


技术领域technical field
本发明属于数据处理技术领域,尤其涉及一种用于液化天然气储罐运行数据挖掘的数据处理方法及系统。The invention belongs to the technical field of data processing, and in particular relates to a data processing method and system for mining operation data of liquefied natural gas storage tanks.
背景技术Background technique
对液化天然气(Liquefied Natural Gas,LNG)储罐物理运行过程开展数字孪生时,需要精确描述工艺流程中各参数的变化过程。LNG储罐工艺流程复杂,运行参数多,蒸发气(Boil-Off Gas,BOG)的挥发量受环境温度、罐内液位、管壁保温效果和储罐收发液等因素影响,传统的机理模型存在偏差,有必要对实际的运行数据开展数据挖掘,寻求运行数据的内在关联。When carrying out the digital twin of the physical operation process of the liquefied natural gas (LNG ) storage tank, it is necessary to accurately describe the changing process of each parameter in the process flow. The process flow ofLNG storage tanks is complex, and there are many operating parameters. The volatilization of boil-off gas (BOG ) is affected by factors such as ambient temperature, liquid level in the tank, thermal insulation effect of the pipe wall, and the receiving and dispatching liquid of the tank. The traditional mechanism model If there is a deviation, it is necessary to carry out data mining on the actual operation data to seek the internal correlation of the operation data.
发明人发现,直接利用传统机器学习方法挖掘LNG储罐实际运行数据,存在产生过拟合的问题,不利于运行工况的外延模拟,限制了数字孪生的精度与应用范围。The inventor found that directly using the traditional machine learning method to mine the actual operation data ofLNG storage tanks has the problem of over-fitting, which is not conducive to the extensional simulation of operating conditions, and limits the accuracy and application scope of the digital twin.
发明内容SUMMARY OF THE INVENTION
本发明为了解决上述问题,提出了一种用于液化天然气储罐运行数据挖掘的数据处理方法及系统,属于一种针对LNG储罐运行物理过程数字孪生的运行数据预处理方法;本发明以最大限度降低了过拟合情况的出现,可以保证数字孪生中对于运行数据挖掘的可靠度。In order to solve the above problems, the present invention proposes a data processing method and system for mining operation data of LNG storage tanks, which belongs to an operation data preprocessing method aiming at the digital twin of the operation physical process ofLNG storage tanks; The limit reduces the occurrence of overfitting, which can ensure the reliability of running data mining in the digital twin.
为了实现上述目的,本发明是通过如下的技术方案来实现:In order to achieve the above object, the present invention is realized through the following technical solutions:
第一方面,本发明提供了一种用于液化天然气储罐运行数据挖掘的数据处理方法,包括:In a first aspect, the present invention provides a data processing method for LNG storage tank operation data mining, including:
根据储罐内温度和储罐外温度的差值,得到第一特征值;根据进料液化天然气温度和储罐内液化天然气温度的差值,得到第二特征值;基于设备运行参数,构建第三特征值;根据罐内液化天然气温度对时间的导数,得到第四特征值;根据罐内气相物理状态参数与体积相关参数的代数运算结果对时间的导数,得到第五特征值;根据压缩机出口气相物理状态参数和排量的代数运算,得到第六特征值;The first eigenvalue is obtained according to the difference between the temperature inside the storage tank and the temperature outside the storage tank; the second eigenvalue is obtained according to the difference between the temperature of the feed LNG and the temperature of the LNG in the storage tank; the first eigenvalue is constructed based on the equipment operating parameters. Three eigenvalues; the fourth eigenvalue is obtained according to the time derivative of the LNG temperature in the tank; the fifth eigenvalue is obtained according to the time derivative of the algebraic operation results of the physical state parameters of the gas phase in the tank and the volume-related parameters; the fifth eigenvalue is obtained according to the compressor Algebraic operation of the physical state parameters and displacement of the gas phase at the outlet to obtain the sixth eigenvalue;
根据机器学习算法,以所述第一特征值、所述第二特征值、所述第三特征值、所述第四特征值、所述第五特征值和所述第六特征值中的一个或多个特征值为标签,其他特征值为输入进行数据拟合。According to a machine learning algorithm, with one of the first eigenvalue, the second eigenvalue, the third eigenvalue, the fourth eigenvalue, the fifth eigenvalue and the sixth eigenvalue or multiple eigenvalues are labels, and other eigenvalues are input for data fitting.
进一步的,所述第一特征值等于储罐外壁温度和储罐内液化天然气温度的差值。Further, the first characteristic value is equal to the difference between the temperature of the outer wall of the storage tank and the temperature of the LNG in the storage tank.
进一步的,所述第二特征值等于进料液化天然气温度和储罐内液化天然气温度的差再乘上进料口流量。Further, the second characteristic value is equal to the difference between the temperature of the liquefied natural gas in the feed and the temperature of the liquefied natural gas in the storage tank multiplied by the flow rate of the feed port.
进一步的,所述第三特征值等于罐底泵排量。Further, the third characteristic value is equal to the displacement of the tank bottom pump.
进一步的,所述第四特征值等于罐内液化天然气温度对时间的导数再乘上液化天然气的液位高度。Further, the fourth characteristic value is equal to the time derivative of the temperature of the LNG in the tank multiplied by the liquid level height of the LNG.
进一步的,所述第五特征值等于储罐高度与液化天然气液位高度的差值乘上气相压力后与蒸发气温度的比值再对时间求导。Further, the fifth characteristic value is equal to the ratio of the difference between the height of the storage tank and the liquid level of the LNG multiplied by the gas phase pressure and the temperature of the boil-off gas, and then derives the time derivative.
进一步的,所述第六特征值等于压缩机出口压力和压缩机出口流量的乘积与压缩机出口温度的比值。Further, the sixth characteristic value is equal to the ratio of the product of the compressor outlet pressure and the compressor outlet flow rate to the compressor outlet temperature.
第二方面,本发明还提供了一种用于液化天然气储罐运行数据挖掘的数据处理系统,包括:In a second aspect, the present invention also provides a data processing system for mining operation data of LNG storage tanks, including:
特征值构建模块,被配置为:根据储罐内温度和储罐外温度的差值,得到第一特征值;根据进料液化天然气温度和储罐内液化天然气温度的差值,得到第二特征值;基于设备运行参数,构建第三特征值;根据罐内液化天然气温度对时间的导数,得到第四特征值;根据罐内气相物理状态参数与体积相关参数的代数运算结果对时间的导数,得到第五特征值;根据压缩机出口气相物理状态参数和排量的代数运算,得到第六特征值;The characteristic value building module is configured to: obtain the first characteristic value according to the difference between the temperature inside the storage tank and the temperature outside the storage tank; obtain the second characteristic value according to the difference between the temperature of the feed LNG and the temperature of the LNG in the storage tank Based on the equipment operating parameters, the third eigenvalue is constructed; the fourth eigenvalue is obtained according to the derivative of the temperature of the LNG in the tank with respect to time; according to the time derivative of the algebraic operation results of the physical state parameters of the gas phase in the tank and the volume-related parameters, Obtain the fifth eigenvalue; obtain the sixth eigenvalue according to the algebraic operation of the physical state parameters of the gas phase at the compressor outlet and the displacement;
数据拟合模块,被配置为:根据机器学习算法,以所述第一特征值、所述第二特征值、所述第三特征值、所述第四特征值、所述第五特征值和所述第六特征值中的一个或多个特征值为标签,其他特征值为输入进行数据拟合。a data fitting module configured to: according to a machine learning algorithm, use the first eigenvalue, the second eigenvalue, the third eigenvalue, the fourth eigenvalue, the fifth eigenvalue and One or more eigenvalues in the sixth eigenvalues are labels, and other eigenvalues are input to perform data fitting.
与现有技术相比,本发明的有益效果为:Compared with the prior art, the beneficial effects of the present invention are:
本发明基于LNG储罐换热、相变物理模型,对LNG储罐原始运行数据进行重组或计算,在考虑储罐内外温度差值、进料液化天然气和储罐内液化天然气温差、设备运行参数、罐内气相物理状态参数与体积相关参数的关系以及压缩机出口气相物理状态参数和排量的关系等参数或关系的基础上,重新构建了多个特征值,并对多个特征值进行了拟合,结果表明,与原始特征值拟合相比,以本发明中构建的多个特征值为基础进行拟合,极大的降低了过拟合情况的出现,可以保证数字孪生中对于运行数据挖掘的可靠度。Based on the physical model of heat exchange and phase change of theLNG storage tank, the invention reorganizes or calculates the original operation data of theLNG storage tank, taking into account the temperature difference between the inside and outside of the storage tank, the temperature difference between the feed liquefied natural gas and the liquefied natural gas in the storage tank, and the operating parameters of the equipment. , on the basis of the relationship between the physical state parameters of the gas phase in the tank and the volume-related parameters, and the relationship between the physical state parameters of the gas phase at the compressor outlet and the displacement and other parameters or relationships, a number of eigenvalues were reconstructed, and a number of eigenvalues were calculated. Fitting, the results show that, compared with the original eigenvalue fitting, the fitting based on the multiple eigenvalues constructed in the present invention greatly reduces the occurrence of overfitting, and can ensure that the digital twin has no effect on the operation. Reliability of data mining.
附图说明Description of drawings
构成本实施例的一部分的说明书附图用来提供对本实施例的进一步理解,本实施例的示意性实施例及其说明用于解释本实施例,并不构成对本实施例的不当限定。The accompanying drawings constituting a part of this embodiment are used to provide further understanding of this embodiment, and the schematic embodiments and descriptions of this embodiment are used to explain this embodiment, and do not constitute an improper limitation to this embodiment.
图1为本发明实施例1的原始特征拟合效果;Fig. 1 is the original feature fitting effect of Embodiment 1 of the present invention;
图2为本发明实施例1的重组特征值后拟合效果图;Fig. 2 is the fitting effect diagram after the reorganization characteristic value of the embodiment of the present invention 1;
图3为本发明实施例1的基于储罐系统热平衡物理模型的数据预处理示意图。FIG. 3 is a schematic diagram of data preprocessing based on the physical model of the heat balance of the storage tank system according to Embodiment 1 of the present invention.
具体实施方式:Detailed ways:
下面结合附图与实施例对本发明作进一步说明。The present invention will be further described below with reference to the accompanying drawings and embodiments.
应该指出,以下详细说明都是示例性的,旨在对本申请提供进一步的说明。除非另有指明,本文使用的所有技术和科学术语具有与本申请所属技术领域的普通技术人员通常理解的相同含义。It should be noted that the following detailed description is exemplary and intended to provide further explanation of the application. Unless otherwise defined, all technical and scientific terms used herein have the same meaning as commonly understood by one of ordinary skill in the art to which this application belongs.
实施例1:Example 1:
本实施例提供了一种用于液化天然气储罐运行数据挖掘的数据处理方法,包括:This embodiment provides a data processing method for LNG storage tank operation data mining, including:
根据储罐内温度和储罐外温度的差值,得到第一特征值;根据进料液化天然气温度和储罐内液化天然气温度的差值,得到第二特征值;基于设备运行参数,构建第三特征值;根据罐内液化天然气温度对时间的导数,得到第四特征值;根据罐内气相物理状态参数与体积相关参数的代数运算结果对时间的导数,得到第五特征值;根据压缩机出口气相物理状态参数和排量的代数运算,得到第六特征值;The first eigenvalue is obtained according to the difference between the temperature inside the storage tank and the temperature outside the storage tank; the second eigenvalue is obtained according to the difference between the temperature of the feed LNG and the temperature of the LNG in the storage tank; the first eigenvalue is constructed based on the equipment operating parameters. Three eigenvalues; the fourth eigenvalue is obtained according to the time derivative of the LNG temperature in the tank; the fifth eigenvalue is obtained according to the time derivative of the algebraic operation results of the physical state parameters of the gas phase in the tank and the volume-related parameters; the fifth eigenvalue is obtained according to the compressor Algebraic operation of the physical state parameters and displacement of the gas phase at the outlet to obtain the sixth eigenvalue;
根据机器学习算法,以所述第一特征值、所述第二特征值、所述第三特征值、所述第四特征值、所述第五特征值和所述第六特征值中的一个或多个特征值为标签,其他特征值为输入进行数据拟合。According to a machine learning algorithm, with one of the first eigenvalue, the second eigenvalue, the third eigenvalue, the fourth eigenvalue, the fifth eigenvalue and the sixth eigenvalue or multiple eigenvalues are labels, and other eigenvalues are input for data fitting.
通过本实施例中方法得到的新的特征值,可以有效解决LNG储罐运行原始数据机器学习时陷入的过拟合问题,使LNG储罐运行数据的机器学习结果的外延性更优,为基于机器学习方法的储罐运行数据挖掘提供新特征值;具体为,基于LNG储罐换热和相变物理模型,对LNG储罐原始运行数据进行重组或计算,获取新特征值,包括储罐热量输入部分、LNG蓄热部分和相变热部分;其中,储罐热量输入部分:对于温度差引发的热量输入,基于原始温度数据差值,构建新特征值;对于设备热源引发的热量输入,基于设备运行主要参数,构建新特征值;罐内LNG蓄热部分:取罐内LNG温度对时间的导数,并以此构建新特征值;相变热部分:针对罐内BOG总量,取罐内气相物理状态参数与体积相关参数的代数运算结果对时间的导数,并以此构建新特征值;针对排出罐外的BOG量,取压缩机出口气相物理状态参数、排量等原始数据的代数运算结果,并以此构建新特征值。The new eigenvalues obtained by the method in this embodiment can effectively solve the problem of over-fitting in the machine learning of the raw data of theLNG storage tank operation, so that the extension of the machine learning results of the operation data of theLNG storage tank is better. The machine learning method of storage tank operation data mining provides new eigenvalues; specifically, based on the physical model ofLNG storage tank heat exchange and phase change, the original operation data ofLNG storage tanks are reorganized or calculated to obtain new eigenvalues, including storage tank heat Input part,LNG heat storage part and phase change heat part; among them, the heat input part of the storage tank: for the heat input caused by the temperature difference, build a new eigenvalue based on the original temperature data difference; for the heat input caused by the equipment heat source, based on The main parameters of equipment operation are used to construct new eigenvalues; the heat storage part ofLNG in the tank: take the derivative of theLNG temperature in the tank to time, and use this to construct a new eigenvalue; the phase change heat part: for the totalBOG in the tank, take the The algebraic operation result of the gas phase physical state parameters and volume-related parameters is the derivative of time, and a new eigenvalue is constructed based on this; for the amount ofBOG discharged outside the tank, the algebraic operation of the original data such as the gas phase physical state parameters and displacement at the compressor outlet result, and construct new eigenvalues from it.
构建第一特征值,针对LNG储罐内外温度相关原始数据,提取第一特征值X1,其为TW与TL的重组结果,重组形式为TW-TL。其中,TW代表储罐外壁温度,TL代表储罐内LNG温度。The first eigenvalue is constructed, and the first eigenvalueX1 is extracted for the original data related to the temperature inside and outside theLNG storage tank, which is the result of the recombination ofTW andTL , and therecombinationform isTW-TL. Among them,TW represents the temperature of the outer wall of the storage tank, andTLrepresents the temperature of theLNG in the storage tank.
构建第二特征值,针对LNG储罐进料引发冷/热量输入相关原始数据,提取第二特征值X2,其为QI、TI与TL的重组结果,重组形式为QI(TI-TL)。其中,QI代表进料口流量;TI代表进料LNG温度;TL代表储罐内LNG温度。Construct the second eigenvalue, and extract the second eigenvalueX2 for the raw data related to the cold/heat input caused by theLNG storage tank feed, which is the recombination result ofQI ,TI andTL , and the recombination form isQI(TI -TL) . Among them,QI represents the flow rate of the feed inlet;TI represents the temperature of theLNG in the feed;TL represents the temperature of theLNG in the storage tank.
构建第三特征值,针对设备热源引发的热量输入,基于设备运行主要参数,构建新特征值;具体方法为LNG储罐存在罐底泵产热,针对此设备热源相关原始数据,提取第三特征值X3:QP。其中,QP代表罐底泵排量。The third eigenvalue is constructed, and a new eigenvalue is constructed based on the main parameters of the equipment operation for the heat input caused by the heat source of the equipment; the specific method is that theLNG storage tank is stored in the tank bottom pump to generate heat, and the third characteristic is extracted according to the original data related to the heat source of the equipment. ValueX3 :QP . whereQP represents the displacement of the tank bottom pump.
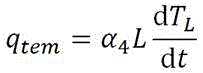
构建第四特征值,针对罐内LNG蓄热部分,取LNG温度对时间的导数,并以此构建新特征值;具体的方法为提取第四特征值X4,其为L与TL的重组结果,重组形式为。其中,TL代表储罐LNG温度;L代表LNG液位高度;t代表时间。To construct the fourth eigenvalue, for the heat storage part of theLNG in the tank, take the derivative of theLNG temperature with respect to time, and use this to construct a new eigenvalue; the specific method is to extract the fourth eigenvalueX4 , which is thedifference betweenL andTL The result of the recombination, the recombination form is . Among them,TL represents the storage tankLNG temperature;L represents theLNG liquid level height;t represents the time.
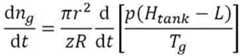
构建第五特征值,针对相变热部分中罐内BOG总量,取罐内气相物理状态参数与体积相关参数的代数运算结果对时间的导数,并以此构建新特征值;具体的方法为提取第五特征值X5,其为p、Htank、L与Tg的重组结果,重组形式为。其中,p代表气相压力;Tg代表BOG温度;Htank代表储罐高度,m;L代表LNG液位高度。The fifth eigenvalue is constructed, and for the total amount ofBOG in the tank in the phase change heat part, the derivative of the algebraic operation result of the gas phase physical state parameters and the volume-related parameters in the tank is taken, and a new eigenvalue is constructed based on this; the specific method is as follows: Extract the fifth eigenvalueX5 , which is the recombination result ofp ,Htank ,L andTg , and the recombination form is . Among them,p represents the gas pressure;Tg represents theBOG temperature;Htank represents the height of the storage tank,m ;L represents the height of theLNG liquid level.
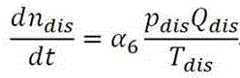
构建第六特征值,针对相变热部分中排出罐外的BOG量,取压缩机出口气相物理状态参数、排量等原始数据的代数运算结果,并以此构建新特征值;具体的方法为提取第六特征值X6,其为pdis、Qdis与Tdis的重组结果,重组形式为。其中,pdis代表压缩机出口压力;Qdis代表压缩机出口流量;Tdis代表压缩机出口温度。The sixth eigenvalue is constructed, and for the amount ofBOG discharged out of the tank in the phase change heat part, the algebraic operation results of the original data such as gas phase physical state parameters and displacement at the compressor outlet are taken, and a new eigenvalue is constructed based on this; the specific method is as follows: Extract the sixth eigenvalueX6 , which is the recombination result ofpdis ,Qdis andTdis , and the recombination form is . Among them,pdis represents the compressor outlet pressure;Qdis represents the compressor outlet flow;Tdis represents the compressor outlet temperature.
如图3所示,为基于储罐系统热平衡物理模型的数据预处理示意图;从热量角度出发,以LNG储罐内部空间为研究对象,存在单位时间内热量输入与转化之间的平衡。LNG储罐内热量输入主要包括LNG储罐周围环境导入储罐内部的热量、LNG储罐进料引发的冷量/热量输入以及LNG储罐罐底泵运行产热;基于能量守恒定律,输入LNG储罐的热量除了升高LNG温度外,剩余热量则使LNG发生相变,转化为BOG,其一部分积累在储罐气相空间中,引起气相空间压力、温度、高度变化,另一部分,则被压缩机抽出罐外。As shown in Figure 3, it is a schematic diagram of data preprocessing based on the physical model of the heat balance of the storage tank system; from the perspective of heat, taking the internal space of theLNG storage tank as the research object, there is a balance between heat input and conversion per unit time. The heat input in theLNG storage tank mainly includes the heat introduced into the storage tank from the surrounding environment of theLNG storage tank, the cooling/heat input caused by the feeding of theLNG storage tank, and the heat generated by the operation of the bottom pump of theLNG storage tank; based on the law of energy conservation, the inputLNG In addition to raising the temperature of theLNG , the heat of the storage tank causes theLNG to undergo a phase change and convert it intoBOG , a part of which is accumulated in the gas phase space of the storage tank, causing changes in the pressure, temperature and height of the gas phase space, while the other part is compressed. machine out of the tank.
热量输入部分数据预处理,热量输入部分数据预处理是将热量输入部分采集的所有数据划分为三个子数据集依次进行预处理,包括导热部分数据预处理、LNG储罐进料引发冷/热量输入部分数据预处理、罐底泵运行产热部分数据预处理,并且分别提取第一特征值X1、第二特征值X2和第三特征值X3。The data preprocessing of the heat input part, the data preprocessing of the heat input part is to divide all the data collected by the heat input part into three sub-data sets for preprocessing in turn, including the data preprocessing of the heat conduction part, the cold/heat input caused by theLNG storage tank feeding Partial data preprocessing, part data preprocessing of heat generation by tank bottom pump operation, and extracting the first characteristic valueX1 , the second characteristic valueX2 and the third characteristic valueX3 respectively.
导热量部分数据预处理,基于导热计算方程,通过LNG储罐外部监测点温度与储罐内部LNG温度差衡量导热量,提取第一特征值X1:TW-TL。Part of the data preprocessing of thermal conductivity, based on the thermal conductivity calculation equation, the thermal conductivity is measured by the difference between the temperature of the external monitoring point of theLNG storage tank and the temperature of theLNG inside the storage tank, and the first eigenvalueX1 :TW -TL is extracted.
其中,qc表示罐体导热引发的热量输入,W;λe表示储罐保温层当量导热系数,W/(mK);Atank表示储罐外表面积,m2;TW表示储罐保温层近外表处温度监测点的温度,K;TL表示储罐LNG温度,K由罐底温度与罐顶温度取平均得到;表示保温层内近外表温度监测点与罐内壁距离,m。Among them,qc represents the heat input caused by the heat conduction of the tank,W ;λe represents the equivalent thermal conductivity of the thermal insulation layer of the storage tank,W /(mK );Atank represents the external surface area of the storage tank,m2 ;TWrepresents the thermal insulation layer of the storage tank The temperature of the temperature monitoring point near the outer surface,K ;TL represents the storage tankLNG temperature, andK is obtained byaveraging the tank bottom temperature and the tank top temperature; Indicates the distance between the temperature monitoring point inside and near the outer surface of the insulation layer and the inner wall of the tank,m .
可以看出,λe、Atank和均为常数,故上式可表示为如下形式:It can be seen thatλe ,Atank and are constants, so the above formula can be expressed in the following form:
其中,为λe、Atank和的乘积。in, areλe ,Atank and product of .
基于以上预处理操作,梳理出第一特征值X1的表达方式,即储罐外壁温度与储罐LNG温度的差值TW-TL,保证第一特征值X1能够与现场数据测量点对应。其中,TW由储罐外壁温度监测点获取;TL为储罐内LNG温度由储罐底部温度监测点与储罐顶部温度监测点取平均获取。TW和TL两者的差值在一定程度上反应了导入储罐内部热量的多少,若两者差值越大,则导入储罐内部的热量越多;反之,则越少。Based on the above preprocessing operations, the expression of the first eigenvalueX1 is sorted out, that is, the differenceTW -TL between the temperature of the outer wall of the storage tank and the temperature of theLNG in the storage tank, to ensure that the first eigen valueX1 can be compared with the field data measurement point. correspond. Among them,TW is obtained from the temperature monitoring point on the outer wall of the storage tank;TL is the temperature of theLNG in the storage tank, which is obtained byaveraging the temperature monitoring point at the bottom of the storage tank and the temperature monitoring point at the top of the storage tank. The difference betweenTW andTLreflects the amount of heat introduced into the tank to a certain extent. If the difference between the two is larger, the more heat is introduced into the tank; otherwise, the less.
LNG储罐进料引发冷/热量输入部分数据预处理,基于下面计算方程,通过进料口流量与进料LNG温度和原储罐内部LNG温度差的乘积衡量LNG储罐进料引发冷/热量,提取第二特征值X2:QI(TI-TL)。The data preprocessing of the cold/heat input caused by theLNG storage tank feeding is based on the following calculation equation, and the cold/heat caused by theLNG storage tank feeding is measured by the product of the inlet flow rate and the temperature difference between the feedLNG and theLNG temperature inside the original storage tank. , extract the second eigenvalueX2 :QI (TI -TL ).
其中,qI表示进料引发的热量输入,W;QI表示进料口流量,m3/s;表示LNG密度,kg/m3;TI表示进料LNG温度,K;TL表示原储罐中的LNG温度,K;c表示LNG比热容,J/( kgK)。Wherein,qI represents the heat input caused by the feed,W ;QI represents the flow rate of the feed inlet,m3/s ; is theLNG density,kg/m3 ;TI is the feedLNG temperature,K ;TL is theLNG temperature in the original storage tank,K ;c is theLNGspecific heatcapacity ,J /(kgK ).
可以看出,比热容c、LNG密度近似为恒定值,忽略c与的变化。故上式可表示为如下形式:It can be seen that the specific heat capacityc ,LNG density is approximately constant, ignoringc and The change. Therefore, the above formula can be expressed in the following form:
其中,为c和的乘积。in, forc and product of .
基于以上预处理操作,梳理出第二特征值X2的表达方式,即进料口流量与进料LNG温度和储罐内LNG温度差值的乘积QI(TI-TL),保证特征值X2能够与现场数据测量点对应。其中,TI为LNG储罐进料温度由现场LNG储罐进料温度监测点获取;QI为进料口流量由现场进料流量监测点获取;TL为储罐内LNG温度由储罐底部温度监测点与储罐顶部温度监测点取平均获取。Based on the above preprocessing operations, the expression of the second characteristic valueX2 is sorted out, that is, the productQI (TI -TL ) of the feed inlet flow rate and the temperature difference between the feedLNG temperature and theLNG temperature in the storage tank, guaranteeing the characteristic The valueX2 can correspond to a field data measurement point. Among them,TI is theLNG storage tank feed temperature obtained from the on-siteLNG storage tank feed temperature monitoring point;QI is the feed inlet flow rate obtained from the on-site feed flow monitoring point;TL is theLNG temperature in the storage tankobtained from the storage tank The temperature monitoring point at the bottom and the temperature monitoring point at the top of the tank are averaged to obtain.
第二特征值X2:QI(TI-TL),即LNG储罐进料温度监测点与储罐底部温度监测点和储罐顶部温度监测点的平均值的差值,再乘以进料流量监测点。The second characteristic valueX2 :QI (TI-TL ), that is, the difference between the feed temperature monitoring point of theLNG storage tank and the average value of the temperature monitoring point at the bottom of the storage tank and the temperature monitoring point at the top of the storage tank, multiplied by Feed flow monitoring point.
罐底泵运行产热量部分数据预处理,基于下面计算方程,通过罐底泵排量衡量罐底泵运行产热量,提取第三特征值X3:QP。Part of the data preprocessing of the heat production of the tank bottom pump, based on the following calculation equation, measure the heat production of the tank bottom pump by the displacement of the tank bottom pump, and extract the third eigenvalueX3 :QP .
其中,表示罐底泵扬程,m;QP表示罐底泵排量,m3/s,表示罐底泵效率,与流量有关。in, represents the head of the tank bottom pump,m ;QP represents the displacement of the tank bottom pump,m3 /s , Indicates the efficiency of the tank bottom pump, which is related to the flow rate.
可以看出,g为常数,LNG密度近似为恒定值,忽略的变化,而罐底泵效率、罐底泵扬程与罐底泵排量有关。故上式可表示为如下形式:It can be seen thatg is a constant,LNG density approximately constant value, ignored changes in tank bottom pump efficiency , tank bottom pump head It is related to the displacement of the tank bottom pump. Therefore, the above formula can be expressed in the following form:
其中,为g、、和的乘积。in, forg , , and product of .
基于以上预处理操作,梳理出第三特征值X3的表达方式,即罐底泵排量QP,保证第三特征值X3能够与现场数据测量点对应。其中,QP为低压泵流量由现场两个低压泵排量监测点的加和确定。Based on the above preprocessing operations, the expression of the third eigenvalueX3 is sorted out, that is, the displacementQP of the tank bottom pump, to ensure that the thirdeigen valueX3 can correspond to the field data measurement points. Among them,QP is the flow rate of thelow -pressure pump, which is determined by the sum of the two monitoring points of the displacement of the low-pressure pump on site.
LNG蓄热部分数据预处理,基于下面计算方程,忽略LNG密度与比热容c的变化,通过储罐内部LNG液位高度与LNG温度变化率的乘积衡量LNG温度上升对应的热量,提取第四特征值X4:。LNG thermal storage part data preprocessing, based on the following calculation equation, ignoringLNG density With the change of the specific heat capacityc , the heat corresponding to the rise of theLNG temperature is measured by the product of theLNG liquid level height inside the storage tank and theLNG temperature change rate, and the fourth eigenvalueX4 is extracted: .
其中,qtem表示LNG温度变化吸收或者散发的热量,W;r表示储罐内半径,m;L表示LNG液位高度,m;t表示时间,s。Among them,qtem represents the heat absorbed or dissipatedby theLNG temperature change,W ;r represents the inner radius of the storage tank,m ;L represents theLNG liquid level height,m ;t represents the time,s .
可以看出,r为常数,比热容c、LNG密度近似为恒定值,忽略c与的变化,故上式可表示为如下形式:It can be seen thatr is a constant, specific heat capacityc ,LNG density is approximately constant, ignoringc and , so the above formula can be expressed as the following form:
其中,为、π、r2和c的乘积。in, for The product of ,π ,r2 andc .
基于以上预处理操作,梳理出第四特征值X4的表达方式,即,保证第四特征值X4能够与现场数据测量点对应。其中,L为LNG液位高度由储罐内LNG液位传感器监测得到,TL为储罐内LNG温度由储罐底部温度监测点与储罐顶部温度监测点取平均获取。Based on the above preprocessing operations, the expression of the fourth eigenvalueX4 is sorted out, that is, , to ensure that the fourth eigenvalueX4 can correspond to the field data measurement point. Among them,L is theLNG liquid level height obtained by monitoring theLNG liquid level sensor in the storage tank, andTL is theLNG temperature in the storage tank obtained by averaging the temperature monitoring point at the bottom of the storage tank and the temperature monitoring point at the top of the storage tank.
根据储罐内LNG温度的变化及时间,可拟合出其关于时间的变化函数,求出任意时刻对应的一阶导数值,同时结合LNG液位传感器监测数据,将其作为特征值,能够较好的反应出LNG温度上升对应的热量。According to the change and time of theLNG temperature in the storage tank, its change function with respect to time can be fitted, and the first derivative value corresponding to any time can beobtained . A good response reflects the heat corresponding to the rise inLNG temperature.
相变热部分数据预处理,相变热部分数据预处理是将LNG储罐内相变吸热部分采集的所有数据划分为两个子数据集依次进行数据预处理,包括储罐气相空间温度、压力、高度变化部分数据预处理、压缩机抽气量部分数据预处理,并且分别提取第五特征值X5和第六特征值X6。The data preprocessing of the phase change heat part is to divide all the data collected by the phase change endothermic part in theLNG storage tank into two sub-data sets for data preprocessing in turn, including the gas space temperature and pressure of the storage tank. , the height variation part data preprocessing, the compressor air extraction part data preprocessing, and the fifth characteristic valueX5 and the sixth characteristic valueX6 are extracted respectively.
储罐气相空间温度、压力和高度变化部分数据预处理,基于下面计算方程,通过LNG储罐内部气相空间绝对压力与其高度、温度倒数乘积的变化率来衡量LNG储罐内部气相物质的量的变化率,即单位时间内LNG储罐内部气相物质的量的变化量,提取第五特征值X5:。The data preprocessing of the temperature, pressure and height changes in the gas-phase space of the storage tank is based on the following calculation equation, and the change rate of the absolute pressure of the gas-phase space inside theLNG storage tank and the product of the reciprocal product of its height and temperature is used to measure the change in the amount of gas-phase substances in theLNG storage tank rate, that is, the amount of change in the amount of gaseous substances in theLNG storage tank per unit time, extract the fifth eigenvalueX5 : .
基于气相状态方程:Based on the gas phase equation of state:
其中,表示气相压力,Pa;Vg表示气相体积,m3;Z表示压缩因子;R表示摩尔气体常数,;Tg表示BOG温度,K;Htank表示储罐高度,m;ng表示储罐内气相空间的BOG物质的量,mol。in, represents the gas pressure,Pa ;Vg represents the volume of the gas phase,m3 ;Z represents the compressibility factor;R represents the molar gas constant, ;Tg is theBOG temperature,K ;Htank is the height of the storage tank,m ;ng is the amount ofBOG substances in the gas phase space in the storage tank,mol .
推导出单位时间内LNG储罐压力、温度、高度变化引起的BOG物质的量变化量:Deduce the quantity change ofBOG material caused by the change ofLNG storage tank pressure, temperature and altitude in unit time:
其中,表示气相压力,Pa;Z表示压缩因子;R表示摩尔气体常数,;Tg表示BOG温度,K;Htank表示储罐高度,m;ng表示储罐内气相空间的BOG物质的量,mol。in, represents the gas pressure,Pa ;Z represents the compressibility factor;R represents the molar gas constant, ;Tg is theBOG temperature,K ;Htank is the height of the storage tank,m ;ng is the amount ofBOG substances in the gas phase space in the storage tank,mol .
可以看出,r、R为常数,Z波动不大,忽略Z的变化,故上式可以表示为如下形式:It can be seen thatr and R are constants,Z does not fluctuate much, and the change ofZ is ignored, so the above formula can be expressed as the following form:
其中,为π、r2、和的乘积。in, isπ ,r2 , and product of .
基于以上预处理操作,梳理出第五特征值X5的表达方式,即,保证第五特征值X5能够与现场数据测量点对应。其中,为绝对压力,由储罐内部气相压力监测点得到;L为LNG液位高度由储罐内LNG液位传感器监测得到;Tg为BOG温度由储罐内BOG温度监测点得到。Based on the above preprocessing operations, the expression of the fifth eigenvalueX5 is sorted out, namely , to ensure that the fifth eigenvalueX5 can correspond to the field data measurement point. in, is the absolute pressure, obtained from the gas phase pressure monitoring point inside the storage tank;L is theLNG liquid level height monitored by theLNG liquid level sensor in the storage tank;Tg is theBOG temperature obtained from theBOG temperature monitoring point in the storage tank.
根据储罐内部气相压力监测点与其LNG液位传感器、BOG温度监测点数据倒数乘积的变化及时间,可拟合出其关于时间的变化函数,求出任意时刻对应的一阶导数值,将其作为特征值,能够较好的反应出单位时间内LNG储罐内部气相物质的量的变化量。According to the change and time of the data reciprocal product of the gas phase pressure monitoring point inside the storage tank and itsLNG liquid level sensor andBOG temperature monitoring point data, its change function with respect to time can be fitted, and the first derivative value corresponding to any time can be obtained. As a characteristic value, it can better reflect the change in the amount of gaseous substances in theLNG storage tank per unit time.
压缩机抽吸气量部分数据预处理,基于下面计算方程,通过压缩机出口压力与其出口流量、出口温度倒数的乘积来衡量压缩机从储罐抽吸向外排出的BOG物质的量变化率,即单位时间内压缩机从储罐抽吸向外排出的BOG的物质的量的变化量,提取第六特征值X6:。The data preprocessing of the suction volume of the compressor is based on the following calculation equation, and the change rate of theBOG material discharged by the compressor from the suction of the storage tank is measured by the product of the compressor outlet pressure, its outlet flow rate, and the reciprocal of the outlet temperature, namely, Variation in the amount ofBOG material pumped and discharged by the compressor from the storage tank per unit time, extract the sixth eigenvalueX6 : .
其中,ndis表示压缩机从储罐抽吸向外排出的BOG物质的量,mol;表示压缩机出口压力,MPa。Among them,ndis represents theamount of BOGmaterial discharged by the compressor from the storage tank,mol ; Indicates the compressor outlet pressure,MPa .
可以看出,R为常数,Z波动不大,忽略Z的变化,故上式可表示为如下形式:It can be seen thatR is a constant,Z does not fluctuate much, and the change ofZ is ignored, so the above formula can be expressed as the following form:
其中,为和的乘积。in, for and product of .
基于以上预处理操作,梳理出特征值X6的表达方式,即压缩机出口压力与其出口流量、出口温度倒数的乘积,保证特征值X6能够与现场数据测量点对应。其中,pdis由现场压缩机出口压力传感器监测获取,Qdis由现场压缩机出口流量传感器监测获取,Tdis由现场压缩机出口温度传感器监测获取。Based on the above preprocessing operations, the expression of the characteristic valueX6 is sorted out, that is, the product of the compressor outlet pressure, its outlet flow rate, and the reciprocal of outlet temperature. , to ensure that the characteristic value X6 can correspond to the field data measurement point. Among them,pdis is obtained by monitoring the on-site compressor outlet pressure sensor,Qdis is monitored and obtained by the on-site compressor outlet flow sensor, andTdis is monitored and obtained by the on-site compressor outlet temperature sensor.
为了验证本实施例中方法的效果,本实施例进行了实验结果说明,具体为:In order to verify the effect of the method in this embodiment, the experimental results are described in this embodiment, specifically:
LNG储罐运行数据中的原始特征值X1~X7主要包括TW、TL、QP、L、pdis、Qdis和Tdis,本实施例中,以特征值Qdis即压缩机出口排量作为标签Y,剩余七组特征值作为输入变量X1~X7构建数据模型;在其他实施例中,还可以以其他一个或多个特征值为标签,以其他特征值为输入变量进行数据模型的构建。The original characteristic valuesX1 toX7 in the operation data of theLNG storage tank mainly includeTW ,TL ,QP , L,pdis ,Qdis andTdis . In this embodiment, the characteristic valueQdis is the compressor The outlet displacement is used as the labelY , and the remaining seven sets of eigenvalues are used as input variablesX1 toX7 to construct a data model; in other embodiments, one or more other eigenvalues can also be used as labels, and other eigenvalues as input variables. Build the data model.
热平衡物理模型为:The thermal equilibrium physical model is:
其中,HPT为相变热,J mol。whereHPT is the heat of phase transition,J mol .
基于本专利的数据预处理方法,提取出特征值,即TW-TL、QI(TI-TL)、QP、、和,本实施例中,以即压缩机从储罐抽吸向外排出的BOG物质的量变化率作为标签Y,剩余五组特征值作为输入变量X1~X5构建数据模型;可以理解的,标签Y为机器学习输出的结果,是试图预测的目标,选择做标签的物理意义:预测LNG罐外BOG物质的量变化率;在其他实施例中,还可以以其他一个或多个特征值为标签,以其他特征值为输入变量进行数据模型的构建。其中,采用梯度提升回归(Gradient boosting regression,GBR)方法进行拟合,如图1所示,为采用梯度提升回归方法拟合后的原始特征拟合效果图;如图2所示,为采用梯度提升回归方法拟合后的重组特征值后拟合效果图;利用误差指标决定系数R2、最大相对误差Max Relative Error、平均相对误差Mean Relative Error评判预测性能,原始特征与重组特征值后拟合效果对比如表1所示:Based on the data preprocessing method of this patent, the eigenvalues are extracted, namelyTW-TL ,QI(TI-TL) ,QP , , and , in this example, with That is, the change rate of the amount ofBOG material discharged by the compressor from the storage tank is used as the labelY , and the remaining five sets of eigenvalues are used as the input variablesX1 ~X5 to construct a data model; it is understandable that the labelY is the output of machine learning. The result, which is the goal of trying to predict, chooses The physical meaning of labeling: predict the rate of change of the amount ofBOG material outside theLNG tank; in other embodiments, one or more other feature values may be used as labels, and other feature values may be used as input variables to construct a data model. Among them, the gradientboosting regression (GBR ) method is used for fitting, as shown in Figure 1, which is the original feature fitting effect diagram after fitting by the gradient boosting regression method; The fitting effect diagram after the reorganized eigenvalues fitted by the improved regression method; the prediction performance is judged by using the error index determination coefficientR2 , the maximum relative errorMax Relative Error , and the average relative errorMean Relative Error , and the original features are fitted with the reorganized eigenvalues The effect comparison is shown in Table 1:
表1. 原始特征拟合与重组特征值后拟合效果对比Table 1. Comparison of fitting effects between original feature fitting and reorganized eigenvalues
实施例2:Example 2:
本实施例提供了一种用于液化天然气储罐运行数据挖掘的数据处理系统,包括:This embodiment provides a data processing system for LNG storage tank operation data mining, including:
特征值构建模块,被配置为:根据储罐内温度和储罐外温度的差值,得到第一特征值;根据进料液化天然气温度和储罐内液化天然气温度的差值,得到第二特征值;基于设备运行参数,构建第三特征值;根据罐内液化天然气温度对时间的导数,得到第四特征值;根据罐内气相物理状态参数与体积相关参数的代数运算结果对时间的导数,得到第五特征值;根据压缩机出口气相物理状态参数和排量的代数运算,得到第六特征值;The characteristic value building module is configured to: obtain the first characteristic value according to the difference between the temperature inside the storage tank and the temperature outside the storage tank; obtain the second characteristic value according to the difference between the temperature of the feed LNG and the temperature of the LNG in the storage tank Based on the equipment operating parameters, the third eigenvalue is constructed; the fourth eigenvalue is obtained according to the derivative of the temperature of the LNG in the tank with respect to time; according to the time derivative of the algebraic operation results of the physical state parameters of the gas phase in the tank and the volume-related parameters, Obtain the fifth eigenvalue; obtain the sixth eigenvalue according to the algebraic operation of the physical state parameters of the gas phase at the compressor outlet and the displacement;
数据拟合模块,被配置为:根据机器学习算法,以所述第一特征值、所述第二特征值、所述第三特征值、所述第四特征值、所述第五特征值和所述第六特征值中的一个或多个特征值为标签,其他特征值为输入进行数据拟合;a data fitting module configured to: according to a machine learning algorithm, use the first eigenvalue, the second eigenvalue, the third eigenvalue, the fourth eigenvalue, the fifth eigenvalue and One or more eigenvalues in the sixth eigenvalues are labels, and other eigenvalues are input to perform data fitting;
所述系统的工作方法与实施例1的用于液化天然气储罐运行数据挖掘的数据处理方法相同,这里不再赘述。The working method of the system is the same as the data processing method for LNG storage tank operation data mining in Embodiment 1, and will not be repeated here.
以上所述仅为本实施例的优选实施例而已,并不用于限制本实施例,对于本领域的技术人员来说,本实施例可以有各种更改和变化。凡在本实施例的精神和原则之内,所作的任何修改、等同替换、改进等,均应包含在本实施例的保护范围之内。The above descriptions are only preferred embodiments of the present embodiment, and are not intended to limit the present embodiment. For those skilled in the art, various modifications and changes may be made to the present embodiment. Any modification, equivalent replacement, improvement, etc. made within the spirit and principle of this embodiment should be included within the protection scope of this embodiment.
| Application Number | Priority Date | Filing Date | Title |
|---|---|---|---|
| CN202210744755.7ACN114819193B (en) | 2022-06-29 | 2022-06-29 | Data processing method and system for LNG storage tank operation data mining |
| Application Number | Priority Date | Filing Date | Title |
|---|---|---|---|
| CN202210744755.7ACN114819193B (en) | 2022-06-29 | 2022-06-29 | Data processing method and system for LNG storage tank operation data mining |
| Publication Number | Publication Date |
|---|---|
| CN114819193Atrue CN114819193A (en) | 2022-07-29 |
| CN114819193B CN114819193B (en) | 2022-09-27 |
| Application Number | Title | Priority Date | Filing Date |
|---|---|---|---|
| CN202210744755.7AActiveCN114819193B (en) | 2022-06-29 | 2022-06-29 | Data processing method and system for LNG storage tank operation data mining |
| Country | Link |
|---|---|
| CN (1) | CN114819193B (en) |
| Publication number | Priority date | Publication date | Assignee | Title |
|---|---|---|---|---|
| CN116705184A (en)* | 2023-05-29 | 2023-09-05 | 上海海德利森科技有限公司 | Liquid hydrogen evaporation loss prediction method, device, equipment and medium |
| CN118585757A (en)* | 2024-08-06 | 2024-09-03 | 中国石油大学(华东) | Interpretable prediction method and system for BOG generation in LNG storage tank system |
| CN118586563A (en)* | 2024-08-07 | 2024-09-03 | 中国石油大学(华东) | Multimodal and time-space driven BOG generation prediction method and system for storage tanks |
| CN118998614A (en)* | 2024-10-11 | 2024-11-22 | 中海石油气电集团有限责任公司 | BOG pressure control method and system |
| Publication number | Priority date | Publication date | Assignee | Title |
|---|---|---|---|---|
| CN103206614A (en)* | 2013-04-01 | 2013-07-17 | 中山大学 | Early warning device and method for BLEVE accident monitoring of pressurized storage tanks |
| CN107958301A (en)* | 2017-10-31 | 2018-04-24 | 浙江中控软件技术有限公司 | A kind of LNG receiving stations running optimizatin method |
| CN112990288A (en)* | 2021-03-09 | 2021-06-18 | 上海应用技术大学 | Online monitoring and fault prediction system for large equipment |
| WO2021170525A1 (en)* | 2020-02-25 | 2021-09-02 | Shell Internationale Research Maatschappij B.V. | Method and system for production optimization |
| CN113741362A (en)* | 2021-08-17 | 2021-12-03 | 中海石油气电集团有限责任公司 | Method, system, medium, and computing device for optimizing operation of liquefied natural gas receiving station |
| Publication number | Priority date | Publication date | Assignee | Title |
|---|---|---|---|---|
| CN103206614A (en)* | 2013-04-01 | 2013-07-17 | 中山大学 | Early warning device and method for BLEVE accident monitoring of pressurized storage tanks |
| CN107958301A (en)* | 2017-10-31 | 2018-04-24 | 浙江中控软件技术有限公司 | A kind of LNG receiving stations running optimizatin method |
| WO2021170525A1 (en)* | 2020-02-25 | 2021-09-02 | Shell Internationale Research Maatschappij B.V. | Method and system for production optimization |
| CN112990288A (en)* | 2021-03-09 | 2021-06-18 | 上海应用技术大学 | Online monitoring and fault prediction system for large equipment |
| CN113741362A (en)* | 2021-08-17 | 2021-12-03 | 中海石油气电集团有限责任公司 | Method, system, medium, and computing device for optimizing operation of liquefied natural gas receiving station |
| Publication number | Priority date | Publication date | Assignee | Title |
|---|---|---|---|---|
| CN116705184A (en)* | 2023-05-29 | 2023-09-05 | 上海海德利森科技有限公司 | Liquid hydrogen evaporation loss prediction method, device, equipment and medium |
| CN116705184B (en)* | 2023-05-29 | 2024-04-05 | 上海海德利森科技有限公司 | Liquid hydrogen evaporation loss prediction method, device, equipment and medium |
| CN118585757A (en)* | 2024-08-06 | 2024-09-03 | 中国石油大学(华东) | Interpretable prediction method and system for BOG generation in LNG storage tank system |
| CN118585757B (en)* | 2024-08-06 | 2024-10-22 | 中国石油大学(华东) | Interpretable prediction method and system for BOG generation in LNG storage tank system |
| CN118586563A (en)* | 2024-08-07 | 2024-09-03 | 中国石油大学(华东) | Multimodal and time-space driven BOG generation prediction method and system for storage tanks |
| CN118586563B (en)* | 2024-08-07 | 2024-10-22 | 中国石油大学(华东) | Multi-mode and space-time driven storage tank BOG production prediction method and system |
| CN118998614A (en)* | 2024-10-11 | 2024-11-22 | 中海石油气电集团有限责任公司 | BOG pressure control method and system |
| Publication number | Publication date |
|---|---|
| CN114819193B (en) | 2022-09-27 |
| Publication | Publication Date | Title |
|---|---|---|
| CN114819193B (en) | Data processing method and system for LNG storage tank operation data mining | |
| CN101414321B (en) | Design method for evaporation type cooler/condenser for chemical industry | |
| CN102914108B (en) | Apparatus and method for evaluating performance of centrifugal chiller | |
| CN109740242B (en) | Unified Energy Flow Calculation Method for Electric-Gas Integrated Energy System Considering Natural Gas Thermal Process | |
| CN109543214B (en) | Method and device for estimating gas storage chamber capacity of compressed air energy storage system | |
| CN114997080B (en) | Method for explaining unstable productivity test data of fracture-cavity type gas reservoir | |
| CN118586563B (en) | Multi-mode and space-time driven storage tank BOG production prediction method and system | |
| CN115577208A (en) | A method for calculating the gas storage volume of compressed air energy storage underground caverns | |
| Sun et al. | Performance investigation and design optimization of a vapor injection rotary compressor without check valve in injection path | |
| CN106257054B (en) | The model building method and detection device of GM refrigerator compressor units | |
| CN108595761B (en) | Fin type heat exchanger design method and device based on volume minimization | |
| CN104361148A (en) | Design method of transverse flow type cooling tower | |
| CN119167626A (en) | Modeling method, device, medium and equipment for heat transfer performance mechanism of open-frame gasifier | |
| CN115345018A (en) | Design method and device for water heat storage compressed air energy storage system | |
| CN111598429A (en) | Method for evaluating construction operation effect of foaming agent | |
| Tian et al. | Experimental study on the operating characteristics of refrigerant pumps for solar ejector refrigeration systems | |
| TWI704319B (en) | Intelligent measurement and verification method and system for efficiency of refrigerating and air-conditioning host | |
| CN116382370B (en) | Dew collector condensation temperature self-adaptive control calculation method and system | |
| CN108595813B (en) | An Optimal Design Method of CO2 Gas Cooler Based on Optimum Mass Flow Rate | |
| CN117131781A (en) | A refrigeration system energy consumption prediction method based on covariates and mRMR-IMFO-SVR | |
| CN113051737B (en) | Ground source heat pump data driving modeling method considering thermal measurement data abnormity | |
| CN116451472A (en) | Method for optimizing circulating water flow of thermal power plant in real time based on field data | |
| CN104732445B (en) | Quantitative evaluation method for efficiency of regenerative compressed air energy storage system | |
| CN110489912A (en) | A kind of method of solar cross-season soil thermal storage hierarchy slicing numerical simulation | |
| CN112945004B (en) | Multi-circulation cooling system adopting seawater for cooling |
| Date | Code | Title | Description |
|---|---|---|---|
| PB01 | Publication | ||
| PB01 | Publication | ||
| SE01 | Entry into force of request for substantive examination | ||
| SE01 | Entry into force of request for substantive examination | ||
| GR01 | Patent grant | ||
| GR01 | Patent grant |