



















技术领域technical field
本发明涉及综合能源系统调度技术领域,具体涉及一种基于综合需求响应和奖惩阶梯碳交易的能源枢纽主从博弈优化调度方法。The invention relates to the technical field of integrated energy system scheduling, in particular to an energy hub master-slave game optimization scheduling method based on comprehensive demand response and reward and punishment ladder carbon trading.
背景技术Background technique
随着国家能源市场逐步改革开放,寻求安全高效、低碳清洁的能源运营模式已成为当前研究的热点。综合能源系统是一种高效清洁、多能耦合的能源管理系统。而能源枢纽作为未来的高效能源形式,在综合能源系统IES的研究中扮演着重要角色。综合需求响应是传统电力需求响应的拓展和延伸,在能源枢纽EH优化运行中起关键作用。建立能考虑各种环境扰动因素且能反映实际用能需求的IDR模型是目前亟需解决的难题。With the gradual reform and opening up of the national energy market, seeking a safe, efficient, low-carbon and clean energy operation model has become a hot research topic. The integrated energy system is an efficient, clean, multi-energy coupled energy management system. As a future form of high-efficiency energy, energy hubs play an important role in the study of integrated energy systems IES. Integrated demand response is an extension and extension of traditional power demand response, and plays a key role in the optimal operation of energy hub EH. It is an urgent problem to establish an IDR model that can consider various environmental disturbance factors and reflect the actual energy demand.
能源市场的改革使大量新兴主体涌入市场展开激烈竞争,博弈论的应用能很好的处理不同主体间的利益冲突。碳交易被认为是提升系统环境效益并兼顾经济性的有效手段之一。目前,大多数研究只在IES运行成本中引入碳交易成本,充分发挥需求侧资源的节能减排能力是需要解决的关键问题之一。The reform of the energy market has caused a large number of emerging players to enter the market to compete fiercely. The application of game theory can well deal with the conflict of interests between different players. Carbon trading is considered to be one of the effective means to enhance the environmental benefits of the system while taking into account the economy. At present, most researches only introduce carbon transaction costs into IES operating costs, and giving full play to the energy-saving and emission-reduction capabilities of demand-side resources is one of the key issues to be solved.
发明内容SUMMARY OF THE INVENTION
本发明提供一种基于综合需求响应和奖惩阶梯碳交易的能源枢纽主从博弈优化调度方法,能够有效兼顾双方利益,充分发挥用户的需求响应潜力,实现EH经济、低碳运行。The invention provides an energy hub master-slave game optimization scheduling method based on comprehensive demand response and reward and punishment ladder carbon trading, which can effectively take into account the interests of both parties, give full play to the user's demand response potential, and realize EH economy and low-carbon operation.
本发明采取的技术方案为:The technical scheme adopted in the present invention is:
基于综合需求响应和奖惩阶梯碳交易的能源枢纽主从博弈优化调度方法,包括以下步骤:The master-slave game optimization scheduling method for energy hubs based on comprehensive demand response and reward and punishment ladder carbon trading includes the following steps:
步骤1:对能源枢纽结构所包含的燃气轮机、燃气锅炉、电制冷机与吸收式制冷机、蓄电池进行建模,反应输入功率与输出功率的关系;Step 1: Model the gas turbines, gas boilers, electric refrigerators, absorption refrigerators, and batteries included in the energy hub structure to reflect the relationship between input power and output power;
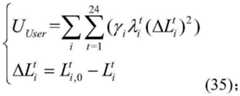
步骤2:建立综合需求响应模型,包括用户冷负荷需求建模、用户热负荷需求建模和用户电负荷需求响应。Step 2: Establish a comprehensive demand response model, including user cooling load demand modeling, user heating load demand modeling and user electric load demand response.
步骤3:建立主从博弈低碳模型,使参与该博弈互动的能源枢纽运营商和用户在各自运行约束条件下追求自身利益最优。Step 3: Establish a master-slave game low-carbon model, so that the energy hub operators and users participating in the game interaction pursue their own interests optimally under their respective operating constraints.
步骤4:通过差分进化算法和CPLEX求解器,对主从博弈低碳模型进行求解。Step 4: Solve the master-slave game low-carbon model through differential evolution algorithm and CPLEX solver.
所述步骤1中,In the
1)、燃气轮机模型如下:1), the gas turbine model is as follows:
燃气轮机GT输出的电功率与所消耗的气功率关系如下所示:Electric power output by gas turbine GT with the gas power consumed The relationship looks like this:
式中:为GT的启停状态标记位;a、b为燃耗系数,c为GT启停成本系数。where: is the start-stop status flag bit of the GT; a and b are the fuel consumption coefficients, and c is the GT start-stop cost coefficient.
为了精确反映GT的实际运行工况,便于快速计算,对式(1)进行三分段线性化处理,分段后的3段斜率分别为:In order to accurately reflect the actual operating conditions of GT and facilitate rapid calculation, formula (1) is linearized in three segments. The slopes of the three segments after segmenting are:
式中:、、、表示分段后的GT电功率曲线参数,、为GT输出电功率的上、下限,故式(1)可以改写为:In the formula: , , , represent the segmented GT electric power curve parameters, , are the upper and lower limits of the GT output electric power, so formula (1) can be rewritten as:
GT运行时,排出的高温烟气通过余热锅炉WHB产热,其制热特性模型为:When GT is running, the exhausted high-temperature flue gas generates heat through the waste heat boiler WHB, and its heating characteristic model is:
式中:和分别表示GT和WHB输出的热功率;λGT和λWHB分别表示燃气轮机输出的电热功率比和热回收效率。where: and Represent the thermal power output by GT and WHB, respectively; λGT and λWHB represent the electric-to-heat power ratio and heat recovery efficiency output by the gas turbine, respectively.
2)、燃气锅炉模型如下:2), the gas boiler model is as follows:
燃气锅炉GB通过燃烧天然气产热,其输出热功率HtGB与输入的气功率GtGB的关系为:Gas boiler GB produces heat by burning natural gas, and the relationship between its output heat power HtGB and input gas power GtGB is:
式中:ηGB为GB的产热效率。In the formula: ηGB is the heat production efficiency of GB.
3)、电制冷机与吸收式制冷机模型如下:3) The models of electric refrigerators and absorption refrigerators are as follows:
电制冷机AC(Air Conditioner)、吸收式制冷机AR(Air Refrigerator)的输出冷功率QtAC、QtAR分别如下:The output cooling powers QtAC and QtAR of the electric refrigerator AC (Air Conditioner) and the absorption refrigerator AR (Air Refrigerator) are as follows:
式中:ηAR、ηAC表示AR、AC制冷效率;PtAC和HtAR分别表示AC的输入电功率和AR 的输入热功率。In the formula: ηAR and ηAC represent the cooling efficiency of AR and AC; PtAC and HtAR represent the input electric power of AC and the input thermal power of AR respectively.
4)、蓄电池模型如下:4) The battery model is as follows:
蓄电池BT充放电前后的储能容量需满足以下约束:The energy storage capacity of the battery BT before and after charging and discharging must meet the following constraints:
式中:表示BT的t时刻容量状态;hBT.chr、hBT.dis分别为BT的充、放电效率。where: Represents the capacity state of BT at time t; hBT.chr and hBT.dis are the charge and discharge efficiencies of BT, respectively.
表示BT的t-1时刻容量状态、表示t时刻的充电功率、表示t时刻的放电功率、△t表示时间间隔,表示BT的容量状态下限、表示t时刻的容量状态、表示BT的容量状态上限。 Indicates the capacity state of BT at time t-1, represents the charging power at time t, represents the discharge power at time t, Δt represents the time interval, Indicates the lower limit of the capacity state of BT, represents the capacity state at time t, Indicates the upper limit of the capacity status of BT.
此外,BT还需满足充放电频率约束和互斥约束:In addition, BT also needs to meet the charge and discharge frequency constraints and mutual exclusion constraints:
表示t时刻的BT放电功率标志位、表示t时刻的BT充电功率标志位; Indicates the BT discharge power flag bit at time t, Indicates the BT charging power flag bit at time t;
t表示时间间隔;t represents the time interval;
所述步骤2中:In the step 2:
1):用户冷负荷需求建模具体如下:1): The modeling of user cooling load demand is as follows:
设楼宇制冷设备在使用时间内连续运行,根据能量守恒定理,t时段内室内热量变化量ΔLc等于制冷量Ltc与建筑吸热量LB之差,由此得楼宇热平衡方程:Assuming that the building refrigeration equipment runs continuously during the use time, according to the energy conservation principle, the indoor heat change ΔLc in the t period is equal to the difference between the cooling capacity Ltc and the building heat absorption LB , and the building heat balance equation is obtained:
式中:ρAir为空气密度;CAir为空气比热容;为室内温度变化率;VB为建筑体积。In the formula: ρAir is the air density; CAir is the air specific heat capacity; is the indoor temperature change rate;VB is the building volume.
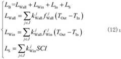
影响建筑吸热的主要因素有:建筑外墙、外窗传递的热量LWall、LWin,建筑因吸收室内照明、人体散热等热量产生的室内热源LIn以及太阳辐射所产生的热量LS,因此,LB可表示为:The main factors affecting the heat absorption of the building are: the heat LWall and LWin transmitted by the building exterior walls and exterior windows, the indoor heat source LIn generated by the building due to the absorption of heat such as indoor lighting and human body heat dissipation, and the heat generated by solar radiation LS , Therefore,LB can be expressed as:
式中:LB表示建筑吸热量;分别为建筑朝向为j时的建筑外墙、外窗与室外的传热系数;分别为建筑朝向为j时建筑外墙、外窗面积;j表示建筑朝向;In the formula: LB represents the heat absorbed by the building; are the heat transfer coefficients of the building exterior wall, exterior window and outdoor when the building orientation is j; are the area of the exterior wall and exterior window of the building when the building orientation is j; j represents the building orientation;
分别为建筑外墙、外窗与室外的传热系数;分别为建筑外墙、外窗面积;TIn、TOut分别为室内外温度;I为太阳辐射功率;S、C分别为外窗遮阳系数、得热因子; are the heat transfer coefficients of the building exterior wall, exterior window and exterior, respectively; are the area of the building exterior wall and exterior window; TIn and TOut are the indoor and outdoor temperature respectively; I is the solar radiation power; S and C are the shading coefficient and heat gain factor of the exterior window, respectively;
联合式(11)和式(12),并通过差分化处理,可以得到离散化的楼宇热平衡方程:Combining equations (11) and (12), and through differential processing, the discretized building heat balance equation can be obtained:
由式(11)可得到室内温度与制冷功率之间的关系,为保障用户舒适度,室温应满足上下限和室温波动约束:The relationship between indoor temperature and cooling power can be obtained from formula (11). In order to ensure user comfort, the room temperature should meet the upper and lower limits and room temperature fluctuation constraints:
表示t时刻的室内温度; represents the indoor temperature at time t;
式中:分别为用户可接受的室内温度上限、下限,为设定的最适宜室温where: are the upper and lower limits of indoor temperature acceptable to users, respectively. the optimum room temperature
分别表示室温波动相对值的上下限; respectively represent the upper and lower limits of the relative value of room temperature fluctuation;
2):用户热负荷需求建模具体如下:2): The modeling of user heat load demand is as follows:
通过热水储存模型描述供水温度与热负荷之间的关系:The relationship between water supply temperature and heat load is described by a hot water storage model:
式中:Ch为水的比热容;Th与TC,h分别表示储水温度和进入储水罐代替消耗热水的冷水温度;Vh与分别表示储水总量和替换消耗热水的冷水总量;表示供应热水所需要的能量。表示t+1时刻的室内温度;In the formula: Ch is the specific heat capacity of water; Th and TC,h represent the temperature of the storage water and the temperature of the cold water entering the water storage tank instead of consuming hot water; Vh and T C,h respectively Represents the total amount of stored water and the total amount of cold water that replaces the consumed hot water; Indicates the energy required to supply hot water. Indicates the indoor temperature at time t+1;
为保障用户舒适度,水温应满足上下限约束和水温波动约束:In order to ensure user comfort, the water temperature should meet the upper and lower limit constraints and the water temperature fluctuation constraints:
表示t时刻的水温; represents the water temperature at time t;
式中:分别为用户可接受的室内温度上限、下限,为设定的最适宜水温。where: are the upper and lower limits of indoor temperature acceptable to users, respectively. is the optimum water temperature set.
分别表示水温波动相对值的上下限; respectively represent the upper and lower limits of the relative value of the water temperature fluctuation;
3):用户电负荷需求响应建模如下:3): The model of the user's electric load demand response is as follows:
用户电负荷包括固定电负荷和可转移电负荷,可转移电负荷指用户根据电价信息和用户需求进行转移,在不影响自身舒适度的情况下调整用电策略。设时段t内可转移负荷Lte,k的表达式如式(21)-(22)所示。User electrical load includes fixed electrical load and transferable electrical load. Transferable electrical load refers to the user's transfer according to the electricity price information and user needs, and adjust the electricity consumption strategy without affecting their own comfort. Suppose the expressions of transferable load Lte,k in time period t are as shown in equations (21)-(22).
式中:表示第i个用户未经过电价IDR调节前的可转移电负荷功率;和分别为第i个用户经电价IDR调节后转入和转出的电负荷功率,M为参与响应的用户数量where: Indicates the transferable load power of the i-th user before the electricity price IDR adjustment; and are the electricity load power transferred in and out by the i-th user after adjustment by the electricity price IDR, M is the number of users participating in the response
经电价IDR调节后转入和转出的电负荷功率; Electric load power transferred in and out after adjustment by electricity price IDR;
所述步骤3中,主从博弈低碳模型包括:In step 3, the master-slave game low-carbon model includes:
1):EHO碳排放量额分配,具体如下:1): EHO carbon emission quota allocation, as follows:
采用基准线法来确定EHO的无偿碳排放配额,EH中的碳排放权分配额包括CCHP、GB和常规机组。将CCHP发电量折算成等效的发热量并进行碳配额分配:The baseline method is used to determine the free carbon emission quota of EHO, and the carbon emission quota in EH includes CCHP, GB and conventional units. Convert CCHP power generation into equivalent calorific value and allocate carbon allowances:
Ep=EGrid+EGB+ECCHP (23);Ep = EGrid + EGB + ECCHP (23);
EGrid=δePbuy (24);EGrid = δe Pbuy (24);
式中:EGrid、EGB和ECCHP分别为外部电网购电、GB和CCHP的无偿碳排放配额;Ep为总的系统碳排放分配额;为EHO从外部电网购买的电量;表示折算系数;δe、δh为单位电量、热量的碳排放分配额系数,分别取0.728t/(MWh)和0.102t/(GJ)。where EGrid , EGB and ECCHP are the power purchases from external power grids, and the free carbon emission quotas of GB and CCHP, respectively; Ep is the total system carbon emission allocation; Electricity purchased from external grids for EHO; Represents the conversion coefficient; δe and δh are the carbon emission allocation coefficients per unit of electricity and heat, which are taken as 0.728t/(MWh) and 0.102t/(GJ) respectively.
表示t时刻的GB输出热功率、表示t时刻GT的输出电功率、t时刻WHB 的输出热功率、表示t时刻AR的输出冷功率; Represents the GB output thermal power at time t, represents the output electric power of GT at time t, The output thermal power of WHB at time t, represents the output cold power of AR at time t;
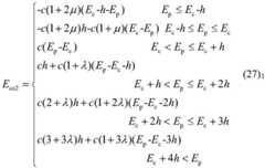
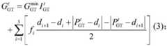
2):奖惩阶梯型碳交易成本计算模型,具体如下:2): Reward and punishment ladder type carbon trading cost calculation model, as follows:
构建的奖惩阶梯型碳交易成本模型如式(27)所示,当碳排放量小于免费的碳配额时,供能企业可以出售多余的碳排放配额并获取一部分奖励补贴,反之则需要购买不足的碳排放权。碳排放量越大的区间,对应的碳交易价格越高。The constructed reward and punishment ladder-type carbon trading cost model is shown in equation (27), when the carbon emission is less than the free carbon allowance, the energy supply enterprise can sell the excess carbon emission allowance and obtain a part of the reward subsidy; otherwise, it needs to purchase the insufficient carbon allowance. carbon emission rights. The larger the carbon emission range, the higher the corresponding carbon trading price.
式中:Eco2为EHO所承担的碳交易成本,Ec为EHO的实际碳排放总量,c为单位碳交易价格;λ、μ分别表示奖励系数和惩罚系数,h表示碳排放区间长度。其中,常规发电机组实际碳排放量为1.08t/(MWh);CCHP和GB的实际碳排放量为0.065t/GJ。Ep表示IES 总的碳排放配额;In the formula: Eco2 is the carbon transaction cost borne by EHO, Ec is the actual total carbon emission of EHO, c is the unit carbon transaction price; Among them, the actual carbon emission of conventional generator sets is 1.08t/(MWh); the actual carbon emission of CCHP and GB is 0.065t/GJ. Ep represents the total carbon emission quota of IES;
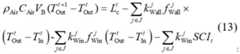
3):能源枢纽运营商模型,如下:3): The energy hub operator model, as follows:
EHO表示能源枢纽运营商,EHO根据用户用能策略调节EH内能量耦合设备出力与内部能源价格,以最大化EHO净利润为目标函数:EHO represents an energy hub operator. EHO adjusts the output of the energy coupling equipment in the EH and the internal energy price according to the user's energy consumption strategy, and maximizes the net profit of the EHO as the objective function:
maxEEHO=Esale-Ebuy-Eco2-EK (28);maxEEHO =Esale -Ebuy -Eco2 -EK (28);
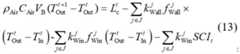
式中:i∈{e,c,h},Esale为EHO的售能收益;Ebuy为EHO的购电、气成本;Eco2和EK分别为EHO承担的碳交易成本和设备运行维护成本;λti为EHO向用用户出售第i种能源的价格,为相应的用户负荷;分别为EHO向外部电网购、售电价格,分别为相应的购、售电功率;λgas为天然气价格,分别为GT、GB所消耗的天然气功率;Ki为设备的单位运行维护费用;表示各设备输出功率。△t表示时间间隔;In the formula: i∈{e, c, h}, Esale is EHO’s energy sales revenue; Ebuy is EHO’s electricity and gas cost; Eco2 and EK are carbon transaction costs and equipment operation and maintenance borne by EHO, respectively Cost; λti is the price at which EHO sells the i-th energy to users, for the corresponding user load; are the prices of electricity purchased and sold by EHO to external power grids, respectively, are the corresponding purchasing and selling power respectively; λgas is the price of natural gas, are the natural gas power consumed by GT and GB respectively; Ki is the unit operation and maintenance cost of the equipment; Indicates the output power of each device. △t represents the time interval;
EHO在优化调度中,不仅需考虑EH内多种能源供需平衡和各能源设备的上下限约束,还需要考虑内部能源价格的约束:In the optimal scheduling of EHO, not only the supply and demand balance of various energy sources in the EH and the upper and lower limit constraints of each energy equipment need to be considered, but also the constraints of internal energy prices:
式中:λti,min与λti,max分别为EHO向用户出售第i种能源的价格上、下限值。表示t时刻的第i种能源价格。In the formula: λti,min and λti,max are the upper and lower limits of the price of the i-th energy sold by EHO to users, respectively. Represents the i-th energy price at time t.
4)用户模型如下:4) The user model is as follows:
用户的目标函数为购能成本和不舒适度成本之和。设EH内用户均能接受一定程度的不舒适度变化,故其目标函数为:The user's objective function is the sum of energy purchase cost and discomfort cost. Assuming that users in the EH can accept a certain degree of discomfort, the objective function is:
minEUser=CUser+UUser (33);minEUser = CUser + UUser (33);
式中:CUser为用户的购能成本;UUser为用户不舒适成本,其表达式分别为:In the formula: CUser is the user's energy purchase cost; UUser is the user's discomfort cost, and their expressions are:
式中:i∈{e,c,h},γi对应用户转移或削减第i种能量的不适系数,反映用户对能源的需求偏好;λti为用户t时刻消费第i种能源的价格;为用户最舒适的负荷需求;为用户执行 IDR后的实际负荷;△Lti表示用户执行IDR前后的负荷变化量。In the formula: i∈{e,c,h}, γi corresponds to the user's discomfort coefficient of transferring or reducing the i-th energy, reflecting the user's demand preference for energy; λti is the price of the i-th energy consumed by the user at time t; The most comfortable load requirement for the user; It is the actual load after the user performs IDR; ΔLti represents the load change before and after the user performs IDR.
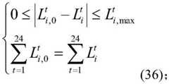
对于可转移负荷,需要满足以下约束:For transferable loads, the following constraints need to be satisfied:
式中:表示负荷可转移量的上限值,表示负荷的可转移负荷总量,表示需求响应前第i种能源的用能负荷,表示t时刻第i种能源的用能负荷,表示t时刻第i种负荷的变化量,△t代表时间间隔,T代表一天24小时;where: Indicates the upper limit of the load transferable amount, represents the total transferable load of the load, represents the energy load of the i-th energy source before demand response, represents the energy load of the ith energy at time t, Represents the variation of the i-th load at time t, Δt represents the time interval, and T represents 24 hours a day;
所述步骤4包括以下步骤:The
步骤4.1:初始化种群,令迭代次数k=0;Step 4.1: Initialize the population, let the number of iterations k=0;
步骤4.2:若k≤kmax,则输出最优结果,否则令k=k+1;Step 4.2: If k≤kmax , output the optimal result, otherwise let k=k+1;
步骤4.3:EHO将内部价格发给用户;Step 4.3: EHO sends the internal price to the user;
步骤4.4:用户调用CPLEX优化负荷;Step 4.4: The user invokes CPLEX to optimize the load;
步骤4.5:用户将优化后负荷发给EHO;Step 4.5: The user sends the optimized afterload to the EHO;
步骤4.6:EHO求解目标函数E;Step 4.6: EHO solves the objective function E;
步骤4.7:进行变异操作;Step 4.7: Perform mutation operation;
步骤4.8:进行交叉操作。产生子代计算子代E′,若E>E′,则令且k=k+1. 若不是,则令且k=k+1,回到步骤4.2。Step 4.8: Perform the crossover operation. produce offspring Calculate the offspring E', if E>E', then let And k=k+1. If not, let And k=k+1, go back to step 4.2.
本发明一种基于综合需求响应和奖惩阶梯碳交易的能源枢纽主从博弈优化调度方法,技术效果如下:The present invention is an energy hub master-slave game optimization scheduling method based on comprehensive demand response and reward and punishment ladder carbon trading, and the technical effects are as follows:
1):本发明精细化的楼宇IDR模型综合考虑了蓄热能力、室外/室内温度和太阳辐射等多种热量扰动因素,并考虑了用户因参与IDR导致的室温波动,可以更准确的描述用户在实际生活中的用能特性和可调度特性,充分发挥需求侧资源的响应灵活性。1): The refined building IDR model of the present invention comprehensively considers various heat disturbance factors such as heat storage capacity, outdoor/indoor temperature and solar radiation, and considers the room temperature fluctuation caused by the user's participation in the IDR, which can describe the user more accurately. The energy consumption characteristics and schedulable characteristics in real life give full play to the response flexibility of demand-side resources.
2):本发明在供需博弈模型中引入了奖惩阶梯型碳交易机制,分析了单位碳交易价格和不同奖励系数对EH优化调度的影响。仿真结果表明,所提模型不仅能够有效减少系统的碳排放量,还能兼顾双方主体利益,实现了EH经济性和环保性的双赢。2): The present invention introduces a reward and punishment ladder-type carbon trading mechanism into the supply and demand game model, and analyzes the impact of the unit carbon trading price and different reward coefficients on the optimal scheduling of EH. The simulation results show that the proposed model can not only effectively reduce the carbon emissions of the system, but also take into account the interests of both parties, achieving a win-win situation of EH economy and environmental protection.
附图说明Description of drawings
图1为EH结构示意图。Figure 1 is a schematic diagram of the EH structure.
图2为分段线性化GT燃耗曲线图。Figure 2 is a piecewise linearized GT fuel consumption curve.
图3为建筑热传递过程示意图。Figure 3 is a schematic diagram of the building heat transfer process.
图4为主从博弈框架图。Figure 4 is a master-slave game frame diagram.
图5为Stackelberg博弈求解流程图。Figure 5 is a flowchart of the Stackelberg game solution.
图6为负荷和新能源预测曲线图。Figure 6 is a load and new energy forecast curve.
图7(a)为建筑物内热源日前预测数据图;Figure 7(a) is a graph of the prediction data of the heat source in the building before the day;
图7(b)为室外温度与光照强度日前预测数据图。Figure 7(b) is a graph of the prediction data of outdoor temperature and light intensity.
图8(a)为住宅楼制冷方案图;Figure 8(a) is a schematic diagram of the cooling scheme of the residential building;
图8(b)为写字楼制冷方案图;Figure 8(b) is a schematic diagram of the cooling scheme of the office building;
图8(c)为公寓楼制冷方案图;Figure 8(c) is a schematic diagram of the cooling scheme of the apartment building;
图8(d)为商场制冷方案图。Figure 8(d) is a diagram of the refrigeration scheme of the shopping mall.
图9为生活热水优化方案图。Figure 9 is a diagram of an optimization scheme for domestic hot water.
图10(a)为电负荷优化结果图;Figure 10(a) is the result of electric load optimization;
图10(b)为热负荷优化结果图。Figure 10(b) shows the result of thermal load optimization.
图11(a)为电能调度设备优化结果图;Figure 11(a) is the result of optimization of power dispatching equipment;
图11(b)为热能调度设备优化结果图;Figure 11(b) shows the result of optimization of thermal energy dispatching equipment;
图11(c)为冷能调度设备优化结果图。Figure 11(c) shows the result of optimization of cold energy dispatching equipment.
图12为碳交易价格对碳排放的影响图。Figure 12 shows the impact of carbon trading prices on carbon emissions.
图13为不同奖励系数对碳交易成本的影响图。Figure 13 shows the effect of different reward coefficients on carbon trading costs.
具体实施方式Detailed ways
基于综合需求响应和奖惩阶梯碳交易的能源枢纽主从博弈优化调度方法,包括:建立考虑多种热量扰动因素的精细化综合需求响应模型,根据电、热、冷三种负荷的柔性特性和响应能力,将建筑热传递模型与生活热水储存模型集成到楼宇EH模型中。建立室温波动约束模型,以保障用户舒适度。建立奖惩阶梯型碳交易机制,限制EHO的碳排放量和发挥用户的绿色调节能力。基于Stackelberg博弈理论,构建能源枢纽运营商和用户的主从博弈模型,并在博弈模型中引入奖惩阶梯型碳交易机制,限制EHO的碳排放量和发挥用户的绿色调节能力。采用结合CPLEX工具箱的差分进化算法对所提模型进行求解。仿真结果表明,所提方法能够有效兼顾双方利益,充分发挥用户的需求响应潜力,实现EH经济、低碳运行。包括以下步骤:The master-slave game optimal scheduling method for energy hubs based on comprehensive demand response and reward and punishment ladder carbon trading, including: establishing a refined comprehensive demand response model considering various heat disturbance factors, The ability to integrate the building heat transfer model with the domestic hot water storage model into the building EH model. A room temperature fluctuation constraint model is established to ensure user comfort. Establish a reward and punishment ladder-type carbon trading mechanism to limit EHO's carbon emissions and give full play to users' green regulation capabilities. Based on the Stackelberg game theory, a master-slave game model of energy hub operators and users is constructed, and a reward and punishment ladder-type carbon trading mechanism is introduced into the game model to limit the carbon emissions of EHO and exert users' green regulation capabilities. The proposed model was solved using the differential evolution algorithm combined with the CPLEX toolbox. The simulation results show that the proposed method can effectively take into account the interests of both parties, give full play to the user's demand response potential, and achieve EH economical and low-carbon operation. Include the following steps:
步骤1:对EH结构所包含的燃气轮机、燃气锅炉、电制冷机与吸收式制冷机、蓄电池进行建模,反应输入功率与输出功率的关系;Step 1: Model the gas turbine, gas boiler, electric refrigerator, absorption refrigerator, and battery included in the EH structure, and reflect the relationship between input power and output power;
步骤2:建立综合需求响应模型,包括用户冷负荷需求建模、用户热负荷需求建模和用户电负荷需求响应。Step 2: Establish a comprehensive demand response model, including user cooling load demand modeling, user heating load demand modeling and user electric load demand response.
步骤3:建立主从博弈低碳模型,使参与该博弈互动的EHO和用户在各自运行约束条件下追求自身利益最优。Step 3: Establish a master-slave game low-carbon model, so that the EHO and users participating in the game interaction can pursue their own interests optimally under their respective operating constraints.
步骤4:通过差分进化算法和CPLEX求解器对所提博弈模型进行求解。Step 4: Solve the proposed game model through differential evolution algorithm and CPLEX solver.
步骤5:考虑实际情况进行算例分析,验证所提方案和模型的正确性。Step 5: Carry out example analysis considering the actual situation to verify the correctness of the proposed scheme and model.
1.能源枢纽结构模型描述如下:1. The energy hub structure model is described as follows:
本发明所研究的EH结构如图1所示。新能源设备为风电机组、光伏机组;供能设备包括燃气轮机、燃气锅炉;能源转换设备包括余热锅炉、电制冷机、吸收式制冷机;储能设备为蓄电池。The EH structure studied in the present invention is shown in FIG. 1 . The new energy equipment includes wind turbines and photovoltaic units; the energy supply equipment includes gas turbines and gas boilers; the energy conversion equipment includes waste heat boilers, electric refrigerators, and absorption refrigerators; and the energy storage equipment is batteries.
1)燃气轮机模型描述如下:1) The gas turbine model is described as follows:
GT输出的电功率与所消耗的气功率关系如下所示:Electric power output by GT with the gas power consumed The relationship looks like this:
式中:为GT的启停状态标记位;a、b为燃耗系数,c为GT启停成本系数。where: is the start-stop status flag bit of the GT; a and b are the fuel consumption coefficients, and c is the GT start-stop cost coefficient.
为了精确反映GT的实际运行工况,便于快速计算,本发明对式(1)进行三分段线性化处理,如图2所示。分段后的3段斜率分别为:In order to accurately reflect the actual operating conditions of the GT and facilitate rapid calculation, the present invention performs three-piece linearization processing on formula (1), as shown in FIG. 2 . The three segment slopes after segmentation are:
式中:、、、表示分段后的GT电功率曲线参数,、为GT输出电功率的上、下限,故式(1)可以改写为:In the formula: , , , represent the segmented GT electric power curve parameters, , are the upper and lower limits of the GT output electric power, so formula (1) can be rewritten as:
GT运行时,排出的高温烟气通过WHB产热,其制热特性模型为:When GT is running, the exhausted high-temperature flue gas generates heat through WHB, and its heating characteristic model is:
式中:和分别表示GT和WHB输出的热功率;λGT和λWHB分别表示燃气轮机输出的电热功率比和热回收效率。where: and Represent the thermal power output by GT and WHB, respectively; λGT and λWHB represent the electric-to-heat power ratio and heat recovery efficiency output by the gas turbine, respectively.
2)燃气锅炉模型描述如下:2) The gas boiler model is described as follows:
GB通过燃烧天然气产热,其输出热功率HtGB与输入的气功率GtGB的关系为:GB produces heat by burning natural gas, and the relationship between its output heat power HtGB and input gas power GtGB is:
式中:ηGB为GB的产热效率。In the formula: ηGB is the heat production efficiency of GB.
3)电制冷机与吸收式制冷机模型描述如下:3) The electric refrigerator and absorption refrigerator models are described as follows:
AC、AR的输出冷功率QtAC、QtAR分别如下:The output cold powers QtAC and QtAR of AC and AR are as follows:
式中:ηAR、ηAC表示AR、AC制冷效率;PtAC和HtAR分别表示AC的输入电功率和AR的输入热功率。In the formula: ηAR and ηAC represent the cooling efficiency of AR and AC; PtAC and HtAR represent the input electrical power of AC and the input thermal power of AR, respectively.
4)蓄电池模型描述如下:4) The battery model is described as follows:
BT充放电前后的储能容量需满足以下约束:The energy storage capacity before and after BT charging and discharging needs to meet the following constraints:
式中:SOCtx为BT的容量状态;hBT.chr、hBT.dis分别为BT的充、放电效率。此外,BT还需满足充放电频率约束和互斥约束:In the formula: SOCtx is the capacity state of BT; hBT.chr and hBT.dis are the charge and discharge efficiencies of BT, respectively. In addition, BT also needs to meet the charge and discharge frequency constraints and mutual exclusion constraints:
2.综合需求响应模型描述如下:2. The integrated demand response model is described as follows:
通过对用户负荷需求精细化建模,在温度舒适度和室温波动范围内调节用能策略,能有效提高EH运行经济性和环保性。Through the refined modeling of user load demand, the energy consumption strategy can be adjusted within the range of temperature comfort and room temperature fluctuation, which can effectively improve the economical and environmental protection of EH operation.
1)用户冷负荷需求建模描述如下:1) The modeling of user cooling load demand is described as follows:
假设楼宇制冷设备在使用时间内连续运行,根据能量守恒定理,t时段内室内热量变化量ΔLc等于制冷量Ltc与建筑吸热量LB之差,由此可得楼宇热平衡方程:Assuming that the building cooling equipment operates continuously during the usage time, according to the energy conservation principle, the indoor heat change ΔLc in the t period is equal to the difference between the cooling capacity Ltc and the building heat absorption LB , and the building heat balance equation can be obtained:
式中:ρAir为空气密度;CAir为空气比热容;为室内温度变化率;VB为建筑体积。In the formula: ρAir is the air density; CAir is the air specific heat capacity; is the indoor temperature change rate;VB is the building volume.
图3为建筑热传递过程。影响建筑吸热的主要因素有:建筑外墙、外窗传递的热量LWall、 LWin,建筑因吸收室内照明、人体散热等热量产生的室内热源LIn以及太阳辐射所产生的热量LS,因此LB可表示为:Figure 3 shows the building heat transfer process. The main factors affecting the heat absorption of the building are: the heat LWall and LWin transmitted by the building exterior walls and external windows, the indoor heat source LIn generated by the building due to the absorption of heat such as indoor lighting and human body heat dissipation, and the heat generated by solar radiation LS , SoLB can be expressed as:
式中:j表示建筑朝向;kWall、kWin分别为建筑外墙、外窗与室外的传热系数;fWall、fWin 分别为建筑外墙、外窗面积;TIn、TOut分别为室内外温度;I为太阳辐射功率;S、C分别为外窗遮阳系数、得热因子;In the formula: j represents the building orientation; kWall and kWin are the heat transfer coefficients of the building exterior wall, exterior window and outdoor, respectively; fWall and fWin are the area of the building exterior wall and exterior window, respectively; TIn and TOut are the indoor and outdoor temperatures, respectively; I is the Solar radiation power; S and C are the shading coefficient and heat gain factor of the exterior window, respectively;
联合式(11)和式(12),并通过差分化处理,可以得到离散化的楼宇热平衡方程:Combining equations (11) and (12), and through differential processing, the discretized building heat balance equation can be obtained:
由式(11)可得到室内温度与制冷功率之间的关系,为保障用户舒适度,室温应满足上下限和室温波动约束:The relationship between indoor temperature and cooling power can be obtained from formula (11). In order to ensure user comfort, the room temperature should meet the upper and lower limits and the room temperature fluctuation constraints:
式中:分别为用户可接受的室内温度上限、下限,为设定的最适宜室温。 2)用户热负荷需求建模描述如下:where: are the upper and lower limits of indoor temperature acceptable to users, respectively. The optimum room temperature is set. 2) The user heat load demand modeling is described as follows:
通过热水储存模型描述供水温度与热负荷之间的关系:The relationship between water supply temperature and heat load is described by a hot water storage model:
式中:Ch为水的比热容;Th与TtC,h分别表示储水温度和进入储水罐代替消耗热水的冷水温度;Vh与VtC,h分别表示储水总量和替换消耗热水的冷水总量;Lth表示供应热水所需要的能量。In the formula: Ch is the specific heat capacity of water; Th and TtC,h represent the temperature of the storage water and the temperature of the cold water that enters the water storage tank instead of consuming hot water; Vh and VtC,h represent the total amount of water stored, respectively and the total amount of cold water that replaces the consumption of hot water; Lth represents the energy required to supply hot water.
为保障用户舒适度,水温应满足上下限约束和水温波动约束:In order to ensure user comfort, the water temperature should meet the upper and lower limit constraints and the water temperature fluctuation constraints:
式中:分别为用户可接受的室内温度上限、下限,为设定的最适宜水温。 3)用户电负荷需求建模描述如下:where: are the upper and lower limits of indoor temperature acceptable to users, respectively. is the optimum water temperature set. 3) The modeling description of the user's electric load demand is as follows:
用户电负荷包括固定电负荷和可转移电负荷,可转移电负荷指用户根据电价信息和用户需求进行转移,在不影响自身舒适度的情况下调整用电策略。设时段t内可转移负荷Lte,k的表达式如式(21)-(22)所示。User electrical load includes fixed electrical load and transferable electrical load. Transferable electrical load refers to the user's transfer according to the electricity price information and user needs, and adjust the electricity consumption strategy without affecting their own comfort. Assume that the expressions of transferable load Lte,k in time period t are as shown in equations (21)-(22).
式中:表示第i个用户未经过电价IDR调节前的可转移电负荷功率;和分别为第i个用户经电价IDR调节后转入和转出的电负荷功率,M为参与响应的用户数量。where: Indicates the transferable load power of the i-th user before the electricity price IDR adjustment; and are the electricity load power transferred in and out by the i-th user after adjustment by the electricity price IDR, and M is the number of users participating in the response.
3.建立主从博弈低碳模型:3. Establish a master-slave game low-carbon model:
本发明的主从博弈框架如图4所示。参与该博弈互动的市场主体为EHO和用户,双方分别在各自运行约束条件下,追求自身利益最优。The master-slave game framework of the present invention is shown in FIG. 4 . The market entities participating in the game interaction are EHO and users, and both parties pursue their own best interests under their respective operating constraints.
1):EHO碳排放量额分配描述如下:1): The allocation of EHO carbon emissions is described as follows:
本发明采用基准线法来确定EHO的无偿碳排放配额,认为EH中的碳排放权分配额主要包括CCHP、GB和常规机组。将CCHP发电量折算成等效的发热量并进行碳配额分配:The present invention adopts the baseline method to determine the gratuitous carbon emission quota of EHO, and considers that the distribution of carbon emission rights in EH mainly includes CCHP, GB and conventional units. Convert CCHP power generation into equivalent calorific value and allocate carbon allowances:
Ep=EGrid+EGB+ECCHP (23);Ep = EGrid + EGB + ECCHP (23);
EGrid=δePbuy (24);EGrid = δe Pbuy (24);
式中:EGrid、EGB和ECCHP分别为外部电网购电、GB和CCHP的无偿碳排放配额;Ep为总的系统碳排放分配额;为EHO从外部电网购买的电量;表示折算系数;δe、δh为单位电量、热量的碳排放分配额系数,分别取0.728t/(MWh)和0.102t/(GJ)。where EGrid , EGB and ECCHP are the power purchases from external power grids, and the free carbon emission quotas of GB and CCHP, respectively; Ep is the total system carbon emission allocation; Electricity purchased from external grids for EHO; Represents the conversion coefficient; δe and δh are the carbon emission allocation coefficients per unit of electricity and heat, which are taken as 0.728t/(MWh) and 0.102t/(GJ) respectively.
2):奖惩阶梯型碳交易成本计算模型描述如下:2): The reward and punishment ladder type carbon trading cost calculation model is described as follows:
本发明构建的奖惩阶梯型碳交易成本模型如式(27)所示,当碳排放量小于免费的碳配额时,供能企业可以出售多余的碳排放配额并获取一部分奖励补贴,反之则需要购买不足的碳排放权。碳排放量越大的区间,对应的碳交易价格越高。The reward and punishment ladder type carbon trading cost model constructed by the present invention is shown in formula (27). When the carbon emission is less than the free carbon allowance, the energy supply enterprise can sell the excess carbon emission allowance and obtain a part of the reward subsidy, otherwise, it needs to purchase Insufficient carbon emission rights. The larger the carbon emission range, the higher the corresponding carbon trading price.
式中:Eco2为EHO所承担的碳交易成本,Ec为EHO的实际碳排放总量,c为单位碳交易价格;λ、μ分别表示奖励系数和惩罚系数,h表示碳排放区间长度。其中常规发电机组实际碳排放量为1.08t/(MWh);CCHP和GB的实际碳排放量为0.065t/GJ。In the formula: Eco2 is the carbon transaction cost borne by EHO, Ec is the actual total carbon emission of EHO, c is the unit carbon transaction price; Among them, the actual carbon emission of conventional generator sets is 1.08t/(MWh); the actual carbon emission of CCHP and GB is 0.065t/GJ.
3):能源枢纽运营商模型描述如下:3): The energy hub operator model is described as follows:
EHO根据用户用能策略调节EH内能量耦合设备出力与内部能源价格,以最大化EHO净利润为目标函数:EHO adjusts the output of energy coupling equipment and the price of internal energy in the EH according to the user's energy consumption strategy, and maximizes the net profit of EHO as the objective function:
maxEEHO=Esale-Ebuy-Eco2-EK (28);maxEEHO =Esale -Ebuy -Eco2 -EK (28);
式中:i∈{e,c,h},Esale为EHO的售能收益;Ebuy为EHO的购电、气成本;Eco2和EK分别为EHO承担的碳交易成本和设备运行维护成本;λti为EHO向用用户出售第i种能源的价格,为相应的用户负荷;λtbGrid/λtsGrid为EHO向外部电网购/售电价格,Ptb/Grid/PtsGrid为相应的购/售电功率;λgas为天然气价格,为GT/GB所消耗的天然气功率;Ki为设备的单位运行维护费用;表示各设备输出功率。In the formula: i∈{e, c, h}, Esale is EHO’s energy sales revenue; Ebuy is EHO’s electricity and gas cost; Eco2 and EK are carbon transaction costs and equipment operation and maintenance borne by EHO, respectively Cost; λti is the price at which EHO sells the i-th energy to users, is the corresponding user load; λtbGrid /λtsGrid is the electricity purchase/selling price of the EHO to the external power grid, Ptb/Grid /PtsGrid is the corresponding electricity purchasing/selling power; λgas is the price of natural gas, is the natural gas power consumed by GT/GB; Ki is the unit operation and maintenance cost of the equipment; Indicates the output power of each device.
EHO在优化调度中不仅需考虑EH内多种能源供需平衡和各能源设备的上下限约束,还需要考虑内部能源价格的约束:EHO not only needs to consider the supply and demand balance of multiple energy sources in the EH and the upper and lower limit constraints of each energy equipment in the optimal scheduling, but also needs to consider the constraints of internal energy prices:
式中:λti,min与λti,max分别为EHO向用户出售第i种能源的价格上下限值。In the formula: λti,min and λti,max are the upper and lower limits of the price of the i-th energy sold by EHO to users, respectively.
4):用户模型描述如下:4): The user model is described as follows:
用户的目标函数为购能成本和不舒适度成本之和。假设EH内用户均能接受一定程度的不舒适度变化,故其目标函数为:The user's objective function is the sum of energy purchase cost and discomfort cost. Assuming that users in the EH can accept a certain degree of discomfort, the objective function is:
minEUser=CUser+UUser (33);minEUser = CUser + UUser (33);
式中:CUser为用户的购能成本;UUser为用户不舒适成本,其表达式分别为:In the formula: CUser is the user's energy purchase cost; UUser is the user's discomfort cost, and its expressions are:
式中:i∈{e,c,h},γi对应用户转移或削减第i种能量的不适系数,反映用户对能源的需求偏好;λti为用户t时刻消费第i种能源的价格;为用户最舒适的负荷需求;为用户执行IDR后的实际负荷;△Lti表示用户执行IDR前后的负荷变化量。In the formula: i∈{e,c,h}, γi corresponds to the user's discomfort coefficient of transferring or reducing the i-th energy, reflecting the user's demand preference for energy; λti is the price of the i-th energy consumed by the user at time t; The most comfortable load requirement for the user; It is the actual load after the user performs IDR; ΔLti represents the load change before and after the user performs IDR.
对于可转移负荷,需要满足以下约束:For transferable loads, the following constraints need to be satisfied:
式中:表示负荷可转移量的上限值,Wti,表示负荷的可转移负荷总量。where: Indicates the upper limit of the transferable amount of load, Wti , represents the total amount of transferable load of the load.
4、采用差分进化算法结合cplex软件,对所提模型进行求解,其求解流程如图5所示,步骤如下所述:4. The differential evolution algorithm combined with cplex software is used to solve the proposed model. The solution process is shown in Figure 5. The steps are as follows:
步骤4.1:初始化种群,令迭代次数k=0;Step 4.1: Initialize the population, let the number of iterations k=0;
步骤4.2:若k≤kmax,则输出最优结果,否则令k=k+1;Step 4.2: If k≤kmax , output the optimal result, otherwise let k=k+1;
步骤4.3:EHO将内部价格发给用户;Step 4.3: EHO sends the internal price to the user;
步骤4.4:用户调用CPLEX优化负荷;Step 4.4: The user invokes CPLEX to optimize the load;
步骤4.5:用户将优化后负荷发给EHO;Step 4.5: The user sends the optimized afterload to the EHO;
步骤4.6:EHO求解目标函数E;Step 4.6: EHO solves the objective function E;
步骤4.7:进行变异操作;Step 4.7: Perform mutation operation;
步骤4.8:进行交叉操作。产生子代计算子代E′,若E>E′,则令且k=k+1. 若不是,则令且k=k+1,回到步骤4.2。Step 4.8: Perform the crossover operation. produce offspring Calculate the offspring E', if E>E', then let And k=k+1. If not, let And k=k+1, go back to step 4.2.
上述步骤中,E为目标函数,k为迭代次数,λti为EHO向用户出售第i种能源的价格。In the above steps, E is the objective function, k is the number of iterations, and λti is the price that EHO sells the i-th energy to users.
5、算例分析与验证:5. Example analysis and verification:
1)基础数据如下:1) The basic data are as follows:
以某商业楼宇EH为例进行算例仿真分析。用户典型日预测负荷和新能源预测出力如图6所示,建筑相关参数如表1所示;EH内设备与相关约束参数如表2所示;EHO向电网的购、售电价如表3所示。天然气价格为3.24元/m3;EHO的售冷、售热价格上下限为 [0.15,0.4]元;建筑物内热源、室外温度与太阳辐射曲线如图7(a)、图7(b)所示;用户最佳室温设定为22.5℃,最佳水温设定为70℃,用户对电、热/冷能的不适系数γe、γc/h分别为0.008、0.016;碳交易价格为0.268元/kg,μ为0.2。Taking a commercial building EH as an example, the simulation analysis is carried out. The typical daily predicted load of users and the predicted output of new energy are shown in Figure 6, and the building-related parameters are shown in Table 1; the equipment and related constraint parameters in the EH are shown in Table 2; Show. The price of natural gas is 3.24 yuan/m3; the upper and lower limits of the cooling and heating prices of EHO are [0.15, 0.4] yuan; the heat source, outdoor temperature and solar radiation curves in the building are shown in Figure 7(a) and Figure 7(b). The user's optimal room temperature is set to 22.5°C, the best water temperature is set to 70°C, and the user's discomfort coefficients γe and γc/h to electricity, heat/cold energy are 0.008 and 0.016, respectively; the carbon trading price is 0.268 yuan /kg, μ is 0.2.
本发明所研究的4栋商业建筑制冷开放时间如下。建筑A:住宅楼,制冷时间为00:00-09:00和18:00-23:00;建筑B:写字楼,制冷时间为08:00-20:00;建筑C:公寓,制冷时间为全天;建筑D:商场,制冷时间为10:00-22:00。The refrigeration opening times of the four commercial buildings studied in the present invention are as follows. Building A: Residential building, cooling time is 00:00-09:00 and 18:00-23:00; Building B: Office building, cooling time is 08:00-20:00; Building C: Apartment, cooling time is full Day; Building D: shopping mall, cooling time is 10:00-22:00.
表1建筑参数Table 1 Building parameters
Table 1Parameters of the buildingsTable 1Parameters of the buildings
表2能量枢纽参数Table 2 Energy Hub Parameters
Table 2Parameters of the EHTable 2Parameters of the EH
表3购售电价Table 3 Purchase and sale price of electricity
Table 3Prices for the purchase and sale of electricityTable 3Prices for the purchase and sale of electricity
2)不同方案对比分析:2) Comparative analysis of different schemes:
本发明设置四种方案与发明方案进行对比分析:The present invention sets four schemes for comparative analysis with the inventive scheme:
方案一:在碳交易模式下,不考虑IDR模型和碳交易成本的供需博弈模型;Option 1: In the carbon trading model, the IDR model and the supply and demand game model of carbon trading costs are not considered;
方案二:在碳交易模式下,考虑简单化IDR模型、不考虑碳交易成本的供需博弈模型;Option 2: In the carbon trading model, consider a simplified IDR model and a supply-demand game model that does not consider carbon trading costs;
方案三:考虑简单化IDR模型和传统碳交易成本的供需博弈模型;Option 3: Consider a simplified IDR model and a supply-demand game model with traditional carbon transaction costs;
方案四:考虑精细化IDR模型和传统碳交易成本。Option 4: Consider refined IDR models and traditional carbon trading costs.
五种方案下对比结果如表4所示。The comparison results under the five schemes are shown in Table 4.
对比方案1与方案2,方案2中用户用能成本和系统碳排放量分别下降了3.81%和4.76%,这是因为考虑IDR策略后用户能够根据价格信号合理调整负荷需求,有效平缓了用户负荷峰谷差,降低了用能成本以及因外购电力而产生的碳排放量。但由于用户转移和削减了部分负荷,使EHO的净利润下降了2.84%。Comparing
对比方案2和方案3,方案3中用户用能成本和系统碳排放量分别下降1.40%和5.98%, EHO净利润上升3.43%%。由此可知在优化模型中考虑碳交易机制之后,EHO能够合理调整设备出力,减少因外购电力产生的碳排放量,并且由于系统的碳排放总量低于免费分配的碳配额,故可以在碳交易市场中获得碳收益。此外,用户也能因EHO的调整从中获利。Comparing
对比方案3和方案4,方案4中用户用能成本和系统碳排放量分别下降了1.59%和1.79%。这是因为采用精细化IDR模型时,考虑了温度舒适度和室温波动等因素,能反映实际情况下用户的用能情况,使用户更积极的参与到IDR的响应当中,保证了用户的用能舒适度。Comparing scheme 3 and
对比方案4和本发明策略,本发明策略中用户用能成本和系统碳排放量分别下降了 0.88%和2.32%,EHO净利润上升了2.01%。这是因为引入了阶梯型碳交易成本和奖励系数后,EHO不仅能出售多余的碳配额获得碳收益,还能得到一定的奖励收益,故进一步激励EHO增加各设备出力,减少外购电量,从而有效降低系统碳排放总量。Comparing
表4不同方案下的对比结果Table 4 Comparison results under different schemes
Table 4 Comparison results under different schemesTable 4 Comparison results under different schemes
3)调度结果分析:3) Analysis of scheduling results:
首先分析柔性冷负荷对EH的影响。假设不引入柔性冷负荷时,建筑在其各自的开放时间内温度保持恒定22.5℃,非开放时间无要求,此时的冷负荷将其作为原始制冷负荷;引入柔性冷负荷时,建筑物内温度可在其开放时间内波动,此时的冷负荷将其作为实际制冷负荷。由图8(a)~图8(d)所示的建筑制冷结果可以看出,制冷负荷将在其建筑开放的第一个时间段内迅速增长,以满足其屋内室温需求,在随后的时段其制冷负荷基本随外界温度与太阳辐射的变化而变化,以维持室内温度。Firstly, the influence of flexible cooling load on EH is analyzed. Assuming that when the flexible cooling load is not introduced, the temperature of the building remains constant at 22.5°C during its respective opening hours, and there is no requirement for non-opening time, and the cooling load at this time will be regarded as the original cooling load; when the flexible cooling load is introduced, the temperature inside the building It can fluctuate during its opening time, and the cooling load at this time takes it as the actual cooling load. It can be seen from the building cooling results shown in Figures 8(a)-8(d) that the cooling load will increase rapidly in the first period of time when the building is open to meet the room temperature demand in the house, and in the subsequent period of time, the cooling load will increase rapidly. Its cooling load basically changes with the change of the outside temperature and solar radiation to maintain the indoor temperature.
此外,引入柔性冷负荷后,其建筑制冷量与电价相关。对于住宅楼,00:00~7:00冷价较低时实际制冷负荷也较大,即将峰值冷负荷转移至谷值冷负荷。这样不仅可以保障用户舒适度,也能提前蓄热以降低峰值冷价时的负荷需求;由于写字楼与商场开放时间均处于能源价格、室外温度较高的08:00~20:00,因此通过适当调高室内温度,可降低冷负荷需求和用能成本;全天开放的公寓也可通过削减或转移部分冷负荷以提升系统经济性。In addition, after the introduction of flexible cooling load, its building cooling capacity is related to electricity price. For residential buildings, the actual cooling load is also larger when the cooling price is lower from 00:00 to 7:00, that is, the peak cooling load is transferred to the valley cooling load. This can not only ensure the comfort of users, but also store heat in advance to reduce the load demand during peak cooling prices; since the opening hours of office buildings and shopping malls are at 08:00-20:00 when energy prices are high and the outdoor temperature is relatively high, appropriate Increasing the indoor temperature can reduce cooling load demand and energy costs; apartments that are open all day can also improve system economics by reducing or shifting some of the cooling load.
图9为日前生活热水调度结果,与建筑制冷结果相似,系统可通过降低水温、转移和削减部分热负荷的方式降低用能成本,如06:00~10:00和17:00~20:00时段,用户为了降低费用,热负荷有所转移和削减,而15:00~16:00时段,对储水罐内热水进行额外加热,以满足未来热价较高的时间段内的热水需求。Figure 9 shows the results of daily domestic hot water scheduling. Similar to the building cooling results, the system can reduce energy costs by reducing water temperature, transferring and reducing part of the heat load, such as 06:00-10:00 and 17:00-20:00. During the period of 00, in order to reduce the cost, the user transfers and reduces the heat load, and during the period from 15:00 to 16:00, the hot water in the water storage tank is additionally heated to meet the heat in the time period when the heat price is higher in the future. water demand.
图10(a)、图10(b)为博弈均衡优化后EHO制定的内部能源价格与用户用能策略结果图。由图10(a)可知,EHO制定的售能价格在外部电网分时电价之内,且其电价波动趋势与分时电价一致,目的是为用户提供相比电网更优惠的售能价格,促进用户进行负荷转移与削减。如在08:00~12:00,16:00~22:00电价较高时,用户将这些时间段的电负荷转移到电价较低的00:00~7:00,23:00~24:00时段,降低自身的购能成本。Figure 10(a) and Figure 10(b) are the results of internal energy price and user energy consumption strategy formulated by EHO after game equilibrium optimization. It can be seen from Figure 10(a) that the energy sales price set by the EHO is within the time-of-use price of the external power grid, and its price fluctuation trend is consistent with the time-of-use price. Users perform load shifting and shedding. For example, when the electricity price is higher from 08:00 to 12:00 and 16:00 to 22:00, the user will transfer the electricity load during these time periods to 00:00 to 7:00 and 23:00 to 24:00, where the electricity price is lower. 00 period, reducing its own energy purchase cost.
同样,热负荷和冷负荷的优化结果如图10(b)所示,为了简化模型,本发明售热价格和售冷价格采用相同变量进行优化,因此相应的价格变化趋势与冷、热负荷总量的变化趋势相似,与图10(a)分析类似,热负荷和冷负荷的优化结果如图10(b)所示。为了简化模型,本发明售热价格和售冷价格采用相同变量进行优化,因此相应的价格变化趋势与冷、热负荷总量的变化趋势相似。由10(b)可知,在12:00-15:00和17:00-20:00时段的冷、热负荷较高,此时售热/冷价格较高,因此均出现了不同程度的削减,并转移至 10:00-11:00和21:00-24:00等时段。呈现出良好的削峰填谷的优势。Similarly, the optimization results of heating load and cooling load are shown in Fig. 10(b). In order to simplify the model, the heating price and cooling price of the present invention are optimized using the same variables, so the corresponding price change trend is related to the total cooling and heating load. The change trend of the quantity is similar, similar to the analysis in Fig. 10(a), and the optimization results of the heating load and cooling load are shown in Fig. 10(b). In order to simplify the model, the heat selling price and the cooling selling price of the present invention are optimized by using the same variable, so the corresponding price change trend is similar to the change trend of the total cooling and heating loads. From 10(b), it can be seen that the cooling and heating loads are higher in the periods of 12:00-15:00 and 17:00-20:00, and the heating/cooling prices are higher at this time, so there are different degrees of reduction. , and transfer to time periods such as 10:00-11:00 and 21:00-24:00. It has the advantage of good peak shaving and valley filling.
本发明Stackelberg博弈优化后设备调度结果如图11(a)~图11(c)所示。考虑环保性,EHO优先消纳可再生能源PV和WT。首先,对于00:00-6:00时段,电价处于谷段,此时GT停止启动,EHO主要通过WT发电以及外购电力满足用户电负荷;热负荷通过GB产热满足;冷负荷通过AC制冷满足。对于07:00~12:00时段,PV开始出力,此时电负荷主要通过GT、PV和WT提供,EHO为了获利,GT出力较多,富裕的电量可以提供给AC或出售给外部电网;热负荷通过WHB和GB满足,富裕的热量通过AR制冷并联合AC满足冷负荷需求。在13:00-18:00电价平时段,由于此时热、冷负荷较高,故为了利用发电余热来满足热负荷,GT出力较高,富裕的电负荷通过BT储存,以应对下一段电负荷高峰期。在19:00-22:00电价峰值时段,此时工作情况与08:00~12:00时段相似,但由于缺少PV发电,不足的电量需要通过外购电力和BT补充。23:00-24:00电价平时段,此时各类负荷逐渐下降,GT发电量也逐步下降,WHB基本满足热负荷需求,然后将富裕热量提供给AR制冷。Figures 11(a) to 11(c) show the equipment scheduling results after the Stackelberg game optimization of the present invention. Considering environmental protection, EHO prioritizes the consumption of renewable energy PV and WT. First of all, for the period of 00:00-6:00, the electricity price is in the valley, at this time GT stops starting, EHO mainly uses WT power generation and purchased power to meet the user's electricity load; heat load is satisfied by GB heat generation; cooling load is satisfied by AC cooling Satisfy. For the period from 07:00 to 12:00, PV starts to output power. At this time, the electricity load is mainly provided by GT, PV and WT. In order to make profits, EHO has more output from GT, and the rich electricity can be supplied to AC or sold to external power grids; The heat load is met by WHB and GB, and the surplus heat is cooled by AR and combined with AC to meet the cooling load demand. During the normal electricity price period from 13:00 to 18:00, due to the high heating and cooling loads at this time, in order to use the waste heat of power generation to meet the thermal load, the GT output is relatively high, and the rich electricity load is stored through BT to cope with the next stage of electricity. load peak period. During the peak period of electricity price from 19:00 to 22:00, the working conditions are similar to those in the period from 08:00 to 12:00, but due to the lack of PV power generation, the insufficient electricity needs to be supplemented by purchased electricity and BT. From 23:00 to 24:00, during the normal electricity price period, all kinds of loads gradually decrease, and the power generation of GT gradually decreases. WHB basically meets the heat load demand, and then provides the surplus heat to AR for cooling.
图12为场景4和本发明场景下碳交易价格变化对系统碳排放量的影响。由图12可见,随着单位碳交易价格的增加,碳交易成本在总成本的比重上升,则会使系统加强对碳排放量的约束,使碳排放量逐渐减少。此外,本发明策略下的碳排放量低于场景4,原因是奖惩阶梯碳交易机制比传统碳交易机制更具有减排优势,能更好的限制系统碳排放量。Figure 12 shows the impact of carbon trading price changes on system carbon emissions under
交易价格的变化情况。由图13可知,当系统碳交易成本大于0时,即EHO需要承担碳交易费用时,奖励系数对碳交易成本没有影响。相反,当EHO开始获得碳交易收益时,奖励系数越大,碳交易收益越多,即系统碳排放量下降的越显著,其原因是EHO获得的碳交易收益增加,使碳排放量较低的CCHP机组和GB出力增加,进一步减少了外购电量。此外,当单位碳交易价格增加到450元/t左右时,碳交易成本下降趋势变缓慢,说明CCHP 机组基本已经达到恒定值,若继续增加单位碳交易价格,系统碳排放量将不再明显下降。本发明基于Stackelberg博弈理论,提出了考虑精细化IDR模型和奖惩阶梯型碳交易机制的 EH主从博弈优化策略。细化的楼宇IDR模型综合考虑了蓄热能力、室外/室内温度和太阳辐射等多种热量扰动因素,并考虑了用户因参与IDR导致的室温波动,可以更准确的描述用户在实际生活中的用能特性和可调度特性,充分发挥需求侧资源的响应灵活性。在供需博弈模型中引入了奖惩阶梯型碳交易机制,分析了单位碳交易价格和不同奖励系数对EH 优化调度的影响。结果表明,所提模型不仅能够有效减少系统的碳排放量,还能兼顾双方主体利益,实现了EH经济性和环保性的双赢。Changes in transaction prices. It can be seen from Figure 13 that when the system carbon transaction cost is greater than 0, that is, when the EHO needs to bear the carbon transaction fee, the reward coefficient has no effect on the carbon transaction cost. On the contrary, when EHO starts to obtain carbon trading benefits, the larger the reward coefficient, the more carbon trading benefits, that is, the more significant the reduction in system carbon emissions. The output of CCHP units and GB increased, further reducing the purchased electricity. In addition, when the unit carbon trading price increases to about 450 yuan/t, the downward trend of carbon trading cost becomes slow, indicating that the CCHP unit has basically reached a constant value. If the unit carbon trading price continues to increase, the system carbon emissions will no longer decrease significantly. . Based on the Stackelberg game theory, the invention proposes an EH master-slave game optimization strategy considering a refined IDR model and a reward and punishment ladder-type carbon trading mechanism. The refined building IDR model comprehensively considers various heat disturbance factors such as heat storage capacity, outdoor/indoor temperature, and solar radiation, and considers the room temperature fluctuation caused by the user's participation in the IDR, which can more accurately describe the user's actual life. The energy consumption and schedulable characteristics give full play to the response flexibility of demand-side resources. The reward and punishment ladder-type carbon trading mechanism is introduced into the supply and demand game model, and the impact of the unit carbon trading price and different reward coefficients on the optimal scheduling of EH is analyzed. The results show that the proposed model can not only effectively reduce the carbon emissions of the system, but also take into account the interests of both parties, achieving a win-win situation of EH economy and environmental protection.
| Application Number | Priority Date | Filing Date | Title |
|---|---|---|---|
| CN202210212801.9ACN114676886B (en) | 2022-03-04 | 2022-03-04 | Master-slave game optimization scheduling method for energy hubs based on comprehensive demand response and reward-penalty ladder carbon trading |
| Application Number | Priority Date | Filing Date | Title |
|---|---|---|---|
| CN202210212801.9ACN114676886B (en) | 2022-03-04 | 2022-03-04 | Master-slave game optimization scheduling method for energy hubs based on comprehensive demand response and reward-penalty ladder carbon trading |
| Publication Number | Publication Date |
|---|---|
| CN114676886Atrue CN114676886A (en) | 2022-06-28 |
| CN114676886B CN114676886B (en) | 2024-12-03 |
| Application Number | Title | Priority Date | Filing Date |
|---|---|---|---|
| CN202210212801.9AActiveCN114676886B (en) | 2022-03-04 | 2022-03-04 | Master-slave game optimization scheduling method for energy hubs based on comprehensive demand response and reward-penalty ladder carbon trading |
| Country | Link |
|---|---|
| CN (1) | CN114676886B (en) |
| Publication number | Priority date | Publication date | Assignee | Title |
|---|---|---|---|---|
| CN115115114A (en)* | 2022-06-29 | 2022-09-27 | 国网辽宁省电力有限公司经济技术研究院 | An optimal scheduling method for integrated energy systems considering carbon trading |
| CN115115266A (en)* | 2022-07-21 | 2022-09-27 | 国网河北省电力有限公司电力科学研究院 | Capacity optimization configuration method, configuration terminal and storage medium of comprehensive energy system |
| CN115471100A (en)* | 2022-09-24 | 2022-12-13 | 河南工业大学 | Optimized scheduling method for guiding electric automobile to be charged orderly |
| CN115526684A (en)* | 2022-09-21 | 2022-12-27 | 三峡大学 | Multi-agent low-carbon economic operation method for integrated energy system based on double-layer master-slave game |
| CN115563816A (en)* | 2022-11-30 | 2023-01-03 | 国网天津市电力公司城西供电分公司 | Low-carbon photovoltaic and wind power grid connection and energy storage optimization method and device |
| CN115640954A (en)* | 2022-09-16 | 2023-01-24 | 南昌大学 | An operation method of carbon capture equipment based on stepped carbon penalty response |
| CN116307128A (en)* | 2023-02-23 | 2023-06-23 | 广东电网有限责任公司 | Power grid optimal dispatching method and system considering multiple adjustable loads and carbon trading |
| CN116341836A (en)* | 2023-02-22 | 2023-06-27 | 国网山东省电力公司德州供电公司 | A multi-energy market operation method and system for an integrated energy system in a park |
| CN116957139A (en)* | 2023-06-28 | 2023-10-27 | 湖南大学 | Multi-comprehensive-energy microgrid optimal operation method and system considering carbon transaction among microgrids |
| CN117131982A (en)* | 2023-08-21 | 2023-11-28 | 四川大学 | User-side energy optimization method to ensure reliable load supply under extreme high temperature events |
| CN120183105A (en)* | 2025-05-20 | 2025-06-20 | 国网浙江省电力有限公司衢州供电公司 | A defense-in-depth protection method for charging stations |
| Publication number | Priority date | Publication date | Assignee | Title |
|---|---|---|---|---|
| CN112084705A (en)* | 2020-08-25 | 2020-12-15 | 华北电力大学 | Grid-connected coordination planning method and system for comprehensive energy system |
| Publication number | Priority date | Publication date | Assignee | Title |
|---|---|---|---|---|
| CN112084705A (en)* | 2020-08-25 | 2020-12-15 | 华北电力大学 | Grid-connected coordination planning method and system for comprehensive energy system |
| Title |
|---|
| 卫志农等: "基于碳交易机制的电—气互联综合能源系统低碳经济运行", 《电力系统自动化》, vol. 40, no. 15, 10 August 2016 (2016-08-10)* |
| 周步祥;杨明通;史述青;魏金萧;李祖钢;董申;: "基于区块链的微电网市场势博弈模型", 电力系统自动化, no. 07, 10 April 2020 (2020-04-10)* |
| 程杉;陈欢田;: "基于Stackelberg博弈的智能电网完全分布式需求响应策略", 智慧电力, no. 03, 20 March 2019 (2019-03-20)* |
| Publication number | Priority date | Publication date | Assignee | Title |
|---|---|---|---|---|
| CN115115114A (en)* | 2022-06-29 | 2022-09-27 | 国网辽宁省电力有限公司经济技术研究院 | An optimal scheduling method for integrated energy systems considering carbon trading |
| CN115115266A (en)* | 2022-07-21 | 2022-09-27 | 国网河北省电力有限公司电力科学研究院 | Capacity optimization configuration method, configuration terminal and storage medium of comprehensive energy system |
| CN115640954A (en)* | 2022-09-16 | 2023-01-24 | 南昌大学 | An operation method of carbon capture equipment based on stepped carbon penalty response |
| CN115526684B (en)* | 2022-09-21 | 2023-05-02 | 三峡大学 | Comprehensive energy system multi-main-body low-carbon operation method based on double-layer master-slave game |
| CN115526684A (en)* | 2022-09-21 | 2022-12-27 | 三峡大学 | Multi-agent low-carbon economic operation method for integrated energy system based on double-layer master-slave game |
| CN115471100A (en)* | 2022-09-24 | 2022-12-13 | 河南工业大学 | Optimized scheduling method for guiding electric automobile to be charged orderly |
| CN115563816A (en)* | 2022-11-30 | 2023-01-03 | 国网天津市电力公司城西供电分公司 | Low-carbon photovoltaic and wind power grid connection and energy storage optimization method and device |
| CN116341836A (en)* | 2023-02-22 | 2023-06-27 | 国网山东省电力公司德州供电公司 | A multi-energy market operation method and system for an integrated energy system in a park |
| CN116341836B (en)* | 2023-02-22 | 2024-04-09 | 国网山东省电力公司德州供电公司 | Multi-energy market operation method and system for park comprehensive energy system |
| CN116307128A (en)* | 2023-02-23 | 2023-06-23 | 广东电网有限责任公司 | Power grid optimal dispatching method and system considering multiple adjustable loads and carbon trading |
| CN116957139A (en)* | 2023-06-28 | 2023-10-27 | 湖南大学 | Multi-comprehensive-energy microgrid optimal operation method and system considering carbon transaction among microgrids |
| CN117131982A (en)* | 2023-08-21 | 2023-11-28 | 四川大学 | User-side energy optimization method to ensure reliable load supply under extreme high temperature events |
| CN117131982B (en)* | 2023-08-21 | 2024-04-05 | 四川大学 | User-side energy optimization method to ensure reliable load supply under extreme high temperature events |
| CN120183105A (en)* | 2025-05-20 | 2025-06-20 | 国网浙江省电力有限公司衢州供电公司 | A defense-in-depth protection method for charging stations |
| Publication number | Publication date |
|---|---|
| CN114676886B (en) | 2024-12-03 |
| Publication | Publication Date | Title |
|---|---|---|
| CN114676886A (en) | Master-slave game optimization scheduling method for energy hubs based on comprehensive demand response and reward and punishment ladder carbon trading | |
| CN114580863A (en) | Regional comprehensive energy system economic dispatching method of carbon-containing capture equipment and photo-thermal power station considering comprehensive demand response | |
| CN110460040B (en) | Micro-grid operation scheduling method considering intelligent building heat balance characteristic | |
| CN105931136A (en) | Building micro-grid optimization scheduling method with demand side virtual energy storage system being fused | |
| CN110443446B (en) | Energy station economic dispatching method containing building virtual energy storage under demand response mechanism | |
| CN114358432A (en) | Multi-energy system optimal scheduling method and device considering demand response and carbon trading | |
| CN110474370B (en) | A collaborative control system and method for air conditioner controllable load and photovoltaic energy storage system | |
| CN111445067A (en) | A multi-objective planning method suitable for integrated energy system of high-speed railway station | |
| CN116227739B (en) | Double-layer optimal configuration method for building micro-energy network including heat pump and electric-thermal hybrid energy storage taking into account energy efficiency | |
| CN116542370A (en) | Park low-carbon economic operation method considering carbon capture and carbon transaction | |
| Wang et al. | Two-stage optimal scheduling of air conditioning resources with high photovoltaic penetrations | |
| CN115857348B (en) | Capacity optimization method for distributed energy system considering comfortable energy supply of dual heat pump | |
| CN117193188A (en) | Generalized energy storage optimization dispatching method for multi-park integrated energy systems | |
| CN115470564A (en) | Public building energy system coordination control method and control assembly thereof | |
| Cao et al. | Optimal operation of cold–heat–electricity multi-energy collaborative system based on price demand response | |
| CN118691028A (en) | An Optimal Scheduling Method for Hydrogen-containing Integrated Energy System Based on Green Certificate-Carbon Joint Trading | |
| CN112564102A (en) | Multi-microgrid load optimization scheduling method and system | |
| CN115360745A (en) | Capacity allocation method for water-light storage complementary power generation system in power market environment | |
| CN116228461A (en) | P2P transaction-based multi-virtual power plant random optimization scheduling method | |
| CN117709511A (en) | Comprehensive energy system optimal scheduling method considering demand response and carbon price uncertainty | |
| CN117526451A (en) | Regional comprehensive energy system configuration optimization method considering flexible load | |
| CN110489915A (en) | Meter and the electric heating combined scheduling method and system of integration requirement response | |
| CN115099007B (en) | Comprehensive energy system optimized operation method based on comprehensive cost-energy consumption curve | |
| CN113379160B (en) | Building side comprehensive energy system optimal scheduling method based on building heat energy flow | |
| CN118917048A (en) | Multi-park comprehensive energy system distributed low-carbon resource scheduling method and device |
| Date | Code | Title | Description |
|---|---|---|---|
| PB01 | Publication | ||
| PB01 | Publication | ||
| SE01 | Entry into force of request for substantive examination | ||
| SE01 | Entry into force of request for substantive examination | ||
| GR01 | Patent grant | ||
| GR01 | Patent grant |