



技术领域technical field
本发明属于车辆轨迹优化方法技术领域,尤其涉及一种面向主线入口匝道合流区冲突消除的车辆轨迹优化方法。The invention belongs to the technical field of vehicle trajectory optimization methods, and in particular relates to a vehicle trajectory optimization method for conflict elimination in a mainline entrance ramp merge area.
背景技术Background technique
城市快速路入口匝道合流区是城市道路交通的重要冲突点和瓶颈区域,为了缓解该冲突并提高快速路交通运行水平,基于联网车辆信息传输技术的车辆控制方法被提出。现有方法主要基于可穿越间隙原则进行优化控制,然而由于可穿越间隙是一个概率取值,不同驾驶员对其理解不同,因此只能达到大概率下的合流安全,无法完全消除冲突。对于快速路入口匝道合流区冲突消除,未见有针对性的优化控制方法,并且也未检索到该类型的发明专利。The on-ramp merge area of urban expressway is an important conflict point and bottleneck area of urban road traffic. In order to alleviate the conflict and improve the traffic operation level of expressway, a vehicle control method based on networked vehicle information transmission technology was proposed. Existing methods are mainly based on the principle of traversable gaps for optimal control. However, since traversable gaps are a probability value, different drivers have different understandings of them, so they can only achieve merge safety with high probability and cannot completely eliminate conflicts. For the conflict elimination in the merge area of the on-ramp of the expressway, there is no targeted optimization control method, and no patent for this type of invention has been retrieved.
经对现有技术的文献检索发现,有关快速路入口匝道的优化控制方法,主要有以下几种:According to the literature search of the prior art, it is found that the optimal control methods for the on-ramp of the expressway mainly include the following:
1、基于信号灯控制的方法。在入口匝道安装信号灯,并通过优化信号灯周期时长和绿灯时长等参数控制匝道车流进入主线的流量和时间,从而提高入口匝道合流区交通运行效率,具体信号控制方式包括定时控制、反馈控制和自适应优化控制等。在发明专利“快速路匝道控制信号灯系统及其运行方法”(CN201010010108.0)、发明专利“一种基于实时仿真的匝道信号前馈控制方法及系统”(CN201910387724.9)中进行了介绍。1. The method based on signal light control. Install signal lights on the entrance ramp, and control the flow and time of ramp traffic entering the main line by optimizing parameters such as signal light period length and green light duration, so as to improve the traffic operation efficiency in the entrance ramp merge area. The specific signal control methods include timing control, feedback control and self-adaptation optimization control, etc. Introduced in the invention patent "Expressway Ramp Control Signal Light System and Its Operation Method" (CN201010010108.0) and the invention patent "A ramp signal feedforward control method and system based on real-time simulation" (CN201910387724.9).
2、基于诱导与信号灯协调的方法。在信号控制的基础上,通过设置诱导信息以及标志标线诱导手段,对包含多个匝道的快速路区段及其地面道路进行协调控制,从而提升区段整体通行效率。在中国的《匝道控制系统设置要求GB34599-2017》、《城市道路交通设施设计规范GB 50688-2011》中对道路控制设施和诱导设施有相关规定。2. A method based on the coordination of inducements and signal lights. On the basis of signal control, by setting guidance information and signs and markings guidance means, the expressway section containing multiple ramps and its surface roads are coordinated and controlled, thereby improving the overall traffic efficiency of the section. There are relevant regulations on road control facilities and guidance facilities in China's "Ramp Control System Setup Requirements GB34599-2017" and "Code for Design of Urban Road Traffic Facilities GB 50688-2011".
3、基于联网车辆信息的车辆控制方法。将信号传输、智能交互技术应用在车辆层面上,对当前的车辆环境数据信息进行处理,给出下一步的行驶决策,从而对车辆的行驶轨迹进行控制,避开合流等冲突,提高道路通行能力。在发明专利“一种基于路侧设备的快速路匝道车流汇入引导方法与系统”(专利号ZL201810840849.8)中对车辆与路侧设备信息交互原理方法进行了介绍;发明专利申请“城市快速路合流区主线与入口匝道协调控制系统及方法”(申请号CN202110493320.5)中从智能信息传输、系统判断决策方面给出了详细的程序介绍和工作原理;发明专利“一种面向城市快速路的匝道合流控制方法”(专利号ZL202010736981.1)中介绍了车辆间之间信息交互、反馈的方法,并从节能角度解决入口匝道相关问题。3. A vehicle control method based on networked vehicle information. Apply signal transmission and intelligent interaction technology at the vehicle level, process the current vehicle environment data information, and give the next driving decision, so as to control the vehicle's driving trajectory, avoid conflicts such as merging, and improve road traffic capacity . The principle and method of information interaction between vehicles and roadside equipment is introduced in the invention patent "A method and system for guiding traffic flow on the ramp of expressway based on roadside equipment" (patent number ZL201810840849.8); the invention patent application "Urban Express The Coordinated Control System and Method for the Main Line and Entrance Ramp in the Convergence Area of Roads" (application number CN202110493320.5) provides a detailed program introduction and working principle from the aspects of intelligent information transmission and system judgment and decision-making; the invention patent "a city-oriented expressway Ramp merge control method" (Patent No. ZL202010736981.1) introduces the method of information interaction and feedback between vehicles, and solves the problems related to the on-ramp from the perspective of energy saving.
方法1和方法2是从传统信号控制和路径诱导角度对城市快速路入口匝道合流区进行优化,目前已有了较为成熟的技术成果。
方法3利用联网车辆信息交互、处理技术,通过控制车辆的行驶轨迹,缓解入口匝道合流冲突,并提高整体系统的通行能力。但现有方法是基于可穿插间隙原则进行的优化控制,而该原则属于一种概率取值问题,其实际的应用效果会随着道路布局、驾驶环境的不同而产生较大的变化,因此只能属于大概率下的合流安全,无法完全消除合流冲突问题。另外以往的设计方法允许车辆在整段加速车道都能进行合流操作,这在车辆数变多且交通布局更加复杂的情况下,需要更加庞大和复杂的计算能力,对合流冲突的消除也是不利的。
现有控制方法不能完全消除城市快速路入口匝道车辆的合流冲突问题,缺乏在保障本质安全的前提下提高城市快速路入口匝道合流区通行效率的较为科学合理的控制方法。Existing control methods cannot completely eliminate the merging conflict problem of vehicles on the on-ramp of urban expressways, and there is a lack of a more scientific and reasonable control method to improve the traffic efficiency in the merging area of on-ramps on urban expressways under the premise of ensuring intrinsic safety.
发明内容Contents of the invention
针对现有技术的缺陷,本发明的目的是提供一种规避规避信号控制交叉口两难区的车速引导优化方法,该方法首先对车辆是否会落入两难区进行判断,然后针对落入两难区的所有车辆,将其两难区规避、车辆通行效率、平顺性、一系列车辆运行约束等多重因素整合在一个统一的优化模型中,进行同步优化,从而保障车辆安全平稳地通过交叉口。Aiming at the defects of the prior art, the object of the present invention is to provide a vehicle speed guidance optimization method for avoiding signal-controlled intersection dilemmas. The method first judges whether the vehicle will fall into the dilemmas, and then determines whether the vehicle falls into the dilemmas. For all vehicles, multiple factors such as dilemma avoidance, vehicle traffic efficiency, ride comfort, and a series of vehicle operating constraints are integrated into a unified optimization model, and synchronous optimization is performed to ensure that vehicles pass through the intersection safely and smoothly.
针对现有技术的缺陷,本发明方法的目的是要提供一种面向主线入口匝道合流区冲突消除的车辆轨迹优化方法,该方法针对以上技术的不足,建立了优化控制模型,在完全消除匝道合流冲突的基础上,提升主线入口匝道合流区通行效率。In view of the defects of the prior art, the purpose of the method of the present invention is to provide a vehicle trajectory optimization method for conflict elimination in the main line entrance ramp merge area. This method aims at the deficiencies of the above technologies, and establishes an optimization control model. On the basis of the conflict, improve the traffic efficiency in the merge area of the main line entrance ramp.
本发明的技术方案如下:Technical scheme of the present invention is as follows:
一种面向快速路入口匝道合流区冲突消除的车辆轨迹优化方法,通过求解下述最优化模型,控制每辆车在每一时刻的速度,得到受控车辆的轨迹。模型利用线性规划算法表述,以整体车辆平均行驶速度最大为优化目标,考虑车辆约束、安全约束和合流约束条件,其中:A vehicle trajectory optimization method oriented to conflict elimination in the merge area of the on-ramp of the expressway, by solving the following optimization model, controlling the speed of each vehicle at each moment, and obtaining the trajectory of the controlled vehicle. The model is expressed using a linear programming algorithm, with the maximum average vehicle speed as the optimization objective, considering vehicle constraints, safety constraints and merging constraints, where:
所述优化模型的输入参数包括:Δt,系统运行的单位时间间隔,s;Tmer,系统总运行时间,s;xmer,匝道合流功能区的纵向长度,m;快速路主线编号为p的车辆的初始坐标位置;匝道车辆的初始坐标位置;N,快速路主线车辆数量,veh;M,匝道车辆数量,veh;vmax,路段最大车速,m/s;vmin,路段最小车速,m/s;amax,路段最大加速度,m/s2;amin,路段最小加速度,m/s2;jmax,路段限制的加速度变化率,m/s3;dmin,最小车头间距约束,m;gmin,最小车头时距约束,s;w,车道宽度,m;快速路主线车辆统一的初始速度,m/s;匝道车辆的初始速度,m/s;主要参数示意图如图1所示;The input parameters of the optimization model include: Δt, the unit time interval of system operation, s; Tmer , the total operating time of the system, s; xmer , the longitudinal length of the ramp merge functional area, m; The initial coordinate position of the vehicle numbered p on the main line of the expressway; The initial coordinate position of the ramp vehicle; N, the number of vehicles on the main line of the expressway, veh; M, the number of ramp vehicles, veh; vmax , the maximum speed of the road section, m/s; vmin , the minimum speed of the road section, m/s; amax , The maximum acceleration of the road section, m/s2 ; amin , the minimum acceleration of the road section, m/s2 ; jmax , the acceleration change rate limited by the road section, m/s3 ; dmin , the minimum distance between vehicles, m; gmin , the minimum headway constraint, s; w, lane width, m; Uniform initial speed of vehicles on the main line of the expressway, m/s; The initial speed of the ramp vehicle, m/s; the schematic diagram of the main parameters is shown in Figure 1;
所述优化模型的输出参数包括:快速路主线编号为p车辆在t时间节点的速度;匝道车辆在t时间节点的速度;The output parameters of the optimization model include: The main line number of the expressway is the speed of p vehicles at the time node t; The speed of the ramp vehicle at the time node t;
另外与决策(输出)变量相关的辅助变量包括:编号为p的快速路车辆在时间节点t的加速度,m/s2;匝道车辆在时间节点t的加速度,m/s2;编号为p的快速路车辆在时间节点t的累计行驶距离,m;匝道车辆在时间节点t的累计行驶距离,m;编号为p的快速路车辆在时间节点t的坐标位置,匝道车辆在时间节点t的坐标位置,Additional auxiliary variables related to decision (output) variables include: The acceleration of the expressway vehicle numbered p at time node t, m/s2 ; The acceleration of the ramp vehicle at time node t, m/s2 ; The cumulative travel distance of the expressway vehicle numbered p at the time node t, m; The cumulative driving distance of the ramp vehicle at the time node t, m; The coordinate position of the expressway vehicle numbered p at the time node t, The coordinate position of the ramp vehicle at time node t,
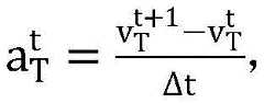
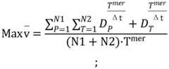
所述目标函数为最大化所有车辆的平均行驶速度,如式(1)所示;The objective function is to maximize the average travel speed of all vehicles, as shown in formula (1);
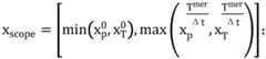
模型的控制范围根据初始条件下距离合流功能区负向最远的车辆位置以及运行时间结束后,距离合流功能区正向最远的车辆位置而定,即满足式(2)要求;The control range of the model is determined according to the position of the vehicle farthest from the negative side of the merge function area under the initial conditions and the vehicle position farthest from the positive direction of the merge function area after the running time is over, which satisfies the requirements of formula (2);
所述车辆约束要求满足以下三个约束条件:The vehicle constraints require to meet the following three constraints:
一是车辆速度限制,在正常道路上行驶的车辆都必须遵守道路设定的速度阈值,车辆每时每刻的速度不应超过一个范围,表示为式(3)-(4);The first is the vehicle speed limit. Vehicles running on normal roads must abide by the speed threshold set by the road. The speed of the vehicle at any time should not exceed a range, which is expressed as formula (3)-(4);
二是车辆加速度限制,根据车辆的真实性能,其加减速度都有限制范围,车辆每时每刻的加速度不应超过一个范围,表示为式(5)-(6);The second is the vehicle acceleration limit. According to the real performance of the vehicle, its acceleration and deceleration have a limited range. The acceleration of the vehicle at any time should not exceed a range, which is expressed as formula (5)-(6);
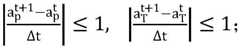
三是车辆加速度变化率限制,根据真实道路驾驶员的驾驶习惯、舒适程度和车辆性能等,车辆每时每刻的加速度变化率不应超过一个范围,表示为式(7)-(8);The third is the limitation of vehicle acceleration change rate. According to the driving habits, comfort level and vehicle performance of real road drivers, the vehicle acceleration change rate at any time should not exceed a range, which is expressed as formula (7)-(8);
所述安全约束要求满足以下六个约束条件:The security constraints described above require the following six constraints to be met:
一是主线车辆车头之间距离应保持在安全范围内以避免碰撞,由式(9)给出:First, the distance between the fronts of the mainline vehicles should be kept within a safe range to avoid collisions, which is given by formula (9):
二是匝道车辆车头之间距离应保持在安全范围内,由式(10)给出:Second, the distance between the fronts of ramp vehicles should be kept within a safe range, which is given by formula (10):
三是匝道车辆与主线车辆之间距离应保持在安全范围内,由式(11)-(12)给出:Third, the distance between ramp vehicles and mainline vehicles should be kept within a safe range, which is given by formulas (11)-(12):
四是主线车辆车头之间时间间隔应保持安全时间间距要求,由式(13)给出:Fourth, the time interval between the main line vehicles should maintain a safe time interval requirement, which is given by formula (13):
五是匝道车辆车头之间时间间隔应保持安全时间间距要求,由式(14)给出:Fifth, the time interval between the heads of ramp vehicles should maintain a safe time interval requirement, which is given by formula (14):
六是匝道车辆与主线车辆之间的时间间隔应保持安全时间间距要求,由式(15)-(16)给出:Sixth, the time interval between the ramp vehicle and the main line vehicle should maintain a safe time interval requirement, which is given by formulas (15)-(16):
所述车辆合流约束要求满足以下两个个约束条件:The vehicle merging constraint requires the following two constraints to be met:
一是当匝道车辆在合流区中时,主线车辆应满足公式(17):First, when the ramp vehicle is in the merge area, the mainline vehicle should satisfy the formula (17):
二是当主线车辆在合流区中时,匝道车辆应满足公式(18):Second, when the main line vehicles are in the merge area, the ramp vehicles should satisfy the formula (18):
上述优化过程考虑了车辆约束、安全约束和合流约束,将匝道车辆与主线车辆在时空上完全分隔,同时,将主线和匝道车流构建在一个统一的优化模型中,以最大化所有车辆平均速度为优化目标,从而能在保障合流冲突完全消除的基础上提升快速路主线和匝道整体通行效率。The above optimization process considers vehicle constraints, safety constraints, and merging constraints, and completely separates ramp vehicles from mainline vehicles in time and space. At the same time, the mainline and ramp traffic flows are constructed in a unified optimization model to maximize the average speed of all vehicles as The goal of optimization is to improve the overall traffic efficiency of the main line of the expressway and the ramp on the basis of ensuring the complete elimination of merging conflicts.
与现有技术相比,本发明的有益效果主要体现在:Compared with the prior art, the beneficial effects of the present invention are mainly reflected in:
1、本发明提供了一种面向快速路入口匝道合流区冲突消除的车辆轨迹优化方法,通过合流区约束设置,保证匝道车辆合流时与主线车辆的完全隔离,实现冲突消除。1. The present invention provides a vehicle trajectory optimization method for conflict elimination in the merging area of the entrance ramp of the expressway. Through the constraint setting of the merging area, it can ensure that the ramp vehicles are completely isolated from the main line vehicles when merging, and realize the conflict elimination.
2、本发明的方法同时以交通安全和效率为导向,在消除合流冲突的基础上还能提升快速路入口匝道合流区通行效率。2. The method of the present invention is guided by traffic safety and efficiency at the same time, and can also improve the traffic efficiency in the merge area of the entrance ramp of the expressway on the basis of eliminating the merge conflict.
附图说明Description of drawings
图1为本发明中主要参数示意图;Fig. 1 is a schematic diagram of main parameters in the present invention;
图2为本发明实施例1中场景条件示意图;FIG. 2 is a schematic diagram of scene conditions in
图3为本发明实施例1中得出的车辆速度轨迹图;Fig. 3 is the vehicle velocity locus figure that draws in the
图4为本发明实施例1中得出的车辆位置轨迹图。FIG. 4 is a vehicle position track diagram obtained in
具体实施方式Detailed ways
下面将结合示意图对本发明一种面向主线入口匝道合流区冲突消除的车辆轨迹优化方法进行更详细的描述,其中表示了本发明的优选实施例,应该理解本领域技术人员可以修改在此描述的本发明,而仍然实现本发明的有利效果,因此,下列描述应当被理解为对于本领域技术人员的广泛知道,而并不作为对本发明的限制。A vehicle trajectory optimization method for mainline entrance ramp merge area conflict elimination will be described in more detail below in conjunction with a schematic diagram, wherein a preferred embodiment of the present invention is shown, and it should be understood that those skilled in the art can modify the present invention described herein invention, but still achieve the beneficial effects of the present invention, therefore, the following description should be understood as the broad knowledge of those skilled in the art, but not as a limitation of the present invention.
实施例1:Example 1:
本发明实施例1中场景几何条件如图2所示,其中快速路主线设置一条最外侧车道,匝道正常连接并设置匝道车辆为1辆车,采用本发明中的方法,以所有车辆平均速度最大为优化目标,控制车辆的速度轨迹,并与一般的车辆合流方法进行对比。设计输入参数为:Δt,系统运行的单位时间间隔,取0.5s;Tmer,系统总运行时间,取30s;xmer,匝道合流功能区的纵向长度,取50m;快速路主线车辆的初始坐标位置,取-40,-80,-120,-160,-200;匝道车辆的初始坐标位置,取-100;N,快速路主线车辆数量,取5veh;vmax,路段最大车速,取25m/s;vmin,路段最小车速,取0m/s;amax,路段最大加速度,取2m/s2;amin,路段最小加速度,取-4m/s2;jmax,路段限制的加速度变化率,取1m/s3;dmin,最小车头间距约束,取20m;gmin,最小车头时距约束,取2s;w,车道宽度,取4m;快速路主线车辆统一的初始速度,取16m/s;匝道车辆的初始速度,取8m/s,具体可见表1:The geometric conditions of the scene in Example 1 of the present invention are shown in Figure 2, wherein the main line of the expressway is provided with an outermost lane, the ramp is normally connected and the ramp vehicle is set as one vehicle, and the method of the present invention is used to maximize the average speed of all vehicles To optimize the objective, the velocity trajectory of the vehicle is controlled and compared with general vehicle merging methods. The design input parameters are: Δt, the unit time interval of system operation, which is 0.5s; Tmer , the total running time of the system, which is 30s; xmer , the longitudinal length of the ramp merge function area, which is 50m; The initial coordinate position of the expressway main line vehicle is -40, -80, -120, -160, -200; The initial coordinate position of the ramp vehicle, take -100; N, the number of vehicles on the main line of the expressway, take 5veh; vmax , the maximum speed of the road section, take 25m/s; vmin , the minimum speed of the road section, take 0m/s; amax , the road section The maximum acceleration is 2m/s2 ; amin , the minimum acceleration of the road section, is -4m/s2 ; jmax , the acceleration change rate limited by the road section, is 1m/s3 ; dmin , the minimum distance constraint between vehicles, is 20m; gmin , minimum headway constraint, take 2s; w, lane width, take 4m; The unified initial speed of vehicles on the main line of the expressway is 16m/s; The initial speed of the ramp vehicle is taken as 8m/s, see Table 1 for details:
表1实施例1的各项参数表示The various parameters of table 1
具体过程简述如下:The specific process is briefly described as follows:
步骤1:将上述输入参数代入本发明建立的线性规划优化模型。其中为了将发明方法中涉及的模型能够求解表示,利用经典的大M线性法,让M表示一个无穷大的数,e表示一个无穷小的数,而n、m、u、o、a、b、c、f、d、g都表示一个二元变量,具体为n+m=1、u+o=1、a+b=1、c+f=1、d+g=1。Step 1: Substituting the above input parameters into the linear programming optimization model established by the present invention. Among them, in order to solve and express the models involved in the inventive method, using the classic large-M linear method, let M represent an infinite number, e represent an infinitesimal number, and n, m, u, o, a, b, c , f, d, g all represent a binary variable, specifically n+m=1, u+o=1, a+b=1, c+f=1, d+g=1.
s.t.st
步骤2:上述模型为线性规划模型,可采用最优化问题求解器(如CPLEX)进行求解,得到的车辆速度轨迹和车辆位置轨迹分别如图3和图4所示。Step 2: The above model is a linear programming model, which can be solved by an optimization problem solver (such as CPLEX). The obtained vehicle speed trajectory and vehicle position trajectory are shown in Figure 3 and Figure 4 respectively.
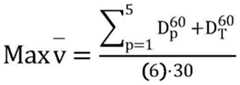
步骤3:设计方案评价。采用平均速度和碰撞时间(TTC)安全时间占比作为评价指标,并与传统控制方案进行对比。其中安全时间占比指标中以TTC时间1.5s为安全阈值。传统控制方案中,匝道车辆根据可穿插间隙原则,在匝道车辆正式进入加速车道后开始汇入主线,不受到必须在末端合流功能区进行合流(合流约束)的限制。评价结果如表2所示,本发明方案安全时间占比达到100%,与传控制方案对比,车辆安全性提升10.9%,通行效率提升16.3%,表明该发明方法可在保障合流冲突消除的基础上提升快速路合流区通行效率。Step 3: Design proposal evaluation. The average speed and time-to-collision (TTC) safety time ratio are used as evaluation indicators, and compared with traditional control schemes. Among them, the safety time ratio index takes TTC time 1.5s as the safety threshold. In the traditional control scheme, the on-ramp vehicle starts to merge into the main line after the on-ramp vehicle officially enters the acceleration lane according to the principle of interspersed gaps, and is not subject to the restriction of merging at the terminal merging functional area (merging constraint). The evaluation results are shown in Table 2. The safety time ratio of the scheme of the present invention reaches 100%. Compared with the traditional control scheme, the vehicle safety is increased by 10.9%, and the traffic efficiency is increased by 16.3%. It shows that the inventive method can guarantee the elimination of merge conflicts. Improving the traffic efficiency in the confluence area of the expressway.
表2发明方法优化结果与对比Table 2 Invention method optimization result and comparison
上述仅为本发明的优选实施例而已,并不对本发明起到任何限制作用。任何所属技术领域的技术人员,在不脱离本发明的技术方案的范围内,对本发明揭露的技术方案和技术内容做任何形式的等同替换或修改等变动,均属未脱离本发明的技术方案的内容,仍属于本发明的保护范围之内。The foregoing are only preferred embodiments of the present invention, and do not limit the present invention in any way. Any person skilled in the technical field, within the scope of the technical solution of the present invention, makes any form of equivalent replacement or modification to the technical solution and technical content disclosed in the present invention, which does not depart from the technical solution of the present invention. The content still belongs to the protection scope of the present invention.
| Application Number | Priority Date | Filing Date | Title |
|---|---|---|---|
| CN202210472432.7ACN114863681B (en) | 2022-04-29 | 2022-04-29 | Vehicle track optimization method for conflict elimination of main line entrance ramp confluence area |
| Application Number | Priority Date | Filing Date | Title |
|---|---|---|---|
| CN202210472432.7ACN114863681B (en) | 2022-04-29 | 2022-04-29 | Vehicle track optimization method for conflict elimination of main line entrance ramp confluence area |
| Publication Number | Publication Date |
|---|---|
| CN114863681A CN114863681A (en) | 2022-08-05 |
| CN114863681Btrue CN114863681B (en) | 2023-02-03 |
| Application Number | Title | Priority Date | Filing Date |
|---|---|---|---|
| CN202210472432.7AActiveCN114863681B (en) | 2022-04-29 | 2022-04-29 | Vehicle track optimization method for conflict elimination of main line entrance ramp confluence area |
| Country | Link |
|---|---|
| CN (1) | CN114863681B (en) |
| Publication number | Priority date | Publication date | Assignee | Title |
|---|---|---|---|---|
| CN116524735A (en)* | 2022-12-30 | 2023-08-01 | 长安大学 | A double-layer optimization control method and system for the merge area of an expressway entrance ramp |
| Publication number | Priority date | Publication date | Assignee | Title |
|---|---|---|---|---|
| CN106601002B (en)* | 2016-11-23 | 2019-06-07 | 苏州大学 | Entrance ramp vehicle passing guiding system and method under Internet of vehicles environment |
| CN111768637B (en)* | 2020-05-14 | 2022-08-23 | 同济大学 | Signal intersection traffic signal lamp and vehicle track control method |
| CN111785088B (en)* | 2020-06-23 | 2021-08-20 | 大连理工大学 | A two-layer collaborative optimization method for ramp merging of connected vehicles |
| CN113362619B (en)* | 2021-06-04 | 2022-08-12 | 东南大学 | Control method and device for cooperative merging of intelligent networked vehicle ramps in mixed traffic environment |
| Publication number | Publication date |
|---|---|
| CN114863681A (en) | 2022-08-05 |
| Publication | Publication Date | Title |
|---|---|---|
| CN111768637B (en) | Signal intersection traffic signal lamp and vehicle track control method | |
| CN114973733B (en) | A method for optimizing trajectory control of connected autonomous vehicles under mixed flow at signalized intersections | |
| CN113096416B (en) | A dynamic coordinated control method for variable speed limit of autonomous driving lanes and general lanes in merging areas on expressways | |
| CN108595823B (en) | Autonomous main vehicle lane changing strategy calculation method combining driving style and game theory | |
| CN114067559B (en) | A merge optimization control method for automatic vehicle-only lanes merging into ordinary lanes | |
| CN110910663A (en) | Multi-intelligent-vehicle intersection passing coordination control method under cooperative vehicle-road environment | |
| CN114495547B (en) | A method for coordinated traffic at signalized intersections for autonomous vehicles | |
| CN107240252B (en) | An Active Vehicle Scheduling Method at an Intersection | |
| CN114613142B (en) | A rule-based lane-changing control method for autonomous vehicles at intersections | |
| CN113312752B (en) | A traffic simulation method and device for a main road priority control intersection | |
| CN115641717A (en) | Method, device and storage medium for cooperative merging control of expressway mainline-ramp vehicles based on mixed traffic flow | |
| CN113223324B (en) | Control method for high-speed ramp entrance confluence | |
| CN115171386B (en) | A distributed cooperative driving method based on Monte Carlo tree search | |
| CN112820126B (en) | A right-of-way priority operation control and simulation method for a non-intrusive guided transport vehicle | |
| CN113011634A (en) | Intelligent network connection ramp merging method based on distributed optimal control | |
| CN117227755A (en) | Automatic driving decision method and system based on reinforcement learning under complex traffic scene | |
| CN106647269A (en) | Locomotive intelligent operation optimization calculation method | |
| CN114863681B (en) | Vehicle track optimization method for conflict elimination of main line entrance ramp confluence area | |
| CN118230583A (en) | Signal-free intersection vehicle passing sequence decision and track optimization method and system | |
| CN116502429A (en) | Expressway confluence region cooperative control method oriented to accident risk improvement | |
| CN115830885A (en) | Vehicle ramp confluence cooperative control method considering multi-vehicle type energy consumption | |
| CN115320640A (en) | An integrated decision-making method for autonomous driving behavior based on deep reinforcement learning | |
| CN117727189A (en) | Traffic signal and vehicle track optimization method based on vehicle-road cooperation under mixed traffic flow | |
| CN115083177B (en) | Control method for realizing intelligent vehicle series arrangement on three lanes and above | |
| Xu et al. | Selection-sort-based cooperative driving strategy for CAVs at non-signalized intersections |
| Date | Code | Title | Description |
|---|---|---|---|
| PB01 | Publication | ||
| PB01 | Publication | ||
| SE01 | Entry into force of request for substantive examination | ||
| SE01 | Entry into force of request for substantive examination | ||
| GR01 | Patent grant | ||
| GR01 | Patent grant |