


技术领域technical field
本发明涉及无线移动通信技术领域,尤其涉及一种基于NFV的网络资源配置方法、装置、终端设备及计算机可读存储介质。The present invention relates to the technical field of wireless mobile communication, and in particular, to an NFV-based network resource configuration method, apparatus, terminal device and computer-readable storage medium.
背景技术Background technique
随着通信技术的迅速发展,防火墙、负载均衡器、路由器等传统的网络功能通过网络功能虚拟化(Network Functions Virtualization,简称NFV)的概念被打包为“虚拟网络功能(Virtual network functions,简称VNFs)”,运行在商用硬件上的虚拟机(VMs)中。多个VNFs可以安装在一个标准的x86服务器上,由一个hypervisor(又称虚拟机监视器)监控和控制。NFV可以加快业务部署速度,灵活管理网络业务,还有助于简化和加快添加新的网络功能或服务的过程。With the rapid development of communication technology, traditional network functions such as firewalls, load balancers, and routers have been packaged as "Virtual network functions (VNFs)" through the concept of Network Functions Virtualization (NFV). , running in virtual machines (VMs) on commodity hardware. Multiple VNFs can be installed on a standard x86 server, monitored and controlled by a hypervisor (aka virtual machine monitor). NFV can speed up business deployment, flexibly manage network business, and also help simplify and speed up the process of adding new network functions or services.
但是,现阶段的研究大多数从业务强求的动态化来实现网络资源的分配,即仅仅采用简单方法预测的网络未来负载状态来分配资源,这种网络资源分配方法一旦系统出现网络流量过载,为了保证业务可靠性,系统会开始启动数据重定向,以实现数据快速迁移,导致VNF(Virtual Network Feature,虚拟网络功能)频繁迁移,占用大量计算资源和存储资源。However, most of the research at this stage realizes the allocation of network resources from the dynamism of business requirements, that is, only the future load state of the network predicted by a simple method is used to allocate resources. This kind of network resource allocation method once the system is overloaded with network traffic, in order to To ensure service reliability, the system will start data redirection to realize rapid data migration, resulting in frequent migration of VNFs (Virtual Network Feature, virtual network function), occupying a lot of computing resources and storage resources.
发明内容SUMMARY OF THE INVENTION
本发明实施例提供一种基于NFV的网络资源配置方法、装置、终端设备以及计算机可读存储介质,能够有效降低服务器流量负载,减少VNF网元的迁移频次,从而减少计算资源和存储资源的占用空间。Embodiments of the present invention provide an NFV-based network resource configuration method, device, terminal device, and computer-readable storage medium, which can effectively reduce server traffic load, reduce the migration frequency of VNF network elements, and thus reduce the occupation of computing resources and storage resources. space.
本发明实施例提供了一种基于NFV的网络资源配置方法,包括:An embodiment of the present invention provides an NFV-based network resource configuration method, including:
采集当前服务器NFV网元的第一流量时序数据;其中,所述第一流量时序数据包括所述NFV网元在不同时刻的流量值;Collect the first traffic time series data of the current server NFV network element; wherein, the first traffic time series data includes the traffic values of the NFV network element at different times;
通过变分自编码器对所述第一流量时序数据进行预处理,得到第二流量时序数据;Preprocessing the first flow time series data by a variational autoencoder to obtain second flow time series data;
基于自回归模型、多假设预测残差重构算法和所述第二流量时序数据,得到第三流量时序数据;obtaining third traffic time series data based on the autoregressive model, the multi-hypothesis prediction residual reconstruction algorithm, and the second traffic time series data;
通过所述第三流量时序数据对预先构建的长短期记忆神经网络进行训练,得到训练好的长短期记忆神经网络;The pre-built long-term and short-term memory neural network is trained through the third traffic time series data to obtain a trained long-term and short-term memory neural network;
通过所述训练好的长短期记忆神经网络对未来预设时长内所述NFV网元的流量值进行预测,得到所述NFV网元的流量预测值;Predict the traffic value of the NFV network element within a preset time period in the future by using the trained long short-term memory neural network to obtain the traffic predicted value of the NFV network element;
根据所述流量预测值和预先设定的流量安全值,对当前所述服务器的NFV网元进行配置。The NFV network element of the current server is configured according to the traffic prediction value and the preset traffic security value.
作为上述方案的改进,所述通过变分自编码器对所述第一流量时序数据进行预处理,得到第二流量时序数据,包括:As an improvement of the above solution, the first traffic time series data is preprocessed by a variational autoencoder to obtain second traffic time series data, including:
通过所述变分自编码器的编码器对所述第一流量时序数据进行特征提取,得到隐变量数据集;Perform feature extraction on the first traffic time series data by using the encoder of the variational autoencoder to obtain a latent variable data set;
通过所述变分自编码器的解码器对所述隐变量数据集进行解码,得到第二流量时序数据。The latent variable data set is decoded by the decoder of the variational autoencoder to obtain second traffic time series data.
作为上述方案的改进,所述基于自回归模型、多假设预测残差重构算法和所述第二流量时序数据,得到第三流量时序数据,包括:As an improvement of the above solution, the third traffic time series data is obtained based on the autoregressive model, the multi-hypothesis prediction residual reconstruction algorithm and the second traffic time series data, including:
基于自回归模型和所述第二流量时序数据对不同时刻的流量值进行预测,得到预测的流量时序数据;Predicting traffic values at different times based on the autoregressive model and the second traffic time series data to obtain predicted traffic time series data;
根据所述第二流量时序数据和所述预测的流量时序数据,得到流量残差时序数据;obtaining traffic residual time series data according to the second traffic time series data and the predicted traffic time series data;
基于多假设预测残差重构算法对所述流量残差时序数据进行残差重构,得到重构后的流量残差时序数据;Performing residual reconstruction on the traffic residual time series data based on a multi-hypothesis prediction residual reconstruction algorithm to obtain reconstructed traffic residual time series data;
根据所述重构后的流量残差时序数据和所述预测的流量时序数据,得到第三流量时序数据。According to the reconstructed traffic residual time series data and the predicted traffic time series data, third traffic time series data are obtained.
作为上述方案的改进,所述基于自回归模型和所述第二流量时序数据对不同时刻的流量值进行预测,得到预测的流量时序数据,包括:As an improvement of the above solution, the traffic values at different times are predicted based on the autoregressive model and the second traffic time series data to obtain the predicted traffic time series data, including:
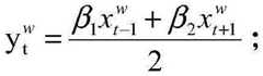
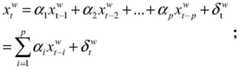
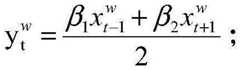
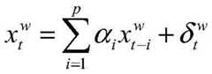
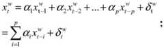
根据以下公式对不同时刻的流量值进行预测,得到预测的流量时序数据:Predict the traffic values at different times according to the following formula to obtain the predicted traffic time series data:
其中,为第二流量时序数据,为t时刻的流量值,p为自回归模型的阶数,w为服务器的流量使用情况特征,α为系数项,为白噪声,β1为第一权重,β2为第二权重,为t时刻的流量预测值,为预测的流量时序数据。in, is the second traffic time series data, is the traffic value at time t, p is the order of the autoregressive model, w is the traffic usage characteristics of the server, α is the coefficient term, is white noise, β1 is the first weight, β2 is the second weight, is the flow forecast value at time t, is the predicted traffic time series data.
作为上述方案的改进,所述根据所述流量预测值和预先设定的流量安全值,对当前所述服务器的NFV网元进行配置,具体为:As an improvement of the above solution, the NFV network element of the current server is configured according to the traffic forecast value and the preset traffic security value, specifically:
计算所述流量预测值和预先设定的流量安全值的差值,当所述差值大于0时,将所述NFV网元从当前服务器迁出至满足所述NFV网元流量需求的服务器。Calculate the difference between the traffic prediction value and the preset traffic safety value, and when the difference is greater than 0, migrate the NFV network element from the current server to a server that meets the traffic requirements of the NFV network element.
相应地,本发明另一实施例提供一种基于NFV的网络资源配置装置,包括:Correspondingly, another embodiment of the present invention provides an NFV-based network resource configuration device, including:
数据采集模块,用于采集当前服务器NFV网元的第一流量时序数据;其中,所述第一流量时序数据包括所述NFV网元在不同时刻的流量值;a data collection module, configured to collect the first traffic sequence data of the current server NFV network element; wherein the first traffic sequence data includes the traffic values of the NFV network element at different times;
数据预处理模块,用于通过变分自编码器对所述第一流量时序数据进行预处理,得到第二流量时序数据;a data preprocessing module, configured to preprocess the first flow time series data through a variational autoencoder to obtain second flow time series data;
数据重构模块,用于基于自回归模型、多假设预测残差重构算法和所述第二流量时序数据,得到第三流量时序数据;a data reconstruction module, configured to obtain third traffic time series data based on the autoregressive model, the multi-hypothesis prediction residual reconstruction algorithm and the second traffic time series data;
模型训练模块,用于通过所述第三流量时序数据对预先构建的长短期记忆神经网络进行训练,得到训练好的长短期记忆神经网络;a model training module, used for training the pre-built long-term and short-term memory neural network by using the third traffic time series data to obtain a trained long-term and short-term memory neural network;
流量预测模块,用于通过所述训练好的长短期记忆神经网络对未来预设时长内所述NFV网元的流量值进行预测,得到所述NFV网元的流量预测值;A traffic prediction module, configured to predict the traffic value of the NFV network element within a preset time period in the future through the trained long short-term memory neural network, to obtain the traffic predicted value of the NFV network element;
资源配置模块,用于根据所述流量预测值和预先设定的流量安全值,对当前所述服务器的NFV网元进行配置。The resource configuration module is configured to configure the current NFV network element of the server according to the traffic forecast value and the preset traffic security value.
作为上述方案的改进,所述数据预处理模块,包括:As an improvement of the above scheme, the data preprocessing module includes:
编码单元,用于通过所述变分自编码器的编码器对所述第一流量时序数据进行特征提取,得到隐变量数据集;an encoding unit, configured to perform feature extraction on the first traffic time series data through an encoder of the variational autoencoder to obtain a latent variable data set;
解码单元,用于通过所述变分自编码器的解码器对所述隐变量数据集进行解码,得到第二流量时序数据。A decoding unit, configured to decode the latent variable data set through the decoder of the variational autoencoder to obtain second traffic time series data.
作为上述方案的改进,所述数据重构模块,包括:As an improvement of the above scheme, the data reconstruction module includes:
流量预测单元,用于基于自回归模型和所述第二流量时序数据对不同时刻的流量值进行预测,得到预测的流量时序数据;A flow prediction unit, configured to predict flow values at different times based on the autoregressive model and the second flow time series data, to obtain predicted flow time series data;
残差计算单元,用于根据所述第二流量时序数据和所述预测的流量时序数据,得到流量残差时序数据;a residual calculation unit, configured to obtain traffic residual time series data according to the second traffic time series data and the predicted traffic time series data;
残差重构单元,用于基于多假设预测残差重构算法对所述流量残差时序数据进行残差重构,得到重构后的流量残差时序数据;a residual reconstruction unit, configured to perform residual reconstruction on the traffic residual time series data based on a multi-hypothesis prediction residual reconstruction algorithm, to obtain reconstructed traffic residual time series data;
流量重构单元,用于根据所述重构后的流量残差时序数据和所述预测的流量时序数据,得到第三流量时序数据。A traffic reconstruction unit, configured to obtain third traffic time series data according to the reconstructed traffic residual time series data and the predicted traffic time series data.
本发明另一实施例提供一种终端设备,包括处理器、存储器以及存储在所述存储器中且被配置为由所述处理器执行的计算机程序,所述处理器执行所述计算机程序时实现如上任意一项所述的基于NFV的网络资源配置方法。Another embodiment of the present invention provides a terminal device, including a processor, a memory, and a computer program stored in the memory and configured to be executed by the processor, where the processor implements the above when executing the computer program Any one of the NFV-based network resource configuration methods.
本发明另一实施例提供一种计算机可读存储介质,所述计算机可读存储介质包括存储的计算机程序,其中,在所述计算机程序运行时控制所述计算机可读存储介质所在设备执行如上任意一项所述的基于NFV的网络资源配置方法。Another embodiment of the present invention provides a computer-readable storage medium, where the computer-readable storage medium includes a stored computer program, wherein when the computer program runs, the device where the computer-readable storage medium is located is controlled to execute any of the above The one described NFV-based network resource configuration method.
与现有技术相比,本发明具有如下有益效果:Compared with the prior art, the present invention has the following beneficial effects:
本发明首先通过变分自编码器对采集到的当前服务器NFV网元的第一流量时序数据进行预处理,能够使模糊、不一致、带噪声的流量数据变得平滑,提高数据质量;其次,基于自回归模型和多假设预测残差重构算法对变分自编码器输出的第二流量时序数据进行多次校正与迭代,从而形成合理有效的第三流量时序数据;然后,通过所述第三流量时序数据对预先构建的长短期记忆神经网络进行训练,得到训练好的长短期记忆神经网络,并通过所述训练好的长短期记忆神经网络对未来预设时长内所述NFV网元的流量值进行自动预测,得到所述NFV网元的流量预测值;最后,根据所述流量预测值和预先设定的流量安全值判断当前流量分配的准确性和合理性,自动对当前所述服务器的NFV网元进行优化配置,以实现将流量负载较大部分的NFV网元迁出当前服务器,有效降低服务器流量负载,减少由于业务请求动态变化引起的VNF网元的迁移频次,从而减少计算资源和存储资源的占用空间,提高系统性能,减少用户使用的业务时延。The present invention firstly preprocesses the collected first traffic time series data of the current server NFV network element through the variational autoencoder, which can smooth the ambiguous, inconsistent and noisy traffic data and improve the data quality; The autoregressive model and the multi-hypothesis prediction residual reconstruction algorithm perform multiple corrections and iterations on the second traffic time series data output by the variational autoencoder, thereby forming reasonable and effective third traffic time series data; The traffic time series data trains the pre-built long-term and short-term memory neural network to obtain a trained long-term and short-term memory neural network, and through the trained long-term and short-term memory neural network, the traffic of the NFV network element within the preset time period in the future is calculated. The traffic prediction value of the NFV network element is obtained; finally, the accuracy and rationality of the current traffic distribution are judged according to the traffic prediction value and the preset traffic safety value, and the current traffic distribution of the server is automatically adjusted. Optimize the configuration of NFV network elements to migrate the NFV network elements with a large traffic load out of the current server, effectively reduce the server traffic load, and reduce the migration frequency of VNF network elements caused by dynamic changes in service requests, thereby reducing computing resources and The space occupied by storage resources improves system performance and reduces service delays used by users.
附图说明Description of drawings
图1是本发明实施例提供的一种基于NFV的网络资源配置方法的流程示意图;1 is a schematic flowchart of an NFV-based network resource configuration method provided by an embodiment of the present invention;
图2是本发明实施例提供的一种基于NFV的网络资源配置装置的结构框图;2 is a structural block diagram of an NFV-based network resource configuration apparatus provided by an embodiment of the present invention;
图3是本发明实施例提供的一种终端设备的结构框图。FIG. 3 is a structural block diagram of a terminal device provided by an embodiment of the present invention.
具体实施方式Detailed ways
下面将结合本发明实施例中的附图,对本发明实施例中的技术方案进行清楚、完整地描述,显然,所描述的实施例仅仅是本发明一部分实施例,而不是全部的实施例。基于本发明中的实施例,本领域普通技术人员在没有作出创造性劳动前提下所获得的所有其他实施例,都属于本发明保护的范围。The technical solutions in the embodiments of the present invention will be clearly and completely described below with reference to the accompanying drawings in the embodiments of the present invention. Obviously, the described embodiments are only a part of the embodiments of the present invention, but not all of the embodiments. Based on the embodiments of the present invention, all other embodiments obtained by those of ordinary skill in the art without creative efforts shall fall within the protection scope of the present invention.
参见图1,图1是本发明实施例提供的一种基于NFV的网络资源配置方法的流程示意图。Referring to FIG. 1, FIG. 1 is a schematic flowchart of an NFV-based network resource configuration method provided by an embodiment of the present invention.
本发明实施例提供的基于NFV的网络资源配置方法,包括步骤:The NFV-based network resource configuration method provided by the embodiment of the present invention includes the steps:
S11、采集当前服务器NFV网元的第一流量时序数据;其中,所述第一流量时序数据包括所述NFV网元在不同时刻的流量值;S11. Collect the first traffic sequence data of the current server NFV network element; wherein, the first traffic sequence data includes the traffic values of the NFV network element at different times;
S12、通过变分自编码器对所述第一流量时序数据进行预处理,得到第二流量时序数据;S12, performing preprocessing on the first flow time series data by using a variational autoencoder to obtain second flow time series data;
S13、基于自回归模型、多假设预测残差重构算法和所述第二流量时序数据,得到第三流量时序数据;S13, obtaining third traffic time series data based on the autoregressive model, the multi-hypothesis prediction residual reconstruction algorithm, and the second traffic time series data;
S14、通过所述第三流量时序数据对预先构建的长短期记忆神经网络进行训练,得到训练好的长短期记忆神经网络;S14, training the pre-built long-term and short-term memory neural network through the third traffic time series data to obtain a trained long-term and short-term memory neural network;
S15、通过所述训练好的长短期记忆神经网络对未来预设时长内所述NFV网元的流量值进行预测,得到所述NFV网元的流量预测值;S15, predicting the traffic value of the NFV network element within a preset time period in the future by using the trained long short-term memory neural network, to obtain the traffic prediction value of the NFV network element;
S16、根据所述流量预测值和预先设定的流量安全值,对当前所述服务器的NFV网元进行配置。S16. Configure the current NFV network element of the server according to the traffic prediction value and the preset traffic security value.
优选地,在步骤S11中,通过连续的X采样采集当前服务器NFV网元的第一流量时序数据。Preferably, in step S11, the first traffic sequence data of the current server NFV network element is collected through continuous X sampling.
具体地,在所述步骤S12中,所述通过变分自编码器对所述第一流量时序数据进行预处理,得到第二流量时序数据,包括:Specifically, in the step S12, the variational autoencoder is used to preprocess the first traffic time series data to obtain the second traffic time series data, including:
通过所述变分自编码器的编码器对所述第一流量时序数据进行特征提取,得到隐变量数据集;Perform feature extraction on the first traffic time series data by using the encoder of the variational autoencoder to obtain a latent variable data set;
通过所述变分自编码器的解码器对所述隐变量数据集进行解码,得到第二流量时序数据。The latent variable data set is decoded by the decoder of the variational autoencoder to obtain second traffic time series data.
需要说明,假设采集的流量数据是随机生成的,且包含一个不可见的、连续随机的隐变量z,那么流量数据的样本生成过程主要包含两部分:一方面,从先验概率分布pθ(z)中随机采样生成连续随机的隐变量z(i);另一方面,从条件概率分布pθ(x|z)中采样生成流量数据样本xi,但是,该流量数据的样本生成过程大部分都是隐藏的且难以求取。因此,需要构建后验概率分布qφ(z|x)来近似pθ(x|z);其中,z~q(z|x)=N(μ;σ2),z=μ+σε,ε~N(0,1),N(μ;σ2)为均值为μ和方差为σ2的正态分布。It should be noted that, assuming that the collected traffic data is randomly generated and contains an invisible, continuous random latent variable z, the sample generation process of traffic data mainly includes two parts: on the one hand, from the prior probability distribution pθ ( z), the continuous random latent variable z(i) is generated by random sampling; on the other hand, the flow data samplexi is generated by sampling from the conditional probability distribution pθ (x|z), but the sample generation process of the flow data is large. Parts are hidden and difficult to obtain. Therefore, a posterior probability distribution qφ (z|x) needs to be constructed to approximate pθ (x|z); where z~q(z|x)=N(μ;σ2 ), z=μ+σε, ε~N(0,1), N(μ;σ2 ) is a normal distribution with mean μ and variance σ2 .
可以理解,后验概率分布qφ(z|x)对应于变分自编码器的encoder神经网络(即编码器),且满足多元混合高斯,通过第一神经网络f1,和第二神经网络f2分别估计采集的第一流量时序数据对应的隐变量分布的均值μ和方差σ2,μ(i)=f1(x(i)),log([σ2(i)])=f2(x(i));利用重参数化技巧从隐变量分布的均值和方差中采样确定的隐变量z(i),z(i,l)~qφ(z|x(i)),z(i,l)=μ(i)+σ(i)°ε(l);其中,ε(l)为第l次采样的高斯噪声;通过decoder神经网络(即解码器)生成条件概率分布pθ(x|z),从而将隐变量重构为原始数据,得到重构数据,即第二流量时序数据;其中,先验概率分布pθ(z)满足多元高斯正态分布模型,即pθ(z)~Ν(z;0,I),所以可得pθ(x(i)|z)~N(f(z(i)),cI),其中,f为第三神经网络,c为大于零的常数。I为高斯正态分布的协方差。It can be understood that the posterior probability distribution qφ (z|x) corresponds to the encoder neural network (ie the encoder) of the variational autoencoder, and satisfies the multivariate mixture Gaussian, through the first neural network f1 , and the second neural network f2 respectively estimates the mean value μ and variance σ2 of the latent variable distribution corresponding to the collected first flow time series data, μ(i) =f1 (x(i) ), log([σ2(i) ])=f2 (x(i) ); latent variables z(i) , z(i,l) ~ qφ (z|x(i) ), determined by sampling from the mean and variance of the latent variable distribution using the reparameterization technique, z(i,l) = μ(i) +σ(i) °ε(l) ; where, ε(l) is the Gaussian noise of the lth sampling; the conditional probability distribution is generated by the decoder neural network (ie the decoder) pθ (x|z), so that the latent variables are reconstructed into the original data to obtain the reconstructed data, that is, the second traffic time series data; wherein, the prior probability distribution pθ (z) satisfies the multivariate Gaussian normal distribution model, that is, pθ (z)~N(z; 0,I), so pθ (x(i) |z)~N(f(z(i) ),cI) can be obtained, where f is the third neural network , and c is a constant greater than zero. I is the covariance of a Gaussian normal distribution.
具体地,所述后验概率分布qφ(z|x)满足以下公式:Specifically, the posterior probability distribution qφ (z|x) satisfies the following formula:
logqφ(z|x(i))=logN(z;μ(i),σ2(i)I);logqφ (z|x(i) )=logN(z; μ(i) ,σ2(i) I);
其中,x(i)为第一流量时序数据中的第i个流量样本,z为隐变量,μ(i)为第i个流量样本对应的隐变量分布的均值,σ2(i)为第i个流量样本对应的隐变量分布的方差,I为高斯正态分布的协方差,i为样本序号。Among them, x(i) is the ith traffic sample in the first traffic time series data, z is the latent variable, μ(i) is the mean value of the hidden variable distribution corresponding to the ith traffic sample, and σ2(i) is the ith traffic sample. The variance of the latent variable distribution corresponding to the i traffic samples, I is the covariance of the Gaussian normal distribution, and i is the sample number.
具体地,所述变分自编码器的损失函数L(θ,φ;x(i))为:Specifically, the loss function L(θ,φ; x(i) ) of the variational autoencoder is:
其中,qφ(z|x(i))为后验概率分布,pθ(z)为先验概率分布,pθ(x|z)为条件概率分布,φ为代表先验概率分布的参数,θ为代表后验概率分布的参数,DKL(qφ(z|x(i))|pθ(z))为K-L散度,为重构损失。Among them, qφ (z|x(i) ) is the posterior probability distribution, pθ (z) is the prior probability distribution, pθ (x|z) is the conditional probability distribution, and φ is the parameter representing the prior probability distribution , θ is the parameter representing the posterior probability distribution, DKL (qφ (z|x(i) )|pθ (z)) is the KL divergence, is the reconstruction loss.
可以理解,DKL(qφ(z|x(i))|pθ(z))是为了衡量先验概率分布pθ(z)与后验概率分布qφ(z|x)近似程度,的目的是让生成的数据与输入的原始数据尽可能相近。It can be understood that DKL (qφ (z|x(i) )|pθ (z)) is to measure the approximation of the prior probability distribution pθ (z) and the posterior probability distribution qφ (z|x), The purpose is to make the generated data as close as possible to the original input data.
作为其中一个可选的实施例,所述步骤S13,包括:As an optional embodiment, the step S13 includes:
基于自回归模型和所述第二流量时序数据对不同时刻的流量值进行预测,得到预测的流量时序数据;Predicting traffic values at different times based on the autoregressive model and the second traffic time series data to obtain predicted traffic time series data;
根据所述第二流量时序数据和所述预测的流量时序数据,得到流量残差时序数据;obtaining traffic residual time series data according to the second traffic time series data and the predicted traffic time series data;
基于多假设预测残差重构算法对所述流量残差时序数据进行残差重构,得到重构后的流量残差时序数据;Performing residual reconstruction on the traffic residual time series data based on a multi-hypothesis prediction residual reconstruction algorithm to obtain reconstructed traffic residual time series data;
根据所述重构后的流量残差时序数据和所述预测的流量时序数据,得到第三流量时序数据。According to the reconstructed traffic residual time series data and the predicted traffic time series data, third traffic time series data are obtained.
在一些更优的实施例中,所述基于自回归模型和所述第二流量时序数据对不同时刻的流量值进行预测,得到预测的流量时序数据,包括:In some more preferred embodiments, the traffic value at different times is predicted based on the autoregressive model and the second traffic time series data to obtain the predicted traffic time series data, including:
根据以下公式对不同时刻的流量值进行预测,得到预测的流量时序数据:Predict the traffic values at different times according to the following formula to obtain the predicted traffic time series data:
其中,为第二流量时序数据,为t时刻的流量值,p为自回归模型的阶数,w为服务器的流量使用情况特征,α为系数项,为白噪声,β1为第一权重,β2为第二权重,为t时刻的流量预测值,为预测的流量时序数据。in, is the second traffic time series data, is the traffic value at time t, p is the order of the autoregressive model, w is the traffic usage characteristics of the server, α is the coefficient term, is white noise, β1 is the first weight, β2 is the second weight, is the flow forecast value at time t, is the predicted traffic time series data.
可以理解,所述基于自回归模型和所述第二流量时序数据对不同时刻的流量值进行预测,其实质是采用自回归方法对t-1和t+1时刻的流量进行预测,结合t-1和t+1时刻的流量预测值对t时刻的流量值进行流量预测。自回归是统计上处理时间序列的方法,一个变量的未来趋势通常采用其他变量的关系来预测。是使用数据本身的多个时刻之前的流量值来回归,p为自回归模型的阶数,记作AR(p)。It can be understood that the prediction of the flow value at different times based on the autoregressive model and the second flow time series data is essentially to use the autoregressive method to predict the flow at times t-1 and t+1, combined with t- The flow prediction values at time 1 and t+1 perform flow prediction on the flow value at time t. Autoregression is a statistical method of dealing with time series, where the future trend of one variable is usually predicted using the relationship of other variables. is to use the flow value of the data itself before multiple times to regress, p is the order of the autoregressive model, and is recorded as AR(p).
具体地,所述根据所述第二流量时序数据和所述预测的流量时序数据,得到流量残差时序数据,具体为:Specifically, obtaining traffic residual time series data according to the second traffic time series data and the predicted traffic time series data, specifically:
计算所述第二流量时序数据与所述预测的流量时序数据在每一时刻的流量差值,得到流量残差时序数据。Calculate the traffic difference at each moment between the second traffic time series data and the predicted traffic time series data to obtain traffic residual time series data.
需要说明,残差在数理统计中为实际观察值与估计值(拟合值)之间的差,流量残差即第二流量时序数据中的实际观察到的流量值与所述预测的流量时序数据中对应的流量预测值的差。It should be noted that the residual is the difference between the actual observed value and the estimated value (fitted value) in mathematical statistics, and the flow residual is the actual observed flow value in the second flow time series data and the predicted flow time series. The difference between the corresponding traffic forecasts in the data.
在一个具体的实施方式中,所述根据所述重构后的流量残差时序数据和所述预测的流量时序数据,得到第三流量时序数据,具体为:In a specific embodiment, the third traffic time series data is obtained according to the reconstructed traffic residual time series data and the predicted traffic time series data, specifically:
计算所述重构后的流量残差时序数据与所述预测的流量时序数据在每一时刻的数据和值,得到第三流量时序数据。Calculate the data sum of the reconstructed traffic residual time series data and the predicted traffic time series data at each moment to obtain third traffic time series data.
可以理解,将所述重构后的流量残差时序数据在t时刻的流量残差与所述预测的流量时序数据在t时刻的流量预测值的和值,作为t时刻的流量值,以得到第三流量时序数据。It can be understood that the sum of the traffic residual of the reconstructed traffic residual time series data at time t and the traffic predicted value of the predicted traffic time series data at time t is taken as the traffic value at time t to obtain The third traffic time series data.
值得说明的是,相较于其余的神经网络算法,长短期记忆神经网络面对时间序列敏感的问题和任务比较合适,有一定的记忆效应,能学习并长期保存信息,同时也能解决梯度反转过程由于逐步缩减而产生的梯度消失问题。本发明使用有状态LSTM网络存储前一个时刻的服务器负载情况,并使用它生成未来预测。首先,对预先构建的长短期记忆神经网络(LSTM)进行训练,结合历史数据训练神经网络的遗忘门、输入门、输出门,计算单元状态权值矩阵和偏置项,通过误差反传,令网络预测的误差不断缩小,最后使得LSTM能够相对准确地预测某一个时刻服务器负载。It is worth noting that, compared with other neural network algorithms, long-short-term memory neural networks are more suitable for time series-sensitive problems and tasks. They have a certain memory effect, can learn and store information for a long time, and can also solve the gradient reaction The gradient vanishing problem caused by the gradual reduction of the transfer process. The present invention uses a stateful LSTM network to store the server load situation at the previous moment, and uses it to generate future predictions. First, train the pre-built long short-term memory neural network (LSTM), train the forget gate, input gate, and output gate of the neural network with historical data, calculate the unit state weight matrix and bias term, and pass the error back to make The error of the network prediction is continuously reduced, and finally the LSTM can relatively accurately predict the server load at a certain moment.
在步骤S14中,通过所述第三流量时序数据对预先构建的长短期记忆神经网络进行训练时,需要按照预设的比例将所述第三流量时序数据划分为训练数据集和测试数据集。优选地,采用80%的第三流量时序数据作为训练数据集,其余20%作为测试数据集。In step S14, when training the pre-built long short-term memory neural network by using the third traffic time series data, the third traffic time series data needs to be divided into a training data set and a test data set according to a preset ratio. Preferably, 80% of the third traffic time series data is used as the training data set, and the remaining 20% is used as the test data set.
具体地,所述长短期记忆神经网络包括:遗忘门、输入门和输出门;Specifically, the long short-term memory neural network includes: a forget gate, an input gate and an output gate;
所述遗忘门ft表示为:ft=σ(Wf·[Ht-1,Xt]+bf);The forgetting gate ft is expressed as: ft =σ(Wf ·[Ht-1 ,Xt ]+bf );
所述输入门It表示为:It=σ(WI·[Ht-1,Xt]+bI);The input gate It is expressed as: It =σ(WI ·[Ht-1 ,Xt ]+bI );
所述输出门Ο表示为:Ο=σ(Wo·[Ht-1,Xt]+bΟ);The output gate Ο is expressed as: Ο=σ(Wo ·[Ht-1 , Xt ]+bΟ );
所述长短期记忆神经网络的输入节点表示为:The input nodes of the long short-term memory neural network Expressed as:
所述长短期记忆神经网络的单元状态Ct表示为:The unit state Ct of the long short-term memory neural network is expressed as:
其中,tanh为激活函数,σ为sigmoid激活函数,Ht-1为上一个时刻服务器负载情况,Xt为当前服务器行为性情况,[Ht-1,Xt]表示把两个向量连接成一个更长的向量,Wf为遗忘门权重,bf为遗忘门偏移量,WI为输入门sigmoid层权重,bI为输入门sigmoid层偏移量,WG为输入门tanh层权重,bG为输入门tanh层偏移量,Wo为输出门sigmoid层权重,bo为输出门sigmoid层偏移量,Ct-1为t-1时刻的单元状态。Among them, tanh is the activation function, σ is the sigmoid activation function, Ht-1 is the server load at the previous moment, Xt is the current server behavior, [Ht-1 , Xt ] means that the two vectors are connected as A longer vector, Wf is the forget gate weight, bf is the forget gate offset, WI is the input gate sigmoid layer weight, bI is the input gate sigmoid layer offset, WG is the input gate tanh layer weight , bG is the input gate tanh layer offset, Wo is the output gate sigmoid layer weight, bo is the output gate sigmoid layer offset, and Ct-1 is the unit state at time t-1.
优选地,所述NFV网元的流量预测值Ht为:Ht=Ο*tanh(Ct)。Preferably, the flow prediction value Ht of the NFV network element is: Ht =O*tanh(Ct ).
需要说明,遗忘门决定了上一个单元状态有多少保留到当前时刻,输入门决定当前时刻网络的输入有多少保留到单元状态。LSTM神经网络通过两个激活层,即sigmoid(输入门层)和tanh(双曲正切层)来决定当前的重构数据输入值。输入门层输出It值为1或0,表示将更新和tanh层输出,生成一个新的候选值单元状态。在LSTM神经网络训练过程中,需要将当前输入状态和上一个单元状态组合在一起,形成新的单元状态,由于遗忘门的控制,它可以保存很久之前的信息,由于输入门的控制,它又可以避免当前无关紧要的内容进入记忆。最后,输出门基于当前单元格状态预测出服务器负载情况,通过sigmoid(输入门层)和tanh(双曲正切层),决定计算单元状态哪些部分,得到未来一段时间服务器的流量预测结果。It should be noted that the forget gate determines how much of the previous unit state is retained to the current moment, and the input gate determines how much of the network's input at the current moment is retained to the unit state. The LSTM neural network determines the current input value of the reconstructed data through two activation layers, sigmoid (input gate layer) and tanh (hyperbolic tangent layer). The input gate layer output It value is 1 or 0, indicating that the output of thetanh layer and the tanh layer will be updated, Generates a new candidate value unit state. In the LSTM neural network training process, the current input state and the previous unit state need to be combined to form a new unit state. Due to the control of the forget gate, it can save the information from a long time ago. Due to the control of the input gate, it can You can avoid current irrelevant content from entering memory. Finally, the output gate predicts the server load based on the current cell state, and determines which parts of the cell state to calculate through the sigmoid (input gate layer) and tanh (hyperbolic tangent layer), and obtains the server traffic forecast result for a period of time in the future.
进一步地,在步骤S16中,所述根据所述流量预测值和预先设定的流量安全值,对当前所述服务器的NFV网元进行配置,具体为:Further, in step S16, the NFV network element of the current server is configured according to the traffic forecast value and the preset traffic security value, specifically:
计算所述流量预测值和预先设定的流量安全值的差值,当所述差值大于0时,将所述NFV网元从当前服务器迁出至满足所述NFV网元流量需求的服务器。Calculate the difference between the traffic prediction value and the preset traffic safety value, and when the difference is greater than 0, migrate the NFV network element from the current server to a server that meets the traffic requirements of the NFV network element.
值得说明的是,本发明以各服务器的历史访问流量为基础,能够自动对服务器的流量负载进行智能预测与动态分配,保障流量分配合理,降低运维难度,避免资源浪费。在算法实现上,针对服务器访问流量具有自相似性、多分性、连续性等特点,首先设计了变分自编码器对数据进行预处理,使用自回归模型和多假设预测残差重构算法,多次校正与迭代来复原流量残差,形成各服务器的历史流量数据集。然后使用长期短期记忆神经网络(LSTM),输入服务器历史流量使用情况,自动预测并设定服务器未来负载。同时,为提高流量分配的准确性与合理性,自动对流量预测值与预设的流量安全值进行判别,从而将流量负载较大部分NFV网元迁出,有效降低服务器流量负载,减少由于业务请求动态变化引起的VNF网元的迁移频次,从而减少计算资源和存储资源的占用空间,提高系统性能,减少用户使用的业务时延。It is worth noting that based on the historical access traffic of each server, the present invention can automatically predict and dynamically allocate the traffic load of the server, ensure reasonable traffic distribution, reduce operation and maintenance difficulty, and avoid resource waste. In terms of algorithm implementation, in view of the characteristics of self-similarity, multi-division and continuity of server access traffic, a variational auto-encoder is first designed to preprocess the data, and an auto-regressive model and a multi-hypothesis prediction residual reconstruction algorithm are used. Multiple corrections and iterations are performed to restore the traffic residuals to form historical traffic data sets for each server. Then, using a long-term short-term memory neural network (LSTM), the historical traffic usage of the server is input, and the future load of the server is automatically predicted and set. At the same time, in order to improve the accuracy and rationality of traffic distribution, it automatically discriminates between the predicted traffic value and the preset traffic safety value, so that some NFV network elements with large traffic load are migrated out, which effectively reduces the server traffic load and reduces the amount of traffic caused by services. Request the migration frequency of VNF network elements caused by dynamic changes, thereby reducing the occupied space of computing resources and storage resources, improving system performance, and reducing service delays used by users.
参见图2,是本发明实施例提供的一种基于NFV的网络资源配置装置的结构框图。Referring to FIG. 2 , it is a structural block diagram of an NFV-based network resource configuration apparatus provided by an embodiment of the present invention.
本发明实施例提供的基于NFV的网络资源配置装置,包括:The NFV-based network resource configuration device provided by the embodiment of the present invention includes:
数据采集模块21,用于采集当前服务器NFV网元的第一流量时序数据;其中,所述第一流量时序数据包括所述NFV网元在不同时刻的流量值;The data collection module 21 is used to collect the first traffic sequence data of the current server NFV network element; wherein, the first traffic sequence data includes the traffic values of the NFV network element at different times;
数据预处理模块22,用于通过变分自编码器对所述第一流量时序数据进行预处理,得到第二流量时序数据;a data preprocessing module 22, configured to preprocess the first flow time series data by using a variational autoencoder to obtain second flow time series data;
数据重构模块23,用于基于自回归模型、多假设预测残差重构算法和所述第二流量时序数据,得到第三流量时序数据;The data reconstruction module 23 is configured to obtain third traffic time series data based on the autoregressive model, the multi-hypothesis prediction residual reconstruction algorithm and the second traffic time series data;
模型训练模块24,用于通过所述第三流量时序数据对预先构建的长短期记忆神经网络进行训练,得到训练好的长短期记忆神经网络;The model training module 24 is used to train the pre-built long-term and short-term memory neural network through the third traffic time series data to obtain a trained long-term and short-term memory neural network;
流量预测模块25,用于通过所述训练好的长短期记忆神经网络对未来预设时长内所述NFV网元的流量值进行预测,得到所述NFV网元的流量预测值;The traffic prediction module 25 is configured to predict the traffic value of the NFV network element within a preset time period in the future through the trained long short-term memory neural network, and obtain the traffic predicted value of the NFV network element;
资源配置模块26,用于根据所述流量预测值和预先设定的流量安全值,对当前所述服务器的NFV网元进行配置。The resource configuration module 26 is configured to configure the current NFV network element of the server according to the traffic prediction value and the preset traffic security value.
作为上述方案的改进,所述数据预处理模块22,包括:As an improvement of the above scheme, the data preprocessing module 22 includes:
编码单元,用于通过所述变分自编码器的编码器对所述第一流量时序数据进行特征提取,得到隐变量数据集;an encoding unit, configured to perform feature extraction on the first traffic time series data through an encoder of the variational autoencoder to obtain a latent variable data set;
解码单元,用于通过所述变分自编码器的解码器对所述隐变量数据集进行解码,得到第二流量时序数据。A decoding unit, configured to decode the latent variable data set through the decoder of the variational autoencoder to obtain second traffic time series data.
作为其中一个可选的实施方式,所述数据重构模块23,包括:As an optional implementation manner, the data reconstruction module 23 includes:
流量预测单元,用于基于自回归模型和所述第二流量时序数据对不同时刻的流量值进行预测,得到预测的流量时序数据;A flow prediction unit, configured to predict flow values at different times based on the autoregressive model and the second flow time series data, to obtain predicted flow time series data;
残差计算单元,用于根据所述第二流量时序数据和所述预测的流量时序数据,得到流量残差时序数据;a residual calculation unit, configured to obtain traffic residual time series data according to the second traffic time series data and the predicted traffic time series data;
残差重构单元,用于基于多假设预测残差重构算法对所述流量残差时序数据进行残差重构,得到重构后的流量残差时序数据;a residual reconstruction unit, configured to perform residual reconstruction on the traffic residual time series data based on a multi-hypothesis prediction residual reconstruction algorithm, to obtain reconstructed traffic residual time series data;
流量重构单元,用于根据所述重构后的流量残差时序数据和所述预测的流量时序数据,得到第三流量时序数据。A traffic reconstruction unit, configured to obtain third traffic time series data according to the reconstructed traffic residual time series data and the predicted traffic time series data.
优选地,所述流量数据单元,具体用于:Preferably, the flow data unit is specifically used for:
根据以下公式对不同时刻的流量值进行预测,得到预测的流量时序数据:Predict the traffic values at different times according to the following formula to obtain the predicted traffic time series data:
其中,为第二流量时序数据,为t时刻的流量值,p为自回归模型的阶数,w为服务器的流量使用情况特征,α为系数项,为白噪声,β1为第一权重,β2为第二权重,为t时刻的流量预测值,为预测的流量时序数据。in, is the second traffic time series data, is the traffic value at time t, p is the order of the autoregressive model, w is the traffic usage characteristics of the server, α is the coefficient term, is white noise, β1 is the first weight, β2 is the second weight, is the flow forecast value at time t, is the predicted traffic time series data.
作为其中一个优选的实施方式,所述资源配置模块26,具体用于:As one of the preferred implementation manners, the resource configuration module 26 is specifically used for:
计算所述流量预测值和预先设定的流量安全值的差值,当所述差值大于0时,将所述NFV网元从当前服务器迁出至满足所述NFV网元流量需求的服务器。Calculate the difference between the traffic prediction value and the preset traffic safety value, and when the difference is greater than 0, migrate the NFV network element from the current server to a server that meets the traffic requirements of the NFV network element.
需要说明的是,本实施例的基于NFV的网络资源配置装置的各实施例的相关具体描述和有益效果可以参考上述的基于NFV的网络资源配置方法的各实施例的相关具体描述和有益效果,在此不再赘述。It should be noted that, for the relevant specific descriptions and beneficial effects of the various embodiments of the NFV-based network resource configuration apparatus in this embodiment, reference may be made to the relevant specific descriptions and beneficial effects of the above-mentioned embodiments of the NFV-based network resource configuration method, It is not repeated here.
参见图3,是本发明实施例提供的一种终端设备的结构框图。Referring to FIG. 3 , it is a structural block diagram of a terminal device provided by an embodiment of the present invention.
本发明实施例提供的一种终端设备,包括处理器10、存储器20以及存储在所述存储器20中且被配置为由所述处理器10执行的计算机程序,所述处理器10执行所述计算机程序时实现如上述任一实施例所述的基于NFV的网络资源配置方法。A terminal device provided by an embodiment of the present invention includes a processor 10, a memory 20, and a computer program stored in the memory 20 and configured to be executed by the processor 10, where the processor 10 executes the computer The program implements the NFV-based network resource configuration method described in any of the foregoing embodiments.
所述处理器10执行所述计算机程序时实现上述基于NFV的网络资源配置方法实施例中的步骤,例如图1所示的基于NFV的网络资源配置方法的所有步骤。或者,所述处理器10执行所述计算机程序时实现上述基于NFV的网络资源配置装置实施例中各模块/单元的功能,例如图2所示的基于NFV的网络资源配置装置的各模块的功能。When the processor 10 executes the computer program, the steps in the above embodiments of the NFV-based network resource configuration method are implemented, for example, all steps of the NFV-based network resource configuration method shown in FIG. 1 . Or, when the processor 10 executes the computer program, the functions of each module/unit in the above-mentioned embodiment of the NFV-based network resource configuration apparatus, for example, the functions of each module of the NFV-based network resource configuration apparatus shown in FIG. 2 are realized. .
示例性的,所述计算机程序可以被分割成一个或多个模块,所述一个或者多个模块被存储在所述存储器20中,并由所述处理器10执行,以完成本发明。所述一个或多个模块可以是能够完成特定功能的一系列计算机程序指令段,该指令段用于描述所述计算机程序在所述终端设备中的执行过程。Exemplarily, the computer program may be divided into one or more modules, and the one or more modules are stored in the memory 20 and executed by the processor 10 to complete the present invention. The one or more modules may be a series of computer program instruction segments capable of performing specific functions, and the instruction segments are used to describe the execution process of the computer program in the terminal device.
所述终端设备可以是桌上型计算机、笔记本、掌上电脑及云端服务器等计算设备。所述终端设备可包括,但不仅限于,处理器10、存储器20。本领域技术人员可以理解,所述示意图仅仅是终端设备的示例,并不构成对终端设备的限定,可以包括比图示更多或更少的部件,或者组合某些部件,或者不同的部件,例如所述终端设备还可以包括输入输出设备、网络接入设备、总线等。The terminal device may be a computing device such as a desktop computer, a notebook, a palmtop computer, and a cloud server. The terminal device may include, but is not limited to, the processor 10 and the memory 20 . Those skilled in the art can understand that the schematic diagram is only an example of a terminal device, and does not constitute a limitation to the terminal device, and may include more or less components than the one shown in the figure, or combine some components, or different components, For example, the terminal device may further include an input and output device, a network access device, a bus, and the like.
所称处理器10可以是中央处理单元(Central Processing Unit,CPU),还可以是其他通用处理器、数字信号处理器(Digital Signal Processor,DSP)、专用集成电路(Application Specific Integrated Circuit,ASIC)、现场可编程门阵列(Field-Programmable Gate Array,FPGA)或者其他可编程逻辑器件、分立门或者晶体管逻辑器件、分立硬件组件等。通用处理器可以是微处理器或者该处理器也可以是任何常规的处理器等,所述处理器10是所述终端设备的控制中心,利用各种接口和线路连接整个终端设备的各个部分。The so-called processor 10 may be a central processing unit (Central Processing Unit, CPU), and may also be other general-purpose processors, digital signal processors (Digital Signal Processors, DSP), application specific integrated circuits (Application Specific Integrated Circuit, ASIC), Field-Programmable Gate Array (FPGA) or other programmable logic devices, discrete gate or transistor logic devices, discrete hardware components, etc. The general-purpose processor can be a microprocessor or the processor can also be any conventional processor, etc. The processor 10 is the control center of the terminal device, and uses various interfaces and lines to connect various parts of the entire terminal device.
所述存储器20可用于存储所述计算机程序和/或模块,所述处理器10通过运行或执行存储在所述存储器20内的计算机程序和/或模块,以及调用存储在存储器20内的数据,实现所述终端设备的各种功能。所述存储器20可主要包括存储程序区和存储数据区,其中,存储程序区可存储操作系统、至少一个功能所需的应用程序等;存储数据区可存储根据终端设备的使用所创建的数据等。此外,存储器可以包括高速随机存取存储器,还可以包括非易失性存储器,例如硬盘、内存、插接式硬盘,智能存储卡(Smart Media Card,SMC),安全数字(Secure Digital,SD)卡,闪存卡(Flash Card)、至少一个磁盘存储器件、闪存器件、或其他易失性固态存储器件。The memory 20 can be used to store the computer programs and/or modules, and the processor 10 can call the data stored in the memory 20 by running or executing the computer programs and/or modules stored in the memory 20, and calling the data stored in the memory 20. Various functions of the terminal device are realized. The memory 20 may mainly include a stored program area and a stored data area, wherein the stored program area may store an operating system, an application program required for at least one function, and the like; the stored data area may store data created according to the use of the terminal device, etc. . In addition, the memory may include high-speed random access memory, and may also include non-volatile memory such as hard disk, internal memory, plug-in hard disk, Smart Media Card (SMC), Secure Digital (SD) card , a flash memory card (Flash Card), at least one magnetic disk storage device, flash memory device, or other volatile solid-state storage device.
其中,所述终端设备集成的模块/单元如果以软件功能单元的形式实现并作为独立的产品销售或使用时,可以存储在一个计算机可读取存储介质中。基于这样的理解,本发明实现上述实施例方法中的全部或部分流程,也可以通过计算机程序来指令相关的硬件来完成,所述的计算机程序可存储于一计算机可读存储介质中,该计算机程序在被处理器执行时,可实现上述各个方法实施例的步骤。其中,所述计算机程序包括计算机程序代码,所述计算机程序代码可以为源代码形式、对象代码形式、可执行文件或某些中间形式等。所述计算机可读介质可以包括:能够携带所述计算机程序代码的任何实体或装置、记录介质、U盘、移动硬盘、磁碟、光盘、计算机存储器、只读存储器(ROM,Read-Only Memory)、随机存取存储器(RAM,Random Access Memory)、电载波信号、电信信号以及软件分发介质等。Wherein, if the modules/units integrated in the terminal device are implemented in the form of software functional units and sold or used as independent products, they may be stored in a computer-readable storage medium. Based on this understanding, the present invention can implement all or part of the processes in the methods of the above embodiments, and can also be completed by instructing relevant hardware through a computer program. The computer program can be stored in a computer-readable storage medium, and the computer When the program is executed by the processor, the steps of the foregoing method embodiments can be implemented. Wherein, the computer program includes computer program code, and the computer program code may be in the form of source code, object code, executable file or some intermediate form, and the like. The computer-readable medium may include: any entity or device capable of carrying the computer program code, a recording medium, a U disk, a removable hard disk, a magnetic disk, an optical disk, a computer memory, a read-only memory (ROM, Read-Only Memory) , Random Access Memory (RAM, Random Access Memory), electric carrier signal, telecommunication signal and software distribution medium, etc.
需说明的是,以上所描述的装置实施例仅仅是示意性的,其中所述作为分离部件说明的单元可以是或者也可以不是物理上分开的,作为单元显示的部件可以是或者也可以不是物理单元,即可以位于一个地方,或者也可以分布到多个网络单元上。可以根据实际的需要选择其中的部分或者全部模块来实现本实施例方案的目的。另外,本发明提供的装置实施例附图中,模块之间的连接关系表示它们之间具有通信连接,具体可以实现为一条或多条通信总线或信号线。本领域普通技术人员在不付出创造性劳动的情况下,即可以理解并实施。It should be noted that the device embodiments described above are only schematic, wherein the units described as separate components may or may not be physically separated, and the components displayed as units may or may not be physical unit, that is, it can be located in one place, or it can be distributed over multiple network units. Some or all of the modules may be selected according to actual needs to achieve the purpose of the solution in this embodiment. In addition, in the drawings of the device embodiments provided by the present invention, the connection relationship between the modules indicates that there is a communication connection between them, which may be specifically implemented as one or more communication buses or signal lines. Those of ordinary skill in the art can understand and implement it without creative effort.
相应地,本发明实施例还提供了一种计算机可读存储介质,所述计算机可读存储介质包括存储的计算机程序;其中,所述计算机程序在运行时控制所述计算机可读存储介质所在的设备执行上述任一实施例所述的基于NFV的网络资源配置方法。Correspondingly, an embodiment of the present invention further provides a computer-readable storage medium, where the computer-readable storage medium includes a stored computer program; wherein, the computer program controls the computer-readable storage medium where the computer-readable storage medium is located when running. The device executes the NFV-based network resource configuration method described in any of the foregoing embodiments.
综上,本发明实施例所提供的一种基于NFV的网络资源配置方法、装置、终端设备及计算机可读存储介质,首先通过变分自编码器对采集到的当前服务器NFV网元的第一流量时序数据进行预处理,能够使模糊、不一致、带噪声的流量数据变得平滑,提高数据质量;其次,基于自回归模型和多假设预测残差重构算法对变分自编码器输出的第二流量时序数据进行多次校正与迭代,从而形成合理有效的第三流量时序数据;然后,通过所述第三流量时序数据对预先构建的长短期记忆神经网络进行训练,得到训练好的长短期记忆神经网络,并通过所述训练好的长短期记忆神经网络对未来预设时长内所述NFV网元的流量值进行自动预测,得到所述NFV网元的流量预测值;最后,根据所述流量预测值和预先设定的流量安全值判断当前流量分配的准确性和合理性,自动对当前所述服务器的NFV网元进行优化配置,以实现将流量负载较大部分的NFV网元迁出当前服务器,有效降低服务器流量负载,减少由于业务请求动态变化引起的VNF网元的迁移频次,从而减少计算资源和存储资源的占用空间,提高系统性能,减少用户使用的业务时延。To sum up, an NFV-based network resource configuration method, device, terminal device, and computer-readable storage medium provided by the embodiments of the present invention firstly perform a first-order analysis of the collected current server NFV network elements through a variational autoencoder. The preprocessing of the traffic time series data can smooth the fuzzy, inconsistent and noisy traffic data and improve the data quality. The second flow time series data is corrected and iterated many times to form reasonable and effective third flow time series data; then, the pre-built long-term and short-term memory neural network is trained through the third flow time series data to obtain the trained long-term and short-term data. memory neural network, and automatically predict the traffic value of the NFV network element within a preset time period in the future through the trained long-term and short-term memory neural network to obtain the traffic prediction value of the NFV network element; finally, according to the The traffic forecast value and the preset traffic safety value determine the accuracy and rationality of the current traffic distribution, and automatically optimize the configuration of the NFV network elements of the current server, so as to realize the migration of the NFV network elements with a large traffic load. The current server can effectively reduce the server traffic load and reduce the migration frequency of VNF network elements caused by dynamic changes of service requests, thereby reducing the space occupied by computing resources and storage resources, improving system performance, and reducing service delays used by users.
以上所述是本发明的优选实施方式,应当指出,对于本技术领域的普通技术人员来说,在不脱离本发明原理的前提下,还可以做出若干改进和润饰,这些改进和润饰也视为本发明的保护范围。The above are the preferred embodiments of the present invention. It should be pointed out that for those skilled in the art, without departing from the principles of the present invention, several improvements and modifications can be made, and these improvements and modifications may also be regarded as It is the protection scope of the present invention.
| Application Number | Priority Date | Filing Date | Title |
|---|---|---|---|
| CN202210319949.2ACN114793197B (en) | 2022-03-29 | 2022-03-29 | NFV-based network resource configuration method, device, equipment and storage medium |
| Application Number | Priority Date | Filing Date | Title |
|---|---|---|---|
| CN202210319949.2ACN114793197B (en) | 2022-03-29 | 2022-03-29 | NFV-based network resource configuration method, device, equipment and storage medium |
| Publication Number | Publication Date |
|---|---|
| CN114793197Atrue CN114793197A (en) | 2022-07-26 |
| CN114793197B CN114793197B (en) | 2023-09-19 |
| Application Number | Title | Priority Date | Filing Date |
|---|---|---|---|
| CN202210319949.2AActiveCN114793197B (en) | 2022-03-29 | 2022-03-29 | NFV-based network resource configuration method, device, equipment and storage medium |
| Country | Link |
|---|---|
| CN (1) | CN114793197B (en) |
| Publication number | Priority date | Publication date | Assignee | Title |
|---|---|---|---|---|
| CN115514646A (en)* | 2022-10-10 | 2022-12-23 | 广东工业大学 | A network slice configuration method and related device based on traffic analysis |
| Publication number | Priority date | Publication date | Assignee | Title |
|---|---|---|---|---|
| CN103747477A (en)* | 2014-01-15 | 2014-04-23 | 广州杰赛科技股份有限公司 | Network flow analysis and prediction method and device |
| US20180137412A1 (en)* | 2016-11-16 | 2018-05-17 | Cisco Technology, Inc. | Network traffic prediction using long short term memory neural networks |
| CN109379240A (en)* | 2018-12-25 | 2019-02-22 | 湖北亿咖通科技有限公司 | Car networking flux prediction model construction method, device and electronic equipment |
| WO2021103135A1 (en)* | 2019-11-25 | 2021-06-03 | 中国科学院深圳先进技术研究院 | Deep neural network-based traffic classification method and system, and electronic device |
| CN114006826A (en)* | 2022-01-04 | 2022-02-01 | 南京信息工程大学 | A network traffic prediction method fused with traffic characteristics |
| CN114077492A (en)* | 2020-08-18 | 2022-02-22 | 中国电信股份有限公司 | Prediction model training and prediction method and system for cloud computing infrastructure resources |
| Publication number | Priority date | Publication date | Assignee | Title |
|---|---|---|---|---|
| CN103747477A (en)* | 2014-01-15 | 2014-04-23 | 广州杰赛科技股份有限公司 | Network flow analysis and prediction method and device |
| US20180137412A1 (en)* | 2016-11-16 | 2018-05-17 | Cisco Technology, Inc. | Network traffic prediction using long short term memory neural networks |
| CN109379240A (en)* | 2018-12-25 | 2019-02-22 | 湖北亿咖通科技有限公司 | Car networking flux prediction model construction method, device and electronic equipment |
| WO2021103135A1 (en)* | 2019-11-25 | 2021-06-03 | 中国科学院深圳先进技术研究院 | Deep neural network-based traffic classification method and system, and electronic device |
| CN114077492A (en)* | 2020-08-18 | 2022-02-22 | 中国电信股份有限公司 | Prediction model training and prediction method and system for cloud computing infrastructure resources |
| CN114006826A (en)* | 2022-01-04 | 2022-02-01 | 南京信息工程大学 | A network traffic prediction method fused with traffic characteristics |
| Publication number | Priority date | Publication date | Assignee | Title |
|---|---|---|---|---|
| CN115514646A (en)* | 2022-10-10 | 2022-12-23 | 广东工业大学 | A network slice configuration method and related device based on traffic analysis |
| CN115514646B (en)* | 2022-10-10 | 2024-09-24 | 广东工业大学 | A network slice configuration method based on traffic analysis and related devices |
| Publication number | Publication date |
|---|---|
| CN114793197B (en) | 2023-09-19 |
| Publication | Publication Date | Title |
|---|---|---|
| US10834183B2 (en) | Managing idle and active servers in cloud data centers | |
| US20110225584A1 (en) | Managing model building components of data analysis applications | |
| Adil et al. | CA‐MLBS: content‐aware machine learning based load balancing scheduler in the cloud environment | |
| US10102033B2 (en) | Method and system for performance ticket reduction | |
| US9959248B1 (en) | Iterative simple linear regression coefficient calculation for big data using components | |
| US10191792B2 (en) | Application abnormality detection | |
| US11768678B2 (en) | Application function consolidation recommendation | |
| US9740535B2 (en) | System management and maintenance in a distributed computing environment | |
| Rizvandi et al. | A study on using uncertain time series matching algorithms for MapReduce applications | |
| US20190146424A1 (en) | Machine learning optimization framework | |
| EP3226135A2 (en) | Real-time cloud-infrastructure policy implementation and management | |
| US11676013B2 (en) | Job-launch time reduction by node pre-configuration | |
| CN118540326B (en) | A dynamic load balancing method for a server and related equipment | |
| CN118394592B (en) | A Paas platform based on cloud computing | |
| Park et al. | Queue congestion prediction for large-scale high performance computing systems using a hidden Markov model | |
| US12353990B2 (en) | Time-window based attention long short-term memory network of deep learning | |
| US20220043860A1 (en) | Abnormal data detection | |
| CN114793197B (en) | NFV-based network resource configuration method, device, equipment and storage medium | |
| CN116627662A (en) | Resource processing method and device for edge computing, storage medium and electronic equipment | |
| Lin et al. | Dynamic system allocation and application of cloud computing virtual resources based on system architecture | |
| US20230169389A1 (en) | Domain adaptation | |
| US12412106B2 (en) | Identifying related messages in a natural language interaction in multiple iterations | |
| US12437216B2 (en) | Combined classical/quantum predictor evaluation | |
| Sood | Function points‐based resource prediction in cloud computing | |
| US12130792B2 (en) | Data merging in distributed computing system |
| Date | Code | Title | Description |
|---|---|---|---|
| PB01 | Publication | ||
| PB01 | Publication | ||
| SE01 | Entry into force of request for substantive examination | ||
| SE01 | Entry into force of request for substantive examination | ||
| GR01 | Patent grant | ||
| GR01 | Patent grant |