pump air conditioner heat management control method and system based on combined intelligent algorithm |
| Country | Link |
|---|---|
| CN (1) | CN114992808B (en) |
| Publication number | Priority date | Publication date | Assignee | Title |
|---|---|---|---|---|
| CN117577415A (en)* | 2023-10-30 | 2024-02-20 | 江苏双汇电力发展股份有限公司 | High-altitude compact wind power generation box-type transformer and parameter adjustment method |
| CN118133674A (en)* | 2024-03-21 | 2024-06-04 | 山东大学 | Intelligent prediction method and system for wall function for radiator simulation |
| CN118245898A (en)* | 2024-04-02 | 2024-06-25 | 山东大学 | Engineering machinery active thermal management control method and system based on deep learning |
| CN120056691A (en)* | 2025-04-28 | 2025-05-30 | 西安嘉和华亨热系统有限公司 | Energy efficiency optimization method of heat pump type thermal management system |
| Publication number | Priority date | Publication date | Assignee | Title |
|---|---|---|---|---|
| KR20050102718A (en)* | 2004-04-21 | 2005-10-27 | 황재문 | Control algorithm of remote control automatic navigation fishing boat using gps |
| US20070136892A1 (en)* | 2005-11-24 | 2007-06-14 | Basf Plant Science Gmbh | Process for the production of delta5-unsaturated fatty acids in transgenic organisms |
| US7871629B1 (en)* | 2000-07-26 | 2011-01-18 | The Board Of Governors For Higher Education, State Of Rhode Island And Providence Plantations | Delivery of DNA vaccines into fish by immersion |
| US20120031984A1 (en)* | 2010-08-03 | 2012-02-09 | Massachusetts Institute Of Technology | Personalized Building Comfort Control |
| CN106896716A (en)* | 2017-04-17 | 2017-06-27 | 华北电力大学(保定) | Micro-capacitance sensor alternating current-direct current section transverter pid parameter optimization method based on grey wolf algorithm |
| CN107391888A (en)* | 2017-09-01 | 2017-11-24 | 电子科技大学 | Main shaft of numerical control machine tool thermal error modeling method based on FS+WP__SVM |
| CN108183500A (en)* | 2017-11-24 | 2018-06-19 | 国网甘肃省电力公司电力科学研究院 | A kind of rural area provided multiple forms of energy to complement each other is micro- can net capacity configuration optimizing method and device |
| CN109993355A (en)* | 2019-03-25 | 2019-07-09 | 湘潭大学 | An optimization method of building electricity consumption based on gray wolf algorithm |
| CN110017572A (en)* | 2019-04-01 | 2019-07-16 | 中建二局安装工程有限公司 | A kind of air-conditioning system and control method suitable for High aititude region |
| CN110490429A (en)* | 2019-07-29 | 2019-11-22 | 湘潭大学 | Based on SSA algorithm intelligent building micro-capacitance sensor household loads fast dispatch method |
| CN110933681A (en)* | 2019-11-13 | 2020-03-27 | 江西理工大学 | Hyena predation algorithm and method for applying hyena predation algorithm in node deployment optimization |
| CN111368077A (en)* | 2020-02-28 | 2020-07-03 | 大连大学 | A K-Means text classification method based on gray wolf optimization algorithm based on particle swarm position update idea |
| CN111523603A (en)* | 2020-04-27 | 2020-08-11 | 江苏科技大学 | Ship power equipment fault identification method |
| CN111695177A (en)* | 2020-05-14 | 2020-09-22 | 河海大学 | Dam mechanics parameter random inversion method and system based on displacement field monitoring data |
| CN111815023A (en)* | 2020-06-05 | 2020-10-23 | 长春工业大学 | A soft-start method for campus electric heating based on improved grey wolf optimization algorithm |
| CN111860937A (en)* | 2020-05-26 | 2020-10-30 | 国网天津市电力公司电力科学研究院 | Optimization method of combined cooling, heating and power microgrid based on improved multi-objective gray wolf algorithm |
| CN112613656A (en)* | 2020-12-18 | 2021-04-06 | 国网山东省电力公司青岛市即墨区供电公司 | Household power demand response optimization system based on fish swarm algorithm |
| CN113050426A (en)* | 2021-03-22 | 2021-06-29 | 山东大学 | Genetic ant colony algorithm fused thermal management control method and system |
| CN113065190A (en)* | 2021-04-15 | 2021-07-02 | 天津大学 | Uncertainty-based residential building heat supply amount calculation method |
| CN113241087A (en)* | 2021-05-10 | 2021-08-10 | 青岛科技大学 | Underwater sound signal denoising method based on combination of improved VMD and improved wavelet threshold method |
| CN113313306A (en)* | 2021-05-28 | 2021-08-27 | 南京航空航天大学 | Elastic neural network load prediction method based on improved wolf optimization algorithm |
| CN114337414A (en)* | 2021-12-22 | 2022-04-12 | 南京航空航天大学 | 2-DOF fractional order intelligent PID three-level synchronous generator voltage regulation control method |
| Publication number | Priority date | Publication date | Assignee | Title |
|---|---|---|---|---|
| US7871629B1 (en)* | 2000-07-26 | 2011-01-18 | The Board Of Governors For Higher Education, State Of Rhode Island And Providence Plantations | Delivery of DNA vaccines into fish by immersion |
| KR20050102718A (en)* | 2004-04-21 | 2005-10-27 | 황재문 | Control algorithm of remote control automatic navigation fishing boat using gps |
| US20070136892A1 (en)* | 2005-11-24 | 2007-06-14 | Basf Plant Science Gmbh | Process for the production of delta5-unsaturated fatty acids in transgenic organisms |
| US20120031984A1 (en)* | 2010-08-03 | 2012-02-09 | Massachusetts Institute Of Technology | Personalized Building Comfort Control |
| CN106896716A (en)* | 2017-04-17 | 2017-06-27 | 华北电力大学(保定) | Micro-capacitance sensor alternating current-direct current section transverter pid parameter optimization method based on grey wolf algorithm |
| CN107391888A (en)* | 2017-09-01 | 2017-11-24 | 电子科技大学 | Main shaft of numerical control machine tool thermal error modeling method based on FS+WP__SVM |
| CN108183500A (en)* | 2017-11-24 | 2018-06-19 | 国网甘肃省电力公司电力科学研究院 | A kind of rural area provided multiple forms of energy to complement each other is micro- can net capacity configuration optimizing method and device |
| CN109993355A (en)* | 2019-03-25 | 2019-07-09 | 湘潭大学 | An optimization method of building electricity consumption based on gray wolf algorithm |
| CN110017572A (en)* | 2019-04-01 | 2019-07-16 | 中建二局安装工程有限公司 | A kind of air-conditioning system and control method suitable for High aititude region |
| CN110490429A (en)* | 2019-07-29 | 2019-11-22 | 湘潭大学 | Based on SSA algorithm intelligent building micro-capacitance sensor household loads fast dispatch method |
| CN110933681A (en)* | 2019-11-13 | 2020-03-27 | 江西理工大学 | Hyena predation algorithm and method for applying hyena predation algorithm in node deployment optimization |
| CN111368077A (en)* | 2020-02-28 | 2020-07-03 | 大连大学 | A K-Means text classification method based on gray wolf optimization algorithm based on particle swarm position update idea |
| CN111523603A (en)* | 2020-04-27 | 2020-08-11 | 江苏科技大学 | Ship power equipment fault identification method |
| CN111695177A (en)* | 2020-05-14 | 2020-09-22 | 河海大学 | Dam mechanics parameter random inversion method and system based on displacement field monitoring data |
| CN111860937A (en)* | 2020-05-26 | 2020-10-30 | 国网天津市电力公司电力科学研究院 | Optimization method of combined cooling, heating and power microgrid based on improved multi-objective gray wolf algorithm |
| CN111815023A (en)* | 2020-06-05 | 2020-10-23 | 长春工业大学 | A soft-start method for campus electric heating based on improved grey wolf optimization algorithm |
| CN112613656A (en)* | 2020-12-18 | 2021-04-06 | 国网山东省电力公司青岛市即墨区供电公司 | Household power demand response optimization system based on fish swarm algorithm |
| CN113050426A (en)* | 2021-03-22 | 2021-06-29 | 山东大学 | Genetic ant colony algorithm fused thermal management control method and system |
| CN113065190A (en)* | 2021-04-15 | 2021-07-02 | 天津大学 | Uncertainty-based residential building heat supply amount calculation method |
| CN113241087A (en)* | 2021-05-10 | 2021-08-10 | 青岛科技大学 | Underwater sound signal denoising method based on combination of improved VMD and improved wavelet threshold method |
| CN113313306A (en)* | 2021-05-28 | 2021-08-27 | 南京航空航天大学 | Elastic neural network load prediction method based on improved wolf optimization algorithm |
| CN114337414A (en)* | 2021-12-22 | 2022-04-12 | 南京航空航天大学 | 2-DOF fractional order intelligent PID three-level synchronous generator voltage regulation control method |
| Title |
|---|
| 梅娜: ""新能源汽车热管理系统智能控制技术研发"", 《硕士学位论文》* |
| 陈嘉朋,王聪等: ""改进狼群算法求解柔性作业车间调度问题"", 《现代电子技术》* |
| Publication number | Priority date | Publication date | Assignee | Title |
|---|---|---|---|---|
| CN117577415A (en)* | 2023-10-30 | 2024-02-20 | 江苏双汇电力发展股份有限公司 | High-altitude compact wind power generation box-type transformer and parameter adjustment method |
| CN118133674A (en)* | 2024-03-21 | 2024-06-04 | 山东大学 | Intelligent prediction method and system for wall function for radiator simulation |
| CN118133674B (en)* | 2024-03-21 | 2024-12-27 | 山东大学 | An intelligent prediction method and system for wall function used in radiator simulation |
| CN118245898A (en)* | 2024-04-02 | 2024-06-25 | 山东大学 | Engineering machinery active thermal management control method and system based on deep learning |
| CN120056691A (en)* | 2025-04-28 | 2025-05-30 | 西安嘉和华亨热系统有限公司 | Energy efficiency optimization method of heat pump type thermal management system |
| Publication number | Publication date |
|---|---|
| CN114992808B (en) | 2023-06-02 |
| Publication | Publication Date | Title |
|---|---|---|
| CN114992808B (en) | Heat pump air conditioner heat management control method and system based on combined intelligent algorithm | |
| CN111731303B (en) | A HEV energy management method based on deep reinforcement learning A3C algorithm | |
| CN106870099B (en) | A kind of control method of the hybrid vehicle heat management system based on fixed road spectrum | |
| CN113378463B (en) | Electric transmission bulldozer battery thermal management control method and system based on deep learning | |
| CN113050426B (en) | A thermal management control method and system integrating genetic ant colony algorithm | |
| CN109447236A (en) | A kind of method for diagnosing faults of hybrid vehicle heat management system | |
| Choi et al. | Reinforcement learning-based controller for thermal management system of electric vehicles | |
| CN114353872B (en) | Machine room temperature prediction method and device | |
| CN118838164A (en) | Man-machine hybrid formation intelligent decision generation method based on diffusion model and feedback learning | |
| Su et al. | An improved adaptive differential evolution algorithm for single unmanned aerial vehicle multitasking | |
| CN114662201A (en) | Optimizing method for intelligent regulation and control of natural ventilation | |
| CN116360266A (en) | Pig house temperature energy-saving control method based on multi-objective optimization algorithm | |
| CN118269572A (en) | Control method of thermal management system, electronic device, readable storage medium and vehicle | |
| CN110531638A (en) | PHEV component floor data statistics and operating condition construction method based on vehicle simulation model | |
| CN119129076A (en) | A low-carbon building design decision-making method in hot summer and warm winter areas based on GAN and GA | |
| CN114002949B (en) | Control method and control device based on artificial intelligence | |
| CN119089186A (en) | An A-ECMS energy management method based on predictive road traffic information | |
| Wang et al. | A Sequential Clustering Method With Improved Iteration and Its Application to Plug-In Hybrid Electric Vehicle: Theoretical Design and Experiment Implementation | |
| CN118997905A (en) | Vehicle thermal management adjustment method, device, equipment and medium | |
| CN110555225B (en) | RBPF-SLAM calculation method based on hierarchical particle swarm optimization algorithm | |
| CN118245898A (en) | Engineering machinery active thermal management control method and system based on deep learning | |
| CN114662398B (en) | Short primary bilateral linear induction motor optimal design method, system and terminal | |
| Zhang et al. | Cooperative task assignment for UAV based on SA-QCDPSO | |
| CN104566797A (en) | Fan frequency control method for cooling tower of central air conditioner | |
| CN118607101B (en) | Control method and device for vehicle air intake grille |
| Date | Code | Title | Description |
|---|---|---|---|
| PB01 | Publication | ||
| PB01 | Publication | ||
| SE01 | Entry into force of request for substantive examination | ||
| SE01 | Entry into force of request for substantive examination | ||
| GR01 | Patent grant | ||
| GR01 | Patent grant |