Movatterモバイル変換


[0]ホーム

URL:


CN114721294A - Method for realizing mixing test by using transfer function - Google Patents

Method for realizing mixing test by using transfer function
Download PDF

Info

Publication number
CN114721294A
CN114721294ACN202210409849.9ACN202210409849ACN114721294ACN 114721294 ACN114721294 ACN 114721294ACN 202210409849 ACN202210409849 ACN 202210409849ACN 114721294 ACN114721294 ACN 114721294A
Authority
CN
China
Prior art keywords
transfer function
test
finite element
model
excitation
Prior art date
Legal status (The legal status is an assumption and is not a legal conclusion. Google has not performed a legal analysis and makes no representation as to the accuracy of the status listed.)
Granted
Application number
CN202210409849.9A
Other languages
Chinese (zh)
Other versions
CN114721294B (en
Inventor
田金
王奥博
王展
陈明华
Current Assignee (The listed assignees may be inaccurate. Google has not performed a legal analysis and makes no representation or warranty as to the accuracy of the list.)
Beijing Bbk Test Systems Co ltd
Original Assignee
Beijing Bbk Test Systems Co ltd
Priority date (The priority date is an assumption and is not a legal conclusion. Google has not performed a legal analysis and makes no representation as to the accuracy of the date listed.)
Filing date
Publication date
Application filed by Beijing Bbk Test Systems Co ltdfiledCriticalBeijing Bbk Test Systems Co ltd
Priority to CN202210409849.9ApriorityCriticalpatent/CN114721294B/en
Publication of CN114721294ApublicationCriticalpatent/CN114721294A/en
Application grantedgrantedCritical
Publication of CN114721294BpublicationCriticalpatent/CN114721294B/en
Activelegal-statusCriticalCurrent
Anticipated expirationlegal-statusCritical

Links

Images

Classifications

Landscapes

Abstract

The invention relates to a method for realizing a hybrid test by utilizing a transfer function, which comprises the steps of establishing a finite element model, generating two white noise time courses x (t) and e (t) by utilizing finite element analysis software, storing and converting the generated white noise time courses into a file format and a sampling step length which are identified by the finite element software, loading the generated white noise time courses into the finite element model in the form of displacement excitation and force excitation, and recording a displacement response r obtained by the displacement excitation and the force excitation1(t)、r2(t) fitting G1And G2Putting the obtained G into a Simulink model for superposition operation to obtain G, and compiling the G into an executable file; and (4) placing the executable file into an upper computer of the controller, playing the seismic wave time course, and starting the hybrid test. The invention can replace a complex linear finite element simulation model with a simple transfer function, thereby simplifying a mixed test model under the condition of ensuring the test effect, greatly reducing the performance requirement of the model on a real-time platform and saving the cost.

Description

Method for realizing mixing test by using transfer function
Technical Field
The invention relates to a method for realizing a mixing test by using a transfer function, belonging to the technical field of real-time mixing test vibration tables.
Background
The real-time mixing test (hereinafter referred to as mixing test) is applied to the civil engineering field, wherein one part of the mixing test is a physical test substructure and is executed by a loading system; the other part is a numerical value substructure, the numerical value substructure operates in a computer, signals of the sensor on the physical test piece are transmitted to a numerical value model, the numerical value model calculates commands in a simulation step length and outputs the commands to a loading system, and the commands act on the physical test piece to complete closed-loop interactive simulation. The relevant principle and introduction of the hybrid test can be seen in "openeses hybrid simulation test technology development and application", published in 2012, 11/25, of the university of general engineering, institute of civil engineering.
At present, most of civil mixed tests need to be composed of a Windows upper computer, a real-time target machine and a controller. The price of a computing platform is relatively high, and the transmission of closed loop signals is complex, because a finite element numerical model (a finite element model for short) and a signal processing algorithm need to be operated on an upper computer and a real-time target machine respectively.
Disclosure of Invention
Aiming at the defects in the prior art, the invention provides a method for realizing a mixing test by using a transfer function, and the specific technical scheme is as follows:
the invention aims to provide a method for realizing a mixing test by using a transfer function and a method for realizing the mixing test in a controller (short for mixing test controller) by using the transfer function. It mainly comprises: finite element modeling, white noise displacement excitation identification, white noise force excitation identification, transfer function fitting, transfer function superposition and the like.
Finite element modeling, namely establishing a numerical substructure model of an object by using a common finite element modeling software OpenSees in a hybrid test. Modeling requires determining the tangent plane of the numerical substructure and the physical substructure in the mixing test; determining the position and the quality of a node in a finite element; determining the rigidity, damping and direction of materials in elements in the finite element model; the seismic waves of the load are determined. The numerical substructure has two inputs and one output in the hybrid test, wherein one input is the displacement input of seismic waves and is also called displacement excitation; one is the force input and the feedback force of the physical substructure, also called force actuation.
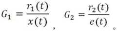
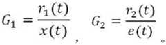
In the transfer function fitting module, the transfer function fitting is performed according to corresponding input and output by using Matlab software.
The white noise displacement excitation identification is to load the generated white noise seismic wave time interval on the corresponding node in the finite element model and collect the displacement response of the node of the segmentation surface under the condition of no other excitation. Fitting a displacement excitation transfer function G according to the displacement excitation time course of the white noise seismic wave and the displacement response of the segmentation surface node1The transfer function expresses the displacement action relation of displacement excitation on the node of the division plane in the finite element model.
White noise force excitation identification is to apply the generated white noise to the node of the segmentation surface of the numerical substructure in the form of node force input under the condition of no other excitation, and collect the displacement response of the node of the segmentation surface. Fitting a force excitation transfer function G according to the force excitation time interval of white noise and the displacement response of the node of the segmentation surface2The transfer function expresses the action relation of force excitation of the finite element model node on the displacement of the node of the division plane.
Transfer function superposition, namely fitting the previous step to a displacement excitation transfer function G1Force excitation transfer function G2And directly adding to obtain the final transfer function G equivalent to the finite element model.
G=G1+G2
When the hybrid test is carried out, the compiled executable file is imported into a controller of the hybrid test, the controller carries out calculation, the input of the model is the displacement excitation of seismic waves and the reaction force of a physical test piece, and the output of the model is a displacement instruction acting on an actuator.
A method for performing a mixing experiment using a transfer function, comprising the steps of:
step one, building a frame model in finite element modeling software to obtain a finite element model;
generating two white noise time courses, namely x (t) and e (t), by using finite element analysis software;
step three, storing and converting the generated white noise time interval into a file format and a sampling step length identified by finite element software, and loading x (t) into a finite element model in a displacement excitation mode, and recording a displacement response obtained due to the displacement excitation, wherein the value of r is1(t); e (t) loading the finite element model in the form of force excitation, and recording the displacement response caused by the force excitation, wherein the value is r2(t);
Step four, mixing x (t), e (t), r1(t)、r2(t) substituting into transfer function fitting module to obtain G1And G2,G1As a displacement excitation transfer function, G2A transfer function is excited for the force; wherein, the transfer function fitting module is a transfer function fitting program of Matlab.
Step five, fitting the well-fitted G1、G2Putting the model into a Simulink model for superposition operation to obtain G, wherein G is a transfer function; defining input and output interfaces of a Simulink model, and compiling the input and output interfaces into an executable file;
putting the executable file into an upper computer of a controller, playing a seismic wave time course, and starting a hybrid test;
and step seven, finishing the mixing test and finishing the test data.
As an improvement of the above technical solution, in the step one, the finite element modeling software is openses software.
As an improvement of the above technical solution, in the second step, the finite element analysis software is Matlab software.
In the second step, the bandwidth of the white noise is larger than the test bandwidth of the physical and numerical model in the mixing test.
As an improvement of the above technical solution, in the second step, the duration of the white noise is several times of the mixing test time.
As an improvement of the above technical solution, in step four, the algorithm formula of the transfer function fitting module is:
Figure BDA0003603720720000041
as an improvement of the above technical solution, in step five, G ═ G1+G2
The invention has the beneficial effects that:
the invention can replace a complex linear finite element simulation model with a simple transfer function, thereby simplifying a mixed test model under the condition of ensuring the test effect, greatly reducing the performance requirement of the model on a real-time platform and saving the cost.
The invention has the advantages that:
1. under the condition of ensuring the accuracy of the test, the threshold of the hybrid test on the hardware of the simulator is reduced.
2. The signal closed loop of the hybrid test is simplified, the hybrid test can be carried out without an upper computer of finite element operation and a real-time simulator of signal interpolation, and the possibility is provided for developing the hybrid test of a small-sized portable teaching test bed.
3. The numerical model (the transfer function) is convenient to modify, and parameters of the transfer function can be directly adjusted in an upper computer of the controller without recompilation.
4. The operation process is simple and convenient, the mixing test and the receipt collection can be completed only by corresponding software operation on the upper computer of the controller, and the simulation starting of the finite element software and the simulation starting of the target machine are not needed.
5. The development cycle is short, only the development work is needed on the controller, and the algorithm development and compiling of the real-time simulator are not needed.
Drawings
FIG. 1 is a diagram comparing a mixing test and a transfer function based mixing test control signal loop commonly used in the civil field;
FIG. 2 is a schematic diagram of a hybrid test signal loop using a transfer function model in the controller;
FIG. 3 is a comparison of the interaction between the conventional finite element mixture test numerical physical interaction and the interaction between the transfer function and the physical model;
FIG. 4 is a schematic diagram of the fitting of a transfer function by a transfer function fitting module;
FIG. 5 is a graph comparing responses of simultaneous excitation and separate excitation in a verification test of the principle of superposition of finite element models;
FIG. 6 is a graph comparing the force excitation and the displacement excitation induced displacement response when excited separately in a validation test of the finite element model stacking principle;
FIG. 7 is a time domain comparison of the response of the transfer function using a finite element model and using a controller under the same excitation;
FIG. 8 is a plot of a frequency domain comparison of the response of the transfer function using a finite element model and using a controller under the same excitation.
Detailed Description
In order to make the objects, technical solutions and advantages of the present invention more apparent, the present invention is described in further detail below with reference to the accompanying drawings and embodiments. It should be understood that the specific embodiments described herein are merely illustrative of the invention and are not intended to limit the invention.
Example 1
The method for realizing the mixing test by using the transfer function comprises the following steps:
step one, building a frame model in finite element modeling software, and obtaining a finite element model as shown in figure 3; the finite element modeling software is preferably OpenSees software.
Generating two white noise time courses, namely x (t) and e (t), by using finite element analysis software; the finite element analysis software is preferably Matlab software. The frequency bandwidth of the white noise is greater than the test frequency band of the physical and numerical models in the mixing test, so as to fully identify the frequency response of the system and ensure that the identified transfer function is accurate and effective in the frequency range concerned in the mixing test. The duration of the white noise is several times of the time of the mixing test so as to ensure the accuracy of the subsequent identification transfer function.
Step three, storing and converting the generated white noise time interval into a file format and sampling identified by finite element softwareStep length, x (t), is loaded into the finite element model in the form of displacement excitation, and the displacement response obtained by the displacement excitation is recorded, and the value is r1(t); e (t) loading the finite element model in the form of force excitation, and recording the displacement response caused by the force excitation, wherein the value is r2(t) as shown in FIG. 4.
Step four, mixing x (t), e (t), r1(t)、r2(t) substituting into transfer function fitting module to obtain G1And G2,G1As a displacement excitation transfer function, G2Exciting a transfer function for the force; wherein, the transfer function fitting module is a transfer function fitting program of Matlab. The transfer function fitting module comprises an algorithm formula as follows:
Figure BDA0003603720720000061
step five, fitting the well-fitted G1、G2Putting the model into a Simulink model for superposition operation to obtain G, wherein G is a transfer function; defining input and output interfaces of a Simulink model, and compiling the input and output interfaces into an executable file; wherein G is G1+G2
Putting the executable file into an upper computer of a controller, playing a seismic wave time course, and starting a mixing test;
and step seven, finishing the mixing test, collating the test data and analyzing the recorded data.
Example 2
Fig. 1 is a comparison diagram of a signal loop control of a hybrid test (based on openseeopenfresco) and a hybrid test based on a transfer function, which are commonly used in the civil field, and as can be seen from fig. 1, the present invention obviously simplifies the signal closed loop of the hybrid test, can carry out the hybrid test without an upper computer of finite element operation and a real-time simulator of signal interpolation, and provides a possibility for developing the hybrid test of a small-sized portable teaching test bed.
Fig. 2 is a schematic diagram of a signal loop of a mixing test using a transfer function model in a controller, and fig. 2 illustrates a signal transmission flow of the mixing test using a fitted transfer function, which is a framework of the test.
FIG. 3 is a comparison of the conventional finite element mixture test numerical physical interaction mode and the transfer function to physical model interaction mode, the left side of FIG. 3 is the conventional finite element mixture test numerical physical interaction mode, and the right side of FIG. 3 is the transfer function to physical model interaction mode according to the present invention. As can be seen from fig. 3: the invention can replace a complex linear finite element simulation model by a simple transfer function, simplifies a mixed test model and greatly reduces the performance requirement of the model on a real-time platform.
The principle of superposition of finite element models can be verified, the test A is that the finite element models are input simultaneously, namely displacement and force are input simultaneously, and the test A is used for investigating response and errors of simultaneous excitation; the test B is that the displacement and the force are respectively input and superposed, and the test B inspects the response and the error of the respective excitation. Analysis of FIG. 5 reveals that: meanwhile, the response contrast trend of the excitation and the response contrast trend of the respective excitation are the same, and the error difference is not large.
In test B, the displacement response by the force excitation and the displacement response by the displacement excitation were also examined, and the results are shown in fig. 6. FIGS. 5 and 6 further illustrate that the finite element model conforms to the superposition principle, the transfer function G1、G2Are superposable.
The finite element blending test of FIG. 7 is referred to as a conventional blending test, using a finite element model; the transfer function mixing test refers to a method for realizing the mixing test by using the transfer function by a controller of the mixing test, namely the transfer function. The mixing test using the finite element model in fig. 8 refers to the conventional mixing test, which is referred to as the finite element mixing test for short; the transfer function mixing test is a method for realizing the mixing test by using the transfer function, and is called the transfer function mixing test for short.
As can be seen from fig. 7 and 8, under the same excitation (which means that the force excitation and the displacement excitation are the same), the corresponding response, whether time domain contrast or frequency domain contrast, is the same when the existing finite element model is compared with the controller using the transfer function, as shown in fig. 7 and 8; that is, the results of the present invention are the same, with almost no difference in error, compared to the conventional mixing tests; this therefore demonstrates that the mixing test of the invention is of sufficiently high accuracy that it is comparable to existing mixing tests. Therefore, the threshold of the hybrid test on the hardware of the simulator is reduced under the condition of ensuring the test accuracy.
In addition, it should be noted that: if the transfer functions are not superposed, the mixing test can be carried out, but the expected test effect cannot be achieved, and although the closed loop of the mixing test can be formed, the test simulation is inconsistent with the real situation. Since for a numerical model there are two inputs required, a superposition is necessary if the model is fitted to a transfer function. Transfer function stacking is also an integral part of the solution to more comprehensive substitution of finite element models.
In the above embodiments, the present invention is directed to simplify a simulation hardware platform of a hybrid test, simplify a signal transmission circuit, and reduce the cost of developing the hybrid test. Complex finite element models and algorithms in the upper computer and the real-time simulator are fitted into a simple transfer function form, the fitted transfer function is put into a model simulation module of the controller to serve as a numerical model, and then effective real-time mixing tests can be carried out without the upper computer and the real-time simulator.
The above description is only for the purpose of illustrating the preferred embodiments of the present invention and is not to be construed as limiting the invention, and any modifications, equivalents and improvements made within the spirit and principle of the present invention are intended to be included within the scope of the present invention.

Claims (7)

1. A method for performing a mixing test using a transfer function, comprising the steps of:
step one, building a frame model in finite element modeling software to obtain a finite element model;
generating two white noise time courses, namely x (t) and e (t), by using finite element analysis software;
step three, storing and converting the generated white noise time interval into a limited white noise time intervalFile format and sampling step length, x (t), identified by the meta-software are loaded into the finite element model in the form of displacement excitation, and the displacement response obtained by the displacement excitation is recorded, wherein the value of r is1(t); e (t) loading the finite element model in the form of force excitation, and recording the displacement response caused by the force excitation, wherein the value is r2(t);
Step four, mixing x (t), e (t), r1(t)、r2(t) substituting into transfer function fitting module to obtain G1And G2,G1As a displacement excitation transfer function, G2A transfer function is excited for the force;
step five, fitting the well-fitted G1、G2Putting the model into a Simulink model for superposition operation to obtain G, wherein G is a transfer function; defining input and output interfaces of a Simulink model, and compiling the input and output interfaces into an executable file;
putting the executable file into an upper computer of a controller, playing a seismic wave time course, and starting a hybrid test;
and step seven, finishing the mixing test and finishing the test data.
2. The method of claim 1, wherein the mixing test is performed using a transfer function, comprising: in step one, the finite element modeling software is openeses software.
3. The method of claim 1, wherein the mixing test is performed using a transfer function, comprising: in the second step, the finite element analysis software is Matlab software.
4. The method of claim 1, wherein the method further comprises: in the second step, the frequency bandwidth of the white noise is larger than the test frequency band of the physical and numerical model in the mixing test.
5. The method of claim 1, wherein the mixing test is performed using a transfer function, comprising: in step two, the duration of the white noise is more than several times of the mixing test time.
6. The method of claim 1, wherein the mixing test is performed using a transfer function, comprising: in step four, the algorithm formula of the transfer function fitting module is as follows:
Figure FDA0003603720710000021
7. the method of claim 1, wherein the mixing test is performed using a transfer function, comprising: in step five, G ═ G1+G2
CN202210409849.9A2022-04-192022-04-19Method for realizing mixing test by using transfer functionActiveCN114721294B (en)

Priority Applications (1)

Application NumberPriority DateFiling DateTitle
CN202210409849.9ACN114721294B (en)2022-04-192022-04-19Method for realizing mixing test by using transfer function

Applications Claiming Priority (1)

Application NumberPriority DateFiling DateTitle
CN202210409849.9ACN114721294B (en)2022-04-192022-04-19Method for realizing mixing test by using transfer function

Publications (2)

Publication NumberPublication Date
CN114721294Atrue CN114721294A (en)2022-07-08
CN114721294B CN114721294B (en)2022-10-28

Family

ID=82243002

Family Applications (1)

Application NumberTitlePriority DateFiling Date
CN202210409849.9AActiveCN114721294B (en)2022-04-192022-04-19Method for realizing mixing test by using transfer function

Country Status (1)

CountryLink
CN (1)CN114721294B (en)

Cited By (1)

* Cited by examiner, † Cited by third party
Publication numberPriority datePublication dateAssigneeTitle
CN119024695A (en)*2024-08-152024-11-26北京博科测试系统股份有限公司 A real-time hybrid test control compensation method

Citations (12)

* Cited by examiner, † Cited by third party
Publication numberPriority datePublication dateAssigneeTitle
US20030090275A1 (en)*2001-09-202003-05-15Acorn Technologies, Inc.Determining a continuous-time transfer function of a system from sampled data measurements with application to disk drives
KR20050080818A (en)*2004-02-112005-08-18삼성전자주식회사Methods for deciding weighted regression model and predicting concentration of component of mixture using the same
US20060140125A1 (en)*2004-12-232006-06-29Telefonaktiebolaget Lm EricssonHybrid test bed
CN107145620A (en)*2017-03-142017-09-08浙江大学A kind of structural dynamic characteristic recognition methods based on Random Decrement Technique
CN107463727A (en)*2017-06-272017-12-12浙江大学Bulk testing method based on vector mode finite element and FPGA
CN109753722A (en)*2018-12-292019-05-14北京长城华冠汽车技术开发有限公司A kind of optimum design method and system improving noise transfer function
CN110376894A (en)*2019-07-262019-10-25哈尔滨工业大学A kind of two-stage time lag compensation method suitable for real-time bulk testing
CN110631906A (en)*2019-09-122019-12-31浙江工业大学 A method of obtaining material parameters based on DIC technology
CN111506948A (en)*2020-04-092020-08-07武汉理工大学 A Real-time Hybrid Test Method Based on Actuator and Shaking Table
WO2021160767A1 (en)*2020-02-142021-08-19Safran Electronics & DefenseMeasurement of transfer function in a mechatronic system
CN113324718A (en)*2021-05-142021-08-31东南大学Large-scale visual real-time hybrid test system and test method thereof
CN113324684A (en)*2021-06-022021-08-31北京博科测试系统股份有限公司Compensation method for high-frequency dynamic force measurement performance of strain type force sensor

Patent Citations (12)

* Cited by examiner, † Cited by third party
Publication numberPriority datePublication dateAssigneeTitle
US20030090275A1 (en)*2001-09-202003-05-15Acorn Technologies, Inc.Determining a continuous-time transfer function of a system from sampled data measurements with application to disk drives
KR20050080818A (en)*2004-02-112005-08-18삼성전자주식회사Methods for deciding weighted regression model and predicting concentration of component of mixture using the same
US20060140125A1 (en)*2004-12-232006-06-29Telefonaktiebolaget Lm EricssonHybrid test bed
CN107145620A (en)*2017-03-142017-09-08浙江大学A kind of structural dynamic characteristic recognition methods based on Random Decrement Technique
CN107463727A (en)*2017-06-272017-12-12浙江大学Bulk testing method based on vector mode finite element and FPGA
CN109753722A (en)*2018-12-292019-05-14北京长城华冠汽车技术开发有限公司A kind of optimum design method and system improving noise transfer function
CN110376894A (en)*2019-07-262019-10-25哈尔滨工业大学A kind of two-stage time lag compensation method suitable for real-time bulk testing
CN110631906A (en)*2019-09-122019-12-31浙江工业大学 A method of obtaining material parameters based on DIC technology
WO2021160767A1 (en)*2020-02-142021-08-19Safran Electronics & DefenseMeasurement of transfer function in a mechatronic system
CN111506948A (en)*2020-04-092020-08-07武汉理工大学 A Real-time Hybrid Test Method Based on Actuator and Shaking Table
CN113324718A (en)*2021-05-142021-08-31东南大学Large-scale visual real-time hybrid test system and test method thereof
CN113324684A (en)*2021-06-022021-08-31北京博科测试系统股份有限公司Compensation method for high-frequency dynamic force measurement performance of strain type force sensor

Non-Patent Citations (2)

* Cited by examiner, † Cited by third party
Title
T. A. KHOA NGUYEN等: "A Real-Time Research Platform to Study Vestibular Implants With Gyroscopic Inputs in Vestibular Deficient Subjects", 《 IEEE TRANSACTIONS ON BIOMEDICAL CIRCUITS AND SYSTEMS》*
周惠蒙: "《单自由度实时混合试验的控制方法》", 《中国博士学位论文全文数据库 工程科技Ⅱ辑》*

Cited By (1)

* Cited by examiner, † Cited by third party
Publication numberPriority datePublication dateAssigneeTitle
CN119024695A (en)*2024-08-152024-11-26北京博科测试系统股份有限公司 A real-time hybrid test control compensation method

Also Published As

Publication numberPublication date
CN114721294B (en)2022-10-28

Similar Documents

PublicationPublication DateTitle
US8135556B2 (en)Methods and systems for off-line control for simulation of coupled hybrid dynamic systems
Abbas et al.Formal property verification in a conformance testing framework
JP6143943B2 (en) Method and apparatus for co-simulation of two subsystems
CN105631090A (en)Finite element model optimization device and method
Lu et al.A computer program for uncertainty analysis integrating regression and Bayesian methods
CN114721294B (en)Method for realizing mixing test by using transfer function
CN110007645A (en) A hybrid modeling method of feed system based on dynamics and deep neural network
CN111444648B (en)Method for quickly estimating structural dynamic characteristics of modular spacecraft
CN107832485A (en)A kind of optimization method of simulation model control parameter
CN119292906A (en) A method, device, equipment and medium for automatic interface signal verification control
CN114661576B (en)Three-dimensional CAD software testing method and system based on unified interface drive
CN114217862B (en) A real-time hybrid test method based on the combination of Windows system and real-time hardware system
Gao et al.Influence and compensation of connection characteristics on shaking table control performance
CN100470981C (en) Realization Method Based on Relay Simulation Model Described by Script
CN112162932A (en)Symbol execution optimization method and device based on linear programming prediction
CN119958682B (en)Automobile skylight dynamic and mute intelligent detection method and system integrating acoustic imaging
CN116699977B (en) Vibration active control decision method, system and storage medium based on impulse response
JewellEmbedded reachability for autonomous racecar
CN112597717B (en)IP verification method and device and electronic equipment
Liu et al.Synthesizing Boxes Preconditions for Deep Neural Networks
BrayanovEvaluation of Modern Model Driven Architecture Software Development
SchultheisComputational and explanatory power of cognitive architectures: The case of act-r
CN115186542A (en)Vehicle body quality optimization method, device, equipment and storage medium
JP3358123B2 (en) Controller input / output simulation method and apparatus
NaderlingerHarnessing concurrency in synchronous block diagrams to parallelize simulation on multi-core hosts

Legal Events

DateCodeTitleDescription
PB01Publication
PB01Publication
SE01Entry into force of request for substantive examination
SE01Entry into force of request for substantive examination
GR01Patent grant
GR01Patent grant

[8]ページ先頭

©2009-2025 Movatter.jp