














技术领域technical field
本发明属于肌电数据分析技术领域,更为具体地讲,涉及一种基于疲劳分析的肌力估计方法。The invention belongs to the technical field of electromyography data analysis, and more particularly, relates to a method for estimating muscle strength based on fatigue analysis.
背景技术Background technique
大脑可激活肌肉,肌肉激活后收缩产生电信号,从而产生机械力。人体的任何一种运动,包括咀嚼、眨眼等微小动作以及跑步、弹跳、托举等大型运动都需要通过相应的肌肉收缩实现。不同的运动需要的肌肉不同,有些运动只需要一种肌肉参与,而有些运动需要多种肌肉共同参与。肌力即肌肉收缩强度,相关研究在步态分析、骨科、康复、人体工程学设计、触觉技术、远距手术和人机交互等许多应用中都具有重要的意义。The brain activates muscles, which then contract to generate electrical signals that generate mechanical force. Any kind of movement of the human body, including small movements such as chewing and blinking, as well as large-scale movements such as running, bouncing, and lifting, need to be achieved through corresponding muscle contractions. Different sports require different muscles. Some sports only require the participation of one type of muscle, while some sports require the participation of multiple muscles. Muscle strength is the strength of muscle contraction, and related research is of great significance in many applications such as gait analysis, orthopedics, rehabilitation, ergonomic design, haptic technology, telesurgery, and human-computer interaction.
目前业内多采用肌电-肌力模型来进行肌力估计。肌电-肌力是一种非线性并且动态变化的关系,非线性等级主要取决于施力时肌肉纤维的组合方式、收缩的时间以及力等级,而动态关系是因为肌肉缩短效应以及电气时延(即肌电信号到产生的时延)所致。因此,建立的肌电-肌力模型是否可靠取决于该模型能否捕获系统的动态变化以及非线性。除需要表述系统动态与非线性的困难外,运动模式、肌肉状态及个体差异性等都会影响肌力估计精度。肌肉疲劳也是其中一个重要且常见的影响因素,但以往许多实验研究避开了肌肉疲劳问题。然而肌肉疲劳严重影响着肌肉激活能力、收缩能力以及肌电信号与力的动态关系,是难以忽视的重点难点。At present, the electromyography-muscle strength model is mostly used in the industry to estimate muscle strength. EMG-muscle force is a nonlinear and dynamic relationship. The nonlinear level mainly depends on the combination of muscle fibers when the force is applied, the time of contraction and the force level, while the dynamic relationship is due to the muscle shortening effect and electrical delay. (that is, the time delay from the EMG signal to the generation). Therefore, the reliability of the established EMG-muscle force model depends on whether the model can capture the dynamic changes and nonlinearities of the system. In addition to the difficulty of expressing system dynamics and nonlinearity, motion patterns, muscle states, and individual differences all affect the accuracy of muscle force estimation. Muscle fatigue is also an important and common factor, but many previous experimental studies have avoided the problem of muscle fatigue. However, muscle fatigue seriously affects the ability of muscle activation, contraction, and the dynamic relationship between EMG signals and force, which is a key difficulty that cannot be ignored.
目前关于疲劳状态下的肌力估计研究较少。Soo等人提出了一种基于频带技术的力估计模型,发现疲劳程度越大,该模型相较于传统的RMS-力模型的改善效果越明显。Na等人提出了一种结合表面肌电和肌动模型的疲劳状态下力估计方法,发现随着肌肉疲劳的加深,肌动模型的峰值降低而收缩时间增加。中国科学技术大学陈香教授团队利用疲劳趋势修正了多项式模型和Hill模型,一定程度上消除了疲劳对肌力预测的影响。Asefi等人中使用拉盖尔模型分别对三段疲劳数据训练并预测,发现三段数据的拉盖尔一阶核系数的峰值与中值频率均存在下降趋势,认为可以将一阶核峰值和二阶高频成分作为疲劳发生的指标,并实现了等长收缩下受肌肉疲劳影响的肌电-肌力动态模型,识别了肌电-肌力的动态关系。但是以上方法对于疲劳分析的效果有限,难以在实际应用中对肌力估计性能实现实质性的提升。At present, there are few studies on the estimation of muscle strength under fatigue. Soo et al. proposed a force estimation model based on the frequency band technique, and found that the greater the degree of fatigue, the more obvious the improvement effect of the model compared to the traditional RMS-force model. Na et al. proposed a force estimation method under fatigue state combining surface EMG and muscle action models, and found that with the deepening of muscle fatigue, the peak value of the muscle action model decreased and the contraction time increased. The team of Professor Chen Xiang of the University of Science and Technology of China modified the polynomial model and the Hill model by using the fatigue trend, which eliminated the influence of fatigue on muscle strength prediction to a certain extent. Asefi et al. used the Laguerre model to train and predict the three segments of fatigue data, and found that the peak and median frequencies of the Laguerre first-order kernel coefficients of the three-segment data showed a downward trend. The second-order high-frequency component is used as an indicator of fatigue, and a dynamic model of EMG-muscle strength under isometric contraction affected by muscle fatigue is realized, and the dynamic relationship between EMG and muscle strength is identified. However, the above methods have limited effect on fatigue analysis, and it is difficult to achieve substantial improvement in muscle strength estimation performance in practical applications.
发明内容SUMMARY OF THE INVENTION
本发明的目的在于克服现有技术的不足,提供一种基于疲劳分析的肌力估计方法,通过引入疲劳特征,结合LVN网络,提高肌力估计的准确性和鲁棒性。The purpose of the present invention is to overcome the deficiencies of the prior art and provide a method for estimating muscle strength based on fatigue analysis. By introducing fatigue characteristics and combining with LVN network, the accuracy and robustness of muscle strength estimation can be improved.
为了实现上述发明目的,本发明基于疲劳分析的肌力估计方法包括以下步骤:In order to achieve the above object of the invention, the muscle strength estimation method based on fatigue analysis of the present invention comprises the following steps:
S1:对于K个样本对象,采集得到每个样本对象在预定动作下的表面肌电信号和肌力信号,按照预设方法进行预处理后,得到预处理后的表面肌电信号xk(i)与肌力信号yk(i),其中i=1,...,N,N表示信号长度;S1: For K sample objects, collect and obtain the surface EMG signal and muscle strength signal of each sample object under the predetermined action, and after preprocessing according to the preset method, obtain the preprocessed surface EMG signal xk (i ) and muscle strength signal yk (i), where i=1,...,N, N represents the signal length;
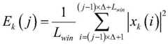
S2:采用长度为Lwin、滑动步长为Δ的滑动窗口在表面肌电信号xk(i)进行滑动提取信号段,计算每个信号段的平均瞬时能量,第j个信号段的平均瞬时能量Ek(j)的计算公式如下:S2: Use a sliding window with a length of Lwin and a sliding step size of Δ to perform sliding extraction of signal segments on the surface EMG signal xk (i), calculate the average instantaneous energy of each signal segment, and the average instantaneous energy of the jth signal segment The formula for calculating the energy Ek (j) is as follows:
其中,j=1,2,…,Npart,Npart表示划分得到的信号段数量;Among them, j=1,2,...,Npart , and Npart represents the number of signal segments obtained by division;
设置能量阈值当且则将第j+1个信号段的起点作为活动段的起点,当且则将第j个信号段的终点作为活动段的终点,其余情况则不作任何操作,从而得到表面肌电信号xk(i)的活动段划分;Set energy threshold when and Then the starting point of the j+1th signal segment is taken as the starting point of the active segment, when and Then the end point of the jth signal segment is taken as the end point of the active segment, and no operation is performed in other cases, so as to obtain the active segment division of the surface EMG signal xk (i);
记表面肌电信号xk(i)所得到的活动段数量为Dk,第d个活动段表示为分别表示表面肌电信号xk(i)第d个活动段的起点和终点的原始采样点序号,d=1,2,…,Dk;The number of active segments obtained by denoting the surface EMG signal xk (i) is Dk , and the d-th active segment is expressed as Respectively represent the original sampling point numbers of the start and end points of the d-th active segment of the surface EMG signal xk (i), d=1, 2, . . . , Dk ;
S3:根据实际需要设置表面肌电信号中与疲劳相关的G个特征,然后对于每个表面肌电信号xk(i)分别提取每个活动段的G个特征fk,d,g,g=1,2,…,G;S3: Set G features related to fatigue in the surface EMG signal according to actual needs, and then extract G features fk,d,g , g of each active segment for each surface EMG signal xk (i) respectively =1,2,...,G;
S4:根据活动段划分对每个表面肌电信号xk(i)分别构建其G个疲劳特征信号Fk,g(i),即当采样点则第g个特征对应的疲劳特征信号Fk,g(i)=fk,d,g,否则Fk,g(i)=0;S4: Construct G fatigue characteristic signals Fk,g (i) for each surface EMG signal xk (i) according to the active segment division, that is, when the sampling point Then the fatigue characteristic signal Fk,g (i)=fk,d,g corresponding to the g-th feature, otherwise Fk,g (i)=0;
S5:构建多输入LVN网络,输入分别是表面肌电信号和M个疲劳特征信号,输出为肌力信号;然后将各个样本对象的表面肌电信号xk(i)和对应的疲劳特征信号作为多输出LVN网络的输入,对应的肌电信号作为期望输出,对多输入LVN网络进行训练;S5: Construct a multi-input LVN network, the inputs are the surface EMG signal and M fatigue characteristic signals respectively, and the output is the muscle strength signal; then the surface EMG signal xk (i) of each sample object and the corresponding fatigue characteristic signal are used as The input of the multi-output LVN network, the corresponding EMG signal is used as the expected output, and the multi-input LVN network is trained;
S6:当需要进行相同动作的肌力估计时,采用与样本对象相同的方法采集表面肌电信号并预处理后得到表面肌电信号x′(i),进行活动段划分后提取出各个活动段与疲劳相关的G个特征,生成G个疲劳特征信号F′g(i),然后将表面机电信号x′(i)和G个疲劳特征信号F′g(i)输入训练好的多输入LVN网络,得到估计的肌力信号。S6: When the muscle strength of the same action needs to be estimated, the surface EMG signal is collected by the same method as the sample object, and the surface EMG signal x'(i) is obtained after preprocessing, and each active segment is extracted after dividing the active segment. G features related to fatigue, generate G fatigue feature signals F′g (i), and then input the surface electromechanical signal x′ (i) and G fatigue feature signals F′g (i) into the trained multi-input LVN network to obtain an estimated muscle strength signal.
本发明基于疲劳分析的肌力估计方法,采集得到每个样本对象在预定动作下的表面肌电信号和肌力信号并进行预处理,对表面肌电信号进行活动段划分后计算每个活动段中疲劳相关的特征,构建表面肌电信号对应的疲劳特征信号;构建多输入LVN网络,输入分别是表面肌电信号和M个疲劳特征信号,输出为肌力信号;然后将各个样本对象的表面肌电信号和对应的疲劳特征信号作为多输入LVN网络的输入,对应的肌电信号作为期望输出,对多输入LVN网络进行训练;当需要进行相同动作的肌力估计时,采用与样本对象相同的方法采集并预处理后得到表面肌电信号,然后构建得到疲劳特征信号,输入训练好的多输入LVN网络中,得到肌力估计结果。The muscle strength estimation method based on fatigue analysis of the present invention collects and obtains the surface EMG signal and muscle strength signal of each sample object under a predetermined action, performs preprocessing, divides the surface EMG signal into active segments and calculates each active segment. Fatigue-related features in the middle, construct the fatigue characteristic signal corresponding to the surface EMG signal; build a multi-input LVN network, the inputs are the surface EMG signal and M fatigue characteristic signals respectively, and the output is the muscle strength signal; then the surface of each sample object is The EMG signal and the corresponding fatigue characteristic signal are used as the input of the multi-input LVN network, and the corresponding EMG signal is used as the expected output to train the multi-input LVN network; when the muscle strength estimation of the same action is required, the same as the sample object is used. The method collects and preprocesses the surface EMG signal, and then constructs the fatigue characteristic signal, which is input into the trained multi-input LVN network to obtain the muscle strength estimation result.
本发明具有以下技术效果:The present invention has the following technical effects:
1)本发明首次将LVN网络应用于肌力估计,通过结合疲劳特征,相对于仅采用表面肌电信号进行肌力估计的方法,提高了肌力估计的准确性和鲁棒性;1) The present invention applies the LVN network to muscle strength estimation for the first time, and by combining fatigue characteristics, the accuracy and robustness of muscle strength estimation are improved compared to the method of only using surface EMG signals for muscle strength estimation;
2)本发明从备选特征中筛选出与疲劳程度相关性较强的特征作为疲劳相关特征时,使得对于表面肌电信号的特征描述更加准确,从而提高肌力估计的准确性;2) When the present invention selects a feature with a strong correlation with the degree of fatigue from the alternative features as a fatigue-related feature, the feature description for the surface EMG signal is more accurate, thereby improving the accuracy of muscle strength estimation;
3)本发明对LVN网络的具体结构进行了研究,提出将疲劳特征信号进行融合并对疲劳特征信号融合权重进行局部稀疏性惩罚的优化方式,使得特征权重可以自适应调整的同时突出了修正作用较大的MDF与MPF特征对模型的贡献,进一步提高了肌力估计的准确性;3) The present invention studies the specific structure of the LVN network, and proposes an optimization method that fuses fatigue feature signals and performs local sparsity penalty on the fatigue feature signal fusion weights, so that the feature weights can be adaptively adjusted while highlighting the correction effect. The contribution of larger MDF and MPF features to the model further improves the accuracy of muscle strength estimation;
4)本发明在LVN网络的训练方法上采用了连续域蚁群算法,减少了训练时间,提高了全局寻优性,使训练得到的LVN网络具有更好的性能,以保证精确的肌力估计。4) The present invention adopts the continuous domain ant colony algorithm in the training method of the LVN network, which reduces the training time, improves the global optimization, and enables the LVN network obtained by training to have better performance to ensure accurate muscle strength estimation. .
附图说明Description of drawings
图1是本发明基于疲劳分析的肌力估计方法的具体实施方式流程图;Fig. 1 is the specific embodiment flow chart of the muscle strength estimation method based on fatigue analysis of the present invention;
图2是本实施例中表面肌电信号的预处理流程图;Fig. 2 is the preprocessing flow chart of surface EMG signal in the present embodiment;
图3是本实施例中肌力信号的预处理流程图;Fig. 3 is the preprocessing flow chart of muscle strength signal in the present embodiment;
图4是本实施例中确定疲劳相关特征的流程图;FIG. 4 is a flowchart of determining fatigue-related features in this embodiment;
图5是多输入LVN网络的结构图;Figure 5 is a structural diagram of a multi-input LVN network;
图6是本实施例中基于连续域蚁群训练算法的多输入LVN网络训练流程图;Fig. 6 is the multi-input LVN network training flow chart based on the continuous domain ant colony training algorithm in the present embodiment;
图7是本发明和四种对比方法在肱桡肌恒力疲劳脉冲数据下五种疲劳阶段的肌力估计指标对比图;Fig. 7 is the muscle strength estimation index comparison diagram of the present invention and four kinds of contrasting methods under the brachioradialis constant force fatigue pulse data five kinds of fatigue stages;
图8是本发明和四种对比方法在肱桡肌恒力疲劳脉冲数据下五种疲劳阶段的测试指标显著性分析对比图;Fig. 8 is the test index significance analysis comparison diagram of the present invention and four kinds of contrasting methods under the brachioradialis constant force fatigue pulse data of five kinds of fatigue stages;
图9是本发明和四种对比方法在肱桡肌恒力疲劳脉冲数据下五种疲劳阶段的肌力估计指标对比图;Fig. 9 is the muscle strength estimation index comparison diagram of the present invention and four kinds of contrasting methods under the brachioradialis constant force fatigue pulse data five kinds of fatigue stages;
图10是本发明和四种对比方法在肱桡肌恒力疲劳脉冲数据下五种疲劳阶段的测试指标显著性分析对比图;Fig. 10 is the test index significance analysis contrast diagram of the present invention and four kinds of comparison methods under the brachioradialis constant force fatigue pulse data of five kinds of fatigue stages;
图11是本实施例中肱桡肌上升力脉冲实验中对象4的测试肌电信号图;Fig. 11 is the test electromyogram of
图12是本发明和四种对比方法在肱桡肌上升力脉冲测试中不同疲劳阶段的肌力估计对比图;Fig. 12 is the muscle strength estimation contrast diagram of the present invention and four kinds of contrast methods in different fatigue stages in brachioradialis muscle ascending force pulse test;
图13是本发明和四种对比方法在肱桡肌恒力疲劳脉冲数据下五种疲劳阶段的肌力估计指标对比图;Fig. 13 is the muscle strength estimation index comparison diagram of the present invention and four kinds of comparison methods under the brachioradialis constant force fatigue pulse data of five kinds of fatigue stages;
图14是本发明和四种对比方法在肱桡肌恒力疲劳脉冲数据下五种疲劳阶段的测试指标显著性分析对比图;Fig. 14 is the test index significance analysis contrast diagram of the present invention and four kinds of comparison methods under the brachioradialis constant force fatigue pulse data of five kinds of fatigue stages;
图15是本发明和四种对比方法在四组肱桡肌上升力数据的五个阶段指标对比图。Figure 15 is a comparison chart of the five-stage index of the brachioradialis muscle lifting force data of the present invention and four comparison methods in four groups.
具体实施方式Detailed ways
下面结合附图对本发明的具体实施方式进行描述,以便本领域的技术人员更好地理解本发明。需要特别提醒注意的是,在以下的描述中,当已知功能和设计的详细描述也许会淡化本发明的主要内容时,这些描述在这里将被忽略。The specific embodiments of the present invention are described below with reference to the accompanying drawings, so that those skilled in the art can better understand the present invention. It should be noted that, in the following description, when the detailed description of known functions and designs may dilute the main content of the present invention, these descriptions will be omitted here.
实施例Example
图1是本发明基于疲劳分析的肌力估计方法的具体实施方式流程图。如图1所示,本发明基于疲劳分析的肌力估计方法的具体步骤包括:FIG. 1 is a flow chart of a specific embodiment of the muscle strength estimation method based on fatigue analysis of the present invention. As shown in Figure 1, the specific steps of the muscle strength estimation method based on fatigue analysis of the present invention include:
S101:采集样本信号:S101: Collect sample signal:
对于K个样本对象,采集得到每个样本对象在预定动作下的表面肌电信号和肌力信号,按照预设方法进行预处理后,得到预处理后的表面肌电信号xk(i)与肌力信号yk(i),其中i=1,...,T,T表示信号长度。For K sample objects, the surface EMG signal and muscle strength signal of each sample object under the predetermined action are collected, and after preprocessing according to the preset method, the preprocessed surface EMG signal xk (i) and Muscle strength signal yk (i), where i=1, . . . , T, where T represents the length of the signal.
例如,当预设动作的发力模式为恒力脉冲或上升力脉冲时,表面肌电信号可以选择肱桡肌表面肌电信号或掌长肌表面机电信号,肌力信号可以由握力传感器获取。For example, when the force-generating mode of the preset action is constant force pulse or ascending force pulse, the surface EMG signal can be selected from the brachioradialis surface EMG signal or the palmar longus muscle surface electromechanical signal, and the muscle force signal can be acquired by the grip force sensor.
图2是本实施例中表面肌电信号的预处理流程图。如图2所示,本实施例中表面肌电信号的预处理的具体步骤包括:FIG. 2 is a flow chart of the preprocessing of the surface EMG signal in this embodiment. As shown in Figure 2, the specific steps of the preprocessing of the surface EMG signal in this embodiment include:
S201:去噪处理:S201: Denoising:
由于表面肌电信号会带有运动伪迹和无用成分,因此需要对表面肌电信号进行去噪处理。Since the surface EMG signal will have motion artifacts and unwanted components, it is necessary to denoise the surface EMG signal.
本实施例中对表面肌电信号采用15Hz到400Hz带通滤波器进行滤波以去除噪声。In this embodiment, the surface EMG signal is filtered by a 15 Hz to 400 Hz band-pass filter to remove noise.
S202:滑动平均:S202: Moving Average:
对去噪后的表面肌电信号进行滑动平均,以去掉一些异常突出的尖峰,避免肌力估计失误。A moving average is performed on the denoised surface EMG signal to remove some abnormally prominent peaks and avoid errors in muscle strength estimation.
S203:归一化:S203: Normalize:
为消除不同对象间数据以及同一对象不同组数据的差异性,需要将滑动平均后的表面肌电信号归一化到零均值和单位方差。In order to eliminate the difference between the data between different subjects and the data of different groups of the same subject, it is necessary to normalize the surface EMG signal after moving average to zero mean and unit variance.
S204:降采样:S204: Downsampling:
为了降低后续肌力评估模型训练的时间成本,对归一化后的表面肌电信号按照预设频率进行降采样。In order to reduce the time cost of subsequent training of the muscle strength evaluation model, the normalized surface EMG signal is down-sampled according to the preset frequency.
S205:修正平滑:S205: Corrected smoothing:
研究表明,表面肌电信号服从均值为0、方差为σ2高斯分布,因此可以采用修正平滑方法对降采样后的表面肌电信号进行处理,得到修正平滑后的表面肌电信号。修正平滑法的具体原理和方法可以参考文献“Hayashi H,Furui A,Kurita Y,et al.A variancedistribution model of surface emg signals based on inverse gamma distribution[J].IEEE Transactions on Biomedical Engineering,2017,64(11):2672–2681.DOI:10.1109/TBME.2017.2657121.”Studies have shown that the surface EMG signal follows a Gaussian distribution with a mean of 0 and a variance of σ2. Therefore, the modified smoothing method can be used to process the down-sampled surface EMG signal to obtain the modified and smoothed surface EMG signal. The specific principles and methods of the modified smoothing method can be found in the literature "Hayashi H, Furui A, Kurita Y, et al. A variancedistribution model of surface emg signals based on inverse gamma distribution [J]. IEEE Transactions on Biomedical Engineering, 2017, 64 ( 11):2672–2681.DOI:10.1109/TBME.2017.2657121.”
图3是本实施例中肌力信号的预处理流程图。如图3所示,本实施例中肌力信号的预处理的具体步骤包括:FIG. 3 is a flow chart of the preprocessing of the muscle strength signal in this embodiment. As shown in Figure 3, the specific steps of the preprocessing of the muscle strength signal in this embodiment include:
S301:滑动平均:S301: Moving Average:
本实施例中由于肌力信号采集装置带有滤波处理装置,因此直接对采集的肌力信号进行滑动平均。In this embodiment, since the muscle strength signal acquisition device is provided with a filter processing device, a moving average is directly performed on the collected muscle strength signals.
S302:归一化:S302: Normalize:
采用样本对象在预定动作下的肌力最大值对滑动平均后的肌力信号进行归一化。The muscle strength signal after moving average was normalized with the maximum muscle strength of the sample subject under the predetermined action.
S303:降采样:S303: Downsampling:
同样地,采用表面肌电信号的相同降采样频率对归一化后的肌力信号按照预设频率进行降采样。Likewise, the normalized muscle strength signal is down-sampled according to the preset frequency using the same down-sampling frequency of the surface EMG signal.
S102:表面肌电信号活动段分析:S102: Analysis of active segment of surface EMG signal:
由于肌肉活动不是持续性的,因此表面肌电信号存在活动段和休息段,对于休息段信号没有分析必要,因此需要先对各个表面肌电信号xk(i)进行活动段分析,具体方法如下:Since muscle activity is not continuous, there are active segments and rest segments in the surface EMG signal. It is not necessary to analyze the rest segment signals. Therefore, it is necessary to analyze the active segment of each surface EMG signal xk (i) first. The specific method is as follows :
采用长度为Lwin、滑动步长为Δ的滑动窗口在表面肌电信号xk(i)进行滑动提取信号段,计算每个信号段的平均瞬时能量,第j个信号段的平均瞬时能量Ek(j)的计算公式如下:Using a sliding window with a length of Lwin and a sliding step size of Δ to slide the signal segments on the surface EMG signal xk (i), calculate the average instantaneous energy of each signal segment, and the average instantaneous energy E of the jth signal segment The formula for calculatingk (j) is as follows:
其中,j=1,2,…,Npart,Npart表示划分得到的信号段数量。Among them, j=1,2,...,Npart , and Npart represents the number of signal segments obtained by division.
设置能量阈值当且则将第j+1个信号段的起点作为活动段的起点,当且则将第j个信号段的终点作为活动段的终点,其余情况则不作任何操作,从而得到表面肌电信号xk(i)的活动段划分。Set energy threshold when and Then the starting point of the j+1th signal segment is taken as the starting point of the active segment, when and Then the end point of the jth signal segment is taken as the end point of the active segment, and no operation is performed in other cases, so as to obtain the active segment division of the surface EMG signal xk (i).
记表面肌电信号xk(i)所得到的活动段数量为Dk,第d个活动段表示为分别表示表面肌电信号xk(i)第d个活动段的起点和终点的原始采样点序号,d=1,2,…,Dk。The number of active segments obtained by denoting the surface EMG signal xk (i) is Dk , and the d-th active segment is expressed as Respectively represent the original sampling point numbers of the start and end points of the d-th active segment of the surface EMG signal xk (i), d=1, 2, . . . , Dk .
S103:提取肌电的疲劳相关特征:S103: Extract the fatigue-related features of EMG:
根据实际需要设置表面肌电信号中与疲劳相关的G个特征,然后对于每个表面肌电信号xk(i)分别提取每个活动段的G个特征fk,d,g,g=1,2,…,G。Set G features related to fatigue in the surface EMG signal according to actual needs, and then extract G features fk,d,g of each active segment for each surface EMG signal xk (i), g=1 ,2,…,G.
一般来说表面肌电信号的特征分为时域特征、频率特征和非高斯特征,例如时域特征包括积分肌电值、幅值绝对值均值、幅值绝对值均值的斜率、均方根、波形长度、信号绝对平均值的差分、样本方差、过零率、威尔逊幅值、简单平方累积以及斜率符号变化等,频域特征包括峰值频率、平均频率、总功率、中值频率、平均瞬时频率、谱矩参数等,非高斯特征包括峭度和负熵等。在实际应用中可以通过经验、定性分析和定量分析等技术手段,从以上特征中筛选出与疲劳相关的特征。Generally speaking, the features of surface EMG signals are divided into time domain features, frequency features and non-Gaussian features. For example, time domain features include integral EMG value, mean absolute value of amplitude, slope of mean absolute value of amplitude, root mean square, Waveform length, difference of absolute mean value of signal, sample variance, zero-crossing rate, Wilson amplitude, simple square accumulation and slope sign change, etc. Frequency domain features include peak frequency, average frequency, total power, median frequency, average instantaneous frequency , spectral moment parameters, etc., and non-Gaussian features include kurtosis and negentropy. In practical applications, the fatigue-related characteristics can be screened out from the above characteristics through technical means such as experience, qualitative analysis and quantitative analysis.
图4是本实施例中确定疲劳相关特征的流程图。如图4所示,本实施例中确定疲劳相关特征的具体步骤包括:FIG. 4 is a flowchart of determining fatigue-related features in this embodiment. As shown in FIG. 4 , the specific steps for determining fatigue-related features in this embodiment include:
S401:确定备选特征:S401: Determine candidate features:
根据实际需要确定G′个备选特征。G' candidate features are determined according to actual needs.
S402:提取备选特征:S402: Extract candidate features:
对于每个表面肌电信号xk(i)分别提取每个活动段的G′个特征fk,d,g′,g′=1,2,…,G′,得到每个表面肌电信号xk(i)中第g′个特征对应的特征序列For each surface EMG signal xk (i), extract G′ features fk,d,g′ of each active segment, g′=1,2,…,G′, and obtain each surface EMG signal The feature sequence corresponding to the g′-th feature in xk (i)
S403:获取疲劳值序列:S403: Obtain the fatigue value sequence:
由于动作时间越长,疲劳值越大,因此本实施例中将活动段的序号作为疲劳值并进行归一化,得到各个表面肌电信号xk(i)的疲劳值序列O={1/Dk,2/Dk,…,1}。Since the longer the action time, the greater the fatigue value, so in this embodiment, the serial number of the active segment is taken as the fatigue value and normalized to obtain the fatigue value sequence of each surface EMG signal xk (i) O={1/ Dk ,2/Dk ,…,1}.
S404:计算决定系数:S404: Calculate the coefficient of determination:
对于每个表面肌电信号xk(i),将疲劳值作为自变量、特征值作为因变量,分别对每个特征序列和疲劳值序列O={1/Dk,2/Dk,…,1}进行线性回归,得到决定系数决定系数表示第g′个特征与疲劳程度的线性相关度,可以衡量该特征随疲劳程度变化的程度。决定系数越大,表示第g′个特征受疲劳程度影响的比例越高。反之则越低。For each surface EMG signal xk (i), take the fatigue value as the independent variable and the eigenvalue as the dependent variable. Perform linear regression with the fatigue value sequence O={1/Dk ,2/Dk ,...,1} to obtain the coefficient of determination decisive factor It represents the linear correlation between the g'th feature and the fatigue degree, which can measure the degree of the change of the feature with the fatigue degree. decisive factor The larger the value, the higher the proportion of the g'-th feature affected by the degree of fatigue. On the contrary, it is lower.
对K个表面肌电信号xk(i)中第g′个特征的决定系数进行平均,得到第g′个特征的决定系数Coefficient of determination for the g'th feature in the K surface EMG signals xk (i) Average to get the coefficient of determination of the g'th feature
S405:计算皮尔森相关系数:S405: Calculate the Pearson correlation coefficient:
对于每个表面肌电信号xk(i),分别计算每个特征序列和疲劳值序列O={1/Dk,2/Dk,…,1}的皮尔森相关系数Pk,g′。然后对K个表面肌电信号xk(i)中第g′个特征的皮尔森相关系数Pk,g′进行平均,得到第g′个特征的皮尔森相关系数For each surface EMG signal xk (i), compute each feature sequence separately Pearson correlation coefficient Pk,g′ with the fatigue value series O={1/Dk ,2/Dk ,...,1}. Then average the Pearson correlation coefficient Pk,g′ of the g′-th feature in the K surface EMG signals xk (i) to obtain the Pearson correlation coefficient of the g′-th feature
皮尔森相关系数的值越大,说明特征受疲劳程度影响的比例越高,反之则越低。The larger the value of the Pearson correlation coefficient, the higher the proportion of features affected by the degree of fatigue, and vice versa.
S406:计算SVR系数:S406: Calculate the SVR coefficient:
由于某些肌电特征的变化是非线性的,而决定系数和皮尔森相关系数都只能衡量特征的线性相关性,因此本实施例中还引入了文献“Rogers D R,MacIsaac D T.Acomparison of emg-based muscle fatigue assessments during dynamic contra”中提出的SVR(sensitivity-to-variability,对变化趋势可变性的敏感性)系数,以便在疲劳趋势为非线性时,更准确地评估特征随疲劳程度的变化。SVR系数值越大,说明特征越灵敏。SVR系数的计算方法如下:Since the changes of some EMG features are nonlinear, and both the coefficient of determination and the Pearson correlation coefficient can only measure the linear correlation of the features, the document "Rogers D R, MacIsaac D T. A comparison of emg" is also introduced in this example. The SVR (sensitivity-to-variability) coefficient proposed in -based muscle fatigue assessments during dynamic contra" to more accurately assess the change in characteristics with fatigue when the fatigue trend is non-linear . The larger the value of the SVR coefficient, the more sensitive the feature is. The calculation method of the SVR coefficient is as follows:
对于每个表面肌电信号xk(i),分别对每个特征序列和疲劳值序列O={1/Dk,2/Dk,…,1}进行二阶拟合,拟合多项式如下:For each surface EMG signal xk (i), separately for each feature sequence Perform second-order fitting with the fatigue value sequence O={1/Dk ,2/Dk ,...,1}, and the fitting polynomial is as follows:
其中,a0,a1,a2为待拟合系数,od表示疲劳值序列O中第d个疲劳值。Among them, a0 , a1 , and a2 are the coefficients to be fitted, and od represents thed -th fatigue value in the fatigue value sequence O.
然后采用拟合得到的多项式计算得到每个特征fk,d,g′的拟合特征值采用如下公式计算得到表面肌电信号xk(i)中第g′个特征的SVR系数SVRk,g′:Then use the polynomial obtained by fitting to calculate the fitted eigenvalue of each feature fk, d, g' The SVR coefficient SVRk,g′ of the g′-th feature in the surface EMG signal xk (i) is calculated by the following formula:
其中,maxk,g′、mink,g′表示表面肌电信号xk(i)中所有活动段中第g′个特征的最大值和最小值。Among them, maxk,g′ and mink,g′ represent the maximum and minimum values of the g′-th feature in all active segments in the surface EMG signal xk (i).
对K个表面肌电信号xk(i)中第g′个特征的SVR系数SVRk,g′进行平均,得到第g′个特征的SVR系数Average the SVR coefficient SVRk,g' of the g'th feature in the K surface EMG signals xk (i) to obtain the SVR coefficient of the g'th feature
S407:筛选疲劳相关的特征:S407: Screen for fatigue-related features:
对于G′个备选特征,筛选出SVR系数大于预设阈值TSVR、决定系数大于预设阈值且皮尔森相关系数大于预设阈值TP的特征作为疲劳相关的特征。For G' candidate features, filter out the SVR coefficients Greater than the preset threshold TSVR , coefficient of determination greater than the preset threshold and the Pearson correlation coefficient Features greater than the preset thresholdTP are regarded as fatigue-related features.
通过以上三种参数,即可筛选出与疲劳程度相关性较大,且对疲劳程度变化的反应较为灵敏的特征,以便提高肌力估计的准确度。本实施例中,通过上述筛选方法,再结合定性分析和经验,筛选出的特征包括积分肌电值(Integration of absolute of EMGsignal,IEMG)、幅值绝对值均值(Mean Absolute Value,MAV)、均方根(Root Mean Square,RMS)、信号绝对平均值的差分(Difference absolute mean value of signal,DAMV)、方差(Variance of signal,VAR)、简单平方累积(Simple square integral of signal,SSI)、总功率(Total Power,TP)、平均频率(Mean Spectral Frequency,MPF)、中值频率(MedianFrequency,MDF)、负熵NEGEN、5阶谱距参数FInsm5共11个特征。Through the above three parameters, the characteristics that have a greater correlation with the degree of fatigue and are more sensitive to changes in the degree of fatigue can be screened out, so as to improve the accuracy of muscle strength estimation. In this embodiment, through the above screening method, combined with qualitative analysis and experience, the screened features include integral electromyography (Integration of absolute of EMGsignal, IEMG), mean absolute value of amplitude (Mean Absolute Value, MAV), average Root Mean Square (RMS), Difference absolute mean value of signal (DAMV), Variance of signal (VAR), Simple square integral of signal (SSI), Total Power (Total Power, TP), mean frequency (Mean Spectral Frequency, MPF), median frequency (MedianFrequency, MDF), negative entropy NEGEN, 5th order spectral distance parameter FInsm5 has a total of 11 features.
S104:构建特征信号:S104: Construct the characteristic signal:
根据活动段划分对每个表面肌电信号xk(i)分别构建其G个疲劳特征信号Fk,g(i),即当采样点则第m个特征对应的疲劳特征信号Fk,g(i)=fk,d,g,否则Fk,g(i)=0。也就是说,活动段对应的特征信号由该活动段计算得到的特征值进行填充,休息段对应的特征信号为0,从而特征信号中只包含动作时的肌电特征,更加准确地表征表面肌电信号。而且这样得到的特征信号和表面肌电信号xk(i)等长。According to the active segment division, G fatigue characteristic signals Fk,g (i) are constructed for each surface EMG signal xk (i) respectively, that is, when the sampling point Then the fatigue characteristic signal Fk,g (i)=fk,d,g corresponding to the mth feature, otherwise Fk,g (i)=0. That is to say, the feature signal corresponding to the active segment is filled with the feature value calculated by the active segment, and the feature signal corresponding to the rest segment is 0, so that the feature signal only contains the EMG features during the action, which more accurately characterizes the surface muscle. electric signal. Moreover, the characteristic signal thus obtained is the same length as the surface EMG signal xk (i).
S105:构建并训练多输入LVN网络:S105: Build and train a multi-input LVN network:
LVN(Laguerre-Volterra Network,拉盖尔-沃尔泰拉)网络是基于沃尔泰拉模型(Volterra Mode)、拉盖尔扩展(Laguerre Expasion Technique,LET)、以及标准动态基(Principal Dynamic Modes,PDM)所构建得到的网络模型,其具体原理可以参考文献“GengK,Marmarelis V Z.Methodology of recurrent laguerre–volterra network formodeling nonlinear dynamic systems[J].IEEE Transactions on Neural Networksand Learning Systems,2017,28(9):2196–2208.DOI:10.1109/TNNLS.2016.2581141.”。包括多个输入信号的LVN模型即为多输入LVN网络。图5是多输入LVN网络的结构图。如图5所示,记多输入LVN网络的输入信号数量为N,N个输入xn(t)经各自滤波器组的输出为为第n个输入xn(t)与第jn个拉盖尔函数的卷积,表达式如下:LVN (Laguerre-Volterra Network, Laguerre-Volterra) network is based on Volterra Mode, Laguerre Expasion Technique (LET), and Principal Dynamic Modes, The specific principle of the network model constructed by PDM) can be found in the document "GengK, Marmarelis V Z. Methodology of recurrent laguerre–volterra network for modeling nonlinear dynamic systems [J]. IEEE Transactions on Neural Networks and Learning Systems, 2017, 28 (9 ): 2196–2208.DOI:10.1109/TNNLS.2016.2581141.”. An LVN model that includes multiple input signals is a multi-input LVN network. Figure 5 is a block diagram of a multi-input LVN network. As shown in Figure 5, the number of input signals of the multi-input LVN network is denoted as N, and the outputs of the N inputs xn (t) through their respective filter banks are For the nth input xn (t) and the jnth Laguerre function The convolution of , the expression is as follows:
其中,n=1,...,N;jn=0,...,Ln-1,Ln为第n组输入的拉盖尔函数个数;t=1,...,T,T为数据点长度;M为记忆长度;表示第j个拉盖尔函数,表达式如下:Among them,n =1,...,N; jn=0,...,Ln -1,Ln is the number of Laguerre functions input in the nth group; t=1,...,T , T is the data point length; M is the memory length; Represents the jth Laguerre function, the expression is as follows:
其中,m=0,...,M-1,α为衰减指数,决定拉盖尔函数的收敛性。分别表示从m和j中取v个值的组合计算得到的系数。Among them, m=0,...,M-1, and α is the decay index, which determines the convergence of the Laguerre function. represent the coefficients calculated by taking the combination of v values from m and j, respectively.
第二层输出zh(t)定义如下式所示:The second layer output zh (t) is defined as follows:
其中,h=1,...,H,H表示标准动态基的个数。cq,h表示非线性函数fh(·)的系数,表示从各滤波器组的Ln个输出到H个标准动态基的连接系数。Among them, h=1,...,H, H represents the number of standard dynamic bases. cq,h represent the coefficients of the nonlinear function fh ( ), represents the connection coefficients from the Ln outputs of each filter bank to the H normal dynamic bases.
代入输出第二层输出zh(t)的表达式变形如下:Substitute into output The expression deformation of the second layer output zh (t) is as follows:
因此,第n个输入对应的第h个标准动态基可表示为:Therefore, the h-th standard dynamic basis corresponding to the n-th input can be expressed as:
最后,N输入LVN模型的输出为:Finally, the output of the N input LVN model is:
本发明中用于评估肌力的信号包括表面肌电信号和从表面肌电信号中提取得到的疲劳特征信号,因此本发明中,多输入LVN网络的输入分别是表面肌电信号和M个疲劳特征信号,输出为肌力信号。然后将各个样本对象的表面肌电信号xk(i)和对应的疲劳特征信号作为多输出LVN网络的输入,对应的肌电信号作为期望输出,对多输入LVN网络进行训练。The signals used for evaluating muscle strength in the present invention include surface EMG signals and fatigue characteristic signals extracted from the surface EMG signals. Therefore, in the present invention, the inputs of the multi-input LVN network are the surface EMG signals and M fatigue signals respectively. The characteristic signal, the output is the muscle strength signal. Then, the surface EMG signal xk (i) of each sample object and the corresponding fatigue characteristic signal are used as the input of the multi-output LVN network, and the corresponding EMG signal is used as the expected output to train the multi-input LVN network.
在实际应用中,为了简化LVN网络的结构,提高LVN网络的肌力估计性能,一种优选方式是将LVN网络设置为二输入LVN网络,其中一路输入为表面肌电信号,另一路输入是按照预设的权重wm将M个特征信号进行加权求和所得到的融合特征信号,从而在不减少特征数量的情况下减少输入信号的数量,降低LVN网络的复杂度,提高肌力估计效率。在该二输入LVN网络训练时,可以将权重wm作为待训练参数,以便使融合特征信号更加有效地表示表面肌电信号的特征。In practical applications, in order to simplify the structure of the LVN network and improve the muscle strength estimation performance of the LVN network, a preferred method is to set the LVN network as a two-input LVN network, where one input is the surface EMG signal, and the other input is based on The preset weight wm is a fusion feature signal obtained by weighted summation of M feature signals, thereby reducing the number of input signals without reducing the number of features, reducing the complexity of the LVN network and improving the efficiency of muscle strength estimation. During the training of the two-input LVN network, the weight wm can be used as a parameter to be trained, so that the fused feature signal can more effectively represent the features of the surface EMG signal.
在多输入LVN网络训练时,可以采用归一化均方根误差(Normalized Mean SquareError,NMSE)作为代价函数。当采用M个特征信号融合为一路融合特征信号的方式时,可以在代价函数中加入对特征信号权重的稀疏性惩罚,以提高训练效果。即该方案下二输入LVN网络的代价函数J的计算公式为:When training a multi-input LVN network, the normalized root mean square error (NMSE) can be used as the cost function. When adopting the method of fusing M feature signals into one fused feature signal, a sparsity penalty on the weight of the feature signals can be added to the cost function to improve the training effect. That is, the calculation formula of the cost function J of the two-input LVN network under this scheme is:
J=NMSE+λ||W||1J=NMSE+λ||W||1
其中,NMSE表示估计肌力信号和真实肌力信号的均方根误差,λ表示预设的惩罚强度系数,W表示惩罚权重向量,其构成方法为:在G个特征信号中根据需要设置个特征信号作为惩罚特征信号,将各个惩罚特征信号所对应的权重构建得到维的行向量,该向量即为惩罚权重向量W;||·||1表示求取L1范数。Among them, NMSE represents the root mean square error between the estimated muscle strength signal and the real muscle strength signal, λ represents the preset penalty intensity coefficient, and W represents the penalty weight vector. A feature signal is used as a penalty feature signal, The weight corresponding to each penalty feature signal is constructed to get dimensional row vector, which is the penalty weight vector W; ||·||1 means to obtain the L1 norm.
根据以上描述可知,在对特征信号权重进行稀疏性惩罚时,可以对所有特征信号权重进行稀疏性惩罚,也可以只选择部分特征信号权重进行局部稀疏性惩罚,在实际应用中可以根据实际情况进行选择。本实施例中经实验对比发现,将筛选出的11种特征的特征信号融合作为一路输入,然后在代价函数中对除平均频率MPF、中值频率MDF以外的特征权重进行局部稀疏性惩罚,所得到的LVN网络的性能更优。为了便于描述,将该LVN网络称为LVN-pS网络。According to the above description, when the sparseness penalty is performed on the feature signal weights, the sparsity penalty can be performed on all the feature signal weights, or only a part of the feature signal weights can be selected for the local sparsity penalty. choose. In this embodiment, it is found through experimental comparison that the feature signals of the 11 kinds of features selected are fused as one input, and then the feature weights except the average frequency MPF and the median frequency MDF are subjected to local sparsity penalty in the cost function, so The resulting LVN network has better performance. For convenience of description, the LVN network is referred to as an LVN-pS network.
就具体的训练方法而言,可以根据实际需要进行选择,例如模拟退火训练算法、连续域蚁群训练算法,经实验发现,对于本发明而言,连续域蚁群训练算法可以在较少的训练时间下得到近似全局最优解,以减少训练开销,提高训练效率。图6是本实施例中基于连续域蚁群训练算法的多输入LVN网络训练流程图。如图6所示,本实施例中基于连续域蚁群训练算法的多输入LVN网络训练的具体步骤包括:As far as the specific training method is concerned, it can be selected according to actual needs, such as simulated annealing training algorithm and continuous domain ant colony training algorithm. It is found through experiments that, for the present invention, the continuous domain ant colony training algorithm can be used in less training. The approximate global optimal solution is obtained in time to reduce training overhead and improve training efficiency. FIG. 6 is a flowchart of multi-input LVN network training based on the continuous domain ant colony training algorithm in this embodiment. As shown in Figure 6, the specific steps of the multi-input LVN network training based on the continuous domain ant colony training algorithm in this embodiment include:
S601:LVN网络参数初始化:S601: LVN network parameter initialization:
初始化LVN网络参数,包括N路输入的拉盖尔基数Ln,n=1,2,…,N,标准动态基个数H、模型阶数Q等。Initialize the LVN network parameters, including the Laguerre bases Ln of N inputs, n=1, 2, . . . , N, the standard dynamic bases H, the model order Q, and so on.
以LVN-pS网络为例,其输入为2路,待估计系数包括2路输入拉盖尔系数的衰减指数α1,α2,输出信号偏移常量y0,由系数{cq,h,q=1,...,Q,h=1,...,H}组成的Q行H列的矩阵C,由系数组成的L1行H列的矩阵W1,由系数组成的L2行H列的矩阵W2,以及11个特征向量融合时的权重构成的权重向量Wfea,因此待估计系数总数Np=3+Q*H+L1*H+L2*H+11。Taking the LVN-pS network as an example, its input is 2 channels, the coefficients to be estimated include the attenuation exponents α1 , α2 of the 2 input Laguerre coefficients, and the output signal offset constant y0 , which is determined by the coefficients {cq,h , A matrix C with Q rows and H columns consisting of q=1,...,Q,h=1,...,H}, consisting of coefficients A matrix W1 consisting of L1 rows and H columns, consisting of coefficients The matrix W2 composed of L2 rows and H columns, and the weight vector Wfea composed of the weights when 11 feature vectors are fused, so the total number of coefficients to be estimated is Np=3+Q*H+L1 *H+L2 *H+ 11.
S602:连续域蚁群算法参数初始化:S602: Initialize the parameters of the continuous domain ant colony algorithm:
设置连续域蚁群算法的相关参数,包括解档案SOL中的解组合数量A,每次循环生成新的解组合数量B,计算A个解的选择概率pa,计算公式如下:Set the relevant parameters of the continuous domain ant colony algorithm, including the number of solution combinations A in the solution file SOL, generate a new number of solution combinations B each cycle, and calculate the selection probability pa of A solutions. The calculation formula is as follows:
βa表示每个解组合的权重,其计算公式如下:βa represents the weight of each solution combination, and its calculation formula is as follows:
其中,γ表示预设的调整参数。γ越小,排序靠前的解权重越大,收敛越快,反之则权重分布越均匀,算法具有越强的全局寻优能力,收敛越慢。Among them, γ represents a preset adjustment parameter. The smaller γ is, the higher the weight of the solution in the ranking is, the faster the convergence is, and the more uniform the weight distribution is, the stronger the global optimization ability of the algorithm, and the slower the convergence.
S603:初始化解档案:S603: Initialize the solution file:
解档案SOL是A行Np+1列的矩阵,每行包括一个解组合和该解组合对应的代价函数值。因此在初始化解档案SOL时,令解组合为LVN网络的参数组合,首先生成A个初始解组合,然后基于每个解组合配置LVN网络,将训练样本输入LVN网络得到估计肌力信号,结合期望肌力信号根据代价函数计算公式计算得到代价函数值。The solution file SOL is a matrix with A row and Np+1 column, and each row includes a solution combination and the corresponding cost function value of the solution combination. Therefore, when initializing the solution file SOL, let the solution combination be the parameter combination of the LVN network, first generate A initial solution combination, then configure the LVN network based on each solution combination, input the training samples into the LVN network to obtain the estimated muscle strength signal, and combine the expectations The muscle strength signal is calculated according to the cost function calculation formula to obtain the cost function value.
以LVN-pS网络为例,其解组合可以表示为{α1,α2,y0,C,W1,W2,Wfea}。那么在本实施例在初始化解档案时,α1,α2在[0,1]范围内均匀取值,其余参数在[-1,1]范围内均匀取值。然后根据α1和训练样本中的第1路输入得到对应的V1,根据权重Wfea和训练样本中的疲劳特征信号计算第2路输入,然后结合α2计算得到对应的V2,然后计算LVN-pS网络的中间输出U=V1*W1+V2*W2,U2=U*UT,最后计算得到LVN-pS网络的估计肌力信号ye=U*C(1,:)T+U2*C(2,:)T。根据估计肌力信号和训练样本的期望肌力信号,采用基于局部稀疏性惩罚的代价函数计算公式计算得到解组合对应的代价函数值。Taking the LVN-pS network as an example, its solution combination can be expressed as {α1 ,α2 , y0 , C, W1, W2, Wfea }. Then, when initializing the solution file in this embodiment, α1 and α2 take values uniformly in the range of [0, 1], and the other parameters take values uniformly in the range of [-1, 1]. Then, the corresponding V1 is obtained according to α1 and the first input in the training sample, the second input is calculated according to the weight Wfea and the fatigue characteristic signal in the training sample, and then the corresponding V2 is calculated in combination with α2 , and then calculate The intermediate output of the LVN-pS network U=V1 *W1 +V2 *W2 , U2=U*UT , and finally the estimated muscle strength signal of the LVN-pS network is calculated ye =U*C(1,: )T +U2*C(2,:)T . According to the estimated muscle strength signal and the expected muscle strength signal of the training sample, the cost function calculation formula based on the local sparsity penalty is used to calculate the cost function value corresponding to the solution combination.
S604:令迭代次数τ=1。S604: Set the number of iterations τ=1.
S605:在[0,1]范围内生成一个随机抽样值,如果随机抽样值小于预设阈值,则进入步骤S606,否则进入步骤S607。S605: Generate a random sampling value in the range of [0, 1], if the random sampling value is smaller than the preset threshold, go to step S606, otherwise go to step S607.
S605:筛选指导解组合并生成新解组合:S605: Screen guide solution combinations and generate new solution combinations:
将当前解档案SOL中的A个解组合按照代价函数值从小到大进行排序,根据排序确定每个解组合的选择概率pa。然后在[0,1]随机生成B个抽样值,对于每个抽样值,判断其所落入的解组合对应的累计选择概率区间,将对应的解组合作为指导解组合。分别根据每个指导解组合生成一个新解组合,具体方法如下:The A solution combinations in the current solution file SOL are sorted according to the cost function value from small to large, and the selection probability pa of each solution combination is determined according to the ranking. Then randomly generate B sampling values in [0, 1]. For each sampling value, determine the cumulative selection probability interval corresponding to the solution combination it falls into, and use the corresponding solution combination as a guide solution combination. A new solution combination is generated according to each guide solution combination, and the specific method is as follows:
对于LVN网络的各个待估计参数,将指导解组合中该待估计参数的值作为均值μ,然后采用如下公式计算得到标准差σ:For each parameter to be estimated in the LVN network, the value of the parameter to be estimated in the guidance solution combination is taken as the mean value μ, and then the following formula is used to calculate the standard deviation σ:
其中,SOLa表示当前解档案SOL中的第a个解组合中该待估计参数的值,ξ表示预设的遗忘因子,其值越大,则收敛越慢,会更缓慢地遗忘较差的解。Among them, SOLa represents the value of the parameter to be estimated in the a-th solution combination in the current solution file SOL, and ξ represents the preset forgetting factor. untie.
对均值为μ和标准差为σ的高斯分布进行采样得到新解中该待估计参数的值,从而生成1个新解组合。The Gaussian distribution with mean μ and standard deviation σ is sampled to obtain the value of the parameter to be estimated in the new solution, thereby generating a new solution combination.
对于生成的B个新解组合,基于每个新解组合配置LVN网络,将训练样本输入LVN网络得到估计肌力信号,结合期望肌力信号根据代价函数计算公式计算得到每个新解组合的代价函数值。For the generated B new solution combinations, configure the LVN network based on each new solution combination, input the training samples into the LVN network to obtain the estimated muscle strength signal, and calculate the cost of each new solution combination according to the cost function calculation formula combined with the expected muscle strength signal. function value.
S607:依次作为指导解组合并生成新解组合:S607: In turn serve as a guide solution combination and generate a new solution combination:
将当前解档案SOL中的A个解组合依次作为指导解组合,生成A个新解组合。然后基于每个新解组合配置LVN网络,将训练样本输入LVN网络得到估计肌力信号,结合期望肌力信号根据代价函数计算公式计算得到每个新解组合的代价函数。概率性地采用全体解组合作为指导解来生成新解组合,可以增加全局寻优性能。The A solution combinations in the current solution file SOL are used as guide solution combinations in turn to generate A new solution combinations. Then, the LVN network is configured based on each new solution combination, and the training samples are input into the LVN network to obtain the estimated muscle strength signal, and the cost function of each new solution combination is calculated according to the cost function calculation formula in combination with the expected muscle strength signal. Probabilistically using the entire solution combination as a guide solution to generate a new solution combination can increase the global optimization performance.
S608:生成新解档案:S608: Generate a new solution file:
将当前解档案SOL中的A个解组合和生成的所有新解组合进行合并,按照代价函数值从小到大进行排序,筛选出前A个解组合构成新解档案SOL。Combine the A solution combinations in the current solution file SOL with all the new solution combinations generated, sort them according to the cost function value from small to large, and filter out the first A solution combinations to form the new solution file SOL.
S609:判断迭代次数τ<τmax,如果是,进入步骤S610,否则进入步骤S611。S609: It is judged that the number of iterations τ<τmax , if yes, go to step S610 , otherwise go to step S611 .
S610:令τ=τ+1,返回步骤S605。S610: Let τ=τ+1, and return to step S605.
S611:确定LVN网络参数:S611: Determine LVN network parameters:
将当前解档案SOL中代价函数值最优的解组合作为LVN网络参数,对LVN网络进行配置。The solution combination with the optimal cost function value in the current solution file SOL is used as the LVN network parameter to configure the LVN network.
S107:肌力估计:S107: Muscle strength estimation:
当需要进行相同动作的肌力估计时,采用与样本对象相同的方法采集表面肌电信号并预处理后得到表面肌电信号x′(i),进行活动段划分后提取出各个活动段与疲劳相关的G个特征,生成G个疲劳特征信号F′g(i),然后将表面肌电信号x′(i)和G个疲劳特征信号F′g(i)输入训练好的多输入LVN网络,得到估计的肌力信号。When it is necessary to estimate the muscle strength of the same action, the same method as the sample object is used to collect the surface EMG signal and preprocess to obtain the surface EMG signal x'(i), and after the active segment is divided, each active segment and fatigue are extracted. Related G features, generate G fatigue feature signals F′g (i), and then input the surface EMG signal x′ (i) and G fatigue feature signals F′g (i) into the trained multi-input LVN network , to obtain the estimated muscle strength signal.
为了更好地说明本发明的技术方案,采用具体实例对本发明进行实验验证。In order to better illustrate the technical solutions of the present invention, specific examples are used to verify the present invention by experiments.
本次实验验证中,所采集的是样本对象的表面肌电信号与握力信号。实验设备主要包括美国BIOPAC公司的主机MP150、肌电采集模块EMG100C、模拟信号采集器DA100C以及握力传感器TSD121C。实验对象包括9位健康的右利手对象(其中年轻男性6位,年轻女性3位,均25岁)。实验包括在此过程中,肱桡肌与掌长肌的最大自主收缩力实验和恒力脉冲实验,具体情况如下:In this experimental verification, the surface EMG signal and grip strength signal of the sample object are collected. The experimental equipment mainly includes the host MP150 of the US BIOPAC company, the electromyography acquisition module EMG100C, the analog signal collector DA100C and the grip force sensor TSD121C. The subjects included 9 healthy right-handed subjects (6 young males and 3 young females, all 25 years old). The experiment includes the maximum voluntary contraction force experiment and constant force pulse experiment of brachioradialis muscle and palmar longus muscle during this process. The details are as follows:
1)最大自主收缩力实验:首先,实验对象需实施两次最大自主收缩力(MaximumVoluntary Contraction,MVC),每次发力尽可能握出自己的最大力,持续4至5秒,两次发力间隔2分钟以上,避免肌肉疲劳。MVC取两次实验力量的平均值。1) Maximum Voluntary Contraction Force Experiment: First of all, the subjects need to perform the Maximum Voluntary Contraction (MVC) twice, and each exert their maximum force as much as possible for 4 to 5 seconds. Interval for more than 2 minutes to avoid muscle fatigue. MVC takes the average of two experimental forces.
2)恒力脉冲实验:最大自主收缩力实验结束后,需进行5分钟以上的充分休息。实验对象开始恒力脉冲实验,实施60%MVC的脉冲力。发力模式为:发力5s,休息5s,循环往复,直到实验对象力竭连续两次无法施力到60%MVC为止。2) Constant force pulse experiment: After the maximum voluntary contraction force experiment is over, a sufficient rest for more than 5 minutes is required. Subjects started the constant force pulse experiment, implementing a pulse force of 60% MVC. The exertion mode is: exerting force for 5s, resting for 5s, and repeating the cycle until the subject is exhausted and cannot exert force to 60% MVC for two consecutive times.
上述实验为一组,由于模型评估的需要(一组用于训练,一组用于测试),每位对象需重复两组实验,两组之间需间隔24小时以上,以保证上次实验的疲劳感完全消失。The above experiments are a group. Due to the needs of model evaluation (one group is used for training and one group is used for testing), each subject needs to repeat two groups of experiments, with an interval of more than 24 hours between the two groups to ensure that the last experiment Fatigue completely disappeared.
为了说明本发明中引入疲劳特征信号的有效性,本次实验中设置了6种LVN网络进行对比,6种LVN网络分别如下:In order to illustrate the effectiveness of introducing fatigue characteristic signals in the present invention, 6 kinds of LVN networks are set up for comparison in this experiment, and the 6 kinds of LVN networks are as follows:
LVN_1:LVN网络采用单输入LVN网络,仅有表面肌电信号。LVN_1: The LVN network uses a single-input LVN network with only surface EMG signals.
LVN_2MPF:LVN网络采用二输入LVN网络,一路输入为表面肌电信号,另一路输入为平均频率(MPF)特征对应的疲劳特征信号。LVN_2MPF: The LVN network adopts a two-input LVN network, one input is the surface EMG signal, and the other input is the fatigue characteristic signal corresponding to the mean frequency (MPF) characteristic.
LVN_2MDF:LVN网络采用二输入LVN网络,一路输入为表面肌电信号,另一路输入为中值频率(MDF)特征对应的疲劳特征信号。LVN_2MDF: The LVN network adopts a two-input LVN network, one input is the surface EMG signal, and the other input is the fatigue characteristic signal corresponding to the median frequency (MDF) feature.
LVN_3:LVN网络采用三输入LVN网络,一路输入为表面肌电信号,另外两路输入分别为平均频率(MPF)特征和中值频率(MDF)特征对应的疲劳特征信号。LVN_3: The LVN network adopts a three-input LVN network, one input is the surface EMG signal, and the other two inputs are the fatigue characteristic signals corresponding to the mean frequency (MPF) feature and the median frequency (MDF) feature respectively.
以上4种LVN网络的代价函数均采用归一化均方根误差NMSE。The cost functions of the above four LVN networks all use the normalized root mean square error NMSE.
LVN_S:LVN网络采用二输入LVN网络,一路输入为表面肌电信号,另一路输入为本实施例所筛选的11种特征所对应的疲劳特征信号融合后得到的融合特征信号。该网络的代价函数采用融合了NMSE和稀疏性惩罚的代价函数,并将11种疲劳特征信号均作为惩罚特征信号。LVN_S: The LVN network adopts a two-input LVN network, one input is the surface EMG signal, and the other input is the fusion characteristic signal obtained by fusing the fatigue characteristic signals corresponding to the 11 kinds of features screened in this embodiment. The cost function of the network adopts a cost function that combines NMSE and sparsity penalty, and uses 11 kinds of fatigue feature signals as penalty feature signals.
LVN_pS:LVN网络采用二输入LVN网络,一路输入为表面肌电信号,另一路输入为本实施例所筛选的11种特征所对应的疲劳特征信号融合后得到的融合特征信号。该网络的代价函数采用融合了NMSE和稀疏性惩罚的代价函数,并将平均频率(MPF)特征和中值频率(MDF)以外的9种疲劳特征信号均作为惩罚特征信号。LVN_pS: The LVN network adopts a two-input LVN network, one input is the surface EMG signal, and the other input is the fusion characteristic signal obtained by fusing the fatigue characteristic signals corresponding to the 11 kinds of features screened in this embodiment. The cost function of this network adopts a cost function that combines NMSE and sparsity penalty, and uses 9 kinds of fatigue feature signals other than mean frequency (MPF) feature and median frequency (MDF) as penalty feature signals.
对6种LVN网络的归一化均方根误差(NMSE%)与拟合度(Fitness%)进行统计对比。表1是本实施例中6种LVN网络的训练和测试指标对比表。The normalized root mean square error (NMSE%) and the fit (Fitness%) of the six LVN networks were statistically compared. Table 1 is a comparison table of training and testing indicators of the six LVN networks in this embodiment.
表1Table 1
如表1所示,引入了疲劳特征信号的5种LVN网络的性能都优于仅将表面肌电信号作为输入的LVN网络,其中又以LVN_pS为最,LVN_pS不论是在网络训练结果还是网络测试结果上,预测肌力与真实肌力的归一化均方根误差与拟合度都是最优。As shown in Table 1, the performance of the five LVN networks that introduced fatigue characteristic signals is better than that of the LVN network that only takes the surface EMG signal as the input, among which LVN_pS is the most important. As a result, the normalized root mean square error and fit of predicted muscle strength and true muscle strength were the best.
接下来,将LVN_pS模型作为本发明的代表网络结构,将基于POL(Polynomial多项式拟模型)、FOS(Fast Orthogonal Search,快速正交搜索模型)、PCI(Parallel CascadeIdentification,并行级联模型)、LET(Laguerre Expasion Technique,拉盖尔扩展技术)四种模型的肌力估计方法作为对比方法,与本发明的性能进行对比。对比的技术指标包括均方误差MSE%、归一化均方根误差NMSE%和拟合度Fitness%。设计肱桡肌恒力疲劳脉冲实验、肱桡肌上升力疲劳脉冲实验以及掌长肌上升力疲劳脉冲实验以验证不同肌肉以及不同发力模式下本模型均可表现较为优秀的肌力估计性能。为展现本模型在各类数据中的不同疲劳阶段的肌力估计情况,将测试数据划分为非疲劳状态seg1、轻微疲劳状态seg2、中等疲劳状态seg3、严重疲劳状态seg4以及极度疲劳状态seg5等五个阶段,并利用训练后的模型各阶段进行测试。Next, take the LVN_pS model as the representative network structure of the present invention, which will be based on POL (Polynomial polynomial quasi-model), FOS (Fast Orthogonal Search, fast orthogonal search model), PCI (Parallel CascadeIdentification, parallel cascade model), LET ( The muscle strength estimation method of the four models of Laguerre Expasion Technique) is used as a comparison method to compare with the performance of the present invention. The technical indicators compared include mean square error MSE%, normalized root mean square error NMSE% and fitness%. The brachioradialis constant force fatigue pulse experiment, brachioradialis ascending force fatigue pulse experiment and palmaris longus ascending force fatigue pulse experiment were designed to verify that this model can perform relatively good muscle force estimation performance under different muscles and different force modes. In order to show the muscle strength estimation of the model in different fatigue stages in various data, the test data are divided into five states, namely, non-fatigue state seg1, mild fatigue state seg2, moderate fatigue state seg3, severe fatigue state seg4 and extreme fatigue state seg5. stages, and use the trained model for testing at each stage.
·基于肱桡肌恒力疲劳脉冲数据的实验结果·Experimental results based on brachioradialis constant force fatigue pulse data
图7是本发明和四种对比方法在肱桡肌恒力疲劳脉冲数据下五种疲劳阶段的肌力估计指标对比图。图7展示了对肱桡肌处于不同疲劳程度的五个阶段数据进行肌力估计的三种技术指标均值及标准差,横坐标表示五个疲劳阶段,纵坐标表示相应的指标。从图7可看出,五种方法均不同程度地呈现随着疲劳逐渐加深而出现MSE%与NMSE%下降,Fitness%增大的情况,推测是由于五种方法所使用模型在训练全脉冲数据过程中更多地捕获了疲劳感较重时的肌电-肌力关系,所以对测试数据的中等疲劳阶段seg3、严重疲劳阶段seg以及极度疲劳阶段seg5三个疲劳程度较高的阶段有着较高的估计精度。五种方法中,本发明LVN_pS模型在五个不同疲劳阶段的MSE%与NMSE%均明显低于其余四种模型,而肌力拟合度Fitness%均明显高于其余模型,则说明本发明LVN_pS模型在肌肉处于五种疲劳状态的阶段下对于肌电-肌力关系捕获能力较强,表现出优异的肌力估计性能。经计算,LVN_pS模型对五个阶段的平均测试MSE%、NMSE%、Fitness%分别达到了5.25%、2.52%以及77.68%。7 is a comparison diagram of the muscle strength estimation indexes of the present invention and four comparison methods under the brachioradialis constant force fatigue pulse data in five fatigue stages. Figure 7 shows the mean and standard deviation of three technical indicators for estimating the muscle strength of the brachioradialis at five stages of different fatigue levels. The horizontal axis represents the five fatigue stages, and the vertical axis represents the corresponding indicators. It can be seen from Figure 7 that the five methods all show the situation that MSE% and NMSE% decrease and Fitness% increases with the gradual deepening of fatigue to varying degrees. It is speculated that the model used in the five methods is training the full pulse data During the process, the EMG-muscle strength relationship when the fatigue is heavier is captured more, so the three stages with higher fatigue levels, seg3, severe fatigue stage, and extreme fatigue stage seg5 of the test data, have a higher degree of fatigue. estimation accuracy. Among the five methods, the MSE% and NMSE% of the LVN_pS model of the present invention in five different fatigue stages are significantly lower than those of the other four models, and the fitness% of muscle strength is significantly higher than the rest of the models, indicating that the present invention LVN_pS The model has a strong ability to capture the EMG-muscle force relationship when the muscles are in five fatigue states, and shows excellent muscle force estimation performance. After calculation, the average test MSE%, NMSE% and Fitness% of the LVN_pS model for the five stages reached 5.25%, 2.52% and 77.68%, respectively.
为进一步说明在五个不同的疲劳阶段本发明LVN_pS模型与POL、FOS、LET模型是否存在明显差异,进行了显著性分析。图8是本发明和四种对比方法在肱桡肌恒力疲劳脉冲数据下五种疲劳阶段的测试指标显著性分析对比图。In order to further illustrate whether there are significant differences between the LVN_pS model of the present invention and the POL, FOS, and LET models in five different fatigue stages, a significance analysis was carried out. FIG. 8 is a comparison diagram of the significance analysis of the test indicators of the present invention and four comparison methods under the brachioradialis constant force fatigue pulse data of five fatigue stages.
图8(a)、(b)、(c)三个图分别表示在MSE%、NMSE%与Fitness%三种评价指标下五种模型间的显著性分析结果,从左至右分别为五个疲劳阶段seg1、seg2、seg3、seg4与seg5的结果。中灰色NS表示横纵坐标对应的两模型之间p>0.05,无显著性差异。浅灰色表示p<0.05,深灰色表示p<0.01,均表示模型间存在显著性差异,且深灰色的差异更为明显。结合图6中LVN_pS三种指标最优,从图7可看出,除在MSE%指标下本发明LVN_pS模型以p<0.05的程度明显优于LET模型外,对于五种不同疲劳阶段的三种指标差异性分析,本发明LVN_pS模型均以p<0.01的程度明显优于POL、FOS、PCI及LET四种模型。而POL、FOS、PCI及LET四模型间无显著性差异,说明此四个模型之间的肌力估计效果相近。Figure 8(a), (b), (c) respectively show the significance analysis results between the five models under the three evaluation indicators of MSE%, NMSE% and Fitness%, from left to right are five Results of fatigue stages seg1, seg2, seg3, seg4 and seg5. Medium gray NS indicates p>0.05 between the two models corresponding to the abscissa and ordinate, and there is no significant difference. Light gray indicates p<0.05, dark gray indicates p<0.01, both indicate significant differences between models, and the difference in dark gray is more obvious. Combining with the best three indexes of LVN_pS in Fig. 6, it can be seen from Fig. 7 that the LVN_pS model of the present invention is obviously better than the LET model by p<0.05 under the MSE% index. The index difference analysis shows that the LVN_pS model of the present invention is obviously better than the four models of POL, FOS, PCI and LET in the degree of p<0.01. However, there was no significant difference among the four models of POL, FOS, PCI and LET, indicating that the muscle strength estimation effects between the four models were similar.
·基于肱桡肌上升力疲劳脉冲的实验结果·Experimental results based on brachioradialis ascending force fatigue pulse
接着展示五种方法在肱桡肌上升力五个不同疲劳程度阶段数据上的性能对比。图9是本发明和四种对比方法在肱桡肌恒力疲劳脉冲数据下五种疲劳阶段的肌力估计指标对比图。如图9所示,随着seg1到seg5疲劳程度不断加深,五种方法的指标MSE%与NMSE%呈现不断下降的趋势,指标Fitness呈现逐渐上升的趋势。即是说,随着实验对象的疲劳感加重,估计肌力的效果有逐渐提升趋势。出现这种情况的原因可能是模型训练是基于一组包括五个疲劳阶段的全脉冲数据,模型在训练过程中可能捕获了更多疲劳感较重阶段的信息。相比POL、FOS、PCI及LET模型,LVN_pS的MSE%与NMSE%均有明显的下降,而肌力拟合度Fitness均有明显的提升,即在非疲劳阶段seg1、轻度疲劳阶段seg2、中度疲劳阶段seg3、重度疲劳阶段seg4以及极度疲劳阶段seg5均比其余四种模型拥有更低的肌力估计MSE%与NMSE%、更高的肌力拟合度Fitness%。Then, the performance comparison of the five methods on the data of five different fatigue levels of brachioradialis lift force is shown. 9 is a comparison diagram of the muscle strength estimation indexes of the present invention and four comparison methods under the brachioradialis constant force fatigue pulse data in five fatigue stages. As shown in Figure 9, as the fatigue levels of seg1 to 5 continue to deepen, the indicators MSE% and NMSE% of the five methods show a decreasing trend, and the indicator Fitness shows a gradually increasing trend. That is to say, as the fatigue of the test subjects increases, the effect of muscle strength is estimated to gradually increase. The reason for this may be that the model training is based on a set of full-pulse data including five fatigue stages, and the model may have captured more information about the more fatigued stages during the training process. Compared with the POL, FOS, PCI and LET models, the MSE% and NMSE% of LVN_pS were significantly decreased, while the fitness of muscle strength was significantly improved. Moderate fatigue stage seg3, severe fatigue stage seg4 and extreme fatigue stage seg5 all have lower estimated muscle strength MSE% and NMSE%, and higher fitness% than the other four models.
图10是本发明和四种对比方法在肱桡肌恒力疲劳脉冲数据下五种疲劳阶段的测试指标显著性分析对比图。如图10所示,POL、FOS、PCI及LET四种模型之间均无显著性差异,除第一阶段的三种指标本发明LVN_pS模型与LET模型无显著性差异外,本发明LVN_pS模型相较于其余四种模型在不同指标下均有不同程度的显著性差异,其中本发明LVN_pS模型的三种指标以p<0.01的程度更为明显地优于FOS模型,LVN_pS模型的Fitness%以p<0.01的程度优于POL模型。经计算,LVN_pS模型对五个阶段的平均测试MSE%、NMSE%、Fitness%达到了7.5%、3.26%以及73.32%。FIG. 10 is a comparison diagram of the significance analysis of the test indicators of the present invention and four comparison methods under the brachioradialis constant force fatigue pulse data of five fatigue stages. As shown in Figure 10, there is no significant difference between the four models of POL, FOS, PCI and LET. Except for the three indicators in the first stage, there is no significant difference between the LVN_pS model of the present invention and the LET model. Compared with the other four models, there are significant differences in different degrees under different indicators, wherein the three indicators of the LVN_pS model of the present invention are more obviously better than the FOS model at the level of p<0.01, and the Fitness% of the LVN_pS model is p The degree of <0.01 outperforms the POL model. After calculation, the average test MSE%, NMSE%, Fitness% of the LVN_pS model for the five stages reached 7.5%, 3.26% and 73.32%.
因此,除本发明LVN_pS模型与LET模型在肱桡肌上升力数据的非疲劳阶段seg1上估计肌力的性能相似外,在轻微疲劳阶段seg2、中等疲劳阶段seg3、严重疲劳阶段seg4以及极度疲劳阶段seg5中,本发明LVN_pS均显著优于POL、FOS、PCI及LET模型。并且,本发明LVN_pS模型相较于FOS模型的性能提升最为明显。Therefore, except that the performance of the LVN_pS model of the present invention and the LET model for estimating muscle strength in the non-fatigue stage seg1 of the brachioradialis lift data are similar, in the mild fatigue stage seg2, the moderate fatigue stage seg3, the severe fatigue stage seg4 and the extreme fatigue stage In seg5, the LVN_pS of the present invention is significantly better than the POL, FOS, PCI and LET models. Moreover, the performance improvement of the LVN_pS model of the present invention is the most obvious compared with the FOS model.
为展示五种方法对于肱桡肌上升力脉冲不同疲劳阶段的肌力估计效果,对实验对象4的不同疲劳阶段的肌力估计性能进行实验。图11是本实施例中肱桡肌上升力脉冲实验中对象4的测试肌电信号图。如图11所示,实验对象4的测试数据的肌电信号在seg1到seg4有逐渐上升的趋势,再到seg5有肌电幅值略下降的趋势。图12是本发明和四种对比方法在肱桡肌上升力脉冲测试中不同疲劳阶段的肌力估计对比图。如图12所示,可见在五种方法中,本发明LVN_pS模型虽存在较小偏离情况,但在五个不同疲劳程度的阶段均优于其余模型。In order to show the effect of five methods on the estimation of muscle strength of brachioradialis ascending force pulse in different fatigue stages, experiments were carried out on the muscle strength estimation performance of
综上所述,对于肱桡肌上升力疲劳数据而言,五种方法中,本发明LVN_pS模型表现出最优的训练与测试效果,对于肱桡肌上升力全脉冲数据以及五个不同疲劳程度阶段的肌力估计效果整体上明显优于POL、FOS、PCI及LET模型。To sum up, for the brachioradialis ascending force fatigue data, among the five methods, the LVN_pS model of the present invention shows the best training and testing effect, and for the brachioradialis ascending force full pulse data and five different fatigue levels The muscle strength estimation effect of stage is obviously better than that of POL, FOS, PCI and LET models.
·基于掌长肌上升力疲劳脉冲数据的结果· Results based on palmaris longus lift fatigue pulse data
图13是本发明和四种对比方法在肱桡肌恒力疲劳脉冲数据下五种疲劳阶段的肌力估计指标对比图。如图13所示,五个不同疲劳阶段中,本发明LVN_pS模型的三种指标均明显低于其余四种模型,而其余四种模型的所有指标存在一定程度地重叠。五种模型均有随疲劳程度加深而MSE%与NMSE%下降,Fitness上升的趋势,除本发明LVN_pS模型外的四种模型趋势更为明显。其中LET与PCI模型在重度疲劳阶段seg4与极度疲劳阶段seg5中三种指标出现逐渐变差的趋势。经计算,本发明LVN_pS模型在五个阶段的平均测试MSE%、NMSE%以及Fitness%可达到9.08%、3.79%以及70.35%。Fig. 13 is a comparison diagram of the muscle strength estimation indexes of the present invention and four comparison methods under the brachioradialis constant force fatigue pulse data in five fatigue stages. As shown in FIG. 13 , in the five different fatigue stages, the three indexes of the LVN_pS model of the present invention are obviously lower than those of the other four models, and all the indexes of the other four models overlap to a certain extent. The five models all have a trend of decreasing MSE% and NMSE% and increasing fitness with the deepening of the fatigue degree, and the trend of the four models except the LVN_pS model of the present invention is more obvious. Among them, the three indicators of the LET and PCI models showed a gradual deterioration trend in the severe fatigue stage seg4 and the extreme fatigue stage seg5. After calculation, the average test MSE%, NMSE% and Fitness% of the LVN_pS model of the present invention in five stages can reach 9.08%, 3.79% and 70.35%.
图14是本发明和四种对比方法在肱桡肌恒力疲劳脉冲数据下五种疲劳阶段的测试指标显著性分析对比图。如图14所示,对于三种评价指标而言,在五种不同疲劳阶段的数据验证下POL、FOS、PCI及LET模型之间的肌力估计性能均无显著差异,而本发明LVN_pS模型在五种不同疲劳程度的阶段中肌力估计性能与POL、FOS模型均存在显著性差异,即本发明LVN_pS模型在不同阶段的肌力估计性能明显优于POL与FOS模型。然而,本发明LVN_pS模型在非疲劳阶段seg1的测试MSE%、NMSE%以及在极度疲劳阶段seg5下的三种指标,均与PCI、LET模型无显著差异,结合图12中PCI与LET在seg1和seg5的标准差较大,覆盖到了LVN_pS模型的范围,说明PCI、LET及LVN_pS模型在seg1与seg5阶段中对于某对象的肌力估计性能较为接近,使得丧失了显著差异。此三种模型在非疲劳阶段seg1与极度疲劳阶段seg5的肌力估计性能相近,原因可能是个别对象的掌长肌信息较弱,无法通过肌电疲劳特征为本发明LVN_pS模型提供疲劳信息进行参考导致。虽然存在个体差异性问题,本发明LVN_pS模型的平均性能仍然优于PCI与LET模型。Fig. 14 is a comparison chart of the significance analysis of the test indexes of the present invention and the four comparison methods under the brachioradialis constant force fatigue pulse data of the five fatigue stages. As shown in Fig. 14, for the three evaluation indicators, there is no significant difference in the muscle strength estimation performance between the POL, FOS, PCI and LET models under the data verification of five different fatigue stages, while the LVN_pS model of the present invention is in the There are significant differences in muscle strength estimation performance with the POL and FOS models in the five stages of different fatigue levels, that is, the muscle strength estimation performance of the LVN_pS model of the present invention in different stages is significantly better than that of the POL and FOS models. However, the MSE%, NMSE% of the LVN_pS model of the present invention in the non-fatigue stage seg1 and the three indicators in the extreme fatigue stage seg5 are not significantly different from those of the PCI and LET models. The standard deviation of seg5 is large, covering the range of the LVN_pS model, indicating that the PCI, LET, and LVN_pS models have similar performance in seg1 and seg5 for muscle strength estimation for a subject, which makes significant differences lost. The muscle strength estimation performance of these three models is similar in the non-fatigue stage seg1 and the extreme fatigue stage seg5. The reason may be that the information of the palmar longus muscle of individual subjects is weak, and the fatigue information of the LVN_pS model of the present invention cannot be provided by the EMG fatigue characteristics for reference. lead to. Although there are individual differences, the average performance of the LVN_pS model of the present invention is still better than that of the PCI and LET models.
综上所述,对于掌长肌上升力的疲劳脉冲数据,虽然本发明LVN_pS模型与PCI、LET在测试MSE%、NMSE%指标下无显著差异,但平均测试性能仍然优于后两个模型。在五个不同程度的疲劳数据阶段,本发明LVN_pS模型虽在seg1与seg5阶段与PCI、LET模型的测试效果无明显差异,但其肌力估计平均性能仍然优于后两模型。因此,在掌长肌上升力疲劳数据下,本发明LVN_pS模型在全脉冲训练测试与不同疲劳程度阶段中的测试肌力估计性能明显优于POL与FOS模型,并且就平均肌力性能而言,也明显优于PCI与LET模型。To sum up, for the fatigue pulse data of palmar longus lifting force, although there is no significant difference between the LVN_pS model of the present invention and PCI and LET in the test MSE% and NMSE% indicators, the average test performance is still better than the latter two models. In five different levels of fatigue data, although the LVN_pS model of the present invention has no significant difference in test results with the PCI and LET models in the seg1 and seg5 stages, its average performance of muscle strength estimation is still better than the latter two models. Therefore, under the palmar longus lifting force fatigue data, the LVN_pS model of the present invention has significantly better muscle strength estimation performance in the full pulse training test and different fatigue degree stages than the POL and FOS models, and in terms of average muscle strength performance, Also significantly better than the PCI and LET models.
·基于相同对象多组数据的稳定性分析· Stability analysis based on multiple sets of data of the same object
接下来基于不同性别的两位对象于不同的五天进行同样肱桡肌上升力实验的疲劳数据进行同一对象间不同组数据的肌力估计性能验证。对于两位对象,将先后五天的五组实验数据命名为D1、D2、D3、D4及D5数据。每组数据包括肌电与肌力信号。将D1数据用于训练、后四组的数据用于测试。接着展示从全脉冲训练与测试结果以及不同疲劳阶段的训练与测试结果。Next, based on the fatigue data of the same brachioradialis muscle lift test performed by two subjects of different genders on different five days, the performance of muscle strength estimation between the same subjects and different groups of data was verified. For the two subjects, five sets of experimental data for five consecutive days were named D1, D2, D3, D4 and D5 data. Each set of data includes EMG and muscle strength signals. The D1 data was used for training, and the data of the last four groups were used for testing. It then presents training and testing results from full pulse training and testing as well as training and testing results for different fatigue stages.
为分析四组测试数据中各模型对于各五个不同疲劳阶段(seg1~seg5)的肌力估计性能,将上述对D1数据训练后的模型对D2~D5的五个不同阶段测试。图15是本发明和四种对比方法在四组肱桡肌上升力数据的五个阶段指标对比图。图15(a)、(b)、(c)与(d)分别表示D2、D3、D4及D5组数据的测试结果,且将不同分图中相同指标的坐标范围设为一致方便对比。可见,本发明LVN_pS模型在D2、D3及D5三组数据中,从非疲劳阶段seg1、轻度疲劳阶段seg2直到极度疲劳阶段seg5五个阶段均相较于其余四种模型有MSE%、NMSE%明显降低,Fitness%明显提升的现象。而在D4数据中,其余四种模型表现较好。In order to analyze the muscle strength estimation performance of each model in the four sets of test data for five different fatigue stages (seg1-seg5), the above-mentioned models trained on D1 data were tested on five different stages of D2-D5. Figure 15 is a comparison chart of the five-stage index of the brachioradialis muscle lifting force data of the present invention and four comparison methods in four groups. Figure 15(a), (b), (c) and (d) respectively show the test results of the data of D2, D3, D4 and D5 groups, and the coordinate ranges of the same indicators in different sub-graphs are set to be consistent for easy comparison. It can be seen that in the three sets of data of D2, D3 and D5, the LVN_pS model of the present invention has MSE%, NMSE% in the five stages from the non-fatigue stage seg1, the mild fatigue stage seg2 to the extreme fatigue stage seg5 compared with the other four models The phenomenon that the Fitness% is significantly increased when it is significantly reduced. In the D4 data, the remaining four models perform better.
为综合评估五种模型对于不同疲劳阶段的肌力估计性能,将D2~D4组数据的所有五个阶段测试指标进行均值与标准差计算。表2是本发明和四种对比方法对D2~D4组数据的不同疲劳阶段的平均测试指标对比表。In order to comprehensively evaluate the muscle strength estimation performance of the five models for different fatigue stages, the mean and standard deviation of all five stages of the data in groups D2 to D4 were calculated. Table 2 is a comparison table of the average test indexes of the present invention and four comparison methods for different fatigue stages of the data in groups D2 to D4.
表2Table 2
如表2所示,本发明LVN_pS模型对于四组数据下不同疲劳阶段的平均测试MSE%、NMSE%相较于其余模型最优的LET有9.6%、4.15%的降低,Fitness%有13.05%的提升,相较于其余模型中肌力估计性能最差的FOS模型,MSE%与NMSE%有12.11%、5.21%的降低,Fitness%有13.05%的提升。As shown in Table 2, the average test MSE% and NMSE% of the LVN_pS model of the present invention for different fatigue stages under the four sets of data are 9.6% and 4.15% lower than those of the other optimal LET models, and the Fitness% is 13.05% lower. Compared with the FOS model with the worst performance in muscle strength estimation among the other models, MSE% and NMSE% have a decrease of 12.11% and 5.21%, and Fitness% has a 13.05% increase.
也就是说,对于同一对象的多组肱桡肌上升力疲劳数据而言,本发明LVN_pS模型相较于其余四种模型表现出更为稳定的平均肌力估计性能,并且在五种不同疲劳程度阶段时平均肌力估计性能优于其余四种模型。That is to say, for multiple sets of brachioradialis muscle lifting force fatigue data of the same subject, the LVN_pS model of the present invention shows a more stable average muscle strength estimation performance compared with the other four models, and it has five different fatigue levels. Average muscle strength estimation performance at stage is better than the other four models.
综上所述,本发明通过引入疲劳特征,提高了肌力估计的性能,并且在不同类型表面肌电信号和疲劳程度均较现有技术表现更加良好,具有较强的鲁棒性。To sum up, the present invention improves the performance of muscle strength estimation by introducing fatigue features, and performs better in different types of surface EMG signals and fatigue levels than the prior art, and has stronger robustness.
尽管上面对本发明说明性的具体实施方式进行了描述,以便于本技术领域的技术人员理解本发明,但应该清楚,本发明不限于具体实施方式的范围,对本技术领域的普通技术人员来讲,只要各种变化在所附的权利要求限定和确定的本发明的精神和范围内,这些变化是显而易见的,一切利用本发明构思的发明创造均在保护之列。Although the illustrative specific embodiments of the present invention have been described above to facilitate the understanding of the present invention by those skilled in the art, it should be clear that the present invention is not limited to the scope of the specific embodiments. For those skilled in the art, As long as various changes are within the spirit and scope of the present invention as defined and determined by the appended claims, these changes are obvious, and all inventions and creations utilizing the inventive concept are included in the protection list.
| Application Number | Priority Date | Filing Date | Title |
|---|---|---|---|
| CN202210485153.4ACN114931390B (en) | 2022-05-06 | 2022-05-06 | Muscle strength estimation method based on fatigue analysis |
| Application Number | Priority Date | Filing Date | Title |
|---|---|---|---|
| CN202210485153.4ACN114931390B (en) | 2022-05-06 | 2022-05-06 | Muscle strength estimation method based on fatigue analysis |
| Publication Number | Publication Date |
|---|---|
| CN114931390Atrue CN114931390A (en) | 2022-08-23 |
| CN114931390B CN114931390B (en) | 2023-06-13 |
| Application Number | Title | Priority Date | Filing Date |
|---|---|---|---|
| CN202210485153.4AActiveCN114931390B (en) | 2022-05-06 | 2022-05-06 | Muscle strength estimation method based on fatigue analysis |
| Country | Link |
|---|---|
| CN (1) | CN114931390B (en) |
| Publication number | Priority date | Publication date | Assignee | Title |
|---|---|---|---|---|
| CN115965127A (en)* | 2022-12-12 | 2023-04-14 | 天津大学 | Muscle fatigue prediction method and system based on multi-element signal fusion and electric stimulator |
| CN116202684A (en)* | 2023-03-07 | 2023-06-02 | 上海交通大学 | Calibration method of nonlinear grip state evaluation device |
| CN116687429A (en)* | 2023-06-06 | 2023-09-05 | 重庆邮电大学 | Muscle real-time monitoring and analyzing system based on lower limb exoskeleton robot |
| CN119454054A (en)* | 2024-10-24 | 2025-02-18 | 暨南大学 | A prediction algorithm for muscle strength and fatigue based on surface electromyography signals |
| Publication number | Priority date | Publication date | Assignee | Title |
|---|---|---|---|---|
| WO2008031208A1 (en)* | 2006-09-16 | 2008-03-20 | Terence Gilhuly | Modeling and control for highly variable and nonlinear processes |
| CN103006212A (en)* | 2013-01-15 | 2013-04-03 | 中国医学科学院生物医学工程研究所 | Electrostimulation induced muscular fatigue evaluation method using approximate entropy for analyzing induced myoelectric M waves |
| CN104224169A (en)* | 2014-10-14 | 2014-12-24 | 沈阳工程学院 | Surface electromyogram signal linear analyzing method for judging human body muscle fatigue |
| WO2015074010A2 (en)* | 2013-11-18 | 2015-05-21 | Beth Israel Deaconess Medical Center, Inc. | Compositions and methods for cardiac regeneration |
| WO2016065404A1 (en)* | 2014-10-31 | 2016-05-06 | Rmit University | Soft tissue management method and system |
| WO2017027232A1 (en)* | 2015-08-12 | 2017-02-16 | The General Hospital Corporation | System and method for sympathetic and parasympathetic activity monitoring by heartbeat |
| GB201811641D0 (en)* | 2018-07-16 | 2018-08-29 | Imperial Innovations Ltd | Methods for enabling movement of objects and associated apparatus |
| CN109222969A (en)* | 2018-10-31 | 2019-01-18 | 郑州大学 | A kind of wearable human upper limb muscular movement fatigue detecting and training system based on Fusion |
| CN109259762A (en)* | 2018-11-02 | 2019-01-25 | 郑州大学 | A kind of muscular fatigue comprehensive test device based on multivariate data fusion |
| CN110355761A (en)* | 2019-07-15 | 2019-10-22 | 武汉理工大学 | A kind of healing robot control method based on joint stiffness and muscular fatigue |
| CN110618754A (en)* | 2019-08-30 | 2019-12-27 | 电子科技大学 | Surface electromyogram signal-based gesture recognition method and gesture recognition armband |
| CN111329476A (en)* | 2020-03-04 | 2020-06-26 | 中国科学技术大学 | Method and device for estimating muscle strength based on microscopic nerve driving information |
| CN111772669A (en)* | 2020-08-18 | 2020-10-16 | 中国科学院合肥物质科学研究院 | Estimation method of elbow joint contractile muscle strength based on adaptive long-term memory network |
| CN112006686A (en)* | 2020-07-09 | 2020-12-01 | 浙江大学 | Neck muscle fatigue analysis method and system |
| CN112120697A (en)* | 2020-09-25 | 2020-12-25 | 福州大学 | Muscle fatigue advanced prediction and classification method based on surface electromyographic signals |
| CN112957056A (en)* | 2021-03-16 | 2021-06-15 | 苏州大学 | Method and system for extracting muscle fatigue grade features by utilizing cooperative network |
| CN113261981A (en)* | 2021-05-21 | 2021-08-17 | 华南理工大学 | Quantitative assessment method and system for upper limb spasm based on surface myoelectric signal |
| CA3180209A1 (en)* | 2020-04-16 | 2021-10-21 | Universite Laval | Method of generating an indication of muscle fatigue, sensor and system therefor |
| CN114159079A (en)* | 2021-11-18 | 2022-03-11 | 中国科学院合肥物质科学研究院 | Multi-type muscle fatigue detection method based on feature extraction and GRU deep learning model |
| Publication number | Priority date | Publication date | Assignee | Title |
|---|---|---|---|---|
| WO2008031208A1 (en)* | 2006-09-16 | 2008-03-20 | Terence Gilhuly | Modeling and control for highly variable and nonlinear processes |
| CN103006212A (en)* | 2013-01-15 | 2013-04-03 | 中国医学科学院生物医学工程研究所 | Electrostimulation induced muscular fatigue evaluation method using approximate entropy for analyzing induced myoelectric M waves |
| WO2015074010A2 (en)* | 2013-11-18 | 2015-05-21 | Beth Israel Deaconess Medical Center, Inc. | Compositions and methods for cardiac regeneration |
| CN104224169A (en)* | 2014-10-14 | 2014-12-24 | 沈阳工程学院 | Surface electromyogram signal linear analyzing method for judging human body muscle fatigue |
| WO2016065404A1 (en)* | 2014-10-31 | 2016-05-06 | Rmit University | Soft tissue management method and system |
| WO2017027232A1 (en)* | 2015-08-12 | 2017-02-16 | The General Hospital Corporation | System and method for sympathetic and parasympathetic activity monitoring by heartbeat |
| GB201811641D0 (en)* | 2018-07-16 | 2018-08-29 | Imperial Innovations Ltd | Methods for enabling movement of objects and associated apparatus |
| CN109222969A (en)* | 2018-10-31 | 2019-01-18 | 郑州大学 | A kind of wearable human upper limb muscular movement fatigue detecting and training system based on Fusion |
| CN109259762A (en)* | 2018-11-02 | 2019-01-25 | 郑州大学 | A kind of muscular fatigue comprehensive test device based on multivariate data fusion |
| CN110355761A (en)* | 2019-07-15 | 2019-10-22 | 武汉理工大学 | A kind of healing robot control method based on joint stiffness and muscular fatigue |
| CN110618754A (en)* | 2019-08-30 | 2019-12-27 | 电子科技大学 | Surface electromyogram signal-based gesture recognition method and gesture recognition armband |
| CN111329476A (en)* | 2020-03-04 | 2020-06-26 | 中国科学技术大学 | Method and device for estimating muscle strength based on microscopic nerve driving information |
| CA3180209A1 (en)* | 2020-04-16 | 2021-10-21 | Universite Laval | Method of generating an indication of muscle fatigue, sensor and system therefor |
| CN112006686A (en)* | 2020-07-09 | 2020-12-01 | 浙江大学 | Neck muscle fatigue analysis method and system |
| CN111772669A (en)* | 2020-08-18 | 2020-10-16 | 中国科学院合肥物质科学研究院 | Estimation method of elbow joint contractile muscle strength based on adaptive long-term memory network |
| CN112120697A (en)* | 2020-09-25 | 2020-12-25 | 福州大学 | Muscle fatigue advanced prediction and classification method based on surface electromyographic signals |
| CN112957056A (en)* | 2021-03-16 | 2021-06-15 | 苏州大学 | Method and system for extracting muscle fatigue grade features by utilizing cooperative network |
| CN113261981A (en)* | 2021-05-21 | 2021-08-17 | 华南理工大学 | Quantitative assessment method and system for upper limb spasm based on surface myoelectric signal |
| CN114159079A (en)* | 2021-11-18 | 2022-03-11 | 中国科学院合肥物质科学研究院 | Multi-type muscle fatigue detection method based on feature extraction and GRU deep learning model |
| Title |
|---|
| AL HARRACH M: "Analysis of the semg/force relationship using hd-semg technique and data fusion: a simulation study", 《COMPUTERS IN BIOLOGY AND MEDICINE》, no. 83, pages 34* |
| ASEFI M: "Dynamic modeling of semg–force relation in the presence of muscle fatigue during isometric contractions", 《BIOMEDICAL SIGNAL PROCESSING AND CONTROL,》, no. 28, pages 41 - 49* |
| LO MARTIRE, R., GLADH, K., WESTMAN, A., & ÄNG, B. O: "Neck muscle EMG-force relationship and its reliability during isometric contractions", 《SPORTS MEDICINE-OPEN》, vol. 3, no. 1, pages 1 - 10* |
| PHILLIPS C A: "Biomimetic model of skeletal muscle isometric contraction: i. an energetic–viscoelastic model for the skeletal muscle isometric force twitch", 《COMPUTERS IN BIOLOGY AND MEDICINE》, vol. 34, no. 4, pages 307* |
| XIAHOU, S., LIANG, Y., MA, M., & DU, M: "A strong anti-noise segmentation algorithm based on variational mode decomposition and multi-wavelet for wearable heart sound acquisition system", 《REVIEW OF SCIENTIFIC INSTRUMENTS》, vol. 93, no. 5, pages 1 - 5, XP012265482, DOI: 10.1063/5.0071316* |
| 李翰君;刘卉;张新;于冰;: "基于肌电和优化方法的关节肌力分布模型", 《中国运动医学杂志》, vol. 33, no. 10, pages 981 - 985* |
| 熊凯文等: "基于表面肌电的模拟飞行时坐姿致腰部肌肉疲劳的研究", 《航天医学与医学工程》, vol. 31, no. 6, pages 590* |
| 王林杰等: "飞轮及杠铃力量锻炼对下肢肌群影响的肌电图比较研究", 《航天医学与医学工程》, vol. 31, no. 5, pages 489* |
| Publication number | Priority date | Publication date | Assignee | Title |
|---|---|---|---|---|
| CN115965127A (en)* | 2022-12-12 | 2023-04-14 | 天津大学 | Muscle fatigue prediction method and system based on multi-element signal fusion and electric stimulator |
| CN115965127B (en)* | 2022-12-12 | 2023-11-17 | 天津大学 | Muscle fatigue prediction method, system and electrical stimulator based on multi-signal fusion |
| CN116202684A (en)* | 2023-03-07 | 2023-06-02 | 上海交通大学 | Calibration method of nonlinear grip state evaluation device |
| CN116687429A (en)* | 2023-06-06 | 2023-09-05 | 重庆邮电大学 | Muscle real-time monitoring and analyzing system based on lower limb exoskeleton robot |
| CN119454054A (en)* | 2024-10-24 | 2025-02-18 | 暨南大学 | A prediction algorithm for muscle strength and fatigue based on surface electromyography signals |
| Publication number | Publication date |
|---|---|
| CN114931390B (en) | 2023-06-13 |
| Publication | Publication Date | Title |
|---|---|---|
| CN114931390A (en) | Muscle force estimation method based on fatigue analysis | |
| CN111443294B (en) | Method and device for indirectly predicting remaining life of lithium ion battery | |
| CN108714026B (en) | Fine-grained electrocardiosignal classification method based on deep convolutional neural network and online decision fusion | |
| CN103018673B (en) | Method for predicating life of aerospace Ni-Cd storage battery based on improved dynamic wavelet neural network | |
| CN112685961A (en) | Method and system for predicting remaining service life of analog circuit | |
| CN111329476B (en) | A method and device for muscle strength estimation based on microscopic neural drive information | |
| Westwick et al. | Identification of multiple-input systems with highly coupled inputs: application to EMG prediction from multiple intracortical electrodes | |
| CN101894296B (en) | Method for realizing analogue circuit fault diagnosis based on standard deviation and skewness by neural network | |
| CN108875126A (en) | Electrolytic capacitor method for predicting residual useful life | |
| CN103679199B (en) | Independent component analysis method of making an uproar based on invasive weeds algorithm | |
| CN113435321A (en) | Method, system and equipment for evaluating state of main shaft bearing and readable storage medium | |
| CN113761777A (en) | Ultra-short-term photovoltaic power prediction method based on HP-OVMD | |
| CN102253301B (en) | Analog circuit fault diagnosis method based on differential evolution algorithm and static classification of echo state network | |
| CN116602681A (en) | Emotion state evaluation method and system based on skin electric signals | |
| CN113960090A (en) | LSTM neural network algorithm-based soil Cd element spectrum qualitative analysis method | |
| US20230153585A1 (en) | Dual State Circuit for Energy Efficient Hardware Implementation of Spiking Neural Networks | |
| Jali et al. | Pattern recognition of EMG signal during load lifting using Artificial Neural Network (ANN) | |
| Fesce et al. | Fluctuation analysis of nonideal shot noise. Application to the neuromuscular junction. | |
| Kranjec et al. | Improved assessment of muscle excitation from surface electromyograms in isometric muscle contractions | |
| CN110738093B (en) | Classification method based on improved small world echo state network electromyography | |
| CN116777793B (en) | Medical image prompt denoising technology based on logarithmic guide contrast learning | |
| Zacharelos et al. | On-chip spike detection and classification using neural networks and approximate computing | |
| CN106709467A (en) | Real-time spike potential detection and classification method suitable for hardware realization | |
| CN112883655B (en) | A Parameter Identification Method of DC-DC Converter Based on Dendritic Network | |
| CN116304940A (en) | Analog circuit fault diagnosis method based on long-short-term memory neural network |
| Date | Code | Title | Description |
|---|---|---|---|
| PB01 | Publication | ||
| PB01 | Publication | ||
| SE01 | Entry into force of request for substantive examination | ||
| SE01 | Entry into force of request for substantive examination | ||
| GR01 | Patent grant | ||
| GR01 | Patent grant |