Movatterモバイル変換


[0]ホーム

URL:


CN114684109A - Electric automobile yaw stability control method and device - Google Patents

Electric automobile yaw stability control method and device
Download PDF

Info

Publication number
CN114684109A
CN114684109ACN202210116321.2ACN202210116321ACN114684109ACN 114684109 ACN114684109 ACN 114684109ACN 202210116321 ACN202210116321 ACN 202210116321ACN 114684109 ACN114684109 ACN 114684109A
Authority
CN
China
Prior art keywords
yaw
vehicle
angle
ideal
wheel
Prior art date
Legal status (The legal status is an assumption and is not a legal conclusion. Google has not performed a legal analysis and makes no representation as to the accuracy of the status listed.)
Withdrawn
Application number
CN202210116321.2A
Other languages
Chinese (zh)
Inventor
薛雪
梁海强
张蓝文
Current Assignee (The listed assignees may be inaccurate. Google has not performed a legal analysis and makes no representation or warranty as to the accuracy of the list.)
Beijing Electric Vehicle Co Ltd
Original Assignee
Beijing Electric Vehicle Co Ltd
Priority date (The priority date is an assumption and is not a legal conclusion. Google has not performed a legal analysis and makes no representation as to the accuracy of the date listed.)
Filing date
Publication date
Application filed by Beijing Electric Vehicle Co LtdfiledCriticalBeijing Electric Vehicle Co Ltd
Priority to CN202210116321.2ApriorityCriticalpatent/CN114684109A/en
Publication of CN114684109ApublicationCriticalpatent/CN114684109A/en
Withdrawnlegal-statusCriticalCurrent

Links

Images

Classifications

Landscapes

Abstract

The invention provides a yaw stability control method and device for an electric automobile, wherein the method comprises the following steps: establishing a vehicle dynamic model; inputting a steering wheel corner and a pedal signal into a vehicle dynamic model to obtain a first output result of the vehicle dynamic model, wherein the first output result comprises a longitudinal vehicle speed and a front wheel corner, and an ideal yaw rate is obtained by utilizing the longitudinal vehicle speed and the front wheel corner for calculation; obtaining a mass center side slip angle and an actual yaw velocity, inputting errors of the actual yaw velocity and the ideal yaw velocity into a sliding mode controller as control variables and the mass center side slip angle, and obtaining an additional yaw moment to be applied; and (4) equally distributing the additional yaw moment to each wheel of the automobile to obtain the additional driving moment of each wheel and control the yaw stability of the automobile.

Description

Electric automobile yaw stability control method and device
Technical Field
The invention relates to the technical field of vehicle control, in particular to a method and a device for controlling yaw stability of an electric vehicle.
Background
The steering stability during the driving operation of the automobile refers to the performance of the vehicle capable of traveling according to the operation intention of the driver without being disturbed by external factors. The electric automobile has the advantages of energy conservation and no tail gas pollution, and the automobile driving system of the electric automobile has faster response than a fuel automobile, so that the electric automobile has higher requirement on the operation stability.
At present, the control of the steering stability is mainly performed by a vehicle yaw stability control algorithm that takes the yaw rate and the centroid slip angle as evaluation indexes. In the prior art, most control algorithms in the vehicle yaw stability control algorithm have low robustness, need a large amount of engineering experience support and are difficult to implement, so that the technical problem of poor stability of the vehicle yaw control exists.
Disclosure of Invention
The application provides a yaw stability control method and device for an electric vehicle, which are used for solving the technical problem that in the prior art, the control algorithm in a yaw stability control algorithm of the vehicle is low in robustness, and therefore the yaw control stability of the vehicle is poor.
In view of the above problems, the present application provides a yaw stability control method and apparatus for an electric vehicle.
In a first aspect of the present application, there is provided an electric vehicle yaw stability control method, the method comprising: establishing a vehicle dynamic model; inputting a steering wheel angle and a pedal signal into the vehicle dynamic model to obtain a first output result of the vehicle dynamic model, wherein the first output result comprises a longitudinal vehicle speed and a front wheel steering angle, and an ideal yaw rate is calculated by utilizing the longitudinal vehicle speed and the front wheel steering angle; obtaining a mass center side slip angle and an actual yaw velocity, inputting an error between the actual yaw velocity and an ideal yaw velocity into a sliding mode controller by taking the error as a control variable and the mass center side slip angle, and obtaining an additional yaw moment to be applied; and equally distributing the additional yaw moment to each wheel of the automobile to obtain an additional driving moment of each wheel, and controlling the yaw stability of the automobile.
In a second aspect of the present application, there is provided an electric vehicle yaw stability control apparatus, the apparatus comprising: a first building unit for building a vehicle dynamics model; the first processing unit is used for inputting a steering wheel angle and a pedal signal into the vehicle dynamic model, obtaining a first output result of the vehicle dynamic model, wherein the first output result comprises a longitudinal vehicle speed and a front wheel steering angle, and an ideal yaw rate is obtained by calculation through the longitudinal vehicle speed and the front wheel steering angle; the second processing unit is used for obtaining a mass center side slip angle and an actual yaw velocity, and inputting an error between the actual yaw velocity and an ideal yaw velocity into the sliding mode controller as a control variable and the mass center side slip angle to obtain an additional yaw moment to be applied; and the first execution unit is used for equally distributing the additional yaw moment to each wheel of the automobile, obtaining the additional driving moment of each wheel and controlling the yaw stability of the automobile.
In a third aspect of the present application, there is provided an electric vehicle yaw stability control apparatus, comprising: a processor coupled to a memory for storing a program that, when executed by the processor, causes an apparatus to perform the steps of the method according to the first aspect.
In a fourth aspect of the present application, a computer-readable storage medium is provided, on which a computer program is stored, which computer program, when being executed by a processor, carries out the steps of the method according to the first aspect.
One or more technical solutions provided in the present application have at least the following technical effects or advantages:
according to the technical scheme, an entire vehicle dynamic model of the electric vehicle is constructed, in the driving process, output results including a longitudinal vehicle speed and a front wheel corner are obtained according to steering wheel corner and pedal signal information input to the vehicle dynamic model by a driver, then an ideal yaw rate is obtained through calculation, a centroid side drift angle and an actual yaw rate of the vehicle are obtained, further errors of the actual yaw rate and the ideal yaw rate are obtained and are used as control variables, the control variables are input into a sliding mode controller based on a sliding mode control algorithm, an additional yaw moment to be applied is obtained, the additional yaw moment is distributed to each wheel, and vehicle yaw stability is controlled. According to the method, the vehicle dynamic model is constructed according to vehicle parameters, the robustness is better, a large amount of engineering experience is not needed, the sliding mode control algorithm with better adaptability is adopted, the ideal yaw velocity is calculated according to the longitudinal vehicle speed and the front wheel rotation angle, the additional yaw moment is finally calculated, the yaw stability of the vehicle can be effectively controlled, the control stability of the vehicle is further improved, the yaw control stability of the vehicle is improved, and the technical effect of improving the driving experience stability of the vehicle is achieved.
The foregoing description is only an overview of the technical solutions of the present application, and the present application can be implemented according to the content of the description in order to make the technical means of the present application more clearly understood, and the following detailed description of the present application is given in order to make the above and other objects, features, and advantages of the present application more clearly understandable.
Drawings
FIG. 1 is a schematic flow chart illustrating a yaw stability control method for an electric vehicle according to the present disclosure;
FIG. 2 is a schematic diagram of a sliding mode control algorithm in the yaw stability control method of the electric vehicle provided by the present application;
FIG. 3 is a schematic diagram of a two-degree-of-freedom vehicle model coordinate system and parameters in the yaw stability control method of an electric vehicle according to the present disclosure;
FIG. 4 is a logic diagram of a yaw stability control method for an electric vehicle according to the present disclosure;
fig. 5 is a diagram illustrating a change of a centroid yaw angle under the condition of whether yaw stability control exists in the double-shift-line working condition verification in the yaw stability control method of the electric vehicle provided by the present application;
fig. 6 is a diagram illustrating a change of a centroid yaw angle under the condition of whether yaw stability control exists in the double-shift-line working condition verification in the yaw stability control method of the electric vehicle provided by the present application;
fig. 7 is a schematic structural diagram of an electric vehicle yaw stability control device provided by the application.
Detailed Description
The application provides a method and a device for controlling yaw stability of an electric automobile, and aims to solve the technical problems that in the prior art, the efficiency and the accuracy are low in the optical fiber vibration alarm of an oil-gas pipeline.
Summary of the application
The steering stability during the driving operation of the automobile refers to the performance of the vehicle capable of traveling according to the operation intention of the driver without being disturbed by external factors. The evaluation of the vehicle steering stability relates to physical parameters, the evaluation of the steering stability at present mainly comprises a subjective evaluation method and an objective evaluation method, the subjective evaluation method is mainly evaluated through the driving feeling of a driver, and the subjective evaluation method cannot form a data system and cannot help engineers to develop a control system in the early stage. The objective evaluation method mainly selects parameters capable of representing the vehicle stability performance as a control object, wherein the vehicle yaw velocity is an important parameter for evaluating the vehicle stability, and the size of the vehicle mass center slip angle represents the vehicle track holding capacity. Therefore, the yaw velocity and the centroid slip angle are selected as evaluation indexes at present to design a yaw stability control algorithm of the vehicle.
Currently, for example, vehicle yaw stability control algorithms include various algorithms such as PID control, fuzzy control, and the like. However, the PID control is poor in robustness and sensitive to external disturbance, and a large amount of engineering experience is needed for determining the fuzzy control logic and the membership function. Therefore, most control algorithms in the vehicle yaw stability control algorithm in the prior art are low in robustness, need a large amount of engineering experience support, and are difficult to implement, so that the technical problem of poor vehicle yaw control stability exists.
In view of the above technical problems, the technical solution provided by the present application has the following general idea:
according to the technical scheme, an entire vehicle dynamic model of the electric vehicle is constructed, in the driving process, output results including a longitudinal vehicle speed and a front wheel corner are obtained according to steering wheel corners and pedal signal information input to the vehicle dynamic model by a driver, then an ideal yaw rate is obtained through calculation, a mass center side offset angle and an actual yaw rate of the vehicle are obtained, further errors of the actual yaw rate and the ideal yaw rate are obtained, the errors serve as control variables, the control variables are input into a sliding mode controller based on a sliding mode control algorithm, an additional yaw moment to be applied is obtained, the additional yaw moment is distributed to each wheel, and vehicle yaw stability is controlled.
Having described the basic principles of the present application, the technical solutions in the present application will be described clearly and completely with reference to the accompanying drawings, and it should be understood that the described embodiments are only a part of the embodiments of the present application, and not all of the embodiments of the present application, and the present application is not limited to the exemplary embodiments described herein. All other embodiments, which can be derived by a person skilled in the art from the embodiments of the present application without making any creative effort, shall fall within the protection scope of the present application. It should be further noted that, for the convenience of description, only some but not all of the elements relevant to the present application are shown in the drawings.
Example one
As shown in fig. 1, the embodiment of the present application provides a yaw stability control method for an electric vehicle, which is applied to an electric vehicle having a wheel hub motor for each wheel. The electric automobile can include four wheels, but every wheel all can regard as the drive wheel, and single round, unipolar control, electric automobile does not have derailleur part, and the forward gear and the shelves of backing up of vehicle are realized by the just reversal of in-wheel motor. In this embodiment, the driving modes of the electric vehicle include four driving modes, including a front driving mode, a rear driving mode, a four driving mode and an AUTO mode, and a driver can freely switch the driving modes according to the driving condition requirements and personal preferences.
As shown in fig. 1, the method according to the embodiment of the present application includes:
s100: establishing a vehicle dynamic model;
specifically, a vehicle dynamic model is constructed according to the overall dimension, the model number, various power parameters and the like of the wheel, and the vehicle dynamic model is arranged into a vehicle dynamic model based on a sliding mode control algorithm in the construction process
Figure BDA0003496415990000051
Of a standard state spaceAnd (5) expressing.
In fact, the yaw stability control algorithm in the embodiment of the application adopts layered control, the upper layer control algorithm calculates the additional yaw moment through the difference between the ideal state parameters of the vehicle and the actual state parameters of the vehicle, and the lower layer control algorithm distributes the additional yaw moment obtained by the upper layer to the four wheels of the vehicle according to a certain target. The upper-layer control algorithm adopts a sliding mode control algorithm with better robustness to calculate. Based on a sliding mode control algorithm, there are
Figure BDA0003496415990000052
As shown in fig. 2, the sliding mode control algorithm in the embodiment of the present application includes a first stage and a second stage, where the first stage is a process in which the system state quantity approaches the sliding mode surface, and the second stage is a process in which the system state quantity slides on the sliding mode surface.
When the initial state of the system is not near the sliding mode surface, approach control is needed. After the system reaches the sliding mode surface, the sliding mode control enters the second-stage sliding mode motion, and the equivalent control is needed in the stage.
In the first stage of sliding mode control, namely the stage that the system approaches to the sliding mode surface, when the system is near the sliding mode surface, the system cannot approach to the sliding mode surface by any approach law at will, otherwise the system buffles up and down on the sliding mode surface, the approach quality can be optimized by the approach law which is reasonably designed, and the approach law mainly comprises a constant speed approach law, an exponential approach law, a power approach law and the like.
S200: inputting a steering wheel angle and a pedal signal into the vehicle dynamic model to obtain a first output result of the vehicle dynamic model, wherein the first output result comprises a longitudinal vehicle speed and a front wheel steering angle, and an ideal yaw rate is calculated by utilizing the longitudinal vehicle speed and the front wheel steering angle;
specifically, the steering wheel angle and the pedal signal are driving parameters input to a vehicle dynamic model by a driver according to a driving demand.
According to the steering wheel angle and pedal signal data, a vehicle dynamics model can calculate to obtain a first output result. The first output result includes longitudinal vehicle speed and front wheel steering angle data, and an ideal yaw rate is further calculated based on the longitudinal vehicle speed and the front wheel steering angle of the vehicle.
Step S200 in the method provided in the embodiment of the present application includes:
s210: establishing a simplified two-degree-of-freedom vehicle model;
s220: obtaining a dynamic differential equation of a two-degree-of-freedom reference model of the vehicle according to the simplified two-degree-of-freedom vehicle model, wherein the dynamic differential equation comprises a resultant force of lateral forces of front wheels and a resultant force of lateral forces of rear wheels;
s230: substituting relational expressions of the front wheel side deflection angle and the rear wheel side deflection angle into the kinetic differential equation to carry out formula conversion according to the calculation relations of the resultant force of the front wheel side force, the resultant force of the rear wheel side force and the front wheel side deflection angle and the rear wheel side deflection angle, and obtaining a centroid side deflection angle formula and a yaw rate formula;
s240: obtaining the setting requirements of an ideal yaw angular velocity and an ideal centroid side slip angle when the vehicle enters a steady state, and substituting the setting requirements of the ideal yaw angular velocity and the ideal centroid side slip angle into the centroid side slip angle formula and the yaw angular velocity formula for correction;
s250: and calculating the ideal yaw rate according to the longitudinal speed and the front wheel rotation angle based on the ideal yaw rate formula obtained after correction.
Fig. 3 shows a schematic diagram of a possible two-degree-of-freedom vehicle model coordinate system and parameters in an embodiment of the present application. Specifically, as shown in fig. 3, a vehicle stability control system is constructed based on the vehicle dynamics model described above, and a simplified two-degree-of-freedom vehicle model is constructed by lateral motion and yaw motion, so that the simplified two-degree-of-freedom vehicle model is obtained.
As shown in fig. 3, based on the simplified two-degree-of-freedom vehicle model, a dynamic differential equation of a vehicle linear two-degree-of-freedom reference model is obtained:
Figure BDA0003496415990000061
and
Figure BDA0003496415990000062
the dynamic differential equation comprises the resultant force of the lateral force of the front wheels and the resultant force of the lateral force of the rear wheels. Fyf=CfαfNamely the resultant force of the lateral force of the front wheel; fyr=CrαrI.e. the resultant of the lateral forces of the rear wheels.
Further, αfAnd alpharRepresenting the front and rear wheel side slip angles, respectively, as:
Figure BDA0003496415990000063
Figure BDA0003496415990000064
substituting a centroid slip angle calculation formula into a kinetic differential equation to obtain:
Figure BDA0003496415990000065
and
Figure BDA0003496415990000071
centroid slip angle
Figure BDA0003496415990000072
Namely, it is
Figure BDA0003496415990000073
The mass center slip angle formula and the yaw angle velocity formula can be obtained by arranging the above formulas:
Figure BDA0003496415990000074
wherein, when the vehicle enters a steady state, there are
Figure BDA0003496415990000075
Let the ideal yaw rate be omegar_dThe ideal centroid slip angle is betadSubstituting into the yaw angular velocity formula and the centroid slip angle formula to obtain an ideal yaw angular velocity expression and an ideal centroid slip angle expression, wherein the ideal yaw angular velocity expression and the ideal centroid slip angle expression are as follows:
Figure BDA0003496415990000076
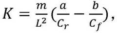
further, the vehicle stability factor is
Figure BDA0003496415990000077
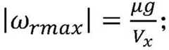
The yaw velocity and the centroid slip angle of the vehicle have limit values in the actual driving process, and the limit values are as follows:
Figure BDA0003496415990000078
Figure BDA0003496415990000079
wherein a is the distance from the center of mass to the front axle, b is the distance from the center of mass to the rear axle, L is the distance from the front axle to the rear axle, m is the total vehicle mass, g is the gravitational acceleration, VxFor longitudinal vehicle speed, CrIs a rear wheel curve factor, mu is a road adhesion coefficient, betamaxIs the maximum centroid slip angle of omegarmaxThe maximum yaw rate.
According to the vehicle stability factor, the yaw velocity limit value and the centroid slip angle limit value expression, the ideal yaw velocity and the ideal centroid slip angle are corrected as follows:
Figure BDA00034964159900000710
Figure BDA0003496415990000081
the ideal yaw rate ωr_dAnd ideal centroid slip angle betadThere is a coupling relationship between them, as follows:
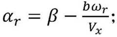
Figure BDA0003496415990000082
and obtaining the longitudinal speed and the front wheel angle according to the steering wheel angle and pedal signals input into the vehicle dynamics model based on the ideal yaw velocity formula obtained after correction, and further calculating to obtain the ideal yaw velocity.
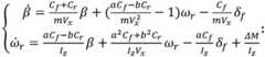
S300: obtaining a mass center side slip angle and an actual yaw velocity, inputting an error between the actual yaw velocity and an ideal yaw velocity into a sliding mode controller by taking the error as a control variable and the mass center side slip angle, and obtaining an additional yaw moment to be applied;
specifically, based on the above-described ideal yaw rate and the calculated actual yaw rate, the error e between the actual yaw rate and the ideal yaw rate is ωrr_dAs a control variable, an additional yaw moment Δ M to be applied is calculated based on a sliding mode control calculation method.
Step S300 in the method provided in the embodiment of the present application includes:
s310: obtaining a second output result of the vehicle dynamics model, wherein the second output result comprises a steering wheel angle, a longitudinal acceleration and a transverse acceleration;
s320: and calculating vehicle state parameters through a Kalman filter according to the steering wheel angle, the longitudinal acceleration and the transverse acceleration to obtain the centroid slip angle and the actual yaw angular velocity.
Specifically, a second output result of the vehicle dynamics model may be obtained based on the steering wheel angle and the pedal signal input to the vehicle by the driver, and the second output result may include the steering wheel angle, the longitudinal acceleration, and the lateral acceleration.
Based on the steering wheel angle, the longitudinal acceleration and the transverse acceleration, the vehicle state parameters are calculated according to the self-adaptive unscented Kalman filtering algorithm, and the mass center side slip angle and the actual yaw rate of the vehicle can be obtained.
Further, the error e ═ ω from the actual yaw rate and the ideal yaw rate is obtainedrr_dAnd an additional yaw moment delta M applied to the vehicle during yaw stability control, and obtaining a two-degree-of-freedom dynamic model expression of the vehicle as follows:
Figure BDA0003496415990000091
according to the above e- ωrr_dDefining the slip form plane s ═ e ═ ωrr_dPreferably, the approach law is the equal velocity approach law
Figure BDA0003496415990000092
Obtaining:
Figure BDA0003496415990000093
the formula of the obtained additional yaw moment is as follows:
Figure BDA0003496415990000094
based on the additional yaw moment formula, in order to verify whether the system is stable after the additional yaw moment is applied, a Lyapunov method is used for carrying out stability analysis on the yaw stability algorithm, and the stability analysis is carried out according to the method
Figure BDA0003496415990000095
Obtaining:
Figure BDA0003496415990000096
therefore, the method comprises the following steps:
Figure BDA0003496415990000097
further, it is possible to obtain:
Figure BDA0003496415990000098
due to Kwr>0、kwr>0、εwr> 0, therefore
Figure BDA00034964159900000911
The system is stable.
S400: and equally distributing the additional yaw moment to each wheel of the automobile to obtain an additional driving moment of each wheel, and controlling the yaw stability of the automobile.
Specifically, the electric vehicle to which the method provided in the embodiment of the present application is applied is preferably four-wheeled, and the additional yaw moment Δ M applied to the vehicle when yaw stability control is performed is distributed to four wheels, resulting in the additional yaw moment on the four wheels.
Specifically, in an upper-layer motion tracking control strategy of a sliding mode control algorithm, the total additional yaw moment delta M is averagely distributed to 4 wheels, and the wheels on the inner side of the steering wheel are positive driving moment with the magnitude of positive driving moment
Figure BDA0003496415990000099
The outside wheel of the steering is negative driving torque with the magnitude of
Figure BDA00034964159900000910
Fig. 4 shows a possible logic diagram of the method provided by the embodiment of the present application. As shown in fig. 4, after torque distribution is performed on the additional yaw moment, additional driving torques of the four wheels are obtained, and the total in-wheel motor torque is input to the input interface of the complete vehicle model CarSim and set.
In order to verify the stability of the yaw stability control method of the electric automobile in the actual driving working condition, the effectiveness of the yaw stability control method is verified by adopting the control algorithm simulation test working condition in the embodiment of the application.
Specifically, based on the whole distributed driving electric vehicle platform and the yaw stability control method provided by the embodiment of the application, simulation under a double-line-shifting working condition and a snake-shaped working condition is carried out through CarSim and Matlab/Simulink combined simulation, and a simulation result is analyzed. In the analysis process, the driving track, the mass center slip angle and the yaw velocity of the vehicle are mainly analyzed and used as evaluation parameters for controlling the yaw stability of the vehicle.
And verifying according to the double-shift-line working condition, wherein the verification condition is that the vehicle speed is 80km/h, the ground adhesion rate is 0.8, the input of the yaw rate controller is the steering wheel angle, the accelerator pedal opening, the vehicle speed (output by a whole vehicle dynamic model), the centroid yaw angle and the yaw rate (output by a Kalman filter), and the output of the controller is the torque of four hub motors of the vehicle.
Fig. 5 shows a time-dependent change in steering wheel angle with and without yaw stability control in the double shift line condition verification. Fig. 6 shows a graph of the centroid slip angle change with and without yaw stability control in the double-shift-line condition verification.
As shown in fig. 5, in the case of yaw stability control, the amplitude at the peak of the steering wheel angle is significantly smaller than that of the steering wheel angle without the control system, the amplitude is reduced by 37.5% at the maximum, and the workload of the driver is significantly reduced.
As shown in fig. 6, under the condition of yaw stability control, the amplitude of the centroid slip angle of the vehicle in the double-line moving condition is obviously reduced, and is reduced by 66.7% at the peak value of 4s, and the centroid slip angle of the vehicle is an important parameter for representing the track keeping capability of the vehicle, which indicates that the track keeping capability of the vehicle is greatly improved under the action of the control system. In fact, when the vehicle runs normally on a good road, the mass center slip angle of the vehicle cannot exceed 0.035rad for a common driver, otherwise the driver can be panic, and it can be seen that under the working condition, the mass center slip angle of the vehicle does not exceed 0.035rad with or without the action of a control system.
In the verification of the double-wire-moving working condition, the vehicle can complete the double-wire-moving working condition under the condition of control, but under the action of a control system, the track of the vehicle is obviously smooth, has no obvious vibration when swinging back to a running path, and has better path passing effect than the path passing effect without control. And under the action of the control system, the amplitude of the vehicle yaw velocity is obviously reduced, the maximum reduction is 46%, the vehicle yaw velocity is an important parameter for representing the vehicle stability, and the vehicle yaw stability is greatly improved under the active intervention of the vehicle stability control system.
In addition, under the condition that the yaw stability control system is arranged, the yaw stability control system can coordinate the moment borne by the driving wheels according to the running state of the vehicle, so that the vehicle is actively intervened, and the stability and the track keeping capacity of the vehicle are improved.
The embodiment of the application also verifies the effectiveness of the automobile yaw stability method under other extreme working conditions, including a double-line-shifting working condition of 120km/h of automobile speed and 0.8 of ground adhesion rate, a snake-shaped working condition of 80km/h of automobile speed and 0.8 of ground adhesion rate, and a snake-shaped working condition of 120km/h of automobile speed and 0.8 of ground adhesion rate.
In the verification under other above-mentioned extreme operating modes, all verified under the effect of the car yaw stability control method that this application provided, the extreme operating mode can be accomplished smoothly to the vehicle, and the orbit of traveling is slick and sly smooth and easy, there is not obvious shock when the pendulum returns the route of traveling, the steering wheel corner reduces by a wide margin, can effectively alleviate driver's work burden, and barycenter sideslip angle descends by a wide margin, the orbit holding capacity of vehicle obtains very big promotion, and all do not exceed 0.035rad, driver's driving experience has been promoted greatly, the decline of vehicle yaw angular velocity amplitude is obvious, vehicle stability promotes by a wide margin.
To sum up, the method provided by the embodiment of the application constructs a vehicle dynamic model according to vehicle parameters, selects a sliding mode control algorithm with better robustness, no need of a large amount of engineering experience and better adaptability, calculates an ideal yaw velocity according to a longitudinal vehicle speed and a front wheel steering angle, and finally calculates to obtain an additional yaw moment, so that the yaw stability of the vehicle can be effectively controlled, the operation stability of the vehicle is further improved, under any extreme driving condition, the vehicle can smoothly complete an extreme working condition, the driving track is smooth and smooth, no obvious shock is generated when the vehicle swings back to a driving path, the steering wheel turning angle is greatly reduced, the work burden of a driver can be effectively reduced, the mass center yaw angle is greatly reduced, the track holding capacity of the vehicle is greatly improved, the vehicle does not exceed 0.035rad, the experience driving of the driver is greatly improved, and the yaw velocity amplitude of the vehicle is obviously reduced, the stability of the vehicle is greatly improved. Promote the vehicle and reach and promote car yaw control stability, promote the technical effect that vehicle driving experienced stability.
Example two
Based on the same inventive concept as the electric vehicle yaw stability control method in the foregoing embodiment, as shown in fig. 7, the present application provides an electric vehicle yaw stability control apparatus, wherein the apparatus comprises:
afirst building unit 11, saidfirst building unit 11 being adapted to build a vehicle dynamics model;
afirst processing unit 12, where thefirst processing unit 12 is configured to input a steering wheel angle and a pedal signal into the vehicle dynamics model, obtain a first output result of the vehicle dynamics model, where the first output result includes a longitudinal vehicle speed and a front wheel steering angle, and calculate an ideal yaw rate by using the longitudinal vehicle speed and the front wheel steering angle;
thesecond processing unit 13 is used for obtaining a centroid side slip angle and an actual yaw rate, inputting an error between the actual yaw rate and an ideal yaw rate into the sliding mode controller as a control variable and the centroid side slip angle, and obtaining an additional yaw moment to be applied;
and a first executingunit 14, wherein the first executingunit 14 is used for equally distributing the additional yaw moment to each wheel of the automobile, obtaining the additional driving moment of each wheel and controlling the yaw stability of the automobile.
Further, the apparatus further comprises:
a first obtaining unit configured to obtain a second output result of the vehicle dynamics model, the second output result including a steering wheel angle, a longitudinal acceleration, and a lateral acceleration;
and the third processing unit is used for calculating vehicle state parameters through a Kalman filter according to the steering wheel angle, the longitudinal acceleration and the transverse acceleration to obtain the mass center slip angle and the actual yaw velocity.
Further, the apparatus further comprises:
a second construction unit for building a simplified two degree of freedom vehicle model;
the second obtaining unit is used for obtaining a dynamic differential equation of a two-degree-of-freedom reference model of the vehicle according to the simplified two-degree-of-freedom vehicle model, wherein the dynamic differential equation comprises a resultant force of lateral forces of front wheels and a resultant force of lateral forces of rear wheels;
the fourth processing unit is used for substituting relational expressions of the front wheel side deflection angle and the rear wheel side deflection angle into the dynamic differential equation to carry out formula conversion according to the calculation relationship of the resultant force of the front wheel side forces, the resultant force of the rear wheel side forces and the front wheel side deflection angle and the rear wheel side deflection angle so as to obtain a centroid side deflection angle formula and a yaw rate formula;
the fifth processing unit is used for obtaining setting requirements of an ideal yaw rate and an ideal centroid slip angle when the vehicle enters a steady state, and substituting the setting requirements of the ideal yaw rate and the ideal centroid slip angle into the centroid slip angle formula and the yaw rate formula for correction;
and the sixth processing unit is used for calculating the ideal yaw rate according to the longitudinal vehicle speed and the front wheel rotation angle based on the ideal yaw rate formula obtained after the correction.
EXAMPLE III
Based on the same inventive concept as the electric vehicle yaw stability control method in the previous embodiment, the present application also provides a computer readable storage medium having a computer program stored thereon, which when executed by a processor implements the method as in the first embodiment.
Although the present application has been described in conjunction with specific features and embodiments thereof, it will be evident that various modifications and combinations can be made thereto without departing from the spirit and scope of the application. Accordingly, the specification and figures are merely exemplary of the application and are intended to cover any and all modifications, variations, combinations, or equivalents within the scope of the application. It will be apparent to those skilled in the art that various changes and modifications may be made in the present application without departing from the scope of the application. Thus, if such modifications and variations of the present application fall within the scope of the present application and its equivalent technology, the present application is intended to include such modifications and variations. While the foregoing is directed to the preferred embodiment of the present invention, it will be understood by those skilled in the art that various changes and modifications may be made without departing from the spirit and scope of the invention as defined in the appended claims.

Claims (10)

1. An electric vehicle yaw stability control method, characterized in that the method comprises:
establishing a vehicle dynamic model;
inputting a steering wheel angle and a pedal signal into the vehicle dynamic model to obtain a first output result of the vehicle dynamic model, wherein the first output result comprises a longitudinal vehicle speed and a front wheel steering angle, and an ideal yaw rate is calculated by utilizing the longitudinal vehicle speed and the front wheel steering angle;
obtaining a mass center side slip angle and an actual yaw velocity, inputting an error between the actual yaw velocity and an ideal yaw velocity into a sliding mode controller by taking the error as a control variable and the mass center side slip angle, and obtaining an additional yaw moment to be applied;
and equally distributing the additional yaw moment to each wheel of the automobile to obtain an additional driving moment of each wheel, and controlling the yaw stability of the automobile.
2. The method of claim 1, wherein the obtaining the centroid slip angle, the actual yaw rate, comprises:
obtaining a second output result of the vehicle dynamics model, wherein the second output result comprises a steering wheel angle, a longitudinal acceleration and a transverse acceleration;
and calculating vehicle state parameters through a Kalman filter according to the steering wheel angle, the longitudinal acceleration and the transverse acceleration to obtain the mass center side slip angle and the actual yaw angular speed.
3. The method of claim 2, wherein said calculating an ideal yaw rate using said longitudinal vehicle speed and front wheel steering angle comprises:
establishing a simplified two-degree-of-freedom vehicle model;
obtaining a dynamic differential equation of a two-degree-of-freedom reference model of the vehicle according to the simplified two-degree-of-freedom vehicle model, wherein the dynamic differential equation comprises a resultant force of lateral forces of front wheels and a resultant force of lateral forces of rear wheels;
substituting relational expressions of the front wheel side deflection angle and the rear wheel side deflection angle into the kinetic differential equation to carry out formula conversion according to the calculation relations of the resultant force of the front wheel side force, the resultant force of the rear wheel side force and the front wheel side deflection angle and the rear wheel side deflection angle, and obtaining a centroid side deflection angle formula and a yaw rate formula;
obtaining the setting requirements of an ideal yaw angular velocity and an ideal centroid side slip angle when the vehicle enters a steady state, and substituting the setting requirements of the ideal yaw angular velocity and the ideal centroid side slip angle into the centroid side slip angle formula and the yaw angular velocity formula for correction;
and calculating the ideal yaw rate according to the longitudinal speed and the front wheel rotation angle based on the ideal yaw rate formula obtained after correction.
4. The method according to claim 1, characterized in that a centroid slip angle calculation formula is substituted into the kinetic differential equation, and a yaw velocity formula and a centroid slip angle formula are obtained by arranging:
Figure FDA0003496415980000021
when the vehicle is brought into a steady state,
Figure FDA0003496415980000022
let the ideal yaw rate be omegar_dThe ideal centroid slip angle is betadSubstituting the formula of the yaw angular velocity and the formula of the centroid slip angle to obtain an expression of the ideal yaw angular velocity and the ideal centroid slip angle:
Figure FDA0003496415980000023
obtaining expressions of a vehicle stability factor, a yaw angular velocity limit value and a centroid slip angle limit value, and modifying the expressions of the ideal yaw angular velocity and the ideal centroid slip angle into the expressions:
Figure FDA0003496415980000024
Figure FDA0003496415980000025
wherein a is the distance from the center of mass to the front axle, b is the distance from the center of mass to the rear axle, L is the distance from the front axle to the rear axle, m is the total vehicle mass, g is the gravitational acceleration, VxFor longitudinal vehicle speed, CfIs a front wheel curve factor, CrIs a rear wheel curve factor, δfAngle of rotation of the front wheel, omegar_dIs an ideal yaw rate, betadIs an ideal centroid slip angle, mu is the road surface adhesion coefficient, betamaxIs the most excellentLarge centroid slip angle, omegarmaxMaximum yaw rate, K vehicle stability factor.
5. Method according to claim 4, characterized in that the desired yaw rate ωr_dAngle of lateral deviation from ideal centroiddThere is a coupling relationship:
Figure FDA0003496415980000026
6. the method of claim 1, further comprising:
calculating to obtain an error e-omega according to the actual yaw velocity and the ideal yaw velocityrr_dWherein, ω isrIs the actual yaw rate, omegar_dAn ideal yaw rate;
and taking the error as a control variable, and obtaining a two-degree-of-freedom dynamic model expression of the vehicle based on the yaw velocity formula and the mass center sideslip angle formula, wherein the two-degree-of-freedom dynamic model expression is as follows:
Figure FDA0003496415980000031
wherein Δ M is an additional yaw moment applied to the vehicle;
define sliding mode surface s e ωrr_dThe approach law is the constant velocity approach law
Figure FDA0003496415980000032
The formula of the additional yaw moment is obtained as follows:
Figure FDA0003496415980000033
7. the method of claim 1, further comprising:
the number of the wheels of the automobile is 4, the additional yaw moment Delta M is averagely distributed to the 4 wheels, and the additional driving moment of the 4 wheels is obtained, wherein the steering inner side wheel is positive driving moment and the moment is equal to
Figure FDA0003496415980000034
The wheel at the outer side of the steering wheel has negative driving torque and the torque is
Figure FDA0003496415980000035
And acquiring total in-wheel motor torque according to the additional driving torques of the 4 wheels, and inputting the total in-wheel motor torque into an input interface of the vehicle dynamics model.
8. An electric vehicle yaw stability control apparatus, characterized in that the apparatus comprises:
a first building unit for building a vehicle dynamics model;
the first processing unit is used for inputting a steering wheel angle and a pedal signal into the vehicle dynamic model, obtaining a first output result of the vehicle dynamic model, wherein the first output result comprises a longitudinal vehicle speed and a front wheel steering angle, and an ideal yaw rate is obtained by calculation through the longitudinal vehicle speed and the front wheel steering angle;
the second processing unit is used for obtaining a mass center side slip angle and an actual yaw velocity, and inputting an error between the actual yaw velocity and an ideal yaw velocity into the sliding mode controller as a control variable and the mass center side slip angle to obtain an additional yaw moment to be applied;
and the first execution unit is used for equally distributing the additional yaw moment to each wheel of the automobile, obtaining the additional driving moment of each wheel and controlling the yaw stability of the automobile.
9. An electric vehicle yaw stability control apparatus, comprising: a processor coupled to a memory for storing a program that, when executed by the processor, causes an apparatus to perform the steps of the method of any of claims 1 to 7.
10. A computer-readable storage medium, on which a computer program is stored which, when being executed by a processor, carries out the steps of the method according to any one of claims 1 to 7.
CN202210116321.2A2022-02-072022-02-07Electric automobile yaw stability control method and deviceWithdrawnCN114684109A (en)

Priority Applications (1)

Application NumberPriority DateFiling DateTitle
CN202210116321.2ACN114684109A (en)2022-02-072022-02-07Electric automobile yaw stability control method and device

Applications Claiming Priority (1)

Application NumberPriority DateFiling DateTitle
CN202210116321.2ACN114684109A (en)2022-02-072022-02-07Electric automobile yaw stability control method and device

Publications (1)

Publication NumberPublication Date
CN114684109Atrue CN114684109A (en)2022-07-01

Family

ID=82137898

Family Applications (1)

Application NumberTitlePriority DateFiling Date
CN202210116321.2AWithdrawnCN114684109A (en)2022-02-072022-02-07Electric automobile yaw stability control method and device

Country Status (1)

CountryLink
CN (1)CN114684109A (en)

Cited By (6)

* Cited by examiner, † Cited by third party
Publication numberPriority datePublication dateAssigneeTitle
CN115534931A (en)*2022-10-272022-12-30清华大学Transverse dynamics stability control system and method for electrically driven passenger car
CN116141984A (en)*2023-02-172023-05-23浙江吉利控股集团有限公司Vehicle, control method and control device thereof, and computer-readable storage medium
CN116160870A (en)*2023-03-162023-05-26湖南天联勘测设计有限公司 A method and system for electronic differential control of electric vehicles driven by dual hub motors
CN117207974A (en)*2023-09-212023-12-12广州汽车集团股份有限公司Vehicle control method and device, electronic equipment and storage medium
CN119975536A (en)*2025-04-172025-05-13苏州工学院 A control method, system, computer storage medium and program for a four-wheel steering system
CN120135188A (en)*2025-03-112025-06-13清华大学 A robust cooperative control method for yaw stability of electric-drive vehicles using distributed corner modules

Citations (2)

* Cited by examiner, † Cited by third party
Publication numberPriority datePublication dateAssigneeTitle
CN105416276A (en)*2015-12-142016-03-23长春工业大学Method for controlling electric automobile stability direct yawing moment based on high-order slip mold
CN112417598A (en)*2020-11-202021-02-26福建工程学院 A Parallel Estimation Method of Vehicle State Based on Multi-source Fusion

Patent Citations (2)

* Cited by examiner, † Cited by third party
Publication numberPriority datePublication dateAssigneeTitle
CN105416276A (en)*2015-12-142016-03-23长春工业大学Method for controlling electric automobile stability direct yawing moment based on high-order slip mold
CN112417598A (en)*2020-11-202021-02-26福建工程学院 A Parallel Estimation Method of Vehicle State Based on Multi-source Fusion

Non-Patent Citations (3)

* Cited by examiner, † Cited by third party
Title
廖自力等: "轮毂电机驱动电动车稳定性横摆力矩控制研究", 计算机仿真, vol. 37, no. 8, 15 August 2020 (2020-08-15), pages 73 - 86*
林程等: "独立驱动电动汽车稳定性的滑模变结构控制", 汽车工程, vol. 37, no. 2, 25 February 2015 (2015-02-25), pages 132 - 138*
童树林: "四轮轮毂电机驱动电动车稳定性控制研究", 中国优秀硕士学位论文全文数据库电子期刊工程科技Ⅱ辑, no. 1, 15 January 2019 (2019-01-15), pages 035 - 1073*

Cited By (6)

* Cited by examiner, † Cited by third party
Publication numberPriority datePublication dateAssigneeTitle
CN115534931A (en)*2022-10-272022-12-30清华大学Transverse dynamics stability control system and method for electrically driven passenger car
CN116141984A (en)*2023-02-172023-05-23浙江吉利控股集团有限公司Vehicle, control method and control device thereof, and computer-readable storage medium
CN116160870A (en)*2023-03-162023-05-26湖南天联勘测设计有限公司 A method and system for electronic differential control of electric vehicles driven by dual hub motors
CN117207974A (en)*2023-09-212023-12-12广州汽车集团股份有限公司Vehicle control method and device, electronic equipment and storage medium
CN120135188A (en)*2025-03-112025-06-13清华大学 A robust cooperative control method for yaw stability of electric-drive vehicles using distributed corner modules
CN119975536A (en)*2025-04-172025-05-13苏州工学院 A control method, system, computer storage medium and program for a four-wheel steering system

Similar Documents

PublicationPublication DateTitle
CN114684109A (en)Electric automobile yaw stability control method and device
CN112644457B (en) A distributed driving vehicle steering stability control system and its control method
CN111806427B (en) A comprehensive control method for a four-wheel motor-driven vehicle
CN113076641B (en)Intelligent vehicle-to-vehicle and computer-to-vehicle cooperative steering control parallel computing method based on risk assessment
CN103057436B (en)Yawing moment control method of individual driven electromobile based on multi-agent
CN102030007B (en)Method for acquiring overall dynamics controlled quantity of independently driven-independent steering vehicle
CN114771503B (en) Vehicle lateral stability control method based on non-singular terminal sliding mode control
US6745112B2 (en)Method of estimating quantities that represent state of vehicle
CN106926840A (en)A kind of vehicle extremal dynamic model Trajectory Tracking Control System
CN112109732A (en) An adaptive curve preview method for intelligent driving
CN111158264B (en) A fast solution method for model predictive control for in-vehicle applications
CN118348992A (en)Automatic driving track tracking control method and device, vehicle and storage medium
CN111142534A (en) A kind of intelligent vehicle horizontal and vertical comprehensive trajectory tracking method and control system
CN115214697A (en)Adaptive second-order sliding mode control intelligent automobile transverse control method
CN118991915A (en)Rear wheel steering control method based on pre-stability
CN110703775A (en) A lane keeping path planning method for commercial vehicles based on improved artificial potential field
CN114044003A (en)Tracking control method for front-rear double-shaft steering vehicle
CN118759853A (en) A variable priority motion control method based on MPC for off-road vehicles
CN116729417B (en)Man-machine co-driving transverse and longitudinal combined control method based on non-cooperative game
CN111523207A (en)Method, device, equipment and medium for modeling complete vehicle platform and detecting vehicle performance
CN115257786B (en) Longitudinal control system and method for autonomous driving vehicle based on feedforward-fuzzy PI
CN117734449A (en)Yaw moment control method, device and medium for distributed electric loader
JP2007334843A (en)Optimum control method for system
Zhuang et al.Model-Predictive-Control-based Simultaneous Trajectory Tracking and Speed Control for Intelligent Vehicles
CN108829976A (en)A kind of car steering stability region of many-degrees of freedom system determines method

Legal Events

DateCodeTitleDescription
PB01Publication
PB01Publication
SE01Entry into force of request for substantive examination
SE01Entry into force of request for substantive examination
WW01Invention patent application withdrawn after publication

Application publication date:20220701

WW01Invention patent application withdrawn after publication

[8]ページ先頭

©2009-2025 Movatter.jp