




技术领域technical field
本发明涉及医疗技术领域,尤其涉及一种基于PCA-BP神经网络的脑出血预测方法及系统。The invention relates to the field of medical technology, in particular to a method and system for predicting cerebral hemorrhage based on a PCA-BP neural network.
背景技术Background technique
脑出血(cerebral hemorrhage)是指非外伤性脑实质内血管破裂引起的出血,占全部脑卒中的20%~30%,急性期病死率为30%~40%。发生的原因主要与脑血管的病变有关,即与高血脂、糖尿病、高血压、血管的老化、吸烟等密切相关。脑出血的患者往往由于情绪激动、费劲用力时突然发病,早期死亡率很高,幸存者中多数留有不同程度的运动障碍、认知障碍、言语吞咽障碍等后遗症。Cerebral hemorrhage (cerebral hemorrhage) refers to the hemorrhage caused by the rupture of blood vessels in the non-traumatic brain parenchyma, accounting for 20% to 30% of all strokes, and the acute mortality rate is 30% to 40%. The cause is mainly related to cerebrovascular lesions, that is, it is closely related to hyperlipidemia, diabetes, hypertension, vascular aging, and smoking. Patients with cerebral hemorrhage often develop sudden onset due to emotional agitation and exertion, and early mortality is very high.
目前,市场上预测脑出血的判断机制是当某个生理指标或多个生理指标(例如脉搏、血压等)超过其设定的阈值时,或者佩戴者出现晕厥现象时,则判断佩戴者发生脑出血。突发脑出血时,大部分人会具有偏瘫的症状(例如手臂瘫痪等),而市场并没有判断其发生偏瘫的模型,无法与阈值判断模型相结合,所以通过生理指标异常进行简单阈值判断时,其预测脑出血的准确率不高,可能导致佩戴者错过最佳救援的“黄金时间”。At present, the judgment mechanism for predicting cerebral hemorrhage in the market is that when a certain physiological index or multiple physiological indicators (such as pulse, blood pressure, etc.) exceed its set threshold, or when the wearer has syncope, it is judged that the wearer has suffered from brain hemorrhage. bleeding. When a sudden cerebral hemorrhage occurs, most people will have hemiplegia symptoms (such as arm paralysis, etc.), and the market does not have a model for judging the occurrence of hemiplegia, which cannot be combined with the threshold judgment model. Therefore, when a simple threshold judgment is made through abnormal physiological indicators , its accuracy in predicting cerebral hemorrhage is not high, which may cause the wearer to miss the "golden time" for the best rescue.
发明内容SUMMARY OF THE INVENTION
本发明的目的之一是提供一种基于PCA-BP神经网络的脑出血预测方法,以解决如何提高脑出血预测准确率的技术问题。One of the purposes of the present invention is to provide a method for predicting cerebral hemorrhage based on PCA-BP neural network, so as to solve the technical problem of how to improve the prediction accuracy of cerebral hemorrhage.
本发明的第一个目的是采用以下技术方案实现的:一种基于PCA-BP神经网络的脑出血预测方法,包括如下步骤:The first object of the present invention is achieved by adopting the following technical solutions: a method for predicting intracerebral hemorrhage based on PCA-BP neural network, comprising the following steps:
通过生理信息采集模块采集人体生理数据,并将采集到的生理数据存储到主控模块的数据库中,作为脑出血概率预测模型的输入;Collect human physiological data through the physiological information collection module, and store the collected physiological data in the database of the main control module as the input of the prediction model of the probability of cerebral hemorrhage;
通过手臂振幅检测模块采集人体手臂振幅数据,并将采集到的手臂振幅数据存储到主控模块的数据库中,作为手臂振幅检测模型的输入;The human arm amplitude data is collected through the arm amplitude detection module, and the collected arm amplitude data is stored in the database of the main control module as the input of the arm amplitude detection model;
通过PCA-BP神经网络算法建立脑出血概率预测模型和手臂振幅检测模型;The prediction model of cerebral hemorrhage probability and the detection model of arm amplitude were established by PCA-BP neural network algorithm;
脑出血概率预测模型基于生理数据对人体发生脑出血概率进行预测,当人体脑出血概率超出预设阈值时,将进行预警;同时手臂振幅检测模型对人体手臂振幅数据进行检测,当检测到手臂振幅异常时,则立即进行报警求救;若检测到手臂振幅正常但将要发生脑出血时,则进行延时报警求救。The cerebral hemorrhage probability prediction model predicts the probability of cerebral hemorrhage in the human body based on physiological data. When the probability of cerebral hemorrhage exceeds the preset threshold, an early warning will be issued; at the same time, the arm amplitude detection model detects the human arm amplitude data. When the arm amplitude is detected When it is abnormal, it will immediately alarm for help; if it is detected that the arm amplitude is normal but cerebral hemorrhage is about to occur, it will delay the alarm for help.
进一步的,所述生理信息采集模块包括血压脉搏检测模块和体温检测模块,所述血压脉搏检测模块和体温检测模块均与主控模块相连接,用以采集人体的血压、脉搏和体温数据,并存储至主控模块的数据库中,作为脑出血预测模型的输入。Further, the physiological information collection module includes a blood pressure and pulse detection module and a body temperature detection module, both of which are connected to the main control module to collect the blood pressure, pulse and body temperature data of the human body, and It is stored in the database of the main control module and used as the input of the prediction model of cerebral hemorrhage.
进一步的,所述手臂振幅检测模块包括三轴重力加速度传感器和电子陀螺仪,用以采集人体手臂摇晃速度、角度和角加速度,并存储至主控模块的数据库中,作为手臂振幅检测模型的输入。Further, the arm amplitude detection module includes a three-axis gravitational acceleration sensor and an electronic gyroscope to collect the shaking speed, angle and angular acceleration of the human arm, and store them in the database of the main control module as the input of the arm amplitude detection model. .
进一步的,通过PCA-BP神经网络算法建立脑出血概率预测模型包括如下步骤:Further, establishing a prediction model of intracerebral hemorrhage probability through PCA-BP neural network algorithm includes the following steps:
采用主成分分析PCA将56维输入变量降维为12维,再通过BP神经网络进行概率预测,BP神经网络包括输入层、隐含层和输出层三层神经元;Principal component analysis (PCA) is used to reduce the 56-dimensional input variable to 12-dimensional, and then the probability prediction is carried out through the BP neural network. The BP neural network includes three layers of neurons: input layer, hidden layer and output layer;
输入信号从输入层进入网络,经中间隐含层递进向前直到输出层,在输出层得到与输入相对应的实际输出结果;The input signal enters the network from the input layer, progresses forward through the middle hidden layer until the output layer, and the actual output result corresponding to the input is obtained at the output layer;
若网络实际输出与所期望的输出不相符,则进入误差反向传播阶段;If the actual output of the network does not match the expected output, enter the error back propagation stage;
循环上述过程,使得网络各层节点之间连接权值不间断调整,完成BP神经网络的学习过程;The above process is repeated, so that the connection weights between the nodes of each layer of the network are continuously adjusted, and the learning process of the BP neural network is completed;
完成脑出血概率预测模型的建立。Completed the establishment of the prediction model of intracerebral hemorrhage probability.
进一步的,通过PCA-BP神经网络算法建立手臂振幅检测模型的方法步骤与通过PCA-BP神经网络算法建立脑出血概率预测模型的方法步骤一致。Further, the method steps of establishing the arm amplitude detection model through the PCA-BP neural network algorithm are consistent with the method steps of establishing the cerebral hemorrhage probability prediction model through the PCA-BP neural network algorithm.
进一步的,脑出血概率预测模型基于生理数据对人体发生脑出血概率进行预测的方法包括如下步骤:Further, the method for predicting the probability of cerebral hemorrhage in the human body based on the physiological data by the intracerebral hemorrhage probability prediction model includes the following steps:
将生理数据作为PCA的输入,通过PCA得到降维后的输入,再作为BP神经网络的输入,通过BP神经网络的输入层进入隐含层,然后将隐含层的输出给输出层;The physiological data is used as the input of PCA, and the input after dimensionality reduction is obtained through PCA, which is then used as the input of the BP neural network to enter the hidden layer through the input layer of the BP neural network, and then the output of the hidden layer is sent to the output layer;
经过BP神经网络的输入层、隐含层和输出层的运算后得到脑出血概率预测值;The predicted value of cerebral hemorrhage probability is obtained after the operation of input layer, hidden layer and output layer of BP neural network;
最后输出层输出标准化后的脑出血概率预测值,与脑出血预设阈值进行比较,如果高于或者等于脑出血预设阈值,则立即进入下一报警环节;如果低于脑出血预设阈值,则返回日常检测;Finally, the output layer outputs the standardized predicted value of cerebral hemorrhage probability and compares it with the preset threshold of cerebral hemorrhage. If it is higher than or equal to the preset threshold of cerebral hemorrhage, it will immediately enter the next alarm link; if it is lower than the preset threshold of cerebral hemorrhage, Then return to daily testing;
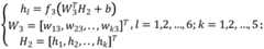
其中,隐含层和输出层的数学表达式如下:Among them, the mathematical expressions of the hidden layer and the output layer are as follows:
隐含层第一层Hidden layer first layer
隐含层第二层second hidden layer
隐含层第三层The third hidden layer
输出层output layer
式中,hj、hk、hl是隐含层神经元的输出;y是输出层的输出;wi1,wj2,wk3,wlo分别是隐含层和输出层的输入权值,满足b是神经元的偏差;X=x1,x2,…,xn]T是BP神经网络的输入,也是隐含层第一层神经元的输入,即PCA降维处理后的12维生理指标数据;f1,f2,f3,fo分别是三层隐含层和输出层神经元的激活函数,隐含层第一层神经元激活函数为tan s ig,该激活函数可映射到-1与1之间,其表达式为:f1x=tansig(x)=2/(1+exp(-2*x))-1;隐含层第二层神经元激活函数为softmax,把多个神经元输出值映射到(0,1),总和为1,输出时选择值最大的作为预测值,其表达式为:隐含层第三层和输出层神经元激活函数都为log s ig,输出值在0和1之间,使网络输出一个具体的概率预测值,其表达式为:f3x=fo(x)=logsig(x)=1/(1+exp(-x))。In the formula, hj , hk , hl are the outputs of neurons in the hidden layer; y is the output of the output layer; wi1 , wj2 , wk3 , and wlo are the input weights of the hidden layer and the output layer, respectively ,Satisfy b is the deviation of the neuron; X=x1 ,x2 ,...,xn ]T is the input of the BP neural network and the input of the neurons in the first layer of the hidden layer, that is, the 12-dimensional physiological Index data; f1 , f2 , f3 , and fo are the activation functions of the three-layer hidden layer and output layer neurons, respectively. The activation function of the first layer of neurons in the hidden layer is tan s ig, which can be mapped Between -1 and 1, the expression is: f1 x=tansig(x)=2/(1+exp(-2*x))-1; the activation function of the neurons in the second layer of the hidden layer is softmax , the output value of multiple neurons is mapped to (0,1), the sum is 1, and the largest value is selected as the predicted value when outputting, and its expression is: The activation function of the neurons in the third layer of the hidden layer and the output layer is log s ig, and the output value is between 0 and 1, so that the network outputs a specific probability prediction value, and its expression is: f3 x = fo ( x)=logsig(x)=1/(1+exp(-x)).
本发明的第二个目的是提供一种基于PCA-BP神经网络的脑出血预测系统,以解决如何提高脑出血预测准确率的技术问题。The second object of the present invention is to provide a prediction system for intracerebral hemorrhage based on PCA-BP neural network, so as to solve the technical problem of how to improve the prediction accuracy of intracerebral hemorrhage.
本发明的第二个目的是通过以下技术方案实现的:一种基于PCA-BP神经网络的脑出血预测系统,包括生理信息采集模块、手臂振幅检测模块和主控模块,通过生理信息采集模块采集人体生理数据,并将采集到的生理数据存储到主控模块的数据库中,通过手臂振幅检测模块采集人体手臂振幅数据,并将采集到的手臂振幅数据存储到主控模块的数据库中,通过主控模块内的脑出血概率预测模型和手臂振幅检测模型分别对生理数据和手臂振幅数据进行分析,判断人体是否发生脑出血,并通过与主控模块相连接的报警模块和求救模块发出报警信息和求救信息;还包括通信定位模块和显示模块,所述通信定位模块和显示模块均与主控模块相连接。The second object of the present invention is achieved through the following technical solutions: a PCA-BP neural network-based cerebral hemorrhage prediction system, comprising a physiological information acquisition module, an arm amplitude detection module and a main control module, and collected through the physiological information acquisition module Human body physiological data, and store the collected physiological data in the database of the main control module, collect the human arm amplitude data through the arm amplitude detection module, and store the collected arm amplitude data in the database of the main control module. The cerebral hemorrhage probability prediction model and the arm amplitude detection model in the control module analyze the physiological data and the arm amplitude data respectively to determine whether the human body has cerebral hemorrhage, and send out alarm information and distress information; also includes a communication positioning module and a display module, both of which are connected with the main control module.
本发明的有益效果在于:通过PCA-BP神经网络算法建立脑出血概率预测模型和手臂振幅检测模型,并结合脑出血概率预测模型和手臂振幅检测模型对脑出血进行预测,极大程度上提升了对人体脑出血的精准判断。The beneficial effect of the present invention is that: the prediction model of cerebral hemorrhage probability and the detection model of arm amplitude are established by the PCA-BP neural network algorithm, and the prediction model of cerebral hemorrhage is combined with the prediction model of cerebral hemorrhage probability and the detection model of arm amplitude to predict cerebral hemorrhage, which greatly improves the Accurate judgment of human cerebral hemorrhage.
附图说明Description of drawings
为了更清楚地说明本发明实施例或现有技术中的技术方案,下面将对实施例或现有技术描述中所需要使用的附图作简单地介绍,下面描述中的附图仅仅是本发明的一些实施例,对于本领域普通技术人员来讲,在不付出创造性劳动的前提下,还可以根据这些附图示出的结构获得其他的附图。In order to more clearly illustrate the embodiments of the present invention or the technical solutions in the prior art, the following briefly introduces the accompanying drawings that are used in the description of the embodiments or the prior art, and the drawings in the following description are only the present invention. For some embodiments of the present invention, for those of ordinary skill in the art, other drawings can also be obtained according to the structures shown in these drawings without any creative effort.
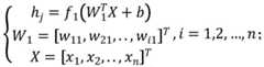
图1为本发明流程图;Fig. 1 is the flow chart of the present invention;
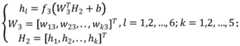
图2为本发明工作原理示意图;2 is a schematic diagram of the working principle of the present invention;
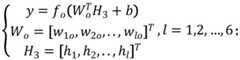
图3为本发明系统框图;Fig. 3 is the system block diagram of the present invention;
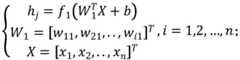
图4为基于PCA-BP神经网络算法的预测模型;Fig. 4 is the prediction model based on PCA-BP neural network algorithm;
图5为智能手环结构示意图;Fig. 5 is a schematic diagram of the structure of the smart bracelet;
图中,100-手环本体,101-第一按键,102-手环内部,103-第二按键,104-血压脉搏检测模块,105-红外测温模块,106-手环表带。In the figure, 100 - the body of the bracelet, 101 - the first button, 102 - the inside of the bracelet, 103 - the second button, 104 - the blood pressure and pulse detection module, 105 - the infrared temperature measurement module, and 106 - the bracelet strap.
具体实施方式Detailed ways
为使本发明实施例的目的、技术方案和优点更加清楚,下面将结合本发明实施例中的附图,对本发明实施例中的技术方案进行清楚、完整地描述,显然,所描述的实施例是本发明一部分实施例,而不是全部的实施例。通常在此处附图中描述和示出的本发明实施例的组件可以以各种不同的配置来布置和设计。In order to make the purposes, technical solutions and advantages of the embodiments of the present invention clearer, the technical solutions in the embodiments of the present invention will be clearly and completely described below with reference to the accompanying drawings in the embodiments of the present invention. Obviously, the described embodiments These are some embodiments of the present invention, but not all embodiments. The components of the embodiments of the invention generally described and illustrated in the drawings herein may be arranged and designed in a variety of different configurations.
因此,以下对在附图中提供的本发明的实施例的详细描述并非旨在限制要求保护的本发明的范围,而是仅仅表示本发明的选定实施例。基于本发明中的实施例,本领域普通技术人员在没有作出创造性劳动前提下所获得的所有其他实施例,都属于本发明保护的范围。Thus, the following detailed description of the embodiments of the invention provided in the accompanying drawings is not intended to limit the scope of the invention as claimed, but is merely representative of selected embodiments of the invention. Based on the embodiments of the present invention, all other embodiments obtained by those of ordinary skill in the art without creative efforts shall fall within the protection scope of the present invention.
实施例1:Example 1:
参阅图1,一种基于PCA-BP神经网络的脑出血预测方法,包括如下步骤:Referring to Figure 1, a method for predicting intracerebral hemorrhage based on PCA-BP neural network includes the following steps:
通过生理信息采集模块采集人体生理数据,并将采集到的生理数据存储到主控模块的数据库中,作为脑出血概率预测模型的输入;Collect human physiological data through the physiological information collection module, and store the collected physiological data in the database of the main control module as the input of the prediction model of the probability of cerebral hemorrhage;
通过手臂振幅检测模块采集人体手臂振幅数据,并将采集到的手臂振幅数据存储到主控模块的数据库中,作为手臂振幅检测模型的输入;The human arm amplitude data is collected through the arm amplitude detection module, and the collected arm amplitude data is stored in the database of the main control module as the input of the arm amplitude detection model;
通过PCA-BP神经网络算法建立脑出血概率预测模型和手臂振幅检测模型;The prediction model of cerebral hemorrhage probability and the detection model of arm amplitude were established by PCA-BP neural network algorithm;
脑出血概率预测模型基于生理数据对人体发生脑出血概率进行预测,当人体脑出血概率超出预设阈值时,将进行预警;同时手臂振幅检测模型对人体手臂振幅数据进行检测,当检测到手臂振幅异常时,则立即进行报警求救;若检测到手臂振幅正常但将要发生脑出血时,则进行延时报警求救。The cerebral hemorrhage probability prediction model predicts the probability of cerebral hemorrhage in the human body based on physiological data. When the probability of cerebral hemorrhage exceeds the preset threshold, an early warning will be issued; at the same time, the arm amplitude detection model detects the human arm amplitude data. When the arm amplitude is detected When it is abnormal, it will immediately alarm for help; if it is detected that the arm amplitude is normal but cerebral hemorrhage is about to occur, it will delay the alarm for help.
在本实施例当中,所述生理信息采集模块包括血压脉搏检测模块和体温检测模块,所述血压脉搏检测模块和体温检测模块均与主控模块相连接,用以采集人体的血压、脉搏和体温数据,并存储至主控模块的数据库中,作为脑出血预测模型的输入。In this embodiment, the physiological information collection module includes a blood pressure and pulse detection module and a body temperature detection module. Both the blood pressure and pulse detection module and the body temperature detection module are connected to the main control module to collect the blood pressure, pulse and body temperature of the human body. The data is stored in the database of the main control module as the input of the prediction model of cerebral hemorrhage.
进一步的,参阅图2,主控模块接受来自手臂振幅检测模块、体温检测模块和血压脉搏检测模块的手臂震动幅度、体温、血压、脉搏数据并进行分析,并通过主控模块中的脑出血概率预测模型和手臂振幅检测模型对上述数据进行分析,当检测到血压、脉搏、体温这些生理指标异常时,对被检测人体进行预警,手臂振幅检测模型对被检测人体手臂振幅进行判断看是否异常,若异常,通过报警模块立即发出定位信息与求救信号。若被检测人体发现自己生理指标异常并有脑出血症状时,可启动求救模块发出求救信号,使报警模块发出定位信息及求救信号。Further, referring to Figure 2, the main control module accepts and analyzes the arm vibration amplitude, body temperature, blood pressure, and pulse data from the arm amplitude detection module, the body temperature detection module, and the blood pressure and pulse detection module, and passes the probability of cerebral hemorrhage in the main control module. The prediction model and the arm amplitude detection model analyze the above data. When abnormal physiological indicators such as blood pressure, pulse, and body temperature are detected, the detected human body is warned. The arm amplitude detection model judges the detected human arm amplitude to see if it is abnormal. If it is abnormal, it will send out positioning information and distress signal immediately through the alarm module. If the detected human body finds that its physiological indicators are abnormal and has symptoms of cerebral hemorrhage, the SOS module can be activated to send out SOS signals, so that the alarm module can send out positioning information and SOS signals.
在本实施例当中,所述手臂振幅检测模块包括三轴重力加速度传感器和电子陀螺仪,用以采集人体手臂摇晃速度、角度和角加速度,并存储至主控模块的数据库中,作为手臂振幅检测模型的输入。In this embodiment, the arm amplitude detection module includes a three-axis gravitational acceleration sensor and an electronic gyroscope, which are used to collect the shaking speed, angle and angular acceleration of the human arm, and store them in the database of the main control module for detection of arm amplitude. input to the model.
在本实施例当中,通过PCA-BP神经网络算法建立脑出血概率预测模型的方法包括如下步骤:In this embodiment, the method for establishing a probability prediction model of intracerebral hemorrhage by using the PCA-BP neural network algorithm includes the following steps:
采用主成分分析PCA将56维输入变量降维为12维,再通过BP神经网络进行概率预测,BP神经网络包括输入层、隐含层和输出层三层神经元;Principal component analysis (PCA) is used to reduce the 56-dimensional input variable to 12-dimensional, and then the probability prediction is carried out through the BP neural network. The BP neural network includes three layers of neurons: input layer, hidden layer and output layer;
输入信号从输入层进入网络,经中间隐含层递进向前直到输出层,在输出层得到与输入相对应的实际输出结果;The input signal enters the network from the input layer, progresses forward through the middle hidden layer until the output layer, and the actual output result corresponding to the input is obtained at the output layer;
若网络实际输出与所期望的输出不相符,则进入误差反向传播阶段;反向传播就是网络各层节点之间连接权值的调整过程;If the actual output of the network does not match the expected output, it will enter the error back propagation stage; back propagation is the adjustment process of the connection weights between nodes in each layer of the network;
循环上述过程,使得网络各层节点之间连接权值不间断调整,完成BP神经网络的学习过程;The above process is cycled, so that the connection weights between the nodes of each layer of the network are continuously adjusted, and the learning process of the BP neural network is completed;
完成脑出血概率预测模型的建立。Completed the establishment of the prediction model of intracerebral hemorrhage probability.
在本实施例当中,通过PCA-BP神经网络算法建立手臂振幅检测模型的方法步骤与通过PCA-BP神经网络算法建立脑出血概率预测模型的方法步骤一致。In this embodiment, the method steps of establishing the arm amplitude detection model by using the PCA-BP neural network algorithm are the same as the method steps of establishing the cerebral hemorrhage probability prediction model by using the PCA-BP neural network algorithm.
在本实施例当中,脑出血概率预测模型基于生理数据对人体发生脑出血概率进行预测的方法具体参见图4,该方法包括如下步骤:In this embodiment, the method for predicting the probability of cerebral hemorrhage in the human body based on physiological data by the cerebral hemorrhage probability prediction model is specifically shown in FIG. 4 , and the method includes the following steps:
将生理数据作为PCA的输入,通过PCA得到降维后的输入,再作为BP神经网络的输入,通过BP神经网络的输入层进入隐含层,然后将隐含层的输出给输出层;The physiological data is used as the input of PCA, and the input after dimensionality reduction is obtained through PCA, which is then used as the input of the BP neural network to enter the hidden layer through the input layer of the BP neural network, and then the output of the hidden layer is sent to the output layer;
经过BP神经网络的输入层、隐含层和输出层的运算后得到脑出血概率预测值;The predicted value of cerebral hemorrhage probability is obtained after the operation of input layer, hidden layer and output layer of BP neural network;
最后输出层输出标准化后的脑出血概率预测值,与脑出血预设阈值(优选的,经过调试,将脑出血预设阈值设置在0.82)进行比较,如果高于或者等于脑出血预设阈值,则立即进入下一报警环节;如果低于脑出血预设阈值,则返回日常检测;Finally, the output layer outputs the standardized predicted value of the probability of intracerebral hemorrhage, and compares it with the preset threshold of intracerebral hemorrhage (preferably, after debugging, the preset threshold of intracerebral hemorrhage is set at 0.82). If it is higher than or equal to the preset threshold of intracerebral hemorrhage, Then immediately enter the next alarm link; if it is lower than the preset threshold of cerebral hemorrhage, it will return to the daily detection;
其中,隐含层和输出层的数学表达式如下:Among them, the mathematical expressions of the hidden layer and the output layer are as follows:
隐含层第一层Hidden layer first layer
隐含层第二层second hidden layer
隐含层第三层The third hidden layer
输出层output layer
式中,hj、hk、hl是隐含层神经元的输出;y是输出层的输出;wi1,wj2,wk3,wlo分别是隐含层和输出层的输入权值,满足b是神经元的偏差;X=x1,x2,…,xn]T是BP神经网络的输入,也是隐含层第一层神经元的输入,即PCA降维处理后的12维生理指标数据;f1,f2,f3,fo分别是三层隐含层和输出层神经元的激活函数,隐含层第一层神经元激活函数为tan s ig,该激活函数可映射到-1与1之间,其表达式为:f1x=tansig(x)=2/(1+exp(-2*x))-1;隐含层第二层神经元激活函数为softmax,把多个神经元输出值映射到(0,1),总和为1,输出时选择值最大的作为预测值,其表达式为:隐含层第三层和输出层神经元激活函数都为log s ig,输出值在0和1之间,使网络输出一个具体的概率预测值,其表达式为:f3(x)=fo(x)=logsig(x)=1/(1+exp(-x))。In the formula, hj , hk , hl are the outputs of neurons in the hidden layer; y is the output of the output layer; wi1 , wj2 , wk3 , and wlo are the input weights of the hidden layer and the output layer, respectively ,Satisfy b is the deviation of the neuron; X=x1 ,x2 ,...,xn ]T is the input of the BP neural network and the input of the neurons in the first layer of the hidden layer, that is, the 12-dimensional physiological Index data; f1 , f2 , f3 , and fo are the activation functions of the three-layer hidden layer and output layer neurons, respectively. The activation function of the first layer of neurons in the hidden layer is tan s ig, which can be mapped Between -1 and 1, the expression is: f1 x=tansig(x)=2/(1+exp(-2*x))-1; the activation function of the neurons in the second layer of the hidden layer is softmax , the output value of multiple neurons is mapped to (0,1), the sum is 1, and the largest value is selected as the predicted value when outputting, and its expression is: The activation function of the neurons in the third layer of the hidden layer and the output layer is log sig, and the output value is between 0 and 1, so that the network outputs a specific probability prediction value, and its expression is: f3 (x)=fo (x)=logsig(x)=1/(1+exp(-x)).
当主控模块从多个模块(包括体温检测模块和血压脉搏检测模块)获取不同生理数据后,脑出血概率预测模型对数据进行学习和训练。当人体的生理数据,即体温、血压、脉搏,异于日常生活时的状态时,脑出血概率预测模型对佩戴者发生脑出血的概率进行预测。当佩戴者的脑出血概率超出预设概率阈值(0.82)时,将通过报警模块进行预警,同时手臂振幅检测模型对人体手臂振幅进行检测,若人体手臂瘫痪,则立即通过求救模块报警求救;若此时人体手臂振幅判断为正常但人体将要或正发生脑出血,则进行延时报警求救。手臂振幅检测模型通过检测人体手臂的摇晃角速度、角度和角加速度实现手臂振幅检测,当突发脑出血时,会有部分人因血液压迫大脑运动区而出现偏瘫的症状,此时人体已无法手动报警,而主控模块会自动检测手臂在三维(即x、y、z轴)方向的运动角度、角速度和角加速度,当主控模块检测并判断出人体的角度、角速度和角加速度三者的特征符合手臂偏瘫的特征时,主控模块会结合其他数据(如脑出血概率值)判断人体是否突发脑出血,故需要检测不同时刻手腕在三维方向的角度、角速度和角速度,同时因为硬件设备每秒采样手臂振幅信息十次,考虑到救援时间紧迫,选择10秒作为采样时长,获得900个数据。After the main control module acquires different physiological data from multiple modules (including the body temperature detection module and the blood pressure and pulse detection module), the cerebral hemorrhage probability prediction model learns and trains the data. When the physiological data of the human body, that is, body temperature, blood pressure, and pulse, are different from the state of daily life, the cerebral hemorrhage probability prediction model predicts the probability of cerebral hemorrhage of the wearer. When the wearer's cerebral hemorrhage probability exceeds the preset probability threshold (0.82), the alarm module will give an early warning, and the arm amplitude detection model will detect the human arm amplitude. At this time, the amplitude of the human arm is judged to be normal, but the human body is about to or is experiencing cerebral hemorrhage, and a delayed alarm will be sent for help. The arm amplitude detection model realizes arm amplitude detection by detecting the shaking angular velocity, angle and angular acceleration of the human arm. When a sudden cerebral hemorrhage occurs, some people will experience hemiplegia due to blood pressure on the motor area of the brain. At this time, the human body cannot manually Alarm, and the main control module will automatically detect the movement angle, angular velocity and angular acceleration of the arm in the three-dimensional (ie x, y, z axis) directions. When the characteristics conform to the characteristics of hemiplegia of the arm, the main control module will combine other data (such as the probability value of cerebral hemorrhage) to determine whether the human body has sudden cerebral hemorrhage, so it is necessary to detect the angle, angular velocity and angular velocity of the wrist in the three-dimensional direction at different times. The arm amplitude information was sampled ten times per second. Considering the urgent rescue time, 10 seconds was selected as the sampling time, and 900 pieces of data were obtained.
手臂振幅检测模型对人体手臂振幅数据进行检测:手臂振幅检测模型与脑出血概率预测模型相似,仍采用PCA-BP神经网络算法,输入为手臂在三维方向的角度、角速度和角加速度采样10秒的数据,最终输出为手臂振幅检测值(该输出范围在0到1之间),将手臂振幅检测值与手臂振幅预设阈值(优选的,经过调试,将手臂振幅预设阈值设置为0.85)进行比较,如果高于或者等于阀值,则立即进入紧急救援环节(通过求救模块发出求救报警信息);如果低于阈值,则进行延时报警。脑出血概率预测模型与手臂振幅检测模型相结合解决了当前脑出血检测手环不精准的问题。The arm amplitude detection model detects the human arm amplitude data: the arm amplitude detection model is similar to the cerebral hemorrhage probability prediction model, and the PCA-BP neural network algorithm is still used. The input is the angle, angular velocity and angular acceleration of the arm in the three-dimensional direction. The final output is the arm amplitude detection value (the output range is between 0 and 1), and the arm amplitude detection value and the arm amplitude preset threshold (preferably, after debugging, the arm amplitude preset threshold is set to 0.85) to carry out Compare, if it is higher than or equal to the threshold, it will immediately enter the emergency rescue link (sending a distress alarm message through the distress module); if it is lower than the threshold, a delayed alarm will be performed. The combination of the cerebral hemorrhage probability prediction model and the arm amplitude detection model solves the inaccuracy of the current cerebral hemorrhage detection bracelet.
此外,需要说明的是,本实施例中解释脑出血概率预测模型中所运用到的参数包括了与人体相关的脉搏、血压、体温和既往病史。但是对本领域有所了解的人员应当明白也可以利用传感器获取其他参数进行组合训练BP神经网络,从而获得更好的预测模型。In addition, it should be noted that the parameters used in explaining the prediction model of the probability of cerebral hemorrhage in this embodiment include pulse, blood pressure, body temperature and past medical history related to the human body. However, those who are familiar with the art should understand that other parameters obtained by sensors can also be used to train the BP neural network in combination, so as to obtain a better prediction model.
进一步的,参阅图3,一种基于PCA-BP神经网络的脑出血预测系统,包括生理信息采集模块、手臂振幅检测模块和主控模块,通过生理信息采集模块采集人体生理数据,并将采集到的生理数据存储到主控模块的数据库中,通过手臂振幅检测模块采集人体手臂振幅数据,并将采集到的手臂振幅数据存储到主控模块的数据库中,通过主控模块内的脑出血概率预测模型和手臂振幅检测模型分别对生理数据和手臂振幅数据进行分析,判断人体是否发生脑出血,并通过与主控模块相连接的报警模块和求救模块发出报警信息和求救信息;还包括通信定位模块和显示模块,所述通信定位模块和显示模块均与主控模块相连接。Further, referring to Fig. 3, a PCA-BP neural network-based cerebral hemorrhage prediction system includes a physiological information acquisition module, an arm amplitude detection module and a main control module. The physiological data is stored in the database of the main control module, the human arm amplitude data is collected through the arm amplitude detection module, and the collected arm amplitude data is stored in the database of the main control module, and the probability of cerebral hemorrhage in the main control module is predicted. The model and the arm amplitude detection model analyze the physiological data and the arm amplitude data respectively, determine whether the human body has cerebral hemorrhage, and send out alarm information and distress information through the alarm module and the rescue module connected to the main control module; it also includes a communication positioning module and a display module, both the communication positioning module and the display module are connected with the main control module.
在本实施例当中,所述生理信息采集模块包括血压脉搏检测模块和体温检测模块,所述血压脉搏检测模块和体温检测模块分别对应检测人体的血压、脉搏以及体温,所述手臂振幅检测模块包括三轴重力加速度传感器以及电子陀螺仪,用来检测手臂振幅程度;通信定位模块对检测人体的位置进行定位并在人体发生脑出血时发出求救信息;所述报警模块能让被检测人体发现自己身体异常时进行求救;所述求救模块用以发出求救信号;所述显示模块用以显示时间以及相关的生理信息。In this embodiment, the physiological information collection module includes a blood pressure and pulse detection module and a body temperature detection module. The blood pressure and pulse detection module and the body temperature detection module respectively detect the blood pressure, pulse and body temperature of the human body. The arm amplitude detection module includes A three-axis gravitational acceleration sensor and an electronic gyroscope are used to detect the amplitude of the arm; the communication and positioning module locates the position of the detected human body and sends out a distress message when a cerebral hemorrhage occurs in the human body; the alarm module enables the detected human body to find its own body Call for help when abnormal; the rescue module is used to send out a rescue signal; the display module is used to display the time and related physiological information.
更进一步的,参阅图5,本发明提供了一种智能手环,所述智能手环采用上述所述的基于PCA-BP神经网络的脑出血预测方法对佩戴者进行实时检测,所述智能手环包括手环本体100,所述手环本体100内设置有手臂振幅检测模块、体温检测模块、血压脉搏检测模块、通信定位模块、显示模块、报警模块和求救模块,所述手臂振幅检测模块、体温检测模块、血压脉搏检测模块、通信定位模块、显示模块、报警模块和求救模块均与主控模块通过信号线连接,主控模块接收手臂振幅检测模块、体温检测模块、血压脉搏检测模块和通信定位模块的信号,并通过设置于主控模块内的脑出血概率预测模型和手臂振幅检测模型,对佩戴者是否发生脑出血进行判断和报警。可以理解的,通过血压脉搏检测模块和体温检测模块分别对佩戴者的血压、脉搏以及体温进行检测,手臂振幅检测模块包括有三轴重力加速度传感器以及电子陀螺仪,用来检测手臂振幅程度,通信定位模块对检测人体的位置进行定位并在人体发生脑出血时发出求救信息;所述报警模块能让被检测人体发现自己身体异常时进行求救;所述求救模块用以发出求救信号;所述显示模块用以显示时间以及相关的生理信息。Further, referring to FIG. 5 , the present invention provides a smart bracelet, which adopts the above-mentioned PCA-BP neural network-based intracerebral hemorrhage prediction method to perform real-time detection on the wearer, and the smart bracelet detects the wearer in real time. The ring includes a
在本实施例当中,所述智能手环用于佩戴在佩戴者的手上,手环表带106可根据手腕大小调整,方便不同人群的佩戴,第一按键101和第二按键103布置在表盘的侧方,与手环内部102的报警模块和求救模块相连接,提供输入的信号。手环本体100正面设置有ISP屏幕,接在主控模块上,显示当前的手环状态信息,手环内部102集成了报警模块和通信定位模块,由主控模块控制,报警模块上连接了扬声器和LED灯,在接收到报警信号时,进行闪烁和发出报警声。手环内部102还设置有运动传感器,包括三轴加速度和电子陀螺仪模块,向主控模块传输数据,主控模块运行手臂振幅检测模型来判断佩戴者是否发生瘫痪。生理数据采集模块由血压脉搏模块检测104和红外测温模块105组成,模块采用无创方式检测佩戴者的血压脉搏和体温,然后通过stm32f103c8的UART1串口发送给主控模块,主控模块将其储存在手环内的数据库中,在主控模块运行脑出血概率预测模型时读取手环上的历史数据作为输入,判断佩戴者发生脑出血的概率是否超过阈值,然后进行预警。In this embodiment, the smart bracelet is used to wear on the wearer's hand, the
更进一步的,所述报警模块包括两种预警方式:第一种,设置在手环本体100上,在紧急情况下可以向智能手环中预设的号码拨打电话,和向急救中心发送佩戴者当前定位和求救信息;第二种,智能手环会发出警报声,手环上的LED灯闪烁。可以理解的,主控模块是智能手环的控制中心,其他模块都和主控模块相连接,提供数据给主控模块,主控模块能获取到的数据包括:血压、脉搏、体温、以及手臂振幅相关数据(三轴加速度、角速度以及角加速度),根据这些数据输入主控模块使用PCA-BP神经网络算法所建立脑出血概率预测模型和手臂振幅检测模型进行脑出血判断,然后控制输出。主控模块的判断具有两套机制:第一、通过获取到的历史生理数据使用脑出血概率预测模型,进行脑出血概率预测,当算法判断出佩戴者的脑出血概率超出预设概率阈值时,主控模块控制报警模块进行警报的相关操作;第二、通过手臂振幅检测模块获取到的三轴加速度、角速度以及角加速度,运行手臂振幅检测模型,判断佩戴者当前是否已经发生瘫痪,如果检测佩戴者发生瘫痪,则控制报警模块,发出警铃并且闪烁LED,如果为误报,佩戴者可主动按手环上的按钮关闭,如果在主控模块预设时间之内,还没有关闭警铃,则判断佩戴者发生脑出血,并向预设的号码报警,拨打急救电话,发送定位信息。主控模块内置在手环本体100中,手臂振幅检测模块、生理信息采集模块、报警模块以及求救模块分别连接到主控模块上,也置于手环外壳的内部,其中生理信息采集模块放置在贴合皮肤的一面,生理信息采集模块中的体温检测模块和血压脉搏检测模块利用红外线测温和PPG光电容积法的原理能够对佩戴者的体温、脉搏和血压数据进行无创检测。Further, the alarm module includes two early warning methods: the first one is set on the
本发明通过PCA-BP神经网络算法建立脑出血概率预测模型和手臂振幅检测模型,并结合脑出血概率预测模型和手臂振幅检测模型对脑出血进行预测,极大程度上提升了对人体脑出血的精准判断。The invention establishes a cerebral hemorrhage probability prediction model and an arm amplitude detection model through the PCA-BP neural network algorithm, and combines the cerebral hemorrhage probability prediction model and the arm amplitude detection model to predict cerebral hemorrhage, which greatly improves the detection of human cerebral hemorrhage. Accurate judgment.
需要说明的是,对于前述的实施例,为了简单描述,故将其都表述为一系列的动作组合,但是本领域技术人员应该知悉,本申请并不受所描述的动作顺序的限制,因为依据本申请,某一些步骤可以采用其他顺序或者同时进行。其次,本领域技术人员也应该知悉,说明书中所描述的实施例属于优选实施例,所涉及的动作并不一定是本申请所必须的。It should be noted that, for the sake of simplicity of description, the foregoing embodiments are described as a series of action combinations, but those skilled in the art should know that the present application is not limited by the described action sequence, because according to In this application, certain steps may be performed in other sequences or simultaneously. Secondly, those skilled in the art should also know that the embodiments described in the specification belong to the preferred embodiments, and the actions involved are not necessarily required by the present application.
此外,术语“连接”、“设置”仅用于描述目的,而不能理解为指示或暗示相对重要性或者隐含指明所指示的技术特征的数量。由此,限定有“连接”、“设置”的特征可以明示或者隐含的包括一个或者更多个该特征。而且,术语“连接”、“设置”等是用于区别类似的对象,而不必用于描述特定的顺序或先后次序。应该理解这样使用的数据在适当情况下可以互换,以便这里描述的本发明的实施例能够以除了在这里图示或描述的那些以外的顺序实施。In addition, the terms "connected" and "arranged" are only used for descriptive purposes, and should not be understood as indicating or implying relative importance or implying the number of indicated technical features. Thus, features defined as "connected" or "arranged" may expressly or implicitly include one or more of such features. Also, the terms "connected," "arranged," and the like are used to distinguish similar objects, and are not necessarily used to describe a particular order or sequence. It is to be understood that the data so used may be interchanged under appropriate circumstances such that the embodiments of the invention described herein can be practiced in sequences other than those illustrated or described herein.
上述实施例中,描述了本发明的基本原理和主要特征和本发明的优点。本行业的技术人员应该了解,本发明不受上述实施例的限制,上述实施例和说明书中描述的只是说明本发明的原理,在不脱离本发明精神和范围的前提下,本领域人员所进行的改动和变化不脱离本发明的精神和范围,则都应在本发明所附权利要求的保护范围内。In the above-described embodiments, the basic principles and main features of the present invention and the advantages of the present invention are described. Those skilled in the art should understand that the present invention is not limited by the above-mentioned embodiments, and the descriptions in the above-mentioned embodiments and the description are only to illustrate the principle of the present invention, without departing from the spirit and scope of the present invention. Modifications and changes without departing from the spirit and scope of the present invention should all fall within the protection scope of the appended claims of the present invention.
| Application Number | Priority Date | Filing Date | Title |
|---|---|---|---|
| CN202210359458.0ACN114795145B (en) | 2022-04-06 | 2022-04-06 | A method and system for predicting cerebral hemorrhage based on PCA-BP neural network |
| Application Number | Priority Date | Filing Date | Title |
|---|---|---|---|
| CN202210359458.0ACN114795145B (en) | 2022-04-06 | 2022-04-06 | A method and system for predicting cerebral hemorrhage based on PCA-BP neural network |
| Publication Number | Publication Date |
|---|---|
| CN114795145Atrue CN114795145A (en) | 2022-07-29 |
| CN114795145B CN114795145B (en) | 2024-11-26 |
| Application Number | Title | Priority Date | Filing Date |
|---|---|---|---|
| CN202210359458.0AActiveCN114795145B (en) | 2022-04-06 | 2022-04-06 | A method and system for predicting cerebral hemorrhage based on PCA-BP neural network |
| Country | Link |
|---|---|
| CN (1) | CN114795145B (en) |
| Publication number | Priority date | Publication date | Assignee | Title |
|---|---|---|---|---|
| CN105167763A (en)* | 2015-08-07 | 2015-12-23 | 巴奥国·德兰 | Health detector |
| CN109741834A (en)* | 2018-11-13 | 2019-05-10 | 安徽乐叟健康产业研究中心有限责任公司 | A monitoring system for stroke patients |
| CN112991320A (en)* | 2021-04-07 | 2021-06-18 | 德州市人民医院 | System and method for predicting hematoma expansion risk of cerebral hemorrhage patient |
| US20220044821A1 (en)* | 2018-12-11 | 2022-02-10 | Cvaid Ltd | Systems and methods for diagnosing a stroke condition |
| CN217186102U (en)* | 2022-04-06 | 2022-08-16 | 四川轻化工大学 | A portable cerebral hemorrhage prediction bracelet |
| Publication number | Priority date | Publication date | Assignee | Title |
|---|---|---|---|---|
| CN105167763A (en)* | 2015-08-07 | 2015-12-23 | 巴奥国·德兰 | Health detector |
| CN109741834A (en)* | 2018-11-13 | 2019-05-10 | 安徽乐叟健康产业研究中心有限责任公司 | A monitoring system for stroke patients |
| US20220044821A1 (en)* | 2018-12-11 | 2022-02-10 | Cvaid Ltd | Systems and methods for diagnosing a stroke condition |
| CN112991320A (en)* | 2021-04-07 | 2021-06-18 | 德州市人民医院 | System and method for predicting hematoma expansion risk of cerebral hemorrhage patient |
| CN217186102U (en)* | 2022-04-06 | 2022-08-16 | 四川轻化工大学 | A portable cerebral hemorrhage prediction bracelet |
| Title |
|---|
| 晁垚等: "一种基于体压分布和PCA-BP 神经网络模型的办公椅舒适度测定方法", 《林业工程学报》, vol. 6, no. 5, 31 December 2021 (2021-12-31), pages 183 - 190* |
| 朱芳梅,丁菊容等: "脑转移瘤静息态脑功能成像研究", 《临床放射学杂志》, vol. 38, no. 4, 31 December 2019 (2019-12-31), pages 583 - 588* |
| Publication number | Publication date |
|---|---|
| CN114795145B (en) | 2024-11-26 |
| Publication | Publication Date | Title |
|---|---|---|
| US9462444B1 (en) | Cloud based collaborative mobile emergency call initiation and handling distribution system | |
| CN207979669U (en) | Vehicle multi-mode formula biological response system | |
| US9390612B2 (en) | Using audio signals in personal emergency response systems | |
| US8007436B2 (en) | Biological information monitoring system | |
| CN111166357A (en) | Fatigue monitoring device system with multi-sensor fusion and monitoring method thereof | |
| KR101320545B1 (en) | Apparatus and method for sensing photoplethysmogram and fall | |
| CN110522426A (en) | Intelligent ship personnel behavior monitoring system based on multiple sensors | |
| EP2264988A1 (en) | Method of detecting a current user activity and environment context of a user of a mobile phone using an accelerator sensor and a microphone, computer program product, and mobile phone | |
| WO2017049628A1 (en) | Devices, systems, and associated methods for evaluating potential stroke condition in subject | |
| CN108944675A (en) | A kind of autonomous vehicle passenger based on external sensor happens suddenly early warning and help-asking system under acute disease situation | |
| JP4783925B2 (en) | Emergency call system | |
| KR101654708B1 (en) | Individual safety System based on wearable Sensor and the method thereof | |
| CN110464315A (en) | It is a kind of merge multisensor the elderly fall down prediction technique and device | |
| CN106388831A (en) | Method for detecting falling actions based on sample weighting algorithm | |
| CN108186034A (en) | A kind of driver fatigue detection device and method of work | |
| CN211484541U (en) | Old person who fuses multisensor falls down prediction device | |
| CN113693601A (en) | Multi-sensing intelligent man-machine interaction method fusing brain waves and physiological signals | |
| Shi et al. | Fall detection system based on inertial mems sensors: Analysis design and realization | |
| CN105232000A (en) | Epilepsy detection device and epilepsy detection method | |
| CN217186102U (en) | A portable cerebral hemorrhage prediction bracelet | |
| CN106650300A (en) | Old person monitoring system and method based on extreme learning machine | |
| WO2022232992A1 (en) | System and method for determining risk of stroke for person | |
| CN111904400A (en) | Electronic wrist strap | |
| CN114795145A (en) | A prediction method and system for intracerebral hemorrhage based on PCA-BP neural network | |
| CN107569219A (en) | A kind of life sign monitor system |
| Date | Code | Title | Description |
|---|---|---|---|
| PB01 | Publication | ||
| PB01 | Publication | ||
| SE01 | Entry into force of request for substantive examination | ||
| SE01 | Entry into force of request for substantive examination | ||
| GR01 | Patent grant | ||
| GR01 | Patent grant |