
技术领域technical field
本发明涉及一种基于电磁功率反馈的永磁同步电机最优效率控制方法,属于大功率电动推进领域。The invention relates to an optimal efficiency control method of a permanent magnet synchronous motor based on electromagnetic power feedback, and belongs to the field of high-power electric propulsion.
背景技术Background technique
针对未来电动飞行器长航时、高性能的发展趋势,占据整个飞行器动力系统能量80%以上的电推进系统能耗及效率问题至关重要。作为电推进系统核心部件,大功率永磁同步电机的设计及不同使用工况优化控制研究,通过基于MTPA的智能弱磁算法能够灵活调整电机工作区间,从而实现系统多模式智能切换。然而传统的磁场定向控制缺乏定子电流设计,系统功率因数角较差,电机不同工况时输出功率不同,效率降低,产生大量的能量损耗,影响飞行器的航时,为提升系统的节能效果,对推进电机的效率优化控制迫在眉睫。In view of the development trend of long endurance and high performance of electric aircraft in the future, the energy consumption and efficiency of the electric propulsion system, which accounts for more than 80% of the energy of the entire aircraft power system, are very important. As the core component of the electric propulsion system, the design of the high-power permanent magnet synchronous motor and the research on the optimal control of different operating conditions, the MTPA-based intelligent field weakening algorithm can flexibly adjust the working range of the motor, so as to realize the multi-mode intelligent switching of the system. However, the traditional field-oriented control lacks the stator current design, the system power factor angle is poor, the output power of the motor is different under different working conditions, the efficiency is reduced, and a large amount of energy loss is generated, which affects the flight time of the aircraft. In order to improve the energy-saving effect of the system, the Efficiency-optimized control of propulsion motors is imminent.
目前,永磁同步电机效率最优控制常用方法有两类,一类是搜索寻优法。该方法以输出功率保持不变的前提条件下,通过在线不断调节励磁电流,得到最优的励磁电流,使得输入功率最小,最终实现提高电机驱动系统效率的目的,该控制策略优点是不依赖电机参数的变化,但是动态响应慢,还需额外的硬件支持。另一类是基于损耗模型法效率优化控制策略,该控制策略是根据电机损耗方程,建立电机系统效率最优的目标函数,并对目标函数求极值,从而实现电磁功率的预测控制,得到不同工况下最优定子电流,该最优定子电流就是该工况下系统损耗最小的运行点,将其作为d轴电流的给定值,采用电压反馈补偿方式实现系统效率最优控制,该方法可实现整个速度范围内效率最优控制。传统基于损耗模型法效率优化控制策略能够有效提高电机效率,但其中未考虑系统损耗或者损耗模型未考虑电机参数对损耗计算的影响,而且在实际工作中,由于温度等因素的变化,使得电机参数变化较大,对效率最优控制影响较大。At present, there are two commonly used methods for optimal control of PMSM efficiency, one is the search optimization method. In this method, on the premise that the output power remains unchanged, the optimal excitation current is obtained by continuously adjusting the excitation current online, so as to minimize the input power, and finally achieve the purpose of improving the efficiency of the motor drive system. The advantage of this control strategy is that it does not depend on the motor. The parameter changes, but the dynamic response is slow, and additional hardware support is required. The other type is the efficiency optimization control strategy based on the loss model method. The control strategy is to establish the optimal objective function of the motor system efficiency according to the motor loss equation, and to obtain the extreme value of the objective function, so as to realize the predictive control of electromagnetic power and obtain different results. The optimal stator current under the working condition is the operating point with the smallest system loss under the working condition, which is used as the given value of the d-axis current, and the voltage feedback compensation method is used to realize the optimal control of the system efficiency. This method Optimum control of efficiency over the entire speed range can be achieved. The traditional efficiency optimization control strategy based on the loss model method can effectively improve the motor efficiency, but it does not consider the system loss or the loss model does not consider the influence of the motor parameters on the loss calculation, and in actual work, due to changes in temperature and other factors, the motor parameters The larger the change, the greater the impact on the optimal control of efficiency.
发明内容SUMMARY OF THE INVENTION
本发明的技术解决问题:本发明提出一种基于电磁功率反馈的永磁同步电机最优效率控制方法,通过对电磁功率预测控制,以应对复杂工况下大功率电动推进系统的节能要求。The technical solution of the present invention is that the present invention proposes a method for controlling the optimal efficiency of a permanent magnet synchronous motor based on electromagnetic power feedback, which can meet the energy-saving requirements of high-power electric propulsion systems under complex operating conditions through predictive control of electromagnetic power.
本发明的技术解决方案:Technical solution of the present invention:
一种基于电磁功率反馈的永磁同步电机最优效率控制方法,包括:An optimal efficiency control method for a permanent magnet synchronous motor based on electromagnetic power feedback, comprising:
将速度参考值与测量得到的速度反馈值之间的误差值经过PI控制器计算后得到电机q轴电流参考值;将电磁功率参考值与计算值之间的误差值经过PI控制器计算得到电机q轴电流的矫正值,实现对电机q轴电流进行补偿;The error value between the speed reference value and the measured speed feedback value is calculated by the PI controller to obtain the q-axis current reference value of the motor; the error value between the electromagnetic power reference value and the calculated value is calculated by the PI controller to obtain the motor The correction value of the q-axis current to realize the compensation of the q-axis current of the motor;
建立损耗模型,针对电机的不同运动状态,确定损耗最小时对应的最优定子电流,以提升电机系统的效率;Establish a loss model, and determine the optimal stator current corresponding to the minimum loss according to different motion states of the motor, so as to improve the efficiency of the motor system;
对电机参数进行辨识得出电机的电阻电感及磁链参数值,再将辨识参数值实时更新至损耗模型中,确定出电机d轴电流参考值,使得电机系统在不同工况下在效率最优点进行控制;The motor parameters are identified to obtain the resistance, inductance and flux linkage parameter values of the motor, and then the identification parameter values are updated to the loss model in real time, and the reference value of the motor d-axis current is determined, so that the motor system has the best efficiency under different working conditions. to control;
将电机d轴及q轴的电流参考值与实际反馈电流值之间的误差经过PI控制器计算,得到电机d、q轴的电压值,用于永磁同步电机的效率控制。The error between the current reference value of the d-axis and the q-axis of the motor and the actual feedback current value is calculated by the PI controller to obtain the voltage values of the d and q-axis of the motor, which are used for the efficiency control of the permanent magnet synchronous motor.
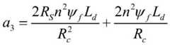
进一步的,损耗模型为Further, the loss model is
其中,a1、a2、a3、a4、a5为中间变量;Among them, a1 , a2 , a3 , a4 , a5 are intermediate variables;
iod,ioq分别为定子电流在电机d、q轴铁损电流分量。iod and ioq are the iron loss current components of the stator current in the d and q axes of the motor, respectively.
进一步的,further,
其中,Rs,Rc分别为定子绕组电阻和等效铁损电阻;Among them, Rs and Rc are the stator winding resistance and the equivalent iron loss resistance, respectively;
Ld为电机d轴同步电感;Ld is the synchronous inductance of the d-axis of the motor;
n为电机转速。n is the motor speed.
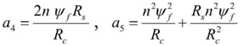
进一步的,further,
其中,Rs,Rc分别为定子绕组电阻和等效铁损电阻;Among them, Rs and Rc are the stator winding resistance and the equivalent iron loss resistance, respectively;
Lq为电机q轴同步电感;Lq is the synchronous inductance of the q-axis of the motor;
n为电机转速。n is the motor speed.
进一步的,further,
其中,Rs,Rc分别为定子绕组电阻和等效铁损电阻;Among them, Rs and Rc are the stator winding resistance and the equivalent iron loss resistance, respectively;
ψf为永磁体等效磁链;ψf is the equivalent flux linkage of the permanent magnet;
Ld为电机d轴同步电感;Ld is the synchronous inductance of the d-axis of the motor;
n为电机转速。n is the motor speed.
进一步的,further,
其中,Rs,Rc分别为定子绕组电阻和等效铁损电阻;Among them, Rs and Rc are the stator winding resistance and the equivalent iron loss resistance, respectively;
ψf为永磁体等效磁链;ψf is the equivalent flux linkage of the permanent magnet;
n为电机转速。n is the motor speed.
进一步的,further,
其中,Rs,Rc分别为定子绕组电阻和等效铁损电阻;Among them, Rs and Rc are the stator winding resistance and the equivalent iron loss resistance, respectively;
ψf为永磁体等效磁链;ψf is the equivalent flux linkage of the permanent magnet;
n为电机转速。n is the motor speed.
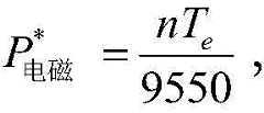
进一步的,电机电磁功率的参考值其中,n为电机转速,Te为转矩。Further, the reference value of the electromagnetic power of the motor Among them, n is the motor speed, and Te is the torque.
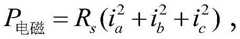
进一步的,电机电磁功率计算值Further, the calculated value of the electromagnetic power of the motor
其中,Te为转矩,Rs为定子绕组电阻,ia、ib、ic分别表示a向电流、b向电流、c向电流。Among them, Te is the torque, Rs is the stator winding resistance, andia , ib , and ic represent the a-direction current,b -direction current, andc -direction current, respectively.
进一步的,电磁功率参考值与计算值的误差进行PI控制后得到电机q轴电流的补偿参数,如果电磁功率值下降,导致对电机q轴电流的补偿值正向增大,使得电机q轴电流值增大,最终结果使得电磁功率增大直至等于其参考值,从而实现电磁功率的反馈控制。Further, the compensation parameter of the q-axis current of the motor is obtained after the error between the electromagnetic power reference value and the calculated value is controlled by PI. If the electromagnetic power value decreases, the compensation value for the q-axis current of the motor increases positively, making the q-axis current of the motor increase. The value increases, and the final result makes the electromagnetic power increase until it is equal to its reference value, thereby realizing the feedback control of the electromagnetic power.
本发明与现有技术相比效果:Compared with the prior art, the present invention has the following effects:
(1)本发明采用电磁功率反馈控制对电机q轴电流进行矫正,以此来实现电机电磁功率的预测控制,实现最大功率跟踪;(1) The present invention adopts electromagnetic power feedback control to correct the q-axis current of the motor, so as to realize the predictive control of the electromagnetic power of the motor and realize the maximum power tracking;
(2)本发明引入精确的损耗模型,针对电机的不同运动状态,计算得出损耗最小时对应的最优定子电流,从而提升电机系统的效率;(2) The present invention introduces an accurate loss model, and calculates the optimal stator current corresponding to the minimum loss according to different motion states of the motor, thereby improving the efficiency of the motor system;
(3)本发明采用参数观测器对电机不同工况下的参数进行辨识,再更新至损耗模型中,使得损耗模型中计算的最优励磁更接近于最优定子电流。(3) The present invention uses the parameter observer to identify the parameters of the motor under different working conditions, and then updates it to the loss model, so that the optimal excitation calculated in the loss model is closer to the optimal stator current.
附图说明Description of drawings
图1为本发明一实施例的基于电磁功率反馈的永磁同步电机最优效率控制系统框图。FIG. 1 is a block diagram of an optimal efficiency control system of a permanent magnet synchronous motor based on electromagnetic power feedback according to an embodiment of the present invention.
具体实施方案specific implementation
为使本发明的上述目的、特征和优点能够更加明显易懂,下面结合附图和具体实施方式对本发明作进一步详细的说明。In order to make the above objects, features and advantages of the present invention more clearly understood, the present invention will be described in further detail below with reference to the accompanying drawings and specific embodiments.
如图1所示,一种基于电磁功率反馈的永磁同步电机最优效率控制方法,包括:As shown in Figure 1, an optimal efficiency control method of permanent magnet synchronous motor based on electromagnetic power feedback, including:
将速度参考值与测量得到的速度反馈值之间的误差值经过PI控制器计算后得到电机q轴电流参考值,q轴为电机交轴;将电磁功率参考值与计算值之间的误差值经过PI控制器计算得到电机q轴电流的矫正值,实现对电机q轴电流进行补偿;The error value between the speed reference value and the measured speed feedback value is calculated by the PI controller to obtain the q-axis current reference value of the motor, and the q-axis is the axis of the motor; the error value between the electromagnetic power reference value and the calculated value is calculated. The correction value of the q-axis current of the motor is calculated by the PI controller to realize the compensation of the q-axis current of the motor;
建立损耗模型针对电机的不同运动状态,确定损耗最小时对应的最优定子电流,以提升电机系统的效率;Build a loss model According to the different motion states of the motor, determine the optimal stator current corresponding to the minimum loss to improve the efficiency of the motor system;
式中:where:
其中in
iod,ioq分别为定子电流在电机d、q轴铁损电流分量;电机q轴为电机的直轴;iod and ioq are the iron loss current components of the stator current in the d and q axes of the motor respectively; the q axis of the motor is the direct axis of the motor;
Rs,Rc分别为定子绕组电阻和等效铁损电阻;Rs , Rc are stator winding resistance and equivalent iron loss resistance, respectively;
ψf为永磁体等效磁链;ψf is the equivalent flux linkage of the permanent magnet;
Ld,Lq分别为电机d,q轴同步电感;Ld , Lq are the synchronous inductances of the d and q axes of the motor, respectively;
n为电机转速;n is the motor speed;
对电机参数进行辨识得出电机的电阻电感及磁链参数值,再将辨识参数值实时更新至损耗模型中,确定出电机d轴电流参考值,使得电机系统在不同工况下在效率最优点进行控制。The motor parameters are identified to obtain the resistance, inductance and flux linkage parameter values of the motor, and then the identification parameter values are updated to the loss model in real time, and the reference value of the motor d-axis current is determined, so that the motor system has the best efficiency under different working conditions. Take control.
参数辨识采用基于Popov超稳定定理设计的模型参考自适应系统,将模型参考自适应系统转化为一个由前馈线性模块和一个非线性模块的非线性时变系统,利用Popov不等式条件得出电机参数的自适应律,得出电机的电阻电感及磁链参数值。The parameter identification adopts a model reference adaptive system designed based on Popov's ultra-stability theorem. The model reference adaptive system is transformed into a nonlinear time-varying system consisting of a feedforward linear module and a nonlinear module, and the motor parameters are obtained by using Popov's inequality conditions. The adaptive law of the motor is obtained, and the resistance, inductance and flux linkage parameter values of the motor are obtained.
将电机d、q轴电流参考值与实际反馈电流值之间的误差经过PI控制器计算,得到电机d、q轴电压值,用于永磁同步电机的效率控制。The error between the motor d, q axis current reference value and the actual feedback current value is calculated by the PI controller to obtain the motor d, q axis voltage value, which is used for the efficiency control of the permanent magnet synchronous motor.
电磁功率反馈控制中,电机电磁功率的参考值由转速的参考值及转矩通过计算获得,电机电磁功率由相电流得到:In electromagnetic power feedback control, the reference value of the electromagnetic power of the motor is obtained by calculating the reference value of the speed and the torque, and the electromagnetic power of the motor is obtained from the phase current:
电机电磁功率的参考值其中,n为电机转速,Te为转矩。Reference value of motor electromagnetic power Among them, n is the motor speed, and Te is the torque.
电机电磁功率计算值The calculated value of the electromagnetic power of the motor
其中,Te为转矩,Rs为定子绕组电阻,ia、ib、ic分别表示a向电流、b向电流、c向电流。Among them, Te is the torque, Rs is the stator winding resistance, andia , ib , and ic represent the a-direction current,b -direction current, andc -direction current, respectively.
电磁功率参考值与计算值的误差进行PI控制后得到电机q轴电流的补偿参数,如果电磁功率值下降,导致对电机q轴电流的补偿值正向增大,使得电机q轴电流值增大,最终结果使得电磁功率增大直至等于其参考值,从而实现电磁功率的反馈控制。The error between the electromagnetic power reference value and the calculated value is controlled by PI to obtain the compensation parameter of the q-axis current of the motor. If the electromagnetic power value decreases, the compensation value of the q-axis current of the motor will increase positively, making the q-axis current value of the motor increase. , the final result makes the electromagnetic power increase until it is equal to its reference value, so as to realize the feedback control of the electromagnetic power.
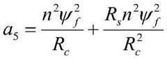
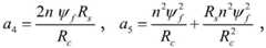
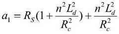
考虑电机的铜损和铁损,忽略不可控的机械损耗,得到电机的总电气损耗表达式为:Considering the copper loss and iron loss of the motor, ignoring the uncontrollable mechanical loss, the expression of the total electrical loss of the motor is:
其中,a1、a2、a3、a4、a5为中间变量;Among them, a1 , a2 , a3 , a4 , a5 are intermediate variables;
iod,ioq分别为定子电流在电机d、q轴铁损电流分量。iod and ioq are the iron loss current components of the stator current in the d and q axes of the motor, respectively.
依据损耗最小原则,求取目标函数极值,必然存在一个最优d轴电流值使得系统损耗最小,从而获得效率最优定子电流,实现系统效率最优控制。According to the principle of minimum loss, to find the extreme value of the objective function, there must be an optimal d-axis current value to minimize the system loss, so as to obtain the optimal stator current and realize the optimal control of the system efficiency.
对电机参数进行辨识时,损耗模型计算得到的最优电机d轴电流值依赖于电机参数,在电机运行过程中,电机参数变化较大,采用基于Popov超稳定定理设计的模型参考自适应系统,通过该参数辨识方法可辨识出电机的电阻电感及磁链参数值,再将辨识参数值实时更新至损耗模型中,使得电机系统在不同工况下都能在效率最优点进行控制。提升系统模型对参数的鲁棒性。When identifying the motor parameters, the optimal motor d-axis current value calculated by the loss model depends on the motor parameters. During the motor operation process, the motor parameters change greatly. The model reference adaptive system designed based on Popov's ultra-stability theorem is adopted. Through this parameter identification method, the resistance, inductance and flux linkage parameter values of the motor can be identified, and then the identified parameter values can be updated to the loss model in real time, so that the motor system can be controlled at the best efficiency point under different working conditions. Improve the robustness of the system model to parameters.
实施例Example
本发明在采用电磁功率预测控制的基础上,加入电机损耗模型,通过在线参数辨识,实时计算最优定子电流,保证系统的最优效率控制。Based on the electromagnetic power prediction control, the invention adds a motor loss model, calculates the optimal stator current in real time through on-line parameter identification, and ensures the optimal efficiency control of the system.
本发明的基于精确模型在线参数辨识的最优效率控制方法一实施例中,采用电磁功率反馈控制对q轴电流进行矫正,以此来实现电机电磁功率的预测控制,实现最大功率跟踪,包括:In an embodiment of the optimal efficiency control method based on accurate model online parameter identification of the present invention, electromagnetic power feedback control is used to correct the q-axis current, so as to realize the predictive control of the electromagnetic power of the motor, and realize the maximum power tracking, including:
在驱动系统中,电机电磁功率的参考值可由转速的参考值与转矩的参考值通过计算获得,电磁功率参考值与计算值的误差进行PI控制后得到q轴电流的补偿参数,从而实现电磁功率的跟踪。In the drive system, the reference value of the electromagnetic power of the motor can be obtained by calculating the reference value of the rotational speed and the reference value of the torque. Power tracking.
本发明的基于精确模型在线参数辨识的最优效率控制方法一实施例中,引入精确的损耗模型,针对电机的不同运动状态,计算得出损耗最小时对应的最优定子电流,包括:In an embodiment of the optimal efficiency control method based on accurate model online parameter identification of the present invention, an accurate loss model is introduced, and according to different motion states of the motor, the optimal stator current corresponding to the minimum loss is calculated and obtained, including:
根据电机等效电路方程建立与系统有关的损耗方程,即目标函数,利用数学求极值的方法分析目标函数极值得到效率最优定子电流,实现系统效率最优控制。According to the equivalent circuit equation of the motor, the loss equation related to the system, that is, the objective function, is established. The extremum of the objective function is analyzed by the method of mathematical extremum to obtain the optimal stator current of efficiency, and the optimal control of the system efficiency is realized.
本发明的基于精确模型在线参数辨识的最优效率控制方法一实施例中,采用参数观测器对电机不同工况下的参数进行辨识,再更新至损耗模型中,使得损耗模型中计算的最优励磁更接近于最优定子电流。In an embodiment of the optimal efficiency control method based on accurate model online parameter identification of the present invention, the parameter observer is used to identify the parameters of the motor under different working conditions, and then updated to the loss model, so that the optimal calculation in the loss model is achieved. The excitation is closer to the optimal stator current.
具体的,在永磁同步电机的控制中,为保证电机的功率跟踪效果,本发明采用电磁功率反馈控制对q轴电流进行矫正,以此来实现电机电磁功率的预测控制,实现最大功率跟踪。Specifically, in the control of the permanent magnet synchronous motor, in order to ensure the power tracking effect of the motor, the present invention adopts the electromagnetic power feedback control to correct the q-axis current, thereby realizing the predictive control of the electromagnetic power of the motor and realizing the maximum power tracking.
该电磁功率反馈控制工作原理如下:采用速度闭环控制,将速度参考值与测量得到的速度反馈之间的误差值经过PI控制器后得到q轴电流参考值,同时采用电磁功率反馈控制将电磁功率参考值与计算值之间的误差值经过PI控制器得到q轴电流的矫正信号,对q轴电流进行补偿。在驱动系统中,电机电磁功率的参考值可由转速的参考值与转矩通过计算获得,电机电磁功率可由相电流得到:The working principle of the electromagnetic power feedback control is as follows: using the speed closed-loop control, the error value between the speed reference value and the measured speed feedback is passed through the PI controller to obtain the q-axis current reference value, and the electromagnetic power feedback control is used to control the electromagnetic power. The error value between the reference value and the calculated value obtains the correction signal of the q-axis current through the PI controller, and compensates the q-axis current. In the drive system, the reference value of the electromagnetic power of the motor can be obtained by calculating the reference value of the speed and the torque, and the electromagnetic power of the motor can be obtained from the phase current:
如果转子磁链减小,将导致电流下降,使得监测测量到的电磁功率反馈值减小,从而导致q轴电流补偿值加大,因此给定的q轴电流加大,最终的结果使得电磁功率增大直到等于其参考值,从而实现电机电磁功率的实时跟踪,提升系统效率。If the rotor flux linkage decreases, it will cause the current to drop, so that the electromagnetic power feedback value measured by monitoring will decrease, resulting in an increase in the q-axis current compensation value. Therefore, the given q-axis current will increase, and the final result will make the electromagnetic power Increase until it is equal to its reference value, so as to realize the real-time tracking of the electromagnetic power of the motor and improve the system efficiency.
同时本发明根据电机等效电路方程建立与系统有关的损耗方程,即目标函数,通过数学方法分析目标函数极值的方式得到效率最优定子电流,实现系统效率最优控制。其中电机总损耗主要包括铜损和铁损:At the same time, the present invention establishes the loss equation related to the system, namely the objective function, according to the motor equivalent circuit equation, and obtains the optimal stator current of the efficiency by analyzing the extreme value of the objective function through a mathematical method, so as to realize the optimal control of the system efficiency. The total loss of the motor mainly includes copper loss and iron loss:
Wloss=Wcu+WfeWloss =Wcu +Wfe
代入得到总电机损耗:Substitute in to get the total motor loss:
式中:where:
其中in
id,iq分别为定子电流在d,q轴电流分量;id , iq are the current components of the stator current in the d and q axes, respectively;
iod,ioq分别为定子电流在d,q轴除铁损外电流分量;iod , ioq are the current components of the stator current in the d and q axes except iron loss, respectively;
Rs,Rc分别为定子绕组电阻和等效铁损电阻;Rs , Rc are stator winding resistance and equivalent iron loss resistance, respectively;
ψf为永磁体等效磁链;ψf is the equivalent flux linkage of the permanent magnet;
Ld,Lq分别为d,q轴同步电感;Ld , Lq are d, q axis synchronous inductances respectively;
其中电磁转矩方程为:The electromagnetic torque equation is:
Te=pψfioq+p(Ld-Lq)iodioqTe =pψf ioq +p(Ld -Lq )iod ioq
在电机稳态工作时,Te,n为常值,因此总电气损耗中只包含iod一个变量,由一元二次方程性质可知,必存在一个iod值使得铜损和铁损之和最小,因此得到最优电流分量为:When the motor is working in a steady state, Te and n are constant values, so the total electrical loss only contains a variable iod . From the properties of the quadratic equation in one variable, we can see that there must be an iod value that minimizes the sum of copper loss and iron loss. , so the optimal current component is obtained as:
因此定子电流在满足上述方程时,电机运行在损耗最小的工况。Therefore, when the stator current satisfies the above equation, the motor runs in the condition of minimum loss.
在进行电机损耗模型分析时,为方便分析研究,往往忽略了电机的非线性因素,将电机视为固定值,然而实际中电机参数如定子电阻、电感,转子磁链等均受到温度等因素的影响,因此,为获得更好的损耗最小控制效果,往往需要考虑电机的参数受环境的影响。In the analysis of the motor loss model, in order to facilitate the analysis and research, the nonlinear factors of the motor are often ignored, and the motor is regarded as a fixed value. However, in practice, the motor parameters such as stator resistance, inductance, and rotor flux linkage are all affected by factors such as temperature. Therefore, in order to obtain a better control effect with minimum loss, it is often necessary to consider the influence of the parameters of the motor by the environment.
因此,为保证电机参数对损耗模型的影响,本发明采用基于Popov超稳定定理设计的模型参考自适应系统,首先得到电机的状态方程如下:Therefore, in order to ensure the influence of motor parameters on the loss model, the present invention adopts a model reference adaptive system designed based on Popov's ultra-stability theorem. First, the state equation of the motor is obtained as follows:
pi=Ai+Bu+Cpi=Ai+Bu+C
式中,P为微分分子,将式中电流、电阻、电感磁链用估计值符号表示,可得可调模型的表达式为:In the formula, P is the differential molecule, and the current, resistance and inductance flux linkage in the formula are represented by the estimated value symbols, and the expression of the adjustable model can be obtained as:
式中:where:
将两式相减得到偏差方程为:The deviation equation obtained by subtracting the two equations is:
pe=(A+G)e-ωpe=(A+G)e-ω
式中:where:
将模型参考自适应系统转化为一个由前馈线性模块和一个非线性模块的非线性时变系统,利用Popov不等式条件采用比例积分形式设计得出电机参数的自适应律表达式:Transform the model reference adaptive system into a nonlinear time-varying system consisting of a feedforward linear module and a nonlinear module, and use the Popov inequality condition to design the adaptive law expression of the motor parameters in the form of proportional and integral:
式中,ki、kp为比例积分器的增益和积分系数,where ki and kp are the gain and integral coefficient of the proportional integrator,
通过该参数辨识方法可辨识出电机的电阻电感及磁链参数值,再将辨识参数值实时更新至损耗模型中,使得电机系统在不同工况下都能在效率最优效率点进行控制。Through this parameter identification method, the resistance, inductance and flux linkage parameter values of the motor can be identified, and then the identified parameter values can be updated to the loss model in real time, so that the motor system can be controlled at the optimal efficiency point under different working conditions.
以上,根据速度PI控制器计算出来的q轴电流值与电磁功率反馈控制计算出来的q轴补偿值进行相加得到q轴参考值,根据基于参数辨识的损耗模型计算得到最优的d轴参考电流,将两参考电流值与各自反馈电流值之间的误差输入PI控制器,得到所需的dq轴电压,再经过SVPWM电压矢量控制算法作用于逆变电路,能够降低损耗,实现基于电磁功率反馈的永磁同步电机的最优效率控制。Above, the q-axis current value calculated by the speed PI controller and the q-axis compensation value calculated by the electromagnetic power feedback control are added to obtain the q-axis reference value, and the optimal d-axis reference value is calculated according to the loss model based on parameter identification. The error between the two reference current values and the respective feedback current values is input into the PI controller to obtain the required dq axis voltage, and then acts on the inverter circuit through the SVPWM voltage vector control algorithm, which can reduce the loss and realize the electromagnetic power based Feedback for optimal efficiency control of permanent magnet synchronous motors.
上面结合附图对本发明进行了示例性描述,本发明在采用电磁功率预测控制的基础上,加入电机损耗模型,通过在线参数辨识,实时计算最优定子电流,保证系统的最优效率控制。应当指出的是,本发明具体实现并不受上述方式的限制,对于本技术领域的普通技术人员来说,在不脱离本发明的精神和范围内,还可以做出若干改进和润饰,这些改进和润饰也应视为本发明的保护范围。The present invention has been exemplarily described above with reference to the accompanying drawings. The present invention, based on electromagnetic power predictive control, adds a motor loss model, and through online parameter identification, calculates the optimal stator current in real time to ensure optimal efficiency control of the system. It should be noted that the specific implementation of the present invention is not limited by the above-mentioned manner. For those skilled in the art, without departing from the spirit and scope of the present invention, several improvements and modifications can also be made. These improvements and retouching should also be regarded as the protection scope of the present invention.
| Application Number | Priority Date | Filing Date | Title |
|---|---|---|---|
| CN202210555932.7ACN114944797A (en) | 2022-05-20 | 2022-05-20 | Permanent magnet synchronous motor optimal efficiency control method based on electromagnetic power feedback |
| Application Number | Priority Date | Filing Date | Title |
|---|---|---|---|
| CN202210555932.7ACN114944797A (en) | 2022-05-20 | 2022-05-20 | Permanent magnet synchronous motor optimal efficiency control method based on electromagnetic power feedback |
| Publication Number | Publication Date |
|---|---|
| CN114944797Atrue CN114944797A (en) | 2022-08-26 |
| Application Number | Title | Priority Date | Filing Date |
|---|---|---|---|
| CN202210555932.7APendingCN114944797A (en) | 2022-05-20 | 2022-05-20 | Permanent magnet synchronous motor optimal efficiency control method based on electromagnetic power feedback |
| Country | Link |
|---|---|
| CN (1) | CN114944797A (en) |
| Publication number | Priority date | Publication date | Assignee | Title |
|---|---|---|---|---|
| US20130249448A1 (en)* | 2012-03-22 | 2013-09-26 | Mitsubishi Electric Corporation | Synchronous machine control apparatus |
| CN104579090A (en)* | 2014-12-31 | 2015-04-29 | 郑州宇通客车股份有限公司 | Permanent magnet synchronous motor power compensation control system and method |
| CN114157191A (en)* | 2021-11-17 | 2022-03-08 | 国网湖北省电力有限公司电力科学研究院 | Permanent magnet synchronous motor optimal efficiency control method based on online gradient descent method |
| Publication number | Priority date | Publication date | Assignee | Title |
|---|---|---|---|---|
| US20130249448A1 (en)* | 2012-03-22 | 2013-09-26 | Mitsubishi Electric Corporation | Synchronous machine control apparatus |
| CN104579090A (en)* | 2014-12-31 | 2015-04-29 | 郑州宇通客车股份有限公司 | Permanent magnet synchronous motor power compensation control system and method |
| CN114157191A (en)* | 2021-11-17 | 2022-03-08 | 国网湖北省电力有限公司电力科学研究院 | Permanent magnet synchronous motor optimal efficiency control method based on online gradient descent method |
| Title |
|---|
| 谭海波: "基于模型参考自适应的永磁同步电机在线效率最优控制的研究", CNKI优秀硕士学位论文全文库, 15 January 2019 (2019-01-15), pages 15 - 17* |
| 黄建裕等: "《新能源汽车驱动电机及控制技术》", 28 February 2021, 哈尔滨工程大学出版社, pages: 98* |
| Publication | Publication Date | Title |
|---|---|---|
| CN111600523B (en) | Model prediction current control method of permanent magnet synchronous motor | |
| CN113472262A (en) | MTPA control method for identifying d-q axis inductance parameters of permanent magnet synchronous motor by adopting fuzzy logic control | |
| CN110429881A (en) | A kind of Auto-disturbance-rejection Control of permanent magnet synchronous motor | |
| CN112422004B (en) | Disturbance suppression method for permanent magnet synchronous motor in weak magnetic control mode | |
| CN112039390B (en) | Permanent magnet synchronous motor sliding mode control method based on load torque observation | |
| CN110729941B (en) | Control method of built-in permanent magnet synchronous motor | |
| Farhani et al. | Real time PI-backstepping induction machine drive with efficiency optimization | |
| CN104716883B (en) | The method for improving of permagnetic synchronous motor low-speed performance | |
| CN107017817A (en) | A kind of high speed IPM synchronous motor current decoupling control method | |
| CN110061671A (en) | Permanent magnet synchronous motor control method and system based on speed change approach rate | |
| CN113572402A (en) | Compound sliding mode speed control method and system for cylindrical permanent magnet linear synchronous motor | |
| CN117155191A (en) | Sliding mode control method of permanent magnet synchronous motor based on new variable speed reaching law | |
| CN112039388B (en) | Control method of permanent magnet synchronous motor for industrial robot | |
| CN116455284A (en) | Sensorless multi-parameter error correction strategy for permanent magnet synchronous motor under multi-mode modulation | |
| Wang et al. | Adaptive current decoupling control scheme based on online multi-parameter identification for high-speed permanent magnet synchronous motor in fuel cell | |
| Popescu et al. | New Achievements in the Rotor Field-Oriented Control for Autonomous Locomotives: Part 1: System synthesis and theoretical investigations | |
| CN118900060A (en) | A direct drive motor disturbance suppression method based on a novel sliding mode and feedforward compensation | |
| CN114944797A (en) | Permanent magnet synchronous motor optimal efficiency control method based on electromagnetic power feedback | |
| CN116094383A (en) | Time-varying nonlinear disturbance observer of permanent magnet synchronous motor and current constraint control method | |
| CN112019120B (en) | A Discrete Domain Current Loop Control Method for Permanent Magnet Synchronous Motors Introducing Leading-beat Current | |
| CN111146993B (en) | A Vector Control Method for Voltage Decoupling Compensation of Asynchronous Motor | |
| CN115133828A (en) | A permanent magnet synchronous motor control method and system | |
| CN113437911A (en) | Surface-mounted permanent magnet synchronous electric spindle vector control method based on id =0 control | |
| Wu et al. | An efficiency optimization strategy of induction motors for electric vehicles | |
| CN118659693B (en) | Sensorless Model Predictive Torque Control Method for Induction Motor |
| Date | Code | Title | Description |
|---|---|---|---|
| PB01 | Publication | ||
| PB01 | Publication | ||
| SE01 | Entry into force of request for substantive examination | ||
| SE01 | Entry into force of request for substantive examination | ||
| RJ01 | Rejection of invention patent application after publication | Application publication date:20220826 |