Movatterモバイル変換


[0]ホーム

URL:


CN114799565A - Intelligent control system and method for laser cutting machine for machining aluminum castings - Google Patents

Intelligent control system and method for laser cutting machine for machining aluminum castings
Download PDF

Info

Publication number
CN114799565A
CN114799565ACN202210543531.XACN202210543531ACN114799565ACN 114799565 ACN114799565 ACN 114799565ACN 202210543531 ACN202210543531 ACN 202210543531ACN 114799565 ACN114799565 ACN 114799565A
Authority
CN
China
Prior art keywords
aluminum
laser cutting
cutting
laser
coordinate system
Prior art date
Legal status (The legal status is an assumption and is not a legal conclusion. Google has not performed a legal analysis and makes no representation as to the accuracy of the status listed.)
Granted
Application number
CN202210543531.XA
Other languages
Chinese (zh)
Other versions
CN114799565B (en
Inventor
李启群
刘兆冰
冯玉洁
Current Assignee (The listed assignees may be inaccurate. Google has not performed a legal analysis and makes no representation or warranty as to the accuracy of the list.)
Suzhou Renhe Laohekou Automobile Co ltd
Original Assignee
Suzhou Renhe Laohekou Automobile Co ltd
Priority date (The priority date is an assumption and is not a legal conclusion. Google has not performed a legal analysis and makes no representation as to the accuracy of the date listed.)
Filing date
Publication date
Application filed by Suzhou Renhe Laohekou Automobile Co ltdfiledCriticalSuzhou Renhe Laohekou Automobile Co ltd
Priority to CN202210543531.XApriorityCriticalpatent/CN114799565B/en
Publication of CN114799565ApublicationCriticalpatent/CN114799565A/en
Application grantedgrantedCritical
Publication of CN114799565BpublicationCriticalpatent/CN114799565B/en
Activelegal-statusCriticalCurrent
Anticipated expirationlegal-statusCritical

Links

Images

Classifications

Landscapes

Abstract

The invention relates to the technical field of electronics and laser, in particular to an intelligent control system and method for a laser cutting machine for processing aluminum castings, which comprises a motion control part, a laser cutting machine control part and a laser cutting machine control part, wherein the motion control part is used for receiving a control instruction and controlling a workbench to return to zero, and the motion of a machine tool under a coordinate system is converted into the motion of a workpiece under a coordinate system so as to obtain the absolute coordinate and the relative coordinate of the workbench and the motion of a single-section straight line and a circular arc track; the sundries removing part is used for cleaning solidified aluminum generated during cutting of the aluminum casting, and then extracting outside air through the fan assembly to blow and accumulate the removed sundries leftwards; and the laser cutting part carries out image recognition on laser spots on the surface of the water spray nozzle through an integrated camera of an optical element in the optical lens so as to carry out accurate cutting operation. The invention realizes high real-time data processing, high motion control processing speed and strong expandability of the laser cutting of the profiled bar, avoids inaccuracy caused by subsequent cutting processing precision and reduces manual participation.

Description

Intelligent control system and method for laser cutting machine for machining aluminum castings
Technical Field
The invention relates to the technical field of electronics and laser, in particular to an intelligent control system and method for a laser cutting machine for machining aluminum castings.
Background
One of the advantages of the laser cutting process is the complexity of design and the large material loss, which makes it different from other processes. The laser cutting system can easily process various difficult-to-cut materials such as brass, diamond, aluminum and various composite materials. The laser cutting machine focuses the laser emitted from the laser device into a laser beam with high power density through the optical path system, the laser beam irradiates the surface of the workpiece to enable the workpiece to reach a melting point or a boiling point, meanwhile, the molten or gasified metal is blown away by high-pressure gas coaxial with the laser beam, and the material finally forms a cutting seam along with the movement of the relative position of the laser beam and the workpiece, so that the purpose of cutting is achieved.
But some aluminium juice can fall on laser cutting machine's support flat board, for safe and clear away solidification aluminium fast, consequently this paper research and development avoid cutting precision inaccurate, conveniently get the long-range intelligent control system of laser cutting machine based on thing networking laser microjet of material, can conveniently control and reach higher precision. And a water jet guided laser ablation is adopted, which has advantages of no focus adaptive narrow parallel cutting wall, minimized heat affected zone by water cooling, and avoiding burr generation due to constant water flow.
Disclosure of Invention
Aiming at the defects of the prior art, the invention discloses an intelligent control system and method for a laser cutting machine for processing aluminum castings, which are used for solving the problems.
The invention is realized by the following technical scheme:
in a first aspect, the invention provides an intelligent control method for a laser cutting machine for machining an aluminum casting, which comprises the following steps:
the method comprises the following steps that S1, a system is electrified to work, instruction parameters are set through Internet of things communication, and an aluminum casting enters a laser cutting field;
s2, calibrating parameters of the center position of the laser cutting machine to obtain a CCD image, and obtaining the position parameters of the aluminum casting after image processing;
s3, carrying out space coordinate transformation on the position parameters of the aluminum casting by using space analytic geometry to obtain a cutting line equation expressed by a parameter equation, and further establishing a mathematical model;
s4, inputting the parameter geometric information of the aluminum casting, and obtaining discrete data by using a computer to obtain the running track of the aluminum casting;
s5, feeding back the detection information of the detection sensor and the running track in S4 to the control system, and starting the cutting system to work;
and S6, after cutting, closing the cutting system, transmitting the data to the remote control terminal through the Internet of things communication network, and controlling the clearing system to finish clearing finally.
Furthermore, in the method, when the round pipe and the square pipe are offset and obliquely crossed, the radius of the round pipe is R, the side length of the square pipe is a, the intersection angle of the two pipes is alpha, the offset distance is e, and OO' is a common perpendicular line of the axes of the round pipe and the square pipe; respectively establishing a circular tube coordinate system O-XYZ and a square tube coordinate system O ' -X ' Y ' Z ' by taking the straight line where the axis of the circular tube is positioned as an X axis and the straight line where the axis of the square tube is positioned as an X ' axis;
performing coordinate system transformation, and rotating the circular tube coordinate system around Y axis clockwise by alpha to obtain O1 -X1 Y1 Z1 Coordinate system, homogeneous coordinate transformation matrix is A1
Mixing O with1 -X1 Y1 Z1 Translating the coordinate system in the positive Y1 direction to obtain O2 -X2 Y2 Z2 Coordinate system, corresponding transformation matrix being A2
Mixing O with2 ,X2 Y2 Z2 Coordinate system around X2 The axis rotates clockwise by 45 degrees to obtain an O '-X' Y 'Z' coordinate system, and the corresponding transformation matrix is A3
If the homogeneous coordinate transformation matrix is A when the circular tube coordinate system is transformed into the square tube coordinate system, the homogeneous coordinate transformation matrix is
Figure BDA0003648858890000021
(x' y' z' 1)=(x y z 1)A
Figure BDA0003648858890000022
Obtaining a transformation matrix A 'converted from a square tube coordinate system to a circular tube coordinate system'
Figure BDA0003648858890000031
(x y z 1)=(x' y' z' 1)A'
Figure BDA0003648858890000032
Furthermore, in the method, when the intersecting line equation is solved, the master rectangular coordinate equation is as follows:
y2 +z2 =R2
the rectangular coordinate equation of the branch pipe is as follows:
Figure BDA0003648858890000033
projecting the main pipe with the radius R in the YOZ plane to obtain a main pipe parameter equation as follows:
Figure BDA0003648858890000034
wherein theta is an included angle from the positive semi-axis of the Y axis to the projection point in the anticlockwise rotation mode.
Furthermore, in the method, the aluminum casting is placed on the feeding frame, the remote control terminal transmits the instruction parameters to the field control panel through the internet of things communication network, the field control panel enables the electric push rod to work accordingly, the aluminum casting is moved to the inner side of the cutting system, when the feeding frame moves leftwards and touches the positioning sensor, the positioning sensor transmits information back to the field control panel, the field control panel controls the electric push rod to reset and close accordingly, and at the moment, the aluminum casting is limited to move rightwards through the matching of the reset spring and the baffle.
Furthermore, in the method, the remote control terminal transmits the instruction parameters to the field control panel through the internet of things communication network, the field control panel transmits the instruction to the positive and negative module, the positive and negative module starts the outer rotor motor to work, and the outer rotor motor works to adjust the cutting system.
The method is further characterized in that after the aluminum casting is placed inside the cutting system, the remote control terminal transmits instruction parameters to the field control panel through the internet of things communication network, the field control panel then transmits instructions to the control module, the control module then enables the detection sensor to work according to the instructions, the detection sensor works to detect the aluminum casting on the cutting system, after the aluminum casting is detected, the detection sensor then feeds information back to the control module, the control module then starts the cutting system to work according to the fed information, and the cutting system works to cut the aluminum casting.
Furthermore, in the method, a water jet guided laser system is used for cutting, a water jet is moved to a reference position, a laser spot is detected on the surface of a nozzle, and then the laser spot is accurately aligned to the nozzle to perform accurate cutting operation; and after the aluminum castings are completely cut and processed, the on-site control panel closes the cutting system, and transmits the data to the remote control terminal through the Internet of things communication network.
Furthermore, in the method, after all the aluminum castings are cut and processed, command parameters are transmitted to a field control panel through an internet of things communication network through a remote control terminal, the field control panel enables a sundry removing system to work according to the transmitted commands, the sundry removing system works to remove solidified aluminum generated during cutting of the aluminum castings, meanwhile, the cut aluminum castings are moved to the sundry removing system, after the cleaning is completed, the field control panel enables the cutting system to reset and close, the field control panel enables a fan assembly to work according to the transmitted commands, the fan assembly extracts outside air accordingly and discharges the air leftwards through an air outlet pipe, and the cleaned sundries are blown and accumulated leftwards.
In a second aspect, the invention provides an intelligent control system for a laser cutting machine for processing aluminum castings, which is used for realizing the intelligent control method for the laser cutting machine for processing aluminum castings, and comprises the steps of
The motion control part is used for receiving a control instruction, controlling the workbench to return to zero, converting the motion of the machine tool under a coordinate system and the motion of the workpiece under the coordinate system, and acquiring the absolute coordinate and the relative coordinate of the workbench to move along a single-segment straight line and a single-segment circular arc track;
the sundries removing part is used for cleaning solidified aluminum generated during cutting of the aluminum casting, extracting external air along with the solidified aluminum through the fan assembly, and discharging the air leftwards through the air outlet pipe to blow and accumulate the removed sundries leftwards;
and the laser cutting part carries out image recognition on laser spots on the surface of the water spray nozzle through an integrated camera of an optical element in the optical lens so as to carry out accurate cutting operation.
Furthermore, the motion control part comprises a remote control terminal, an Internet of things communication network, a field control panel and a control module;
the sundries removing part comprises an electric push rod and a fan assembly;
the laser cutting part comprises a positive and negative module, a servo motor, a CCD camera, a detection sensor and a laser cutting machine.
The invention has the beneficial effects that:
according to the method, through mathematical modeling of the cutting track, the intersecting line geometric information can be conveniently utilized to obtain intersecting line groove data, so that the method is applied to laser cutting processing, and high real-time data processing, high motion control processing speed and strong expandability of the laser cutting of the profiled bars are realized.
According to the invention, the cutting system is used for cutting and processing the cast aluminum parts, and the impurity removing system is used for removing the solidified aluminum generated after melting and solidifying during laser cutting, so that inaccuracy caused by subsequent cutting and processing precision is avoided; and the Internet of things is adopted for control, so that manual participation is reduced. And the cutting precision of the aluminum casting is improved by adopting a laser micro-jet method.
Drawings
In order to more clearly illustrate the embodiments of the present invention or the technical solutions in the prior art, the drawings used in the description of the embodiments or the prior art will be briefly described below, it is obvious that the drawings in the following description are only some embodiments of the present invention, and for those skilled in the art, other drawings can be obtained according to the drawings without creative efforts.
FIG. 1 is a schematic diagram of the steps of an intelligent control method of a laser cutting machine for processing aluminum castings;
FIG. 2 is an offset skew drawing of a round tube-square tube according to an embodiment of the present invention;
fig. 3 is a schematic block diagram of an intelligent control system of a laser cutting machine for processing aluminum castings.
Detailed Description
In order to make the objects, technical solutions and advantages of the embodiments of the present invention clearer, the technical solutions in the embodiments of the present invention will be clearly and completely described below with reference to the drawings in the embodiments of the present invention, and it is obvious that the described embodiments are some, but not all, embodiments of the present invention. All other embodiments, which can be derived by a person skilled in the art from the embodiments given herein without making any creative effort, shall fall within the protection scope of the present invention.
Example 1
Referring to fig. 1, the embodiment provides an intelligent control method for a laser cutting machine for machining an aluminum casting, which includes the following steps:
the method comprises the following steps that S1, a system is electrified to work, instruction parameters are set through Internet of things communication, and an aluminum casting enters a laser cutting field;
s2, calibrating parameters of the center position of the laser cutting machine to obtain a CCD image, and obtaining the position parameters of the aluminum casting after image processing;
s3, carrying out space coordinate transformation on the position parameters of the aluminum casting by using space analytic geometry to obtain a cutting line equation expressed by a parameter equation, and further establishing a mathematical model;
s4, inputting the parameter geometric information of the aluminum casting, and obtaining discrete data by using a computer to obtain the running track of the aluminum casting;
s5, feeding back the detection information of the detection sensor and the running track in S4 to the control system, and starting the cutting system to work;
and S6, after cutting, closing the cutting system, transmitting the data to the remote control terminal through the Internet of things communication network, and controlling the clearing system to finish clearing finally.
The remote intelligent control system of the laser cutting machine based on the laser micro-jet of the internet of things, which avoids inaccurate cutting precision and convenient material taking, can be conveniently controlled and achieves higher precision. And a water jet guided laser ablation is adopted, which has advantages of no focal point adaptive narrow parallel cutting wall, minimized heat affected zone by water cooling, and avoiding burr generation due to constant water flow.
Example 2
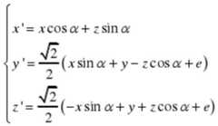
On the basis of embodiment 1, the present embodiment provides a mathematical modeling method for a cutting trajectory, specifically, as shown in fig. 2, when a circular tube and a square tube are obliquely offset, a radius of the circular tube is set to be R, a side length of the square tube is set to be a, an intersection angle between the two tubes is set to be α, an offset distance is set to be e, and OO' is a common perpendicular line between axes of the circular tube and the square tube; respectively establishing a circular tube coordinate system O-XYZ and a square tube coordinate system O ' -X ' Y ' Z ' by taking the straight line where the axis of the circular tube is positioned as an X axis and the straight line where the axis of the square tube is positioned as an X ' axis;
performing coordinate system transformation, and rotating the circular tube coordinate system around Y axis clockwise by alpha to obtain O1 -X1 Y1 Z1 Coordinate system, homogeneous coordinate transformation matrix is A1
Mixing O with1 -X1 Y1 Z1 Translating the coordinate system in the positive Y1 direction to obtain O2 -X2 Y2 Z2 Coordinate system, corresponding transformation matrix being A2
Mixing O with2 ,X2 Y2 Z2 Coordinate system around X2 The shaft rotates clockwise by 45 degreesObtaining an O '-X' Y 'Z' coordinate system, and the corresponding transformation matrix is A3
If the homogeneous coordinate transformation matrix is A when the circular tube coordinate system is transformed into the square tube coordinate system, the homogeneous coordinate transformation matrix is
Figure BDA0003648858890000071
(x′ y′ z′ 1)=(x y z 1)A
Figure BDA0003648858890000072
Obtaining a transformation matrix A 'converted from a square tube coordinate system to a circular tube coordinate system'
Figure BDA0003648858890000073
(x y z 1)=(x′ y′ z′ 1)A′
Figure BDA0003648858890000074
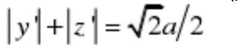
In this embodiment, when solving the intersecting line equation, the principal rectangular coordinate equation is:
y2 +z2 =R2
the rectangular coordinate equation of the branch pipe is as follows:
Figure BDA0003648858890000081
projecting the main pipe with the radius R in the YOZ plane to obtain a main pipe parameter equation as follows:
Figure BDA0003648858890000082
wherein theta is an included angle from the positive semi-axis of the Y axis to the projection point in the anticlockwise rotation mode.
According to the method, the intersecting line groove data can be obtained by conveniently utilizing the geometric information of the intersecting line through mathematical modeling of the cutting track, so that the method is applied to laser cutting processing, and high real-time data processing, high motion control processing speed and high expandability of the laser cutting of the profiled bars are realized.
Example 3
In a specific implementation level, the embodiment provides an intelligent control method of a laser cutting machine for processing an aluminum casting based on an internet of things laser micro-jet, and the method specifically includes the following steps:
1. firstly, an aluminum casting is placed on a feeding frame, instruction parameters are transmitted to a field control panel through an internet of things communication network through a remote control terminal, the field control panel enables an electric push rod to work accordingly, the aluminum casting is moved to the inner side of a cutting system, when the feeding frame moves leftwards and touches a positioning sensor, the positioning sensor transmits information back to the field control panel, the field control panel controls the electric push rod to reset and close accordingly, and at the moment, the aluminum casting is limited by the matching of a reset spring and a baffle plate when moving rightwards.
2. The remote control terminal transmits the instruction parameters to the field control panel through the Internet of things communication network, the field control panel transmits the instruction to the positive and negative modules, the positive and negative modules start the external rotor motor to work, and the external rotor motor works to adjust the cutting system, so that the aluminum castings with different sizes can be conveniently placed and subjected to subsequent cutting processing;
3. when the aluminum casting is placed inside the cutting system, the instruction parameters are transmitted to a field control panel through a remote control terminal through an internet of things communication network, the field control panel transmits the instruction to a control module, the control module enables a detection sensor to work according to the instruction, the detection sensor works to detect the aluminum casting on the cutting system, when the aluminum casting is detected, the detection sensor feeds information back to the control module, the control module starts the cutting system to work according to the fed information, the cutting system works to cut the aluminum casting, and the most advanced technology of the water jet guided laser system comprises the step of automatically aligning laser through a water jet nozzle. This is achieved by motorization of the optics in the optical lens, the auto-alignment system using an integrated camera for image recognition of the laser spot on the surface of the water jet nozzle, which images the nozzle with a resolution of 1 μm. The water jet is moved to a reference position, a laser spot is detected on the surface of the nozzle, and then the laser spot is precisely aligned with the nozzle to perform a precise cutting operation. After the aluminum castings are completely cut and processed, the on-site control panel closes the cutting system, and transmits data to the remote control terminal through the Internet of things communication network;
4. when all the aluminum castings are cut and processed, transmitting instruction parameters to a field control panel through an internet of things communication network through a remote control terminal, enabling a sundries removing system to work according to the transmitted instructions by the field control panel, enabling the sundries removing system to clean solidified aluminum generated during cutting of the aluminum castings, enabling the cut aluminum castings to move onto the sundries removing system, and enabling the cutting system to reset and close by the field control panel after cleaning is completed;
5. the remote control terminal transmits the instruction parameters to the field control panel through the Internet of things communication network, the field control panel enables the fan assembly to work according to the transmitted instruction, the fan assembly extracts outside air and discharges the air leftwards through the air outlet pipe, and the cleaned sundries are blown leftwards and stacked, so that subsequent treatment is facilitated.
In the embodiment, the cutting system is used for cutting and processing the cast aluminum parts, and the impurity removing system is used for removing the solidified aluminum generated after melting and solidifying in the laser cutting process, so that the inaccuracy caused by the subsequent cutting and processing precision is avoided; and the Internet of things is adopted for control, so that manual participation is reduced. The cutting precision of the aluminum casting is improved by adopting a laser micro-jet method.
Example 4
In another aspect, referring to fig. 3, the embodiment provides an intelligent control system for a laser cutting machine for processing aluminum castings, comprising
The motion control part is used for receiving a control instruction, controlling the workbench to return to zero, converting the motion of the machine tool under a coordinate system and the motion of the workpiece under the coordinate system, and acquiring the absolute coordinate and the relative coordinate of the workbench to move along a single-segment straight line and a single-segment circular arc track;
the sundries removing part is used for cleaning solidified aluminum generated during cutting of the aluminum casting, extracting external air along with the solidified aluminum through the fan assembly, and discharging the air leftwards through the air outlet pipe to blow and accumulate the removed sundries leftwards;
and the laser cutting part carries out image recognition on laser spots on the surface of the water spray nozzle through an integrated camera of an optical element in the optical lens so as to carry out accurate cutting operation.
The motion control part of the embodiment comprises a remote control terminal, an Internet of things communication network, a field control panel and a control module.
The sundries removing part comprises an electric push rod and a fan assembly.
The laser cutting part of the embodiment comprises a positive and negative module, a servo motor, a CCD camera, a detection sensor and a laser cutting machine.
In conclusion, the method can conveniently utilize the geometric information of the intersecting line to obtain the groove data of the intersecting line through mathematical modeling of the cutting track, so that the method is applied to laser cutting processing, and further realizes high real-time data processing, high motion control processing speed and strong expandability of the laser cutting of the profiled bars.
According to the invention, the cutting system is used for cutting and processing the cast aluminum parts, and the impurity removing system is used for removing the solidified aluminum generated after melting and solidifying during laser cutting, so that inaccuracy caused by subsequent cutting and processing precision is avoided; and the Internet of things is adopted for control, so that manual participation is reduced. And the cutting precision of the aluminum casting is improved by adopting a laser micro-jet method.
The above examples are only intended to illustrate the technical solution of the present invention, but not to limit it; although the present invention has been described in detail with reference to the foregoing embodiments, it will be understood by those of ordinary skill in the art that: the technical solutions described in the foregoing embodiments may still be modified, or some technical features may be equivalently replaced; and such modifications or substitutions do not depart from the spirit and scope of the corresponding technical solutions of the embodiments of the present invention.

Claims (10)

1. The intelligent control method of the laser cutting machine for processing the aluminum casting is characterized by comprising the following steps of:
the method comprises the following steps that S1, a system is electrified to work, instruction parameters are set through Internet of things communication, and an aluminum casting enters a laser cutting field;
s2, calibrating parameters of the center position of the laser cutting machine to obtain a CCD image, and obtaining the position parameters of the aluminum casting after image processing;
s3, carrying out space coordinate transformation on the position parameters of the aluminum casting by using space analytic geometry to obtain a cutting line equation expressed by a parameter equation, and further establishing a mathematical model;
s4, inputting the parameter geometric information of the aluminum casting, and obtaining discrete data by using a computer to obtain the running track of the aluminum casting;
s5, feeding back the detection information of the detection sensor and the running track in S4 to the control system, and starting the cutting system to work;
and S6, after cutting, closing the cutting system, transmitting the data to the remote control terminal through the Internet of things communication network, and controlling the clearing system to finish clearing finally.
2. The intelligent control method of the laser cutting machine for processing the cast aluminum parts, according to the claim 1, is characterized in that in the method, when the round pipe and the square pipe are offset and obliquely crossed, the radius of the round pipe is R, the side length of the square pipe is a, the intersection angle between the two pipes is alpha, the offset distance is e, and OO' is a common perpendicular line of the axes of the round pipe and the square pipe; respectively establishing a circular tube coordinate system O-XYZ and a square tube coordinate system O ' -X ' Y ' Z ' by taking the straight line where the axis of the circular tube is positioned as an X axis and the straight line where the axis of the square tube is positioned as an X ' axis;
performing coordinate system transformation, and rotating the circular tube coordinate system around Y axis clockwise by alpha to obtain O1 -X1 Y1 Z1 Coordinate system with homogeneous coordinate transformation matrix of A1
Mixing O with1 -X1 Y1 Z1 Translating the coordinate system in the positive Y1 direction to obtain O2 -X2 Y2 Z2 Coordinate system, corresponding transformation matrix being A2
Mixing O with2 ,X2 Y2 Z2 Coordinate system around X2 The axis rotates clockwise by 45 degrees to obtain an O '-X' Y 'Z' coordinate system, and the corresponding transformation matrix is A3
If the homogeneous coordinate transformation matrix is A when the circular tube coordinate system is transformed into the square tube coordinate system, the homogeneous coordinate transformation matrix is
Figure FDA0003648858880000021
(x′ y′ z′ l)=(x y z l)A
Figure FDA0003648858880000022
Obtaining a transformation matrix A 'converted from a square tube coordinate system to a circular tube coordinate system'
Figure FDA0003648858880000023
(x y z l)=(x′ y′ z′ l)A′
Figure FDA0003648858880000024
3. The intelligent control method of the laser cutting machine for processing the cast aluminum parts according to claim 2, wherein in the method, when solving the intersecting line equation, the main pipe rectangular coordinate equation is as follows:
y2 +z2 =R2
the rectangular coordinate equation of the branch pipe is as follows:
Figure FDA0003648858880000025
projecting the main pipe with the radius R in the YOZ plane to obtain a main pipe parameter equation as follows:
Figure FDA0003648858880000026
wherein theta is an included angle from the positive semi-axis of the Y axis to the projection point in the anticlockwise rotation mode.
4. The intelligent control method of the laser cutting machine for processing the aluminum castings according to claim 1, wherein in the method, the aluminum castings are placed on a loading frame, command parameters are transmitted to a field control panel through a remote control terminal through an internet of things communication network, the field control panel enables an electric push rod to work accordingly, the aluminum castings are moved to the inner side of a cutting system, when the loading frame moves leftwards and touches a positioning sensor, the positioning sensor transmits information back to the field control panel, the field control panel controls the electric push rod to reset and close accordingly, and at the moment, the aluminum castings are limited to move rightwards through the matching of a reset spring and a baffle.
5. The intelligent control method of the laser cutting machine for machining the cast aluminum parts is characterized in that in the method, command parameters are transmitted to a field control panel through a remote control terminal through an internet of things communication network, the field control panel then transmits commands to a positive and negative module, the positive and negative module then starts an outer rotor motor to work, and the outer rotor motor works to adjust a cutting system.
6. The intelligent control method of the laser cutting machine for machining the aluminum castings according to claim 1, wherein in the method, after the aluminum castings are placed inside the cutting system, command parameters are transmitted to a field control panel through a remote control terminal through an internet of things communication network, the field control panel transmits commands to a control module, the control module enables a detection sensor to work according to the commands, the detection sensor works to detect the aluminum castings on the cutting system, after the aluminum castings are detected, the detection sensor feeds information back to the control module, the control module starts the cutting system to work according to the fed information, and the cutting system works to cut the aluminum castings.
7. The intelligent control method of the laser cutting machine for processing the cast aluminum parts is characterized in that a water jet guided laser system is used for cutting, a water jet is moved to a reference position, a laser spot is detected on the surface of a nozzle and then accurately aligned with the nozzle, and accurate cutting operation is carried out; and after the aluminum castings are completely cut and processed, the on-site control panel closes the cutting system, and transmits the data to the remote control terminal through the Internet of things communication network.
8. The intelligent control method of the laser cutting machine for machining the cast aluminum parts is characterized in that in the method, after all the cast aluminum parts are cut and machined, command parameters are transmitted to a field control panel through a remote control terminal through an internet of things communication network, the field control panel enables a sundry removing system to work according to the transmitted commands, the sundry removing system works to clean solidified aluminum generated during the process of cutting the cast aluminum parts, meanwhile, the cut cast aluminum parts are moved to the sundry removing system, after the cleaning is completed, the field control panel enables the cutting system to reset and close, the field control panel enables a fan assembly to work according to the transmitted commands, the fan assembly extracts outside air and discharges the air leftwards through an air outlet pipe, and the cleaned sundries are blown leftwards and accumulated.
9. An intelligent control system of a laser cutting machine for processing aluminum castings, which is used for realizing the intelligent control method of the laser cutting machine for processing aluminum castings according to any one of claims 1 to 8, and is characterized by comprising
The motion control part is used for receiving a control instruction, controlling the workbench to return to zero, converting the motion of the machine tool under a coordinate system and the motion of the workpiece under the coordinate system, and acquiring the absolute coordinate and the relative coordinate of the workbench to move along a single-segment straight line and a single-segment circular arc track;
the sundries removing part is used for cleaning solidified aluminum generated during cutting of the aluminum casting, extracting external air along with the solidified aluminum through the fan assembly, and discharging the air leftwards through the air outlet pipe to blow and accumulate the removed sundries leftwards;
and the laser cutting part carries out image recognition on laser spots on the surface of the water spray nozzle through an integrated camera of an optical element in the optical lens so as to carry out accurate cutting operation.
10. The intelligent control system of the laser cutting machine for processing the cast aluminum parts is characterized in that the motion control part comprises a remote control terminal, an internet of things communication network, a field control panel and a control module;
the sundries removing part comprises an electric push rod and a fan assembly;
the laser cutting part comprises a positive and negative module, a servo motor, a CCD camera, a detection sensor and a laser cutting machine.
CN202210543531.XA2022-05-182022-05-18Intelligent control system and method for laser cutting machine for aluminum casting machiningActiveCN114799565B (en)

Priority Applications (1)

Application NumberPriority DateFiling DateTitle
CN202210543531.XACN114799565B (en)2022-05-182022-05-18Intelligent control system and method for laser cutting machine for aluminum casting machining

Applications Claiming Priority (1)

Application NumberPriority DateFiling DateTitle
CN202210543531.XACN114799565B (en)2022-05-182022-05-18Intelligent control system and method for laser cutting machine for aluminum casting machining

Publications (2)

Publication NumberPublication Date
CN114799565Atrue CN114799565A (en)2022-07-29
CN114799565B CN114799565B (en)2024-04-19

Family

ID=82516036

Family Applications (1)

Application NumberTitlePriority DateFiling Date
CN202210543531.XAActiveCN114799565B (en)2022-05-182022-05-18Intelligent control system and method for laser cutting machine for aluminum casting machining

Country Status (1)

CountryLink
CN (1)CN114799565B (en)

Cited By (1)

* Cited by examiner, † Cited by third party
Publication numberPriority datePublication dateAssigneeTitle
CN116300697A (en)*2023-01-312023-06-23中建三局第三建设工程有限责任公司Automatic filling method and system for incision data of six-axis intersecting line cutting machine

Citations (11)

* Cited by examiner, † Cited by third party
Publication numberPriority datePublication dateAssigneeTitle
JPS52149685A (en)*1976-06-091977-12-12Koike Sanso Kogyo KkDevice for marking working and cutting intersecting line of pipe
DE29816110U1 (en)*1998-09-081998-11-26Hell Gravure Systems GmbH, 24107 Kiel Arrangement for multi-channel cutting and scoring of materials using laser beams
JP2004291080A (en)*2003-03-282004-10-21Mitsubishi Electric Corp Laser control device and waste material processing method
WO2011120345A1 (en)*2010-03-312011-10-06深圳市先阳软件技术有限公司Method for controlling laser cutting of battery electrode sheet and system thereof
CN104827479A (en)*2015-05-152015-08-12重庆邮电大学Pipeline insertion intersecting line track planning method orientated to laser machining robot
CN107427959A (en)*2015-03-032017-12-01通快激光与系统工程有限公司Initial spacing for Laser Processing occupies
CN110449749A (en)*2019-07-192019-11-15东莞理工学院 A laser cutting scanning system
CN110449750A (en)*2019-08-092019-11-15上海发那科机器人有限公司A kind of round tube cutting process method and system based on six-shaft industrial robot
CA3114625A1 (en)*2018-09-282020-04-02Synfuel Americas CorporationLaser cutting system for cutting articles and forming filtration tubes
CN111299815A (en)*2020-02-132020-06-19西安交通大学Visual detection and laser cutting trajectory planning method for low-gray rubber pad
CN113441850A (en)*2021-08-302021-09-28南京恒久机器制造有限公司Remote intelligent control system and method for laser cutting machine based on Internet of things

Patent Citations (12)

* Cited by examiner, † Cited by third party
Publication numberPriority datePublication dateAssigneeTitle
JPS52149685A (en)*1976-06-091977-12-12Koike Sanso Kogyo KkDevice for marking working and cutting intersecting line of pipe
DE29816110U1 (en)*1998-09-081998-11-26Hell Gravure Systems GmbH, 24107 Kiel Arrangement for multi-channel cutting and scoring of materials using laser beams
JP2004291080A (en)*2003-03-282004-10-21Mitsubishi Electric Corp Laser control device and waste material processing method
WO2011120345A1 (en)*2010-03-312011-10-06深圳市先阳软件技术有限公司Method for controlling laser cutting of battery electrode sheet and system thereof
CN107427959A (en)*2015-03-032017-12-01通快激光与系统工程有限公司Initial spacing for Laser Processing occupies
CN104827479A (en)*2015-05-152015-08-12重庆邮电大学Pipeline insertion intersecting line track planning method orientated to laser machining robot
CA3114625A1 (en)*2018-09-282020-04-02Synfuel Americas CorporationLaser cutting system for cutting articles and forming filtration tubes
CN110449749A (en)*2019-07-192019-11-15东莞理工学院 A laser cutting scanning system
CN112388182A (en)*2019-07-192021-02-23东莞理工学院Working method of laser cutting scanning system
CN110449750A (en)*2019-08-092019-11-15上海发那科机器人有限公司A kind of round tube cutting process method and system based on six-shaft industrial robot
CN111299815A (en)*2020-02-132020-06-19西安交通大学Visual detection and laser cutting trajectory planning method for low-gray rubber pad
CN113441850A (en)*2021-08-302021-09-28南京恒久机器制造有限公司Remote intelligent control system and method for laser cutting machine based on Internet of things

Cited By (2)

* Cited by examiner, † Cited by third party
Publication numberPriority datePublication dateAssigneeTitle
CN116300697A (en)*2023-01-312023-06-23中建三局第三建设工程有限责任公司Automatic filling method and system for incision data of six-axis intersecting line cutting machine
CN116300697B (en)*2023-01-312023-10-17中建三局第三建设工程有限责任公司Automatic filling method and system for incision data of six-axis intersecting line cutting machine

Also Published As

Publication numberPublication date
CN114799565B (en)2024-04-19

Similar Documents

PublicationPublication DateTitle
CN111390351B (en) Automatic welding device and welding method for real-time change of welding torch position and posture
CN102424971B (en)Rapid laser repair method and device for defect of aluminum alloy guide blade
CN208195936U (en)A kind of laser removes coating procedure coaxial monitoring device
CN107297365A (en)A kind of desk-top laser accurate cleaning device of dual wavelength composite energy profile
CN103495807B (en)Multirobot optical-fiber laser diced system
CN105033419A (en)Moving type welding robot device based on weld pool image welding line tracking
CN106271044A (en)Laser marking machine and CCD coaxial light path localization method
CN107344251A (en)The mirror image method for milling and system of covering processing
CN109047184B (en)Laser cleaning equipment and method suitable for inner and outer walls of rotary body
CN106984926A (en)A kind of seam tracking system and welding seam tracking method
CN116542914A (en) Weld seam extraction and fitting method based on 3D point cloud
CN110102897B (en)Laser cleaning and laser welding integrated equipment and method for curved surface thin-wall structure
CN111774720B (en)Method for deep processing of metal material by laser
CN112439971A (en)Continuous electric arc additive manufacturing method and device of self-adaptive non-flat surface
CN111760849A (en)Laser cleaning equipment and focus keeping method thereof
CN114799565A (en)Intelligent control system and method for laser cutting machine for machining aluminum castings
CN110814398A (en)Machine vision auxiliary curved surface machining device and method
CN116408313A (en)Automatic laser composite cleaning equipment and cleaning method thereof
CN109822194A (en) A welding seam tracking device and welding method
CN114453730B (en)Laser processing method of hemispherical revolving body
CN118455772A (en) A laser long-distance cutting system and cutting method based on 2D vision
CN114932290A (en)Electric arc additive manufacturing system and method based on molten drop control characteristics
CN110013986B (en)Jet flow rust removing equipment
CN106670652A (en)Laser coaxial processing device and method
CN102922094B (en)Ultra-small size welding seam tracking method based on heat input

Legal Events

DateCodeTitleDescription
PB01Publication
PB01Publication
SE01Entry into force of request for substantive examination
SE01Entry into force of request for substantive examination
GR01Patent grant
GR01Patent grant

[8]ページ先頭

©2009-2025 Movatter.jp