
技术领域technical field
本发明涉及数据处理技术领域,尤其涉及一种基于加密的财务信息化数据处理方法和一种基于加密的财务信息化数据处理系统。The invention relates to the technical field of data processing, in particular to an encryption-based financial information data processing method and an encryption-based financial information data processing system.
背景技术Background technique
财务文件属于企业内部机密文件,一旦企业内部财务文件遭到泄密,通常会给企业带来不可估计的后果。由于商业恶性竞争等原因,部分从业人员会将企业财务文件出售给竞争对手,或者随意拷贝、利用、扩散及分发,给企业带来不可估量的损失,企业对财务文件进行加密可以防止企业内部机密文件泄密,所以对企业财务文件加密是很有必要的。Financial documents belong to the internal confidential documents of the enterprise. Once the internal financial documents of the enterprise are leaked, it will usually bring inestimable consequences to the enterprise. Due to vicious business competition and other reasons, some practitioners will sell corporate financial documents to competitors, or copy, use, spread and distribute at will, bringing immeasurable losses to the enterprise. Encrypting financial documents by enterprises can prevent internal secrets of the enterprise Documents are leaked, so it is necessary to encrypt corporate financial documents.
财务文件加密,一般是通过文件自带的加密功能采用人工设置秘钥的方式进行加密,这种加密过程虽然不复杂,但是很繁琐,而且每次产生新的财务文件都需要人工设置秘钥。并且,人工设置秘钥的过程中,往往是设置通用秘钥,即,所有的加密文件采用通用的秘钥。这种人工加密方式不仅需要人工设置秘钥,而且还存在所有财务文件只能设置通用秘钥的弊端,导致所有知道通用秘钥的人员,能随意查看所有的财务文件。The encryption of financial files is generally performed by manually setting the secret key through the encryption function that comes with the file. Although this encryption process is not complicated, it is very cumbersome, and every time a new financial file is generated, the secret key needs to be manually set. In addition, in the process of manually setting the secret key, a general secret key is often set, that is, all encrypted files use the general secret key. This manual encryption method not only needs to manually set the secret key, but also has the disadvantage that all financial documents can only set the general secret key, so that all people who know the general secret key can view all financial documents at will.
发明内容SUMMARY OF THE INVENTION
本发明的主要目的在于提供一种基于加密的财务信息化数据处理方法,旨在解决现有的财务文件系统中所有知道通用秘钥的人员能随意查看所有的财务文件的问题。The main purpose of the present invention is to provide an encryption-based financial informatization data processing method, which aims to solve the problem that all the personnel who know the general secret key in the existing financial file system can view all the financial files at will.
为实现上述目的,本发明提供的基于加密的财务信息化数据处理方法采用加密系统对财务文件进行加密;所述加密系统包括秘钥模块和与所述秘钥模块信号连接的财务模块;所述方法,包括:In order to achieve the above purpose, the encryption-based financial information data processing method provided by the present invention adopts an encryption system to encrypt financial documents; the encryption system includes a secret key module and a financial module that is signally connected to the secret key module; the methods, including:
当所述财务模块新增财务文件时,通过所述秘钥模块将财务文件中每个位置的文件内容采用位置代码进行区分,所述秘钥模块遍历每个位置代码对应的文件内容以提取与财务相关的关键词;When a new financial file is added by the financial module, the file content of each location in the financial file is distinguished by the location code through the secret key module, and the secret key module traverses the file content corresponding to each location code to extract the file content corresponding to the location code. Financial related keywords;
将同一位置代码对应的各个关键词存入同一关键词集合中;Store each keyword corresponding to the same location code into the same keyword set;
将所述财务文件中的每个位置的文件内容对应的位置代码及对应的关键词集合作为输入数据输入所述秘钥模块中的密级划分模型,并通过所述密级划分模型输出各个位置代码对应的密级;The location code corresponding to the file content of each location in the financial file and the corresponding keyword set are input into the secret-level division model in the secret key module as input data, and each location code corresponding to the output of the secret-level division model is output. the security level;
所述财务模块根据各个所述位置代码对应的密级,将所述财务文件分割成不同密级的区块,并将各个密级的区块设置为不可读区块;The financial module divides the financial file into blocks of different security levels according to the security levels corresponding to each of the location codes, and sets the blocks of each security level as unreadable blocks;
为所述财务文件设置文件秘钥;setting a file key for the financial file;
判断用户对所述财务文件输入的输入秘钥与所述文件秘钥是否一致;Determine whether the input key input by the user to the financial file is consistent with the file key;
在一致时,识别用户权限对应的密级,根据用户权限对应的密级,将财务文件中密级符合的区块状态调整为可读区块,并将财务文件中密级不符合的区块保持不可读状态。When they are consistent, identify the security level corresponding to the user authority, adjust the block status in the financial file that matches the security level to a readable block according to the security level corresponding to the user authority, and keep the block in the financial file in an unreadable state with a non-compliance level .
优选地,所述方法,还包括:Preferably, the method further includes:
建立神经网络模型;Build a neural network model;
将预设的关键词作为输入数据,将预设的关键词对应的密级作为输出数据,带入所述密级划分模型进行训练,以得到训练好的密级划分模型。The preset keyword is used as input data, and the density level corresponding to the preset keyword is used as output data, which is brought into the density level division model for training, so as to obtain a trained density level division model.
优选地,所述加密系统还包括一组具有设定顺序的解密终端,所述解密终端与所述秘钥模块信号连接;所述在一致时,识别用户权限对应的密级,根据用户权限对应的密级,将财务文件中密级符合的区块状态调整为可读区块,并将财务文件中密级不符合的区块保持不可读状态的步骤之后,还包括:Preferably, the encryption system further includes a set of decryption terminals with a set order, and the decryption terminals are signal-connected to the secret key module; when they are consistent, the encryption level corresponding to the user authority is identified, and the encryption level corresponding to the user authority is identified according to the user authority. Security level, after the steps of adjusting the block status of the financial file that matches the security level to a readable block, and keeping the block that does not meet the security level in the financial file in an unreadable state, it also includes:
在所述不可读区块显示秘钥输入窗;displaying a key input window in the unreadable block;
当所述区块的秘钥输入窗被点击时,向所述秘钥模块发送所述区块的解密指令;When the key input window of the block is clicked, send the decryption instruction of the block to the key module;
所述秘钥模块根据所述区块对应的密级,确定多个解密终端以形成解密终端集合,并向所述解密终端集合中的各个解密终端发送秘钥段,其中,将各个所述解密终端接收到的秘钥段按照解密终端顺序拼接,以得到所述区块的解密秘钥;The secret key module determines a plurality of decryption terminals to form a decryption terminal set according to the secret level corresponding to the block, and sends a secret key segment to each decryption terminal in the decryption terminal set, wherein each decryption terminal The received secret key segments are spliced in the order of the decryption terminal to obtain the decryption secret key of the block;
当侦测到所述解密秘钥输入所述秘钥输入窗时,将所述区块调整为可读区块。When it is detected that the decryption key is input into the key input window, the block is adjusted to a readable block.
优选地,所述秘钥模块设置有不同的秘钥池;所述秘钥模块根据所述区块对应的密级,确定多个解密终端以形成解密终端集合,并向所述解密终端集合中的各个解密终端发送秘钥段的步骤包括:Preferably, the secret key module is provided with different secret key pools; the secret key module determines a plurality of decryption terminals according to the encryption level corresponding to the block to form a decryption terminal set, and sends the decryption terminal set to the decryption terminal set. The steps of each decryption terminal sending the secret key segment include:
秘钥模块根据所述区块对应的密级,确定多个解密终端以形成解密终端集合;The secret key module determines a plurality of decryption terminals to form a set of decryption terminals according to the encryption level corresponding to the block;
随机建立所述解密终端集合中的各个解密终端与所述秘钥池的对应关系,且每个所述解密终端集合中的各个解密终端对应的秘钥池不同;Randomly establishing the correspondence between each decryption terminal in the decryption terminal set and the key pool, and the key pools corresponding to each decryption terminal in each of the decryption terminal sets are different;
从所述解密终端建立对应关系的所述秘钥池中提取秘钥段,并向对应的解密终端发送秘钥段。Extract the secret key segment from the secret key pool in which the decryption terminal establishes a corresponding relationship, and send the secret key segment to the corresponding decryption terminal.
优选地,所述秘钥模块连接有多个财务模块,每个财务模块关联一组专用的解密终端。Preferably, the key module is connected with a plurality of financial modules, and each financial module is associated with a set of dedicated decryption terminals.
优选地,所述财务模块根据各个所述位置代码对应的密级,将所述财务文件分割成不同密级的区块的步骤,具体为:Preferably, the financial module divides the financial file into blocks of different security levels according to the security levels corresponding to each of the location codes, specifically:
其中,i为财务文件中的文件内容对应的位置代码,i从1开始取值,且i为正整数;为位置代码为i的文件内容对应的密级;为位置代码为i+1的文件内容对应的密级;j为区块集合的序号,j从1开始取值,且j为正整数;表示位置代码为i的文件内容;表示位置代码为i+1的文件内容;为第j个区块集合;为第j+1个区块集合;表示将位置代码为i的文件内容添加至区块集合,表示将位置代码为i+1的文件内容添加至区块集合;表示将位置代码为i+1的文件内容添加至区块集合;Among them, i is the location code corresponding to the file content in the financial file, i starts from 1, and i is a positive integer; is the security level corresponding to the content of the file whose location code is i; is the security level corresponding to the file content whose location code is i+1; j is the serial number of the block set, j starts from 1, and j is a positive integer; Indicates the content of the file whose location code is i; Indicates the content of the file whose location code is i+1; is the jth block set; is the j+1th block set; Indicates that the content of the file with location code i is added to the block collection , Indicates that the content of the file whose position code is i+1 is added to the block collection ; Indicates that the content of the file whose position code is i+1 is added to the block collection ;
根据各个文件内容所在的区块集合,将所述财务文件分割成不同密级的区块。The financial file is divided into blocks of different security levels according to the block set in which the content of each file is located.
优选地,所述将同一位置代码对应的各个关键词存入同一关键词集合中的步骤,具体为:Preferably, the step of storing each keyword corresponding to the same location code into the same keyword set is specifically:
; ;
其中,i为财务文件中的文件内容对应的位置代码,i从1开始取值,且i为正整数;表示位置代码为i的文件内容对应的关键词集合,表示位置代码为i的文件内容中第m个关键词,,为位置代码为i的文件内容对应的关键词对应的关键词总数;Among them, i is the location code corresponding to the file content in the financial file, i starts from 1, and i is a positive integer; Represents the keyword set corresponding to the content of the file whose location code is i, Indicates the mth keyword in the content of the file whose location code is i, , is the total number of keywords corresponding to the keywords corresponding to the content of the file whose location code is i;
所述将所述财务文件中的每个位置的文件内容对应的位置代码及对应的关键词组作为输入数据输入所述秘钥模块中的密级划分模型,并通过所述密级划分模型输出各个位置代码对应的密级的步骤,具体为:The location code corresponding to the file content of each location in the financial file and the corresponding keyword group are input into the secret-level division model in the secret key module as input data, and each location code is output through the secret-level division model. The corresponding secret-level steps are as follows:
; ;
其中,为密级划分模型,为位置代码为i的文件内容对应的密级。in, For the dense-level partition model, It is the security level corresponding to the content of the file whose location code is i.
优选地,所述当所述财务模块新增财务文件时,通过所述秘钥模块将财务文件中每个位置的文件内容采用位置代码进行区分,所述秘钥模块遍历每个位置代码对应的文件内容以提取与财务相关的关键词的步骤之前,包括:Preferably, when the financial module adds a new financial file, the file content of each location in the financial file is distinguished by the location code through the secret key module, and the secret key module traverses the corresponding location codes of each location code. Before the steps of document content to extract finance-related keywords, include:
建立财务关键词数据库,其中,为财务关键词数据库中第n个财务关键词,,且n为正整数,N为财务关键词数据库中的财务关键词总数;Build a database of financial keywords ,in, is the nth financial keyword in the financial keyword database, , and n is a positive integer, N is the total number of financial keywords in the financial keyword database;
所述当所述财务模块新增财务文件时,通过所述秘钥模块将财务文件中每个位置的文件内容采用位置代码进行区分,所述秘钥模块遍历每个位置代码对应的文件内容以提取与财务相关的关键词的步骤,具体为:When the financial module adds a new financial file, the file content of each location in the financial file is distinguished by the location code through the secret key module, and the secret key module traverses the file content corresponding to each location code to The steps of extracting keywords related to finance are as follows:
当所述财务模块新增财务文件时,通过所述秘钥模块将财务文件中每个位置的文件内容采用位置代码进行区分;When the financial module adds a new financial file, the file content of each location in the financial file is distinguished by the location code through the secret key module;
对所述财务文件中的词语进行语义分割,得到位置代码为i的文件内容的待查词组集合;其中,为位置代码为i的文件内容中的待查词组集合中第q个关键词,,为位置代码为i的文件内容的待查词组集合中的关键词总数;Semantic segmentation is performed on the words in the financial document to obtain the set of phrases to be searched for the content of the document whose location code is i ;in, is the qth keyword in the set of phrases to be searched in the content of the file whose location code is i, , is the total number of keywords in the set of phrases to be searched for the content of the file whose location code is i;
其中,表示位置代码为i的文件内容对应的关键词集合,i从1开始取值,且i为正整数,表示将添加至关键词集合,表示不将添加至关键词集合Ai。in, Indicates the keyword set corresponding to the file content with the location code i, i starts from 1, and i is a positive integer, means to Add to Keyword Collection , said not to added to the keyword set Ai .
优选地,所述从所述文件内容中提取与财务相关的关键词的步骤,包括:Preferably, the step of extracting financial-related keywords from the file content includes:
设置多个不交叉的关键词字数区间,每个关键词字数区间对应一有关键词不重合的关键词数据库;其中,不同的关键词数据库中包含的关键词不重复,每个关键词字数区间对应的关键词数据库中的关键词的字数属于所述关键词字数区间;Set up multiple non-intersecting keyword word count intervals, and each keyword word count interval corresponds to a keyword database with non-overlapping keywords; among them, the keywords contained in different keyword databases are not repeated, and each keyword word count interval The word count of the keywords in the corresponding keyword database belongs to the keyword word count interval;
按照关键词字数区间从大到小的顺序确定每一轮提取选用的筛选窗口的大小,并确定每一轮提取选用的关键词数据库;其中,每一轮提取选用的筛选窗口大小指的是扫描的字数等于该轮关键词字数区间的上限;Determine the size of the screening window selected for each round of extraction in descending order of the keyword word count interval, and determine the keyword database selected for each round of extraction; wherein, the size of the screening window selected for each round of extraction refers to the scanning The number of words is equal to the upper limit of the keyword range of this round;
每一轮提取时,通过选用的筛选窗口对文件内容进行扫描,并将扫描到的信息与该轮选用的关键词数据库中的关键词进行比对,以对文件内容进行财务关键词提取;In each round of extraction, the file content is scanned through the selected screening window, and the scanned information is compared with the keywords in the keyword database selected in this round to extract financial keywords from the file content;
每完成一轮提取后,将提取出的关键词从文件内容中去除形成新的文件内容作为下一轮提取的文件内容。After each round of extraction is completed, the extracted keywords are removed from the file content to form a new file content as the file content of the next round of extraction.
为实现上述目的,本发明还提供一种基于加密的财务信息化数据处理系统,应用如上述任一项所述的基于加密的财务信息化数据处理方法对财务文件进行加密;所述加密系统包括秘钥模块和与所述秘钥模块信号连接的财务模块。In order to achieve the above purpose, the present invention also provides an encryption-based financial informatization data processing system, which applies the encryption-based financial informatization data processing method as described in any of the above to encrypt financial documents; the encryption system includes: A key module and a financial module signally connected to the key module.
在本发明的技术方案中,采用加密系统对财务文件进行加密;本发明通过从财务文件的每个位置的文件内容提取关键词,并输入密级划分模型,通过每个位置的关键词的密级确定财务文件中每个位置的文件内容的密级;然后,根据根据财务文件不同位置的密级,将财务文件分割成不同的密级区块;进一步的,将财务文件的所有文件内容设置为不可读状态;然后,本发明自动为财务文件赋予文件秘钥进行加密,该文件秘钥一般可以采取用户设置的通用秘钥,以使没有权限获知文件秘钥的人员,无法查看任何财务文件;进一步的,能够输入文件秘钥的人员,通过识别用户权限对应的密级,将密级符合的区块调整为可读区块,并将财务文件中密级不符合的区块保持不可读状态。因此,通过本发明的技术方案,可以通过提取关键词的方式自动识别财务文件中每处文件内容的密级,将财务文件进行密级分割,避免掌握文件秘钥的人员能查看到财务文件的所有机密内容;进一步的,本发明还对掌握文件秘钥的人员进行密级权限识别,自动将密级符合的文件内容调整为可读区块以便于用户查看,而财务文件中密级不符合的文件内容不向用户显示。并且,通过本发明的技术方案,用户不需要在上传财务文件时设置密码,只要将财务文件存储至财务模块,系统自动识别新增的财务文件中每处文件内容的密级,并设置通用的文件秘钥进行加密处理,同时还能仅将密级符合的文件内容向具有权限的用户显示,而密级不符合的文件内容不向不具有权限的用户显示,有利于解决现有的财务文件系统中所有知道通用秘钥的人员能随意查看所有的财务文件的问题。In the technical scheme of the present invention, an encryption system is used to encrypt the financial documents; the present invention extracts keywords from the file content of each position of the financial documents, and inputs the classification model of the classification level, and determines the encryption level of the keywords in each position. The security level of the file content of each location in the financial file; then, according to the security level of different locations in the financial file, the financial file is divided into different security level blocks; further, all file contents of the financial file are set to an unreadable state; Then, the present invention automatically assigns a file key to the financial file for encryption, and the file key can generally take the general key set by the user, so that those who do not have the authority to know the file key cannot view any financial file; further, it is possible to The person who enters the file key will adjust the block that matches the secret level to a readable block by identifying the secret level corresponding to the user's authority, and keep the block that does not meet the secret level in the financial file in an unreadable state. Therefore, through the technical solution of the present invention, the secret level of each file content in the financial document can be automatically identified by extracting keywords, and the financial document can be divided into secret levels, so as to prevent the person who has the secret key of the file from being able to view all the secrets of the financial document. Further, the present invention also identifies the secret level authority for the person who masters the secret key of the file, and automatically adjusts the content of the file that matches the secret level to a readable block so that the user can view it, and the content of the file that does not meet the secret level in the financial file will not be reported. User display. In addition, through the technical solution of the present invention, the user does not need to set a password when uploading financial documents, but only needs to store the financial documents in the financial module, and the system automatically identifies the security level of each file content in the newly added financial documents, and sets a general file. The secret key is encrypted, and at the same time, only the content of the file that matches the secret level can be displayed to the users with permission, and the content of the file that does not meet the security level is not displayed to the user who does not have the permission, which is beneficial to solve all the problems in the existing financial file system. A person who knows the common key can freely view all financial documents in question.
附图说明Description of drawings
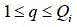
图1为本发明基于加密的财务信息化数据处理方法一实施例的流程示意图。FIG. 1 is a schematic flowchart of an embodiment of an encryption-based financial informatization data processing method according to the present invention.
本发明目的实现、功能特点及优点将结合实施例,参照附图做进一步说明。The object realization, functional features and advantages of the present invention will be further described with reference to the accompanying drawings in conjunction with the embodiments.
具体实施方式Detailed ways
应当理解,此处所描述的具体实施例仅用以解释本发明,并不用于限定本发明。It should be understood that the specific embodiments described herein are only used to explain the present invention, but not to limit the present invention.
在后续的描述中,使用用于表示元件的诸如“单元”、“部件”或“单元”的后缀仅为了有利于本发明的说明,其本身没有特定的意义。因此,“单元”、“部件”或“单元”可以混合地使用。In the ensuing description, suffixes such as "unit", "component" or "unit" used to represent elements are used only to facilitate the description of the present invention, and have no specific meaning per se. Thus, "unit", "component" or "unit" may be used interchangeably.
请参阅图1,为实现上述目的,本发明的第一实施例提供一种基于加密的财务信息化数据处理方法,采用加密系统对财务文件进行加密;所述加密系统包括秘钥模块和与所述秘钥模块信号连接的财务模块;所述方法,包括:Please refer to FIG. 1, in order to achieve the above purpose, the first embodiment of the present invention provides an encryption-based financial informatization data processing method, which uses an encryption system to encrypt financial documents; the encryption system includes a key module and an encryption system. The financial module of the signal connection of the key module; the method, comprising:
步骤S10,当所述财务模块新增财务文件时,通过所述秘钥模块将财务文件中每个位置的文件内容采用位置代码进行区分,所述秘钥模块遍历每个位置代码对应的文件内容以提取与财务相关的关键词;其中,从所述文件内容中提取与财务相关的关键词,用于对财务内容进行筛选,去除掉不相关的文件内容;Step S10, when the financial module adds a new financial file, the file content of each location in the financial file is distinguished by the location code through the secret key module, and the secret key module traverses the file content corresponding to each location code. to extract keywords related to finance; wherein, keywords related to finance are extracted from the content of the file, which is used to screen the content of finance and remove irrelevant file content;
步骤S20,将同一位置代码对应的各个关键词存入同一关键词集合中;Step S20, each keyword corresponding to the same location code is stored in the same keyword set;
步骤S30,将所述财务文件中的每个位置的文件内容对应的位置代码及对应的关键词集合作为输入数据输入所述秘钥模块中的密级划分模型,并通过所述密级划分模型输出各个位置代码对应的密级;In step S30, the location code corresponding to the file content of each location in the financial file and the corresponding keyword set are input into the secret-level division model in the secret key module as input data, and output each through the secret-level division model. The security level corresponding to the location code;
步骤S40,所述财务模块根据各个所述位置代码对应的密级,将所述财务文件分割成不同密级的区块,并将各个密级的区块设置为不可读区块;Step S40, the financial module divides the financial file into blocks of different security levels according to the security levels corresponding to each of the location codes, and sets the blocks of each security level as unreadable blocks;
步骤S50,为所述财务文件设置文件秘钥;Step S50, setting a file key for the financial file;
步骤S60,判断用户对所述财务文件输入的输入秘钥与所述文件秘钥是否一致;Step S60, judging whether the input key input by the user to the financial file is consistent with the file key;
步骤S70,在一致时,识别用户权限对应的密级,根据用户权限对应的密级,将财务文件中密级符合的区块状态调整为可读区块,并将财务文件中密级不符合的区块保持不可读状态。Step S70, when they are consistent, identify the security level corresponding to the user authority, adjust the block status in the financial file that matches the security level to a readable block according to the security level corresponding to the user authority, and keep the block in the financial file that does not match the security level. Unreadable state.
在本发明的技术方案中,采用加密系统对财务文件进行加密;本发明通过从财务文件的每个位置的文件内容提取关键词,并输入密级划分模型,通过每个位置的关键词的密级确定财务文件中每个位置的文件内容的密级;然后,根据根据财务文件不同位置的密级,将财务文件分割成不同的密级区块;进一步的,将财务文件的所有文件内容设置为不可读状态;然后,本发明自动为财务文件赋予文件秘钥进行加密,该文件秘钥一般可以采取用户设置的通用秘钥,以使没有权限获知文件秘钥的人员,无法查看任何财务文件;进一步的,能够输入文件秘钥的人员,通过识别用户权限对应的密级,将密级符合的区块调整为可读区块,并将财务文件中密级不符合的区块保持不可读状态。因此,通过本发明的技术方案,可以通过提取关键词的方式自动识别财务文件中每处文件内容的密级,将财务文件进行密级分割,避免掌握文件秘钥的人员能查看到财务文件的所有机密内容;进一步的,本发明还对掌握文件秘钥的人员进行密级权限识别,自动将密级符合的文件内容调整为可读区块以便于用户查看,而财务文件中密级不符合的文件内容不向用户显示。并且,通过本发明的技术方案,用户不需要在上传财务文件时设置密码,只要将财务文件存储至财务模块,系统自动识别新增的财务文件中每处文件内容的密级,并设置通用的文件秘钥进行加密处理,同时还能仅将密级符合的文件内容向具有权限的用户显示,而密级不符合的文件内容不向不具有权限的用户显示,有利于解决现有的财务文件系统中所有知道通用秘钥的人员能随意查看所有的财务文件的问题。In the technical scheme of the present invention, an encryption system is used to encrypt the financial documents; the present invention extracts keywords from the file content of each position of the financial documents, and inputs the classification model of the classification level, and determines the encryption level of the keywords in each position. The security level of the file content of each location in the financial file; then, according to the security level of different locations in the financial file, the financial file is divided into different security level blocks; further, all file contents of the financial file are set to an unreadable state; Then, the present invention automatically assigns a file key to the financial file for encryption, and the file key can generally take the general key set by the user, so that those who do not have the authority to know the file key cannot view any financial file; further, it is possible to The person who enters the file key will adjust the block that matches the secret level to a readable block by identifying the secret level corresponding to the user's authority, and keep the block that does not meet the secret level in the financial file in an unreadable state. Therefore, through the technical solution of the present invention, the secret level of each file content in the financial document can be automatically identified by extracting keywords, and the financial document can be divided into secret levels, so as to prevent the person who has the secret key of the file from being able to view all the secrets of the financial document. Further, the present invention also identifies the secret level authority for the person who masters the secret key of the file, and automatically adjusts the content of the file that matches the secret level to a readable block so that the user can view it, and the content of the file that does not meet the secret level in the financial file will not be reported. User display. In addition, through the technical solution of the present invention, the user does not need to set a password when uploading financial documents, but only needs to store the financial documents in the financial module, and the system automatically identifies the security level of each file content in the newly added financial documents, and sets a general file. The secret key is encrypted, and at the same time, only the content of the file that matches the secret level can be displayed to the users with permission, and the content of the file that does not meet the security level is not displayed to the user who does not have the permission, which is beneficial to solve all the problems in the existing financial file system. A person who knows the common key can freely view all financial documents in question.
具体的,财务文件可以是财务软件中导出的财务报表(例如利润表)、整理的报销单据,或新建的的财务制度,在此不对财务文件的类型进行限定。新增的财务文件可能包括一个或者多个财务文件,当为多个财务文件时,可以是包含多个财务文件的文件夹或者文件压缩包,每个文件包含的财务文件内容一般不相同,因此,每当财务模块存储有新增的财务文件时,都需要确定新增财务文件各个位置对应的密级,并进行加密和阅读权限的处理。Specifically, the financial file may be a financial statement (such as an income statement) exported from a financial software, a compiled reimbursement document, or a newly created financial system, and the type of the financial file is not limited here. The newly added financial file may include one or more financial files. In the case of multiple financial files, it can be a folder or file compression package containing multiple financial files. The content of the financial files contained in each file is generally different. Therefore, , whenever a new financial file is stored in the financial module, the security level corresponding to each location of the new financial file needs to be determined, and encryption and reading rights are processed.
财务模块为财务文件存储模块,在具体应用时,可以将用户端的指定存储区域设置为财务模块,例如,将用户端D盘中的“财务”文件夹指定为财务模块。The financial module is a financial file storage module. In specific applications, the designated storage area of the client can be set as the financial module. For example, the "Finance" folder in the D drive of the client can be designated as the financial module.
秘钥模块可以为多个财务模块公用的共享模块或者为指定财务模块专用的独立模块,秘钥模块设置为共享模块时,可以将秘钥模块设置在云服务器中,此时,秘钥模块通信连接多个财务模块。The key module can be a shared module shared by multiple financial modules or an independent module dedicated to the specified financial module. When the key module is set as a shared module, the key module can be set in the cloud server. At this time, the key module communicates with Connect multiple financial modules.
具体的,步骤S70中,识别用户权限对应的密级的方式可以有多种,例如,通过人脸识别、指纹识别、输入权限口令识别等。Specifically, in step S70, there may be various ways of identifying the security level corresponding to the user authority, for example, through face recognition, fingerprint recognition, input authority password recognition, and the like.
在一具体实施例中,从文件内容中提取财务相关的关键词时,具体可以为:In a specific embodiment, when extracting financial-related keywords from the file content, the specific method may be:
设置多个不交叉的关键词字数区间,每个关键词字数区间对应一有关键词不重合的关键词数据库;其中,不同的关键词数据库中包含的关键词不重复;每个关键词字数区间对应的关键词数据库中的关键词的字数属于该关键词字数区间;A plurality of non-intersecting keyword word count intervals are set, and each keyword word count interval corresponds to a keyword database with non-overlapping keywords; among them, the keywords contained in different keyword databases are not repeated; each keyword word count interval The word count of the keywords in the corresponding keyword database belongs to the keyword word count interval;
按照关键词字数区间从大到小的顺序确定每一轮提取选用的筛选窗口的大小,并确定每一轮提取选用的关键词数据库;其中,每一轮提取选用的筛选窗口大小指的是扫描的字数等于该轮关键词字数区间的上限;Determine the size of the screening window selected for each round of extraction in descending order of the keyword word count interval, and determine the keyword database selected for each round of extraction; wherein, the size of the screening window selected for each round of extraction refers to the scanning The number of words is equal to the upper limit of the keyword range of this round;
每一轮提取时,通过选用的筛选窗口对文件内容进行扫描,并将扫描到的信息与该轮选用的关键词数据库中的关键词进行比对,以对文件内容进行财务关键词提取;In each round of extraction, the file content is scanned through the selected screening window, and the scanned information is compared with the keywords in the keyword database selected in this round to extract financial keywords from the file content;
每完成一轮提取后,将提取出的关键词从文件内容中去除形成新的文件内容作为下一轮提取的文件内容。After each round of extraction is completed, the extracted keywords are removed from the file content to form a new file content as the file content of the next round of extraction.
当完成所有轮次的关键词提取后,将提取出的所有关键词合并组成关键词集合。After all rounds of keyword extraction are completed, all the extracted keywords are combined to form a keyword set.
例如,设置三个关键词字数区间:第一关键词字数区间的字数为(10,14],对应有第一关键词数据库;第二关键词字数区间的字数为(6,10],对应有第二关键词数据库;第三关键词字数区间的字数为(0,6],对应有第三关键词数据库;For example, set three keyword word count intervals: the word count of the first keyword word count interval is (10,14], corresponding to the first keyword database; the second keyword word count interval is (6,10], corresponding to The second keyword database; the number of words in the third keyword word count interval is (0,6], corresponding to the third keyword database;
由于设置三个关键词字数区间,因此需要对文件内容进行三次关键词提取。第一轮关键词提取时,采取第一关键词字数区间的字数上限14作为筛选窗口的大小;第二轮关键词提取时,采取第二关键词字数区间的字数上限10作为筛选窗口的大小;第三轮关键词提取时,采取第三关键词字数区间的字数上限6作为筛选窗口的大小。Since three keyword word count intervals are set, it is necessary to perform keyword extraction on the file content three times. During the first round of keyword extraction, the upper limit of the number of words in the first keyword word count interval of 14 is taken as the size of the screening window; during the second round of keyword extraction, the upper limit of the word count of the second keyword word count interval of 10 is taken as the size of the screening window; During the third round of keyword extraction, the upper limit of the word count of the third keyword word count interval of 6 is taken as the size of the screening window.
基于本发明的基于加密的财务信息化数据处理处理方法的第一实施例,本发明的基于加密的财务信息化数据处理处理方法的第二实施例中,所述方法,还包括:Based on the first embodiment of the encryption-based financial informatization data processing method of the present invention, and in the second embodiment of the encryption-based financial informatization data processing method of the present invention, the method further includes:
步骤S80,建立神经网络模型;Step S80, establishing a neural network model;
步骤S90,将预设的关键词作为输入数据,将预设的关键词对应的密级作为输出数据,带入所述密级划分模型进行训练,以得到训练好的密级划分模型。In step S90, the preset keywords are used as input data, and the density levels corresponding to the preset keywords are used as output data, and are brought into the density level division model for training, so as to obtain a trained density level division model.
具体的,密级划分模型为;Specifically, the dense-level division model is: ;
i从1开始取值,且i为正整数,表示位置代码为i的文件内容中第m个关键词,,为位置代码为i的文件内容对应的关键词对应的关键词总数。i starts from 1, and i is a positive integer, Indicates the mth keyword in the content of the file whose location code is i, , The total number of keywords corresponding to the keywords corresponding to the content of the file whose location code is i.
在选取关键词作为输入数据时,要需充分考虑到关键词的近义词和同义词。When selecting keywords as input data, it is necessary to fully consider the synonyms and synonyms of keywords.
基于本发明的基于加密的财务信息化数据处理处理方法的第一实施例或第二实施例,本发明的基于加密的财务信息化数据处理处理方法的第三实施例中,所述加密系统还包括一组具有设定顺序的解密终端,所述解密终端与所述秘钥模块信号连接;所述在一致时,识别用户权限对应的密级,根据用户权限对应的密级,将财务文件中密级符合的区块状态调整为可读区块,并将财务文件中密级不符合的区块保持不可读状态的步骤之后,还包括:Based on the first or second embodiment of the encryption-based financial informatization data processing method of the present invention, and in the third embodiment of the encryption-based financial informatization data processing method of the present invention, the encryption system further It includes a group of decryption terminals with a set order, and the decryption terminals are signal-connected with the secret key module; when they are consistent, identify the secret level corresponding to the user authority, and match the secret level in the financial file according to the secret level corresponding to the user authority. After the steps of adjusting the state of the block to be readable, and keeping the block in the financial file in an unreadable state that does not meet the confidentiality level, it also includes:
步骤S100,在所述不可读区块显示秘钥输入窗;具体的,可读区块中直接显示该区块对应的文件内容,以便于用户查阅;不可读区块设置为不可访问状态,并在用户点击不可读区块时,显示秘钥输入窗。Step S100, displaying a key input window in the unreadable block; specifically, directly displaying the content of the file corresponding to the block in the readable block, so as to facilitate user inspection; the unreadable block is set to an inaccessible state, and When the user clicks on the unreadable block, the key input window is displayed.
步骤S110,当所述区块的秘钥输入窗被点击时,向所述秘钥模块发送所述区块的解密指令;具体的,当秘钥输入窗被点击时,才向秘钥模块发送该区块的解密指令,以保证不可读区块的解密秘钥是随机生成的,而不是预设的,这是因为,预设秘钥往往容易泄露而造成财务数据处于容易窃取的不安全状态。Step S110, when the key input window of the block is clicked, send the decryption instruction of the block to the key module; specifically, when the key input window is clicked, send the decryption instruction to the key module. The decryption instruction of the block is to ensure that the decryption key of the unreadable block is randomly generated, not preset. This is because the preset secret key is often easily leaked and financial data is in an insecure state that is easy to steal. .
步骤S120,所述秘钥模块根据所述区块对应的密级,确定多个解密终端以形成解密终端集合,并向所述解密终端集合中的各个解密终端发送秘钥段,其中,将各个所述解密终端接收到的秘钥段按照解密终端顺序拼接,以得到所述区块的解密秘钥;此处的确定多个解密终端形成解密终端集合中,多个解密终端指的是至少两个解密终端,而多个解密终端的个数,可以根据区块的密级确定。例如,密级较低时,确定两个解密终端即可,密级较高时,确定个数更多的解密终端。Step S120, the secret key module determines a plurality of decryption terminals to form a decryption terminal set according to the encryption level corresponding to the block, and sends a secret key segment to each decryption terminal in the decryption terminal set, wherein each The key segments received by the decryption terminal are spliced in the order of the decryption terminals to obtain the decryption key of the block; here it is determined that multiple decryption terminals form a decryption terminal set, and multiple decryption terminals refer to at least two Decryption terminals, and the number of multiple decryption terminals can be determined according to the encryption level of the block. For example, when the secret level is low, two decryption terminals may be determined, and when the secret level is high, a larger number of decryption terminals may be determined.
多个解密终端分别接收到秘钥段拼接成解密秘钥,有利于提高秘钥的安全性。例如,即使其中一秘钥终端的秘钥段被拦截,也无法破解多个秘钥终端的多个秘钥段组成的解密秘钥。A plurality of decryption terminals respectively receive the secret key segments and spliced into a decryption secret key, which is beneficial to improve the security of the secret key. For example, even if the key segment of one key terminal is intercepted, the decryption key composed of multiple key segments of multiple key terminals cannot be cracked.
进一步的,解密秘钥发送至用户终端,具体的,各个解密终端具有预设顺序代码,按照解密终端集合中各个解密终端的顺序代码,控制解密终端集合中的各个解密终端按照次序向关联的用户终端发送密码段,在用户终端中拼接对应的密码段,即可得到解密秘钥。其中,为了避免密码段拼接顺序错误,在向用户终端发送密码段时,还同步发送各个密码段的顺序。以使用户根据密码段的顺序可以自行拼接密码段。Further, the decryption key is sent to the user terminal. Specifically, each decryption terminal has a preset sequence code, and according to the sequence code of each decryption terminal in the decryption terminal set, each decryption terminal in the decryption terminal set is controlled to the associated user in order. The terminal sends the password segment, and the corresponding password segment is spliced in the user terminal to obtain the decryption key. Wherein, in order to avoid the wrong order of splicing the password segments, when the password segments are sent to the user terminal, the sequence of each password segment is also sent synchronously. So that users can splicing password segments by themselves according to the sequence of the password segments.
步骤S130,当侦测到所述解密秘钥输入所述秘钥输入窗时,将所述区块调整为可读区块。Step S130, when it is detected that the decryption key is input into the key input window, adjust the block to a readable block.
进一步的,所述秘钥模块连接有多个财务模块,每个财务模块可以与解密终端建立固定的对应关系或者随机的对应关系。在本实施例中,每个财务模块关联一组专用的解密终端。而所述秘钥模块根据所述区块对应的密级,确定多个解密终端以形成解密终端集合的过程中,根据解密终端的需求数量,按照解密终端的顺序代码依次确定个数足够的解密终端即可。例如,财务模块A关联的一组解密终端包括解密终端1至解密终端7,当该区块对应的密级需要3个解密终端时,则按照解密终端的顺序代码将解密终端1至解密终端3形成解密终端集合即可。Further, the secret key module is connected with a plurality of financial modules, and each financial module can establish a fixed corresponding relationship or a random corresponding relationship with the decryption terminal. In this embodiment, each financial module is associated with a set of dedicated decryption terminals. In the process of determining a plurality of decryption terminals to form a decryption terminal set according to the encryption level corresponding to the block, the secret key module sequentially determines a sufficient number of decryption terminals according to the required number of decryption terminals and the sequence code of the decryption terminals That's it. For example, a group of decryption terminals associated with financial module A includes decryption terminal 1 to decryption terminal 7. When three decryption terminals are required for the encryption level corresponding to the block, decryption terminal 1 to decryption terminal 3 are formed according to the sequence code of the decryption terminals. Decrypt the terminal set.
基于本发明的基于加密的财务信息化数据处理处理方法的第三实施例,本发明的基于加密的财务信息化数据处理处理方法的第四实施例中,所述秘钥模块设置有不同的秘钥池;所述秘钥模块根据所述区块对应的密级,确定多个解密终端以形成解密终端集合,并向所述解密终端集合中的各个解密终端发送秘钥段的步骤,包括:Based on the third embodiment of the encryption-based financial informatization data processing method of the present invention, and in the fourth embodiment of the encryption-based financial informatization data processing method of the present invention, the secret key module is provided with different secret keys. The key pool; the step of determining a plurality of decryption terminals to form a decryption terminal set by the secret key module according to the secret level corresponding to the block, and sending a secret key segment to each decryption terminal in the decryption terminal set, including:
步骤S121,秘钥模块根据所述区块对应的密级,确定多个解密终端以形成解密终端集合;Step S121, the key module determines a plurality of decryption terminals to form a decryption terminal set according to the encryption level corresponding to the block;
步骤S122,随机建立所述解密终端集合中的各个解密终端与所述秘钥池的对应关系,且每个所述解密终端集合中的各个解密终端对应的秘钥池不同;Step S122, randomly establishing a correspondence between each decryption terminal in the decryption terminal set and the secret key pool, and the secret key pool corresponding to each decryption terminal in each of the decryption terminal sets is different;
步骤S123,从所述解密终端建立对应关系的所述秘钥池中提取秘钥段,并向对应的解密终端发送秘钥段。Step S123: Extract the secret key segment from the secret key pool in which the decryption terminal establishes a corresponding relationship, and send the secret key segment to the corresponding decryption terminal.
在本实施例中,每个秘钥段来自于秘钥池中。秘钥池中预存有若干个秘钥段,而所述解密终端集合中的各个解密终端与所述秘钥池的对应关系是随机建立的,因此,能使各个秘钥段组成的解密秘钥组合的可能性更多,提高解密秘钥破解的难度,使财务文件的保密性更强。In this embodiment, each key segment comes from a key pool. Several secret key segments are pre-stored in the secret key pool, and the corresponding relationship between each decryption terminal in the decryption terminal set and the secret key pool is randomly established, so the decryption secret key composed of each secret key segment can be made. There are more possibilities of combinations, which increases the difficulty of decrypting the decryption key and makes financial documents more confidential.
基于本发明的基于加密的财务信息化数据处理处理方法的第一实施例至第四实施例,本发明的基于加密的财务信息化数据处理处理方法的第五实施例中,所述财务模块根据各个所述位置代码对应的密级,将所述财务文件分割成不同密级的区块的步骤,具体为:Based on the first to fourth embodiments of the encryption-based financial informatization data processing method of the present invention, and in the fifth embodiment of the encryption-based financial informatization data processing method of the present invention, the financial module is based on The steps of dividing the financial document into blocks of different security levels for the corresponding security levels of each of the location codes are specifically:
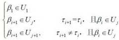
(1); (1);
其中,i为财务文件中的文件内容对应的位置代码,i从1开始取值,且i为正整数;为位置代码为i的文件内容对应的密级;为位置代码为i+1的文件内容对应的密级;j为区块集合的序号,j从1开始取值,且j为正整数;表示位置代码为i的文件内容;表示位置代码为i+1的文件内容;为第j个区块集合;为第j+1个区块集合;表示将位置代码为i的文件内容添加至区块集合,表示将位置代码为i+1的文件内容添加至区块集合;表示将位置代码为i+1的文件内容添加至区块集合;Among them, i is the location code corresponding to the file content in the financial file, i starts from 1, and i is a positive integer; is the security level corresponding to the content of the file whose location code is i; is the security level corresponding to the file content whose location code is i+1; j is the serial number of the block set, j starts from 1, and j is a positive integer; Indicates the content of the file whose location code is i; Indicates the content of the file whose location code is i+1; is the jth block set; is the j+1th block set; Indicates that the content of the file with location code i is added to the block collection , Indicates that the content of the file whose position code is i+1 is added to the block collection ; Indicates that the content of the file whose position code is i+1 is added to the block collection ;
根据各个文件内容所在的区块集合,将所述财务文件分割成不同密级的区块。The financial file is divided into blocks of different security levels according to the block set in which the content of each file is located.
本实施例中式(1)的作用为:The function of formula (1) in this embodiment is:
当时,将位置代码为i的文件内容的区块集合序号,确定为位置代码为i+1的文件内容的区块集合序号;when , the content of the file whose location code is i The serial number of the block set is determined as the content of the file whose location code is i+1 The serial number of the block set;
当时,将位置代码为i的文件内容的区块集合序号递增1,确定为位置代码为i+1的文件内容的区块集合序号。when , the content of the file whose location code is i The serial number of the block set is incremented by 1, and it is determined as the content of the file whose location code is i+1 The block set sequence number.
具体应用参照下述案例:For specific applications, refer to the following cases:
具体的,i从1开始取值,j从1开始取值,,即将位置代码为1的文件内容添加至区块集合;Specifically, i starts from 1, and j starts from 1. , that is, the content of the file whose location code is 1 add to block collection ;
例一:Example 1:
当i取1时:若位置代码为1的文件内容对应的密级等于位置代码为2的文件内容对应的密级,且位置代码为1的文件内容已经被添加至区块集合时,将位置代码为2的文件内容也添加至区块集合;When i is 1: if the location code is 1, the file content Corresponding secret level Equal to file content with location code 2 Corresponding secret level , and the content of the file with location code 1 has been added to the block collection , the file content with location code 2 Also add to block collection ;
当i取2时,若位置代码为2的文件内容对应的密级等于位置代码为3的文件内容对应的密级,且位置代码为2的文件内容已经添加至区块集合时,将位置代码为3的文件内容也添加至区块集合;When i is 2, if the location code is 2, the file content Corresponding secret level Equal to the contents of the file with location code 3 Corresponding secret level , and the content of the file with location code 2 Added to block collection , the content of the file with location code 3 Also add to block collection ;
例二:Example 2:
当i取1时:若位置代码为1的文件内容对应的密级等于位置代码为2的文件内容对应的密级,且位置代码为1的文件内容已经被添加至区块集合时,将位置代码为2的文件内容也添加至区块集合;When i is 1: if the location code is 1, the file content Corresponding secret level Equal to file content with location code 2 Corresponding secret level , and the content of the file with location code 1 has been added to the block collection , the file content with location code 2 Also add to block collection ;
当i取2时,若位置代码为2的文件内容对应的密级不等于位置代码为3的文件内容对应的密级,且位置代码为2的文件内容已经添加至区块集合时,将位置代码为3的文件内容添加至区块集合。When i is 2, if the location code is 2, the file content Corresponding secret level Not equal to file content with location code 3 Corresponding secret level , and the content of the file with location code 2 Added to block collection , the content of the file with location code 3 add to block collection .
例三:Example three:
当i取1时:若位置代码为1的文件内容对应的密级不等于位置代码为2的文件内容对应的密级,且位置代码为1的文件内容已经被添加至区块集合时,将位置代码为2的文件内容添加至区块集合;When i is 1: if the location code is 1, the file content Corresponding secret level Not equal to file content with location code 2 Corresponding secret level , and the content of the file with location code 1 has been added to the block collection , the file content with location code 2 add to block collection ;
当i取2时,若位置代码为2的文件内容对应的密级不等于位置代码为3的文件内容对应的密级,且位置代码为2的文件内容已经添加至区块集合时,将位置代码为3的文件内容就添加至区块集合。When i is 2, if the location code is 2, the file content Corresponding secret level Not equal to file content with location code 3 Corresponding secret level , and the content of the file with location code 2 Added to block collection , the content of the file with location code 3 just add to the block collection .
基于本发明的基于加密的财务信息化数据处理处理方法的第一实施例至第五实施例,本发明的基于加密的财务信息化数据处理处理方法的第六实施例中,所述将同一位置代码对应的各个关键词存入同一关键词集合中的步骤,具体为:Based on the first to fifth embodiments of the encryption-based financial informatization data processing method of the present invention, and in the sixth embodiment of the encryption-based financial informatization data processing method of the present invention, the same location The steps for storing each keyword corresponding to the code in the same keyword set are as follows:
(2); (2);
其中,i为财务文件中的文件内容对应的位置代码,i从1开始取值,且i为正整数;表示位置代码为i的文件内容对应的关键词集合,表示位置代码为i的文件内容中第m个关键词,,为位置代码为i的文件内容对应的关键词对应的关键词总数;Among them, i is the location code corresponding to the file content in the financial file, i starts from 1, and i is a positive integer; Represents the keyword set corresponding to the content of the file whose location code is i, Indicates the mth keyword in the content of the file whose location code is i, , is the total number of keywords corresponding to the keywords corresponding to the content of the file whose location code is i;
所述将所述财务文件中的每个位置的文件内容对应的位置代码及对应的关键词组作为输入数据输入所述秘钥模块中的密级划分模型,并通过所述密级划分模型输出各个位置代码对应的密级的步骤,具体为:The location code corresponding to the file content of each location in the financial file and the corresponding keyword group are input into the secret-level division model in the secret key module as input data, and each location code is output through the secret-level division model. The corresponding secret-level steps are as follows:
(3); (3);
其中,为密级划分模型,为位置代码为i的文件内容对应的密级。in, For the dense-level partition model, It is the security level corresponding to the content of the file whose location code is i.
因此,通过式(3)可知,位置代码为i的文件内容对应的密级,是根据该位置代码i内各个关键词中的最高密级确定。Therefore, it can be known from formula (3) that the security level corresponding to the content of the file whose location code is i is determined according to the highest security level in each keyword in the location code i.
基于本发明的基于加密的财务信息化数据处理处理方法的第一实施例至第六实施例,本发明的基于加密的财务信息化数据处理处理方法的第七实施例中,所述当所述财务模块新增财务文件时,通过所述秘钥模块将财务文件中每个位置的文件内容采用位置代码进行区分,所述秘钥模块遍历每个位置代码对应的文件内容以提取与财务相关的关键词的步骤之前,包括:Based on the first to sixth embodiments of the encryption-based financial informatization data processing method of the present invention, and in the seventh embodiment of the encryption-based financial informatization data processing method of the present invention, when said When the financial module adds a new financial file, the file content of each location in the financial file is distinguished by the location code through the secret key module, and the secret key module traverses the file content corresponding to each location code to extract financial-related files. Before the keyword steps, include:
建立财务关键词数据库,其中,为财务关键词数据库中第n个财务关键词,,且n为正整数,N为财务关键词数据库中的财务关键词总数;Build a database of financial keywords ,in, is the nth financial keyword in the financial keyword database, , and n is a positive integer, N is the total number of financial keywords in the financial keyword database;
所述当所述财务模块新增财务文件时,通过所述秘钥模块将财务文件中每个位置的文件内容采用位置代码进行区分,所述秘钥模块遍历每个位置代码对应的文件内容以提取与财务相关的关键词的步骤,具体为:When the financial module adds a new financial file, the file content of each location in the financial file is distinguished by the location code through the secret key module, and the secret key module traverses the file content corresponding to each location code to The steps of extracting keywords related to finance are as follows:
当所述财务模块新增财务文件时,通过所述秘钥模块将财务文件中每个位置的文件内容采用位置代码进行区分;When the financial module adds a new financial file, the file content of each location in the financial file is distinguished by the location code through the secret key module;
对所述财务文件中的词语进行语义分割,得到位置代码为i的文件内容的待查词组集合;其中,为位置代码为i的文件内容中的待查词组集合中第q个关键词,,为位置代码为i的文件内容的待查词组集合中的关键词总数;Semantic segmentation is performed on the words in the financial document to obtain the set of phrases to be searched for the content of the document whose location code is i ;in, is the qth keyword in the set of phrases to be searched in the content of the file whose location code is i, , is the total number of keywords in the set of phrases to be searched for the content of the file whose location code is i;
其中,表示位置代码为i的文件内容对应的关键词集合,i从1开始取值,且i为正整数,表示将添加至关键词集合,表示不将添加至关键词集合。in, Indicates the keyword set corresponding to the file content with the location code i, i starts from 1, and i is a positive integer, means to Add to Keyword Collection , said not to Add to Keyword Collection .
其中财务关键词数据库B中充分考虑到关键词的近义词和同义词。当位置代码为i的文件内容的待查词组集合中,多次重复出现同一财务关键词时,每个财务关键词均需要添加至关键词集合。The synonyms and synonyms of the keywords are fully considered in the financial keyword database B. When the location code is i, the set of phrases to be searched for the content of the file , when the same financial keyword appears multiple times, each financial keyword needs to be added to the keyword set .
为实现上述目的,本发明还提供一种基于加密的财务信息化数据处理系统,应用如上述任一项所述的基于加密的财务信息化数据处理方法对财务文件进行加密;所述加密系统包括秘钥模块和与所述秘钥模块信号连接的财务模块。In order to achieve the above purpose, the present invention also provides an encryption-based financial informatization data processing system, which applies the encryption-based financial informatization data processing method as described in any of the above to encrypt financial documents; the encryption system includes: A key module and a financial module signally connected to the key module.
通过以上的实施方式的描述,本领域的技术人员可以清楚地了解到上述实施例方法可借助软件加必需的通用硬件平台的方式来实现,当然也可以通过硬件,但很多情况下前者是更佳的实施方式。基于这样的理解,本发明的技术方案本质上或者说对现有技术做出贡献的部分可以以软件产品的形式体现出来,该计算机软件产品存储在如上所述的一个计算机可读存储介质(如ROM/RAM、磁碟、光盘)中,包括若干指令用以使得一台终端设备进入本发明各个实施例所述的方法。From the description of the above embodiments, those skilled in the art can clearly understand that the method of the above embodiment can be implemented by means of software plus a necessary general hardware platform, and of course can also be implemented by hardware, but in many cases the former is better implementation. Based on such understanding, the technical solutions of the present invention can be embodied in the form of software products in essence or the parts that contribute to the prior art, and the computer software products are stored in the above-mentioned computer-readable storage medium (such as ROM/RAM, magnetic disk, optical disk), including several instructions to enable a terminal device to enter the methods described in the various embodiments of the present invention.
在本说明书的描述中,参考术语“一实施例”、“另一实施例”、“其他实施例”、 或“第一实施例~第X实施例”等的描述意指结合该实施例或示例描述的具体特征、 结构、材料或者特点包含于本发明的至少一个实施例或示例中。在本说明书中,对上述术语的示意性表述不一定指的是相同的实施例或示例。而且,描述的具体特征、结构、材料、方法步骤或者特点可以在任何的一个或多个实施例或示例中以合适的方式结合。In the description of this specification, referring to the description of the terms "an embodiment", "another embodiment", "other embodiment", or "the first embodiment to the Xth embodiment", etc., are meant to be combined with the embodiment or The particular feature, structure, material or characteristic described by example is included in at least one embodiment or example of the present invention. In this specification, schematic representations of the above terms do not necessarily refer to the same embodiment or example. Furthermore, the particular features, structures, materials, method steps or characteristics described may be combined in any suitable manner in any one or more embodiments or examples.
需要说明的是,在本文中,术语“包括”、“包含”或者其任何其他变体意在涵盖非排他性的包含,从而使得包括一系列要素的过程、方法、物品或者系统不仅包括那些要素,而且还包括没有明确列出的其他要素,或者是还包括为这种过程、方法、物品或者系统所固有的要素。在没有更多限制的情况下,由语句“包括一个……”限定的要素,并不排除在包括该要素的过程、方法、物品或者系统中还存在另外的相同要素。It should be noted that, herein, the terms "comprising", "comprising" or any other variation thereof are intended to encompass non-exclusive inclusion, such that a process, method, article or system comprising a series of elements includes not only those elements, It also includes other elements not expressly listed or inherent to such a process, method, article or system. Without further limitation, an element qualified by the phrase "comprising a..." does not preclude the presence of additional identical elements in the process, method, article or system that includes the element.
上述本发明实施例序号仅仅为了描述,不代表实施例的优劣。The above-mentioned serial numbers of the embodiments of the present invention are only for description, and do not represent the advantages or disadvantages of the embodiments.
以上仅为本发明的优选实施例,并非因此限制本发明的专利范围,凡是利用本发明说明书及附图内容所作的等效结构或等效流程变换,或直接或间接运用在其他相关的技术领域,均同理包括在本发明的专利保护范围内。The above are only preferred embodiments of the present invention, and are not intended to limit the scope of the present invention. Any equivalent structure or equivalent process transformation made by using the contents of the description and drawings of the present invention, or directly or indirectly applied in other related technical fields , are similarly included in the scope of patent protection of the present invention.
| Application Number | Priority Date | Filing Date | Title |
|---|---|---|---|
| CN202210643089.8ACN114722416B (en) | 2022-06-09 | 2022-06-09 | Financial informatization data processing method and system based on encryption |
| Application Number | Priority Date | Filing Date | Title |
|---|---|---|---|
| CN202210643089.8ACN114722416B (en) | 2022-06-09 | 2022-06-09 | Financial informatization data processing method and system based on encryption |
| Publication Number | Publication Date |
|---|---|
| CN114722416Atrue CN114722416A (en) | 2022-07-08 |
| CN114722416B CN114722416B (en) | 2022-10-11 |
| Application Number | Title | Priority Date | Filing Date |
|---|---|---|---|
| CN202210643089.8AActiveCN114722416B (en) | 2022-06-09 | 2022-06-09 | Financial informatization data processing method and system based on encryption |
| Country | Link |
|---|---|
| CN (1) | CN114722416B (en) |
| Publication number | Priority date | Publication date | Assignee | Title |
|---|---|---|---|---|
| CN115587393A (en)* | 2022-08-17 | 2023-01-10 | 广州红海云计算股份有限公司 | Distributed performance data processing method and device |
| CN115952530A (en)* | 2023-03-15 | 2023-04-11 | 江西科技学院 | Financial data processing method and system for improving confidentiality and computer |
| Publication number | Priority date | Publication date | Assignee | Title |
|---|---|---|---|---|
| US20010034845A1 (en)* | 2000-02-15 | 2001-10-25 | Brunt George B. | Secure web-based document control process and system |
| CN102819604A (en)* | 2012-08-20 | 2012-12-12 | 徐亮 | Method for retrieving confidential information of file and judging and marking security classification based on content correlation |
| CN110402440A (en)* | 2017-02-27 | 2019-11-01 | J·加斯屈埃尔 | segmented key authentication system |
| US20190377889A1 (en)* | 2017-02-10 | 2019-12-12 | Michael Mertens | Verifiable version control on authenticated and/or encrypted electronic documents |
| CN111079186A (en)* | 2019-12-20 | 2020-04-28 | 百度在线网络技术(北京)有限公司 | Data analysis method, device, equipment and storage medium |
| CN111368269A (en)* | 2020-02-29 | 2020-07-03 | 杭州电子科技大学 | A fine-grained access control method based on dense point annotation |
| CN113918973A (en)* | 2021-10-14 | 2022-01-11 | 南京中孚信息技术有限公司 | Secret mark detection method and device and electronic equipment |
| Publication number | Priority date | Publication date | Assignee | Title |
|---|---|---|---|---|
| US20010034845A1 (en)* | 2000-02-15 | 2001-10-25 | Brunt George B. | Secure web-based document control process and system |
| CN102819604A (en)* | 2012-08-20 | 2012-12-12 | 徐亮 | Method for retrieving confidential information of file and judging and marking security classification based on content correlation |
| US20190377889A1 (en)* | 2017-02-10 | 2019-12-12 | Michael Mertens | Verifiable version control on authenticated and/or encrypted electronic documents |
| CN110402440A (en)* | 2017-02-27 | 2019-11-01 | J·加斯屈埃尔 | segmented key authentication system |
| CN111079186A (en)* | 2019-12-20 | 2020-04-28 | 百度在线网络技术(北京)有限公司 | Data analysis method, device, equipment and storage medium |
| CN111368269A (en)* | 2020-02-29 | 2020-07-03 | 杭州电子科技大学 | A fine-grained access control method based on dense point annotation |
| CN113918973A (en)* | 2021-10-14 | 2022-01-11 | 南京中孚信息技术有限公司 | Secret mark detection method and device and electronic equipment |
| Publication number | Priority date | Publication date | Assignee | Title |
|---|---|---|---|---|
| CN115587393A (en)* | 2022-08-17 | 2023-01-10 | 广州红海云计算股份有限公司 | Distributed performance data processing method and device |
| CN115952530A (en)* | 2023-03-15 | 2023-04-11 | 江西科技学院 | Financial data processing method and system for improving confidentiality and computer |
| Publication number | Publication date |
|---|---|
| CN114722416B (en) | 2022-10-11 |
| Publication | Publication Date | Title |
|---|---|---|
| US12278844B2 (en) | Protecting contents and accounts using scan operation | |
| US11790118B2 (en) | Cloud-based system for protecting sensitive information in shared content | |
| US20240275777A1 (en) | Filtering passwords based on a plurality of criteria | |
| US12153714B1 (en) | Intelligent detection of sensitive data within a communication platform | |
| US8566305B2 (en) | Method and apparatus to define the scope of a search for information from a tabular data source | |
| US8312553B2 (en) | Mechanism to search information content for preselected data | |
| US8041719B2 (en) | Personal computing device-based mechanism to detect preselected data | |
| US8813176B2 (en) | Method and apparatus for creating an information security policy based on a pre-configured template | |
| US11256825B2 (en) | Systems and methods for securing data in electronic communications | |
| US9515998B2 (en) | Secure and scalable detection of preselected data embedded in electronically transmitted messages | |
| US7886359B2 (en) | Method and apparatus to report policy violations in messages | |
| US20240121089A1 (en) | Protecting data using controlled corruption in computer networks | |
| US20170277773A1 (en) | Systems and methods for secure storage of user information in a user profile | |
| CN114722416B (en) | Financial informatization data processing method and system based on encryption | |
| US20100254615A1 (en) | Methods for document-to-template matching for data-leak prevention | |
| US20090097769A1 (en) | Systems and methods for securely processing form data | |
| US20220083692A1 (en) | Methods and systems for managing third-party data risk | |
| CN105335642A (en) | Processing method and processing system of pictures | |
| CN109788067A (en) | A kind of information processing method and information processing system based on block chain | |
| WO2021229568A1 (en) | System, method and computer program product for mitigating customer onboarding risk | |
| CN109429517A (en) | Text and fingerprint recognition are carried out in the feeding of database table, text file and data to add salt | |
| CA2499508A1 (en) | Detection of preselected data | |
| CN112150113A (en) | Method, device and system for borrowing file data and method for borrowing data | |
| Hussain et al. | A novel method for preserving privacy in big-data mining | |
| CN113127905B (en) | Information processing method and network security device |
| Date | Code | Title | Description |
|---|---|---|---|
| PB01 | Publication | ||
| PB01 | Publication | ||
| SE01 | Entry into force of request for substantive examination | ||
| SE01 | Entry into force of request for substantive examination | ||
| GR01 | Patent grant | ||
| GR01 | Patent grant |