



技术领域technical field
本发明属于岩心实验分析技术领域,特别涉及一种同时测量储层岩心不同赋存状态气体产气特征的方法及系统。The invention belongs to the technical field of core experiment analysis, and particularly relates to a method and a system for simultaneously measuring gas production characteristics of different occurrence states of reservoir cores.
背景技术Background technique
国家能源局的《中国天然气发展报告(2021)》表明致密气藏逐渐成为我国天然气新增储量的主要贡献者,页岩气和煤层气是致密气藏的主要代表。该类气藏中,吸附气是气体主要的赋存形态,含量最高可达85%。水平钻井、水力压裂等技术的发展推动了致密气藏的工业开发,但生产气井普遍呈现“初期产量高、后期递减迅速”的特征。为探究页岩/煤层气藏生产产量的递减内在机理,为革新技术提供基础支持,亟需建立一种模拟真实地层条件下气井产气特征的实验方法,揭示不同生产阶段产量的主要来源以及产能的递减规律,为修正完善致密气藏开发理论和改进生产措施提供数据支撑。致密气藏气体的赋存状态包括吸附气、孔束缚气以及自由气,吸附气解吸速度测试包括现场解吸法和等温吸附法,前者存在解吸时间长且损失气量难以计算的问题,结果与实际值存在一定偏差。等温吸附测量结果往往比储层的真实含气量大,多用于评价储层的吸附能力,较少用于评价含气量;孔束缚气和自由气的产气特征测试方法尚未在文献中出现。总之,尚未建立一种同时测量储层岩心不同赋存状态气体产气特征的方法。The National Energy Administration's "China Natural Gas Development Report (2021)" shows that tight gas reservoirs have gradually become the main contributor to my country's new natural gas reserves, and shale gas and coalbed methane are the main representatives of tight gas reservoirs. In this type of gas reservoir, adsorbed gas is the main form of gas, with a content of up to 85%. The development of horizontal drilling, hydraulic fracturing and other technologies has promoted the industrial development of tight gas reservoirs, but producing gas wells generally show the characteristics of "high initial production and rapid decline in later stages". In order to explore the internal mechanism of production decline in shale/coalbed methane reservoirs and provide basic support for innovative technologies, it is urgent to establish an experimental method to simulate the gas production characteristics of gas wells under real formation conditions, and to reveal the main sources of production and productivity in different production stages. It provides data support for revising and improving the development theory of tight gas reservoirs and improving production measures. The gas occurrence states of tight gas reservoirs include adsorbed gas, pore-bound gas and free gas. The desorption rate test of adsorbed gas includes field desorption method and isothermal adsorption method. The former has the problem of long desorption time and difficult calculation of gas loss. The results are consistent with the actual values. There is a certain deviation. The isothermal adsorption measurement results are often larger than the actual gas content of the reservoir, and are mostly used to evaluate the adsorption capacity of the reservoir, but less to evaluate the gas content. In conclusion, a method for simultaneously measuring gas production characteristics of different occurrence states of reservoir cores has not been established.
发明内容SUMMARY OF THE INVENTION
本发明要解决的技术问题是针对现有储层岩心不同赋存状态气体产气特征测量技术中存在的不足,为储层岩心不同赋存状态气体的产气特征的测量提供一种便行有效的测量方法及系统,以解决现有技术中测量时吸附气解吸时间长、损失气量难以计算以及无法测量孔束缚气和自由气产气特征等问题。The technical problem to be solved by the present invention is to provide a convenient and effective method for measuring the gas production characteristics of gases in different occurrence states of reservoir cores in view of the deficiencies in the existing gas production characteristics measurement technology of different occurrence states of reservoir cores. The measuring method and system are provided to solve the problems in the prior art, such as long desorption time of adsorbed gas, difficult calculation of gas loss, and inability to measure the gas production characteristics of pore-bound gas and free gas.
为达到上述目的,本发明的技术方案如下:For achieving the above object, technical scheme of the present invention is as follows:
一种同时测量岩心不同赋存状态气体产出特征的系统,A system for simultaneously measuring the gas production characteristics of different occurrence states of cores,
包括相互连接的气体收集段、气体产出段和数据采集组件;Including interconnected gas collection sections, gas production sections and data acquisition components;
所述气体收集段包括测试气瓶、增压泵、中间容器、岩心夹持器A、恒温箱、恒压恒速泵A、阀门A、阀门B、阀门C和阀门D;The gas collection section includes a test gas cylinder, a booster pump, an intermediate container, a core holder A, a constant temperature box, a constant pressure and constant speed pump A, a valve A, a valve B, a valve C and a valve D;
所述测试气瓶与岩心夹持器A的入口通过管路连接,所述中间容器的开口端通过连接点A连接在测试气瓶和岩心夹持器A之间的管路上,所述增压泵设置在测试气瓶和连接点A之间的管路上,所述阀门A设置在测试气瓶和增压泵之间的管路上,所述阀门B设置在增压泵和连接点A之间的管路上,所述阀门C设置在连接点A和岩心夹持器A之间的管路上,在阀门B和阀门C之间的管路上设置支管A,所述阀门D设置在支管A上,所述恒压恒速泵A连接在岩心夹持器A的筒体上以实现岩心夹持器A内气体围压驱替,所述中间容器和岩心夹持器A及其之间相互连接的管路设置在恒温箱内;The test gas cylinder is connected to the inlet of the core holder A through a pipeline, the open end of the intermediate container is connected to the pipeline between the test gas cylinder and the core holder A through a connection point A, and the pressurized The pump is arranged on the pipeline between the test gas cylinder and the connection point A, the valve A is arranged on the pipeline between the test gas cylinder and the booster pump, and the valve B is arranged between the booster pump and the connection point A On the pipeline, the valve C is set on the pipeline between the connection point A and the core holder A, the branch pipe A is set on the pipeline between the valve B and the valve C, and the valve D is set on the branch pipe A, The constant pressure and constant speed pump A is connected to the barrel of the core holder A to realize the displacement of the gas confining pressure in the core holder A, and the intermediate container and the core holder A and the interconnection between them. The pipeline is set in the incubator;
所述气体产出段包括调压阀、岩心夹持器B、回压阀、回压自动跟踪泵、恒压恒速泵B和阀门E;The gas production section includes a pressure regulating valve, a core holder B, a back pressure valve, a back pressure automatic tracking pump, a constant pressure and constant speed pump B and a valve E;
所述岩心夹持器B的进气口与岩心夹持器A的出气口通过管道连通,所述调压阀设置在岩心夹持器A和岩心夹持器B之间的管道上;所述回压自动跟踪泵连接在岩心夹持器B筒体和岩心夹持器B入口管道之间以形成岩心夹持器B内岩心恒压驱替;所述回压阀的进气口与岩心夹持器B的出气口通过管道连接,所述恒压恒速泵B连接在回压阀的进气一侧;在岩心夹持器B和回压阀连接的管路上设置支管B,所述阀门E设置在支管B上;The air inlet of the core holder B is communicated with the air outlet of the core holder A through a pipeline, and the pressure regulating valve is arranged on the pipeline between the core holder A and the core holder B; the The back pressure automatic tracking pump is connected between the barrel of the core holder B and the inlet pipe of the core holder B to form a constant pressure displacement of the core in the core holder B; the air inlet of the back pressure valve is connected to the core clamp The air outlet of the core holder B is connected by a pipeline, and the constant pressure and constant speed pump B is connected to the intake side of the back pressure valve; a branch pipe B is set on the pipeline connecting the core holder B and the back pressure valve, and the valve E is set on the branch pipe B;
所述数据采集组件包括数据终端、压力传感器A、压力传感器B、压力传感器C、压力传感器D、压力传感器E、压力传感器F和气体质量流量计;所述压力传感器A设置在阀门B和阀门C之间的管路上,所述压力传感器B设置在岩心夹持器A的筒体上以测试岩心夹持器A内的围压,所述压力传感器C设置在岩心夹持器A和调压阀连接的管路上,所述压力传感器D设置在调压阀和岩心夹持器B之间的管路上,所述压力传感器E设置在岩心夹持器B的筒体上以测试岩心夹持器B内的围压,所述压力传感器F设置在岩心夹持器B和回压阀之间的管路上,所述回压阀的出气口与气体质量流量计通过管道连接;所述压力传感器A、压力传感器B、压力传感器C、压力传感器D、压力传感器E、压力传感器F和气体质量流量计分别与数据终端连接,通过数据终端记录各压力传感器的数据;The data acquisition component includes a data terminal, a pressure sensor A, a pressure sensor B, a pressure sensor C, a pressure sensor D, a pressure sensor E, a pressure sensor F, and a gas mass flowmeter; the pressure sensor A is provided at the valve B and the valve C On the pipeline between, the pressure sensor B is arranged on the barrel of the core holder A to test the confining pressure in the core holder A, and the pressure sensor C is arranged on the core holder A and the pressure regulating valve On the connected pipeline, the pressure sensor D is arranged on the pipeline between the pressure regulating valve and the core holder B, and the pressure sensor E is arranged on the barrel of the core holder B to test the core holder B The pressure sensor F is arranged on the pipeline between the core holder B and the back pressure valve, and the gas outlet of the back pressure valve is connected with the gas mass flowmeter through a pipeline; the pressure sensors A, The pressure sensor B, the pressure sensor C, the pressure sensor D, the pressure sensor E, the pressure sensor F and the gas mass flowmeter are respectively connected with the data terminal, and the data of each pressure sensor is recorded through the data terminal;
所述中间容器填充岩心研究区块的的样品,中间容器在测试气瓶和增压泵作用下模拟底层温度和原始含水饱和度条件下的储层特征;所述气体收集段模拟底层水平压裂缝网向竖向井筒流动过程,所述气体产出段模拟地层竖向井筒内不同生产制度下气体的生产过程。The intermediate container is filled with samples from the core research block, and the intermediate container simulates the reservoir characteristics under the conditions of the bottom temperature and the original water saturation under the action of the test gas cylinder and the booster pump; the gas collection section simulates the bottom horizontal fracturing The flow process of the network to the vertical wellbore, the gas production section simulates the gas production process under different production regimes in the vertical wellbore of the formation.
本发明还涉及一种同时测量岩心不同赋存状态气体产出特征的方法,包括如下步骤:The present invention also relates to a method for simultaneously measuring gas production characteristics of different occurrence states of cores, comprising the following steps:
S1、系统连接:S1. System connection:
连接组装气体收集段、气体产出段和数据采集组件各部件;Connect and assemble the parts of the gas collection section, the gas output section and the data acquisition assembly;
S2、系统气密性检测;S2, system air tightness detection;
在岩心夹持器A中和岩心夹持器B中放入假岩心,恒压恒速泵A和恒压恒速泵B采用恒压驱替,驱替压力高于地层压力,回压阀设置为地层压力,调压阀门压力调至最大,恒温箱保持地层温度;打开阀门A、阀门B和阀门C,关闭阀门D和阀门E,使用增压泵向中间容器和岩心夹持器A和岩心夹持器B中填入与地层压力相同压力值的氦气,压力稳定后关闭阀门A和阀门B;静置后观测压力传感器A、压力传感器C和压力传感器E的数值,如果压力值未发生改变,则说明系统气密性良好,开始实验;如压力发生改变,使用皂泡水检测系统气体泄露处,进行密封处理后再次进行气密性检测;Put fake cores in core holder A and core holder B, constant pressure and constant speed pump A and constant pressure and constant speed pump B are displaced by constant pressure, the displacement pressure is higher than the formation pressure, and the back pressure valve is set For the formation pressure, adjust the pressure of the pressure regulating valve to the maximum, and the incubator maintains the formation temperature; open the valve A, valve B and valve C, close the valve D and valve E, use the booster pump to the intermediate container and the core holder A and the core Fill holder B with helium with the same pressure as the formation pressure, close valve A and valve B after the pressure is stable; observe the values of pressure sensor A, pressure sensor C and pressure sensor E after standing, if the pressure value does not occur If it changes, it means that the system has good air-tightness, and the experiment is started; if the pressure changes, use soapy water to detect the gas leakage of the system, and perform the air-tightness test again after sealing;
S3、系统空间体积标定:S3. System space volume calibration:
对调压阀A和阀门B间的空间体积V0进行标定,在整个标定过程中,阀门D始终处于关闭状态;阀门B和阀门C间的体积为V′0,阀门C和调压阀间的体积为V″0,系统空间体积V0标定步骤如下:The space volume V0 between the pressure regulating valve A and the valve B is calibrated. During the whole calibration process, the valve D is always in a closed state; the volume between the valve B and the valve C is V0 , and the space between the valve C and the pressure regulating valve The volume of V″ 0 is V″0 , and the calibration steps of the system space volume V0 are as follows:
1)向岩心夹持器A中放置中通的假岩心,假岩心的孔隙体积为已知的V′,与岩心夹持器A相连的恒速恒压泵以恒压进行驱替;1) Place a fake core in the core holder A, the pore volume of the fake core is known V', and the constant speed and constant pressure pump connected with the core holder A is displaced with constant pressure;
2)向中间容器填充体积为V1的无孔隙柱体;2) filling the intermediate container with a non-porous cylinder of volume V1 ;
3)关闭阀门A、阀门B和阀门C,调压阀关闭;3) Close valve A, valve B and valve C, and the pressure regulating valve is closed;
4)打开阀门A和阀门B向中间容器充入一定的压力的气体后关闭阀门A和阀门B,待压力传感器A读数稳定后将其数值记录为P1;4) After opening valve A and valve B and filling the intermediate container with a certain pressure of gas, close valve A and valve B, and record its numerical value as P1 after the reading of pressure sensor A is stable;
5)打开阀门C,待压力传感器A和压力传感器C读数稳定后将其值记录为P2;5) Open valve C, and record its value as P2 after the readings of pressure sensor A and pressure sensor C are stable;
6)调节调压阀放空系统后重复步骤2)、3)、4)、5),每次重复时均改变中间容器填充柱体的体积,至少完成3组数据测试;6) Repeat steps 2), 3), 4), and 5) after adjusting the pressure regulating valve to empty the system, and change the volume of the intermediate container filled cylinder each time it is repeated, and complete at least 3 sets of data tests;
7)根据波义尔定律计算,空间体积与压力满足如下关系式:7) Calculated according to Boyle's law, the space volume and pressure satisfy the following relationship:
8)将测试获得的3组数据和V1进行线性拟合,根据截距和斜率分别求出V′0、V″0,则空间体积V0为:8) Test the 3 sets of data obtained Perform linear fitting with V1 , and obtain V′0 and V″0 according to the intercept and slope, respectively, then the space volume V0 is:
V0=V′0+V″0;V0 =V′0 +V″0 ;
S4、储层气体生产过程模拟:S4. Simulation of reservoir gas production process:
使用地层水按照地层真实含水饱和度对待测样品进行饱和,饱和水的体积为Vw;步骤为:关闭阀门B和阀门C,将阀门D与真空泵相连接,开启真空泵对系统进行抽真空,然后关闭阀门D并撤走真空泵;根据真实地层含水饱和度和岩心孔隙体积计算待测样品中需加入的地层水量;采用天平称量出计算得到的地层水体积Vw,将阀门D的支管A置于称量出的地层水中,打开阀门D直至地层水被全部饱和进入容器,静置后备用;Use formation water to saturate the sample to be tested according to the true water saturation of the formation, and the volume of saturated water isVw ; the steps are: close valve B and valve C, connect valve D with the vacuum pump, open the vacuum pump to evacuate the system, and then Close valve D and remove the vacuum pump; calculate the amount of formation water to be added to the sample to be tested according to the actual formation water saturation and core pore volume; use a balance to weigh the calculated formation water volumeVw , and set the branch pipe A of valve D to In the weighed formation water, open valve D until the formation water is fully saturated into the container, and stand for later use;
模拟过程步骤如下:The simulation process steps are as follows:
1)将储层待测岩心样品分别填入中间容器和岩心夹持器A中,装入岩心样品总体积为V,孔隙体积为Vp,与岩心夹持器A相连的恒压恒速泵A驱替压力数值高于地层压力;1) Fill the reservoir core samples to be tested in the intermediate container and the core holder A respectively, the total volume of the loaded core samples is V, the pore volume isVp , and the constant pressure and constant speed pump connected with the core holder A is A displacement pressure value is higher than formation pressure;
2)关闭阀门A、阀门B和阀门E,打开阀门C和阀门D,调压阀压力设置为零,将真空泵与阀门D相连,真空泵对系统抽真空,结束后关闭阀门阀门A、阀门B、阀门C、阀门D和阀门E;2) Close valve A, valve B and valve E, open valve C and valve D, set the pressure of the pressure regulating valve to zero, connect the vacuum pump to valve D, vacuum the system by the vacuum pump, close valve A, valve B, Valve C, Valve D and Valve E;
3)打开阀门A、阀门B和阀门C,使用增压泵向系统以模拟地层恒压的方式注入测试气瓶内的气体,保持该状态使岩心夹持器A中的待测岩心样品充分吸附后关闭阀门A和阀门B;3) Open valve A, valve B and valve C, use the booster pump to inject the gas in the test gas cylinder into the system in a way of simulating the constant pressure of the formation, and keep this state so that the core sample to be tested in the core holder A is fully adsorbed Then close valve A and valve B;
4)岩心夹持器B中填入假岩心,与岩心夹持器B相连的恒压恒速泵B以高于地层压力的恒定压力进行驱替,回压阀大小设置为废弃压力,然后调节调压阀的大小,使得调压阀出口流量达到设定流速;4) The core holder B is filled with false cores, and the constant pressure and constant speed pump B connected to the core holder B is displaced with a constant pressure higher than the formation pressure. The size of the back pressure valve is set to the waste pressure, and then adjusted The size of the pressure regulating valve makes the outlet flow of the pressure regulating valve reach the set flow rate;
5)数据终端开启数据记录软件,记录不同时间下各压力传感器和气体质量流量计数值大小;5) The data terminal opens the data recording software, and records the value of each pressure sensor and gas mass flowmeter at different times;
6)当气体质量流量计出口流量无法恒定在设置流量值时,将调压阀调至最大,继续记录数据;6) When the outlet flow of the gas mass flowmeter cannot be constant at the set flow value, adjust the pressure regulating valve to the maximum and continue to record the data;
7)当压力传感器C达到废弃压力时停止实验,然后打开阀门D和阀门E,将系统中的气体全部排出,并使用流量计记录排出废弃气体总量;7) Stop the experiment when the pressure sensor C reaches the waste pressure, then open the valve D and the valve E to discharge all the gas in the system, and use the flowmeter to record the total amount of discharged waste gas;
S5、各赋存状态气体产气特征计算:S5. Calculation of gas production characteristics of gas in each occurrence state:
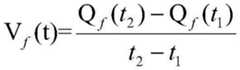
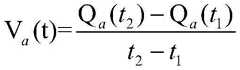
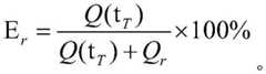
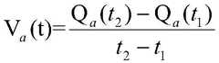
结合步骤S1-S4系统中各部分的定义,其中空间体积为V0,系统中填充岩心样品的外观体积为V,中间容器和岩心夹持器A中填充岩心样品的孔隙体积为Vp,任意时刻t压力传感器A的压力为P(t),任意时刻t气体质量流量计记录的产气量为Q(t),假设生产结束时时间为tT,总产气量为Q(tT),生产结束后,储层剩余废弃气量为Qr,式中Z为气体压缩因子,恒温箱模拟地层温度T为系统温度,R为普适气体常数,VL为标准摩尔体积,M为测试气瓶中气体相对分子质量,ρa为吸附相气体密度;Combined with the definitions of each part in the system in steps S1-S4, the space volume is V0 , the apparent volume of the filled core sample in the system is V, and the pore volume of the filled core sample in the intermediate container and core holder A is Vp , any The pressure of the pressure sensor A at time t is P(t ), and the gas production volume recorded by the gas mass flowmeter at any time t is Q(t ). After the end, the remaining waste gas volume of the reservoir is Qr , where Z is the gas compression factor, the temperature of the simulated formation in the constant temperature box T is the system temperature, R is the universal gas constant,VL is the standard molar volume, and M is the test gas cylinder. gas relative molecular mass, ρa is the density of adsorbed phase gas;
则在任意时刻,系统中自由气Qf(t)、孔束缚气Qb(t)、吸附气Qa(t)含量计算公式如下:Then at any time, the calculation formula for the content of free gas Qf (t), pore bound gas Qb (t), and adsorbed gas Qa (t) in the system is as follows:
Qb(t)=Q(tT)+Q-Q(t)-Qf(t)-Qa(t)Qb (t)=Q(tT )+QQ(t)-Qf (t)-Qa (t)
则在时刻t1和时刻t2间不同赋存状态气体产气速度计算表达式为:Then between time t1 and time t2 , the calculation expression of the gas production rate of gas in different occurrence states is:
储层生产最终采收率Er计算表达式为:The calculation expression of the final recovery factorEr of reservoir production is:
本发明的一种同时测量岩心不同赋存状态气体产出特征的系统及方法,实现了对吸附气、孔束缚气、自由气产气速度定量化评价,为研究生产过程中不同赋存状态气体对产能的贡献提供了新的工具。本系统和方法模拟真实储层状态下的生产过程,实验数据分析获得的认识可直接用于指导页岩/煤层气藏现场生产。The system and method of the present invention simultaneously measure the gas production characteristics of different occurrence states of cores, realizes the quantitative evaluation of the gas production rates of adsorbed gas, pore-bound gas and free gas, and is used to study the gas production in different occurrence states in the production process. Contribution to productivity provides new tools. The system and method simulates the production process under real reservoir conditions, and the insights gained from the analysis of experimental data can be directly used to guide the field production of shale/coalbed methane reservoirs.
附图说明Description of drawings
说明书各附图所表达的内容及图中的标记作出简要的说明:A brief description of the contents expressed in the drawings of the description and the marks in the drawings:
图1为实施例一的系统结构示意图;1 is a schematic diagram of the system structure of Embodiment 1;
图2实施例一系统空间体积标定拟合图;Fig. 2 embodiment one system space volume calibration fitting diagram;
图3实施例一不同生产阶段的动态产气规律及累产分布图;Fig. 3 embodiment 1 dynamic gas production law and cumulative production distribution diagram of different production stages;
图4实施例一生产过程中不同赋存状态气体的产气速度动态变化规律图;Figure 4 is a diagram of the dynamic variation law of gas production velocity of gases in different occurrence states in the production process of embodiment one;
图中:1为测试气瓶;2为增压泵;3为中间容器;4为岩心夹持器A;5为恒温箱;6为恒压恒速泵A;7为阀门A;8为阀门B;9为阀门C;10为阀门D;11为连接点A;12为调压阀;13为岩心夹持器B;14为回压阀;15为回压自动跟踪泵;16为恒压恒速泵B;17为阀门E;18为数据终端;19为压力传感器A;20为压力传感器B;21为压力传感器C;22为压力传感器D;23为压力传感器E;24为压力传感器F;25为气体质量流量计。In the figure: 1 is the test gas cylinder; 2 is the booster pump; 3 is the intermediate container; 4 is the core holder A; 5 is the constant temperature box; 6 is the constant pressure and constant speed pump A; 7 is the valve A; 8 is the valve B; 9 is valve C; 10 is valve D; 11 is connection point A; 12 is pressure regulating valve; 13 is core holder B; 14 is back pressure valve; 15 is back pressure automatic tracking pump; 16 is constant pressure Constant speed pump B; 17 is valve E; 18 is data terminal; 19 is pressure sensor A; 20 is pressure sensor B; 21 is pressure sensor C; 22 is pressure sensor D; 23 is pressure sensor E; 24 is pressure sensor F ; 25 is the gas mass flow meter.
具体实施方式Detailed ways
下面结合附图给出一个非限定的实施例对本发明作进一步的阐述。但是应该理解,这些描述只是示例的,而并非要限制本发明的范围。此外,在以下说明中,省略了对公知结构和技术的描述,以避免不必要地混淆本发明的概念。A non-limiting embodiment is given below in conjunction with the accompanying drawings to further illustrate the present invention. It should be understood, however, that these descriptions are exemplary only, and are not intended to limit the scope of the present invention. Also, in the following description, descriptions of well-known structures and techniques are omitted to avoid unnecessarily obscuring the concepts of the present invention.
实施例一Example 1
如图1所示,一种同时测量岩心不同赋存状态气体产出特征的系统,As shown in Figure 1, a system for simultaneously measuring the gas production characteristics of different occurrence states of cores,
包括相互连接的气体收集段、气体产出段和数据采集组件;Including interconnected gas collection sections, gas production sections and data acquisition components;
所述气体收集段包括测试气瓶1、增压泵2、中间容器3、岩心夹持器A4、恒温箱5、恒压恒速泵A6、阀门A7、阀门B8、阀门C9和阀门D10;The gas collection section includes a test gas cylinder 1, a booster pump 2, an intermediate container 3, a core holder A4, a
所述测试气瓶1与岩心夹持器A4的入口通过管路连接,所述中间容器3的开口端通过连接点A11连接在测试气瓶1和岩心夹持器A4之间的管路上,所述增压泵2设置在测试气瓶1和连接点A11之间的管路上,所述阀门A7设置在测试气瓶1和增压泵2之间的管路上,所述阀门B8设置在增压泵2和连接点A11之间的管路上,所述阀门C9设置在连接点A11和岩心夹持器A4之间的管路上,在阀门B8和阀门C9之间的管路上设置支管A,所述阀门D10设置在支管A上,所述恒压恒速泵A6连接在岩心夹持器A4的筒体上以实现岩心夹持器A4内气体围压驱替,所述中间容器3和岩心夹持器A4及其之间相互连接的管路设置在恒温箱5内;The inlet of the test gas cylinder 1 and the core holder A4 is connected through a pipeline, and the open end of the intermediate container 3 is connected to the pipeline between the test gas cylinder 1 and the core holder A4 through the connection point A11, so The booster pump 2 is arranged on the pipeline between the test gas cylinder 1 and the connection point A11, the valve A7 is arranged on the pipeline between the test gas cylinder 1 and the booster pump 2, and the valve B8 is arranged on the booster pump 2. On the pipeline between the pump 2 and the connection point A11, the valve C9 is arranged on the pipeline between the connection point A11 and the core holder A4, and the branch pipe A is arranged on the pipeline between the valve B8 and the valve C9, and the The valve D10 is arranged on the branch pipe A, the constant pressure and constant speed pump A6 is connected to the cylinder of the core holder A4 to realize the displacement of the gas confining pressure in the core holder A4, and the intermediate container 3 and the core are clamped The device A4 and its interconnected pipelines are arranged in the
所述气体产出段包括调压阀12、岩心夹持器B13、回压阀14、回压自动跟踪泵15、恒压恒速泵B16和阀门E17;The gas production section includes a
所述岩心夹持器B13的进气口与岩心夹持器A4的出气口通过管道连通,所述调压阀12设置在岩心夹持器A4和岩心夹持器B13之间的管道上;所述回压自动跟踪泵15连接在岩心夹持器B13筒体和岩心夹持器B13入口管道之间以形成岩心夹持器B13内岩心恒压驱替;所述回压阀14的进气口与岩心夹持器B13的出气口通过管道连接,所述恒压恒速泵B16连接在回压阀14的进气一侧;在岩心夹持器B13和回压阀14连接的管路上设置支管B,所述阀门E17设置在支管B上;The air inlet of the core holder B13 is communicated with the air outlet of the core holder A4 through a pipeline, and the
所述数据采集组件包括数据终端18、压力传感器A19、压力传感器B20、压力传感器C21、压力传感器D22、压力传感器E23、压力传感器F24和气体质量流量计25;所述压力传感器A19设置在阀门B8和阀门C9之间的管路上,所述压力传感器B20设置在岩心夹持器A4的筒体上以测试岩心夹持器A4内的围压,所述压力传感器C21设置在岩心夹持器A4和调压阀12连接的管路上,所述压力传感器D22设置在调压阀12和岩心夹持器B13之间的管路上,所述压力传感器E23设置在岩心夹持器B13的筒体上以测试岩心夹持器B13内的围压,所述压力传感器F24设置在岩心夹持器B13和回压阀14之间的管路上,所述回压阀14的出气口与气体质量流量计25通过管道连接;所述压力传感器A19、压力传感器B20、压力传感器C21、压力传感器D22、压力传感器E23、压力传感器F24和气体质量流量计25分别与数据终端18连接,通过数据终端18记录各压力传感器的数据;The data acquisition assembly includes a data terminal 18, a pressure sensor A19, a pressure sensor B20, a pressure sensor C21, a pressure sensor D22, a pressure sensor E23, a pressure sensor F24 and a gas
所述中间容器3填充岩心研究区块的的样品,中间容器3在测试气瓶1和增压泵2作用下模拟底层温度和原始含水饱和度条件下的储层特征;所述气体收集段模拟底层水平压裂缝网向竖向井筒流动过程,所述气体产出段模拟地层竖向井筒内不同生产制度下气体的生产过程。The intermediate container 3 is filled with samples from the core research block, and the intermediate container 3 simulates the reservoir characteristics under the conditions of the bottom temperature and the original water saturation under the action of the test gas cylinder 1 and the booster pump 2; the gas collection section simulates The flow process of the bottom horizontal fracturing network to the vertical wellbore, and the gas production section simulates the gas production process under different production regimes in the vertical wellbore of the formation.
通过以上同时测量岩心不同赋存状态气体产出特征的系统的实验方法,包括如下步骤:Through the above systematic experimental method for simultaneously measuring the gas production characteristics of different occurrence states of cores, the following steps are included:
S1、系统连接:S1. System connection:
连接组装气体收集段、气体产出段和数据采集组件各部件;按照图1连接管路,实验流程中各部件作用如下:测试气瓶1和增压泵2提供实验中目标压力值的气体,测试气瓶1中填充甲烷,中间容器3填充研究区块的样品,可模拟地层温度和原始含水饱和度条件下的储层特征;岩心夹持器A4填充真实储层样品,模拟真实储层天然气由基质向竖向井筒流动过程;调压阀12、岩心夹持器B13、回压阀14组成的部件模拟不同生产制度下气体的生产过程,其中岩心夹持器B13填充假岩心;气体质量流量计25、压力传感器、数据终端18组成了系统的数据记录部件;恒温箱5、回压自动跟踪泵15、恒压恒速泵构成了储层环境模拟部件。Connect and assemble the components of the gas collection section, gas output section and data acquisition assembly; connect the pipeline according to Figure 1, the functions of each component in the experimental process are as follows: the test gas cylinder 1 and the booster pump 2 provide the gas with the target pressure value in the experiment, The test gas cylinder 1 is filled with methane, and the intermediate container 3 is filled with samples from the research block, which can simulate the reservoir characteristics under the conditions of formation temperature and original water saturation; the core holder A4 is filled with real reservoir samples to simulate real reservoir natural gas The flow process of the matrix to the vertical wellbore; the components composed of the
S2、系统气密性检测:S2, system air tightness detection:
在岩心夹持器A4中和岩心夹持器B13中放入假岩心,恒压恒速泵A6和恒压恒速泵B16采用恒压驱替,驱替压力比地层压力高2MPa,回压阀14设置为地层压力,调压阀12门压力调至最大,恒温箱5保持地层温度。打开阀门A7、阀门B8和阀门C9,关闭阀门D10和阀门E17,使用增压泵2向中间容器3和岩心夹持器A4和岩心夹持器B13中填入与地层压力相同压力值的氦气,压力稳定后关闭阀门A7和阀门B8。静置24小时后观测压力传感器A19、压力传感器C21和压力传感器E23的数值,如果压力值未发生改变,则说明系统气密性良好,开始实验;如压力发生改变,使用皂泡水检测系统气体泄露处,进行密封处理后再次进行气密性检测。Put fake cores in core holder A4 and core holder B13, constant pressure and constant speed pump A6 and constant pressure and constant speed pump B16 are displaced by constant pressure, the displacement pressure is 2MPa higher than the formation pressure, and the
S3、系统空间体积标定:S3. System space volume calibration:
对调压阀12A和阀门B8间的空间体积V0进行标定,在整个标定过程中,阀门D10始终处于关闭状态;阀门B8和阀门C9间的体积为V′0,阀门C9和调压阀12间的体积为V″0,标定步骤如下:The space volume V0 between the pressure regulating valve 12A and the valve B8 is calibrated. During the whole calibration process, the valve D10 is always in a closed state; the volume between the valve B8 and the valve C9 is V′0 , and the valve C9 and the
1向岩心夹持器A4中放置中通的假岩心,假岩心的孔隙体积为已知的V′,与岩心夹持器A4相连的恒速恒压泵以10MP恒压进行驱替;1. Place the fake core of the middle pass in the core holder A4, the pore volume of the fake core is known V', and the constant speed and constant pressure pump connected with the core holder A4 is displaced with a constant pressure of 10MP;
2向中间容器3填充体积为V1的无孔隙柱体,无孔隙柱体采用不锈钢柱体;2. Fill the intermediate container 3 with a non-porous cylinder with a volume of V1 , and the non-porous cylinder adopts a stainless steel cylinder;
3关闭阀门A7、阀门B8和阀门C9,调压阀12压力值设定为0;3. Close valve A7, valve B8 and valve C9, and set the pressure value of
4打开阀门A7和阀门B8向中间容器3充入一定的压力的气体后关闭阀门A7和阀门B8,待压力传感器A19读数稳定后将其数值记录为P1;4. After opening valve A7 and valve B8 and filling the intermediate container 3 with a certain pressure of gas, close valve A7 and valve B8, and record its numerical value as P1 after the reading of pressure sensor A19 is stable;
5打开阀门C9,待压力传感器A19和压力传感器C21读数稳定后将其值记录为P2;5. Open the valve C9, and record the value as P2 after the readings of the pressure sensor A19 and the pressure sensor C21 are stable;
6调节调压阀12放空系统后重复步骤2、3、4、5,每次重复时均改变中间容器3填充柱体的体积,完成3组数据测试;6. Repeat steps 2, 3, 4, and 5 after adjusting the
7根据波义尔定律计算,空间体积与压力满足如下关系式:7 According to Boyle's law, the space volume and pressure satisfy the following relationship:
8将测试获得的3组数据和V1进行线性拟合,根据截距和斜率分别求出V′0、V″0,则空间体积V0为:8 will test the 3 sets of data obtained Perform linear fitting with V1 , and obtain V′0 and V″0 according to the intercept and slope, respectively, then the space volume V0 is:
V0=V′0+V′0V0 =V′0 +V′0
本实施例标定过程原始数据见表1,拟合结果见图2:The original data of the calibration process in this embodiment are shown in Table 1, and the fitting results are shown in Figure 2:
表1:系统空间体积标定过程原始数据记录表Table 1: The original data record table of the system space volume calibration process
由拟合公式可知:It can be seen from the fitting formula:
S4、储层气体生产过程模拟:S4. Simulation of reservoir gas production process:
本实施例中含水饱和度设定为0,饱和水体积Vw为0。模拟过程步骤如下:In this embodiment, the water saturation is set to 0, and the saturated water volume Vw is set to 0. The simulation process steps are as follows:
1将储层待测岩心样品分别填入中间容器3和岩心夹持器A4中,装入岩心样品总体积为V,中间容器3和岩心夹持器A4中岩心样品孔隙体积为Vp,与岩心夹持器A4相连的恒压恒速泵A6驱替压力数值比地层压力高2MPa,本实施例中驱替压力设置为10MPa;1 Fill the core samples to be tested in the reservoir into the intermediate container 3 and the core holder A4 respectively, the total volume of the loaded core samples is V, and the pore volume of the core samples in the intermediate container 3 and the core holder A4 is Vp , and The displacement pressure value of the constant pressure and constant speed pump A6 connected to the core holder A4 is 2MPa higher than the formation pressure, and the displacement pressure in this embodiment is set to 10MPa;
2关闭阀门A7、阀门B8和阀门E17,打开阀门C9和阀门D10,调压阀12压力设置为零,将真空泵与阀门D10相连,真空泵对系统抽真空24小时,结束后关闭阀门阀门A7、阀门B8、阀门C9、阀门D10和阀门E17;2. Close valve A7, valve B8 and valve E17, open valve C9 and valve D10, set the pressure of
3打开阀门A7、阀门B8和阀门C9,使用增压泵2向系统以恒压8MPa的方式注入测试气瓶1内的甲烷气体,保持该状态使岩心夹持器A4中的待测岩心样品充分吸附24小时后关闭阀门A7和阀门B8;3. Open valve A7, valve B8 and valve C9, and use booster pump 2 to inject the methane gas in the test gas cylinder 1 into the system at a constant pressure of 8MPa, and keep this state so that the core sample to be tested in the core holder A4 is sufficient. Close valve A7 and valve B8 after 24 hours of adsorption;
4岩心夹持器B13中填入假岩心,与岩心夹持器B13相连的恒压恒速泵B16以10MPa的恒定压力进行驱替,回压阀14大小设置为1MPa,然后调节调压阀12的大小,使得调压阀12出口流量达到设定流速;4 The core holder B13 is filled with a false core, the constant pressure and constant speed pump B16 connected to the core holder B13 is displaced with a constant pressure of 10MPa, the size of the
5数据终端18开启数据记录软件,记录不同时间下各压力传感器和气体质量流量计25数值大小;5. The data terminal 18 opens the data recording software to record the numerical values of each pressure sensor and gas
6当气体质量流量计25出口流量无法恒定在设置流量值时,将调压阀12调至最大,继续记录数据;6 When the outlet flow of the
7当压力传感器C21达到废弃压力时停止实验,然后打开阀门D10和阀门E17,将系统中的气体全部排出,并使用流量计记录排出废弃气体总量;7 Stop the experiment when the pressure sensor C21 reaches the waste pressure, then open the valve D10 and the valve E17 to discharge all the gas in the system, and use the flow meter to record the total amount of discharged waste gas;
实验过程原始数据记录见表2,产气特征见图3。The original data records of the experimental process are shown in Table 2, and the gas production characteristics are shown in Figure 3.
表2:生产过程中压力、流量的原始数据记录表Table 2: Raw data record of pressure and flow during production
通过表2和图3可见,在稳定生产时间为13.8小后转入衰减生产,衰减生产36.4小时,整体再现了页岩气藏生产具有产量衰减块,生产期长的特征。From Table 2 and Figure 3, it can be seen that after the stable production time is 13.8 hours, it is transferred to the decay production, and the decay production is 36.4 hours. The overall reproduction of the shale gas reservoir production has the characteristics of production decay block and long production period.
S5、各赋存状态气体产气特征计算:S5. Calculation of gas production characteristics of gas in each occurrence state:
结合步骤S1-S4系统中各部分的定义,其中空间体积为V0,系统中填充岩心样品的外观体积为V,中间容器3和岩心夹持器A4中填充岩心样品的孔隙体积为Vp,任意时刻t压力传感器A19的压力为P(t),任意时刻t气体质量流量计25记录的产气量为Q(t),假设生产结束时时间为tT,总产气量为Q(tT),生产结束后,储层剩余废弃气量为Qr,式中Z为气体压缩因子,恒温箱5模拟地层温度T为系统温度,R为普适气体常数,VL为标准摩尔体积,M为测试气瓶1中气体相对分子质量,ρa为吸附相气体密度;Combined with the definitions of each part of the system in steps S1-S4, the space volume is V0 , the apparent volume of the filled core sample in the system is V, and the pore volume of the filled core sample in the intermediate container 3 and the core holder A4 is Vp , The pressure of the pressure sensor A19 at any time t is P(t), the gas production volume recorded by the
则在任意时刻,系统中自由气Qf(t)、孔束缚气Qb(t)、吸附气Qa(t)含量计算公式如下:Then at any time, the calculation formula for the content of free gas Qf (t), pore bound gas Qb (t), and adsorbed gas Qa (t) in the system is as follows:
Qb(t)=Q(tT)+Q-Q(t)-Qf(t)-Qa(t)Qb (t)=Q(tT )+QQ(t)-Qf (t)-Qa (t)
则在时刻t1和时刻t2间不同赋存状态气体产气速度计算表达式为:Then between time t1 and time t2 , the calculation expression of the gas production rate of gas in different occurrence states is:
储层生产最终采收率Er计算表达式为:The calculation expression of the final recovery factorEr of reservoir production is:
生产过程中不同赋存状态气体产气速度、最终采收率计算数据见表3,产气速度动态分布图见图4。The calculation data of gas production rate and final recovery factor of gas in different occurrence states in the production process are shown in Table 3, and the dynamic distribution of gas production rate is shown in Figure 4.
表3:生产过程中不同赋存状态气体产气速度、采收率计算结果Table 3: Calculation results of gas production rate and recovery factor of gas in different occurrence states in the production process
通过表3和图4可见,本实施例实现了对不同赋存状态气体的产气量的分离,揭示了气藏生产过程中不同赋存状态气体对产量的贡献,为研究不同生产制度下储层产气特征影响提供了技术手段,也为气藏生产制度优化提供了一种室内模拟方法。It can be seen from Table 3 and Fig. 4 that the present embodiment realizes the separation of the gas production of gases in different occurrence states, and reveals the contribution of gases in different occurrence states to the production during the production process of the gas reservoir. The influence of gas production characteristics provides a technical means, and also provides an indoor simulation method for the optimization of gas reservoir production system.
本发明的压力传感器、数据终端18及其软件等相关的处理、发送以及接收等程序,是本领域技术人员的常规技术选择,属于现有技术,不需要付出创造性劳动就能得出的技术方案,不属于本发明保护的客体。The pressure sensor, the data terminal 18 and its software of the present invention related to processing, sending and receiving programs are the conventional technical choices of those skilled in the art, belong to the prior art, and can be obtained without creative work. , does not belong to the object of protection of the present invention.
在本发明的描述中,需要理解的是,若出现术语“中心”、“纵向”、“横向”、“上”、“下”、“前”、“后”、“左”、“右”、“竖直”、“水平”、“顶”、“底”、“内”、“外”等指示的方位或位置关系为基于附图所示的方位或位置关系,仅是为了便于描述本发明和简化描述,而不是指示或暗示所指的装置或元件必须具有特定的方位、以特定的方位构造和操作,因此不能理解为对本发明的限制。此外,若出现术语“第一”、“第二”等,其仅用于描述目的,而不能理解为指示或暗示相对重要性或者隐含指明所指示的技术特征的数量。由此,限定有“第一”、“第二”等的特征可以明示或者隐含地包括一个或者更多个该特征。在本发明的描述中,除非另有说明,“多个”的含义是两个或两个以上。In the description of the present invention, it should be understood that if the terms "center", "portrait", "horizontal", "top", "bottom", "front", "rear", "left", "right" appear , "vertical", "horizontal", "top", "bottom", "inside", "outside", etc. indicate the orientation or positional relationship based on the orientation or positional relationship shown in the accompanying drawings, only for the convenience of describing this The invention and simplified description do not indicate or imply that the device or element referred to must have a particular orientation, be constructed and operate in a particular orientation, and therefore should not be construed as limiting the invention. In addition, where the terms "first", "second", etc. appear, they are only used for descriptive purposes and should not be understood as indicating or implying relative importance or implying the number of technical features indicated. Thus, a feature defined as "first", "second", etc., may expressly or implicitly include one or more of that feature. In the description of the present invention, unless otherwise specified, "plurality" means two or more.
在本发明的描述中,需要说明的是,除非另有明确的规定和限定,若出现术语“安装”、“相连”、“连接”,应做广义理解,例如,可以是固定连接,也可以是可拆卸连接,或一体地连接;可以是机械连接,也可以是电连接;可以是直接相连,也可以通过中间媒介间接相连,可以是两个元件内部的连通。对于本领域的普通技术人员而言,可以通过具体情况理解上述术语在本发明中的具体含义。In the description of the present invention, it should be noted that, unless otherwise expressly specified and limited, if the terms "installation", "connection" and "connection" appear, they should be understood in a broad sense, for example, it may be a fixed connection or a It is a detachable connection, or an integral connection; it can be a mechanical connection or an electrical connection; it can be directly connected, or indirectly connected through an intermediate medium, or it can be the internal communication between two components. For those of ordinary skill in the art, the specific meanings of the above terms in the present invention can be understood through specific situations.
| Application Number | Priority Date | Filing Date | Title |
|---|---|---|---|
| CN202210279383.5ACN114720655B (en) | 2022-03-21 | 2022-03-21 | System and method for simultaneously measuring gas production characteristics of cores in different occurrence states |
| Application Number | Priority Date | Filing Date | Title |
|---|---|---|---|
| CN202210279383.5ACN114720655B (en) | 2022-03-21 | 2022-03-21 | System and method for simultaneously measuring gas production characteristics of cores in different occurrence states |
| Publication Number | Publication Date |
|---|---|
| CN114720655Atrue CN114720655A (en) | 2022-07-08 |
| CN114720655B CN114720655B (en) | 2025-04-22 |
| Application Number | Title | Priority Date | Filing Date |
|---|---|---|---|
| CN202210279383.5AActiveCN114720655B (en) | 2022-03-21 | 2022-03-21 | System and method for simultaneously measuring gas production characteristics of cores in different occurrence states |
| Country | Link |
|---|---|
| CN (1) | CN114720655B (en) |
| Publication number | Priority date | Publication date | Assignee | Title |
|---|---|---|---|---|
| CN116482329A (en)* | 2023-03-09 | 2023-07-25 | 西南石油大学 | Gas reservoir in-situ conversion hydrogen production experiment simulation device and application method |
| CN117147414A (en)* | 2023-11-01 | 2023-12-01 | 中国矿业大学 | Device and method for determining occurrence of water in shale organic and inorganic pores |
| WO2025011607A1 (en)* | 2023-07-12 | 2025-01-16 | 中国石油化工股份有限公司 | System and method for measuring physical property parameters of fluid in porous medium |
| Publication number | Priority date | Publication date | Assignee | Title |
|---|---|---|---|---|
| CN102944666A (en)* | 2012-12-05 | 2013-02-27 | 西南石油大学 | Shale gas reservoir recovery simulation experimental device |
| CN108508185A (en)* | 2018-04-14 | 2018-09-07 | 西南石油大学 | A kind of Methed of Tight Sandstone Gas Layers damage experimental evaluation method of simulation gas output process |
| US20180298748A1 (en)* | 2015-10-23 | 2018-10-18 | Onesubsea Ip Uk Limited | Method and system for determining the production rate of fluids in a gas well |
| CN110285865A (en)* | 2018-03-19 | 2019-09-27 | 中国石油天然气股份有限公司 | System and method for simulating gas loss in shale field coring process |
| CN111720109A (en)* | 2020-07-01 | 2020-09-29 | 重庆科技学院 | A dry gas well production simulation device and method based on constant production |
| Publication number | Priority date | Publication date | Assignee | Title |
|---|---|---|---|---|
| CN102944666A (en)* | 2012-12-05 | 2013-02-27 | 西南石油大学 | Shale gas reservoir recovery simulation experimental device |
| US20180298748A1 (en)* | 2015-10-23 | 2018-10-18 | Onesubsea Ip Uk Limited | Method and system for determining the production rate of fluids in a gas well |
| CN110285865A (en)* | 2018-03-19 | 2019-09-27 | 中国石油天然气股份有限公司 | System and method for simulating gas loss in shale field coring process |
| CN108508185A (en)* | 2018-04-14 | 2018-09-07 | 西南石油大学 | A kind of Methed of Tight Sandstone Gas Layers damage experimental evaluation method of simulation gas output process |
| CN111720109A (en)* | 2020-07-01 | 2020-09-29 | 重庆科技学院 | A dry gas well production simulation device and method based on constant production |
| Title |
|---|
| 高树生;刘华勋;叶礼友;胡志明;安为国;: "页岩气井全生命周期物理模拟实验及数值反演", 石油学报, no. 04, 15 April 2018 (2018-04-15)* |
| Publication number | Priority date | Publication date | Assignee | Title |
|---|---|---|---|---|
| CN116482329A (en)* | 2023-03-09 | 2023-07-25 | 西南石油大学 | Gas reservoir in-situ conversion hydrogen production experiment simulation device and application method |
| CN116482329B (en)* | 2023-03-09 | 2023-11-24 | 西南石油大学 | A gas reservoir in-situ conversion hydrogen production experimental simulation device and its use method |
| WO2025011607A1 (en)* | 2023-07-12 | 2025-01-16 | 中国石油化工股份有限公司 | System and method for measuring physical property parameters of fluid in porous medium |
| CN117147414A (en)* | 2023-11-01 | 2023-12-01 | 中国矿业大学 | Device and method for determining occurrence of water in shale organic and inorganic pores |
| CN117147414B (en)* | 2023-11-01 | 2023-12-29 | 中国矿业大学 | A device and method for measuring the occurrence of water in organic and inorganic pores of shale |
| Publication number | Publication date |
|---|---|
| CN114720655B (en) | 2025-04-22 |
| Publication | Publication Date | Title |
|---|---|---|
| CN114720655A (en) | System and method for simultaneously measuring gas output characteristics of rock cores in different occurrence states | |
| CN103207138B (en) | Method for combined measurement of permeability and porosity of dense rock under dynamic confining pressure | |
| CN203011791U (en) | Gas absorption/desorption testing device | |
| CN104713814B (en) | Real-time measurement device, measurement method and calculation method for permeability, porosity and compression coefficient of rock | |
| CN111208037B (en) | A method for determining absolute adsorption capacity of rock samples and a method for measuring isotherm adsorption curves of rock samples | |
| CN201532351U (en) | A device for testing rock gas permeability coefficient by variable volume pressure pulse method | |
| CN106093345B (en) | One kind simulation CO2The method that the pneumatic state process of shale is replaced in displacement | |
| CN103994943B (en) | A kind of coal/shale adsorption isotherm experiment device | |
| CN206057126U (en) | A kind of shale multi component adsorption experimental provision | |
| CN103994960B (en) | A Coal/Shale Isothermal Adsorption Experimental Method | |
| CN106970000A (en) | Coal/shale extra-high absorption and Seepage Experiment evaluate shale gas adsorption method | |
| CN113218843B (en) | A multifunctional triaxial experimental system and method including acoustic electroosmosis | |
| CN105588782A (en) | High-low-temperature high-pressure adsorption and desorption testing device and method | |
| CN103033442A (en) | Gas adsorption and desorption test apparatus | |
| CN110566195A (en) | Experimental method for evaluating gas reservoir stress sensitivity under stratum condition by considering bound water | |
| CN107655805A (en) | A kind of permeability measurement systems and method of hypotonic rock ore deposit particle | |
| CN107941650A (en) | A kind of coal bed gas and shale gas adsorption/desorption automatic measuring method and device | |
| CN105352846A (en) | Testing device and method for tectonic coal desorption gas energy distribution curve | |
| CN104880385B (en) | A kind of anhydrous fracturing fluid test system of carbon dioxide and method of testing | |
| CN116698696B (en) | Research platform and method for measuring permeability parameters of saturated ultra-low permeability medium gas throughout the whole process | |
| CN204718916U (en) | A kind of device measuring coal/shale surface gas absorption and desorption curve | |
| CN202039840U (en) | Working fluid level device for oil well annular gas injection test | |
| CN105628575A (en) | Shale property determination method and device and shale property determination instrument | |
| CN203908915U (en) | Coal/shale isothermal adsorption test device | |
| CN105043920A (en) | Test method for measuring rock mass constant temperature adsorption and monitoring rock mass strain and instrument |
| Date | Code | Title | Description |
|---|---|---|---|
| PB01 | Publication | ||
| PB01 | Publication | ||
| SE01 | Entry into force of request for substantive examination | ||
| SE01 | Entry into force of request for substantive examination | ||
| GR01 | Patent grant | ||
| GR01 | Patent grant |