







技术领域technical field
本申请涉及三维光场显示技术领域,尤其涉及一种水平视差三维光场显示系统的参数确定方法、装置、设备及存储介质。The present application relates to the technical field of three-dimensional light field display, and in particular to a parameter determination method, device, equipment and storage medium of a horizontal parallax three-dimensional light field display system.
背景技术Background technique
随着当今科学技术的飞速发展,传统的二维平面显示技术已经远远无法满足目前各个行业领域对于深度数据与空间立体感的需求。越来越多的应用领域,如医学成像、科学研究和军事等,要求能够实现三维场景的真实重建,从而使得观看者可以更加精确的捕获相关信息,准确的进行现场判断。With the rapid development of today's science and technology, the traditional two-dimensional flat display technology is far from being able to meet the current needs of various industries for depth data and spatial stereoscopic perception. More and more application fields, such as medical imaging, scientific research and military, require the real reconstruction of 3D scenes, so that viewers can more accurately capture relevant information and make accurate on-site judgments.
水平视差三维光场显示是利用控光元件对从平面显示器加载的基元图像像素发出的光线进行控制,在空间中的特定位置实现视点的重建,为人眼提供双目视差的立体视觉生理因素激励,从而实现3D影像的再现。利用二维平面显示设备配合狭缝光栅和柱透镜光栅的水平视差三维光场显示方法是目前在市场上应用最广泛的裸眼3D显示方法。这种方法具有实现生理立体视觉激励简单、落地工程造价低廉的优点,而深受工业界的青睐。The horizontal parallax 3D light field display uses light control elements to control the light emitted from the primitive image pixels loaded on the flat-panel display, realizes the reconstruction of the viewpoint at a specific position in the space, and provides the human eye with binocular parallax stereoscopic vision physiological factors. , so as to realize the reproduction of 3D images. The horizontal parallax three-dimensional light field display method using a two-dimensional plane display device combined with a slit grating and a cylindrical lens grating is currently the most widely used naked-eye 3D display method on the market. This method has the advantages of simple stimulation of physiological stereo vision and low construction cost, and is favored by the industry.
对于基于狭缝光栅的水平视差三维光场显示,二维平面显示器上的像素发出的光线被狭缝光栅在特定角度范围内遮挡,只允许在特定小角度范围内出射到空间中形成视点。对于基于柱透镜光栅的水平视差三维光场显示,因为柱透镜光栅可以对像素发出的光线以特定折射角度出射,一定视角范围内在空间汇聚形成视点。基于狭缝光栅和柱透镜光栅的水平视差三维光场显示方法所构建的视点可以保证观察者的左右眼分别观察到不同的视点,从而产生双目视差,激励人眼形成立体视觉。因此,可以说传统的基于狭缝光栅和柱透镜光栅的水平视差三维光场显示方法是基于双目视差构建的立体视觉原理。For the 3D light field display with horizontal parallax based on the slit grating, the light emitted by the pixels on the 2D flat panel display is blocked by the slit grating within a specific angle range, and only allowed to exit into the space within a specific small angle range to form a viewpoint. For the horizontal parallax 3D light field display based on the cylindrical lens grating, because the cylindrical lens grating can emit the light emitted by the pixel at a specific refraction angle, and converge in space within a certain viewing angle to form a viewpoint. The viewpoint constructed by the horizontal parallax three-dimensional light field display method based on the slit grating and cylindrical lens grating can ensure that the left and right eyes of the observer observe different viewpoints, thereby generating binocular parallax and stimulating the human eye to form stereoscopic vision. Therefore, it can be said that the traditional horizontal parallax three-dimensional light field display method based on slit grating and cylindrical lens grating is based on the stereo vision principle constructed by binocular parallax.
光栅是光栅立体显示系统最关键的硬件部分,完成光栅的设计和制作后,其参数就是固定不变的,显示系统最终的显示效果和显示质量随之确定。想要评价特定参数下光栅立体显示系统的显示质量,要在设备制造完成后用人眼观看的方式定性的评价显示图像质量的好坏,没有具体的参考标准和定量的测量,这样带来了容错率低,试错成本高等问题。因此,如何在光栅投入生产之前预测光栅立体显示系统的显示效果,评估显示质量的好坏,是本领域亟需解决的技术问题。The grating is the most critical hardware part of the grating stereoscopic display system. After the design and production of the grating are completed, its parameters are fixed, and the final display effect and display quality of the display system are determined accordingly. To evaluate the display quality of the grating stereoscopic display system under specific parameters, it is necessary to qualitatively evaluate the quality of the display image by viewing with human eyes after the equipment is manufactured. There is no specific reference standard and quantitative measurement, which brings fault tolerance. Low efficiency, high trial and error costs and other issues. Therefore, how to predict the display effect of the grating stereoscopic display system and evaluate the quality of the display before the grating is put into production is a technical problem that needs to be solved urgently in this field.
发明内容Contents of the invention
本发明实施例提供了一种水平视差三维光场显示系统的参数确定方法、装置、设备及介质,用以解决水平视差三维光场显示系统的参数确定的问题。Embodiments of the present invention provide a method, device, equipment and medium for determining parameters of a horizontal parallax three-dimensional light field display system to solve the problem of parameter determination for a horizontal parallax three-dimensional light field display system.
本申请第一方面提供一种水平视差三维光场显示系统的参数确定方法,包括:The first aspect of the present application provides a method for determining parameters of a horizontal parallax three-dimensional light field display system, including:
接收用于仿真设计的显示系统参数;Receive display system parameters for simulation design;
根据所述显示系统参数将二维显示屏和光栅的数学模型组合建立水平视差三维光场的显示系统模型;Combining the two-dimensional display screen and the mathematical model of the grating according to the display system parameters to establish a display system model of a three-dimensional light field with horizontal parallax;
确定所述显示系统模型的目标视点,并获取在所述目标视点拍摄的视差图像;determining a target viewpoint of the display system model, and acquiring a parallax image taken at the target viewpoint;
根据所述视差图像生成在所述二维显示屏上显示的合成图像;generating a composite image displayed on the two-dimensional display screen based on the parallax image;
根据所述合成图像生成所述目标视点的仿真图像,所述仿真图像是将在所述目标视点接收的光线通过所述光栅回追到所述二维显示屏获得的;generating a simulated image of the target viewpoint according to the synthesized image, the simulated image is obtained by tracing light received at the target viewpoint back to the two-dimensional display screen through the grating;
计算所述视差图像和所述仿真图像的相似度;calculating the similarity between the parallax image and the simulated image;
根据所述相似度得到所述显示系统参数对应的显示质量分值。A display quality score corresponding to the display system parameter is obtained according to the similarity.
在一种可能的实现方式中,所述根据所述合成图像生成所述目标视点的仿真图像,包括:In a possible implementation manner, the generating the simulation image of the target viewpoint according to the synthesized image includes:
针对所述光栅中的单个柱透镜,根据预设关系式确定所述柱透镜在所述合成图像上映射像素的位置x;For a single cylindrical lens in the grating, determine the position x of the pixel mapped by the cylindrical lens on the composite image according to a preset relational expression;
按照所述位置x,在所述合成图像上提取所述柱透镜映射的像素;extracting pixels of the lenticular mapping on the composite image according to the position x;
将所有柱透镜在所述合成图像上映射的像素填充到仿真图像中,以生成所述目标视点的仿真图像。Filling the pixels mapped by all the cylindrical lenses on the synthetic image into the simulation image, so as to generate the simulation image of the target viewpoint.
在一种可能的实现方式中,所述预设关系式为:In a possible implementation manner, the preset relational expression is:
其中,m表示柱透镜的序号;DL为目标视点到二维显示屏左边缘的距离;g为光栅与二维显示屏的间距;L为光栅与目标视点的距离;p表示光栅中相邻柱透镜的间距。Among them, m represents the serial number of the cylindrical lens;DL is the distance from the target viewpoint to the left edge of the two-dimensional display; g is the distance between the grating and the two-dimensional display; L is the distance between the grating and the target viewpoint; Cylindrical lens spacing.
在一种可能的实现方式中,所述按照所述位置x,在所述合成图像上提取所述柱透镜映射的像素,包括:In a possible implementation manner, the extracting the pixels mapped by the cylindrical lens on the composite image according to the position x includes:
按照所述位置x,在所述合成图像上采用加权法提取所述柱透镜映射的像素。According to the position x, a weighting method is used on the composite image to extract the pixels mapped by the cylindrical lens.
在一种可能的实现方式中,所述计算所述视差图像和所述仿真图像的相似度,包括:In a possible implementation manner, the calculating the similarity between the parallax image and the simulated image includes:
基于结构相似性算法SSIM计算所述视差图像和所述仿真图像的相似度。The similarity between the parallax image and the simulated image is calculated based on a structural similarity algorithm SSIM.
本申请第二方面提供一种水平视差三维光场显示系统的参数确定装置,包括:The second aspect of the present application provides a parameter determination device for a horizontal parallax three-dimensional light field display system, including:
接收模块,用于接收用于仿真设计的显示系统参数;A receiving module, configured to receive display system parameters used for simulation design;
模型建立模块,用于根据所述显示系统参数将二维显示屏和光栅的数学模型组合建立水平视差三维光场的显示系统模型;A model building module, used to combine the two-dimensional display screen and the mathematical model of the grating to establish a display system model of a three-dimensional light field with horizontal parallax according to the display system parameters;
图像仿真模块,用于确定所述显示系统模型的目标视点,并获取在所述目标视点拍摄的视差图像;根据所述视差图像生成在所述二维显示屏上显示的合成图像;根据所述合成图像生成所述目标视点的仿真图像,所述仿真图像是将在所述目标视点接收的光线通过所述光栅回追到所述二维显示屏获得的;An image simulation module, configured to determine a target viewpoint of the display system model, and obtain a parallax image taken at the target viewpoint; generate a composite image displayed on the two-dimensional display screen according to the parallax image; according to the Synthesizing images to generate a simulation image of the target viewpoint, the simulation image is obtained by tracing the light received at the target viewpoint back to the two-dimensional display screen through the grating;
计算模块,用于计算所述视差图像和所述仿真图像的相似度;根据所述相似度得到所述显示系统参数对应的显示质量分值。A calculation module, configured to calculate the similarity between the parallax image and the simulated image; obtain a display quality score corresponding to the display system parameter according to the similarity.
在一种可能的实现方式中,所述图像仿真模块,具体用于:In a possible implementation manner, the image simulation module is specifically used for:
针对所述光栅中的单个柱透镜,根据预设关系式确定所述柱透镜在所述合成图像上映射像素的位置x;For a single cylindrical lens in the grating, determine the position x of the pixel mapped by the cylindrical lens on the composite image according to a preset relational expression;
按照所述位置x,在所述合成图像上提取所述柱透镜映射的像素;extracting pixels of the lenticular mapping on the composite image according to the position x;
将所有柱透镜在所述合成图像上映射的像素填充到仿真图像中,以生成所述目标视点的仿真图像。Filling the pixels mapped by all the cylindrical lenses on the synthetic image into the simulation image, so as to generate the simulation image of the target viewpoint.
在一种可能的实现方式中,所述预设关系式为:In a possible implementation manner, the preset relational expression is:
其中,m表示柱透镜的序号;DL为目标视点到二维显示屏左边缘的距离;g为光栅与二维显示屏的间距;L为光栅与目标视点的距离;p表示光栅中相邻柱透镜的间距。Among them, m represents the serial number of the cylindrical lens;DL is the distance from the target viewpoint to the left edge of the two-dimensional display; g is the distance between the grating and the two-dimensional display; L is the distance between the grating and the target viewpoint; Cylindrical lens spacing.
在一种可能的实现方式中,所述图像仿真模块,具体用于:In a possible implementation manner, the image simulation module is specifically used for:
按照所述位置x,在所述合成图像上采用加权法提取所述柱透镜映射的像素。According to the position x, a weighting method is used on the composite image to extract the pixels mapped by the cylindrical lens.
在一种可能的实现方式中,所述计算模块,具体用于:In a possible implementation manner, the calculation module is specifically used for:
基于结构相似性算法SSIM计算所述视差图像和所述仿真图像的相似度。The similarity between the parallax image and the simulated image is calculated based on a structural similarity algorithm SSIM.
本申请第三方面提供一种电子设备,包括:存储器、处理器及存储在所述存储器上并可在所述处理器上运行的计算机程序,所述处理器运行所述计算机程序时执行以实现本申请第一方面所述的方法。The third aspect of the present application provides an electronic device, including: a memory, a processor, and a computer program stored on the memory and operable on the processor. When the processor runs the computer program, it executes to realize The method described in the first aspect of the present application.
本申请第四方面提供一种计算机可读存储介质,其上存储有计算机可读指令,所述计算机可读指令可被处理器执行以实现本申请第一方面所述的方法。A fourth aspect of the present application provides a computer-readable storage medium, on which computer-readable instructions are stored, and the computer-readable instructions can be executed by a processor to implement the method described in the first aspect of the present application.
本申请的有益效果如下:The beneficial effects of the application are as follows:
本申请提供的水平视差三维光场显示系统的参数确定方法、装置、设备及存储介质,接收用于仿真设计的显示系统参数;根据所述显示系统参数将二维显示屏和光栅的数学模型组合建立水平视差三维光场的显示系统模型;确定所述显示系统模型的目标视点,并获取在所述目标视点拍摄的视差图像;根据所述视差图像生成在所述二维显示屏上显示的合成图像;根据所述合成图像生成所述目标视点的仿真图像,所述仿真图像是将在所述目标视点接收的光线通过所述光栅回追到所述二维显示屏获得的;计算所述视差图像和所述仿真图像的相似度;根据所述相似度得到所述显示系统参数对应的显示质量分值。相较于现有技术,通过本申请可以实时准确地获得显示系统参数对应的水平视差三维光场显示系统的显示质量分值,可以帮助分析水平视差三维光场显示系统中各参数与显示质量的关系,从而在显示系统投入生产之前优化显示系统参数,提高显示质量。The parameter determination method, device, equipment and storage medium of the horizontal parallax three-dimensional light field display system provided by this application receive the display system parameters used for simulation design; combine the two-dimensional display screen and the mathematical model of the grating according to the display system parameters Establishing a display system model of a three-dimensional light field with horizontal parallax; determining a target viewpoint of the display system model, and acquiring a parallax image taken at the target viewpoint; generating a synthetic display on the two-dimensional display screen according to the parallax image image; generate a simulated image of the target viewpoint according to the composite image, the simulated image is obtained by tracing the light received at the target viewpoint back to the two-dimensional display screen through the grating; calculate the parallax A degree of similarity between the image and the simulated image; obtaining a display quality score corresponding to the display system parameter according to the degree of similarity. Compared with the prior art, this application can accurately obtain the display quality score of the horizontal parallax 3D light field display system corresponding to the display system parameters in real time, and can help analyze the relationship between each parameter and the display quality of the horizontal parallax 3D light field display system. Relationship, so as to optimize the display system parameters and improve the display quality before the display system is put into production.
附图说明Description of drawings
通过阅读下文优选实施方式的详细描述,各种其他的优点和益处对于本领域普通技术人员将变得清楚明了。附图仅用于示出优选事实方案的目的,而并不认为是对本申请的限制。而且在整个附图中,用同样的参考符号表示相同的部件。在附图中:Various other advantages and benefits will become apparent to those of ordinary skill in the art upon reading the following detailed description of the preferred embodiment. The drawings are only for the purpose of illustrating a preferred factual solution and are not to be considered as limiting the application. Also throughout the drawings, the same reference numerals are used to designate the same parts. In the attached picture:
图1是本申请提供的一种水平视差三维光场显示系统的参数确定方法的流程图;FIG. 1 is a flow chart of a method for determining parameters of a horizontal parallax three-dimensional light field display system provided by the present application;
图2是本申请提供的一种一种基于柱透镜光栅的裸眼3D显示系统示意图;Fig. 2 is a schematic diagram of a naked-eye 3D display system based on a cylindrical lens grating provided by the present application;
图3是本申请提供的单柱面透镜控光原理图;Fig. 3 is a schematic diagram of the light control principle of the single cylindrical lens provided by the present application;
图4是本申请提供的人眼向二维显示屏反向追踪示意图;Fig. 4 is a schematic diagram of reverse tracking of human eyes to a two-dimensional display screen provided by the present application;
图5是本申请提供的步骤S105的流程图;FIG. 5 is a flowchart of step S105 provided by the present application;
图6是本申请提供的水平视差三维光场显示仿真方法原理图;Fig. 6 is a schematic diagram of the horizontal parallax three-dimensional light field display simulation method provided by the present application;
图7是本申请提供的通过加权法获取目标像素的过程;Fig. 7 is the process of obtaining the target pixel through the weighting method provided by the present application;
图8是本申请提供的一种水平视差三维光场显示系统的参数确定装置的示意图。FIG. 8 is a schematic diagram of a parameter determination device of a horizontal parallax three-dimensional light field display system provided in the present application.
具体实施方式Detailed ways
下面将参照附图更详细地描述本公开的示例性实施方式。虽然附图中显示了本公开的示例性实施方式,然而应当理解,可以以各种形式实现本公开而不应被这里阐述的实施方式所限制。相反,提供这些实施方式是为了能够更透彻地理解本公开,并且能够将本公开的范围完整的传达给本领域的技术人员。Exemplary embodiments of the present disclosure will be described in more detail below with reference to the accompanying drawings. Although exemplary embodiments of the present disclosure are shown in the drawings, it should be understood that the present disclosure may be embodied in various forms and should not be limited by the embodiments set forth herein. Rather, these embodiments are provided for more thorough understanding of the present disclosure and to fully convey the scope of the present disclosure to those skilled in the art.
为了便于理解,首先对本申请中涉及的一些技术名词介绍如下:For ease of understanding, some technical terms involved in this application are first introduced as follows:
视差图像:模拟人眼立体视觉过程,采用立体相机拍摄同一场景所获得的两幅或多幅稍有差异的图像称为视差图像。Parallax image: Simulating the process of human stereo vision, two or more slightly different images obtained by shooting the same scene with a stereo camera are called parallax images.
合成图像:将视差图像的子像素按照透镜阵列的光学结构,以一定规律排列生成的图像称为合成图像。Synthetic image: The image generated by arranging the sub-pixels of the parallax image in a certain order according to the optical structure of the lens array is called a synthetic image.
视区:透镜阵列的折射作用使得来源于不同视差图像的光线向不同方向传播,在空间中形成的视差图像观看区域,简称视区。Viewing area: The refraction effect of the lens array makes the light from different parallax images propagate in different directions, and the parallax image viewing area formed in space is referred to as the viewing area.
视点:视差图像在空间中形成的可正确观看的位置。Viewpoint: The correct viewable position in space where the parallax image is formed.
本申请实施例提供一种水平视差三维光场显示系统的参数确定方法、装置、电子设备及存储介质,下面结合附图进行说明。Embodiments of the present application provide a parameter determination method, device, electronic equipment, and storage medium of a horizontal parallax three-dimensional light field display system, which will be described below with reference to the accompanying drawings.
请参考图1,其示出了本申请所提供的一种水平视差三维光场显示系统的参数确定方法的流程图,如图1所示,所述方法可以包括以下步骤:Please refer to FIG. 1, which shows a flowchart of a method for determining parameters of a horizontal parallax three-dimensional light field display system provided by the present application. As shown in FIG. 1, the method may include the following steps:
S101、接收用于仿真设计的显示系统参数;S101. Receive display system parameters used for simulation design;
本申请的水平视差三维光场显示系统包括二维显示屏和光栅,二维显示屏可以为二维平面显示器,例如液晶显示器,用于显示由视差图像合成的合成图像。光栅可以为狭缝光栅、柱透镜光栅等。The horizontal parallax three-dimensional light field display system of the present application includes a two-dimensional display screen and a grating. The two-dimensional display screen may be a two-dimensional flat display, such as a liquid crystal display, for displaying a synthetic image synthesized from parallax images. The grating may be a slit grating, a cylindrical lens grating, or the like.
二维显示屏上的像素发出的光线被光栅在特定角度范围内遮挡,只允许在特定小角度范围内出射到空间中形成视点。如图2所示为一种基于柱透镜光栅的裸眼3D显示系统示意图。The light emitted by the pixels on the two-dimensional display screen is blocked by the grating within a specific angle range, and only allowed to exit into the space within a specific small angle range to form a viewpoint. FIG. 2 is a schematic diagram of a naked-eye 3D display system based on a cylindrical lens grating.
上述显示系统参数可以包括显示系统各种参数中的任意一项或几项。例如,在显示系统中其它参数确定的情况下,上述显示系统参数可以为光栅中透镜单元的尺寸和排布方式,这样可以确定光栅中透镜单元的尺寸和排布方式对系统显示质量的影响。The above display system parameters may include any one or more of various parameters of the display system. For example, when other parameters in the display system are determined, the above-mentioned display system parameters can be the size and arrangement of lens units in the grating, so that the influence of the size and arrangement of lens units in the grating on the display quality of the system can be determined.
S102、根据所述显示系统参数将二维显示屏和光栅的数学模型组合建立水平视差三维光场的显示系统模型;S102. According to the display system parameters, combine the two-dimensional display screen and the mathematical model of the grating to establish a display system model of a three-dimensional light field with horizontal parallax;
本申请中预先设置有二维显示屏和光栅的数学模型,可以根据显示系统参数改变数学模型中的参数,从而得到需要的二维显示屏和光栅,进而组合建立水平视差三维光场的显示系统模型。上述数学模型可以采用现有技术获得,本申请在此不做赘述。In this application, the mathematical model of the two-dimensional display screen and grating is pre-set, and the parameters in the mathematical model can be changed according to the parameters of the display system, so as to obtain the required two-dimensional display screen and grating, and then combine to establish a display system with a horizontal parallax three-dimensional light field Model. The foregoing mathematical model can be obtained by using existing technologies, and the present application will not repeat them here.
如图2所示,柱透镜光栅放置在二维显示屏的前方。二维显示屏上的像素相对于柱透镜光栅中的柱透镜光轴具有不同的相对位置,所以不同的像素所发出的光线通过柱透镜光栅后以不同的方向出射,也就是说柱透镜光栅对二维显示屏上的像素进行了空间信息的调制。As shown in Figure 2, the cylindrical lens grating is placed in front of the two-dimensional display screen. The pixels on the two-dimensional display screen have different relative positions with respect to the optical axis of the cylindrical lens in the cylindrical lens grating, so the light emitted by different pixels passes through the cylindrical lens grating and exits in different directions, that is to say, the cylindrical lens grating pair The pixels on the 2D display are modulated with spatial information.
如图3所示为单柱面透镜控光原理图,具体原理在此不再赘述。通过柱透镜光栅调制后的光线在空间中汇聚,可以形成若干视点。观察者在特定的观看距离上,左眼和右眼可以观察到物像不同的侧面信息,从而形成立体感。Figure 3 is a schematic diagram of the light control principle of a single cylindrical lens, and the specific principle will not be repeated here. The light rays modulated by the cylindrical lens grating converge in space to form several viewpoints. At a specific viewing distance, the observer's left and right eyes can observe different side information of the object image, thus forming a three-dimensional effect.
S103、确定所述显示系统模型的目标视点,并获取在所述目标视点拍摄的视差图像;S103. Determine a target viewpoint of the display system model, and acquire a parallax image taken at the target viewpoint;
为了便于后续比对,首先确定一个视差图像的拍摄位置作为目标视点,如图2所示,可以选择视点1至4中的任意视点作为目标视点。In order to facilitate the subsequent comparison, first determine the shooting position of a parallax image as the target viewpoint, as shown in Figure 2, any viewpoint among
视差图像的获取可以通过虚拟相机在目标视点拍摄获得。Parallax images can be obtained by shooting at the target viewpoint with a virtual camera.
S104、根据所述视差图像生成在所述二维显示屏上显示的合成图像;S104. Generate a composite image displayed on the two-dimensional display screen according to the parallax image;
具体的,根据视差图像生成合成图像的过程采用现有技术,本申请在此不再赘述。Specifically, the process of generating a composite image based on the parallax image adopts the existing technology, and the present application will not repeat it here.
S105、根据所述合成图像生成所述目标视点的仿真图像,所述仿真图像是将在所述目标视点接收的光线通过所述光栅回追到所述二维显示屏获得的;S105. Generate a simulation image of the target viewpoint according to the synthesized image, where the simulation image is obtained by tracing light received at the target viewpoint back to the two-dimensional display screen through the grating;
具体的,如图2所示,理想情况下,反向追踪人眼接收的光线,通过柱透镜回追到二维显示屏上是一列与光轴中心平行的像素。在图4中可以看出,根据三角形相似原理,观看距离确定,人眼通过任意柱透镜单元看到子图像单元的像素位置也随之确定。某一观看位置观看时每块柱透镜单元下回追到二维显示屏的位置已知,仿真图像中的像素就可以一一映射到合成图像中。Specifically, as shown in FIG. 2 , ideally, the light received by the human eye is traced in reverse, and traced back through the cylindrical lens to a column of pixels parallel to the center of the optical axis on the two-dimensional display screen. It can be seen from FIG. 4 that, according to the triangular similarity principle, the viewing distance is determined, and the pixel position of the sub-image unit seen by the human eye through any cylindrical lens unit is also determined accordingly. When viewed from a certain viewing position, the position of each cylindrical lens unit back to the two-dimensional display screen is known, and the pixels in the simulation image can be mapped to the composite image one by one.
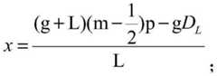
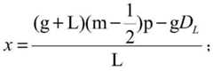
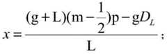
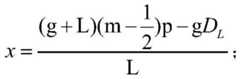
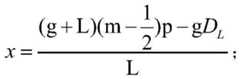
如图4所示,柱透镜阵列共有3个柱透镜单元,其中,A点代表透镜光心,Wp代表子像素宽度,T代表视点间距,p代表光栅中相邻柱透镜的间距。光栅到二维显示屏的间距为g,视点到光栅的距离为L。根据几何关系,某一视点通过任意透镜单元回追到显示屏的位置也可以确定。假设人的观看位置(目标视点)到二维显示屏左边缘的距离为DL,m表示柱透镜的序号,透过第m个柱透镜在二维显示屏上看到的像素位置到二维显示屏左边缘的距离为:As shown in Figure 4, the cylindrical lens array has three cylindrical lens units in total, where point A represents the optical center of the lens, Wp represents the width of the sub-pixel, T represents the distance between the viewpoints, and p represents the distance between adjacent cylindrical lenses in the grating. The distance between the grating and the two-dimensional display screen is g, and the distance between the viewpoint and the grating is L. According to the geometric relationship, the position where a certain viewpoint traces back to the display screen through any lens unit can also be determined. Assume that the distance from the viewing position (target viewpoint) of a person to the left edge of the 2D display is DL , m represents the serial number of the cylindrical lens, and the position of the pixel seen on the 2D display through the mth cylindrical lens is equal to the 2D The distance from the left edge of the display is:
因此,如图5所示,步骤S105可以实现为:Therefore, as shown in Figure 5, step S105 can be implemented as:
S201、针对所述光栅中的单个柱透镜,根据预设关系式确定所述柱透镜在所述合成图像上映射像素的位置x;S201. For a single cylindrical lens in the grating, determine a position x of a pixel mapped by the cylindrical lens on the composite image according to a preset relational expression;
S202、按照所述位置x,在所述合成图像上提取所述柱透镜映射的像素;S202. According to the position x, extract pixels mapped by the cylindrical lens on the composite image;
S203、将所有柱透镜在所述合成图像上映射的像素填充到仿真图像中,以生成所述目标视点的仿真图像。S203. Fill the simulation image with pixels mapped by all cylindrical lenses on the composite image, so as to generate a simulation image of the target viewpoint.
所述预设关系式为:The preset relational formula is:
其中,m表示柱透镜的序号;DL为目标视点到二维显示屏左边缘的距离;g为光栅与二维显示屏的间距;L为光栅与目标视点的距离;p表示光栅中相邻柱透镜的间距。Among them, m represents the serial number of the cylindrical lens;DL is the distance from the target viewpoint to the left edge of the two-dimensional display; g is the distance between the grating and the two-dimensional display; L is the distance between the grating and the target viewpoint; Cylindrical lens spacing.
已知在目标视点通过不同的柱透镜单元应取的像素位置,就可以将合成图像中对应的像素一一填充到仿真图像中。图6是水平视差三维光场显示仿真方法原理图,如图6所示,将合成图像中虚线穿过的上下三行子像素填到仿真图像中一个像素的位置,将虚线穿过其上边缘的子像素填到仿真图像的对应位置,例如图中合成图像白框框取的子像素为参与填充仿真图像的子像素。Knowing the pixel positions that should be taken by different cylindrical lens units at the target viewpoint, the corresponding pixels in the synthesized image can be filled into the simulated image one by one. Figure 6 is a schematic diagram of the simulation method for horizontal parallax 3D light field display. As shown in Figure 6, the upper and lower three rows of sub-pixels passing through the dotted line in the synthetic image are filled in the position of one pixel in the simulation image, and the dotted line passes through its upper edge Fill the sub-pixels of the simulated image into the corresponding positions of the simulated image, for example, the sub-pixels taken by the white frame of the synthesized image in the figure are the sub-pixels that participate in filling the simulated image.
在实际应用中,因为光栅可能存在倾斜角,所以人眼通过透镜回追的光线会落在相邻两个子像素上,也就是这两个子像素会同时提供人眼看到的图像信息内容。为了使仿真结果更精确,实际提取仿真图像可以采用加权的计算方式,减少取填像素过程中的误差。In practical applications, because the grating may have an inclined angle, the light traced by the human eye through the lens will fall on two adjacent sub-pixels, that is, these two sub-pixels will simultaneously provide the image information content seen by the human eye. In order to make the simulation result more accurate, the actual extraction of the simulation image can use a weighted calculation method to reduce the error in the process of taking and filling pixels.
因此,步骤S202可以包括:按照所述位置x,在所述合成图像上采用加权法提取所述柱透镜映射的像素。Therefore, step S202 may include: according to the position x, using a weighting method on the composite image to extract the pixels mapped by the cylindrical lens.
图7所示为通过加权法获取目标像素的过程,如图7中,以图中蓝色子像素B为例,虚线一共穿过了两个蓝色子像素B,分别由白色和黑色线段穿过,将这两个蓝色子像素B的灰度值按照白色和黑色线段的长度比例进行加权得到了仿真图像中蓝色子像素B的灰度值。然后将人眼看到的所有子像素都以这种方式进行了加权,再一一对应填充到仿真图像中,得到了最终的仿真图像。Figure 7 shows the process of obtaining the target pixel through the weighting method. In Figure 7, taking the blue sub-pixel B in the figure as an example, the dotted line passes through two blue sub-pixels B, which are respectively crossed by white and black line segments. Then, the gray value of the blue sub-pixel B in the simulated image is obtained by weighting the gray values of the two blue sub-pixels B according to the length ratio of the white and black line segments. Then all the sub-pixels seen by human eyes are weighted in this way, and then filled into the simulation image one by one to obtain the final simulation image.
S106、计算所述视差图像和所述仿真图像的相似度;S106. Calculate the similarity between the parallax image and the simulated image;
具体的,可以基于结构相似性算法(SSIM,Structural similarity index)计算所述视差图像和所述仿真图像的相似度,相似度越高说明水平视差三维光场显示系统的显示质量越高,例如相似度大于0.9,则认为显示质量良好。Specifically, the similarity between the parallax image and the simulated image can be calculated based on a structural similarity index (SSIM, Structural similarity index). The higher the similarity, the higher the display quality of the horizontal parallax 3D light field display system, for example, the similarity If the degree is greater than 0.9, it is considered that the display quality is good.
由于显示系统的每个视点对应的最大相似度可能不同,因此在实际应用中,也可以根据不同视点对应的相似度确定显示系统的视角。Since the maximum similarity corresponding to each viewpoint of the display system may be different, in practical applications, the viewing angle of the display system may also be determined according to the similarity corresponding to different viewpoints.
S107、根据所述相似度得到所述显示系统参数对应的显示质量分值。S107. Obtain a display quality score corresponding to the display system parameter according to the similarity.
本申请中,预设了目标视点对应的显示质量分值与视差图像和仿真图像的相似度的对应关系,例如相似度在0.8和0.9之间,显示质量分值为80分,相似度在大于0.9,显示质量分值为90分。In this application, the corresponding relationship between the display quality score corresponding to the target viewpoint and the similarity between the parallax image and the simulated image is preset, for example, if the similarity is between 0.8 and 0.9, the display quality score is 80 points, and the similarity is greater than 0.9, indicating that the quality score is 90 points.
本申请中,当得到显示系统参数对应的显示质量小于90分时,则认为系统显示质量不高,调整显示系统参数后继续计算调整后的显示质量分值,直至质量分值为90分停止,最终确定出水平视差三维光场显示系统的参数。In this application, when the display quality corresponding to the display system parameters is less than 90 points, it is considered that the system display quality is not high. After adjusting the display system parameters, continue to calculate the adjusted display quality score until the quality score is 90 points. Finally, the parameters of the horizontal parallax 3D light field display system are determined.
相较于现有技术,通过本申请可以实时准确地获得显示系统参数对应的水平视差三维光场显示系统的显示质量分值,可以帮助分析水平视差三维光场显示系统中各参数与显示质量的关系,从而在显示系统投入生产之前优化显示系统参数,提高显示质量。Compared with the prior art, this application can accurately obtain the display quality score of the horizontal parallax 3D light field display system corresponding to the display system parameters in real time, and can help analyze the relationship between each parameter and the display quality of the horizontal parallax 3D light field display system. Relationship, so as to optimize the display system parameters and improve the display quality before the display system is put into production.
在上述的实施例中,提供了一种水平视差三维光场显示系统的参数确定方法,与之相对应的,本申请还提供一种水平视差三维光场显示系统的参数确定装置。In the above embodiments, a method for determining parameters of a horizontal parallax three-dimensional light field display system is provided. Correspondingly, the present application also provides a parameter determination device for a horizontal parallax three-dimensional light field display system.
如图8所示,本申请提供的一种水平视差三维光场显示系统的参数确定装置10,包括:As shown in FIG. 8, a parameter determination device 10 of a horizontal parallax three-dimensional light field display system provided by the present application includes:
接收模块101,用于接收用于仿真设计的显示系统参数;A receiving
模型建立模块102,用于根据所述显示系统参数将二维显示屏和光栅的数学模型组合建立水平视差三维光场的显示系统模型;A
图像仿真模块103,用于确定所述显示系统模型的目标视点,并获取在所述目标视点拍摄的视差图像;根据所述视差图像生成在所述二维显示屏上显示的合成图像;根据所述合成图像生成所述目标视点的仿真图像,所述仿真图像是将在所述目标视点接收的光线通过所述光栅回追到所述二维显示屏获得的;The
计算模块104,用于计算所述视差图像和所述仿真图像的相似度;根据所述相似度得到所述显示系统参数对应的显示质量分值。The
在一种可能的实现方式中,所述图像仿真模块103,具体用于:In a possible implementation manner, the
针对所述光栅中的单个柱透镜,根据预设关系式确定所述柱透镜在所述合成图像上映射像素的位置x;For a single cylindrical lens in the grating, determine the position x of the pixel mapped by the cylindrical lens on the composite image according to a preset relational expression;
按照所述位置x,在所述合成图像上提取所述柱透镜映射的像素;extracting pixels of the lenticular mapping on the composite image according to the position x;
将所有柱透镜在所述合成图像上映射的像素填充到仿真图像中,以生成所述目标视点的仿真图像。Filling the pixels mapped by all the cylindrical lenses on the synthetic image into the simulation image, so as to generate the simulation image of the target viewpoint.
在一种可能的实现方式中,所述预设关系式为:In a possible implementation manner, the preset relational expression is:
其中,m表示柱透镜的序号;DL为目标视点到二维显示屏左边缘的距离;g为光栅与二维显示屏的间距;L为光栅与目标视点的距离;p表示光栅中相邻柱透镜的间距。Among them, m represents the serial number of the cylindrical lens;DL is the distance from the target viewpoint to the left edge of the two-dimensional display; g is the distance between the grating and the two-dimensional display; L is the distance between the grating and the target viewpoint; Cylindrical lens spacing.
在一种可能的实现方式中,所述图像仿真模块103,具体用于:In a possible implementation manner, the
按照所述位置x,在所述合成图像上采用加权法提取所述柱透镜映射的像素。According to the position x, a weighting method is used on the composite image to extract the pixels mapped by the cylindrical lens.
在一种可能的实现方式中,所述计算模块104,具体用于:In a possible implementation manner, the
基于结构相似性算法SSIM计算所述视差图像和所述仿真图像的相似度。The similarity between the parallax image and the simulated image is calculated based on a structural similarity algorithm SSIM.
本申请实施例提供的水平视差三维光场显示系统的参数确定装置,与本申请前述实施例提供的水平视差三维光场显示系统的参数确定方法出于相同的发明构思,具有相同的有益效果。The device for determining the parameters of the horizontal parallax three-dimensional light field display system provided in the embodiment of the present application is based on the same inventive concept as the method for determining the parameters of the horizontal parallax three-dimensional light field display system provided in the foregoing embodiments of the present application, and has the same beneficial effect.
本申请实施方式还提供一种与前述实施方式所提供的水平视差三维光场显示系统的参数确定方法对应的电子设备,该电子设备,包括:存储器、处理器及存储在所述存储器上并可在所述处理器上运行的计算机程序,所述处理器运行所述计算机程序时执行以实现上述水平视差三维光场显示系统的参数确定方法。所述电子设备可以是手机、笔记本电脑、平板电脑、台式机电脑等。The embodiments of the present application also provide an electronic device corresponding to the method for determining the parameters of the horizontal parallax three-dimensional light field display system provided in the foregoing embodiments. The computer program running on the processor is executed when the processor runs the computer program to realize the method for determining parameters of the above-mentioned horizontal parallax three-dimensional light field display system. The electronic device may be a mobile phone, a notebook computer, a tablet computer, a desktop computer, and the like.
本申请实施方式还提供一种与前述实施方式所提供的水平视差三维光场显示系统的参数确定方法对应的计算机可读存储介质,例如光盘、U盘等,其上存储有计算机程序(即程序产品),所述计算机程序在被处理器运行时,会执行前述任意实施方式所提供的水平视差三维光场显示系统的参数确定方法。The embodiments of the present application also provide a computer-readable storage medium corresponding to the method for determining the parameters of the horizontal parallax three-dimensional light field display system provided in the foregoing embodiments, such as an optical disc, a USB flash drive, etc., on which a computer program (that is, a program Product), when the computer program is run by the processor, it will execute the method for determining the parameters of the horizontal parallax three-dimensional light field display system provided in any of the foregoing implementation manners.
需要说明的是,所述计算机可读存储介质的例子还可以包括,但不限于相变内存(PRAM)、静态随机存取存储器(SRAM)、动态随机存取存储器(DRAM)、其他类型的随机存取存储器(RAM)、只读存储器(ROM)、电可擦除可编程只读存储器(EEPROM)、快闪记忆体或其他光学、磁性存储介质,在此不再一一赘述。It should be noted that examples of the computer-readable storage medium may also include, but are not limited to, phase change memory (PRAM), static random access memory (SRAM), dynamic random access memory (DRAM), other types of random Access memory (RAM), read only memory (ROM), electrically erasable programmable read only memory (EEPROM), flash memory or other optical and magnetic storage media will not be repeated here.
以上所述,仅为本申请较佳的具体实施方式,但本申请的保护范围并不局限于此,任何熟悉本技术领域的技术人员在本申请揭露的技术范围内,可轻易想到的变化或替换,都应涵盖在本申请的保护范围之内。因此,本申请的保护范围应以所述权利要求的保护范围为准。The above is only a preferred embodiment of the present application, but the scope of protection of the present application is not limited thereto. Any skilled person familiar with the technical field can easily think of changes or Replacement should be covered within the protection scope of this application. Therefore, the protection scope of the present application should be determined by the protection scope of the claims.
| Application Number | Priority Date | Filing Date | Title |
|---|---|---|---|
| CN202210372681.9ACN114879377B (en) | 2022-04-11 | 2022-04-11 | Method, device and equipment for determining parameters of horizontal parallax three-dimensional light field display system |
| Application Number | Priority Date | Filing Date | Title |
|---|---|---|---|
| CN202210372681.9ACN114879377B (en) | 2022-04-11 | 2022-04-11 | Method, device and equipment for determining parameters of horizontal parallax three-dimensional light field display system |
| Publication Number | Publication Date |
|---|---|
| CN114879377A CN114879377A (en) | 2022-08-09 |
| CN114879377Btrue CN114879377B (en) | 2023-06-23 |
| Application Number | Title | Priority Date | Filing Date |
|---|---|---|---|
| CN202210372681.9AActiveCN114879377B (en) | 2022-04-11 | 2022-04-11 | Method, device and equipment for determining parameters of horizontal parallax three-dimensional light field display system |
| Country | Link |
|---|---|
| CN (1) | CN114879377B (en) |
| Publication number | Priority date | Publication date | Assignee | Title |
|---|---|---|---|---|
| CN116663429A (en)* | 2023-07-25 | 2023-08-29 | 深圳臻像科技有限公司 | A Joint Parameter Optimization Method for Light Field Displays |
| Publication number | Priority date | Publication date | Assignee | Title |
|---|---|---|---|---|
| CN110913201A (en)* | 2019-10-22 | 2020-03-24 | 北京邮电大学 | A light field display structure and synthetic image coding method |
| CN111193921A (en)* | 2020-01-10 | 2020-05-22 | 吉林大学 | LED screen one-dimensional integrated imaging display method based on combined discrete grating |
| Publication number | Priority date | Publication date | Assignee | Title |
|---|---|---|---|---|
| CN105933697B (en)* | 2016-06-30 | 2017-10-27 | 北京邮电大学 | A kind of method and device of grating parameter output |
| CN111656404B (en)* | 2019-05-30 | 2024-03-01 | 深圳市大疆创新科技有限公司 | Image processing method, system and movable platform |
| CN111198448B (en)* | 2020-01-10 | 2021-07-30 | 吉林大学 | A one-dimensional integrated imaging display method based on special-shaped cylindrical lens grating |
| CN113205592B (en)* | 2021-05-14 | 2022-08-05 | 湖北工业大学 | A three-dimensional reconstruction method and system of light field based on phase similarity |
| CN113763301B (en)* | 2021-09-08 | 2024-03-29 | 北京邮电大学 | A three-dimensional image synthesis method and device that reduces the probability of miscutting |
| Publication number | Priority date | Publication date | Assignee | Title |
|---|---|---|---|---|
| CN110913201A (en)* | 2019-10-22 | 2020-03-24 | 北京邮电大学 | A light field display structure and synthetic image coding method |
| CN111193921A (en)* | 2020-01-10 | 2020-05-22 | 吉林大学 | LED screen one-dimensional integrated imaging display method based on combined discrete grating |
| Publication number | Publication date |
|---|---|
| CN114879377A (en) | 2022-08-09 |
| Publication | Publication Date | Title |
|---|---|---|
| US11632537B2 (en) | Method and apparatus for obtaining binocular panoramic image, and storage medium | |
| US10560687B2 (en) | LED-based integral imaging display system as well as its control method and device | |
| US11825064B2 (en) | Light field display method and system, storage medium and display panel | |
| EP3350989B1 (en) | 3d display apparatus and control method thereof | |
| US9460555B2 (en) | System and method for three-dimensional visualization of geographical data | |
| Jones et al. | Interpolating vertical parallax for an autostereoscopic three-dimensional projector array | |
| CN103562963A (en) | Systems and methods for alignment, calibration and rendering for an angular slice true-3D display | |
| CN115236871A (en) | Desktop light field display system and method based on human eye tracking and bidirectional backlight | |
| CN105704479A (en) | Interpupillary distance measuring method and system for 3D display system and display device | |
| CN108573521B (en) | Real-time interactive naked-eye 3D display method based on CUDA parallel computing framework | |
| CN113763301B (en) | A three-dimensional image synthesis method and device that reduces the probability of miscutting | |
| CN106154567B (en) | A kind of imaging method and device of 3 d light fields display system | |
| CN114879377B (en) | Method, device and equipment for determining parameters of horizontal parallax three-dimensional light field display system | |
| CN108833893A (en) | A 3D Image Correction Method Based on Light Field Display | |
| CN115767068A (en) | Information processing method and device and electronic equipment | |
| CN112866676B (en) | A naked-eye 3D display algorithm based on single-pixel multi-view reconstruction | |
| CN114967170B (en) | Display processing method and device thereof based on flexible naked-eye three-dimensional display device | |
| CN114815286B (en) | Method, device and equipment for determining parameters of full parallax three-dimensional light field display system | |
| Panahpourtehrani et al. | 3d imaging system using multi-focus plenoptic camera and tensor display | |
| US20240236291A1 (en) | Method and apparatus for displaying multi-viewpoint video, displaying device, medium and program | |
| CN108537835A (en) | Holographic image generation and display method and equipment | |
| Wu et al. | P‐231: Late‐News Poster: Real‐Time Analysis and Synthesis of Imagery for Light‐Field Displays | |
| CN114339191A (en) | A naked-eye three-dimensional display method based on multi-view reconstruction | |
| EP3922012A1 (en) | Method and apparatus for correcting lenticular distortion | |
| CN119363962B (en) | Parameter calibration method and system for naked-eye 3D display module |
| Date | Code | Title | Description |
|---|---|---|---|
| PB01 | Publication | ||
| PB01 | Publication | ||
| SE01 | Entry into force of request for substantive examination | ||
| SE01 | Entry into force of request for substantive examination | ||
| GR01 | Patent grant | ||
| GR01 | Patent grant | ||
| TR01 | Transfer of patent right | ||
| TR01 | Transfer of patent right | Effective date of registration:20231204 Address after:453000 No. 9, DongZhuo Road, Hongqi District, Xinxiang City, Henan Province (No. 1 and No. 2 plants of Xindong Photoelectric Information Industrial Park) (east of 107) Patentee after:HENAN BAIHE SPECIAL OPTICAL RESEARCH INSTITUTE CO.,LTD. Address before:100876 Beijing city Haidian District Xitucheng Road No. 10 Patentee before:Beijing University of Posts and Telecommunications |