Movatterモバイル変換


[0]ホーム

URL:


CN114911252A - Method, device, equipment and medium for determining rocket attitude based on telemetry data - Google Patents

Method, device, equipment and medium for determining rocket attitude based on telemetry data
Download PDF

Info

Publication number
CN114911252A
CN114911252ACN202210829246.4ACN202210829246ACN114911252ACN 114911252 ACN114911252 ACN 114911252ACN 202210829246 ACN202210829246 ACN 202210829246ACN 114911252 ACN114911252 ACN 114911252A
Authority
CN
China
Prior art keywords
speed
horizon
rocket
coordinate
earth
Prior art date
Legal status (The legal status is an assumption and is not a legal conclusion. Google has not performed a legal analysis and makes no representation as to the accuracy of the status listed.)
Granted
Application number
CN202210829246.4A
Other languages
Chinese (zh)
Other versions
CN114911252B (en
Inventor
王斌
赵磊
董玮
高超
吴新林
吴凌根
Current Assignee (The listed assignees may be inaccurate. Google has not performed a legal analysis and makes no representation or warranty as to the accuracy of the list.)
Beijing Aerospace Yuxing Technology Co.,Ltd.
Original Assignee
Emposat Co Ltd
Priority date (The priority date is an assumption and is not a legal conclusion. Google has not performed a legal analysis and makes no representation as to the accuracy of the date listed.)
Filing date
Publication date
Application filed by Emposat Co LtdfiledCriticalEmposat Co Ltd
Priority to CN202210829246.4ApriorityCriticalpatent/CN114911252B/en
Publication of CN114911252ApublicationCriticalpatent/CN114911252A/en
Application grantedgrantedCritical
Publication of CN114911252BpublicationCriticalpatent/CN114911252B/en
Activelegal-statusCriticalCurrent
Anticipated expirationlegal-statusCritical

Links

Images

Classifications

Landscapes

Abstract

The invention relates to the technical field of aerospace, and provides a method, a device, equipment and a medium for determining rocket attitude based on telemetering data, wherein the method comprises the following steps: acquiring coordinates and speed of a ground-fixed system of the rocket; constructing a rotation matrix according to the coordinates of the earth-solid system; converting the speed corresponding to the ground-fixed system coordinate into the speed of the horizontal coordinate system according to the rotation matrix and the speed; carrying out normalization processing on the speed of the horizontal coordinate system; and solving the attitude angle of the rocket according to the speed of the horizontal coordinate system after the normalization processing. The scheme can accurately determine the rocket attitude and guarantee the execution of subsequent tasks.

Description

Method, device, equipment and medium for determining rocket attitude based on telemetry data
Technical Field
The invention relates to the technical field of spaceflight, in particular to a method, a device, electronic equipment and a computer readable medium for determining rocket attitude based on telemetering data.
Background
With the continuous development of human aerospace activities, a rocket is continuously launched to the space. Attitude changes during rocket launching are critical to the performance of subsequent tasks.
At present, commercial satellites are carried on rockets to be launched into the outer space, although devices such as inertial navigation devices and the like which can directly resolve rocket attitudes are arranged on the rockets, satellite operators cannot directly acquire the attitude data in the rocket launching process, and attitude changes in the rocket launching process cannot be obtained.
Therefore, it is necessary to develop a method, an apparatus, a device, and a medium for determining a rocket attitude based on telemetry data to obtain the rocket attitude and further guarantee the execution of subsequent tasks.
Disclosure of Invention
The invention aims to provide a method, a device, equipment and a medium for determining rocket attitude based on telemetering data, which are used for obtaining the rocket attitude and further guaranteeing the execution of subsequent tasks.
To solve the above technical problems, as an aspect of the present invention, there is provided a method for determining a rocket attitude based on telemetry data, comprising the steps of:
acquiring coordinates and speed of a ground-fixed system of the rocket;
constructing a rotation matrix according to the coordinates of the earth-solid system;
converting the speed corresponding to the ground-fixed system coordinate into the speed of the horizontal coordinate system according to the rotation matrix and the speed;
carrying out normalization processing on the speed of the horizontal coordinate system;
and solving the attitude angle of the rocket according to the speed of the horizontal coordinate system after the normalization processing.
According to an exemplary embodiment of the present invention, the method for constructing the rotation matrix according to the earth-fixed system coordinates comprises: according to the conversion relation among the earth-fixed system coordinate, the earth-fixed system and the horizon coordinate system, the longitude coordinate and the latitude coordinate of the horizon coordinate system are solved; and constructing a rotation matrix according to the longitude coordinate and the latitude coordinate.
The horizon coordinate system includes a longitude direction, a latitude direction, and an altitude direction.
According to an example embodiment of the present invention, the rotation matrices include a first rotation matrix and a second rotation matrix;
the first rotation matrix is:
Figure 16185DEST_PATH_IMAGE001
the second rotation matrix is:
Figure 977975DEST_PATH_IMAGE002
where R1 denotes a first rotation matrix, R2 denotes a second rotation matrix, lon denotes a longitude coordinate of the rocket, and lat denotes a latitude coordinate of the rocket.
According to an example embodiment of the present invention, the earth-fixed system coordinates include x-direction coordinates, y-direction coordinates, and z-direction coordinates.
The speeds (i.e., speeds corresponding to the coordinates of the earth-fixed system) include a first earth-fixed speed, a second earth-fixed speed, and a third earth-fixed speed.
The first ground fixing speed corresponds to the speed of the ground fixing system in the x direction;
the second ground speed corresponds to the speed of the ground fastening system in the y direction;
the third ground speed corresponds to the speed of the ground system in the z direction.
According to an example embodiment of the present invention, the speed of the horizon coordinate system comprises a first horizon speed, a second horizon speed, and a third horizon speed.
The first horizon speed corresponds to a speed in a longitude direction;
the second horizon speed corresponds to the speed in the latitude direction;
the third ground speed corresponds to a speed in the height direction.
According to an example embodiment of the present invention, the method for converting the speed corresponding to the earth-fixed system coordinate into the speed of the earth-fixed system coordinate according to the rotation matrix and the speed comprises:
converting the speed corresponding to the coordinates of the earth-solid system into the speed of the horizon coordinate system according to aformula 1;
Figure 259370DEST_PATH_IMAGE003
formula 1;
wherein v isx1 Representing a first horizon speed, vy1 Representing a second horizon speed, vz1 Representing a third horizon speed, vx Representing a first earth velocity, vy Indicating a second ground speed, vz Representing a third groundspeed.
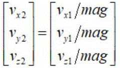
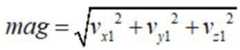
According to an exemplary embodiment of the present invention, the normalization process of the velocity of the horizontal coordinate system uses formula 2:
Figure 89441DEST_PATH_IMAGE004
formula 2;
wherein,
Figure 44234DEST_PATH_IMAGE005
,vx2 representing the normalized first horizon speed, vy2 Representing the normalized second horizon speed, vz2 Representing the normalized third horizon speed.
According to an example embodiment of the invention, the attitude angle comprises a pitch angle and a yaw angle.
According to an exemplary embodiment of the present invention, the method for solving the attitude angle of the rocket according to the normalized speed of the horizon coordinate system adopts formula 3:
Figure 197830DEST_PATH_IMAGE006
formula 3;
wherein att1 represents roll angle, att2 represents pitch angle, and att3 represents yaw angle.
As a second aspect of the invention, there is provided an apparatus for determining rocket attitude based on telemetry data, comprising:
the ground-fixed system coordinate acquisition module is used for acquiring the ground-fixed system coordinate of the rocket;
the speed acquisition module is used for acquiring the speed of the rocket;
the rotation matrix construction module is connected with the earth-fixed system coordinate acquisition module and used for constructing a rotation matrix according to the earth-fixed system coordinate;
the horizon speed conversion module is connected with the speed acquisition module and the rotation matrix construction module and is used for converting the speed corresponding to the coordinates of the ground-fixed system into the speed of the horizon coordinate system according to the rotation matrix and the speed;
the normalization processing module is connected with the horizontal speed conversion module and is used for performing normalization processing on the speed of the horizontal coordinate system;
and the attitude angle solving module is connected with the normalization processing module and is used for solving the attitude angle of the rocket according to the speed of the horizontal coordinate system after normalization processing.
As a third aspect of the present invention, there is provided an electronic apparatus comprising:
one or more processors;
storage means for storing one or more programs;
when executed by the one or more processors, cause the one or more processors to implement the method for determining rocket attitude based on telemetry data.
As a fourth aspect of the invention, a computer calibration medium is provided, on which a computer program is stored which, when executed by a processor, implements the method for determining rocket attitude based on telemetry data.
The invention has the beneficial effects that:
the attitude angle of the rocket is solved under the condition that only the coordinates and the speed of the ground-fixed system of the rocket can be acquired, the actual data is used for solving, the result of the attitude angle is accurate, and the follow-up task execution is guaranteed.
Drawings
FIG. 1 schematically shows a block diagram of an apparatus for determining rocket attitude based on telemetry data.
FIG. 2 schematically illustrates a step diagram of a method of determining rocket attitude based on telemetry data.
Fig. 3 schematically shows a block diagram of an electronic device.
FIG. 4 schematically shows a block diagram of a computer-readable medium.
The system comprises a 1-earth-solid system coordinate acquisition module, a 2-speed acquisition module, a 3-rotation matrix construction module, a 4-horizon speed conversion module, a 5-normalization processing module and a 6-attitude angle solving module.
Detailed Description
Example embodiments will now be described more fully with reference to the accompanying drawings. Example embodiments may, however, be embodied in many different forms and should not be construed as limited to the embodiments set forth herein; rather, these embodiments are provided so that this disclosure will be thorough and complete, and will fully convey the concept of example embodiments to those skilled in the art. The same reference numerals denote the same or similar parts in the drawings, and thus, a repetitive description thereof will be omitted.
Furthermore, the described features, structures, or characteristics may be combined in any suitable manner in one or more embodiments. In the following description, numerous specific details are provided to give a thorough understanding of embodiments of the application. One skilled in the relevant art will recognize, however, that the subject matter of the present application can be practiced without one or more of the specific details, or with other methods, components, devices, steps, and so forth. In other instances, well-known methods, devices, implementations, or operations have not been shown or described in detail to avoid obscuring aspects of the application.
The block diagrams shown in the figures are functional entities only and do not necessarily correspond to physically separate entities. I.e. these functional entities may be implemented in the form of software, or in one or more hardware modules or integrated circuits, or in different networks and/or processor means and/or microcontroller means.
The flow charts shown in the drawings are merely illustrative and do not necessarily include all of the contents and operations/steps, nor do they necessarily have to be performed in the order described. For example, some operations/steps may be decomposed, and some operations/steps may be combined or partially combined, so that the actual execution sequence may be changed according to the actual situation.
It will be understood that, although the terms first, second, third, etc. may be used herein to describe various components, these components should not be limited by these terms. These terms are used to distinguish one element from another. Thus, a first component discussed below may be termed a second component without departing from the teachings of the present concepts. As used herein, the term "and/or" includes any and all combinations of one or more of the associated listed items.
It will be appreciated by those skilled in the art that the drawings are merely schematic representations of exemplary embodiments, and that the blocks or processes shown in the drawings are not necessarily required to practice the present application and are, therefore, not intended to limit the scope of the present application.
According to a first embodiment of the present invention, there is provided an apparatus for determining rocket attitude based on telemetry data, as shown in fig. 1, including a geostationary coordinateacquisition module 1, a velocity acquisition module 2, a rotation matrix construction module 3, a horizon-to-horizon transformation module 4, a normalization processing module 5, and an attitude angle solving module 6.
As shown in fig. 1, the earth-fixed system coordinateacquisition module 1 is connected with the rotation matrix construction module 3, the horizon-to-horizon conversion module 4 is connected with the speed acquisition module 2, the rotation matrix construction module 3 and the normalization processing module 5, and the attitude angle solving module 6 is connected with the normalization processing module 5.
The ground-fixed system coordinateacquisition module 1 is used for acquiring ground-fixed system coordinates of the rocket, including x-direction coordinates, y-direction coordinates and z-direction coordinates of the rocket. The earth fixation system is a coordinate system in three directions of x, y and z, which is established by taking the geocentric as an origin.
The speed acquisition module 2 is used for acquiring the speed of the rocket, and comprises a first ground-fixed speed, a second ground-fixed speed and a third ground-fixed speed.
The first ground speed corresponds to the speed of the ground system in the x direction, the second ground speed corresponds to the speed of the ground system in the y direction, and the third ground speed corresponds to the speed of the ground system in the z direction.
The earth-fixation system coordinateacquisition module 1 and the speed acquisition module 2 are both acquired from telemetry data.
The rotation matrix building module 3 is used for building a rotation matrix according to the earth fixation system coordinates.
The horizon speed conversion module 4 is used for converting the speed corresponding to the earth-fixed system coordinate into the speed of the horizon coordinate system according to the rotation matrix and the speed.
The normalization processing module 5 is used for performing normalization processing on the speed of the horizontal coordinate system.
And the attitude angle solving module 6 is used for solving the attitude angle of the rocket according to the speed of the horizontal coordinate system after the normalization processing.
By the device, maintenance and operators of commercial satellites can directly solve the attitude angle of the rocket through telemetering data to prepare for execution of subsequent tasks.
As a second embodiment of the present invention, there is provided a method for determining rocket attitude based on telemetry data, as shown in FIG. 2, comprising the steps of:
this solution is implemented using the apparatus of the first embodiment.
S1: and acquiring the coordinates and the speed of the ground-fixed system of the rocket.
The earth-solid system coordinateacquisition module 1 and the speed acquisition module 2 acquire corresponding earth-solid system coordinates and speed through telemetry data issued by a satellite carried on a rocket.
The earth fixation system is a coordinate system established by taking the geocenter as an origin, and comprises an x direction, a y direction and a z direction. The coordinates of the earth-fixed system include x-direction coordinates, y-direction coordinates, and z-direction coordinates. The speeds (speeds corresponding to the coordinates of the earth-solid system) include a first earth-solid speed, a second earth-solid speed and a third earth-solid speed. The first ground fixing speed corresponds to the speed of the ground fixing system in the x direction; the second ground speed corresponds to the speed of the ground fastening system in the y direction; the third ground speed corresponds to the speed of the ground system in the z direction.
S2: and constructing a rotation matrix according to the earth fixation system coordinates.
The earth-fixed coordinate system is also called an earth coordinate system and is a coordinate system fixed on the earth and rotating together with the earth. The earth-fixed coordinate system is a coordinate axis established with the earth center (sphere center) as the origin.
The horizon coordinate system is a celestial coordinate system which takes an observer on the ground as the center and takes the horizon circle of the point as a basic plane. The plane passing through the center of the celestial sphere (actually the eyes of the observer) and perpendicular to the plumb line (the line connecting the zenith and the nadir) is called the ground plane of the earth, and the great circle formed by the intersection of the ground plane and the celestial sphere is called the horizon ring. The horizon coordinate system is also called the geodetic coordinate system and is also the wgs84 coordinate system.
The coordinates of the coordinate system of the horizon include longitude coordinates, latitude coordinates, and altitude coordinates. In actual operation, the observation point is set in Shaanxi. The transformation relationship between the earth-fixed system and the horizon is known.
The rotation matrix construction module 3 calculates longitude coordinates lon and latitude coordinates lat of the horizon coordinate system according to the conversion relation among the earth fixed system coordinates, the earth fixed system and the horizon coordinate system, and then constructs a rotation matrix according to the longitude coordinates lon and the latitude coordinates lat, wherein the rotation matrix comprises a first rotation matrix and a second rotation matrix.
The first rotation matrix is:
Figure 939039DEST_PATH_IMAGE001
the second rotation matrix is:
Figure 301363DEST_PATH_IMAGE002
where R1 denotes a first rotation matrix, R2 denotes a second rotation matrix, lon denotes a longitude coordinate of the rocket, and lat denotes a latitude coordinate of the rocket.
S3: and converting the speed corresponding to the ground-fixed system coordinate into the speed of the horizontal coordinate system according to the rotation matrix and the speed.
The coordinates of the rocket are converted from a ground-fixed system to a horizontal coordinate system, and corresponding speeds in three directions of the coordinate system are changed accordingly, so that the speeds need to be converted correspondingly according to the conversion of the coordinate system.
The velocities in the x, y, and z directions corresponding to the earth-fixed system (velocities corresponding to the earth-fixed system coordinates) are the first earth-fixed velocity, the second earth-fixed velocity, and the third earth-fixed velocity, respectively. The speeds of the longitude, the latitude and the altitude corresponding to the horizon coordinate system (the speed of the horizon coordinate system) are respectively a first horizon speed, a second horizon speed and a third horizon speed.
The horizon speed conversion module 4 converts the speed corresponding to the earth-fixed system coordinate into the speed of the horizon coordinate system according to the rotation matrix and the speed, and adopts aformula 1.
Figure 754339DEST_PATH_IMAGE003
Formula 1;
wherein v isx1 Representing a first horizon speed, vy1 Representing a second horizon speed, vz1 Represents a third horizon speed, vx Representing a first earth velocity, vy Indicating a second ground speed, vz Representing a third groundspeed.
After conversion, speed matrixes of the horizon coordinate system in three directions are obtained, wherein the speed matrixes comprise a first horizon speed, a second horizon speed and a third horizon speed.
The horizon coordinate system takes an observation point (a station) as an origin, and coordinate axes in the longitude direction, the latitude direction and the height direction are established, wherein the first horizon speed is the speed in the longitude direction, the second horizon speed is the speed in the latitude direction, and the third horizon speed is the speed in the height direction.
S4: and carrying out normalization processing on the speed of the horizontal coordinate system.
The normalization processing module 5 normalizes the speed of the horizon coordinate system by using the formula 2.
Figure 916986DEST_PATH_IMAGE004
Formula 2;
wherein,
Figure 703414DEST_PATH_IMAGE005
,vx2 representing the normalized first horizon speed, vy2 Representing the normalized second horizon speed, vz2 Representing the normalized third horizon speed.
S5: and solving the attitude angle of the rocket according to the speed of the horizontal coordinate system after the normalization processing.
The attitude angles include a roll angle, a pitch angle, and a yaw angle.
The method for solving the attitude angle of the rocket by the attitude angle solving module 6 according to the speed of the horizontal coordinate system after the normalization processing adopts a formula 3:
Figure 801253DEST_PATH_IMAGE006
formula 3;
wherein att1 represents roll angle, att2 represents pitch angle, and att3 represents yaw angle.
In equation 3, the roll angle is set to 0 because the roll angle cannot be calculated according to the velocity, and the data required by the commercial satellite operator and the maintenance provider are the pitch angle and the yaw angle, so that only the pitch angle and the yaw angle are required.
Table 1 is a table of attitude angles obtained by the above-described method.
TABLE 1
Figure 2077DEST_PATH_IMAGE007
t represents the time elapsed from the takeoff moment of the rocket, and the unit is second; x represents the coordinate value of the earth-fixed system coordinate in the x direction, and the unit is meter; y represents a coordinate value in the y direction of the earth-fixed system coordinate, and the unit is meter; z represents a coordinate value of the earth-fixed system coordinate in the z direction, and the unit is meter; vx represents a first earth-fixed velocity in meters per second; vy represents a second groundspeed in meters per second; vz represents third earth velocity in meters per second; pitching represents the pitch angle of the rocket, and the unit is degree; yaw represents the yaw angle of the rocket in degrees. As can be seen from Table 1, the attitude angle (pitch angle and yaw angle) of the rocket can be obtained according to the coordinates and the speed of the earth-solid system of the telemetering data, and the data are accurate, so that the execution of subsequent tasks is guaranteed.
According to a third embodiment of the present invention, there is provided an electronic device, as shown in fig. 3, and fig. 3 is a block diagram of an electronic device according to an exemplary embodiment.
Anelectronic device 800 according to this embodiment of the application is described below with reference to fig. 3. Theelectronic device 800 shown in fig. 3 is only an example and should not bring any limitation to the functions and the scope of use of the embodiments of the present application.
As shown in fig. 3,electronic device 800 is in the form of a general purpose computing device. The components of theelectronic device 800 may include, but are not limited to: at least oneprocessing unit 810, at least onememory unit 820, abus 830 that couples various system components including thememory unit 820 and theprocessing unit 810, adisplay unit 840, and the like.
Wherein the storage unit stores program code that can be executed by theprocessing unit 810, such that theprocessing unit 810 performs the steps according to various exemplary embodiments of the present application described in the present specification. For example, theprocessing unit 810 may perform the steps as shown in fig. 2.
Thememory unit 820 may include readable media in the form of volatile memory units such as a random access memory unit (RAM) 8201 and/or acache memory unit 8202, and may further include a read only memory unit (ROM) 8203.
Thememory unit 820 may also include a program/utility 8204 having a set (at least one) ofprogram modules 8205,such program modules 8205 including, but not limited to: an operating system, one or more application programs, other program modules, and program data, each of which, or some combination thereof, may comprise an implementation of a network environment.
Bus 830 may be any of several types of bus structures including a memory unit bus or memory unit controller, a peripheral bus, an accelerated graphics port, a processing unit, or a local bus using any of a variety of bus architectures.
Theelectronic device 800 may also communicate with one or more external devices 800' (e.g., keyboard, pointing device, bluetooth device, etc.) such that a user can communicate with devices with which theelectronic device 800 interacts, and/or any devices (e.g., router, modem, etc.) with which theelectronic device 800 can communicate with one or more other computing devices. Such communication may occur via input/output (I/O) interfaces 850. Also, theelectronic device 800 may communicate with one or more networks (e.g., a Local Area Network (LAN), a Wide Area Network (WAN), and/or a public network, such as the internet) via thenetwork adapter 860. Thenetwork adapter 860 may communicate with other modules of theelectronic device 800 via thebus 830. It should be appreciated that although not shown, other hardware and/or software modules may be used in conjunction with theelectronic device 800, including but not limited to: microcode, device drivers, redundant processing units, external disk drive arrays, RAID systems, tape drives, and data backup storage systems, among others.
Through the above description of the embodiments, those skilled in the art will readily understand that the exemplary embodiments described herein may be implemented by software, or by software in combination with necessary hardware.
Thus, according to a fourth embodiment of the present invention, there is provided a computer readable medium. As shown in fig. 4, the technical solution according to the embodiment of the present invention may be embodied in the form of a software product, which may be stored in a non-volatile storage medium (which may be a CD-ROM, a usb disk, a removable hard disk, etc.) or on a network, and includes several instructions to enable a computing device (which may be a personal computer, a server, or a network device, etc.) to execute the above method according to the embodiment of the present invention.
The software product may employ any combination of one or more readable media. The readable medium may be a readable signal medium or a readable storage medium. A readable storage medium may be, for example, but not limited to, an electronic, magnetic, optical, electromagnetic, infrared, or semiconductor system, apparatus, or device, or any combination of the foregoing. More specific examples (a non-exhaustive list) of the readable storage medium include: an electrical connection having one or more wires, a portable disk, a hard disk, a Random Access Memory (RAM), a read-only memory (ROM), an erasable programmable read-only memory (EPROM or flash memory), an optical fiber, a portable compact disc read-only memory (CD-ROM), an optical storage device, a magnetic storage device, or any suitable combination of the foregoing.
The computer readable storage medium may include a propagated data signal with readable program code embodied therein, for example, in baseband or as part of a carrier wave. Such a propagated data signal may take many forms, including, but not limited to, electro-magnetic, optical, or any suitable combination thereof. A readable storage medium may also be any readable medium that is not a readable storage medium and that can communicate, propagate, or transport a program for use by or in connection with an instruction execution system, apparatus, or device. Program code embodied on a readable storage medium may be transmitted using any appropriate medium, including but not limited to wireless, wireline, optical fiber cable, RF, etc., or any suitable combination of the foregoing.
Program code for carrying out operations for aspects of the present invention may be written in any combination of one or more programming languages, including an object oriented programming language such as Java, C + + or the like and conventional procedural programming languages, such as the "C" programming language or similar programming languages. The program code may execute entirely on the user's computing device, partly on the user's device, as a stand-alone software package, partly on the user's computing device and partly on a remote computing device, or entirely on the remote computing device or server. In the case of a remote computing device, the remote computing device may be connected to the user computing device through any kind of network, including a Local Area Network (LAN) or a Wide Area Network (WAN), or may be connected to an external computing device (e.g., through the internet using an internet service provider).
The computer-readable medium carries one or more programs which, when executed by a device, cause the computer-readable medium to carry out the functions of the second embodiment.
Those skilled in the art will appreciate that the modules described above may be distributed in the apparatus according to the description of the embodiments, or may be modified accordingly in one or more apparatuses unique from the embodiments. The modules of the above embodiments may be combined into one module, or further split into multiple sub-modules.
Through the above description of the embodiments, those skilled in the art will readily understand that the exemplary embodiments described herein may be implemented by software, or by software in combination with necessary hardware. Therefore, the technical solution according to the embodiment of the present invention can be embodied in the form of a software product, which can be stored in a non-volatile storage medium (which can be a CD-ROM, a usb disk, a removable hard disk, etc.) or on a network, and includes several instructions to enable a computing device (which can be a personal computer, a server, a mobile terminal, or a network device, etc.) to execute the method according to the embodiment of the present invention.
The above is only a preferred embodiment of the present invention, and is not intended to limit the present invention, and various modifications and changes will occur to those skilled in the art. Any modification, equivalent replacement, or improvement made within the spirit and principle of the present invention should be included in the protection scope of the present invention.

Claims (10)

1. A method for determining rocket attitude based on telemetry data, comprising the steps of:
acquiring coordinates and speed of a ground-fixed system of the rocket;
constructing a rotation matrix according to the coordinates of the earth-solid system;
converting the speed corresponding to the ground-fixed system coordinate into the speed of the horizontal coordinate system according to the rotation matrix and the speed;
carrying out normalization processing on the speed of the horizontal coordinate system;
and solving the attitude angle of the rocket according to the speed of the horizontal coordinate system after the normalization processing.
2. A method for determining rocket attitude based on telemetry data as claimed in claim 1, wherein said method for constructing a rotation matrix from earth-fixed system coordinates comprises: according to the conversion relation among the earth-fixed system coordinate, the earth-fixed system and the horizon coordinate system, the longitude coordinate and the latitude coordinate of the horizon coordinate system are solved; and constructing a rotation matrix according to the longitude coordinate and the latitude coordinate.
3. A method of determining rocket attitude based on telemetry data as claimed in claim 2, wherein said rotation matrix comprises a first rotation matrix and a second rotation matrix;
the first rotation matrix is:
Figure 239458DEST_PATH_IMAGE001
the second rotation matrix is:
Figure 83654DEST_PATH_IMAGE002
wherein R is1 Representing a first rotation matrix, R2 Representing the second rotation matrix, lon representing the longitude coordinate of the rocket, and lat representing the latitude coordinate of the rocket.
4. A method for determining rocket attitude based on telemetry data as claimed in claim 3, wherein the velocities corresponding to the earth-solid system coordinates include a first earth-solid velocity, a second earth-solid velocity and a third earth-solid velocity; the speed of the horizon coordinate system comprises a first horizon speed, a second horizon speed and a third horizon speed;
the method for converting the speed corresponding to the earth-fixed system coordinate into the speed of the horizon coordinate system according to the rotation matrix and the speed comprises the following steps:
converting the speed corresponding to the coordinates of the earth-solid system into the speed of the horizon coordinate system according to a formula 1;
Figure 194348DEST_PATH_IMAGE003
formula 1;
wherein v isx1 Representing a first horizon speed, vy1 Representing a second horizon speed, vz1 Representing a third horizon speed, vx Representing a first earth velocity, vy Indicating a second ground speed, vz Representing a third groundspeed.
5. A method for rocket attitude determination based on telemetry data as claimed in claim 4, wherein said method of normalizing the velocity of the horizon-coordinate system uses equation 2:
Figure 713797DEST_PATH_IMAGE004
formula 2;
wherein,
Figure 953849DEST_PATH_IMAGE005
,vx2 representing the normalized first horizon speed, vy2 Representing the normalized second horizon speed, vz2 Representing the normalized third horizon speed.
6. A method of determining rocket attitude based on telemetry data as claimed in claim 5, wherein the attitude angles include pitch angle and yaw angle.
7. A method for determining rocket attitude based on telemetry data as claimed in claim 6, wherein said method of solving the rocket attitude angle from the normalized velocity of the horizon-coordinate system uses equation 3:
Figure 58858DEST_PATH_IMAGE006
formula 3;
wherein att1 represents roll angle, att2 represents pitch angle, and att3 represents yaw angle.
8. An apparatus for determining rocket attitude based on telemetry data, comprising:
the ground-fixed system coordinate acquisition module is used for acquiring the ground-fixed system coordinate of the rocket;
the speed acquisition module is used for acquiring the speed of the rocket;
the rotation matrix construction module is connected with the earth-fixed system coordinate acquisition module and used for constructing a rotation matrix according to the earth-fixed system coordinate;
the horizon speed conversion module is connected with the speed acquisition module and the rotation matrix construction module and is used for converting the speed corresponding to the coordinates of the ground-fixed system into the speed of the horizon coordinate system according to the rotation matrix and the speed;
the normalization processing module is connected with the horizontal speed conversion module and is used for performing normalization processing on the speed of the horizontal coordinate system;
and the attitude angle solving module is connected with the normalization processing module and is used for solving the attitude angle of the rocket according to the speed of the horizontal coordinate system after normalization processing.
9. An electronic device, comprising:
one or more processors;
storage means for storing one or more programs;
when executed by the one or more processors, cause the one or more processors to implement the method of any one of claims 1-7.
10. A computer-readable medium, on which a computer program is stored, which, when being executed by a processor, carries out the method according to any one of claims 1-7.
CN202210829246.4A2022-07-152022-07-15Method, device, equipment and medium for determining rocket attitude based on telemetry dataActiveCN114911252B (en)

Priority Applications (1)

Application NumberPriority DateFiling DateTitle
CN202210829246.4ACN114911252B (en)2022-07-152022-07-15Method, device, equipment and medium for determining rocket attitude based on telemetry data

Applications Claiming Priority (1)

Application NumberPriority DateFiling DateTitle
CN202210829246.4ACN114911252B (en)2022-07-152022-07-15Method, device, equipment and medium for determining rocket attitude based on telemetry data

Publications (2)

Publication NumberPublication Date
CN114911252Atrue CN114911252A (en)2022-08-16
CN114911252B CN114911252B (en)2022-09-30

Family

ID=82772501

Family Applications (1)

Application NumberTitlePriority DateFiling Date
CN202210829246.4AActiveCN114911252B (en)2022-07-152022-07-15Method, device, equipment and medium for determining rocket attitude based on telemetry data

Country Status (1)

CountryLink
CN (1)CN114911252B (en)

Citations (13)

* Cited by examiner, † Cited by third party
Publication numberPriority datePublication dateAssigneeTitle
US20120212369A1 (en)*2011-02-172012-08-23ThalesMethod and system for determining navigation parameters of an aircraft
CN106052717A (en)*2016-07-152016-10-26中国西安卫星测控中心Method for calibrating radio wave refraction correction effects by virtue of precision trajectory
CN106441301A (en)*2016-09-192017-02-22北京机械设备研究所Air vehicle launching initial parameter acquiring method and system
CN110304270A (en)*2019-06-032019-10-08宁波天擎航天科技有限公司Omnidirectional emission control method, device, computer equipment for carrier rocket
CN110989650A (en)*2019-12-302020-04-10航天科工火箭技术有限公司Landing control method and device based on rocket return
CN111027204A (en)*2019-12-052020-04-17中国人民解放军63620部队Method for fusion processing of space emission light, thunder and remote and navigation satellite measurement data
CN111721291A (en)*2020-07-172020-09-29河北斐然科技有限公司Engineering algorithm for strapdown inertial navigation under launching system
CN112379680A (en)*2020-10-102021-02-19中国运载火箭技术研究院Aircraft attitude angle control method, control device and storage medium
CN112629538A (en)*2020-12-112021-04-09哈尔滨工程大学Ship horizontal attitude measurement method based on fusion complementary filtering and Kalman filtering
CN112989496A (en)*2021-04-202021-06-18星河动力(北京)空间科技有限公司Spacecraft guidance method, device, electronic equipment and storage medium
CN113203415A (en)*2021-04-122021-08-03北京航空航天大学Atomic gyro navigation system and navigation resolving method thereof
CN113920533A (en)*2021-09-282022-01-11黎川县梦施科技有限公司Sitting posture detection method and system and electronic equipment
CN114282166A (en)*2021-12-222022-04-05中国西安卫星测控中心Satellite longitude calculation method and orbital transfer discrimination method based on environment function matrix

Patent Citations (13)

* Cited by examiner, † Cited by third party
Publication numberPriority datePublication dateAssigneeTitle
US20120212369A1 (en)*2011-02-172012-08-23ThalesMethod and system for determining navigation parameters of an aircraft
CN106052717A (en)*2016-07-152016-10-26中国西安卫星测控中心Method for calibrating radio wave refraction correction effects by virtue of precision trajectory
CN106441301A (en)*2016-09-192017-02-22北京机械设备研究所Air vehicle launching initial parameter acquiring method and system
CN110304270A (en)*2019-06-032019-10-08宁波天擎航天科技有限公司Omnidirectional emission control method, device, computer equipment for carrier rocket
CN111027204A (en)*2019-12-052020-04-17中国人民解放军63620部队Method for fusion processing of space emission light, thunder and remote and navigation satellite measurement data
CN110989650A (en)*2019-12-302020-04-10航天科工火箭技术有限公司Landing control method and device based on rocket return
CN111721291A (en)*2020-07-172020-09-29河北斐然科技有限公司Engineering algorithm for strapdown inertial navigation under launching system
CN112379680A (en)*2020-10-102021-02-19中国运载火箭技术研究院Aircraft attitude angle control method, control device and storage medium
CN112629538A (en)*2020-12-112021-04-09哈尔滨工程大学Ship horizontal attitude measurement method based on fusion complementary filtering and Kalman filtering
CN113203415A (en)*2021-04-122021-08-03北京航空航天大学Atomic gyro navigation system and navigation resolving method thereof
CN112989496A (en)*2021-04-202021-06-18星河动力(北京)空间科技有限公司Spacecraft guidance method, device, electronic equipment and storage medium
CN113920533A (en)*2021-09-282022-01-11黎川县梦施科技有限公司Sitting posture detection method and system and electronic equipment
CN114282166A (en)*2021-12-222022-04-05中国西安卫星测控中心Satellite longitude calculation method and orbital transfer discrimination method based on environment function matrix

Non-Patent Citations (3)

* Cited by examiner, † Cited by third party
Title
李婷婷 等: "探空火箭任务可视化设计", 《计算机仿真》*
淡鹏 等: "一种火箭外测弹道实时重建的自适应滤波算法", 《弹箭与制导学报》*
胡豪 等: "空间运动目标实时引导数据解算探讨", 《科技传播》*

Also Published As

Publication numberPublication date
CN114911252B (en)2022-09-30

Similar Documents

PublicationPublication DateTitle
CN105184002B (en)A kind of several simulating analysis for passing antenna pointing angle
CN114297084B (en)Method and device for testing satellite test, operation and control data interface, electronic equipment and medium
CN103245364A (en)Method for testing dynamic performance of star sensor
CN101226113A (en) Star sensor function test method and device based on electric injection star map
CN113422641B (en)Test method and device for test, operation and control platform, electronic equipment and readable medium
JP2024045774A (en)Collision avoidance assistance system, information management method, mega-constellation business apparatus, debris removal business apparatus, debris removal system, debris removal program, ssa business apparatus, collision avoidance assistance business apparatus, satellite business apparatus, constellation business apparatus, rocket launch business apparatus, business apparatus, and open architecture data repository
JP2024069633A (en) Rocket and rocket launch method
CN114529602A (en)Space multi-target situation monitoring method and device
Almazrouei et al.A complete mission concept design and analysis of the student-led cubesat project: Light-1
KR20200074660A (en)A method for predicting satellite events embedded in satellite on-board software
Critchley-Marrows et al.A return to the sextant—Maritime navigation using celestial bodies and the horizon
CN114861119B (en) Method, device, equipment and medium for calculating right ascension and declination based on Euler angles
CN114911252B (en)Method, device, equipment and medium for determining rocket attitude based on telemetry data
CN114840812A (en) Euler angle calculation method, device, equipment and medium
Hashemi et al.Modification and hardware implementation of star tracker algorithms
CN115630261B (en)Method, system and equipment for calculating relative movement period of water drop configuration of spacecraft
CN111695081B (en) Space target acquisition method, device, device and storage medium
RU2468338C1 (en)Software and hardware complex of surveying system
Chen et al.Non-cooperative maritime target position and velocity measuring method based on monocular trajectory intersection for video satellite
CN119104068B (en) Mission planning method, device, equipment and medium for observing a specified location
CN119104069B (en) Method, device, electronic device and medium for determining visibility of space targets
Kuwahara et al.Low-Cost Simulation and Verification Environment for Micro-Satellites
CN119164406B (en) Blind-filling observation method, device, electronic equipment and medium based on blind-filling sensor
JP7499912B2 (en) Insurance payment system, space insurance support device, space insurance program, and insurance payment method
CN113525720B (en)Method, device, equipment and storage medium for determining spacecraft target attitude

Legal Events

DateCodeTitleDescription
PB01Publication
PB01Publication
SE01Entry into force of request for substantive examination
SE01Entry into force of request for substantive examination
GR01Patent grant
GR01Patent grant
CP03Change of name, title or address

Address after:Room 301, 3rd Floor, Building 2, Yard 1, Shangdi East Road, Haidian District, Beijing, 100085

Patentee after:Beijing Aerospace Yuxing Technology Co.,Ltd.

Country or region after:China

Address before:Room A601, 6th Floor, Building 1, Shengjing Entrepreneurship Park T01, Tujing Village, South of Dengzhuang South Road and West of Youyi Road, Xibeiwang Town, Haidian District, Beijing

Patentee before:BEIJING AEROSPACE SATELLITEHERD SCIENCE AND TECHNOLOGY CO.,LTD.

Country or region before:China

CP03Change of name, title or address

[8]ページ先頭

©2009-2025 Movatter.jp