Movatterモバイル変換


[0]ホーム

URL:


CN114779301B - Satellite navigation real-time precise single-point positioning method based on broadcast ephemeris - Google Patents

Satellite navigation real-time precise single-point positioning method based on broadcast ephemeris
Download PDF

Info

Publication number
CN114779301B
CN114779301BCN202210322449.4ACN202210322449ACN114779301BCN 114779301 BCN114779301 BCN 114779301BCN 202210322449 ACN202210322449 ACN 202210322449ACN 114779301 BCN114779301 BCN 114779301B
Authority
CN
China
Prior art keywords
broadcast ephemeris
sisre
satellite navigation
point positioning
broadcast
Prior art date
Legal status (The legal status is an assumption and is not a legal conclusion. Google has not performed a legal analysis and makes no representation as to the accuracy of the status listed.)
Active
Application number
CN202210322449.4A
Other languages
Chinese (zh)
Other versions
CN114779301A (en
Inventor
刘胜男
朱少林
吴俊�
Current Assignee (The listed assignees may be inaccurate. Google has not performed a legal analysis and makes no representation or warranty as to the accuracy of the list.)
Changzhou Wujin Planning, Survey and Design Institute
Original Assignee
Jiangsu Urban and Rural Construction College
Priority date (The priority date is an assumption and is not a legal conclusion. Google has not performed a legal analysis and makes no representation as to the accuracy of the date listed.)
Filing date
Publication date
Application filed by Jiangsu Urban and Rural Construction CollegefiledCriticalJiangsu Urban and Rural Construction College
Priority to CN202210322449.4ApriorityCriticalpatent/CN114779301B/en
Publication of CN114779301ApublicationCriticalpatent/CN114779301A/en
Application grantedgrantedCritical
Publication of CN114779301BpublicationCriticalpatent/CN114779301B/en
Activelegal-statusCriticalCurrent
Anticipated expirationlegal-statusCritical

Links

Images

Classifications

Landscapes

Abstract

The invention relates to the technical field of satellite navigation, in particular to a satellite navigation real-time precise single-point positioning method based on broadcast ephemeris, which comprises the following steps of S1, extracting a pseudo-range observation value, a carrier phase observation value and broadcast ephemeris; s2, calculating the broadcasting orbit and broadcasting clock difference of the satellite at each moment; s3, calculating a ranging error of the broadcast ephemeris space signal; s4, establishing a multi-system precise single-point positioning model; s5, coordinate parameter solution is carried out, sensitivity analysis is carried out, and an optimal coordinate parameter solution is determined; and S6, obtaining a real-time high-precision coordinate parameter solution of each epoch. According to the invention, the pseudo-range observation value and the carrier phase observation value are fully utilized, high-precision satellite navigation positioning is realized based on broadcast ephemeris broadcast by satellites, and the precision of satellite navigation positioning is improved; and the position parameters of the subscriber station are resolved in real time by using the broadcast ephemeris, so that the real-time satellite navigation positioning is realized, and the timeliness of the satellite navigation positioning is improved.

Description

Satellite navigation real-time precise single-point positioning method based on broadcast ephemeris
Technical Field
The invention relates to the technical field of satellite navigation, in particular to a satellite navigation real-time precise single-point positioning method based on broadcast ephemeris.
Background
The precise single-point positioning technology is a GNSS positioning measurement technology developed in the last twenty years, and can realize high-precision absolute positioning under a dynamic global reference frame by only a single GNSS receiver, and has the advantages of low cost, flexibility, no restriction of working distance and the like, and gradually becomes a research hotspot in the field of satellite navigation positioning. The implementation of precise single point positioning has been dependent on the high precision satellite orbit and clock error information provided in the precise ephemeris issued by the institutions. Compared with the precise ephemeris, the broadcast ephemeris has higher timeliness and stability, but is not adopted in precise single-point positioning because of poor precision of provided satellite orbit and clock error; with the continued development of GNSS, the GPS/Galileo/BDS-3 system can provide broadcast ephemeris with higher accuracy; therefore, the research on the real-time precise single-point positioning technology based on the broadcast ephemeris has extremely strong practical significance for improving the precision and timeliness of satellite navigation positioning.
Disclosure of Invention
Aiming at the defects of the existing algorithm, the invention fully utilizes the pseudo-range observation values and carrier phase observation values of GPS, galileo and BDS-3 satellites, realizes high-precision satellite navigation positioning based on broadcast ephemeris broadcast by satellites, and improves the precision of satellite navigation positioning; and the position parameters of the subscriber station are resolved in real time by using the broadcast ephemeris, so that the real-time satellite navigation positioning is realized, and the timeliness of the satellite navigation positioning is improved.
The technical scheme adopted by the invention is as follows: a satellite navigation real-time precise single-point positioning method based on broadcast ephemeris comprises the following steps:
s1, extracting pseudo-range observation values, carrier phase observation values and broadcast ephemeris of a navigation system GPS, galileo and BDS-3 satellites from an original observation file of a GNSS receiver, and preprocessing GNSS data;
s2, calculating the broadcasting orbit and broadcasting clock difference of the satellite at each moment through the interpolation of the broadcasting ephemeris Lagrange polynomials;
s3, calculating broadcast ephemeris space signal ranging errors (SISRE) of the GNSS satellites according to the broadcast orbit and broadcast clock difference data through the method (1):
Figure BDA0003572256050000021
wherein R, A and C represent radial, tracking, and normal satellite orbit errors, respectively, for broadcast ephemeris; Δcdt represents the satellite clock bias of the broadcast ephemeris; w (w)R And wA,C A contribution factor representing SISRE; RMS represents the Root Mean Square (Root Mean Square) of the error;
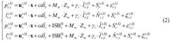
s4, establishing a broadcast ephemeris-based multisystem precise single point positioning model with SISRE compensation, wherein SISRE is used as a random walk process parameter for estimation:
Figure BDA0003572256050000022
wherein p and l represent pseudorange and carrier phase observations, respectively; g represents GPS, Q represents Galileo and BDS-3; x represents a three-dimensional coordinate, and u is a corresponding direction vector;
Figure BDA0003572256050000023
representing receiver clock skew; />
Figure BDA0003572256050000024
Representing the system time offset between Galileo or BDS-3 and GPS; z is Zw Represents zenith direction tropospheric delay, Mw Is a corresponding projection function; />
Figure BDA0003572256050000025
Representing ionospheric delay, gammai Is an ionospheric amplification factor; />
Figure BDA0003572256050000026
Representing carrier phase ambiguity; s represents SISRE compensation parameters; epsilon and xi represent pseudorange and carrier phase observation noise, respectively;
s5, coordinate parameter calculation is carried out through a multisystem precise single-point positioning model based on broadcast ephemeris, wherein SISRE parameters adopt different process noises to carry out random walk process estimation, sensitivity analysis is carried out on a series of obtained coordinate parameter solutions, and an optimal coordinate parameter solution is determined, so that the optimal random walk process noise of SISRE parameters of each GNSS system is determined;
s6, taking the SISRE value obtained in the S3 as an initial value of SISRE parameter estimation, taking the optimal process noise obtained in the S6 as random walk process noise of SISRE, and resolving a SISRE-compensated multisystem precise single-point positioning model based on broadcast ephemeris through Kalman filtering to obtain a real-time high-precision coordinate parameter solution of each epoch;
the beneficial effects of the invention are as follows:
1. the broadcast ephemeris has higher timeliness and stability compared with the precise ephemeris, and the real-time precise single-point positioning mode of the broadcast ephemeris can provide the position information required by the user in a shorter time.
2. The broadcast ephemeris broadcast by Galileo and BDS-3 at present has higher precision; according to the precision single-point positioning method, the positioning precision is improved from the meter level of pseudo-range single-point positioning to the decimeter level on the premise of ensuring high timeliness.
Drawings
FIG. 1 is a flow chart of a precise GPS/Galileo/BDS-3 single point positioning method based on broadcast ephemeris of the present invention;
FIG. 2 is a random walk process noise plot of GPS, galileo and BDS-3 system optimal SISRE parameters;
FIG. 3 is a diagram of the result of station static coordinate resolution;
fig. 4 is a diagram of the result of the station dynamic coordinate calculation.
Detailed Description
The invention will be further described with reference to the accompanying drawings and examples, which are simplified schematic illustrations showing only the basic structure of the invention and thus showing only those constructions that are relevant to the invention.
In the embodiment, the MGEX continuous operation observation station NKGG is selected, and can simultaneously receive the GPS, galileo and BDS-3 double-frequency observation data, wherein the data observation time is 24-hour continuous observation data of 2021, 11 months and 1 days.
As shown in fig. 1, a satellite navigation real-time precise single-point positioning method based on broadcast ephemeris includes the following steps:
s1, extracting pseudo-range observation values, carrier phase observation values and broadcast ephemeris of GPS, galileo and BDS-3 satellites from an original observation file of a GNSS receiver; preprocessing GNSS data, performing cycle slip detection by combining MW combination and GF combination, and eliminating observation data with cycle slip; correcting errors such as satellite and receiver antenna phase centers, earth rotation, relativistic effects, antenna phase winding and the like in the observed values through an error model;
s2, calculating the broadcasting orbit and broadcasting clock difference of the satellite at each moment through the interpolation of the broadcasting ephemeris Lagrange polynomials;
s3, calculating broadcast ephemeris space signal ranging errors (SISRE) of the GNSS satellites according to the broadcast orbit and broadcast clock difference data through the method (1):
Figure BDA0003572256050000041
wherein R, A and C represent radial, tracking, and normal satellite orbit errors, respectively, for broadcast ephemeris; Δcdt represents the satellite clock bias of the broadcast ephemeris; w (w)R And wA,C A contribution factor representing SISRE; RMS represents the Root Mean Square (Root Mean Square) of the error;
s4, establishing a broadcast ephemeris-based multisystem precise single point positioning model with SISRE compensation, wherein SISRE is used as a random walk process parameter for estimation:
Figure BDA0003572256050000051
wherein p and l represent pseudorange and carrier phase observations, respectively; g represents GPS, Q represents Galileo and BDS-3; x represents a three-dimensional coordinate, and u is a corresponding direction vector;
Figure BDA0003572256050000052
representing receiver clock skew; />
Figure BDA0003572256050000053
Representing the system time offset between Galileo or BDS-3 and GPS; z is Zw Represents zenith direction tropospheric delay, Mw Is a corresponding projection function; />
Figure BDA0003572256050000054
Representing ionospheric delay, gammai Is an ionospheric amplification factor; />
Figure BDA0003572256050000055
Representing carrier phase ambiguity; s represents SISRE compensation parameters; epsilon and xi represent pseudorange and carrier phase observation noise, respectively;
s5, coordinate parameter calculation is carried out through a multisystem precise single-point positioning model based on broadcast ephemeris, SISRE parameters adopt different process noises to carry out random walk process estimation, and a series of obtained coordinate parameter solutions are carried out; performing sensitivity analysis to determine an optimal coordinate parameter solution so as to determine optimal process noise of SISRE of each GNSS system; 1mm is adopted as an interval of SISRE sensitivity analysis, and random walk process noise of the optimal SISRE parameters of each GNSS system is analyzed through a test; FIG. 2 shows the results of SISRE sensitivity analysis for each of the GPS, galileo and BDS-3 systems; the result of the graph is used for giving random walk process noise of the optimal SISRE parameters of each GNSS system, the SISRE optimal process noise of the GPS and BDS-3 systems is about 8mm, and the SISRE optimal process noise of the Galileo is about 4 mm.
S6, taking the SISRE value obtained in the step S3 as an initial value of SISRE parameter estimation, taking the optimal process noise obtained in the step S5 as random walk process noise of SISRE, and resolving a multi-system precise single-point positioning model based on broadcast ephemeris compensated by SISRE through Kalman filtering to obtain a real-time high-precision coordinate parameter solution of each epoch; FIG. 3 shows a solution result of static coordinates of a measuring station, and the positioning accuracy of the GPS/Galileo/BDS-3 real-time precise single-point positioning method based on broadcast ephemeris can be obtained, which is obviously superior to that of the traditional SPP method; FIG. 4 shows the dynamic coordinate calculation result, and the positioning accuracy of the GPS/Galileo/BDS-3 real-time precise single-point positioning method based on broadcast ephemeris is better than that of SPP.
With the above-described preferred embodiments according to the present invention as an illustration, the above-described descriptions can be used by persons skilled in the relevant art to make various changes and modifications without departing from the scope of the technical idea of the present invention. The technical scope of the present invention is not limited to the description, but must be determined according to the scope of claims.

Claims (5)

1. A satellite navigation real-time precise single-point positioning method based on broadcast ephemeris is characterized by comprising the following steps:
s1, extracting pseudo-range observation values, carrier phase observation values and broadcast ephemeris of a satellite of a multi-navigation system from an original observation file of a GNSS receiver, and preprocessing GNSS data;
s2, calculating the broadcasting orbit and broadcasting clock difference of the satellite at each moment through the interpolation of the broadcasting ephemeris Lagrange polynomials;
s3, calculating broadcast ephemeris space signal ranging errors of all GNSS satellites according to the broadcast orbit and the broadcast clock difference data;
s4, establishing a broadcast ephemeris-based multi-system precise single-point positioning model compensated by SISRE, wherein SISRE is used as a random walk process parameter for estimation;
s5, carrying out coordinate parameter calculation through a multisystem precise single-point positioning model based on broadcast ephemeris, carrying out random walk process estimation on SISRE parameters by adopting different process noises, carrying out sensitivity analysis on a series of obtained coordinate parameter solutions, and determining an optimal coordinate parameter solution, thereby determining the optimal random walk process noise of SISRE parameters of each GNSS system;
s6, taking the SISRE value obtained in the S3 as an initial value of SISRE parameter estimation, taking the optimal process noise obtained in the S5 as random walk process noise of SISRE, and resolving the SISRE-compensated multisystem precise single-point positioning model based on broadcast ephemeris through Kalman filtering to obtain a real-time high-precision coordinate parameter solution of each epoch.
2. The broadcast ephemeris-based satellite navigation real-time precision single-point positioning method of claim 1, wherein the broadcast ephemeris space signal ranging error formula is:
Figure FDA0004163617940000011
wherein R, A and C represent radial, tracking, and normal satellite orbit errors, respectively, for broadcast ephemeris; Δcdt represents the satellite clock bias of the broadcast ephemeris; w (w)R And wA,C A contribution factor representing SISRE; RMS represents the root mean square of the error.
3. The broadcast ephemeris-based satellite navigation real-time precise single-point positioning method of claim 1, wherein the SISRE is used as a random walk process parameter to estimate the formula:
Figure FDA0004163617940000021
wherein p and l represent pseudorange and carrier phase observations, respectively; g represents GPS, Q represents Galileo and BDS-3; x represents a three-dimensional coordinate, and u is a corresponding direction vector;
Figure FDA0004163617940000022
representing receiver clock skew; />
Figure FDA0004163617940000025
Representing the system time offset between Galileo or BDS-3 and GPS; z is Zw Represents zenith direction tropospheric delay, Mw Is a corresponding projection function; />
Figure FDA0004163617940000023
Representing ionospheric delay, gammai Is an ionospheric amplification factor; />
Figure FDA0004163617940000024
Representing carrier phase ambiguity; s represents SISRE compensation parameters; epsilon and xi represent pseudorange and carrier phase observation noise, respectively.
4. The broadcast ephemeris-based satellite navigation real-time precision single-point positioning method of claim 1, wherein the method comprises the steps of: the navigation system includes GPS, galileo and BDS-3.
5. The broadcast ephemeris-based satellite navigation real-time precision single-point positioning method of claim 1, wherein the preprocessing comprises: performing cycle slip detection by combining MW combination and GF combination, and eliminating observation data with cycle slip; and correcting satellite and receiver antenna phase centers, earth rotation, relativistic effects and antenna phase winding errors in the observed values through an error model.
CN202210322449.4A2022-03-302022-03-30Satellite navigation real-time precise single-point positioning method based on broadcast ephemerisActiveCN114779301B (en)

Priority Applications (1)

Application NumberPriority DateFiling DateTitle
CN202210322449.4ACN114779301B (en)2022-03-302022-03-30Satellite navigation real-time precise single-point positioning method based on broadcast ephemeris

Applications Claiming Priority (1)

Application NumberPriority DateFiling DateTitle
CN202210322449.4ACN114779301B (en)2022-03-302022-03-30Satellite navigation real-time precise single-point positioning method based on broadcast ephemeris

Publications (2)

Publication NumberPublication Date
CN114779301A CN114779301A (en)2022-07-22
CN114779301Btrue CN114779301B (en)2023-05-05

Family

ID=82427814

Family Applications (1)

Application NumberTitlePriority DateFiling Date
CN202210322449.4AActiveCN114779301B (en)2022-03-302022-03-30Satellite navigation real-time precise single-point positioning method based on broadcast ephemeris

Country Status (1)

CountryLink
CN (1)CN114779301B (en)

Families Citing this family (6)

* Cited by examiner, † Cited by third party
Publication numberPriority datePublication dateAssigneeTitle
CN115373005B (en)*2022-08-302025-08-26中国人民解放军63921部队 High-precision product conversion method between satellite navigation signals
CN116299586B (en)*2022-12-072023-11-03中国科学院上海天文台 Precision single point positioning method, receiver, equipment and medium based on broadcast ephemeris
CN116068594A (en)*2023-02-272023-05-05同济大学Method and device for converting precise single-point positioning result of user into CGCS2000 coordinates
CN117741718A (en)*2023-10-312024-03-22广东省国土资源测绘院 A high-precision positioning method and positioning system
CN118915108B (en)*2024-10-102025-01-21中国科学院国家授时中心 A real-time carrier phase time tracing method and device based on broadcast ephemeris
CN120522739B (en)*2025-07-252025-09-26武汉大学Precise single-point positioning method and system based on broadcast ephemeris satellite clock speed forecast

Family Cites Families (7)

* Cited by examiner, † Cited by third party
Publication numberPriority datePublication dateAssigneeTitle
US20140077991A1 (en)*2012-09-202014-03-20California Institute Of TechnologyEnhanced broadcast ephemeris for high accuracy assisted gps positioning
CN104714244B (en)*2015-03-312017-11-17东南大学A kind of multisystem dynamic PPP calculation methods based on robust adaptable Kalman filter
CN108254773B (en)*2017-11-242019-12-06中国测绘科学研究院 A multi-GNSS real-time clock difference calculation method
CN108363084B (en)*2018-01-182022-04-08和芯星通科技(北京)有限公司Method and apparatus for positioning using satellite, satellite navigation receiver, and storage medium
CN108387912B (en)*2018-01-312020-05-08中国科学院测量与地球物理研究所Solving method for Multi-GNSS precise single-point positioning
CN111045034B (en)*2019-12-132020-09-29北京航空航天大学 GNSS multi-system real-time precise time transfer method and system based on broadcast ephemeris
CN111352137B (en)*2020-04-262021-08-31长安大学 A Multimode GNSS Asynchronous RTK Positioning Method Considering Broadcast Ephemeris Error

Also Published As

Publication numberPublication date
CN114779301A (en)2022-07-22

Similar Documents

PublicationPublication DateTitle
CN114779301B (en)Satellite navigation real-time precise single-point positioning method based on broadcast ephemeris
CN109709591B (en)GNSS high-precision positioning method for intelligent terminal
EP2064567B1 (en)Relative positioning
CN113253314B (en) A method and system for time synchronization between low-orbit satellites
CN112230254B (en)Correction method and device for GPS carrier phase multipath error
CN117055323A (en)Star-based precise time service method and system based on Beidou/Galileo system fusion
CN116540303A (en) A Method for Establishing Difference Observation Equation Between Epochs and Calculating Method for Earthquake Displacement
CN115616615A (en) A low-cost single-frequency GNSS receiver precision positioning method enhanced by PPP-B2b
CN115902968A (en) PPP terminal positioning method based on Beidou-3 GEO broadcast enhanced information
AggreyMulti-GNSS precise point positioning software architecture and analysis of GLONASS pseudorange biases
CN108181633A (en)A kind of GNSS time Frequency Transfer receiver and method of reseptance
CN117665871A (en)GNSS non-difference fixed solution precision clock difference determination method under carrier distance support
CN114994727A (en)Equipment for realizing high-precision time calibration and satellite positioning
CN116224402A (en) A land-sea integrated time transfer method based on GNSS carrier phase technology
CN113156477A (en)High-precision RTK positioning method based on Android smart phone
CN115308781B (en)BDGIM-assisted phase smoothing pseudo-range high-precision time transfer method
CN116009042A (en)Method and system for detecting relative deformation in real time by difference between single-station carrier epochs
CN113900128B (en) Method and system for extracting ionospheric VTEC based on DORIS carrier phase data
Choy et al.An evaluation of various ionospheric error mitigation methods used in single frequency PPP
Li et al.Assessment and analysis of the four-satellite QZSS precise point positioning and the integrated data processing with GPS
Basile et al.Analysis on the potential performance of GPS and Galileo Precise Point Positioning using simulated Real-Time Products
CN117949982B (en)Star-based foundation enhanced integrated non-differential GNSS real-time PNT method and equipment
Liu et al.Fast convergence real-time precise point positioning with Android smartphone GNSS data
CN117665874A (en) An ionospheric delay self-modeling smoothing pseudorange method based on reconstructed Doppler
CN114994724B (en) A GNSS pseudo-range differential positioning performance evaluation method and system

Legal Events

DateCodeTitleDescription
PB01Publication
PB01Publication
SE01Entry into force of request for substantive examination
SE01Entry into force of request for substantive examination
GR01Patent grant
GR01Patent grant
TR01Transfer of patent right
TR01Transfer of patent right

Effective date of registration:20230817

Address after:Floor 13-16, Jinyuan Building, No. 17 Yanzheng Middle Avenue, Hutang Town, Wujin District, Changzhou City, Jiangsu Province, 213000

Patentee after:Changzhou Wujin Planning, Survey and Design Institute

Address before:213000 No.1 Heyu Road, Yincun Vocational Education Park, Changzhou City, Jiangsu Province

Patentee before:JIANGSU URBAN AND RURAL CONSTRUCTION College


[8]ページ先頭

©2009-2025 Movatter.jp