




























技术领域technical field
本发明涉及原子薄膜领域,尤其涉及一种频率电可调的弹性拓扑绝缘体及功能组件。The invention relates to the field of atomic thin films, in particular to an elastic topological insulator and a functional component with an electrically adjustable frequency.
背景技术Background technique
人们在实际器件应用方面一直追求在空间域和频域中精确控制弹性波。与流体中的声波相比较(例如空气声),弹性波在更高频率下具有极低的传输损耗,更易集成到固态微米/纳米尺度系统。与电磁波相比,在相同工作频率下,使用弹性波的器件面积比电磁波的小5个数量级。这些主要优势使得声表面波(SAWs)或者体声波(BAWs)的器件,广泛应用于现代信号处理和传感器中。在过去的十年,拓扑绝缘体(TI)从电子学迅速扩展到经典波系统,主要由于其边界的光子/声子带有“自旋-动量锁定”特征,带来了具有革命性的传输通道。The precise control of elastic waves in the spatial and frequency domains has been pursued in practical device applications. Compared to acoustic waves in fluids (eg, airborne acoustics), elastic waves have extremely low transmission losses at higher frequencies and are easier to integrate into solid-state micro/nanoscale systems. Compared with electromagnetic waves, under the same operating frequency, the area of devices using elastic waves is 5 orders of magnitude smaller than that of electromagnetic waves. These main advantages make surface acoustic wave (SAWs) or bulk acoustic wave (BAWs) devices widely used in modern signal processing and sensors. In the past decade, topological insulators (TIs) have rapidly expanded from electronics to classical wave systems, mainly due to the "spin-momentum locking" feature of photons/phonons at their boundaries, bringing revolutionary transmission channels .
至今,在宏观和微观系统中都已经实现了弹性拓扑绝缘体,如在穿孔板、类乐高积木板和悬浮的纳米薄膜等这些弹性系统中展示了一些前所未有的功能元组件。一阶弹性拓扑绝缘体提供了一种非常理想的一维弹性波导技术,(1)即使这些波导任意转动,或者内部有缺陷,传输的能量也不会被丢失。(2)这种波导支持宽带工作频率而且没有任何色散。二阶弹性拓扑绝缘体提供一种空间上零维而且频率零散的态,这样就可以有目的地使弹性波定位在特定的频率和位置,例如可以定位在拓扑边界的拐角或交叉点处。这些理想的一维波导和0维局域技术很大程度上丰富了人们控制弹性波的手段,也随之产生了一些功能元器件,例如弹性拓扑谐振器,滤波器,多路复用器等。在实现弹性拓扑绝缘体之后,一个明确的、面向设备应用的研究方向是将它们的微型化和实现频率的电调谐性,这也是高级信号处理器,传感器和SAW和BAW工业所迫切需要的。最近,研究人员演示了一些可调的,可重构的弹性拓扑绝缘体,例如Darabi等人通过在压电片组成的结构阵列中利用连接可编程的电容开关,在实验上实现了可重构的电声拓扑绝缘体;Zhou等人提出了一种在具有可变电边界的压电杆系统中实现可调弹性拓扑界面。但是这些元器件需要复杂的外部电路,而且仍然局限于宏观尺度。芯片级电可调弹性TI的解决方案仍然缺乏。To date, elastic topological insulators have been realized in both macroscopic and microscopic systems, demonstrating some unprecedented functional meta-components in elastic systems such as perforated plates, Lego-like bricks, and suspended nanofilms. First-order elastic topological insulators provide a very ideal one-dimensional elastic waveguide technology, (1) even if these waveguides are arbitrarily rotated or internally defective, the transmitted energy will not be lost. (2) This waveguide supports broadband operating frequencies without any dispersion. Second-order elastic topological insulators provide a spatially zero-dimensional and frequency-sparse state, which allows elastic waves to be targeted at specific frequencies and locations, such as at the corners or intersections of topological boundaries. These ideal one-dimensional waveguides and 0-dimensional local technologies have greatly enriched the means for people to control elastic waves, and have also produced some functional components, such as elastic topological resonators, filters, multiplexers, etc. . After realizing elastic topological insulators, a clear, device application-oriented research direction is to miniaturize them and realize the electrical tunability of frequency, which is also urgently needed in advanced signal processors, sensors, and SAW and BAW industries. Recently, researchers demonstrated some tunable, reconfigurable elastic topological insulators, such as Darabi et al. experimentally achieved reconfigurable Electroacoustic Topological Insulators; Zhou et al. proposed a tunable elastic topological interface in a piezoelectric rod system with variable electrical boundaries. But these components require complex external circuitry and are still limited to the macroscale. Chip-scale electrically tunable elastic TI solutions are still lacking.
发明内容SUMMARY OF THE INVENTION
本发明旨在提供一种弹性波拓扑绝缘体以及功能组件,以实现弹性波拓扑绝缘体的频率电可调。The present invention aims to provide an elastic wave topological insulator and a functional component, so as to realize the frequency adjustment of the elastic wave topological insulator.
根据本发明的第一方面,一种弹性波拓扑绝缘体,包括:基板以及二维材料层,二维材料层平铺在所述基板上,所述基板的表面设置有蜂窝晶格图案,所述二维材料层包括与所述基板接触的第一区域以及悬浮的第二区域,所述第二区域与所述基板间声阻抗失配,所述二维材料层构建为一个声子晶体结构。According to a first aspect of the present invention, an elastic wave topological insulator includes: a substrate and a two-dimensional material layer, the two-dimensional material layer is tiled on the substrate, the surface of the substrate is provided with a honeycomb lattice pattern, the The two-dimensional material layer includes a first region in contact with the substrate and a suspended second region, the second region and the substrate have an acoustic impedance mismatch, and the two-dimensional material layer is constructed as a phononic crystal structure.
进一步地,所述蜂窝晶格图案为六边形单胞组成的阵列,每个单胞包含依次交叉的六个圆孔,每个单胞中六个圆孔的中心与六个圆孔所在单胞的中心之间的距离相等。Further, the honeycomb lattice pattern is an array composed of hexagonal unit cells, each unit cell includes six circular holes intersecting in sequence, and the centers of the six circular holes in each unit cell are connected to the unit where the six circular holes are located. The distances between the centers of the cells are equal.
进一步地,所述蜂窝晶格图案为拓扑平庸晶格或者拓扑非平庸晶格。Further, the honeycomb lattice pattern is a topologically trivial lattice or a topologically non-trivial lattice.
进一步地,所述基板由以下材料中的一种制成:SU-8聚合物、二氧化硅、以及压电GaAs。Further, the substrate is made of one of the following materials: SU-8 polymer, silicon dioxide, and piezoelectric GaAs.
进一步地,所述二维材料层由石墨烯制成。Further, the two-dimensional material layer is made of graphene.
根据本发明的第二方面,一种功能组件,包括所述的弹性波拓扑绝缘体。According to a second aspect of the present invention, a functional component includes the elastic wave topological insulator.
进一步地,所述功能组件为分束器。Further, the functional component is a beam splitter.
进一步地,所述功能组件为谐振器。Further, the functional component is a resonator.
进一步地,所述功能组件为滤波器。Further, the functional component is a filter.
进一步地,所述功能组件为多路复用器。Further, the functional component is a multiplexer.
本发明提出的一种弹性波拓扑绝缘体及功能组件,基板以及二维材料层,二维材料层平铺在所述基板上,所述基板的表面设置有蜂窝晶格图案,所述二维材料层包括与所述基板接触的第一区域以及悬浮的第二区域,所述第二区域与所述基板间声阻抗失配,所述二维材料层构建为一个声子晶体结构,由于二维材料通常具有机电灵敏性,因此可以通过向其引入栅极电压来轻松调节其力学性能,从可调性的角度来看,除了电调节之外,外部光,磁,热,气体等都可能调节此类器件。The present invention proposes an elastic wave topological insulator and functional component, a substrate and a two-dimensional material layer, the two-dimensional material layer is laid on the substrate, the surface of the substrate is provided with a honeycomb lattice pattern, and the two-dimensional material The layer includes a first region in contact with the substrate and a suspended second region, the second region and the substrate have an acoustic impedance mismatch, and the two-dimensional material layer is constructed as a phononic crystal structure, due to the two-dimensional Materials generally have electromechanical sensitivity, so their mechanical properties can be easily tuned by introducing a gate voltage to them, from a tunability point of view, in addition to electrical tuning, external light, magnetism, heat, gas, etc. may be tuned such devices.
参照附图来阅读对于示例性实施例的以下描述,本发明的其他特性特征和优点将变得清晰。Other characteristic features and advantages of the present invention will become apparent upon reading the following description of exemplary embodiments with reference to the accompanying drawings.
附图说明Description of drawings
并入到说明书中并且构成说明书的一部分的附图示出了本发明的实施例,并且与描述一起用于解释本发明的原理。在这些附图中,类似的附图标记用于表示类似的要素。下面描述中的附图是本发明的一些实施例,而不是全部实施例。对于本领域普通技术人员来讲,在不付出创造性劳动的前提下,可以根据这些附图获得其他的附图。The accompanying drawings, which are incorporated in and constitute a part of the specification, illustrate embodiments of the invention and, together with the description, serve to explain the principles of the invention. In the figures, like reference numerals are used to refer to like elements. The drawings in the following description are some, but not all, embodiments of the invention. For those of ordinary skill in the art, other drawings can be obtained from these drawings without creative effort.
图1a-图1c分别为本发明一种弹性波拓扑绝缘体实施例的结构示意图、结构俯视图以及结构侧视图;1a-1c are respectively a schematic structural diagram, a top structural view and a structural side view of an embodiment of an elastic wave topological insulator according to the present invention;
图2a-图2c为本发明一种弹性波拓扑绝缘体实施例的基板的声子晶体弹性波色散曲线;2a-2c are phononic crystal elastic wave dispersion curves of a substrate of an elastic wave topological insulator embodiment of the present invention;
图2d为本发明一种弹性波拓扑绝缘体实施例在Γ点的带隙上、下的本征频率与w的函数关系;Fig. 2d is a functional relationship between the eigenfrequencies above and below the band gap of the Γ point and w;
图3a和图3b分别对应圆孔中心的距离5.5μm和6.6μm的弹性波绝缘体的能带结构;Figures 3a and 3b correspond to the band structures of elastic wave insulators with a distance of 5.5 μm and 6.6 μm from the center of the circular hole, respectively;
图3c和图3d分别对应在拓扑平庸和拓扑非平庸晶格的前三个能带高对称点上对应的本征模态;Figures 3c and 3d correspond to the corresponding eigenmodes at the first three band-high symmetry points of topologically trivial and topologically non-trivial lattices, respectively;
图4a为弹性TI界面的示意图;4a is a schematic diagram of an elastic TI interface;
图4b为图4a中TI边界计算得到的能带结构;Fig. 4b is the energy band structure calculated by the TI boundary in Fig. 4a;
图4c-图4e由TI边界制成的弹性功能器件示意图;Fig. 4c-Fig. 4e Schematic diagrams of elastic functional devices made of TI boundaries;
图5a和图5b分别为弹性波拓扑绝缘体和普通绝缘体之间的锯齿形(zigzag-type)和变形扶手椅型(broken armchair-type)界面的投影能带图;Figure 5a and Figure 5b are projected energy band diagrams of zigzag-type and broken armchair-type interfaces between elastic wave topological insulators and ordinary insulators, respectively;
图5c中的上图及下图分别为锯齿形和变形扶手椅型界面计算时所使用的超胞结构;The upper and lower figures in Figure 5c are the supercell structures used in the calculation of the zigzag and deformed armchair interfaces, respectively;
图6a为由两类弹性绝缘体交叉形成的四边形声子晶体的示意图;6a is a schematic diagram of a quadrilateral phononic crystal formed by the intersection of two types of elastic insulators;
图6b为图6a所示四边形声子晶体十字交叉中心的细节图;Fig. 6b is a detailed view of the cross center of the quadrilateral phononic crystal shown in Fig. 6a;
图6c为图6a所示四边形声子晶体的特征频率谱,其中,点、圈和星分别表示体态、边界态和角态;Fig. 6c is the characteristic frequency spectrum of the quadrilateral phononic crystal shown in Fig. 6a, wherein the dots, circles and stars represent the bulk state, the boundary state and the angular state, respectively;
图6d为图6c中虚线框的局部放大图;Fig. 6d is a partial enlarged view of the dotted frame in Fig. 6c;
图6e为二维体态的弹性波位移场分布图,频率在67.57MHz;Figure 6e is the distribution diagram of the elastic wave displacement field of the two-dimensional body state, the frequency is 67.57MHz;
图6f为一维边界态的弹性波位移场分布图,频率在71.167MHz;Figure 6f is the distribution diagram of the elastic wave displacement field of the one-dimensional boundary state, the frequency is 71.167MHz;
图6g为零维角态的弹性波位移场分布图,频率在78.31MHz;Fig. 6g is the distribution diagram of the elastic wave displacement field in the zero-dimensional angular state, the frequency is 78.31MHz;
图7a为在四边形声子晶体引入扭曲和弯曲结构的示意图;Figure 7a is a schematic diagram of introducing twisted and curved structures in a quadrilateral phononic crystal;
图7b为具有缺陷结构的四边形声子晶体的特征频率谱;Fig. 7b is the characteristic frequency spectrum of the quadrilateral phononic crystal with defect structure;
图8a为基于0D角态的双端口带通滤波器示意图;8a is a schematic diagram of a dual-port bandpass filter based on an 0D angular state;
图8b为基于0D角态的双端口带通滤波器的透射频谱;Fig. 8b is the transmission spectrum of the two-port bandpass filter based on 0D angle state;
图8c为基于0D角态的双端口带通滤波器围绕0D角态频率的传输频谱;Figure 8c is the transmission spectrum of the 0D angular state-based two-port bandpass filter around the 0D angular state frequency;
图8d为基于0D角态的双端口带通滤波器中0D角态激励的弹性场分布;Figure 8d shows the elastic field distribution of the 0D angular state excitation in the 0D angular state-based two-port bandpass filter;
图9a为在弹性TI上引入栅极电压的示意图;FIG. 9a is a schematic diagram of introducing gate voltage on elastic TI;
图9b为Vg与弹性双Dirac点的频率之间的关系;Figure 9b shows the relationship between Vg and the frequency of the elastic double Dirac point;
图9c为在高Q带通滤波器的工作频率附近的不同栅极电压下的透射谱。Figure 9c is the transmission spectrum at different gate voltages around the operating frequency of the high-Q bandpass filter.
具体实施方式Detailed ways
为使本发明实施例的目的、技术方案和优点更加清楚,下面将结合本发明实施例中的附图,对本发明实施例中的技术方案进行清楚、完整地描述,显然,所描述的实施例是本发明一部分实施例,而不是全部的实施例。基于本发明中的实施例,本领域普通技术人员在没有做出创造性劳动前提下所获得的所有其他实施例,都属于本发明保护的范围。需要说明的是,在不冲突的情况下,本申请中的实施例及实施例中的特征可以相互任意组合。In order to make the purposes, technical solutions and advantages of the embodiments of the present invention clearer, the technical solutions in the embodiments of the present invention will be clearly and completely described below with reference to the accompanying drawings in the embodiments of the present invention. Obviously, the described embodiments These are some embodiments of the present invention, but not all embodiments. Based on the embodiments of the present invention, all other embodiments obtained by those of ordinary skill in the art without creative efforts shall fall within the protection scope of the present invention. It should be noted that, the embodiments in the present application and the features in the embodiments may be arbitrarily combined with each other if there is no conflict.
发明人发现:原子薄膜(二维材料)不仅具有优异的力学性能,在电、光、磁等方面性能也很突出,因此可通过静电,光声或者磁声耦合对其性能进行调节,这使它成为可调器件的理想材料。一种由二维材料(特别是氮化硼)在图案化衬底上制成的声子晶体(PnC) 波导被提出并得到了实验验证。因此,通过使用固定在图案化衬底上的2D(二维)材料,电可调谐弹性波拓扑绝缘体在实际应用上是可以实现。在本发明的实施例中将二维材料平铺在蜂窝图案化基底上,形成了一种弹性波拓扑绝缘体。由于悬浮的2D材料与刚性基底之间的声阻抗失配,使得可以在二维材料内实现弹性拓扑边界态和角态,同时也就可以实现一些功能元器件,例如任意方向波导,分束器,谐振器等。值得注意是,由于这些2D 材料机电敏感性,所有这些弹性波组件的频率都是电可调的。例如,仅仅通过施加5V的栅极电压,在一个双端口的高Q值的带通滤波器中可实现7.26%的工作频率偏移。这类的弹性拓扑材料和相关的器件可以极大地促进基于2D材料的纳米机电系统的发展,并可能直接应用于在无线电或微波频率的现代无线通信技术中。The inventors found that atomic thin films (two-dimensional materials) not only have excellent mechanical properties, but also have outstanding electrical, optical, magnetic and other properties, so their properties can be adjusted through electrostatic, photoacoustic or magneto-acoustic coupling, which makes the It becomes an ideal material for tunable devices. A phononic crystal (PnC) waveguide fabricated from 2D materials (especially boron nitride) on patterned substrates is proposed and experimentally verified. Therefore, by using 2D (two-dimensional) materials immobilized on patterned substrates, electrically tunable elastic wave topological insulators are practically achievable. In the embodiment of the present invention, a two-dimensional material is tiled on a honeycomb patterned substrate to form an elastic wave topological insulator. Due to the acoustic impedance mismatch between the suspended 2D material and the rigid substrate, elastic topological boundary states and angular states can be realized in the 2D material, and some functional components, such as arbitrary-directional waveguides, beam splitters, can also be realized. , resonators, etc. Notably, due to the electromechanical sensitivity of these 2D materials, the frequencies of all these elastic wave components are electrically tunable. For example, only by applying a gate voltage of 5V, a 7.26% operating frequency shift can be achieved in a two-port high-Q bandpass filter. Such elastic topological materials and related devices can greatly facilitate the development of nanoelectromechanical systems based on 2D materials, with possible direct application in modern wireless communication technologies at radio or microwave frequencies.
如图1a-图1c所示,本发明一种弹性波拓扑绝缘体包括:基板以及二维材料层,二维材料层平铺在所述基板上,所述基板的表面设置有蜂窝晶格图案,所述二维材料层包括与所述基板接触的第一区域以及悬浮的第二区域,所述第二区域与所述基板间声阻抗失配,所述二维材料层构建为一个声子晶体结构。As shown in Figures 1a-1c, an elastic wave topological insulator of the present invention includes: a substrate and a two-dimensional material layer, the two-dimensional material layer is laid on the substrate, and the surface of the substrate is provided with a honeycomb lattice pattern, The two-dimensional material layer includes a first region in contact with the substrate and a suspended second region, the second region and the substrate have an acoustic impedance mismatch, and the two-dimensional material layer is constructed as a phononic crystal structure.
具体而言,弹性波拓扑绝缘体结构的衬底是一个带有表面图案化的基板,为了形成狄拉克点,表面图案设计为蜂窝晶格图案,来提供系统的周期性和对称性。为了形成拓扑绝缘体,在图案化衬底中引入了布里渊区折叠[12,25],这是一种广泛使用的构造赝自旋并进一步实现能带反转的方法。该蜂窝晶格图案具体为六边形单胞组成的阵列,每个单胞包含依次交叉的六个圆孔。如图1a中的六边形代表一个单胞(边长为a),单胞中的圆代表有重叠的圆孔(半径为r)。每个圆孔中心和所在单胞中心之间的距离,即孔中心距离,标记为w,每个单胞中六个圆孔的中心与六个圆孔所在单胞的中心之间的距离相等。这种图案化基板尺寸是完全可伸缩的。本实施例中,可以将单位晶格的几何参数设置为微米级,其中a和r分别为和4.5μm。这种图案化基底可以通过在多种薄膜复合材料上进行选择性表面蚀刻来制备或者直接在单晶体或多晶体进行刻蚀得到。这类衬底复合材料选择非常广泛,例如,Si上的SU-8聚合物、Si上的二氧化硅、蓝宝石上的二氧化硅或AlGaAs 上的压电GaAs。本实施例选取重掺杂的硅上沉积二氧化硅的衬底作为进一步的数值模拟材料,以便后续栅压的施加。Specifically, the substrate of the elastic wave topological insulator structure is a substrate with surface patterning. In order to form Dirac points, the surface pattern is designed as a honeycomb lattice pattern to provide the periodicity and symmetry of the system. To form topological insulators, Brillouin zone folding [12, 25], a widely used method to construct pseudospins and further achieve band inversion, was introduced into the patterned substrate. The honeycomb lattice pattern is specifically an array composed of hexagonal unit cells, and each unit cell includes six circular holes that intersect in sequence. The hexagon in Figure 1a represents a unit cell (side length a), and the circle in the unit cell represents overlapping circular holes (radius r). The distance between the center of each circular hole and the center of the unit cell where it is located, that is, the distance from the center of the hole, marked w, the distance between the centers of the six circular holes in each unit cell and the center of the unit cell where the six circular holes are located is equal . This patterned substrate size is fully scalable. In this embodiment, the geometric parameters of the unit lattice can be set to the micrometer level, where a and r are respectively and 4.5 μm. Such patterned substrates can be prepared by selective surface etching on a variety of thin film composites or directly etched on single crystals or polycrystals. The choice of such substrate composites is very wide, for example, SU-8 polymer on Si, silicon dioxide on Si, silicon dioxide on sapphire or piezoelectric GaAs on AlGaAs. In this embodiment, a substrate on which silicon dioxide is deposited on heavily doped silicon is selected as a further numerical simulation material for subsequent gate voltage application.
如图1b所示,在这样表面图案化基底上平铺一层二维材料,构成弹性波拓扑绝缘体整个结构。在二维材料的选择上没有特别的要求,因为主要关注于其力学性能。在本实施例中,选择最常见的二维材料石墨烯。根据文献记载,石墨烯的密度,厚度,杨氏模量,泊松比以及内应力分别是2.267g/cm3,0.335nm,1TPa,0.165,0.65N/m。现在,一个完整结构模型就创建了。显然,2D材料按照图案化的区域可以分成两个区域,一个是和基底接触的区域,一个是悬浮的区域,因为圆孔有重叠,所以悬浮区域是完整连续的。在二维材料与基底紧接触时,由于悬浮的2D材料和刚性基底间声阻抗失配,弹性波只在悬浮区域传播。因此,这样连续原子般薄的二维材料构建了一个声子晶体结构。As shown in Figure 1b, a layer of two-dimensional material is laid on such a surface patterned substrate to form the entire structure of an elastic wave topological insulator. There are no special requirements on the selection of 2D materials, as the main focus is on their mechanical properties. In this example, the most common two-dimensional material, graphene, is selected. According to literature records, the density, thickness, Young's modulus, Poisson's ratio and internal stress of graphene are 2.267g/cm3 , 0.335nm, 1TPa, 0.165, and 0.65N/m, respectively. A complete structural model is now created. Obviously, the 2D material can be divided into two areas according to the patterned area, one is the area in contact with the substrate, and the other is the suspended area. Because the circular holes overlap, the suspended area is complete and continuous. When the 2D material is in close contact with the substrate, due to the acoustic impedance mismatch between the suspended 2D material and the rigid substrate, elastic waves propagate only in the suspended region. Thus, such a continuous atomically thin 2D material builds a phononic crystal structure.
图2a-图2c为本发明一种弹性波拓扑绝缘体实施例的基板的声子晶体弹性波色散曲线;其中图2a-图2c中圆孔到蜂窝结构中心的距离w分别为5.5μm、6μm、以及6.6μm。图2d为本发明一种弹性波拓扑绝缘体实施例的在Γ点的带隙上、下的本征频率与w的函数关系;其中,图2d中间的图档中A线和B线分别表示模式p(px和py)和d(dxy和 dx2-y2);图2d中左边的图档和右边的图档分别显示了在5.5μm以及6.6μm处的p和d 模式的平面场分布。Figures 2a-2c are phononic crystal elastic wave dispersion curves of a substrate of an elastic wave topological insulator embodiment of the present invention; the distances w from the circular hole to the center of the honeycomb structure in Figures 2a-2c are 5.5 μm, 6 μm, and 6.6μm. Fig. 2d is a functional relationship between the eigenfrequencies above and below the band gap of the Γ point of an embodiment of an elastic wave topological insulator of the present invention and w; wherein, the lines A and B in the graph file in the middle of Fig. 2d represent the modes respectively p(px and py ) and d(dxy and dx2-y2 ); the left and right panels in Fig. 2d show the p and d modes at 5.5 μm and 6.6 μm, respectively Flat field distribution.
声子晶体的能带结构通过使用COMSOL Multiphysics在薄膜力学模块对其预应力本征频率分析所得,如图2b所示。大约在68.5MHz,在Г点处有一个弹性双狄拉克椎。现在,这个声子晶体仍然是一个标准的蜂窝晶格,当孔中心距离满足w=a/√3=6μm时,它是一个弹性波可在内部传播的类狄拉克半金属。当w增加或者缩小,双狄拉克锥简并消失,并随之产生弹性带隙,如图2d所示。由于w增大和减小所形成的能带结构相反,这使得PnC成为两种类型的绝缘体。例如,在图2a所示的能带结构中,此时w=5.5μm,声子晶体在原来的狄拉克锥附近产生约为5MHz的弹性波带隙,在带隙的高频和低频处有两种不同类型的体模式,将这两种类型体模式分别命名为d模式和p模式,就像电子自旋一样。根据它们本征态关于x或y轴的奇偶对称性,d模式可以分为dxy and dx2-y2,而p模式可以分为px和py,称该晶格为拓扑平庸晶格。相应地,图2c是w等于6.6μm时的能带结构,现在PnC在相同的频率下也具有5MHz的带隙,但是p和d模式完全相反,该晶格为拓扑非平庸晶格。The band structure of the phononic crystal was obtained by analyzing its prestressed eigenfrequency in the Thin Film Mechanics Module using COMSOL Multiphysics, as shown in Figure 2b. At about 68.5MHz, there is an elastic double Dirac cone at the Г point. Now, this phononic crystal is still a standard honeycomb lattice, when the center distance of the holes satisfies w=a/√3=6μm, it is a Dirac-like semimetal in which elastic waves can propagate inside. When w increases or decreases, the degeneracy of the double Dirac cone disappears, and an elastic band gap is created, as shown in Fig. 2d. This makes PnC two types of insulators due to the opposite band structures formed by increasing and decreasing w. For example, in the energy band structure shown in Fig. 2a, when w = 5.5 μm, the phononic crystal generates an elastic wave band gap of about 5 MHz near the original Dirac cone, and there are Two different types of bulk modes, named d-mode and p-mode, just like electron spins. According to the parity symmetry of their eigenstates about the x or y axis, the d modes can be divided into dxy and dx2-y2 , while the p modes can be divided into px andpy , and the lattice is called topologically trivial grid. Correspondingly, Fig. 2c is the band structure when w is equal to 6.6 μm, now PnC also has a band gap of 5 MHz at the same frequency, but the p and d modes are completely opposite, and the lattice is a topologically nontrivial lattice.
拓扑相变可用偶极矩P来表征。根据高对称点C2旋转特征值,偶极矩P可由公式(1)确定。The topological phase transition can be characterized by the dipole moment P. According to the rotational eigenvalue of the high symmetry point C2 , the dipole moment P can be determined by formula (1).
其中ηn(k)是第n个能带在k点处C2旋转的特征值(±1),高对称K点的C2旋转特征值用±1标识。正如图3a和图3b的标记,拓扑平庸晶格(w=5.5μm)三个能带对应的偶极矩都为0。相反,拓扑非平庸晶格(w=6.6μm)三个能带的偶极矩分别为1/2,0,和1/2。这些非零偶极矩保证了拓扑一维边界态的存在。即这两种绝缘体的体能带发生了反转,当拓扑平庸晶格与非平庸晶格接触时,会发生拓扑相变产生边界态。where ηn (k) is the eigenvalue (±1) of the C2 rotation of the nth energy band at thek point, and the C2 rotation eigenvalue of the highly symmetrical K point is marked with ±1. As marked in Fig. 3a and Fig. 3b, the dipole moments corresponding to the three energy bands of the topologically trivial lattice (w=5.5 μm) are all zero. In contrast, the topologically nontrivial lattice (w = 6.6 μm) has dipole moments of 1/2, 0, and 1/2 for the three energy bands, respectively. These nonzero dipole moments guarantee the existence of topological one-dimensional boundary states. That is, the bulk energy bands of the two insulators are reversed, and when the topologically trivial lattice contacts the non-trivial lattice, a topological phase transition occurs to generate boundary states.
从上述理论分析,为了验证一维边界态的存在(拓扑绝缘体的主要特征是体边界对应关系),在上述两种弹性绝缘体构造一个界面如图4a所示,虚线区域框标记出计算投影能带所用的超原胞(超级单元)结构。其能带结构如图4b所示。计算时,分别在水平和垂直方向设立傅里叶周期性边界条件和固定边界。从投影能带可以看出,在先前的体能带出现两条边界态的能带,每条带都支持界面处的弹性波单向传输。这两条带就是所谓的螺旋边界态,它们所支持的波的传播方向将与它们所具有赝自旋相结合,即量子自旋霍尔效应,这是拓扑绝缘体的边界特征。From the above theoretical analysis, in order to verify the existence of one-dimensional boundary states (the main feature of topological insulators is the body-boundary correspondence), an interface is constructed between the above two elastic insulators, as shown in Figure 4a. The dotted area box marks the calculated projected energy band The supercell (supercell) structure used. Its energy band structure is shown in Fig. 4b. During the calculation, Fourier periodic boundary conditions and fixed boundaries are established in the horizontal and vertical directions, respectively. It can be seen from the projected energy bands that two energy bands of boundary states appear in the previous bulk energy band, each band supporting the unidirectional transmission of elastic waves at the interface. These two bands are so-called helical boundary states, and the direction of wave propagation they support will be combined with the pseudospin they possess, known as the quantum spin Hall effect, which is a boundary characteristic of topological insulators.
为了证明这些边界态具有自旋动量锁定的的特点以及其优异的性能,展示几种弹性波原型器件,包括(1)弹性波导,(2)弹性分束器,(3)耦合波导环形谐振器,分别如图4c-图4e所示。图4c-图4e由TI边界制成的弹性功能器件,图4c为任意波导,图4d 为分束器,图4e为临界耦合波导,其计算频率分别为69MHz,69MHz和69.893MHz。To demonstrate the spin-momentum locking characteristics of these boundary states and their excellent performance, several elastic wave prototype devices are demonstrated, including (1) elastic waveguide, (2) elastic beam splitter, (3) coupled waveguide ring resonator , as shown in Fig. 4c–Fig. 4e, respectively. Fig. 4c-Fig. 4e are elastic functional devices made of TI boundary, Fig. 4c is an arbitrary waveguide, Fig. 4d is a beam splitter, Fig. 4e is a critically coupled waveguide, and the calculated frequencies are 69MHz, 69MHz and 69.893MHz, respectively.
在波导中,宽带弹性波可以通过任意弯角,例如图中所示的120°弯曲,而没有背散射。在分束器中,弹性波从源端口入射后,该波主要传播到输出端口1和3,但很少传播到端口2,因为端口1和3支持相同的伪旋转+1/2,而端口2沿入射方向支持相反的伪旋转-1/2。在耦合波导环形谐振器中,在谐振频率处,从波导进入环形谐振器的弹性波可以完全局限在其中,不会流出来,从而使整个系统成为出色的双端口带阻滤波器。在TI理论建立之前,这些用于弹性波的功能器件都不存在,这充分证明了TI的优势。In waveguides, broadband elastic waves can pass through any bending angle, such as the 120° bend shown in the figure, without backscattering. In the beam splitter, after an elastic wave is incident from the source port, the wave mainly propagates to
通过上述实施方式已经实现几乎不可见的带隙的边界态。然而要想形成高阶拓扑,需要形成有较大间隙的边界态。下面通过具体方案的设计,在2D系统中演示高阶拓扑态,即零维角态。具体方案是通过增大破缺对称性的程度来实现,在该弹性波结构中可以继续增大或者减小圆孔到蜂窝结构中心的距离来实现。Boundary states of almost invisible band gaps have been achieved by the above-described embodiments. However, to form higher-order topologies, boundary states with larger gaps need to be formed. Next, through the design of a specific scheme, a high-order topological state, that is, a zero-dimensional angular state, is demonstrated in a 2D system. The specific solution is to increase the degree of broken symmetry, and in this elastic wave structure, the distance from the circular hole to the center of the honeycomb structure can be continuously increased or decreased.
在之前构建边界态中压缩晶格和扩展晶格圆孔到蜂窝结构中心的距离分别选择5.5 μm和6.6μm。在这将这两个值分别缩小或增大到5μm和7.2μm。然后,计算锯齿型(zigzag-type)和变形扶手椅型(broken armchair-type)界面的投影带,分别如图5a和5b所示。计算时所使用锯齿形(zigzag-type)和变形扶手椅型(broken armchair-type)界面的超胞结构如图5c所示。在计算时使用Floquet周期性边界条件和固定边界条件。The distances from the compressive lattice and the expanded lattice circular hole to the center of the honeycomb structure in the previously constructed boundary state were chosen to be 5.5 μm and 6.6 μm, respectively. Here the two values are scaled down or up to 5 μm and 7.2 μm, respectively. Then, the projected bands of the zigzag-type and broken armchair-type interfaces are calculated, as shown in Figures 5a and 5b, respectively. The supercellular structures of the zigzag-type and broken armchair-type interfaces used in the calculations are shown in Fig. 5c. Floquet periodic boundary conditions and fixed boundary conditions are used in the calculations.
正如图5a和图5b所示,在原来的只有较小间隙的螺旋边界态中,在72MHz附近出现了一个较大带隙,该带隙是由于界面处晶格的对称性的破缺导致的。另一个明显的带隙出现在78MHz左右,介于高频边界态和体态之间。零维角态可能出现在这些带隙内。角态是否存在可以进一步计算四极矩来表征,即拓扑角电荷(topological corner charge)。由于C6v点群对称性,偶极矩满足四极矩可以用偶极矩定义为As shown in Fig. 5a and Fig. 5b, in the original helical boundary state with only a small gap, a large band gap appears around 72 MHz, which is caused by the breaking of the symmetry of the lattice at the interface. . Another apparent band gap appears around 78 MHz, between the high-frequency boundary state and the bulk state. Zero-dimensional angular states may appear within these band gaps. The existence of the angular state can be further characterized by calculating the quadrupole moment, that is, the topological corner charge. Due to the C6v point group symmetry, the dipole moment satisfies The quadrupole moment can be defined by the dipole moment as
计算得w=5μm和7.2μm的拓扑绝缘体拓扑角电荷分别为0和1/2。这些非零四极矩证明了零维角态的存在。The topological angular charges of topological insulators with w = 5 μm and 7.2 μm are calculated to be 0 and 1/2, respectively. These non-zero quadrupole moments prove the existence of zero-dimensional angular states.
下面将展示如何在提出的二维系统中实现高阶拓扑态。图6a显示了含有两种弹性绝缘体的四方声子晶体。除孔中心距离w的值外,两种绝缘体的周期和几何参数都相同,w值一个为7.2μm,另一个为5μm。根据图2d,这两个绝缘体的p/d带相反。在PnC内部有四个边界,分为两种,即两个扶手椅型边界(图中的边界II和IV)和两个变形锯齿形边界(图中的边界I和III),分别沿x和y方向。这两种类型的界面的交点的放大俯视图如图6b所示。这两种类型的边界的投影能带分别在图5a和5b展示。在原来的连续螺旋边界态中,因为晶格的对称性在这边界处破坏,在72MHz附近出现了一个带隙。值得注意的是,另一个带隙出现在较高频率边缘和体态之间的78MHz附近。0D角态可能出现在这些带隙内部,从而支持弹性波局域在两种类型的不同拓扑边界的交点处(即在图6a中两条虚线的交点处)。The following will show how to realize higher-order topological states in the proposed two-dimensional system. Figure 6a shows a tetragonal phononic crystal containing two elastic insulators. The period and geometric parameters of both insulators are the same except for the value of the hole center distance w, which is 7.2 μm in one and 5 μm in the other. According to Fig. 2d, the p/d bands of these two insulators are opposite. There are four boundaries inside the PnC, divided into two types, namely two armchair-type boundaries (boundaries II and IV in the figure) and two deformed zigzag boundaries (boundaries I and III in the figure), along x and y direction. An enlarged top view of the intersection of these two types of interfaces is shown in Fig. 6b. The projected energy bands for these two types of boundaries are shown in Figures 5a and 5b, respectively. In the original continuous helical boundary state, a band gap appears around 72 MHz because the symmetry of the lattice is broken at this boundary. Notably, another band gap appears around 78MHz between the higher frequency edge and the bulk state. 0D angular states may appear inside these band gaps, supporting elastic wave localization at the intersection of two types of different topological boundaries (ie, at the intersection of the two dashed lines in Fig. 6a).
为了验证这一点,计算了该四方PnC的所有本征态,并计算了它们的频谱图如图6c和图6d所示。通过观察这些本征态的弹性场分布,发现在该2D系统中同时存在2D体态, 1D边界态和0D角状,分别如图6e–图6g所示。对于体态和边界态,弹性波存在于两个弹性绝缘体的内部和边界,并且在频谱上是连续的。至于角态,它是独立的,出现在两种不同类型的界面的十字交叉点处,并且它的频率是分离的,在高频边界态和体态之间的带隙中,如图5a和图5b在78MHz左右的虚线所示。To verify this, all eigenstates of this tetragonal PnC were calculated and their spectrograms were calculated as shown in Fig. 6c and Fig. 6d. By observing the elastic field distribution of these eigenstates, it is found that there are 2D bulk states, 1D boundary states and 0D corner states simultaneously in this 2D system, as shown in Fig. 6e–Fig. 6g, respectively. For bulk and boundary states, elastic waves exist inside and at the boundary of two elastic insulators and are spectrally continuous. As for the angular state, it is independent, appearing at the intersection of two different types of interfaces, and its frequency is separated, in the band gap between the high-frequency boundary state and the bulk state, as shown in Fig. 5a and Fig. 5b is shown by the dashed line around 78MHz.
拓扑保护高阶拓扑最显著的特征就是对缺陷的免疫特性。为了验证该特性,在所构造的四边形声子晶体中在其波导中引入缺陷,如弯曲和晶格扭曲等,如图7a所示。然后,计算该结构声子晶体的特征频率。从其特征频率谱图7b中,可以看出即使引入缺陷,该角态仍然稳定存在,并且其所对应的频率几乎未发生改变。Topological Protection The most striking feature of higher-order topologies is their immunity to defects. To verify this property, defects, such as bending and lattice twist, etc., were introduced in the waveguide of the constructed quadrilateral phononic crystal, as shown in Fig. 7a. Then, the characteristic frequency of the phononic crystal of this structure is calculated. From its characteristic frequency spectrum Figure 7b, it can be seen that even if the defect is introduced, the angular state still exists stably, and its corresponding frequency hardly changes.
拓扑角态的零维局域性可用于实现一些高Q值器件。例如,在光学中,基于角态的高Q值腔可用于设计超低阈值激光器。在本实施例中,利用角态为弹性波实现了一个双端口滤波器,如图8a所示。实际上,该器件仅要求将声源放置在图6a所示的样本的左侧端口,将接收器放置在样本的右侧端口即可。计算出两端口传输频谱,如图8b所示,其频谱特性与计算出的本征态(图6c)高度一致。在大约69到75.5MHz的频率范围内,由于I和II界面中存在边界态,因此该两端口设备具有良好的传输性能。在大约75.5到 79MHz的频率范围内,如果系统在这些频率内既没有体态也没有边缘状态,传输将大大减少。然而,由于0D角态的存在和激发,因此在78.31MHz处出现了一个明显的传输峰值,如图8d所示。图8c显示了在该角态的透射光谱的精细计算结果,其理论Q值和Q×f 值分别高达8×106和6.26×1014Hz。尽管在仿真中没有考虑固有耗散,但在实际情况下,接近理论值的高Q值是可能的。The zero-dimensional locality of topological angular states can be used to realize some high-Q devices. For example, in optics, high-Q cavities based on angular states can be used to design ultra-low threshold lasers. In this embodiment, a two-port filter is implemented using the angular state for elastic waves, as shown in Figure 8a. In fact, the device only requires that the source be placed on the left port of the sample shown in Figure 6a, and the receiver must be placed on the right port of the sample. The two-port transmission spectrum is calculated, as shown in Figure 8b, and its spectral characteristics are highly consistent with the calculated eigenstates (Figure 6c). In the frequency range of about 69 to 75.5 MHz, the two-port device has good transmission performance due to the existence of boundary states in the I and II interfaces. In the frequency range of about 75.5 to 79 MHz, if the system has neither body nor edge states at these frequencies, transmission will be greatly reduced. However, due to the existence and excitation of the 0D angular state, a distinct transmission peak appears at 78.31 MHz, as shown in Fig. 8d. Fig. 8c shows the refined calculation results of the transmission spectrum at this angular state, whose theoretical Q and Q×f values are as high as 8 × 106 and 6.26 × 1014 Hz, respectively. Although intrinsic dissipation was not considered in the simulations, high Q values close to the theoretical value are possible in practical cases.
本实施例提出的由2D材料制成的弹性TI的最主要特点是其电可调性,尤其是对于当今无线通信中广泛使用的微声SAW和BAW器件而言,实现便捷的电可调性是它的一个重要目标。对于光声拓扑绝缘体,由于拓扑边界传输需要以浪费大量内部结构面积为代价,所以实现频率可调和内部结构可重构非常重要,这样可以大大提高所制备器件的利用率。由于2D材料通常具有机电灵敏性,因此可以通过向其引入栅极电压来轻松调节其力学性能。The most important feature of the elastic TI made of 2D materials proposed in this embodiment is its electrical tunability, especially for the micro-acoustic SAW and BAW devices widely used in today's wireless communications, to achieve convenient electrical tunability is an important goal of it. For photoacoustic topological insulators, it is very important to achieve frequency tunability and internal structure reconfiguration since topological boundary transmission needs to waste a large amount of internal structure area, which can greatly improve the utilization rate of the fabricated devices. Since 2D materials are often electromechanically sensitive, their mechanical properties can be easily tuned by introducing a gate voltage to them.
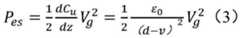
图9a显示了在的弹性TI器件上引入栅极电压的示意图。在栅极上施加电压后,将在 2D材料(即本实施例中的石墨烯)和衬底(本实施例中的高掺杂Si)之间形成电场。电场形成后,2D材料将受到静电压力,然后向衬底弯曲,导致在形变时产生额外的应变,最终改变TI器件的特性和工作频率。在数值分析中,可以通过在2D材料的悬浮区域中直接引入静电压力Pes来模拟上述过程。当将直流电压Vg施加到栅电极时,2D材料受到的Pes为Figure 9a shows a schematic diagram of introducing gate voltage on an elastic TI device. After a voltage is applied to the gate, an electric field will be formed between the 2D material (ie graphene in this example) and the substrate (highly doped Si in this example). After the electric field is formed, the 2D material is subjected to electrostatic pressure and then bends toward the substrate, causing additional strain as it deforms, ultimately changing the properties and operating frequency of the TI device. In numerical analysis, the above process can be simulated by directly introducing electrostatic pressure Pes in the suspended region of the 2D material. When a DC voltage Vg is applied to the gate electrode, the Pes experienced by the 2D material is
其中Cu,ε0,d和v分别是是2D材料和栅电极之间的单位面积电容,真空介电常数,栅极和2D材料之间距离以及悬浮的2D材料工作时的实时位移。等式(3)表明,Pes受Vg和d的影响。因此,将d设置为200nm(这是先前纳米机械谐振器的实验研究得出的典型值),并研究了Vg对器件特征频率的影响。图9b表示出了Vg与如图2b所示的弹性双狄拉克点的频率之间的关系。以图8所示的高Q滤波器为例,所有器件仅需5V栅极电压即可实现约6MHz的频率调制。图9c显示了在不同栅极电压下的透射光谱。在施加5V 栅极电压的情况下,器件的工作频率偏移可以达到7.26%。因为石墨烯可以承受超高应变,可以通过施加更高的栅极电压和更优化的设计,甚至可以实现高达400%的静电频率可调性。where Cu , ε0 , d and v are the capacitance per unit area between the 2D material and the gate electrode, the vacuum permittivity, the distance between the gate and the 2D material, and the real-time displacement of the suspended 2D material during operation, respectively. Equation (3) shows that Pes is affected by Vg and d. Therefore, d was set to 200 nm (a typical value from previous experimental studies of nanomechanical resonators), and the effect of Vg on the device characteristic frequency was investigated. Figure 9b shows the relationship betweenVg and the frequency of the elastic double Dirac point as shown in Figure 2b. Taking the high-Q filter shown in Figure 8 as an example, all devices require only 5V gate voltage to achieve about 6MHz frequency modulation. Figure 9c shows the transmission spectra at different gate voltages. In the case of applying a gate voltage of 5V, the operating frequency shift of the device can reach 7.26%. Because graphene can withstand ultra-high strains, even up to 400% electrostatic frequency tunability can be achieved by applying higher gate voltages and more optimized designs.
本实施例基于有限元分析,提出了并通过数值模拟演示基于二维材料的弹性波拓扑绝缘体,分别展示了用于弹性波导的一维边界态和局域在二维材料内的零维角态,还从中衍生出多种多样的功能元组件,例如弹性波导,分束器,高Q值谐振器,带通和带阻滤波器。值得注意的是,由于二维材料的机电灵敏性,都可以对这些组件的工作频率进行有效的电调节。例如,在基于这样弹性TI的双端口高Q的带通滤波器,仅仅施加5V的栅压就可以实现约7.26%工作频率的偏移。总之,提出的弹性材料和器件可将集成,高性能,多功能和电可调性结合在一起,这使它们未来可广泛应用于移动通信的高级模拟信号处理器和物联网的高度灵敏检测器中。Based on finite element analysis, this example proposes and demonstrates through numerical simulation an elastic wave topological insulator based on two-dimensional materials, respectively showing one-dimensional boundary states for elastic waveguides and zero-dimensional angular states localized in two-dimensional materials. , from which a variety of functional components are derived, such as elastic waveguides, beam splitters, high-Q resonators, bandpass and bandstop filters. Notably, due to the electromechanical sensitivity of 2D materials, efficient electrical tuning of the operating frequencies of these components is possible. For example, in a two-port high-Q bandpass filter based on such elastic TI, only applying a gate voltage of 5V can achieve a shift of about 7.26% of the operating frequency. In conclusion, the proposed elastic materials and devices can combine integration, high performance, multifunctionality, and electrical tunability, which makes them widely applicable in the future for advanced analog signal processors for mobile communications and highly sensitive detectors for the Internet of Things. middle.
需要说明的是,尽管本实施例使用的材料是在SiO2/Si衬底上的石墨烯,但无论是二维材料还是衬底材料的选择都非常广泛。从器件尺寸和工作频率的角度来看,基于当今成熟的微纳加工技术和2D材料生长和转移技术,可以制造具有数百微米到数十纳米范围(相应的工作频率范围从几兆赫兹到几十G赫兹)的此类器件。从可调性的角度来看,除了本实施例演示的电调节之外,外部光,磁,热,气体等都可能调节此类器件。这些优点极大地增加了声学拓扑材料和器件应用在实践中的可能性。沿着这一研究路径,关键是使用压电2D材料实现弹性波的电传导,使这种类型的设备可以与当今的微声电子设备(例如,基于叉指换能器的SAW和BAW设备)完全兼容。It should be noted that although the material used in this embodiment is graphene on a SiO2/Si substrate, the choices of both two-dimensional materials and substrate materials are very wide. From the perspective of device size and operating frequency, based on today's mature micro-nano processing technology and 2D material growth and transfer technology, it is possible to fabricate with a range of hundreds of micrometers to tens of nanometers (corresponding operating frequencies ranging from several megahertz to several megahertz). 10 GHz) of such devices. From the tunability perspective, it is possible to tune such devices by external light, magnetism, heat, gas, etc., in addition to the electrical tuning demonstrated in this example. These advantages greatly increase the possibilities of practical application of acoustic topological materials and devices. Along this research path, the key is to use piezoelectric 2D materials to achieve electrical conduction of elastic waves, making this type of device compatible with today's micro-acoustic electronics (eg, interdigital transducer-based SAW and BAW devices) Fully compatible.
上面描述的内容可以单独地或者以各种方式组合起来实施,而这些变型方式都在本发明的保护范围之内。The above-described contents can be implemented individually or in various combinations, and these modifications are all within the protection scope of the present invention.
最后应说明的是:以上实施例仅用以说明本发明的技术方案,而非对其限制。尽管参照前述实施例对本发明进行了详细的说明,本领域的普通技术人员应当理解:其依然可以对前述各实施例所记载的技术方案进行修改,或者对其中部分技术特征进行等同替换;而这些修改或者替换,并不使相应技术方案的本质脱离本发明各实施例技术方案的精神和范围。Finally, it should be noted that the above embodiments are only used to illustrate the technical solutions of the present invention, but not to limit them. Although the present invention has been described in detail with reference to the foregoing embodiments, those of ordinary skill in the art should understand that: it is still possible to modify the technical solutions described in the foregoing embodiments, or perform equivalent replacements to some of the technical features; and these Modifications or substitutions do not make the essence of the corresponding technical solutions deviate from the spirit and scope of the technical solutions of the embodiments of the present invention.
| Application Number | Priority Date | Filing Date | Title |
|---|---|---|---|
| CN202110580747.9ACN114710132B (en) | 2021-05-26 | 2021-05-26 | Elastic wave topological insulator with electrically adjustable frequency and functional assembly |
| Application Number | Priority Date | Filing Date | Title |
|---|---|---|---|
| CN202110580747.9ACN114710132B (en) | 2021-05-26 | 2021-05-26 | Elastic wave topological insulator with electrically adjustable frequency and functional assembly |
| Publication Number | Publication Date |
|---|---|
| CN114710132Atrue CN114710132A (en) | 2022-07-05 |
| CN114710132B CN114710132B (en) | 2023-08-25 |
| Application Number | Title | Priority Date | Filing Date |
|---|---|---|---|
| CN202110580747.9AActiveCN114710132B (en) | 2021-05-26 | 2021-05-26 | Elastic wave topological insulator with electrically adjustable frequency and functional assembly |
| Country | Link |
|---|---|
| CN (1) | CN114710132B (en) |
| Publication number | Priority date | Publication date | Assignee | Title |
|---|---|---|---|---|
| CN116013964A (en)* | 2023-01-29 | 2023-04-25 | 中国人民解放军军事科学院系统工程研究院 | Implementation method of tunable two-dimensional material superlattice device |
| CN116206589A (en)* | 2023-04-28 | 2023-06-02 | 南京南大电子智慧型服务机器人研究院有限公司 | Topological sonic wave guide with adjustable working frequency range |
| CN119668315A (en)* | 2024-12-05 | 2025-03-21 | 西北工业大学 | Topological state frequency adjustment method, device and equipment, and computer-readable storage medium |
| Publication number | Priority date | Publication date | Assignee | Title |
|---|---|---|---|---|
| US7733198B1 (en)* | 2007-05-15 | 2010-06-08 | Sandia Corporation | Microfabricated bulk wave acoustic bandgap device |
| US8600200B1 (en)* | 2010-04-01 | 2013-12-03 | Sandia Corporation | Nano-optomechanical transducer |
| TW201431781A (en)* | 2013-02-01 | 2014-08-16 | Univ Nat Formosa | Three Dimension Graphene-like crystal element |
| CN106526716A (en)* | 2016-11-22 | 2017-03-22 | 武汉华星光电技术有限公司 | Manufacturing method of micro-nano structure antireflective film and display device |
| US20170209900A1 (en)* | 2016-01-27 | 2017-07-27 | Flodesign Sonics, Inc. | Ultrasonic induced artificial black holes in phononic crystals |
| CN107170868A (en)* | 2017-02-23 | 2017-09-15 | 海迪科(南通)光电科技有限公司 | A kind of regular hexagon patterned substrate |
| WO2018024713A1 (en)* | 2016-08-01 | 2018-02-08 | Albert Schliesser | Mechanical resonator device |
| CN110161621A (en)* | 2019-04-30 | 2019-08-23 | 江苏大学 | A kind of photonic crystal slow optical wave guide based on honeycomb structure |
| Publication number | Priority date | Publication date | Assignee | Title |
|---|---|---|---|---|
| US7733198B1 (en)* | 2007-05-15 | 2010-06-08 | Sandia Corporation | Microfabricated bulk wave acoustic bandgap device |
| US8600200B1 (en)* | 2010-04-01 | 2013-12-03 | Sandia Corporation | Nano-optomechanical transducer |
| TW201431781A (en)* | 2013-02-01 | 2014-08-16 | Univ Nat Formosa | Three Dimension Graphene-like crystal element |
| US20170209900A1 (en)* | 2016-01-27 | 2017-07-27 | Flodesign Sonics, Inc. | Ultrasonic induced artificial black holes in phononic crystals |
| WO2018024713A1 (en)* | 2016-08-01 | 2018-02-08 | Albert Schliesser | Mechanical resonator device |
| US20210381877A1 (en)* | 2016-08-01 | 2021-12-09 | Albert Schliesser | Mechanical resonator device |
| CN106526716A (en)* | 2016-11-22 | 2017-03-22 | 武汉华星光电技术有限公司 | Manufacturing method of micro-nano structure antireflective film and display device |
| CN107170868A (en)* | 2017-02-23 | 2017-09-15 | 海迪科(南通)光电科技有限公司 | A kind of regular hexagon patterned substrate |
| WO2018153388A1 (en)* | 2017-02-23 | 2018-08-30 | 海迪科(南通)光电科技有限公司 | Hexagonally patterned substrate |
| CN110161621A (en)* | 2019-04-30 | 2019-08-23 | 江苏大学 | A kind of photonic crystal slow optical wave guide based on honeycomb structure |
| Publication number | Priority date | Publication date | Assignee | Title |
|---|---|---|---|---|
| CN116013964A (en)* | 2023-01-29 | 2023-04-25 | 中国人民解放军军事科学院系统工程研究院 | Implementation method of tunable two-dimensional material superlattice device |
| CN116013964B (en)* | 2023-01-29 | 2023-06-27 | 中国人民解放军军事科学院系统工程研究院 | Implementation method of tunable two-dimensional material superlattice device |
| CN116206589A (en)* | 2023-04-28 | 2023-06-02 | 南京南大电子智慧型服务机器人研究院有限公司 | Topological sonic wave guide with adjustable working frequency range |
| CN119668315A (en)* | 2024-12-05 | 2025-03-21 | 西北工业大学 | Topological state frequency adjustment method, device and equipment, and computer-readable storage medium |
| CN119668315B (en)* | 2024-12-05 | 2025-10-03 | 西北工业大学 | Topology state frequency adjusting method, device and equipment and computer readable storage medium |
| Publication number | Publication date |
|---|---|
| CN114710132B (en) | 2023-08-25 |
| Publication | Publication Date | Title |
|---|---|---|
| CN114710132B (en) | Elastic wave topological insulator with electrically adjustable frequency and functional assembly | |
| Olsson et al. | Microfabricated phononic crystal devices and applications | |
| US9172351B2 (en) | Piezoelectric resonator having electrode fingers with electrode patches | |
| TWI424687B (en) | Resonator and periodic structure | |
| US8344588B2 (en) | Multidomain acoustic wave devices | |
| Zhang et al. | Electrically tunable elastic topological insulators using atomically thin two-dimensional materials pinned on patterned substrates | |
| CN113676152B (en) | Elastic wave resonator and preparation method thereof | |
| CN117277988B (en) | Transverse coupling acoustic filter | |
| Mohammadi et al. | Simultaneous high-Q confinement and selective direct piezoelectric excitation of flexural and extensional lateral vibrations in a silicon phononic crystal slab resonator | |
| CN113676149A (en) | Acoustic wave device and preparation method thereof | |
| Wang et al. | Perspectives on phononic waveguides for on-chip classical and quantum transduction | |
| Wang et al. | Micromechanical resonators based on silicon two-dimensional phononic crystals of square lattice | |
| US20120223616A1 (en) | Surface Acoustic Wave Resonator | |
| Kochhar et al. | Integration of bottom electrode in Y-cut lithium niobate thin films for high electromechanical coupling and high capacitance per unit area MEMS resonators | |
| Joshi et al. | Design and modelling of thin film bulk acoustic resonator (FBAR) for RF application | |
| Branch et al. | Investigation of a solid-state tuning behavior in lithium niobate | |
| Mohammadi et al. | Support loss suppression in micromechanical resonators by the use of phononic band gap structures | |
| JP6121303B2 (en) | Mechanical ring resonator | |
| US11405014B1 (en) | Solid-state tuning behavior in acoustic resonators | |
| Kaya et al. | Piezoelectric Microacoustic Metamaterial Filters | |
| JP5433697B2 (en) | Interface acoustic wave device | |
| Cha et al. | Nonlinear nano-electromechanical lattices for high-frequency, tunable stress propagation | |
| Fang et al. | Solidly Mounted Longitudinally Excited A1 Mode Resonator Based on Linbo 3/Metal/SIO 2/SIC | |
| Kuo et al. | Ultra high frequency phononic crystal in silicon carbide | |
| Mohammadi et al. | Support loss-free micro/nano-mechanical resonators using phononic crystal slab waveguides |
| Date | Code | Title | Description |
|---|---|---|---|
| PB01 | Publication | ||
| PB01 | Publication | ||
| SE01 | Entry into force of request for substantive examination | ||
| SE01 | Entry into force of request for substantive examination | ||
| GR01 | Patent grant | ||
| GR01 | Patent grant |