













技术领域Technical Field
本发明属于柴油机燃烧过程建模领域,具体涉及一种面向柴油机燃烧性能优化控制的 模糊神经网络建模方法。The present invention belongs to the field of diesel engine combustion process modeling, and specifically relates to a fuzzy neural network modeling method for diesel engine combustion performance optimization control.
背景技术Background Art
为了实现对柴油机性能排放预测,进一步实现燃烧优化,减小台架试验的次数与成本, 发展了柴油机数值仿真模型。按照发展进程可分为:零维模型、准维模型与多维模型,零 维模型依据热力学中的能量和质量守恒定律将缸内视为均匀场,但其结果无法准确预测柴油机排放性能指标;准维模型将燃烧室划分为多个区域,并对区域内温度、浓度等参数建 立随时间变化的关系式,避免了对燃烧过程的过度简化且计算量适中,具有一定的性能预 测能力,是目前应用较多的模型,如油滴蒸发燃烧模型;多维模型以最基本的物理量为基 础用控制方程表达缸内燃烧过程,并通过数值方法求解,但其计算量巨大。In order to achieve the prediction of diesel engine performance and emission, further achieve combustion optimization, and reduce the number and cost of bench tests, a diesel engine numerical simulation model has been developed. According to the development process, it can be divided into: zero-dimensional model, quasi-dimensional model and multi-dimensional model. The zero-dimensional model regards the cylinder as a uniform field based on the energy and mass conservation laws in thermodynamics, but its results cannot accurately predict the diesel engine emission performance indicators; the quasi-dimensional model divides the combustion chamber into multiple regions, and establishes a relationship between the temperature, concentration and other parameters in the region that changes with time, avoiding over-simplification of the combustion process and having a moderate amount of calculation. It has a certain performance prediction ability and is currently a widely used model, such as the oil drop evaporation combustion model; the multi-dimensional model uses the most basic physical quantities as the basis to express the combustion process in the cylinder with the control equation, and solves it through numerical methods, but its calculation amount is huge.
而随着智能算法的发展、人工神经网络的提出,利用大量试验数据学习并预测复杂机 理的黑箱模型也广泛应用在柴油机性能预测领域。柴油机燃烧过程复杂,多个参数之间存 在耦合等关系,而人工神经网络依据大量数据,学习多输入输出系统之间复杂的非线性关系并进行预测,因此,人工神经网络可以很好地适应柴油机燃烧过程。2014年HadiTaghavifar等人对生物柴油机以燃油蒸发量与柴油质量百分比等参数为输入、以NOx与Soot为输出建立人工神经网络模型,其预测准确率高达99%。但拟合神经网络模型对 数据有较高的要求,期望数据具有遍历性、致密性和相容性,而柴油机台架试验阶段的数 据通常不能对柴油机全转速工况范围进行采样,对柴油机全运行工况的神经网络建模造成困难。因此需要改进神经网络模型建模方式,利用较少数据构建全转速工况范围内柴油机 燃烧过程模型,为进一步实现柴油机燃烧性能优化作出良好基础。With the development of intelligent algorithms and the introduction of artificial neural networks, black box models that use a large amount of test data to learn and predict complex mechanisms are also widely used in the field of diesel engine performance prediction. The diesel engine combustion process is complex, and there are coupling relationships between multiple parameters. Artificial neural networks learn complex nonlinear relationships between multiple input and output systems based on a large amount of data and make predictions. Therefore, artificial neural networks can adapt well to the diesel engine combustion process. In 2014, Hadi Taghavifar et al. established an artificial neural network model for biodiesel engines with parameters such as fuel evaporation and diesel mass percentage as input and NOx and Soot as output, and its prediction accuracy was as high as 99%. However, fitting neural network models has high requirements for data, and the data is expected to have ergodicity, density and compatibility. The data in the diesel engine bench test stage usually cannot sample the full speed range of the diesel engine, which makes it difficult to model the neural network for the full operating conditions of the diesel engine. Therefore, it is necessary to improve the modeling method of the neural network model, use less data to build a diesel engine combustion process model within the full speed range, and lay a good foundation for further optimizing the combustion performance of the diesel engine.
发明内容Summary of the invention
本发明的目的是为解决柴油机台架试验阶段的数据不能对柴油机全转速工况范围进 行采样,导致对柴油机全运行工况的神经网络建模困难的问题,而提出的一种面向柴油机 燃烧性能优化控制的模糊神经网络建模方法。The purpose of the present invention is to solve the problem that the data in the diesel engine bench test phase cannot sample the full speed operating range of the diesel engine, resulting in difficulty in neural network modeling of the full operating conditions of the diesel engine. A fuzzy neural network modeling method for optimizing the combustion performance of the diesel engine is proposed.
本发明为解决上述技术问题所采取的技术方案是:The technical solution adopted by the present invention to solve the above technical problems is:
一种面向柴油机燃烧性能优化控制的模糊神经网络建模方法,所述方法具体包括以下 步骤:A fuzzy neural network modeling method for diesel engine combustion performance optimization control, the method specifically comprises the following steps:
步骤一、根据面向柴油机燃烧性能控制目标,选择柴油机仿真模型的输入参数和输出 参数;Step 1: Select the input parameters and output parameters of the diesel engine simulation model according to the diesel engine combustion performance control target;
步骤二、确定输入参数的数据幅值变化范围及作用的时间间隔,利用输入参数数据激 励柴油机仿真模型(所述柴油机仿真模型为GT-Power仿真模型)获取输出参数数据,将 输入参数数据和输出参数数据作为建模数据;Step 2: determine the data amplitude variation range and action time interval of the input parameter, use the input parameter data to stimulate the diesel engine simulation model (the diesel engine simulation model is the GT-Power simulation model) to obtain the output parameter data, and use the input parameter data and the output parameter data as modeling data;
利用获得的建模数据建立若干个定值转速对应的子模型;Using the obtained modeling data, several sub-models corresponding to the fixed speed are established;
步骤三、分别为步骤二中的各个子模型设计有效性函数,将相邻转速对应的子模型按 有效性函数进行加权,获得全转速范围下的预测模型。Step 3: Design validity functions for each sub-model in step 2, weight the sub-models corresponding to adjacent speeds according to the validity function, and obtain the prediction model under the full speed range.
进一步地,所述步骤一中,根据柴油机降低油耗减少排放要求的目标,选择柴油机仿 真模型建模的输出参数为柴油机输出功率、燃油消耗率、NOx生成量、空燃比以及爆压;再根据输出参数与柴油机燃油喷射以及进气可调参数之间的关系,选择柴油机仿真模型建模的输入参数为喷油时刻、进气门开启时刻、喷油压力与循环喷油量。Furthermore, in the step one, according to the goal of reducing fuel consumption and emissions of the diesel engine, the output parameters of the diesel engine simulation model are selected as the diesel engine output power, fuel consumption rate, NOx generation, air-fuel ratio and explosion pressure; and then according to the relationship between the output parameters and the diesel engine fuel injection and intake adjustable parameters, the input parameters of the diesel engine simulation model are selected as the injection timing, intake valve opening timing, injection pressure and cycle injection amount.
选择上述输入输出参数的目的是为优化控制建立良好的模型基础,进一步优化燃烧减 少排放。The purpose of selecting the above input and output parameters is to establish a good model foundation for optimal control and further optimize combustion to reduce emissions.
进一步地,所述步骤二的具体过程为:Furthermore, the specific process of step 2 is as follows:
选取4个定值转速,且在每个定值转速下,均在当前转速推进工况所对应的标准循环 喷油量上下调整循环喷油量的值以及其他输入参数的值,利用输入参数数据激励柴油机仿 真模型获取输出参数数据;Four fixed speeds are selected, and at each fixed speed, the value of the cycle injection amount and other input parameter values are adjusted up and down at the standard cycle injection amount corresponding to the current speed propulsion condition, and the input parameter data is used to stimulate the diesel engine simulation model to obtain the output parameter data;
将每个定值转速下的输入参数数据以及输出参数数据分别作为对应定值转速下的建 模数据,再利用建模数据建立对应定值转速下的子模型,即分别获得了4个定值转速对应 的子模型。The input parameter data and output parameter data at each constant speed are used as the modeling data at the corresponding constant speed, and then the modeling data are used to establish the sub-model at the corresponding constant speed, that is, 4 sub-models corresponding to the constant speed are obtained.
通过调整输入参数的幅值变化范围,使柴油机输出功率在不同转速工况的功率实现相 邻转速段的功率覆盖。根据输出参数对输入参数变化的响应速度,确定用于获取建模数据 的各个输入参数作用的时间间隔。By adjusting the amplitude variation range of the input parameters, the output power of the diesel engine at different speed conditions can achieve power coverage in adjacent speed ranges. According to the response speed of the output parameters to the changes in the input parameters, the time interval for the action of each input parameter used to obtain the modeling data is determined.
进一步地,所述柴油机仿真模型的输入参数激励信号为阶跃信号。Furthermore, the input parameter excitation signal of the diesel engine simulation model is a step signal.
进一步地,所述阶跃信号的持续时间为2s。Furthermore, the duration of the step signal is 2s.
各输入参数激励信号的持续时间的长短依据仿真模型实际情况确定,其原则为既要充 分激励系统,体现不同信号的差别,又要考虑到计算时间的长短,保证较高的效率。选择 与仿真采样模型稳态数据趋势相同、具体数值接近时的时间间隔,本发明方法选择2s作为信号最小时间间隔。The duration of each input parameter excitation signal is determined according to the actual situation of the simulation model. The principle is to fully excite the system and reflect the differences between different signals, and to take into account the length of the calculation time to ensure high efficiency. The time interval with the same trend as the steady-state data of the simulation sampling model and the specific value is close is selected. The method of the present invention selects 2s as the minimum signal time interval.
进一步地,所述步骤二中,分别获得对应定值转速下的建模数据后,利用BP神经网络分别建立各定值转速对应的子模型,所述子模型用于表征输入输出参数关系。Furthermore, in the step 2, after respectively obtaining the modeling data at the corresponding fixed speed, a sub-model corresponding to each fixed speed is established using a BP neural network, and the sub-model is used to characterize the relationship between input and output parameters.
进一步地,所述将相邻转速对应的子模型按有效性函数进行加权,获得全转速范围下 的预测模型;其具体过程为:Furthermore, the sub-models corresponding to adjacent speeds are weighted according to the effectiveness function to obtain the prediction model under the full speed range; the specific process is:
本发明令不同定值转速工况的神经网络子模型在相邻转速区间内两两加权插值,即两 个相邻的定值转速工况神经网络子模型的转速区间内,只有这两个子模型起作用,其余子 模型转速不在此有效性函数的覆盖范围内,权重为0。The present invention makes weighted interpolation of the neural network sub-models of different constant speed conditions in pairs within adjacent speed ranges, that is, within the speed range of two adjacent constant speed condition neural network sub-models, only these two sub-models are effective, and the speeds of the remaining sub-models are not within the coverage of this validity function and their weights are 0.
y=fa·h1+fb·h2y=fa ·h1 +fb ·h2
其中:in:
其中,fa为输入参数数据经过子模型1得到的输出,fb为输入参数数据经过子模型2得到的输出;h1为fa的权重;h2为fb的权重;x为当前时刻的转速值;e为自然对数的底数;为子模型1的有效性函数;c1为子模型1的中心点,即子模型1的定值转速值;σ1为 子模型1的标准方差。Wherein,fa is the output obtained by
进一步地,所述方法还包括步骤四,所述步骤四的具体过程为:Furthermore, the method further comprises step 4, and the specific process of step 4 is:
确定柴油机仿真模型在一个新的工况的标准转速,并通过DOE寻优获得新的工况的 喷油时刻与循环喷油量;通过修改转速、喷油时刻与循环喷油量分别建立不同螺旋桨曲线 对应负荷的新工况;Determine the standard speed of the diesel engine simulation model in a new working condition, and obtain the injection time and cycle injection amount of the new working condition through DOE optimization; establish new working conditions corresponding to different propeller curves for loads by modifying the speed, injection time and cycle injection amount;
再设计输入参数激励信号,基于设计的输入参数激励信号获得预测模型的验证数据;Then designing the input parameter excitation signal, and obtaining verification data of the prediction model based on the designed input parameter excitation signal;
将预测模型的预测输出与柴油机仿真模型的实际输出进行对比,完成对预测模型的验 证。The predicted output of the prediction model is compared with the actual output of the diesel engine simulation model to complete the verification of the prediction model.
进一步地,所述输入参数激励信号为给定转速变扭矩信号或变转速变扭矩信号。Furthermore, the input parameter excitation signal is a given speed variable torque signal or a variable speed variable torque signal.
本发明的有益效果是:The beneficial effects of the present invention are:
本发明提出了一种面向柴油机燃烧性能优化控制的模糊神经网络建模方法,局部子模 型采用人工神经网络的方法建立柴油机性能参数预测模型,能够更快地根据柴油机输入得 到期望的柴油机性能参数,相较于运行速度较慢的柴油机GT-Power仿真模型,神经网络 模型更适应于控制方法设计时需要多次迭代计算的场景。提出人工神经网络与T-S模糊原 理结合的方法,使用有效性函数对不同转速工况的神经网络子模型进行模糊加权插值,得 到中间工况的预测参数,解决了全转速范围下神经网络模型建模困难、预测精度低的问题,而且所建立的神经网络模型泛化效果好,能够对柴油机燃烧性能参数及排放进行精确预测。The present invention proposes a fuzzy neural network modeling method for diesel engine combustion performance optimization control. The local sub-model uses an artificial neural network method to establish a diesel engine performance parameter prediction model, which can obtain the desired diesel engine performance parameters according to the diesel engine input more quickly. Compared with the diesel engine GT-Power simulation model with a slower running speed, the neural network model is more suitable for the scene that requires multiple iterative calculations when designing the control method. A method combining artificial neural network with T-S fuzzy principle is proposed. The validity function is used to perform fuzzy weighted interpolation on the neural network sub-models of different speed conditions to obtain the prediction parameters of the intermediate conditions, which solves the problem of difficult modeling and low prediction accuracy of the neural network model under the full speed range. In addition, the established neural network model has a good generalization effect and can accurately predict the diesel engine combustion performance parameters and emissions.
并且将预测结果与仿真结果进行比较,其平均相对误差百分比较小,表明预测数据与 仿真数据具有很好的一致性,所建立的柴油机燃烧性能预测模型具有良好的预测泛化能力。The predicted results are compared with the simulation results, and the average relative error percentage is small, indicating that the predicted data is very consistent with the simulation data, and the established diesel engine combustion performance prediction model has good prediction generalization ability.
附图说明BRIEF DESCRIPTION OF THE DRAWINGS
图1为本发明方法的流程图;Fig. 1 is a flow chart of the method of the present invention;
图2a为本发明对于输入采样时激励信号不同持续时间仿真数据结果图一;FIG. 2a is a diagram showing simulation data results of the present invention for different durations of excitation signals during input sampling;
图2b为本发明对于输入采样时激励信号不同持续时间仿真数据结果图二;FIG2b is a second simulation data result diagram of the present invention for different durations of the excitation signal during input sampling;
图2c为本发明对于输入采样时激励信号不同持续时间仿真数据结果图三;FIG2c is a third simulation data result diagram of the present invention for different durations of the excitation signal during input sampling;
图3为本发明的GT-Power仿真模型的输入激励信号图;FIG3 is a diagram of input excitation signals of the GT-Power simulation model of the present invention;
图4为本发明GT-Power仿真模型与Simulink耦合输入采样模型的示意图;FIG4 is a schematic diagram of the GT-Power simulation model and the Simulink coupled input sampling model of the present invention;
图5为本发明全负荷工况下不同负荷工况的神经网络模型有效性函数示意图;5 is a schematic diagram of the effectiveness function of the neural network model under different load conditions under full load conditions of the present invention;
图6为本发明的柴油机燃烧性能智能预测模型示意图;FIG6 is a schematic diagram of an intelligent prediction model for diesel engine combustion performance according to the present invention;
模型在Simulink中实现;The model is implemented in Simulink;
图7为本发明验证数据类型为定转速变扭距的仿真模型激励信号图;FIG7 is a diagram of excitation signals of a simulation model of the present invention for verifying that the data type is constant speed variable torque;
图8为本发明验证数据类型为变转速变扭距的仿真模型激励信号图;FIG8 is a diagram of excitation signals of a simulation model for verifying that the data type is variable speed and variable torque according to the present invention;
图9a为本发明全工况燃烧预测模型燃烧参数预测精度验证结果图一;FIG. 9a is a first diagram showing the verification result of the combustion parameter prediction accuracy of the full-operating-condition combustion prediction model of the present invention;
图9b为本发明全工况燃烧预测模型燃烧参数预测精度验证结果图二;FIG9b is a second diagram showing the verification result of the combustion parameter prediction accuracy of the full-operating-condition combustion prediction model of the present invention;
图9c为本发明全工况燃烧预测模型燃烧参数预测精度验证结果图三;FIG. 9c is a third diagram showing the verification result of the combustion parameter prediction accuracy of the full-operating-condition combustion prediction model of the present invention;
图9d为本发明全工况燃烧预测模型燃烧参数预测精度验证结果图四;FIG9d is a fourth diagram showing the verification result of the combustion parameter prediction accuracy of the full-operating-condition combustion prediction model of the present invention;
注:附图中柴油机循环喷油量、转速以及其他柴油机性能参数都是经如下公式归一化 后的结果:Note: The diesel engine cycle injection amount, speed and other diesel engine performance parameters in the attached figure are the results of normalization by the following formula:
其中,为参数归一化后的值;xmin为参数的最小值;xmax为参数的最大值。in, is the normalized value of the parameter; xmin is the minimum value of the parameter; xmax is the maximum value of the parameter.
具体实施方式DETAILED DESCRIPTION
为了使本发明的目的、技术方案及优点更加清楚明白,以下结合附图对本发明进行进 一步详细说明。本发明采用如下技术方案:首先根据面向柴油机燃烧性能控制目标,确定 模型的输入与输出参数,确定输入信号,并以转速为特征的不同工况改变循环喷油量以实现相邻转速工况间的功率覆盖,对GT-Power仿真模型进行激励获取建模数据,使用数据 分别建立各转速对应的神经网络子模型,将子模型基于T-S模糊原理结合成为全转速范围 模型,对建立的全工况柴油机燃烧性能智能预测模型验证。In order to make the purpose, technical scheme and advantages of the present invention more clear, the present invention is further described in detail in conjunction with the accompanying drawings. The present invention adopts the following technical scheme: first, according to the diesel engine combustion performance control target, the input and output parameters of the model are determined, the input signal is determined, and the cycle injection amount is changed according to different working conditions characterized by speed to achieve power coverage between adjacent speed working conditions, the GT-Power simulation model is stimulated to obtain modeling data, and the neural network sub-models corresponding to each speed are established using the data, and the sub-models are combined into a full speed range model based on the T-S fuzzy principle, and the established full-condition diesel engine combustion performance intelligent prediction model is verified.
图1为基于T-S模糊神经网络的柴油机燃烧过程建模方法的流程图。其具体步骤如下:Figure 1 is a flow chart of a diesel engine combustion process modeling method based on T-S fuzzy neural network. The specific steps are as follows:
1、根据面向控制柴油机燃烧性能控制的目标,确定模型的输入输出参数。为了满足 优化燃烧减少排放的需求,本发明选取柴油机性能参数:柴油机输出功率、燃油消耗率、NOx生成量,以及燃烧过程约束参数:空燃比及爆压,共五个量作为模型的输出参数;选取喷油正时、进气门开启时刻,喷油压力以及循环喷油量作为输入参数。1. According to the goal of controlling the combustion performance of the diesel engine, the input and output parameters of the model are determined. In order to meet the needs of optimizing combustion and reducing emissions, the present invention selects diesel engine performance parameters: diesel engine output power, fuel consumption rate, NOx generation, and combustion process constraint parameters: air-fuel ratio and explosion pressure, a total of five quantities as the output parameters of the model; selects injection timing, intake valve opening time, injection pressure and cycle injection amount as input parameters.
2.1、以转速为特征的不同工况功率覆盖:为使得柴油机在任意给定转速下,通过本 发明方法所得到的模型进行优化控制,需要对所建立的若干定值转速对应的子模型满足相 邻转速的子模型间功率相互覆盖。在各转速推进工况所对应的标准喷油量上下调整循环喷油量及其他输入参数改变柴油机输出功率,使得功率在一定范围变化,并且不同转速工况 的功率实现相邻转速段的功率覆盖。在GT-Power仿真模型中进行数据采集。已知某船用 柴油机的额定功率为1,对应的标准转速与标准循环喷油量分别为A、a,75%、50%、25% 负荷工况的功率分别为0.75、0.5、0.25,其按照螺旋桨推进特性曲线所对应的转速分别为 B、C、D,对应的标准循环喷油量分别为b、c、d。2.1. Power coverage of different working conditions characterized by speed: In order to optimize the control of the diesel engine under any given speed by the model obtained by the method of the present invention, it is necessary to satisfy the mutual coverage of the power between the sub-models of adjacent speeds for the sub-models corresponding to the several fixed speeds established. The output power of the diesel engine is changed by adjusting the cycle injection amount and other input parameters up and down at the standard injection amount corresponding to each speed propulsion working condition, so that the power changes within a certain range, and the power of different speed working conditions achieves power coverage of adjacent speed sections. Data collection is performed in the GT-Power simulation model. It is known that the rated power of a marine diesel engine is 1, and the corresponding standard speed and standard cycle injection amount are A and a respectively, and the power of 75%, 50%, and 25% load conditions are 0.75, 0.5, and 0.25 respectively. The speeds corresponding to the propeller propulsion characteristic curve are B, C, and D respectively, and the corresponding standard cycle injection amounts are b, c, and d respectively.
固定定值转速工况的转速为标准转速A、B、C、D,在每个工况标准循环喷油量左右,改变喷油量使其输出功率改变,最终在A转速为特征的负荷工况下,功率变化为[85%,110%];在B转速为特征的负荷工况下,功率变化为[60%,85%];在C转速为特征的 负荷工况下,功率变化为[35%,60%];在D转速为特征的负荷工况下,功率变化为 [10%,35%]。The speeds of the fixed speed conditions are standard speeds A, B, C, and D. The injection amount is changed around the standard cycle injection amount of each condition to change its output power. Finally, under the load condition characterized by speed A, the power changes to [85%, 110%]; under the load condition characterized by speed B, the power changes to [60%, 85%]; under the load condition characterized by speed C, the power changes to [35%, 60%]; under the load condition characterized by speed D, the power changes to [10%, 35%].
2.2、确定仿真模型激励信号的类型与信号变化时间间隔。选取阶跃信号作为模型辨 识的激励信号,同时为了充分激励系统,输入信号要尽可能持续较长时间,但在实际仿真 中,过长时间的激励会导致过长的计算时间,且得到的数据对模型辨识的结果精度没有太大的帮助,所以对激励信号需要选择合适的持续时间。选择阶跃信号持续时间分别为1s,2s与达到稳态,其归一化后的GT-Power仿真结果如图2a至图2c所示。2.2. Determine the type of simulation model excitation signal and the time interval of signal change. Select the step signal as the excitation signal for model identification. At the same time, in order to fully excite the system, the input signal should last as long as possible. However, in actual simulation, too long excitation will lead to too long calculation time, and the data obtained will not be of much help to the accuracy of the model identification results. Therefore, it is necessary to select a suitable duration for the excitation signal. The step signal duration is selected as 1s, 2s and reaches steady state, and the normalized GT-Power simulation results are shown in Figures 2a to 2c.
由图2a至图2c可以看出,当信号持续时间为2s时,与稳态数据数值的变化趋势两方面都非常接近,此时既能体现不同信号对仿真模型的激励作用又可以减小采样时间,所以选择阶跃信号的持续时间为2s。It can be seen from Figure 2a to Figure 2c that when the signal duration is 2s, it is very close to the change trend of the steady-state data value. At this time, it can not only reflect the excitation effect of different signals on the simulation model but also reduce the sampling time, so the duration of the step signal is selected to be 2s.
以100%负荷工况为例,GT-Power模型的激励信号如图3所示,Simulink与GT-Power 仿真模型耦合的Simulink模型如图4所示。Taking the 100% load condition as an example, the excitation signal of the GT-Power model is shown in FIG3 , and the Simulink model coupled with the GT-Power simulation model is shown in FIG4 .
3.1、建立定值转速工况的神经网络子模型。将通过GT-Power仿真模型采样得到的每 个定值转速工况的330个数据分为训练数据与验证数据,随机抽取10%作为验证数据,其余作为训练数据。3.1. Establish the neural network sub-model of the constant speed condition. The 330 data of each constant speed condition obtained by sampling the GT-Power simulation model are divided into training data and verification data. 10% are randomly selected as verification data, and the rest are used as training data.
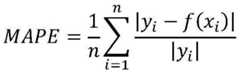
所有的训练数据按一定的比例在每次训练前随机分组(70%、15%、15%)依次用于 模型训练时的训练、验证和测试,用均方差MSE与拟合优度R2判定神经网络训练效果。采样结束后抽取的10%的验证数据将作为完全不同于训练数据的一组数据,用训练好的神经网络模型进行拟合,并将得到的数据与原数据对比进行误差分析,用平均相对误差百分比MAPE判断模型泛化效果。All training data are randomly divided into groups (70%, 15%, 15%) according to a certain ratio before each training and used for training, verification and testing in model training. The mean square error MSE and goodness of fitR2 are used to determine the training effect of the neural network. After sampling, 10% of the verification data extracted will be used as a group of data completely different from the training data. The trained neural network model will be used for fitting, and the obtained data will be compared with the original data for error analysis. The average relative error percentage MAPE is used to determine the generalization effect of the model.
其中:yi为数据实际值,f(xi)为模型预测值,为数据实际值的平均数。Where:yi is the actual data value, f(xi ) is the model prediction value, is the average of the actual data values.
训练时使用MATLAB神经网络工具箱,训练算法选择Levenberg-Marquardt算法,不同负荷工况的神经网络隐含层结构及其误差分析指标如表1所示:The MATLAB neural network toolbox was used for training, and the Levenberg-Marquardt algorithm was selected as the training algorithm. The hidden layer structure of the neural network and its error analysis indicators under different load conditions are shown in Table 1:
表1不同工况神经网络模型Table 1 Neural network models under different working conditions
将随机选取的10%与训练数据不同的验证数据代入到建立好的单一工况神经网络模 型中,并通过平均相对误差百分比MAPE对其进行评价,MAPE越小,神经网络模型的预测泛化能力越强。各个工况下验证数据输出参数与拟合输出参数的平均相对误差百分比MAPE如表2所示:10% of the randomly selected validation data that is different from the training data is substituted into the established single-condition neural network model, and the average relative error percentage MAPE is used to evaluate it. The smaller the MAPE, the stronger the prediction generalization ability of the neural network model. The average relative error percentage MAPE of the validation data output parameters and the fitting output parameters under various working conditions is shown in Table 2:
表2不同负荷工况误差分析Table 2 Error analysis of different load conditions
3.2、建立定值转速的神经网络子模型后,通过Takagi-Sugeno模糊神经网络原理,进 行结合,使得局部子模型结合成为全转速范围的模型。T-S模糊神经网络即为 Takagi-Sugeno模糊模型,属于层次模型。其基本原则是一种分治策略,系统空间被细分 为多个更小的子空间,并使用单个子模型进行识别。所以复杂的问题被细分为多个更简单 的问题,然后使用更简单的模型来识别这些问题。3.2. After establishing the neural network sub-model of the constant speed, the Takagi-Sugeno fuzzy neural network principle is used to combine the local sub-models into a model of the full speed range. The T-S fuzzy neural network is the Takagi-Sugeno fuzzy model, which is a hierarchical model. Its basic principle is a divide-and-conquer strategy, where the system space is subdivided into multiple smaller sub-spaces and a single sub-model is used for identification. Therefore, complex problems are subdivided into multiple simpler problems, and then simpler models are used to identify these problems.
模糊神经网络的输出可以表示为:The output of the fuzzy neural network can be expressed as:
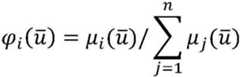
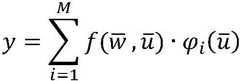
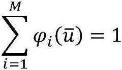
其中,y表示全转速范围内的模型预测输出,是所有局部子模型f(·)的加权和;有效 性函势用来确定被加权子模型的权值系数,模型使用的有效性函数为高斯函数cij为中心点,un为区间内的不同转速值,σij为标准方差,设计的原则为1)2)根据子模型的转速作用域,确定中参数。Where y represents the model prediction output in the full speed range, which is the weighted sum of all local sub-models f(·); the effectiveness function Used to determine the weight coefficient of the weighted sub-model. The validity function used by the model is the Gaussian function cij is the center point,un is the different speed values in the interval, σij is the standard deviation, The design principles are 1) 2) According to the speed range of the sub-model, determine Medium parameters.
本发明方法令不同定值转速工况的神经网络子模型在相邻转速区间内两两加权插值, 即两个相邻的定值转速工况神经网络子模型的转速区间内,只有这两个子模型起作用,其 余子模型转速不在此有效性函数的覆盖范围内,权重为0。故式可 以化简为:The method of the present invention makes the neural network sub-models of different constant speed conditions perform weighted interpolation in pairs in adjacent speed intervals, that is, in the speed interval of two adjacent constant speed conditions neural network sub-models, only these two sub-models are effective, and the speeds of the remaining sub-models are not within the coverage of this validity function, and the weights are 0. Therefore, It can be simplified to:
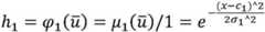
y=fa·h1+fb·h2y=fa ·h1 +fb ·h2
其中:in:
其中,fa等于输入数据经过神经网络子模型1拟合得到的输出;fb等于输入数据经过 神经网络子模型2拟合得到的输出;h1为fa的权重;h2为fb的权重;c1为神经网络子模型 1的中心点,即为神经网络子模型1的定值转速值;σ1为神经网络子模型1的标准方差。Among them,fa is equal to the output obtained by fitting the input data through
根据不同定值转速工况间的数据特性,当h1=1时,输出y等于神经网络子模型1的拟 合的输出,当h1=0时,输出y等于神经网络子模型2的拟合输出。即在一个加权区间内,区间的左端点h1=1,右端点h1=0。According to the data characteristics between different constant speed conditions, when h1 =1, the output y is equal to the fitted output of
所以根据高斯函数,当θ=0时,So according to the Gaussian function, when θ=0,
如果x=3δ:If x = 3δ:
f(x)=e-4.5≈0f(x)=e-4.5 ≈0
故当区间的半宽长等于三倍的标准差时,可以实现区间的左端点h1=1,右端点h1=0。 不同定值转速工况间的有效性函数即模糊加权函数如图5所示。Therefore, when the half width of the interval is equal to three times the standard deviation, the left end point of the interval h1 = 1 and the right end point h1 = 0 can be achieved. The validity function between different constant speed conditions, namely the fuzzy weighted function, is shown in FIG5 .
得到的全转速工况范围基于T-S模糊的柴油机燃烧性能智能预测模型如图6所示,不 同定值转速工况的神经网络子模型通过有效性函数进行模糊加权最终得到智能预测模型 的拟合输出结果。The obtained intelligent prediction model of diesel engine combustion performance based on T-S fuzzy in the full speed range is shown in Figure 6. The neural network sub-models of different constant speed conditions are fuzzy weighted by the effectiveness function to finally obtain the fitting output result of the intelligent prediction model.
4、设计新的仿真模型工况并对其采样,将采样得到的数据作为全转速范围柴油机燃 烧过程模型的验证数据并代入其中验证建模效果。根据船用柴油机螺旋桨特性公式,确定 一个新的工况的转速,并将喷油时刻与循环喷油量通过DOE寻优,得到最佳参数。4. Design a new simulation model working condition and sample it. Use the sampled data as the verification data of the diesel engine combustion process model in the full speed range and substitute it into it to verify the modeling effect. According to the propeller characteristic formula of the marine diesel engine, determine the speed of a new working condition, and optimize the injection time and the cycle injection amount through DOE to obtain the best parameters.
其中:NP-螺旋桨所吸收的功率;KN-功率系数;no-螺旋桨的转速;m-指数,m=3。Where:NP - power absorbed by the propeller;KN - power coefficient;no - speed of the propeller; m - index, m = 3.
在GT-Power中修改转速、喷油时刻、循环喷油量及边界条件(包括:进气压力、排气压力与排气温度),建立85%、65%、35%三个不同螺旋桨曲线对应负荷的新工况,激 励信号设计为两种:一种为给定转速变扭矩信号,激励仍然为最小时间间隔为2s的阶跃 信号,如图7所示;一种为变转速变扭矩信号,激励仍然为最小时间间隔为2s的阶跃信 号,并且转速也产生阶跃变化,激励信号如图8所示,将不同输入在仿真模型中采样,得 到仿真输出数据,并将同样的输入代入到全转速工况智能预测模型中,得到拟合数据,对 比拟合数据与仿真数据并计算其平均相对误差。85%工况的仿真验证数据与智能预测模型 拟合数据对比如图9a至图9d所示,不同新建工况的仿真验证数据与拟合数据对比得到的 具体验证效果MAPE如表3所示:In GT-Power, the speed, injection timing, cycle injection amount and boundary conditions (including intake pressure, exhaust pressure and exhaust temperature) are modified to establish new working conditions corresponding to loads of three different propeller curves of 85%, 65% and 35%. Two types of excitation signals are designed: one is a given speed variable torque signal, and the excitation is still a step signal with a minimum time interval of 2s, as shown in Figure 7; the other is a variable speed variable torque signal, and the excitation is still a step signal with a minimum time interval of 2s, and the speed also produces a step change. The excitation signal is shown in Figure 8. Different inputs are sampled in the simulation model to obtain simulation output data, and the same input is substituted into the full speed working condition intelligent prediction model to obtain fitting data, compare the fitting data with the simulation data and calculate their average relative error. The comparison of the simulation verification data of the 85% working condition and the fitting data of the intelligent prediction model is shown in Figures 9a to 9d. The specific verification effect MAPE obtained by comparing the simulation verification data and fitting data of different new working conditions is shown in Table 3:
表3全工况模型不同工况数据验证效果Table 3 Verification results of different working condition data of full working condition model
从图9a至图9d可以看出,验证工况的拟合数据误差基本符合精度要求,高工况拟合 误差很小,拟合数据预测精确,低工况由于燃烧恶化和本身的性能参数较小,所以平均相 对误差变大,但数据误差在合理范围内。全工况智能预测模型能较好的预测未知工况的燃 烧性能参数,有较好的预测泛化能力。As can be seen from Figure 9a to Figure 9d, the fitting data error of the verification condition basically meets the accuracy requirements. The fitting error of the high condition is very small, and the fitting data prediction is accurate. The average relative error of the low condition becomes larger due to the deterioration of combustion and the small performance parameters of the low condition, but the data error is within a reasonable range. The full-condition intelligent prediction model can better predict the combustion performance parameters of unknown conditions and has good prediction generalization ability.
通过区别于训练工况的完全未知工况数据的验证,柴油机全转速工况燃烧智能预测模 型即面向柴油机燃烧优化控制的模糊神经网络模型有着良好的预测泛化能力。Through verification with completely unknown operating condition data that is different from the training conditions, the intelligent prediction model of diesel engine full-speed combustion, i.e., the fuzzy neural network model for diesel engine combustion optimization control, has good prediction generalization ability.
本发明的上述算例仅为详细地说明本发明的计算模型和计算流程,而并非是对本发明 的实施方式的限定。对于所属领域的普通技术人员来说,在上述说明的基础上还可以做出 其它不同形式的变化或变动,这里无法对所有的实施方式予以穷举,凡是属于本发明的技 术方案所引伸出的显而易见的变化或变动仍处于本发明的保护范围之列。The above calculation examples of the present invention are only used to illustrate the calculation model and calculation process of the present invention in detail, and are not intended to limit the implementation methods of the present invention. For ordinary technicians in the relevant field, other different forms of changes or modifications can be made based on the above description. It is impossible to list all the implementation methods here. All obvious changes or modifications derived from the technical solution of the present invention are still within the scope of protection of the present invention.
| Application Number | Priority Date | Filing Date | Title |
|---|---|---|---|
| CN202210686148.XACN114934848B (en) | 2022-06-16 | 2022-06-16 | Fuzzy neural network modeling method for optimizing control of combustion performance of diesel engine |
| Application Number | Priority Date | Filing Date | Title |
|---|---|---|---|
| CN202210686148.XACN114934848B (en) | 2022-06-16 | 2022-06-16 | Fuzzy neural network modeling method for optimizing control of combustion performance of diesel engine |
| Publication Number | Publication Date |
|---|---|
| CN114934848A CN114934848A (en) | 2022-08-23 |
| CN114934848Btrue CN114934848B (en) | 2023-04-07 |
| Application Number | Title | Priority Date | Filing Date |
|---|---|---|---|
| CN202210686148.XAActiveCN114934848B (en) | 2022-06-16 | 2022-06-16 | Fuzzy neural network modeling method for optimizing control of combustion performance of diesel engine |
| Country | Link |
|---|---|
| CN (1) | CN114934848B (en) |
| Publication number | Priority date | Publication date | Assignee | Title |
|---|---|---|---|---|
| CN117236086B (en)* | 2023-11-16 | 2024-01-19 | 北京理工大学 | Prediction method for highest reinforcement degree of diesel engines with different cylinder diameters |
| Publication number | Priority date | Publication date | Assignee | Title |
|---|---|---|---|---|
| US6941289B2 (en)* | 2001-04-06 | 2005-09-06 | Sas Institute Inc. | Hybrid neural network generation system and method |
| DE102010028266A1 (en)* | 2010-04-27 | 2011-10-27 | Robert Bosch Gmbh | Control device and method for calculating an output for a controller |
| CN107269408B (en)* | 2017-05-15 | 2022-08-05 | 吉林大学 | Diesel engine optimized combustion controller and simulation model control method |
| US10634081B2 (en)* | 2018-02-05 | 2020-04-28 | Toyota Jidosha Kabushiki Kaisha | Control device of internal combustion engine |
| JP7231144B2 (en)* | 2019-07-17 | 2023-03-01 | 株式会社トランストロン | Engine control device and neural network program it has |
| JP2021032116A (en)* | 2019-08-22 | 2021-03-01 | トヨタ自動車株式会社 | Vehicle control device, vehicle learning system, and vehicle learning device |
| JP7206407B2 (en)* | 2019-09-26 | 2023-01-17 | 日立Astemo株式会社 | Control device for internal combustion engine |
| CN113804446B (en)* | 2020-06-11 | 2024-11-01 | 卓品智能科技无锡股份有限公司 | Diesel engine performance prediction method based on convolutional neural network |
| CN112241609A (en)* | 2020-10-15 | 2021-01-19 | 吉林大学 | Real-time estimating system for NOx emission of diesel engine |
| CN112597658B (en)* | 2020-12-28 | 2022-02-18 | 哈尔滨工程大学 | Multi-model fault diagnosis method for marine diesel engine based on working condition identification |
| CN113554153A (en)* | 2021-07-23 | 2021-10-26 | 潍柴动力股份有限公司 | Method, device, computer equipment and medium for forecasting nitrogen oxide emissions |
| CN113935125A (en)* | 2021-09-09 | 2022-01-14 | 西华大学 | BP neural network prediction model optimization method for diesel engine emission performance |
| Publication number | Publication date |
|---|---|
| CN114934848A (en) | 2022-08-23 |
| Publication | Publication Date | Title |
|---|---|---|
| Gharehghani et al. | Application of machine learning tools for constrained multi-objective optimization of an HCCI engine | |
| Zareei et al. | Optimization and study of performance parameters in an engine fueled with hydrogen | |
| Ji et al. | Multi-objective optimization of operating parameters for a gasoline Wankel rotary engine by hydrogen enrichment | |
| US10991174B2 (en) | Machine learning device of amount of unburned fuel, machine learning method, learned model, electronic control unit, method of production of electronic control unit, and machine learning system | |
| Li et al. | Multi-objective optimization of the Atkinson cycle gasoline engine using NSGA Ⅲ coupled with support vector machine and back-propagation algorithm | |
| Nikzadfar et al. | Investigating a new model-based calibration procedure for optimizing the emissions and performance of a turbocharged diesel engine | |
| Yang et al. | Model-based stochastic optimal air–fuel ratio control with residual gas fraction of spark ignition engines | |
| CN105116730B (en) | Hydrogen-fuel engine electronic spark advance angle and optimizing system and its optimization method based on Particle Group Fuzzy Neural Network | |
| CN107203832B (en) | Supercharged diesel engine optimal EGR performance evaluation method based on subjective and objective weighting-multi-objective grey decision-grey correlation analysis | |
| CN106066606A (en) | Hydrogen internal combustion engine ignition timing calibration optimization system based on L M neutral net and optimization method thereof | |
| Jo et al. | Comparative study of the artificial neural network with three hyper-parameter optimization methods for the precise LP-EGR estimation using in-cylinder pressure in a turbocharged GDI engine | |
| Alcan et al. | Estimating soot emission in diesel engines using gated recurrent unit networks | |
| Shin et al. | Designing a steady-state experimental dataset for predicting transient NOx emissions of diesel engines via deep learning | |
| CN109187038A (en) | A method of emulation obtains boat diesel engine fault data | |
| CN114934848B (en) | Fuzzy neural network modeling method for optimizing control of combustion performance of diesel engine | |
| CN107476903A (en) | A kind of supercharged diesel engine EGR Performance Evaluations and Optimum EGR rate determine method | |
| de Nola et al. | A Model-Based Computer Aided Calibration Methodology Enhancing Accuracy, Time and Experimental Effort Savings Through Regression Techniques and Neural Networks | |
| CN112415892B (en) | Gasoline engine starting calibration control parameter optimization method | |
| CN108757228A (en) | A kind of supercharged diesel engine EGR performance estimating methods | |
| Xia et al. | Constrained optimization of fuel efficiency for RCCI engines | |
| Wang et al. | Multiobjective optimization of diesel particulate filter regeneration conditions based on machine learning combined with intelligent algorithms | |
| Wang et al. | Integrated Machine Learning-Based Intelligent Optimization for Clean and Efficient Operation of Diesel Engines and Diesel Particulate Filters in Dual Modes | |
| CN115130246A (en) | Parameterized design method for the diameter of the intake and exhaust valves of diesel engines with different degrees of strengthening | |
| Finesso et al. | Offline and real-time optimization of EGR rate and injection timing in diesel engines | |
| CN112182779A (en) | Gasoline engine online calibration method based on simulated annealing algorithm |
| Date | Code | Title | Description |
|---|---|---|---|
| PB01 | Publication | ||
| PB01 | Publication | ||
| SE01 | Entry into force of request for substantive examination | ||
| SE01 | Entry into force of request for substantive examination | ||
| GR01 | Patent grant | ||
| GR01 | Patent grant |