



技术领域technical field
本发明涉及数据处理技术领域,尤其涉及一种突发事件的应急方案推荐方法、装置及存储介质。The invention relates to the technical field of data processing, and in particular, to a method, a device and a storage medium for recommending an emergency plan for an emergency.
背景技术Background technique
随着互联网信息技术的迅速发展和区域智能医疗服务平台的搭建,智能医疗将真正实现医疗信息的互联互通。智能医疗工程将是一个多层面的数据处理平台,通过关联、估计和组合多个信息源的数据,全面加工和协同利用各种系统及物联网多元数据相关信息,最终实现智能医疗信息的融合。在医疗急救过程中,由于患者的情况危急,如何根据患者的情况及时、合理的为患者提供诊疗方案,成为了亟待解决的问题。With the rapid development of Internet information technology and the establishment of regional intelligent medical service platforms, intelligent medical care will truly realize the interconnection of medical information. Intelligent medical engineering will be a multi-level data processing platform. By correlating, estimating and combining data from multiple information sources, comprehensively processing and synergistically utilizing various systems and multi-data related information of the Internet of Things, and finally realizing the integration of intelligent medical information. In the process of medical emergency, due to the critical condition of the patient, how to provide the patient with a timely and reasonable diagnosis and treatment plan according to the patient's condition has become an urgent problem to be solved.
发明内容SUMMARY OF THE INVENTION
为克服相关技术中存在的问题,本发明提供一种突发事件的应急方案推荐方法及装置。In order to overcome the problems existing in the related art, the present invention provides a method and device for recommending an emergency plan for an emergency.
根据本发明实施例的第一方面,提供一种突发事件的应急方案推荐方法,方法包括:According to a first aspect of the embodiments of the present invention, a method for recommending an emergency plan for an emergency is provided, the method comprising:
在急救伤员进行急救的过程中,获取所述急救伤员的电子病历信息;Obtain the electronic medical record information of the first-aid casualty during the first-aid process of the first-aid casualty;
根据所述电子病历信息和预训练好的突发事件分类模型,确定所述急救伤员对应的目标突发事件类型以及在所述目标突发事件类型下的目标级别;According to the electronic medical record information and the pre-trained emergency classification model, determine the target emergency type corresponding to the first-aid casualty and the target level under the target emergency type;
根据所述目标突发事件类型和所述目标级别,输出对应的目标应急方案。According to the target emergency event type and the target level, a corresponding target emergency plan is output.
在一个实施例中,优选地,所述突发事件包括核生化突发事件,则所述目标突发事件类型包括以下任一项:高传染性病毒、生物毒素、生物病原菌、神经毒剂、窒息刺激毒剂、糜烂毒剂、全身中毒剂、内污染及照射核事件、外照射核事件和外污染核事件,所述目标级别包括:轻级、中级和重级。In one embodiment, preferably, the emergency includes a nuclear, biochemical emergency, and the target emergency type includes any one of the following: highly infectious virus, biological toxin, biological pathogen, nerve agent, asphyxia Stimulating agents, erosive agents, systemic agents, internal contamination and exposure nuclear incidents, external exposure nuclear incidents and external contamination nuclear incidents, the target levels include: light, medium and heavy.
在一个实施例中,优选地,所述电子病历信息包括:性别、年龄、病历文书、检查报告信息、检验报告信息、心率信息、血氧饱和度信息、呼吸频率、血压和体温。In one embodiment, preferably, the electronic medical record information includes: gender, age, medical records, examination report information, examination report information, heart rate information, blood oxygen saturation information, respiratory rate, blood pressure and body temperature.
在一个实施例中,优选地,所述突发事件分类模型包括首层分类模型和二层分类模型;In one embodiment, preferably, the emergency event classification model includes a first-level classification model and a second-level classification model;
使用所述首层分类模型和所述电子病历信息预测所述急救伤员对应的目标突发事件类型;using the first-level classification model and the electronic medical record information to predict the target emergency type corresponding to the first aid casualty;
使用所述二层分类模型和所述电子病历信息预测所述急救伤员在所述目标突发事件类型下的目标级别。Using the two-layer classification model and the electronic medical record information to predict the target level of the emergency casualty under the target emergency type.
在一个实施例中,优选地,所述突发事件分类模型的训练过程包括:In one embodiment, preferably, the training process of the emergency event classification model includes:
获取历史不同突发事件患者的病历信息和诊断信息;Obtain medical records and diagnostic information of patients with different historical events;
使用NLP信息提取方法识别所述病历信息中的实体和实体关系,以对所述病历信息进行结构化处理,得到结构化处理后的病历信息;Using the NLP information extraction method to identify entities and entity relationships in the medical record information to perform structured processing on the medical record information to obtain structured medical record information;
从所述结构化处理后的病历信息中提取出所有病历特征,并进行异常值和缺失值处理后,使用统计分析单因素分析选择概率值小于预设值的目标病历特征为训练特征,放入训练特征集;All medical record features are extracted from the structured medical record information, outliers and missing values are processed, and statistical analysis univariate analysis is used to select the target medical record features whose probability value is less than the preset value as training features, and put them in training feature set;
对所述训练特征集中的每个训练特征进行归一化处理,并拼接成样本输入数据;Normalizing each training feature in the training feature set, and splicing it into sample input data;
根据所述样本输入数据、所述诊断信息中的突发事件类型以及卷积神经网络模型进行模型训练,以得到所述首层分类模型;Perform model training according to the sample input data, the type of emergencies in the diagnostic information, and the convolutional neural network model to obtain the first-layer classification model;
根据所述样本输入数据、所述诊断信息中的突发事件类型以及多个级别分类模型进行模型训练,以得到所述二层分类模型;Perform model training according to the sample input data, the type of emergencies in the diagnostic information, and multiple-level classification models to obtain the two-layer classification model;
在一个实施例中,优选地,所述多个级别分类模型包括XGBoost模型、随机森林模型、支持向量机模型和逻辑回归模型,所述方法还包括:In one embodiment, preferably, the multiple-level classification models include an XGBoost model, a random forest model, a support vector machine model and a logistic regression model, and the method further includes:
计算每个级别分类模型预测的模型准确率,将模型准确率最高的目标级别分类模型确定为最佳模型;Calculate the model accuracy rate predicted by each level classification model, and determine the target level classification model with the highest model accuracy rate as the best model;
将所述最佳模型的预测结果作为所述二层分类模型的最终预测结果。The prediction result of the best model is used as the final prediction result of the two-layer classification model.
在一个实施例中,优选地,根据所述样本输入数据、所述诊断信息中的突发事件类型以及卷积神经网络模型进行模型训练,以得到所述首层分类模型,包括:In one embodiment, preferably, model training is performed according to the sample input data, the emergency event type in the diagnosis information, and the convolutional neural network model to obtain the first-layer classification model, including:
将所述样本输入数据输入至卷积层,以得到第一输出结果;inputting the sample input data to the convolutional layer to obtain a first output result;
将所述第一输出结果输入至池化层,以得到第二输出结果;Inputting the first output result to the pooling layer to obtain a second output result;
将所述第二输出结果输入至全连接层,以得到第三输出结果;Inputting the second output result to the fully connected layer to obtain a third output result;
将所述第三输出结果输出至集成分类器,以得到输出结果,所述输出结果包括各类突发事件的概率值;outputting the third output result to the integrated classifier to obtain an output result, where the output result includes probability values of various types of emergencies;
输出层输出概率值最高的突发事件类型,所述概率值最高的突发事件类型即为所述目标突发事件类型。The output layer outputs the emergency event type with the highest probability value, and the emergency event type with the highest probability value is the target emergency event type.
根据本发明实施例的第二方面,提供一种突发事件的应急方案推荐装置,所述装置包括:According to a second aspect of the embodiments of the present invention, there is provided an emergency plan recommendation device for an emergency, the device comprising:
获取模块,用于在急救伤员进行急救的过程中,获取所述急救伤员的电子病历信息;an obtaining module, used for obtaining the electronic medical record information of the first-aid casualty during the first-aid process of the first-aid casualty;
确定模块,用于根据所述电子病历信息和预训练好的突发事件分类模型,确定所述急救伤员对应的目标突发事件类型以及在所述目标突发事件类型下的目标级别;A determination module, configured to determine the target emergency type corresponding to the first-aid casualty and the target level under the target emergency type according to the electronic medical record information and the pre-trained emergency classification model;
输出模块,用于根据所述目标突发事件类型和所述目标级别,输出对应的目标应急方案。An output module, configured to output a corresponding target emergency plan according to the target emergency event type and the target level.
在一个实施例中,优选地,所述突发事件包括核生化突发事件,则所述目标突发事件类型包括以下任一项:高传染性病毒、生物毒素、生物病原菌、神经毒剂、窒息刺激毒剂、糜烂毒剂、全身中毒剂、内污染及照射核事件、外照射核事件和外污染核事件,所述目标级别包括:轻级、中级和重级。In one embodiment, preferably, the emergency includes a nuclear, biochemical emergency, and the target emergency type includes any one of the following: highly infectious virus, biological toxin, biological pathogen, nerve agent, asphyxia Stimulating agents, erosive agents, systemic agents, internal contamination and exposure nuclear incidents, external exposure nuclear incidents and external contamination nuclear incidents, the target levels include: light, medium and heavy.
在一个实施例中,优选地,所述电子病历信息包括:性别、年龄、病历文书、检查报告信息、检验报告信息、心率信息、血氧饱和度信息、呼吸频率、血压和体温。In one embodiment, preferably, the electronic medical record information includes: gender, age, medical records, examination report information, examination report information, heart rate information, blood oxygen saturation information, respiratory rate, blood pressure and body temperature.
在一个实施例中,优选地,所述突发事件分类模型包括首层分类模型和二层分类模型;In one embodiment, preferably, the emergency event classification model includes a first-level classification model and a second-level classification model;
使用所述首层分类模型和所述电子病历信息预测所述急救伤员对应的目标突发事件类型;using the first-level classification model and the electronic medical record information to predict the target emergency type corresponding to the first aid casualty;
使用所述二层分类模型和所述电子病历信息预测所述急救伤员在所述目标突发事件类型下的目标级别。Using the two-layer classification model and the electronic medical record information to predict the target level of the emergency casualty under the target emergency type.
在一个实施例中,优选地,所述突发事件分类模型的训练过程包括:In one embodiment, preferably, the training process of the emergency event classification model includes:
获取历史不同突发事件患者的病历信息和诊断信息;Obtain medical records and diagnostic information of patients with different historical events;
使用NLP信息提取方法识别所述病历信息中的实体和实体关系,以对所述病历信息进行结构化处理,得到结构化处理后的病历信息;Using the NLP information extraction method to identify entities and entity relationships in the medical record information to perform structured processing on the medical record information to obtain structured medical record information;
从所述结构化处理后的病历信息中提取出所有病历特征,并进行异常值和缺失值处理后,使用统计分析单因素分析选择概率值小于预设值的目标病历特征为训练特征,放入训练特征集;All medical record features are extracted from the structured medical record information, outliers and missing values are processed, and statistical analysis univariate analysis is used to select the target medical record features whose probability value is less than the preset value as training features, and put them in training feature set;
对所述训练特征集中的每个训练特征进行归一化处理,并拼接成样本输入数据;Normalizing each training feature in the training feature set, and splicing it into sample input data;
根据所述样本输入数据、所述诊断信息中的突发事件类型以及卷积神经网络模型进行模型训练,以得到所述首层分类模型;Perform model training according to the sample input data, the type of emergencies in the diagnostic information, and the convolutional neural network model to obtain the first-layer classification model;
根据所述样本输入数据、所述诊断信息中的突发事件类型以及多个级别分类模型进行模型训练,以得到所述二层分类模型;Perform model training according to the sample input data, the type of emergencies in the diagnostic information, and multiple-level classification models to obtain the two-layer classification model;
在一个实施例中,优选地,所述多个级别分类模型包括XGBoost模型、随机森林模型、支持向量机模型和逻辑回归模型,所述装置还包括:In one embodiment, preferably, the multiple-level classification models include an XGBoost model, a random forest model, a support vector machine model and a logistic regression model, and the device further includes:
计算模块,用于计算每个级别分类模型预测的模型准确率,将模型准确率最高的目标级别分类模型确定为最佳模型;The calculation module is used to calculate the model accuracy rate predicted by the classification model of each level, and determine the target level classification model with the highest model accuracy rate as the best model;
结果确定模块,用于将所述最佳模型的预测结果作为所述二层分类模型的最终预测结果。The result determination module is configured to use the prediction result of the best model as the final prediction result of the two-layer classification model.
在一个实施例中,优选地,根据所述样本输入数据、所述诊断信息中的突发事件类型以及卷积神经网络模型进行模型训练,以得到所述首层分类模型,包括:In one embodiment, preferably, model training is performed according to the sample input data, the emergency event type in the diagnosis information, and the convolutional neural network model to obtain the first-layer classification model, including:
将所述样本输入数据输入至卷积层,以得到第一输出结果;inputting the sample input data to the convolutional layer to obtain a first output result;
将所述第一输出结果输入至池化层,以得到第二输出结果;Inputting the first output result to the pooling layer to obtain a second output result;
将所述第二输出结果输入至全连接层,以得到第三输出结果;Inputting the second output result to the fully connected layer to obtain a third output result;
将所述第三输出结果输出至集成分类器,以得到输出结果,所述输出结果包括各类突发事件的概率值;outputting the third output result to the integrated classifier to obtain an output result, where the output result includes probability values of various types of emergencies;
输出层输出概率值最高的突发事件类型,所述概率值最高的突发事件类型即为所述目标突发事件类型。The output layer outputs the emergency event type with the highest probability value, and the emergency event type with the highest probability value is the target emergency event type.
根据本发明实施例的第三方面,提供一种突发事件的应急方案推荐装置,所述装置包括:According to a third aspect of the embodiments of the present invention, there is provided an emergency plan recommendation device for an emergency, the device comprising:
处理器;processor;
用于存储处理器可执行指令的存储器;memory for storing processor-executable instructions;
其中,所述处理器被配置为:wherein the processor is configured to:
在急救伤员进行急救的过程中,获取所述急救伤员的电子病历信息;Obtain the electronic medical record information of the first-aid casualty during the first-aid process of the first-aid casualty;
根据所述电子病历信息和预训练好的突发事件分类模型,确定所述急救伤员对应的目标突发事件类型以及在所述目标突发事件类型下的目标级别;According to the electronic medical record information and the pre-trained emergency classification model, determine the target emergency type corresponding to the first-aid casualty and the target level under the target emergency type;
根据所述目标突发事件类型和所述目标级别,输出对应的目标应急方案。According to the target emergency event type and the target level, a corresponding target emergency plan is output.
根据本发明实施例的第四方面,提供一种计算机可读存储介质,其上存储有计算机指令,该指令被处理器执行时实现第一方面中任一项方法的步骤。According to a fourth aspect of the embodiments of the present invention, there is provided a computer-readable storage medium on which computer instructions are stored, and when the instructions are executed by a processor, implement the steps of any one of the methods in the first aspect.
本发明的实施例提供的技术方案可以包括以下有益效果:The technical solutions provided by the embodiments of the present invention may include the following beneficial effects:
虽然突发事件发生概率较小,但对社会和患者康复影响巨大,在任何疾病转运过程中,转运急救医生皆需要对患者病情及生命体征进行记录,因此转运急救医生需要及时根据患者实时生命提升与病情变化,获得最佳诊疗方案推荐,从而避免事件进一步扩散,以及帮助患者尽快康复。而在本实施例中,提出针对突发事件的最佳诊疗方案推荐方法,实现在急救过程中,根据历史最佳的诊疗方案学习,从而得出对突发事件治疗方案的推荐,提升突发事件的救治效果。Although the probability of emergencies is small, they have a huge impact on the society and the recovery of patients. During the transfer of any disease, the emergency transfer doctor needs to record the patient's condition and vital signs. Therefore, the emergency transfer doctor needs to improve the patient's life in time according to the real-time life. According to the changes in the condition, the best diagnosis and treatment plan is recommended, so as to avoid the further spread of the incident and help the patient recover as soon as possible. In this embodiment, a method for recommending the best diagnosis and treatment plan for emergencies is proposed, so that during the emergency process, the best diagnosis and treatment plan in history can be learned, so as to obtain a recommendation for the treatment plan for emergencies, so as to improve the emergency treatment plan. The rescue effect of the incident.
应当理解的是,以上的一般描述和后文的细节描述仅是示例性和解释性的,并不能限制本发明。It is to be understood that both the foregoing general description and the following detailed description are exemplary and explanatory only and are not restrictive of the invention.
附图说明Description of drawings
此处的附图被并入说明书中并构成本说明书的一部分,示出了符合本发明的实施例,并与说明书一起用于解释本发明的原理。The accompanying drawings, which are incorporated in and constitute a part of this specification, illustrate embodiments consistent with the invention and together with the description serve to explain the principles of the invention.
图1是根据一示例性实施例示出的一种突发事件的应急方案推荐方法的流程图。Fig. 1 is a flow chart of a method for recommending an emergency plan for an emergency according to an exemplary embodiment.
图2是根据一示例性实施例示出的突发事件分类模型的训练过程的流程图。Fig. 2 is a flowchart showing a training process of an emergency event classification model according to an exemplary embodiment.
图3是根据一示例性实施例示出的首层分类模型的结构示意图。FIG. 3 is a schematic structural diagram of a first-level classification model according to an exemplary embodiment.
图4是根据一示例性实施例示出的一种突发事件的应急方案推荐装置的框图。Fig. 4 is a block diagram of a device for recommending emergency solutions for emergencies according to an exemplary embodiment.
具体实施方式Detailed ways
这里将详细地对示例性实施例进行说明,其示例表示在附图中。下面的描述涉及附图时,除非另有表示,不同附图中的相同数字表示相同或相似的要素。以下示例性实施例中所描述的实施方式并不代表与本发明相一致的所有实施方式。相反,它们仅是与本发明的一些方面相一致的装置和方法的例子。Exemplary embodiments will be described in detail herein, examples of which are illustrated in the accompanying drawings. Where the following description refers to the drawings, the same numerals in different drawings refer to the same or similar elements unless otherwise indicated. The implementations described in the illustrative examples below are not intended to represent all implementations consistent with the present invention. Rather, they are merely examples of apparatus and methods consistent with some aspects of the present invention.
图1是根据一示例性实施例示出的一种突发事件的应急方案推荐方法的流程图,如图1所示,该方法包括:Fig. 1 is a flow chart of a method for recommending an emergency plan for an emergency according to an exemplary embodiment. As shown in Fig. 1 , the method includes:
步骤S101,在急救伤员进行急救的过程中,获取所述急救伤员的电子病历信息;Step S101, in the process of first-aiding the wounded, obtaining electronic medical record information of the first-aid wounded;
在一个实施例中,优选地,所述电子病历信息包括:性别、年龄、病历文书、检查报告信息、检验报告信息、心率信息、血氧饱和度信息、呼吸频率、血压和体温。In one embodiment, preferably, the electronic medical record information includes: gender, age, medical records, examination report information, examination report information, heart rate information, blood oxygen saturation information, respiratory rate, blood pressure and body temperature.
步骤S102,根据所述电子病历信息和预训练好的突发事件分类模型,确定所述急救伤员对应的目标突发事件类型以及在所述目标突发事件类型下的目标级别;Step S102, according to the electronic medical record information and the pre-trained emergency classification model, determine the target emergency type corresponding to the first-aid casualty and the target level under the target emergency type;
在一个实施例中,优选地,所述突发事件包括核生化突发事件,则所述目标突发事件类型包括以下任一项:高传染性病毒、生物毒素、生物病原菌、神经毒剂、窒息刺激毒剂、糜烂毒剂、全身中毒剂、内污染及照射核事件、外照射核事件和外污染核事件,所述目标级别包括:轻级、中级和重级。In one embodiment, preferably, the emergency includes a nuclear, biochemical emergency, and the target emergency type includes any one of the following: highly infectious virus, biological toxin, biological pathogen, nerve agent, asphyxia Stimulating agents, erosive agents, systemic agents, internal contamination and exposure nuclear incidents, external exposure nuclear incidents and external contamination nuclear incidents, the target levels include: light, medium and heavy.
在一个实施例中,优选地,所述突发事件分类模型包括首层分类模型和二层分类模型;In one embodiment, preferably, the emergency event classification model includes a first-level classification model and a second-level classification model;
使用所述首层分类模型和所述电子病历信息预测所述急救伤员对应的目标突发事件类型;using the first-level classification model and the electronic medical record information to predict the target emergency type corresponding to the first aid casualty;
使用所述二层分类模型和所述电子病历信息预测所述急救伤员在所述目标突发事件类型下的目标级别。Using the two-layer classification model and the electronic medical record information to predict the target level of the emergency casualty under the target emergency type.
在该实施例中,分层建模可以降低模型的复杂度,因为突发事件种类较多,可看做是一个多分类问题,分层建模首层可以将多分类问题转化为是否为某一明确突发事件(已知突发事件)的二分类问题,二层再推荐根据历史学习结果的预警分级(轻中重以及历史治疗方案),降低了模型的复杂度。In this embodiment, hierarchical modeling can reduce the complexity of the model, because there are many types of emergencies, it can be regarded as a multi-classification problem, and the first layer of hierarchical modeling can convert the multi-classification problem into whether it is a certain First, the two-category problem of emergencies (known emergencies) is clarified, and the second-layer recommends early warning classification (light, medium and severe and historical treatment plans) based on historical learning results, which reduces the complexity of the model.
步骤S103,根据所述目标突发事件类型和所述目标级别,输出对应的目标应急方案。Step S103, output a corresponding target emergency plan according to the target emergency event type and the target level.
虽然突发事件发生概率较小,但对社会和患者康复影响巨大,在任何疾病转运过程中,转运急救医生皆需要对患者病情及生命体征进行记录,因此转运急救医生需要及时根据患者实时生命提升与病情变化,获得最佳诊疗方案推荐,从而避免事件进一步扩散,以及帮助患者尽快康复。而在本实施例中,提出针对突发事件的最佳诊疗方案推荐方法,实现在急救过程中,根据历史最佳的诊疗方案学习,从而得出对突发事件治疗方案的推荐,提升突发事件的救治效果。Although the probability of emergencies is small, they have a huge impact on the society and the recovery of patients. During the transfer of any disease, the emergency transfer doctor needs to record the patient's condition and vital signs. Therefore, the emergency transfer doctor needs to improve the patient's life in time according to the real-time life. According to the changes in the condition, the best diagnosis and treatment plan is recommended, so as to avoid the further spread of the incident and help the patient recover as soon as possible. In this embodiment, a method for recommending the best diagnosis and treatment plan for emergencies is proposed, so that during the emergency process, the best diagnosis and treatment plan in history can be learned, so as to obtain a recommendation for the treatment plan for emergencies, so as to improve the emergency treatment plan. The rescue effect of the incident.
在一个实施例中,优选地,所述突发事件分类模型的训练过程包括:In one embodiment, preferably, the training process of the emergency event classification model includes:
步骤S201,获取历史不同突发事件患者的病历信息和诊断信息;Step S201, obtaining medical record information and diagnosis information of patients with different historical emergencies;
病历信息是描述该患者的最全面、最详细的记录。因此能够更好地反应患者的病情信息。学习的特征集来自患者的性别、年龄等基本信息、病历文书、检查检验报告等数据,心电监护仪的心率、血氧饱和度、呼吸频率、血压和体温等数据,标签来自患者的诊断信息。Medical record information is the most comprehensive and detailed record describing the patient. Therefore, it can better reflect the patient's condition information. The learned feature set comes from the patient's gender, age and other basic information, medical records, inspection reports and other data, the heart rate, blood oxygen saturation, respiratory rate, blood pressure and body temperature data of the ECG monitor, and the label comes from the patient's diagnostic information .
步骤S202,使用NLP信息提取方法识别所述病历信息中的实体和实体关系,以对所述病历信息进行结构化处理,得到结构化处理后的病历信息;Step S202, using the NLP information extraction method to identify entities and entity relationships in the medical record information, to perform structured processing on the medical record information, and obtain structured medical record information;
使用NLP信息抽取方法识别病历中的实体(症状,疾病、时间等)和实体关系(伴随时间,发生部位等),实现数据的后结构化处理。Use NLP information extraction method to identify entities (symptoms, diseases, time, etc.) and entity relationships (accompanying time, location of occurrence, etc.) in medical records, and realize post-structural processing of data.
步骤S203,从所述结构化处理后的病历信息中提取出所有病历特征,并进行异常值和缺失值处理后,使用统计分析单因素分析选择概率值小于预设值的目标病历特征为训练特征,放入训练特征集;Step S203, extracting all the medical record features from the structured medical record information, and processing outliers and missing values, using statistical analysis and univariate analysis to select the target medical record features whose probability value is less than the preset value as the training feature , put into the training feature set;
基于结构化后的数据抽取特征,其中由于不同医生对于症状、体征等信息的描述存在差异性,需要引入知识库中的同义词信息对症状、疾病和体征等进行归一化操作,将描述不同但实际指代同一对象的结果归一为标准名称。例如将“呼吸受限”,“呼吸费力感”,“呼吸不畅”等替换成标准名称“呼吸困难”。另外为了更全面准确地表达患者病情,根据实体关系实现特征的组合,比如主诉中”咳嗽3天,伴咳痰2天”包含了咳嗽和咳痰两个症状实体,3天和2天两个时间实体。其中咳嗽与咳痰的实体关系是伴随,3天与咳嗽的实体关系是持续时间,2天与咳痰的实体关系是持续时间。因此,得到咳嗽,咳嗽3天,咳痰,咳痰2天共四个症状。Extract features based on structured data, in which, due to differences in the description of symptoms, signs and other information by different doctors, synonym information in the knowledge base needs to be introduced to normalize symptoms, diseases and signs, etc. Results that actually refer to the same object are normalized to the standard name. For example, replace "restricted breathing", "feeling of labored breathing", "poor breathing", etc. with the standard name "difficulty breathing". In addition, in order to express the patient's condition more comprehensively and accurately, the combination of features is realized according to the entity relationship. For example, "cough for 3 days and expectoration for 2 days" in the main complaint includes two symptom entities of cough and expectoration, 3 days and 2 days. time entity. The entity relationship between cough and expectoration is concomitant, the entity relationship between 3 days and cough is duration, and the entity relationship between 2 days and expectoration is duration. Therefore, there are four symptoms of cough, cough for 3 days, expectoration, and expectoration for 2 days.
由于使用了患者的整个就诊记录的所有信息做为输入特征,因此特征维度比较大而且稀疏,模型训练很慢。例如,有机磷最初纳入的变量个数有69个,经过数据的异常值和缺失值处理之后,再通过统计分析单因素分析,纳入了p值小于0.05的14个特征集做为最终的特征集,具体见表1所示。新冠最初纳入的变量个数有83个,缺失比例超过50%的有20个,缺失比例30%-49%有10个,缺失比例20%-30%的有9个,20%以下的有36个,去除缺失率超过50%以上的特征,然后经过数据的异常值和缺失值处理之后,用统计分析单因素分析选择p值小于0.05的24个特征做为最终的特征集见下表2所示。Since all the information of the patient's entire medical record is used as the input feature, the feature dimension is relatively large and sparse, and the model training is very slow. For example, the number of variables originally included in organophosphorus was 69. After processing outliers and missing values in the data, and then through statistical analysis of univariate analysis, 14 feature sets with p value less than 0.05 were included as the final feature set , see Table 1 for details. There are 83 variables initially included in the new crown, 20 with a missing ratio of more than 50%, 10 with a missing ratio of 30%-49%, 9 with a missing ratio of 20%-30%, and 36 with a missing ratio of less than 20%. The features with a missing rate of more than 50% were removed, and after processing outliers and missing values in the data, 24 features with a p-value less than 0.05 were selected by statistical analysis and univariate analysis as the final feature set, as shown in Table 2 below. Show.
表1Table 1
表2Table 2
步骤S204,对所述训练特征集中的每个训练特征进行归一化处理,并拼接成样本输入数据;Step S204, normalizing each training feature in the training feature set, and splicing it into sample input data;
其中,对于离散训练特征和连续数值型特征分别进行处理。Among them, discrete training features and continuous numerical features are processed separately.
对于连续数值型特征,先进行异常值处理,对于明显偏离正常数值区间的进行滤除。之后为了消除不同特征之间量纲不同对模型训练产生的不良影响,需将连续型特征进行归一化操作,将数值规范化到[0,1]区间范围内,具体到,使用的归一化方法可以为MinMaxScaler,其主要思想是将每个连续型数值X按照最小值中心化后,再按极差(最大值-最小值)缩放,归一后的 具体公式为:For continuous numerical features, outliers are processed first, and those that deviate from the normal numerical range are filtered out. After that, in order to eliminate the adverse effects of different dimensions between different features on model training, it is necessary to normalize the continuous features, and normalize the values to the range of [0, 1]. Specifically, the normalization used The method can be MinMaxScaler. The main idea is to center each continuous value X according to the minimum value, and then scale it according to the range (maximum-minimum value). The specific formula after normalization is:
例如体温、收缩压,舒张压等心电监护仪的连续型数据处理,见如下表3所示。For example, continuous data processing of ECG monitors such as body temperature, systolic blood pressure, and diastolic blood pressure are shown in Table 3 below.
表3table 3
针对离散型特征,进行One-Hot编码处理,将原本类别型特征在高维空间中用0/1进行二值表示。1表示患者有此特征,0表示患者无此特征。举例如下表4所示。For discrete features, One-Hot coding is performed, and the original categorical features are represented by 0/1 binary values in high-dimensional space. 1 means the patient has this characteristic, 0 means the patient does not have this characteristic. Examples are shown in Table 4 below.
表4Table 4
步骤S205,根据所述样本输入数据、所述诊断信息中的突发事件类型以及卷积神经网络模型进行模型训练,以得到所述首层分类模型。Step S205: Perform model training according to the sample input data, the emergency event type in the diagnosis information, and the convolutional neural network model to obtain the first-layer classification model.
在一个实施例中,优选地,根据所述样本输入数据、所述诊断信息中的突发事件类型以及卷积神经网络模型进行模型训练,以得到所述首层分类模型,包括:In one embodiment, preferably, model training is performed according to the sample input data, the emergency event type in the diagnosis information, and the convolutional neural network model to obtain the first-layer classification model, including:
将所述样本输入数据输入至卷积层,以得到第一输出结果;inputting the sample input data to the convolutional layer to obtain a first output result;
将所述第一输出结果输入至池化层,以得到第二输出结果;Inputting the first output result to the pooling layer to obtain a second output result;
将所述第二输出结果输入至全连接层,以得到第三输出结果;Inputting the second output result to the fully connected layer to obtain a third output result;
将所述第三输出结果输出至集成分类器,以得到输出结果,所述输出结果包括各类突发事件的概率值;outputting the third output result to the integrated classifier to obtain an output result, where the output result includes probability values of various types of emergencies;
输出层输出概率值最高的突发事件类型,所述概率值最高的突发事件类型即为所述目标突发事件类型。The output layer outputs the emergency event type with the highest probability value, and the emergency event type with the highest probability value is the target emergency event type.
首层分类模型中采用的分类模型为卷积神经网络模型,如图3所示,首先从存储结构化后病例信息的数据库中抽取各个实体和实体关系作为首层分类模型的输入特征,在设定样本最大词数量后,为保证数据长度一致,使用Zero-Padding进行填补,最终最大序列长度为L。经过Word Embedding卷积层,形成词嵌入矩阵。本发明中使用的词向量模型,是基于多个医院真实中文电子病例数据作为语料库,使用公用开源工具Gensim模块来训练得到的,每个单词以100维的词向量进行表示。The classification model used in the first-layer classification model is a convolutional neural network model, as shown in Figure 3. First, each entity and entity relationship is extracted from the database storing the structured case information as the input features of the first-layer classification model. After the maximum number of words in the sample is determined, in order to ensure the consistency of the data length, Zero-Padding is used for padding, and the final maximum sequence length is L. After the Word Embedding convolution layer, a word embedding matrix is formed. The word vector model used in the present invention is based on the real Chinese electronic case data of multiple hospitals as a corpus, and is obtained by using the public open source tool Gensim module to train, and each word is represented by a 100-dimensional word vector.
本卷积神经网络中采用一维卷积方式。在模型结构选择时,考虑样本数量,硬件设备性能、模型复杂度、病例数据本身特点等多种因素,并依据过往实验经验,采用网格搜索(Grid Search)方法,对同一参数在不同值域、量级范围内,以递减顺序设定多个值。通过对比训练的模型在测试集上的准确率,最终设定256个尺寸分别为(L-1)*100、(L-2)*100、(L-3)*100的卷积核(Filter)。经过卷积层之后分别得到256个2*1、3*1、4*1的特征面,之后加入池化层(max-pooling)对Filter层的特征进行降维操作。之后经过全连接(FullyConnection)层把池化后的向量做拼接,作为Softmax层的输入,从而实现对多种突发事件的多分类预测。The one-dimensional convolution method is adopted in this convolutional neural network. When selecting the model structure, various factors such as the number of samples, the performance of hardware equipment, the complexity of the model, and the characteristics of the case data itself are considered, and based on the past experimental experience, the grid search method is used to search for the same parameter in different value ranges. , within the magnitude range, set multiple values in descending order. By comparing the accuracy of the trained model on the test set, we finally set 256 convolution kernels (Filter) with sizes (L-1)*100, (L-2)*100, and (L-3)*100 respectively. ). After the convolution layer, 256 feature surfaces of 2*1, 3*1, and 4*1 are obtained respectively, and then a pooling layer (max-pooling) is added to reduce the dimension of the features of the Filter layer. After that, the pooled vectors are spliced through the FullyConnection layer as the input of the Softmax layer, so as to realize multi-classification prediction of various emergencies.
在首层模型中,突发事件涉及病历与普通病历分布非常不均衡,非突发事件样本量较多,在这样情况下模型输出会倾向于非突发事件,为了减少类间样本数量不平衡对分类结果的影响,可以采用集成的思想:每次生成训练集时使用所有分类中的小样本量,同时从分类中的大样本量中随机抽取数据来与小样本量合并构成训练集,这样反复多次会得到很多训练集和训练模型。最后在应用时,使用组合方法(例如投票、加权投票等)产生分类预测结果。In the first-level model, the distribution of medical records and general medical records involved in emergencies is very uneven, and the sample size of non-emergency events is large. In this case, the model output will tend to be non-emergency events. In order to reduce the imbalance in the number of samples between classes The influence on the classification results can be based on the idea of integration: each time a training set is generated, the small sample size in all classifications is used, and data is randomly selected from the large sample size in the classification to combine with the small sample size to form a training set, so that Repeating multiple times will get many training sets and training models. Finally, when applied, use combination methods (such as voting, weighted voting, etc.) to produce classification predictions.
步骤S206,根据所述样本输入数据、所述诊断信息中的突发事件类型以及多个级别分类模型进行模型训练,以得到所述二层分类模型。Step S206: Perform model training according to the sample input data, the emergency event type in the diagnosis information, and the multiple-level classification models, so as to obtain the two-layer classification model.
在一个实施例中,优选地,所述多个级别分类模型包括XGBoost模型、随机森林模型、支持向量机模型和逻辑回归模型,所述方法还包括:In one embodiment, preferably, the multiple-level classification models include an XGBoost model, a random forest model, a support vector machine model and a logistic regression model, and the method further includes:
计算每个级别分类模型预测的模型准确率,将模型准确率最高的目标级别分类模型确定为最佳模型;Calculate the model accuracy rate predicted by each level classification model, and determine the target level classification model with the highest model accuracy rate as the best model;
将所述最佳模型的预测结果作为所述二层分类模型的最终预测结果。The prediction result of the best model is used as the final prediction result of the two-layer classification model.
二层分类模型的主要功能是预测患者属于某一突发事件某一分级的概率,为多分类问题,该突发事件由首层模型得到,二层模型采用的分类模型为tig。The main function of the second-level classification model is to predict the probability of a patient belonging to a certain emergency event, which is a multi-classification problem. The emergency event is obtained by the first-level model, and the classification model used by the second-level model is tig.
1)XGBoost(Extreme Gradient Boosting)1) XGBoost (Extreme Gradient Boosting)
专家学习和Boosting集成学习思想,从初始训练集中训练出一个基学习器;根据基学习器的性能表现调整样本分布,使得分类错误的样本在后续的训练中得到更多的关注;基于调整后的样本调整训练下一个基学习器:重复以上步骤,直至基学习器达到指定数目。最后当决策一个新的病例时,采用投票法或平均分值法来决定。Expert learning and Boosting integrated learning idea, train a base learner from the initial training set; adjust the sample distribution according to the performance of the base learner, so that the misclassified samples get more attention in subsequent training; based on the adjusted Sample adjustment to train the next base learner: Repeat the above steps until the specified number of base learners are reached. Finally, when a new case is decided, the voting method or the average score method is used to decide.
优点:在当前的很多数据集上,相对其他算法有着很大的优势,它支持高速度的并行计算,对于特征的值有缺失的样本,也可以自动学习出它的分裂方向。Advantages: In many current datasets, it has great advantages over other algorithms. It supports high-speed parallel computing. For samples with missing feature values, it can also automatically learn its splitting direction.
2)随机森林(Random Forest,RF)2) Random Forest (RF)
RF在以决策树为基学习器构建Bagging集成的基础上,进一步在决策树的训练过程中映入了随机属性选择,即对基决策树的每个节点,先从该节点的属性集合中随机选择一个包含k个属性的子集,然后再从这个子集中选择一个最优属性用于划分。因此进一步使泛化性能提升。On the basis of building a Bagging ensemble with a decision tree as the base learner, RF further incorporates random attribute selection into the training process of the decision tree, that is, for each node of the base decision tree, randomly select from the attribute set of the node Choose a subset containing k attributes, and then select an optimal attribute from this subset for partitioning. Therefore, the generalization performance is further improved.
优点:能够处理数量庞大的高维度的特征,且不需要进行降维,也能够评估各个特征在分类问题上的重要性,且对异常值、缺失值不敏感。Advantages: It can handle a large number of high-dimensional features without dimensionality reduction, and can also evaluate the importance of each feature in classification problems, and is insensitive to outliers and missing values.
3)支持向量机(Support Vector Machine,SVM)3) Support Vector Machine (SVM)
SVM是一类按监督学习方式对数据进行二元分类的广义线性分类器,其决策边界是对学习样本求解的最大边距超平面。通过重新构造后,SVM算法可以用于多分类问题。其解决方案之一为通过组合多个二分类器来实现多分类器的构造,常见的方法有one-against-one和one-against-all两种。SVM is a class of generalized linear classifiers that perform binary classification on data in a supervised learning manner, and its decision boundary is the maximum margin hyperplane that solves the learning samples. After reconstruction, the SVM algorithm can be used for multi-classification problems. One of the solutions is to realize the construction of multiple classifiers by combining multiple binary classifiers. Common methods include one-against-one and one-against-all.
4)逻辑回归(logistic regression,LR)4) Logistic regression (logistic regression, LR)
逻辑回归模型,是一种基于线性回归模型与Sigmoid激活函数组合而成的处理二值型标签的二分类算法。该模型结构简单,训练速度块,且由于相对深度神经网络只具有单层权重,所以其权重可解释较强。模型输出的值域在[0,1]中,可视作属于某一类的概率。在多分类研究中,需要利用One VS One或One VS Rest等策略将二分类模型转化为多分类预测架构。Logistic regression model is a binary classification algorithm based on the combination of linear regression model and sigmoid activation function to process binary labels. The model has a simple structure, training speed blocks, and since the relative deep neural network only has a single layer of weights, its weights are more interpretable. The value range of the model output is in [0, 1], which can be regarded as the probability of belonging to a certain class. In multi-class research, strategies such as One VS One or One VS Rest need to be used to convert the binary classification model into a multi-class prediction architecture.
针对多分类模型预测的混淆矩阵如下表5所示(以三个类别作为示例展示):The confusion matrix predicted by the multi-class model is shown in Table 5 below (using three categories as an example):
表5table 5
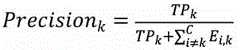
其中TPk表示真实标签为 k类,模型预测为 k类的样本数;Ek,i表示真实标签为 k类,模型预测为 i 类的样本数; C 表示多分类的类别总数。Among them,TPk represents the number of samples whose true label is class k and the model predicts class k;Ek,i represents the number of samples whose true label is class k and class i is predicted by the model; C represents the total number of classes in multi-classification.
根据多分类混淆矩阵的定义,针对模型整体预测性能使用准确率Accuracy进行评估,具体公式为:According to the definition of the multi-class confusion matrix, the overall prediction performance of the model is evaluated using the accuracy rate. The specific formula is:
为了更全面地体现多分类模型的预测性能,使用精准率(Precision)与召回率(Recall)进行评估。In order to more fully reflect the prediction performance of the multi-class model, the precision and recall are used for evaluation.
对类别k的精准率计算公式为:The formula for calculating the accuracy rate for category k is:
对类别k的召回率计算公式为:The formula for calculating the recall rate for category k is:
模型结果分析:Model result analysis:
实验过程中每个模型均采用了4折交叉验证,为将实验数据随机分为4份,其中的3份数据用于模型训练,剩下的1份数据用于测试模型。重复4次之后,我们就得到了4个模型和它的评估结果。During the experiment, each model used 4-fold cross-validation, in order to randomly divide the experimental data into 4 parts, 3 parts of the data were used for model training, and the remaining 1 part of the data was used for testing the model. After 4 repetitions, we have 4 models and their evaluation results.
模型准确率accuracy用于评估模型性能的好坏,准确率最高的模型视为最佳模型。新冠分级预测测试结果如表6所示,LR的accuracy为0.668,要高于其他三个模型,所以LR为最佳模型。 有机磷分级预测测试结果如表7所示,XGBOOST的accuracy为0.702,要高于其他三个模型,所以XGBOOST为最佳模型。The model accuracy rate is used to evaluate the performance of the model, and the model with the highest accuracy rate is regarded as the best model. The results of the new crown classification prediction test are shown in Table 6. The accuracy of LR is 0.668, which is higher than the other three models, so LR is the best model. The test results of organophosphorus classification prediction are shown in Table 7. The accuracy of XGBOOST is 0.702, which is higher than the other three models, so XGBOOST is the best model.
表6Table 6
表7Table 7
图4是根据一示例性实施例示出的一种突发事件的应急方案推荐装置的框图。Fig. 4 is a block diagram of a device for recommending emergency solutions for emergencies according to an exemplary embodiment.
根据本发明实施例的第二方面,提供一种突发事件的应急方案推荐装置,所述装置包括:According to a second aspect of the embodiments of the present invention, there is provided an emergency plan recommendation device for an emergency, the device comprising:
获取模块41,用于在急救伤员进行急救的过程中,获取所述急救伤员的电子病历信息;The obtaining
确定模块42,用于根据所述电子病历信息和预训练好的突发事件分类模型,确定所述急救伤员对应的目标突发事件类型以及在所述目标突发事件类型下的目标级别;A
输出模块43,用于根据所述目标突发事件类型和所述目标级别,输出对应的目标应急方案。The
在一个实施例中,优选地,所述突发事件包括核生化突发事件,则所述目标突发事件类型包括以下任一项:高传染性病毒、生物毒素、生物病原菌、神经毒剂、窒息刺激毒剂、糜烂毒剂、全身中毒剂、内污染及照射核事件、外照射核事件和外污染核事件,所述目标级别包括:轻级、中级和重级。In one embodiment, preferably, the emergency includes a nuclear, biochemical emergency, and the target emergency type includes any one of the following: highly infectious virus, biological toxin, biological pathogen, nerve agent, asphyxia Stimulating agents, erosive agents, systemic agents, internal contamination and exposure nuclear incidents, external exposure nuclear incidents and external contamination nuclear incidents, the target levels include: light, medium and heavy.
在一个实施例中,优选地,所述电子病历信息包括:性别、年龄、病历文书、检查报告信息、检验报告信息、心率信息、血氧饱和度信息、呼吸频率、血压和体温。In one embodiment, preferably, the electronic medical record information includes: gender, age, medical records, examination report information, examination report information, heart rate information, blood oxygen saturation information, respiratory rate, blood pressure and body temperature.
在一个实施例中,优选地,所述突发事件分类模型包括首层分类模型和二层分类模型;In one embodiment, preferably, the emergency event classification model includes a first-level classification model and a second-level classification model;
使用所述首层分类模型和所述电子病历信息预测所述急救伤员对应的目标突发事件类型;using the first-level classification model and the electronic medical record information to predict the target emergency type corresponding to the first aid casualty;
使用所述二层分类模型和所述电子病历信息预测所述急救伤员在所述目标突发事件类型下的目标级别。Using the two-layer classification model and the electronic medical record information to predict the target level of the emergency casualty under the target emergency type.
在一个实施例中,优选地,所述突发事件分类模型的训练过程包括:In one embodiment, preferably, the training process of the emergency event classification model includes:
获取历史不同突发事件患者的病历信息和诊断信息;Obtain medical records and diagnostic information of patients with different historical events;
使用NLP信息提取方法识别所述病历信息中的实体和实体关系,以对所述病历信息进行结构化处理,得到结构化处理后的病历信息;Using the NLP information extraction method to identify entities and entity relationships in the medical record information to perform structured processing on the medical record information to obtain structured medical record information;
从所述结构化处理后的病历信息中提取出所有病历特征,并进行异常值和缺失值处理后,使用统计分析单因素分析选择概率值小于预设值的目标病历特征为训练特征,放入训练特征集;All medical record features are extracted from the structured medical record information, outliers and missing values are processed, and statistical analysis univariate analysis is used to select the target medical record features whose probability value is less than the preset value as training features, and put them in training feature set;
对所述训练特征集中的每个训练特征进行归一化处理,并拼接成样本输入数据;Normalizing each training feature in the training feature set, and splicing it into sample input data;
根据所述样本输入数据、所述诊断信息中的突发事件类型以及卷积神经网络模型进行模型训练,以得到所述首层分类模型;Perform model training according to the sample input data, the type of emergencies in the diagnostic information, and the convolutional neural network model to obtain the first-layer classification model;
根据所述样本输入数据、所述诊断信息中的突发事件类型以及多个级别分类模型进行模型训练,以得到所述二层分类模型;Perform model training according to the sample input data, the type of emergencies in the diagnostic information, and multiple-level classification models to obtain the two-layer classification model;
在一个实施例中,优选地,所述多个级别分类模型包括XGBoost模型、随机森林模型、支持向量机模型和逻辑回归模型,所述装置还包括:In one embodiment, preferably, the multiple-level classification models include an XGBoost model, a random forest model, a support vector machine model and a logistic regression model, and the device further includes:
计算模块,用于计算每个级别分类模型预测的模型准确率,将模型准确率最高的目标级别分类模型确定为最佳模型;The calculation module is used to calculate the model accuracy rate predicted by the classification model of each level, and determine the target level classification model with the highest model accuracy rate as the best model;
结果确定模块,用于将所述最佳模型的预测结果作为所述二层分类模型的最终预测结果。The result determination module is configured to use the prediction result of the best model as the final prediction result of the two-layer classification model.
在一个实施例中,优选地,根据所述样本输入数据、所述诊断信息中的突发事件类型以及卷积神经网络模型进行模型训练,以得到所述首层分类模型,包括:In one embodiment, preferably, model training is performed according to the sample input data, the emergency event type in the diagnosis information, and the convolutional neural network model to obtain the first-layer classification model, including:
将所述样本输入数据输入至卷积层,以得到第一输出结果;inputting the sample input data to the convolutional layer to obtain a first output result;
将所述第一输出结果输入至池化层,以得到第二输出结果;Inputting the first output result to the pooling layer to obtain a second output result;
将所述第二输出结果输入至全连接层,以得到第三输出结果;Inputting the second output result to the fully connected layer to obtain a third output result;
将所述第三输出结果输出至集成分类器,以得到输出结果,所述输出结果包括各类突发事件的概率值;outputting the third output result to the integrated classifier to obtain an output result, where the output result includes probability values of various types of emergencies;
输出层输出概率值最高的突发事件类型,所述概率值最高的突发事件类型即为所述目标突发事件类型。The output layer outputs the emergency event type with the highest probability value, and the emergency event type with the highest probability value is the target emergency event type.
根据本发明实施例的第三方面,提供一种突发事件的应急方案推荐装置,所述装置包括:According to a third aspect of the embodiments of the present invention, there is provided an emergency plan recommendation device for an emergency, the device comprising:
处理器;processor;
用于存储处理器可执行指令的存储器;memory for storing processor-executable instructions;
其中,所述处理器被配置为:wherein the processor is configured to:
在急救伤员进行急救的过程中,获取所述急救伤员的电子病历信息;Obtain the electronic medical record information of the first-aid casualty during the first-aid process of the first-aid casualty;
根据所述电子病历信息和预训练好的突发事件分类模型,确定所述急救伤员对应的目标突发事件类型以及在所述目标突发事件类型下的目标级别;According to the electronic medical record information and the pre-trained emergency classification model, determine the target emergency type corresponding to the first-aid casualty and the target level under the target emergency type;
根据所述目标突发事件类型和所述目标级别,输出对应的目标应急方案。According to the target emergency event type and the target level, a corresponding target emergency plan is output.
根据本发明实施例的第四方面,提供一种计算机可读存储介质,其上存储有计算机指令,该指令被处理器执行时实现第一方面中任一项方法的步骤。According to a fourth aspect of the embodiments of the present invention, there is provided a computer-readable storage medium on which computer instructions are stored, and when the instructions are executed by a processor, implement the steps of any one of the methods in the first aspect.
进一步可以理解的是,本发明中“多个”是指两个或两个以上,其它量词与之类似。“和/或”,描述关联对象的关联关系,表示可以存在三种关系,例如,A和/或B,可以表示:单独存在A,同时存在A和B,单独存在B这三种情况。字符“/”一般表示前后关联对象是一种“或”的关系。单数形式的“一种”、“”和“该”也旨在包括多数形式,除非上下文清楚地表示其他含义。It can be further understood that, in the present invention, "a plurality" refers to two or more than two, and other measure words are similar. "And/or", which describes the association relationship of the associated objects, means that there can be three kinds of relationships, for example, A and/or B, which can mean that A exists alone, A and B exist at the same time, and B exists alone. The character "/" generally indicates that the associated objects are an "or" relationship. The singular forms "a," "" and "the" are intended to include the plural forms as well, unless the context clearly dictates otherwise.
进一步可以理解的是,术语“第一”、“第二”等用于描述各种信息,但这些信息不应限于这些术语。这些术语仅用来将同一类型的信息彼此区分开,并不表示特定的顺序或者重要程度。实际上,“第一”、“第二”等表述完全可以互换使用。例如,在不脱离本发明范围的情况下,第一信息也可以被称为第二信息,类似地,第二信息也可以被称为第一信息。It is further understood that the terms "first", "second", etc. are used to describe various information, but the information should not be limited to these terms. These terms are only used to distinguish the same type of information from one another, and do not imply a particular order or level of importance. In fact, the expressions "first", "second" etc. are used completely interchangeably. For example, the first information may also be referred to as the second information, and similarly, the second information may also be referred to as the first information, without departing from the scope of the present invention.
进一步可以理解的是,本发明实施例中尽管在附图中以特定的顺序描述操作,但是不应将其理解为要求按照所示的特定顺序或是串行顺序来执行这些操作,或是要求执行全部所示的操作以得到期望的结果。在特定环境中,多任务和并行处理可能是有利的。It should be further understood that, although the operations in the embodiments of the present invention are described in a specific order in the drawings, it should not be construed as requiring that the operations be performed in the specific order shown or the serial order, or requiring Perform all operations shown to obtain the desired result. In certain circumstances, multitasking and parallel processing may be advantageous.
本领域技术人员在考虑说明书及实践这里公开的发明后,将容易想到本发明的其它实施方案。本申请旨在涵盖本发明的任何变型、用途或者适应性变化,这些变型、用途或者适应性变化遵循本发明的一般性原理并包括本发明未公开的本技术领域中的公知常识或惯用技术手段。说明书和实施例仅被视为示例性的,本发明的真正范围和精神由下面的权利要求指出。Other embodiments of the invention will readily occur to those skilled in the art upon consideration of the specification and practice of the invention disclosed herein. This application is intended to cover any variations, uses or adaptations of the invention which follow the general principles of the invention and which include common knowledge or conventional techniques in the art not disclosed by the invention . The specification and examples are to be regarded as exemplary only, with the true scope and spirit of the invention being indicated by the following claims.
应当理解的是,本发明并不局限于上面已经描述并在附图中示出的精确结构,并且可以在不脱离其范围进行各种修改和改变。本发明的范围仅由所附的权利要求来限制。It should be understood that the present invention is not limited to the precise structures described above and illustrated in the accompanying drawings, and that various modifications and changes may be made without departing from its scope. The scope of the present invention is limited only by the appended claims.
| Application Number | Priority Date | Filing Date | Title |
|---|---|---|---|
| CN202210649826.5ACN114724710A (en) | 2022-06-10 | 2022-06-10 | Recommended method, device and storage medium for emergency plan for emergencies |
| Application Number | Priority Date | Filing Date | Title |
|---|---|---|---|
| CN202210649826.5ACN114724710A (en) | 2022-06-10 | 2022-06-10 | Recommended method, device and storage medium for emergency plan for emergencies |
| Publication Number | Publication Date |
|---|---|
| CN114724710Atrue CN114724710A (en) | 2022-07-08 |
| Application Number | Title | Priority Date | Filing Date |
|---|---|---|---|
| CN202210649826.5APendingCN114724710A (en) | 2022-06-10 | 2022-06-10 | Recommended method, device and storage medium for emergency plan for emergencies |
| Country | Link |
|---|---|
| CN (1) | CN114724710A (en) |
| Publication number | Priority date | Publication date | Assignee | Title |
|---|---|---|---|---|
| CN115983255B (en)* | 2023-03-21 | 2023-06-02 | 深圳市万物云科技有限公司 | Emergency management method, device, computer equipment and storage medium |
| CN116313018A (en)* | 2023-05-18 | 2023-06-23 | 北京大学第三医院(北京大学第三临床医学院) | System and method for improving emergency efficiency of skiing field and near-field hospital |
| CN117497155A (en)* | 2023-11-23 | 2024-02-02 | 北京大学第三医院(北京大学第三临床医学院) | Emergency scheme recommendation system and method for emergency |
| Publication number | Priority date | Publication date | Assignee | Title |
|---|---|---|---|---|
| US20190065464A1 (en)* | 2017-08-31 | 2019-02-28 | EMR.AI Inc. | Artificial intelligence scribe |
| CN110010234A (en)* | 2019-04-01 | 2019-07-12 | 何佳航 | Wireless network-based emergency rescue interaction method and system |
| CN111899866A (en)* | 2020-07-28 | 2020-11-06 | 四川大学华西医院 | Evaluation system for surgical complications based on deep learning |
| US20210202111A1 (en)* | 2018-09-05 | 2021-07-01 | Koninklijke Philips N.V. | Method of classifying medical records |
| CN113555077A (en)* | 2021-09-18 | 2021-10-26 | 北京大学第三医院(北京大学第三临床医学院) | Suspected infectious disease prediction method and device |
| CN114372143A (en)* | 2021-12-20 | 2022-04-19 | 中国科学院苏州生物医学工程技术研究所 | Classification prediction method, system and computer equipment for electronic medical records |
| Publication number | Priority date | Publication date | Assignee | Title |
|---|---|---|---|---|
| US20190065464A1 (en)* | 2017-08-31 | 2019-02-28 | EMR.AI Inc. | Artificial intelligence scribe |
| US20210202111A1 (en)* | 2018-09-05 | 2021-07-01 | Koninklijke Philips N.V. | Method of classifying medical records |
| CN110010234A (en)* | 2019-04-01 | 2019-07-12 | 何佳航 | Wireless network-based emergency rescue interaction method and system |
| CN111899866A (en)* | 2020-07-28 | 2020-11-06 | 四川大学华西医院 | Evaluation system for surgical complications based on deep learning |
| CN113555077A (en)* | 2021-09-18 | 2021-10-26 | 北京大学第三医院(北京大学第三临床医学院) | Suspected infectious disease prediction method and device |
| CN114372143A (en)* | 2021-12-20 | 2022-04-19 | 中国科学院苏州生物医学工程技术研究所 | Classification prediction method, system and computer equipment for electronic medical records |
| Publication number | Priority date | Publication date | Assignee | Title |
|---|---|---|---|---|
| CN115983255B (en)* | 2023-03-21 | 2023-06-02 | 深圳市万物云科技有限公司 | Emergency management method, device, computer equipment and storage medium |
| CN116313018A (en)* | 2023-05-18 | 2023-06-23 | 北京大学第三医院(北京大学第三临床医学院) | System and method for improving emergency efficiency of skiing field and near-field hospital |
| CN116313018B (en)* | 2023-05-18 | 2023-09-15 | 北京大学第三医院(北京大学第三临床医学院) | First aid system and method for ski resorts and local hospitals |
| CN117497155A (en)* | 2023-11-23 | 2024-02-02 | 北京大学第三医院(北京大学第三临床医学院) | Emergency scheme recommendation system and method for emergency |
| CN117497155B (en)* | 2023-11-23 | 2024-11-19 | 北京大学第三医院(北京大学第三临床医学院) | Emergency scheme recommendation system and method for emergency |
| Publication | Publication Date | Title |
|---|---|---|
| Yahaya et al. | A comprehensive review on heart disease prediction using data mining and machine learning techniques | |
| Polaraju et al. | Prediction of heart disease using multiple linear regression model | |
| CN114724710A (en) | Recommended method, device and storage medium for emergency plan for emergencies | |
| Mehrabi et al. | Temporal pattern and association discovery of diagnosis codes using deep learning | |
| CN109102886B (en) | Multi-inference mode fused geriatric disease inference diagnosis system | |
| Shukla et al. | Optimization assisted bidirectional gated recurrent unit for healthcare monitoring system in big-data | |
| CN111387938B (en) | Patient heart failure death risk prediction system based on characteristic rearrangement one-dimensional convolutional neural network | |
| Li et al. | Prediction and informative risk factor selection of bone diseases | |
| US20240347202A1 (en) | Cross Care Matrix Based Care Giving Intelligence | |
| CN118430820B (en) | A method for constructing a depression risk prediction model | |
| CN117079834A (en) | Method for monitoring multi-center clinical evaluation execution deviation by using large language model | |
| Syed et al. | Artificial intelligence methods in computer-aided diagnostic tools and decision support analytics for clinical informatics | |
| Mala | Machine learning-based intelligent assistant for smart healthcare | |
| Sampathkumar et al. | A deep learning approach with binary particle swarm optimization for optimizing prediction of heart disease | |
| Ekle et al. | A machine learning model and application for heart disease prediction using prevalent risk factors in Nigeria | |
| Charmilisri et al. | Enhanced Stroke Prediction through Recursive Feature Elimination and Cross-Validation in Machine Learning | |
| Ananthi et al. | Cardiovascular disease prediction using randelistic algorithm | |
| Paul et al. | in Healthcare | |
| Sahoo et al. | Utilizing predictive analysis to aid emergency medical services | |
| Ashok et al. | Predicting Heart Diseases Using Enhanced Machine Learning Techniques. | |
| TWI852774B (en) | Classification method and classification device thereof | |
| Chidozie et al. | Osteoporosis risk predictive model using supervised machine learning algorithms | |
| Kalta et al. | A review paper on: Heart disease data set analysis using data mining classification techniques | |
| Roy et al. | Cardiovascular disease prediction using ensemble classification algorithm in machine learning | |
| Vasilopoulou | Parkinson’s disease detection using voice recordings and Deep Learning |
| Date | Code | Title | Description |
|---|---|---|---|
| PB01 | Publication | ||
| PB01 | Publication | ||
| SE01 | Entry into force of request for substantive examination | ||
| SE01 | Entry into force of request for substantive examination | ||
| RJ01 | Rejection of invention patent application after publication | Application publication date:20220708 | |
| RJ01 | Rejection of invention patent application after publication |