




技术领域technical field
本发明涉及图像处理技术领域,尤其涉及一种织物纤维的检测方法、电子设备及计算机可读存储介质。The present invention relates to the technical field of image processing, and in particular, to a method for detecting fabric fibers, an electronic device and a computer-readable storage medium.
背景技术Background technique
织物纤维的鉴别是纺织品检验的重要环节,目前,纤维鉴别的方式有很多,如燃烧试验法、溶解性试验法、化学分析法、着色识别法、显微镜观察法、色谱分析法、热分析法等。然而,这些检测方法都有其局限性,如棉与麻具有相同的化学性质,化学分析法并不适用于区分这两者;燃烧试验法可以鉴别织物中含有的纤维的种类,但是无法定量分析织物的各种纤维的含量;溶解性试验法操作繁琐,且使用的多种试剂有易燃性、腐蚀性,对操作人员的操作技术及安全意识提出了很高的要求;显微镜观察法,需要专业的技术人员通过显微镜观察纤维的纵向、横向切片,根据经验分析纤维在显微尺度下的形态特征来判断纤维的种类及含量,不仅对技术人员有一定的技术要求,而且长时间进行如此繁琐的工作十分消耗人的精力,容易出现辨识错误、统计错误等情况。The identification of fabric fibers is an important part of textile inspection. At present, there are many ways to identify fibers, such as combustion test method, solubility test method, chemical analysis method, coloring identification method, microscope observation method, chromatographic analysis method, thermal analysis method, etc. . However, these detection methods have their limitations. For example, cotton and hemp have the same chemical properties, and chemical analysis methods are not suitable for distinguishing between the two; combustion test methods can identify the types of fibers contained in fabrics, but cannot quantitatively analyze them. The content of various fibers in the fabric; the solubility test method is cumbersome to operate, and the various reagents used are flammable and corrosive, which puts forward high requirements for the operator's operating technology and safety awareness; the microscope observation method requires Professional technicians observe the longitudinal and transverse slices of fibers through a microscope, and analyze the morphological characteristics of fibers at the microscopic scale to judge the type and content of fibers based on experience. The work is very labor-intensive, and it is prone to identification errors and statistical errors.
因此,如何提高织物纤维检测的效率以及准确率成为亟待解决的问题。Therefore, how to improve the efficiency and accuracy of fabric fiber detection has become an urgent problem to be solved.
发明内容SUMMARY OF THE INVENTION
本发明的主要目的在于解决织物纤维检测的效率不高、以及准确率也不高的技术问题。The main purpose of the present invention is to solve the technical problems of low efficiency and low accuracy of fabric fiber detection.
本发明第一方面提供了一种织物纤维的检测方法,所述织物纤维的检测方法包括:A first aspect of the present invention provides a method for detecting fabric fibers, and the method for detecting fabric fibers includes:
采集待检测织物的多张显微图像,并对多张所述显微图像进行图像拼接,获得全局图像;Collecting multiple microscopic images of the fabric to be detected, and performing image stitching on the multiple microscopic images to obtain a global image;
对所述全局图像进行图像预处理,并对处理后的图像进行织物纤维骨架提取,获得对应的骨架图像;Image preprocessing is performed on the global image, and fabric fiber skeleton extraction is performed on the processed image to obtain a corresponding skeleton image;
对所述骨架图像中的交叠纤维进行纤维拆分,获得拆分后的每个单条纤维对应的单条纤维图像;splitting the overlapping fibers in the skeleton image to obtain a single fiber image corresponding to each single fiber after splitting;
对每张所述单条纤维图像进行特征提取,获得对应的所述单条纤维的至少一种纹理特征参数,并根据至少一种所述纹理特征参数,确定所述单条纤维的纤维类型;Perform feature extraction on each of the single fiber images to obtain at least one texture feature parameter of the corresponding single fiber, and determine the fiber type of the single fiber according to at least one of the texture feature parameters;
统计每一种纤维类型对应的纤维数量,并根据各种纤维类型对应的所述纤维数量,确定所述织物的各种纤维类型占比。The number of fibers corresponding to each fiber type is counted, and the proportion of various fiber types of the fabric is determined according to the number of fibers corresponding to each fiber type.
可选的,在本发明第一方面的第一种实现方式中,所述对每张所述单条纤维图像进行特征提取,获得对应的所述单条纤维的至少一种纹理特征参数包括:Optionally, in a first implementation manner of the first aspect of the present invention, performing feature extraction on each of the single fiber images to obtain at least one texture feature parameter of the corresponding single fiber includes:
对每张所述单条纤维图像进行灰度变换,获得对应的灰度图像;Perform grayscale transformation on each of the single fiber images to obtain a corresponding grayscale image;
对所述灰度图像进行灰度拉伸、二值化处理,获得对应的二值图像;Perform grayscale stretching and binarization processing on the grayscale image to obtain a corresponding binary image;
对所述二值图像进行小波变换处理,获得对应的多张小波子带图像,并根据每张所述小波子带图像生成灰度共生矩阵;Perform wavelet transform processing on the binary image to obtain a plurality of corresponding wavelet subband images, and generate a grayscale co-occurrence matrix according to each of the wavelet subband images;
根据所述灰度共生矩阵中的元素,确定所述纹理特征参数。The texture feature parameter is determined according to the elements in the gray level co-occurrence matrix.
可选的,在本发明第一方面的第二种实现方式中,所述根据至少一种所述纹理特征参数,确定所述单条纤维的纤维类型包括:Optionally, in a second implementation manner of the first aspect of the present invention, the determining of the fiber type of the single fiber according to at least one of the texture feature parameters includes:
若所述纹理特征参数包括多种,则从多种所述纹理特征参数中选取一种或一种以上的所述纹理特征参数,确定为目标纹理特征参数,所述目标纹理特征参数具有比其他未选取的纹理特征参数更好区分纤维类型的能力;If the texture feature parameters include multiple types, one or more of the texture feature parameters are selected from the multiple texture feature parameters, and determined as the target texture feature parameter, and the target texture feature parameter has more The ability of unselected texture feature parameters to better distinguish fiber types;
根据所述目标纹理特征参数,确定所述单条纤维的纤维类型。According to the target texture feature parameter, the fiber type of the single fiber is determined.
可选的,在本发明第一方面的第三种实现方式中,所述根据至少一种所述纹理特征参数,确定所述单条纤维的纤维类型包括:Optionally, in a third implementation manner of the first aspect of the present invention, the determining of the fiber type of the single fiber according to at least one of the texture feature parameters includes:
将至少一种所述纹理特征参数代入预设的纤维分类映射函数,获得至少一种所述纹理特征参数对应的分类函数值;Substitute at least one of the texture feature parameters into a preset fiber classification mapping function to obtain a classification function value corresponding to at least one of the texture feature parameters;
将所述分类函数值与预设的纤维类型对应的函数阈值进行比对,确定所述单条纤维的纤维类型。The classification function value is compared with a function threshold corresponding to a preset fiber type to determine the fiber type of the single fiber.
可选的,在本发明第一方面的第四种实现方式中,所述纤维类型包括棉、麻,所述将所述分类函数值与预设的纤维类型对应的函数阈值进行比对,确定所述单条纤维的纤维类型包括:Optionally, in a fourth implementation manner of the first aspect of the present invention, the fiber types include cotton and hemp, and the classification function value is compared with a preset function threshold corresponding to the fiber type to determine The fiber types of the single fiber include:
若所述分类函数值小于所述函数阈值,则确定所述单条纤维的纤维类型为棉;If the classification function value is less than the function threshold, determining that the fiber type of the single fiber is cotton;
若所述分类函数值大于或等于所述函数阈值,则确定所述单条纤维的纤维类型为麻。If the classification function value is greater than or equal to the function threshold, it is determined that the fiber type of the single fiber is hemp.
可选的,在本发明第一方面的第五种实现方式中,所述将至少一种所述纹理特征参数代入预设的纤维分类映射函数,获得至少一种所述纹理特征参数对应的分类函数值包括:Optionally, in a fifth implementation manner of the first aspect of the present invention, at least one of the texture feature parameters is substituted into a preset fiber classification mapping function to obtain the classification corresponding to at least one of the texture feature parameters. Function values include:
从预设的多种纤维分类映射函数中,确定目标纤维分类映射函数,其中,不同织物对应不同的纤维分类映射函数;From the preset multiple fiber classification mapping functions, determine the target fiber classification mapping function, wherein different fabrics correspond to different fiber classification mapping functions;
将至少一种所述纹理特征参数代入所述目标纤维分类映射函数,获得至少一种所述纹理特征参数对应的所述分类函数值。Substitute at least one of the texture feature parameters into the target fiber classification mapping function to obtain the classification function value corresponding to at least one of the texture feature parameters.
可选的,在本发明第一方面的第六种实现方式中,所述纤维类型包括棉、麻,所述根据各种纤维类型对应的所述纤维数量,确定所述织物的各种纤维类型占比包括:Optionally, in a sixth implementation manner of the first aspect of the present invention, the fiber types include cotton and hemp, and various fiber types of the fabric are determined according to the number of fibers corresponding to various fiber types. The proportions include:
将棉对应的第一纤维数量、麻对应的第二纤维数量,棉对应的密度、麻对应的密度,棉对应的平均宽度、麻对应的平均宽度、以及预设的棉的修正系数、麻的修正系数,代入预设的棉/麻混纺占比计算公式,计算获得所述织物的棉/麻混纺占比。The number of first fibers corresponding to cotton, the number of second fibers corresponding to hemp, the density corresponding to cotton, the density corresponding to hemp, the average width corresponding to cotton, the average width corresponding to hemp, and the preset correction coefficient of cotton and hemp. The correction coefficient is substituted into the preset calculation formula of the cotton/hemp blended ratio, and the cotton/hemp blended ratio of the fabric is obtained by calculation.
可选的,在本发明第一方面的第七种实现方式中,对所述骨架图像中的交叠纤维进行纤维拆分包括:Optionally, in a seventh implementation manner of the first aspect of the present invention, performing fiber splitting on the overlapping fibers in the skeleton image includes:
以预设步长沿所述交叠纤维对应的骨架的每一个端点向所述骨架的交叉点方向,计算所述骨架的曲率;Calculate the curvature of the skeleton along each end point of the skeleton corresponding to the overlapping fibers in the direction of the intersection of the skeleton with a preset step size;
基于所述骨架的曲率,对所述交叠纤维进行纤维拆分。The overlapping fibers are fiber split based on the curvature of the backbone.
本发明第二方面提供了一种电子设备,所述电子设备包括:存储器和至少一个处理器,所述存储器中存储有指令;A second aspect of the present invention provides an electronic device, the electronic device includes: a memory and at least one processor, wherein instructions are stored in the memory;
所述至少一个处理器调用所述存储器中的所述指令,以使得所述电子设备执行如上述任一项所述的织物纤维的检测方法。The at least one processor invokes the instructions in the memory, so that the electronic device executes the method for detecting fabric fibers according to any one of the above.
本发明的第三方面提供了一种计算机可读存储介质,所述计算机可读存储介质上存储有计算机程序,所述计算机程序被处理器执行时实现如上述任一项所述的织物纤维的检测方法。A third aspect of the present invention provides a computer-readable storage medium, where a computer program is stored on the computer-readable storage medium, and when the computer program is executed by a processor, realizes the fabric fiber according to any one of the above. Detection method.
本发明提供的技术方案中,在进行织物纤维检测时,通过采集待检测织物的多张显微图像,并对多张显微图像进行图像拼接,获得全局图像,对全局图像进行图像预处理,并对处理后的图像进行织物纤维骨架提取,获得对应的骨架图像,然后对骨架图像中的交叠纤维进行纤维拆分,获得拆分后的每个单条纤维对应的单条纤维图像,对每张单条纤维图像进行特征提取,获得对应的单条纤维的至少一种纹理特征参数,并根据至少一种纹理特征参数,确定单条纤维的纤维类型,统计每一种纤维类型对应的纤维数量,并根据各种纤维类型对应的纤维数量,确定织物的各种纤维类型占比,不需要依赖人工操作,不仅提高了织物纤维检测的效率,还提高了织物纤维检测的准确率。In the technical solution provided by the present invention, when fabric fiber detection is performed, a global image is obtained by collecting multiple microscopic images of the fabric to be detected, image stitching is performed on the multiple microscopic images, image preprocessing is performed on the global image, and the processed The image of the fabric fiber skeleton is extracted to obtain the corresponding skeleton image, and then the overlapping fibers in the skeleton image are divided into fibers to obtain a single fiber image corresponding to each single fiber after the split. Feature extraction, obtain at least one texture feature parameter of the corresponding single fiber, and determine the fiber type of a single fiber according to the at least one texture feature parameter, count the number of fibers corresponding to each fiber type, and correspond to each fiber type. There is no need to rely on manual operation to determine the proportion of various fiber types in the fabric, which not only improves the efficiency of fabric fiber detection, but also improves the accuracy of fabric fiber detection.
附图说明Description of drawings
图1为本发明实施例中织物纤维的检测方法的一个实施例示意图;1 is a schematic diagram of an embodiment of a method for detecting fabric fibers in an embodiment of the present invention;
图2为本发明实施例中一种交叉纤维对应的骨架图像示意图;2 is a schematic diagram of a skeleton image corresponding to a cross fiber in an embodiment of the present invention;
图3为本发明实施例中一种棉麻对应的同质性的概率密度函数曲线示意图;3 is a schematic diagram of a probability density function curve of the homogeneity corresponding to a kind of cotton and linen in the embodiment of the present invention;
图4为本发明实施例中一种棉麻对应的能量的概率密度函数曲线示意图;4 is a schematic diagram of a probability density function curve of energy corresponding to a kind of cotton and linen in the embodiment of the present invention;
图5为本发明实施例中电子设备的一个实施例示意图。FIG. 5 is a schematic diagram of an embodiment of an electronic device in an embodiment of the present invention.
具体实施方式Detailed ways
本发明实施例提供了一种织物纤维的检测方法、电子设备及计算机可读存储介质,本发明实施例在进行织物纤维检测时,通过采集待检测织物的多张显微图像,并对多张显微图像进行图像拼接,获得全局图像,对全局图像进行图像预处理,并对处理后的图像进行织物纤维骨架提取,获得对应的骨架图像,然后对骨架图像中的交叠纤维进行纤维拆分,获得拆分后的每个单条纤维对应的单条纤维图像,对每张单条纤维图像进行特征提取,获得对应的单条纤维的至少一种纹理特征参数,并根据至少一种纹理特征参数,确定单条纤维的纤维类型,统计每一种纤维类型对应的纤维数量,并根据各种纤维类型对应的纤维数量,确定织物的各种纤维类型占比,不需要依赖人工操作,不仅提高了织物纤维检测的效率,还提高了织物纤维检测的准确率。Embodiments of the present invention provide a fabric fiber detection method, an electronic device, and a computer-readable storage medium. When fabric fibers are detected in the embodiments of the present invention, a plurality of microscopic images of the fabric to be detected are collected, and a plurality of microscopic images are analyzed. Image stitching, obtain a global image, perform image preprocessing on the global image, extract the fabric fiber skeleton from the processed image, obtain the corresponding skeleton image, and then split the overlapping fibers in the skeleton image to obtain the split After the single fiber image corresponding to each single fiber, feature extraction is performed on each single fiber image to obtain at least one texture feature parameter of the corresponding single fiber, and the fiber type of the single fiber is determined according to the at least one texture feature parameter. , count the number of fibers corresponding to each fiber type, and determine the proportion of various fiber types in the fabric according to the number of fibers corresponding to each fiber type, without relying on manual operations, which not only improves the efficiency of fabric fiber detection, but also improves The accuracy of fabric fiber detection is improved.
本发明的说明书和权利要求书及上述附图中的术语“第一”、“第二”、“第三”、“第四”等(如果存在)是用于区别类似的对象,而不必用于描述特定的顺序或先后次序。应该理解这样使用的数据在适当情况下可以互换,以便这里描述的实施例能够以除了在这里图示或描述的内容以外的顺序实施。此外,术语“包括”或“具有”及其任何变形,意图在于覆盖不排他的包含,例如,包含了一系列步骤或单元的过程、方法、系统、产品或设备不必限于清楚地列出的那些步骤或单元,而是可包括没有清楚地列出的或对于这些过程、方法、产品或设备固有的其它步骤或单元。The terms "first", "second", "third", "fourth", etc. (if present) in the description and claims of the present invention and the above-mentioned drawings are used to distinguish similar objects and are not necessarily used to describe a specific order or sequence. It is to be understood that data so used may be interchanged under appropriate circumstances so that the embodiments described herein can be practiced in sequences other than those illustrated or described herein. Furthermore, the terms "comprising" or "having" and any variations thereof are intended to cover non-exclusive inclusion, for example, a process, method, system, product or device comprising a series of steps or units is not necessarily limited to those expressly listed steps or units, but may include other steps or units not expressly listed or inherent to these processes, methods, products or devices.
为便于理解,下面对本发明实施例的具体流程进行描述,本发明实施例提供的技术方案,各步骤的执行主体可以是电子设备。在一种可能的实现方式中,该电子设备可以是图像处理器。需要说明的是,在其他可能的实现方式中,该电子设备也可以是图像处理器以外的其他类型终端设备,本申请中不作具体限制。For ease of understanding, the specific flow of the embodiments of the present invention is described below. In the technical solutions provided by the embodiments of the present invention, the execution subject of each step may be an electronic device. In one possible implementation, the electronic device may be an image processor. It should be noted that, in other possible implementation manners, the electronic device may also be other types of terminal devices other than image processors, which are not specifically limited in this application.
请参阅图1,本发明实施例中织物纤维的检测方法的一个实施例包括:Referring to FIG. 1, an embodiment of the detection method for fabric fibers in the embodiment of the present invention includes:
101、采集待检测织物的多张显微图像,并对多张所述显微图像进行图像拼接,获得全局图像;101. Collect multiple microscopic images of the fabric to be detected, and perform image stitching on the multiple microscopic images to obtain a global image;
其中,待检测织物可以为棉麻混纺织物,也可以是其他混纺织物。示例性的,使用哈氏切片器,对织物进行切割,获得其破碎的纤维碎屑织物样本,并将该样本置于载玻片上,滴上石蜡油,使用如玻璃棒等硬物将石蜡油涂抹均匀,最后盖上盖玻片。将此样本放于光学显微镜下,通过显微镜相机进行成像。Wherein, the fabric to be detected can be a cotton and linen blended fabric, or other blended fabrics. Exemplarily, using a Hastelloy slicer, the fabric is cut to obtain a fabric sample of its broken fiber scraps, and the sample is placed on a glass slide, dripped with paraffin oil, and the paraffin oil is cut with a hard object such as a glass rod. Spread evenly and cover with a coverslip. This sample is placed under a light microscope and imaged by a microscope camera.
由于高倍放大,显微镜只能对实际尺寸约1mm×1mm的区域进行成像,要对整个载玻片上的织物纤维进行检测,需要对载玻片上的区域进行扫描,获得不同区域的显微图像,将多张显微图像进行图像拼接,得到一个全局图像。Due to the high magnification, the microscope can only image an area with an actual size of about 1mm × 1mm. To detect the fabric fibers on the entire glass slide, it is necessary to scan the area on the glass slide to obtain microscopic images of different areas. Image stitching is performed on multiple microscopic images to obtain a global image.
示例性的,图像拼接操作包括但不限于采用特征提取算法对显微图像进行特征提取、图像变形、图像融合等图像处理。其中,特征提取算法包括但不限于SIFT(ScaleInvariant Feature Transform)特征点检测算法、FAST(Features from AcceleratedSegment Test)角点检测算法等。图像变形是对每个显微图像关于全局图像进行偏移与映射。图像融合是将多个显微图像的重叠区域融合,包括但不限于羽化处理。Exemplarily, the image stitching operation includes, but is not limited to, using a feature extraction algorithm to perform image processing such as feature extraction, image deformation, and image fusion on the microscopic image. The feature extraction algorithms include but are not limited to SIFT (Scale Invariant Feature Transform) feature point detection algorithms, FAST (Features from Accelerated Segment Test) corner detection algorithms, and the like. Image warping is to offset and map each microscopic image with respect to the global image. Image fusion is the fusion of overlapping regions of multiple microscopic images, including but not limited to feathering.
102、对所述全局图像进行图像预处理,并对处理后的图像进行织物纤维骨架提取,获得对应的骨架图像;102. Perform image preprocessing on the global image, and perform fabric fiber skeleton extraction on the processed image to obtain a corresponding skeleton image;
其中,图像预处理包括但不限于灰度变换、图像增强、图像滤波、形态学处理、颗粒分析等多种图像处理方式中的至少一种。The image preprocessing includes, but is not limited to, at least one of multiple image processing methods such as grayscale transformation, image enhancement, image filtering, morphological processing, and particle analysis.
为了准确检测织物纤维,对经过图像预处理后的图像进行织物纤维骨架提取,获得对应的骨架图像。骨架图像通过骨架以简略的形式描述单条形态的纤维、交叉重叠形态的纤维。例如,如图2所示,图2为一种交叉纤维对应的骨架图像。In order to accurately detect fabric fibers, the fabric fiber skeleton is extracted from the image preprocessed to obtain the corresponding skeleton image. The skeleton image describes the single-shaped fibers and the overlapping-shaped fibers in an abbreviated form through the skeleton. For example, as shown in Fig. 2, Fig. 2 is a skeleton image corresponding to a cross fiber.
103、对所述骨架图像中的交叠纤维进行纤维拆分,获得拆分后的每个单条纤维对应的单条纤维图像;103. Perform fiber splitting on the overlapping fibers in the skeleton image to obtain a single fiber image corresponding to each split single fiber;
如果骨架图像中的纤维没有交叉重叠,则不需要进行纤维拆分。而对于骨架图像中的交叠纤维,利用交叠纤维对应的骨架,拆分交叠纤维,例如,如图2所示的交叉纤维,将其拆分为上下走向的纤维1,左右走向的纤维2。拆分后的每个单条纤维对应一张单条纤维图像。Fiber splitting is not required if the fibers in the skeleton image do not overlap. For the overlapping fibers in the skeleton image, use the skeleton corresponding to the overlapping fibers to split the overlapping fibers. For example, as shown in Figure 2, the intersecting fibers are split into up and down
可选的,在一实施例中,上述步骤103具体包括:Optionally, in an embodiment, the foregoing
以预设步长沿所述交叠纤维对应的骨架的每一个端点向所述骨架的交叉点方向,计算所述骨架的曲率;Calculate the curvature of the skeleton along each end point of the skeleton corresponding to the overlapping fibers in the direction of the intersection of the skeleton with a preset step size;
基于所述骨架的曲率,对所述交叠纤维进行纤维拆分。The overlapping fibers are fiber split based on the curvature of the backbone.
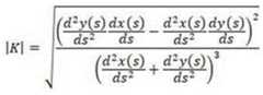
例如,预设步长s,该预设步长s的具体值可根据实际情况进行灵活设置,在此做不具体限制。以预设步长s沿交叠纤维对应的骨架的每一个端点向骨架的交叉点方向,按照下列公式计算骨架的曲率|K|:For example, the preset step size s, the specific value of the preset step size s can be flexibly set according to the actual situation, which is not specifically limited here. With a preset step size s, along each end point of the skeleton corresponding to the overlapping fibers toward the intersection of the skeleton, the curvature |K| of the skeleton is calculated according to the following formula:
示例性的,预先设置曲率对应的第一阈值T1和第二阈值T2,其中,第一阈值T1和第二阈值T2的具体值可根据实际情况进行灵活设置,在此做不具体限制。若骨架上某点对应的曲率|K|大于第一阈值T1,则确定该点为纤维的交叉点,纤维在此交叉点打断。若骨架上某点对应的曲率|K|小于第二阈值T2,则确定纤维走向一致,该点衔接的纤维段被视为同一条纤维。依此完成纤维拆分,获得拆分后的每个单条纤维。Exemplarily, the first threshold T1 and the second threshold T2 corresponding to the curvature are preset, wherein the specific values of the first threshold T1 and the second threshold T2 can be flexibly set according to the actual situation, which are not specifically limited here. If the curvature |K| corresponding to a certain point on the skeleton is greater than the first threshold T1, it is determined that the point is the intersection of the fibers, and the fibers are broken at this intersection. If the curvature |K| corresponding to a certain point on the skeleton is smaller than the second threshold T2, it is determined that the fibers are in the same direction, and the fiber segments connected by this point are regarded as the same fiber. The fiber splitting is completed accordingly, and each single fiber after splitting is obtained.
104、对每张所述单条纤维图像进行特征提取,获得对应的所述单条纤维的至少一种纹理特征参数,并根据至少一种所述纹理特征参数,确定所述单条纤维的纤维类型;104. Perform feature extraction on each of the single fiber images to obtain at least one texture feature parameter of the corresponding single fiber, and determine the fiber type of the single fiber according to the at least one texture feature parameter;
与目前利用纤维几何形状作为辨识纤维类型的方式不同,本实施例中利用纤维内部纹理分布情况来判断纤维类型。Different from the current way of using the fiber geometry as a way of identifying the fiber type, in this embodiment, the fiber type is judged by using the distribution of the internal texture of the fiber.
可选的,在一实施例中,上述步骤104具体包括:Optionally, in an embodiment, the foregoing
对每张所述单条纤维图像进行灰度变换,获得对应的灰度图像;Perform grayscale transformation on each of the single fiber images to obtain a corresponding grayscale image;
对所述灰度图像进行灰度拉伸、二值化处理,获得对应的二值图像;Perform grayscale stretching and binarization processing on the grayscale image to obtain a corresponding binary image;
对所述二值图像进行小波变换处理,获得对应的多张小波子带图像,并根据每张所述小波子带图像生成灰度共生矩阵;Perform wavelet transform processing on the binary image to obtain a plurality of corresponding wavelet subband images, and generate a grayscale co-occurrence matrix according to each of the wavelet subband images;
根据所述灰度共生矩阵中的元素,确定所述纹理特征参数。The texture feature parameter is determined according to the elements in the gray level co-occurrence matrix.
对于每张单条纤维图像,首先对该单条纤维图像进行灰度变换,得到灰度图像。然后,示例性的,对灰度图像在0-255灰度空间作灰度拉伸,并对灰度拉伸后的图像进行二值化处理,获得对应的二值图像,此操作的目的是为了减少图像的无序的纹理、噪声等干扰信息量,从而能够直观地显示显著纹理的分布均匀性。For each single fiber image, first perform grayscale transformation on the single fiber image to obtain a grayscale image. Then, exemplarily, the grayscale image is stretched in the grayscale space of 0-255, and the grayscale stretched image is binarized to obtain a corresponding binary image. The purpose of this operation is to In order to reduce the amount of disturbing information such as disordered texture and noise of the image, the distribution uniformity of significant texture can be visually displayed.
接着对二值图像进行小波变换处理,获得多张小波子带图像。例如,对二值图像进行一级小波变换,得到LL、LH、HL、HH四张小波子带图像。又如,对二值图像进行二级小波变换,得到LLL、LLH、LHL、LHH四张小波子带图像。Then, the binary image is processed by wavelet transform, and a plurality of wavelet subband images are obtained. For example, the first-level wavelet transform is performed on the binary image, and four wavelet subband images of LL, LH, HL, and HH are obtained. For another example, two-level wavelet transform is performed on a binary image to obtain four wavelet subband images of LLL, LLH, LHL, and LHH.
然后,对每一张小波子带图像生成灰度共生矩阵,灰度共生矩阵统计了原图像中存在的纹理特征,基于灰度共生矩阵可以提取出纤维的多种纹理特征参数。其中,纤维的纹理特征参数包括但不限于能量、对比度、熵、同质性、差异性、相关性等。Then, a grayscale co-occurrence matrix is generated for each wavelet subband image. The gray-scale co-occurrence matrix counts the texture features existing in the original image. Based on the gray-level co-occurrence matrix, various texture feature parameters of fibers can be extracted. Wherein, the texture characteristic parameters of the fibers include but are not limited to energy, contrast, entropy, homogeneity, difference, correlation, and the like.
示例性的,根据灰度共生矩阵中的元素p(i,j),按照下列公式确定能量:Exemplarily, according to the element p(i, j) in the gray level co-occurrence matrix, the energy is determined according to the following formula:
其中,i,j分别表示灰度共生矩阵中的行号与列号。能量反映了图像灰度分布均匀程度和纹理粗细度,不同的纤维类型,对应的纹理粗细度不同。Among them, i, j represent the row number and column number in the gray level co-occurrence matrix, respectively. The energy reflects the uniformity of the grayscale distribution of the image and the thickness of the texture. Different fiber types have different texture thicknesses.
又如,按照下列公式确定熵:For another example, entropy is determined according to the following formula:
之后,根据获得的至少一种纹理特征参数,确定单条纤维的纤维类型。其中,纤维类型包括棉、麻等。Then, according to the obtained at least one texture characteristic parameter, the fiber type of the single fiber is determined. Among them, the fiber types include cotton, hemp, and the like.
可选的,在一实施例中,上述步骤104具体包括:Optionally, in an embodiment, the foregoing
若所述纹理特征参数包括多种,则从多种所述纹理特征参数中选取一种或一种以上的所述纹理特征参数,确定为目标纹理特征参数,所述目标纹理特征参数具有比其他未选取的纹理特征参数更好区分纤维类型的能力;If the texture feature parameters include multiple types, one or more of the texture feature parameters are selected from the multiple texture feature parameters, and determined as the target texture feature parameter, and the target texture feature parameter has more The ability of unselected texture feature parameters to better distinguish fiber types;
根据所述目标纹理特征参数,确定所述单条纤维的纤维类型。According to the target texture feature parameter, the fiber type of the single fiber is determined.
对于多种纹理特征参数,其中某些纹理特征参数能较好地区分不同的纤维类型,而有些纹理特征参数则不能明显区分不同的纤维类型。因此,可选的,从多种纹理特征参数中选取一种或一种以上的能明显区分不同的纤维类型的纹理特征参数,作为目标纹理特征参数,舍弃区分度不高的纹理特征参数。只根据选取的目标纹理特征参数,确定单条纤维的纤维类型。For a variety of texture feature parameters, some of the texture feature parameters can better distinguish different fiber types, while some texture feature parameters cannot clearly distinguish different fiber types. Therefore, optionally, one or more texture feature parameters that can clearly distinguish different fiber types from a variety of texture feature parameters are selected as target texture feature parameters, and texture feature parameters that are not highly distinguishable are discarded. The fiber type of a single fiber is determined only according to the selected target texture feature parameters.
例如,利用不同纤维类型对应的能量的特征值,可以获得对应的正态分布的概率密度函数曲线图,比如,如图3所示,在图3中,曲线1为棉对应的同质性的概率密度函数曲线,曲线2为麻对应的同质性的概率密度函数曲线,其中,曲线的横坐标为特征值,纵坐标为概率密度。曲线1和曲线2的区分度高,因此,将同质性确定为目标纹理特征参数,基于同质性确定单条纤维的纤维类型是棉或麻。For example, by using the eigenvalues of the energy corresponding to different fiber types, the corresponding probability density function curves of the normal distribution can be obtained. For example, as shown in Figure 3, in Figure 3,
又如,利用不同纤维类型对应的熵的特征值,可以获得对应的正态分布的概率密度函数曲线图,比如,如图4所示,在图4中,曲线3为棉对应的能量的概率密度函数曲线,曲线4为麻对应的能量的概率密度函数曲线,其中,曲线的横坐标为特征值、纵坐标为概率密度。曲线3和曲线4的区分度不高,因此,舍弃能量,不利用能量这个纹理特征参数去确定单条纤维的纤维类型是棉或麻。For another example, by using the eigenvalues of the entropy corresponding to different fiber types, the corresponding probability density function curve of the normal distribution can be obtained. For example, as shown in Figure 4, in Figure 4, the curve 3 is the probability of the energy corresponding to cotton Density function curve,
可选的,在一实施例中,上述步骤104具体包括:Optionally, in an embodiment, the foregoing
将至少一种所述纹理特征参数代入预设的纤维分类映射函数,获得至少一种所述纹理特征参数对应的分类函数值;Substitute at least one of the texture feature parameters into a preset fiber classification mapping function to obtain a classification function value corresponding to at least one of the texture feature parameters;
将所述分类函数值与预设的纤维类型对应的函数阈值进行比对,确定所述单条纤维的纤维类型。The classification function value is compared with a function threshold corresponding to a preset fiber type to determine the fiber type of the single fiber.
示例性的,预先设置纤维分类映射函数:Exemplarily, preset the fiber classification mapping function:
y=f(x1,x2,…,xn)y=f(x1 , x2 , ..., xn )
其中,x1,x2,…,xn是各种纹理特征参数,将各纹理特征参数代入上述公式中,计算得到对应的分类函数值y。Among them, x1 , x2 , ..., xn are various texture feature parameters, and each texture feature parameter is substituted into the above formula to calculate the corresponding classification function value y.
示例性的,预先设置纤维类型对应的函数阈值T,函数阈值T的具体值可根据实际情况进行灵活设置,在此做不具体限制。Exemplarily, the function threshold T corresponding to the fiber type is preset, and the specific value of the function threshold T can be flexibly set according to the actual situation, which is not specifically limited here.
计算得到对应的分类函数值y之后,将分类函数值y与函数阈值T进行比对,根据比对结果确定单条纤维的纤维类型。After the corresponding classification function value y is calculated, the classification function value y is compared with the function threshold T, and the fiber type of a single fiber is determined according to the comparison result.
示例性的,以棉麻混纺织物纤维为例,若分类函数值y小于函数阈值T,则确定单条纤维的纤维类型为棉;反之,若分类函数值y大于或等于函数阈值T,则确定单条纤维的纤维类型为麻。Exemplarily, taking cotton and linen blended fabric fibers as an example, if the classification function value y is less than the function threshold value T, the fiber type of the single fiber is determined to be cotton; on the contrary, if the classification function value y is greater than or equal to the function threshold value T, then determine the single fiber type. The fiber type of the fiber is hemp.
可选的,在一实施例中,上述步骤104具体包括:Optionally, in an embodiment, the foregoing
从预设的多种纤维分类映射函数中,确定目标纤维分类映射函数,其中,不同织物对应不同的纤维分类映射函数;From the preset multiple fiber classification mapping functions, determine the target fiber classification mapping function, wherein different fabrics correspond to different fiber classification mapping functions;
将至少一种所述纹理特征参数代入所述目标纤维分类映射函数,获得至少一种所述纹理特征参数对应的所述分类函数值。Substitute at least one of the texture feature parameters into the target fiber classification mapping function to obtain the classification function value corresponding to at least one of the texture feature parameters.
示例性的,预先设置多种纤维分类映射函数,例如: f1(x1,x2,…,xn)、f2(x1,x2,…,xn)等,根据待检测的织物,从多种纤维分类映射函数中,确定该织物对应的纤维分类映射函数,作为目标纤维分类映射函数,例如,将其中的f1(x1,x2,…,xn)作为目标纤维分类映射函数,之后,将至少一种纹理特征参数代入目标纤维分类映射函数f1(x1,x2,…,xn),获得对应的分类函数值。Exemplarily, a variety of fiber classification mapping functions are preset, such as: f1 (x1 , x2 ,..., xn ), f2 (x1 , x2 ,..., xn ), etc., according to the Fabric, from various fiber classification mapping functions, determine the corresponding fiber classification mapping function of the fabric as the target fiber classification mapping function, for example, take f1 (x1 , x2 ,..., xn ) as the target fiber classification mapping function, and then substitute at least one texture feature parameter into the target fiber classification mapping function f1 (x1 , x2 , . . . , xn ) to obtain a corresponding classification function value.
再按照上述介绍的方式,根据获得的分类函数值,确定单条纤维的纤维类型。Then, according to the method described above, according to the obtained classification function value, the fiber type of the single fiber is determined.
上述实施例中,不需要使用机器学习、深度学习等复杂的方法构建分类器,只需要构建简单的纤维分类映射函数,通过比较纤维分类映射函数的输出值与纤维类型对应的函数阈值即可实现纤维分类,确定单条纤维的纤维类型。In the above embodiment, it is not necessary to use complex methods such as machine learning and deep learning to construct a classifier, but only a simple fiber classification mapping function needs to be constructed, which can be achieved by comparing the output value of the fiber classification mapping function with the function threshold corresponding to the fiber type. Fiber classification, which determines the fiber type of a single fiber.
105、统计每一种纤维类型对应的纤维数量,并根据各种纤维类型对应的所述纤维数量,确定所述织物的各种纤维类型占比。105. Count the number of fibers corresponding to each fiber type, and determine the proportion of various fiber types of the fabric according to the number of fibers corresponding to each fiber type.
通过上述步骤确定了每个单条纤维的纤维类型之后,统计每一种纤维类型对应的纤维数量并记录下来。例如,以棉麻混纺织物纤维为例,统计棉对应的纤维数量、麻对应的纤维数量。之后,基于各种纤维类型对应的纤维数量,确定织物的各种纤维类型占比。例如,基于棉对应的纤维数量、麻对应的纤维数量,确定织物中棉的占比、麻的占比。After the fiber type of each single fiber is determined through the above steps, the number of fibers corresponding to each fiber type is counted and recorded. For example, taking cotton and linen blended fabric fibers as an example, count the number of fibers corresponding to cotton and the number of fibers corresponding to hemp. After that, based on the number of fibers corresponding to each fiber type, the proportion of each fiber type of the fabric is determined. For example, based on the number of fibers corresponding to cotton and the number of fibers corresponding to hemp, the proportion of cotton and the proportion of hemp in the fabric are determined.
可选的,在一实施例中,上述步骤105具体包括:Optionally, in an embodiment, the foregoing
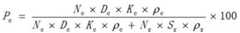
将棉对应的第一纤维数量、麻对应的第二纤维数量,棉对应的密度、麻对应的密度,棉对应的平均宽度、麻对应的平均宽度、以及预设的棉的修正系数、麻的修正系数,代入预设的棉/麻混纺占比计算公式,计算获得所述织物的棉/麻混纺占比。The number of first fibers corresponding to cotton, the number of second fibers corresponding to hemp, the density corresponding to cotton, the density corresponding to hemp, the average width corresponding to cotton, the average width corresponding to hemp, and the preset correction coefficient of cotton and hemp. The correction coefficient is substituted into the preset calculation formula for the proportion of cotton/hemp blended to obtain the cotton/hemp blended proportion of the fabric.
示例性的,预先设置棉/麻混纺占比计算公式如下:Exemplarily, the preset calculation formula for the proportion of cotton/hemp blend is as follows:
,, , ,
其中,Pc为棉的占比(重量百分比),Pr为麻的占比(重量百分比),Nc为棉的第一纤维数量,Nr为麻的第二纤维数量,Kc为棉的修正系数,Kr为麻的修正系数,Wc是棉的平均宽度,Wr是麻的平均宽度,ρc为棉的密度,ρr为麻的密度,Dc、Sr为中间变量。Among them, Pc is the proportion of cotton (weight percentage), Pr is the proportion of hemp (weight percentage), Nc is the first fiber number of cotton, Nr is the second fiber number of hemp, Kc is cotton Kr is the correction coefficient of hemp, Wc is the average width of cotton, Wr is the average width of hemp, ρc is the density of cotton, ρr is the density of hemp, Dc and Sr are intermediate variables .
上述实施例中,在进行织物纤维检测时,通过采集待检测织物的多张显微图像,并对多张显微图像进行图像拼接,获得全局图像,对全局图像进行图像预处理,并对处理后的图像进行织物纤维骨架提取,获得对应的骨架图像,然后对骨架图像中的交叠纤维进行纤维拆分,获得拆分后的每个单条纤维对应的单条纤维图像,对每张单条纤维图像进行特征提取,获得对应的单条纤维的至少一种纹理特征参数,并根据至少一种纹理特征参数,确定单条纤维的纤维类型,统计每一种纤维类型对应的纤维数量,并根据各种纤维类型对应的纤维数量,确定织物的各种纤维类型占比,不需要依赖人工操作,不仅提高了织物纤维检测的效率,还提高了织物纤维检测的准确率。In the above-mentioned embodiment, when fabric fiber detection is performed, a global image is obtained by collecting multiple microscopic images of the fabric to be detected, image stitching is performed on the multiple microscopic images, image preprocessing is performed on the global image, and the processed image is processed. Fabric fiber skeleton extraction to obtain the corresponding skeleton image, and then split the overlapping fibers in the skeleton image to obtain a single fiber image corresponding to each single fiber after the split, and perform feature extraction on each single fiber image, Obtain at least one texture feature parameter of the corresponding single fiber, and determine the fiber type of the single fiber according to the at least one texture feature parameter, count the number of fibers corresponding to each fiber type, and according to the fiber number corresponding to each fiber type , to determine the proportion of various fiber types of the fabric without relying on manual operation, which not only improves the efficiency of fabric fiber detection, but also improves the accuracy of fabric fiber detection.
请参阅图5,图5是本发明实施例提供的一种电子设备的结构示意图,该电子设备500可因配置或性能不同而产生比较大的差异,可以包括一个或一个以上处理器(centralprocessing units,CPU)510(例如,一个或一个以上处理器)和存储器520,一个或一个以上存储应用程序533或数据532的存储介质530(例如一个或一个以上海量存储设备)。其中,存储器520和存储介质530可以是短暂存储或持久存储。存储在存储介质530的程序可以包括一个或一个以上模块(图示没标出),每个模块可以包括对电子设备500中的一系列指令操作。更进一步地,处理器510可以设置为与存储介质530通信,在电子设备500上执行存储介质530中的一系列指令操作。Please refer to FIG. 5. FIG. 5 is a schematic structural diagram of an electronic device according to an embodiment of the present invention. The
电子设备500还可以包括一个或一个以上电源540,一个或一个以上有线或无线网络接口550,一个或一个以上输入输出接口560,和/或,一个或一个以上操作系统531,例如Android、Windows Serve,Mac OS X,Unix,Linux,FreeBSD等等。本领域技术人员可以理解,图5示出的电子设备结构并不构成对电子设备的限定,可以包括比图示更多或更少的部件,或者组合某些部件,或者不同的部件布置。The
存储器520中存储有计算机可读指令,计算机可读指令被处理器510执行时,使得电子设备500执行上述各实施例中的所述织物纤维的检测方法的步骤。Computer-readable instructions are stored in the
本发明还提供一种计算机可读存储介质,该计算机可读存储介质可以为非易失性计算机可读存储介质,该计算机可读存储介质也可以为易失性计算机可读存储介质,所述计算机可读存储介质中存储有计算机程序,当所述计算机程序被处理器执行时,实现上述各实施例中的所述织物纤维的检测方法的步骤。The present invention also provides a computer-readable storage medium. The computer-readable storage medium may be a non-volatile computer-readable storage medium. The computer-readable storage medium may also be a volatile computer-readable storage medium. A computer program is stored in the computer-readable storage medium, and when the computer program is executed by the processor, the steps of the fabric fiber detection method in the above embodiments are implemented.
本发明的技术方案本质上或者说对现有技术做出贡献的部分或者该技术方案的全部或部分可以以软件产品的形式体现出来,该计算机软件产品存储在一个存储介质中,包括若干指令用以使得一台计算机设备(可以是个人计算机,服务器,或者网络设备等)执行本发明各个实施例所述方法的全部或部分步骤。而前述的存储介质包括:U盘、移动硬盘、只读存储器(read-only memory, ROM)、随机存取存储器(random access memory,RAM)、磁碟或者光盘等各种可以存储程序代码的介质。The technical solution of the present invention is essentially or the part that contributes to the prior art, or all or part of the technical solution can be embodied in the form of a software product, and the computer software product is stored in a storage medium, including a number of instructions to use So that a computer device (which may be a personal computer, a server, or a network device, etc.) executes all or part of the steps of the methods described in the various embodiments of the present invention. The aforementioned storage medium includes: a U disk, a removable hard disk, a read-only memory (ROM), a random access memory (RAM), a magnetic disk or an optical disk and other media that can store program codes. .
以上所述,以上实施例仅用以说明本发明的技术方案,而非对其限制;尽管参照前述实施例对本发明进行了详细的说明,本领域的普通技术人员应当理解:其依然可以对前述各实施例所记载的技术方案进行修改,或者对其中部分技术特征进行等同替换;而这些修改或者替换,并不使相应技术方案的本质脱离本发明各实施例技术方案的精神和范围。As mentioned above, the above embodiments are only used to illustrate the technical solutions of the present invention, but not to limit them; although the present invention has been described in detail with reference to the foregoing embodiments, those of ordinary skill in the art should understand: The technical solutions described in the embodiments are modified, or some technical features thereof are equivalently replaced; and these modifications or replacements do not make the essence of the corresponding technical solutions depart from the spirit and scope of the technical solutions of the embodiments of the present invention.
| Application Number | Priority Date | Filing Date | Title |
|---|---|---|---|
| CN202210607802.3ACN114693680A (en) | 2022-05-31 | 2022-05-31 | Method for detecting textile fibers, electronic device and computer-readable storage medium |
| Application Number | Priority Date | Filing Date | Title |
|---|---|---|---|
| CN202210607802.3ACN114693680A (en) | 2022-05-31 | 2022-05-31 | Method for detecting textile fibers, electronic device and computer-readable storage medium |
| Publication Number | Publication Date |
|---|---|
| CN114693680Atrue CN114693680A (en) | 2022-07-01 |
| Application Number | Title | Priority Date | Filing Date |
|---|---|---|---|
| CN202210607802.3APendingCN114693680A (en) | 2022-05-31 | 2022-05-31 | Method for detecting textile fibers, electronic device and computer-readable storage medium |
| Country | Link |
|---|---|
| CN (1) | CN114693680A (en) |
| Publication number | Priority date | Publication date | Assignee | Title |
|---|---|---|---|---|
| US20090042475A1 (en)* | 2007-08-02 | 2009-02-12 | North Carolina State University | Mixed fibers and nonwoven fabrics made from the same |
| CN101739570A (en)* | 2009-12-28 | 2010-06-16 | 中国农业大学 | Cotton foreign fiber online classifying method and system |
| CN102096827A (en)* | 2011-01-18 | 2011-06-15 | 东华大学 | Profiled fiber automatic recognition method based on scale invariability and support vector machine classification |
| US20130301913A1 (en)* | 2012-05-08 | 2013-11-14 | Steven J. Simske | Selecting metrics for substrate classification |
| CN105760877A (en)* | 2016-02-19 | 2016-07-13 | 天纺标检测科技有限公司 | Wool and cashmere identification algorithm based on gray level co-occurrence matrix model |
| EP3203218A1 (en)* | 2014-09-29 | 2017-08-09 | IHI Corporation | Image analysis device, image analysis method, and program |
| US20180105965A1 (en)* | 2016-10-19 | 2018-04-19 | North Carolina State University | Nonwoven fabrics and methods of making and using same |
| CN109540898A (en)* | 2019-01-15 | 2019-03-29 | 天津工业大学 | A kind of testing system for content of profiled fibre and method |
| CN111665243A (en)* | 2019-03-05 | 2020-09-15 | 温力力 | Textile fiber identification and component detection system |
| CN111665244A (en)* | 2019-03-05 | 2020-09-15 | 温力力 | Method based on textile fiber identification and component detection system |
| US20200299880A1 (en)* | 2019-03-18 | 2020-09-24 | The Procter & Gamble Company | Shaped Nonwovens that Exhibit High Visual Resolution |
| CN111721765A (en)* | 2019-03-22 | 2020-09-29 | 温力力 | Textile fiber identification and component detection system and use method thereof |
| CN111899233A (en)* | 2020-07-20 | 2020-11-06 | 中纺标(深圳)检测有限公司 | Blended fiber morphological characteristic identification model, training method and identification method thereof |
| US20220044389A1 (en)* | 2018-10-30 | 2022-02-10 | University Of North Texas | Reconfigurable fabric inspection system |
| Publication number | Priority date | Publication date | Assignee | Title |
|---|---|---|---|---|
| US20090042475A1 (en)* | 2007-08-02 | 2009-02-12 | North Carolina State University | Mixed fibers and nonwoven fabrics made from the same |
| CN101739570A (en)* | 2009-12-28 | 2010-06-16 | 中国农业大学 | Cotton foreign fiber online classifying method and system |
| CN102096827A (en)* | 2011-01-18 | 2011-06-15 | 东华大学 | Profiled fiber automatic recognition method based on scale invariability and support vector machine classification |
| US20130301913A1 (en)* | 2012-05-08 | 2013-11-14 | Steven J. Simske | Selecting metrics for substrate classification |
| EP3203218A1 (en)* | 2014-09-29 | 2017-08-09 | IHI Corporation | Image analysis device, image analysis method, and program |
| CN105760877A (en)* | 2016-02-19 | 2016-07-13 | 天纺标检测科技有限公司 | Wool and cashmere identification algorithm based on gray level co-occurrence matrix model |
| US20180105965A1 (en)* | 2016-10-19 | 2018-04-19 | North Carolina State University | Nonwoven fabrics and methods of making and using same |
| US20220044389A1 (en)* | 2018-10-30 | 2022-02-10 | University Of North Texas | Reconfigurable fabric inspection system |
| CN109540898A (en)* | 2019-01-15 | 2019-03-29 | 天津工业大学 | A kind of testing system for content of profiled fibre and method |
| CN111665243A (en)* | 2019-03-05 | 2020-09-15 | 温力力 | Textile fiber identification and component detection system |
| CN111665244A (en)* | 2019-03-05 | 2020-09-15 | 温力力 | Method based on textile fiber identification and component detection system |
| US20200299880A1 (en)* | 2019-03-18 | 2020-09-24 | The Procter & Gamble Company | Shaped Nonwovens that Exhibit High Visual Resolution |
| CN111721765A (en)* | 2019-03-22 | 2020-09-29 | 温力力 | Textile fiber identification and component detection system and use method thereof |
| CN111899233A (en)* | 2020-07-20 | 2020-11-06 | 中纺标(深圳)检测有限公司 | Blended fiber morphological characteristic identification model, training method and identification method thereof |
| Publication | Publication Date | Title |
|---|---|---|
| TWI585397B (en) | Optimization of unknown defect rejection for automatic defect classification | |
| US10964013B2 (en) | System, method for training and applying defect classifiers in wafers having deeply stacked layers | |
| US9607233B2 (en) | Classifier readiness and maintenance in automatic defect classification | |
| KR102137184B1 (en) | Integration of automatic and manual defect classification | |
| US9293298B2 (en) | Defect discovery and inspection sensitivity optimization using automated classification of corresponding electron beam images | |
| CN107209111B (en) | Quality Control for Automated Whole Slide Analysis | |
| CN110472082B (en) | Data processing method, data processing device, storage medium and electronic equipment | |
| CN104487843A (en) | Image processing device, program, image processing method, computer-readable medium, and image processing system | |
| CN109145955B (en) | Method and system for wood identification | |
| CN114092935A (en) | Textile fiber identification method based on convolutional neural network | |
| CN118115496B (en) | Wafer defect detection method and device | |
| WO2018207261A1 (en) | Image analysis device | |
| Deng et al. | An algorithm for cross-fiber separation in yarn hairiness image processing | |
| Li et al. | A two-scale attention model for intelligent evaluation of yarn surface qualities with computer vision | |
| CN114693680A (en) | Method for detecting textile fibers, electronic device and computer-readable storage medium | |
| CN119250600A (en) | A monitoring system and method for carbon fiber production line | |
| Tan et al. | Simple landscapes analysis for relevant regions detection in breast carcinoma histopathological images | |
| CN113380318A (en) | Artificial intelligence assisted flow cytometry 40CD immunophenotyping detection method and system | |
| WO2019008753A1 (en) | Image analysis device | |
| US10482314B2 (en) | Automatic calculation for ploidy classification | |
| CN117147570A (en) | Manufacturing control method, device, equipment and storage medium based on machine vision | |
| WO2020069738A1 (en) | Automatic calculation for ploidy classification | |
| Dubey et al. | Deep learning-powered visual inspection for metal surfaces–Impact of annotations on algorithms based on defect characteristics | |
| CN117934461B (en) | Method, system and equipment for analyzing polishing surface roughness of side polishing optical fiber | |
| Logeswaran et al. | Empowering Leather Quality Assurance: Leveraging Convolutional Neural Networks for Precise Defect Detection and Classification |
| Date | Code | Title | Description |
|---|---|---|---|
| PB01 | Publication | ||
| PB01 | Publication | ||
| SE01 | Entry into force of request for substantive examination | ||
| SE01 | Entry into force of request for substantive examination | ||
| RJ01 | Rejection of invention patent application after publication | Application publication date:20220701 | |
| RJ01 | Rejection of invention patent application after publication |