Detailed Description
The present inventors have conducted extensive and intensive studies for a long time to unexpectedly prepare a novel class of KRASG12CCompounds with selective inhibition and/or better pharmacodynamic properties. On this basis, the inventors have completed the present invention.
Term(s) for
In the present invention, unless otherwise specified, the terms used have the ordinary meanings well known to those skilled in the art.
When a substituent is described by a general formula written from left to right, the substituent also includes chemically equivalent substituents obtained when the formula is written from right to left. For example, -CH2O-is equivalent to-OCH2-。
The term "alkyl" refers to a straight or branched chain alkyl group, which may includeAnd the number of carbon atoms, wherein "C" is
1-C
18Alkyl is meant to include 1, 2, 3, 4, 5, 6, 7, 8, 9, 10, 11, 12, 13, 14, 15, 16, 17 or 18 carbon atoms, preferably for example C
1-C
2、C
1-C
3、C
1-C
4、C
1-C
5、C
1-C
6、C
1-C
7、C
1-C
8、C
1-C
9、C
1-C
10、C
2-C
3、C
2-C
4、C
2-C
5、C
2-C
6、C
3-C
4、C
3-C
5、C
3-C
6、C
4-C
5、C
4-C
6Or C
5-6. Typical "alkyl" groups include, but are not limited to, methyl, ethyl, propyl, isopropyl, n-butyl, t-butyl, isobutyl, tert-butyl, and,
Pentyl, isopentyl, heptyl, 4-dimethylpentyl, octyl, 2, 4-trimethylpentyl, nonyl, decyl, undecyl, dodecyl and the like. In the present invention, the alkyl group also includes substituted alkyl groups. "substituted alkyl" means an alkyl group which is substituted at one or more positions, especially 1 to 4 substituents, and may be substituted at any position.
The term "cycloalkyl" refers to a fully saturated cyclic hydrocarbon group, wherein "C" is3-C20Cycloalkyl "means a fully saturated cyclic hydrocarbon compound group containing 3, 4, 5, 6, 7, 8, 9, 10, 11, 12, 13, 14, 15, 16, 17, 18, 19 or 20 carbon atoms, including 1 to 4 rings, each ring containing 3 to 8 carbon atoms. Preferably is C3-C4、C3-C5、C3-C6、C3-C7、C3-C8、C3-C9、C3-C10. "substituted cycloalkyl" means that one or more positions in the cycloalkyl group are substituted, especially 1 to 4 substituents, which may be substituted at any position. In the invention, a "ringAlkyl "is intended to include" substituted cycloalkyl ".
The term "heterocyclyl" refers to a fully saturated or partially unsaturated cyclic group, wherein "3-20 membered heterocyclyl" refers to a fully saturated or partially unsaturated cyclic group (including but not limited to, e.g., 3-7 membered monocyclic, 6-11 membered bicyclic, or 8-16 membered tricyclic ring system) containing 3, 4, 5, 6, 7, 8, 9, 10, 11, 12, 13, 14, 15, 16, 17, 18, 19, or 20 ring atoms, wherein at least one heteroatom is present in the ring having at least one carbon atom. Each heteroatom-containing heterocycle may carry 1, 2, 3 or 4 heteroatoms selected from nitrogen, oxygen or sulfur, where nitrogen or sulfur may be oxidized and nitrogen may also be quaternized. The heterocyclic group may be attached to any heteroatom or residue of a carbon atom of the ring or ring system molecule. Typical monocyclic heterocyclic groups include, but are not limited to, azetidinyl, pyrrolidinyl, oxetanyl, pyrazolinyl, imidazolinyl, imidazolidinyl, oxazolidinyl, isoxazolidinyl, thiazolidinyl, isothiazolidinyl, tetrahydrofuranyl, piperidinyl, piperazinyl, 2-oxopiperazinyl, 2-oxopiperidinyl, 2-oxopyrrolidinyl, hexahydroazepinyl, 4-piperidyl, tetrahydropyranyl, morphinyl, thiomorpholinyl sulfoxide, thiomorpholinyl sulfone, 1, 3-dioxanyl, and tetrahydro-1, 1-dioxythiophene, and the like. Polycyclic heterocyclic groups include spiro, fused and bridged heterocyclic groups; wherein the heterocyclic groups of the spiro, fused and bridged rings are optionally linked to other groups by single bonds, or are further linked to other cycloalkyl, heterocyclic, aryl and heteroaryl groups by any two or more atoms in the ring; heterocyclic groups may be substituted or unsubstituted.
The term "aryl" refers to an aromatic cyclic hydrocarbon compound group, wherein "C6-C14 aryl" refers to an aromatic cyclic hydrocarbon compound group containing 6, 7, 8, 9, 10, 11, 12, 13 or 14 ring carbon atoms, having 1-5 rings, especially monocyclic and bicyclic groups such as phenyl, biphenyl or naphthyl. Where the aromatic ring contains two or more aromatic rings (bicyclic, etc.), the aromatic rings of the aryl group may be linked by a single bond (e.g., biphenyl), or fused (e.g., naphthalene, anthracene, etc.). "substituted aryl" means an aryl group which is substituted at one or more positions, especially 1 to 3 substituents, and can be substituted at any position.
The term "heteroaryl" refers to an aromatic cyclic hydrocarbon compound group containing 1 to 4 heteroatoms, wherein the heteroatoms are selected from oxygen, nitrogen and sulfur. Wherein "5-14 membered heteroaryl" refers to an aromatic cyclic hydrocarbon compound group containing 5, 6, 7, 8, 9, 10, 11, 12, 13, or 14 ring atoms containing 1-4 heteroatoms selected from N, O, S. Heteroaryl is preferably a 5 to 10 membered ring, more preferably 5 or 6 membered, and includes, but is not limited to, pyrrolyl, pyrazolyl, imidazolyl, oxazolyl, isoxazolyl, thiazolyl, thiadiazolyl, isothiazolyl, furanyl, pyridyl, pyrazinyl, pyrimidinyl, pyridazinyl, triazinyl, triazolyl, tetrazolyl, and the like.
The term "alkoxy" refers to an alkoxy group having a straight or branched chain or cyclic structure, wherein "C1-C18 alkoxy" refers to a straight or branched chain or cyclic alkoxy group having 1 to 18 carbon atoms, including C1-C18 alkyl-O-, -C1-C6 alkyl-O-C1-C6 alkyl, preferably C1-C8 alkoxy, more preferably C1-C6 alkoxy, including but not limited to methoxy, ethoxy, propoxy, isopropoxy, butoxy, and the like.
"cycloalkenyl" refers to a cyclic hydrocarbon group having one or more double bonds, where "C" is4-C10Cycloalkenyl "means a cyclic hydrocarbon group containing 4, 5, 6, 7, 8, 9 or 10 carbon atoms with one or more double bonds, preferably C4-C6Cycloalkenyl groups, including but not limited to: cyclobutenyl, cyclopentenyl, cyclopentadienyl, cyclohexenyl, cyclohexadienyl, and the like.
The term "ester group" refers to a group with the structure-COOR, wherein R represents hydrogen, alkyl or substituted alkyl, cycloalkyl or substituted cycloalkyl, cycloalkenyl or substituted cycloalkenyl, aryl or substituted aryl, heteroaryl or substituted heteroaryl, heterocyclyl or substituted heterocyclyl. Wherein alkyl, cycloalkyl, cycloalkenyl, aryl, heteroaryl, heterocyclyl have the definitions as described above.
The term "amineGroup "means a group with the structure-NRR ', where R and R' may independently represent hydrogen, alkyl or substituted alkyl, cycloalkyl or substituted cycloalkyl, cycloalkenyl or substituted cycloalkenyl, aryl or substituted aryl, heteroaryl or substituted heteroaryl, heterocyclyl or substituted heterocyclyl. Wherein alkyl, cycloalkyl, cycloalkenyl, aryl, heteroaryl, heterocyclyl have the definitions as described above. R and R 'may be the same or different, and when R and R' are both H, the amino group is-NH2. Examples of amine groups include, but are not limited to, methylamino, dimethylamino, ethylamino, diethylamino, propylamino, isopropylamino, butylamino, and the like.
The term "amido" refers to a group with the structure-CONRR ', where R and R' may independently represent hydrogen, alkyl or substituted alkyl, cycloalkyl or substituted cycloalkyl, cycloalkenyl or substituted cycloalkenyl, aryl or substituted aryl, heteroaryl or substituted heteroaryl, heterocyclyl or substituted heterocyclyl. Wherein alkyl, cycloalkyl, cycloalkenyl, aryl, heteroaryl, heterocyclyl have the definitions as described above. R and R' may be the same or different.
The term "sulfonamide" refers to a sulfonamide group having the structure-SO2NRR ', wherein R and R' may independently represent hydrogen, alkyl or substituted alkyl, cycloalkyl or substituted cycloalkyl, cycloalkenyl or substituted cycloalkenyl, aryl or substituted aryl, heteroaryl or substituted heteroaryl, heterocyclyl or substituted heterocyclyl. Wherein alkyl, cycloalkyl, cycloalkenyl, aryl, heteroaryl, heterocyclyl are as defined above. R and R' may be the same or different.
The term "aminosulfonyl" refers to compounds having the structure-NRSO2R 'wherein R and R' may independently represent hydrogen, alkyl or substituted alkyl, cycloalkyl or substituted cycloalkyl, cycloalkenyl or substituted cycloalkenyl, aryl or substituted aryl, heteroaryl or substituted heteroaryl, heterocyclyl or substituted heterocyclyl. Wherein alkyl, cycloalkyl, cycloalkenyl, aryl, heteroaryl, heterocyclyl have the definitions as described above. R and R' may be the same or different.
The term "ureido" refers to a group having the structure-NRCONR 'R ", where R, R' and R" may independently represent hydrogen, alkyl or substituted alkyl, cycloalkyl or substituted cycloalkyl, cycloalkenyl or substituted cycloalkenyl, aryl or substituted aryl, heteroaryl or substituted heteroaryl, heterocyclyl or substituted heterocyclyl. Wherein alkyl, cycloalkyl, cycloalkenyl, aryl, heteroaryl, heterocyclyl have the definitions as described above. R, R' and R "may be the same or different.
When the substituent is a non-terminal substituent or the relevant group is deprived of an H atom, it is a subunit of the corresponding group, typically a divalent group, e.g., an alkyl group deprived of an H atom is an alkylene group (e.g., methylene, ethylene, propylene, isopropylene)
) Butylene (e.g. butyl ene)
) Pentylene (e.g. ethylene)
) Hexamethylene (e.g. hexamethylene)
) Heptylene (e.g. ethylene)
) Etc.), cycloalkyl corresponding cycloalkylene (e.g.:
etc.), heterocyclo-corresponding heterocyclylene (e.g.:
) Cycloalkyl corresponding heterocyclylene (e.g.:
etc.), alkoxy groupsRadical-corresponding alkyleneoxy (-CH)
2O-、-CH
2CH
2-O-CH
2-、-CH
2OCH
2CH
2CH
2-) and the like.
The term "halogen" or "halo" refers to chlorine, bromine, fluorine, iodine.
The term "halo" means that H in a group is substituted with halogen.
The term "deuterated" means that the H in the group is replaced with deuterium.
The term "hydroxy" refers to a group with the structure OH.
The term "nitro" refers to a group with the structure NO2A group of (1).
The term "cyano" refers to a group with the structure CN.
The term "selected from the group consisting of substituted and unsubstituted" means that the H atom of the selected group is substituted or unsubstituted, whereas the selected group, absent the H atom, is not substituted.
Unless otherwise stated, it is assumed that any heteroatom that is not in a valence state has sufficient hydrogen to replenish its valence state.
As described herein, the compounds of the present invention can be taken with any number of substituents or functional groups to expand their inclusion range. In general, the term "substituted", whether appearing before or after the term "optional", in the formula of the present invention including substituents, means that the hydrogen radical is replaced with a substituent of the indicated structure. When multiple positions in a particular structure are substituted with multiple particular substituents, each position of the substituent may be the same or different. The term "substituted" as used herein includes all permissible substitutions of organic compounds. In a broad sense, permissible substituents include acyclic, cyclic, branched unbranched, carbocyclic and heterocyclic, aromatic and nonaromatic organic compounds. In the present invention, the heteroatom nitrogen may have a hydrogen substituent or any permissible organic compound described hereinabove to supplement its valence state. Furthermore, the present invention is not intended to limit in any way the permissible substitution of organic compounds. The present invention recognizes that the combination of substituents and variable groups is excellent in the treatment of diseases, such as infectious diseases or proliferative diseases, in the form of stable compounds. The term "stable" as used herein refers to compounds that are stable enough to maintain the structural integrity of the compound when tested for a sufficient period of time, and preferably are effective for a sufficient period of time, and are used herein for the purposes described above.
In the present invention, the term "substituted" means that one or more hydrogen atoms on a specified group are replaced with a specified substituent. Particular substituents are those described correspondingly in the preceding text or as present in the examples. Unless otherwise specified, a substituted group may have a substituent selected from a specific group at any substitutable position of the group, and the substituent may be the same or different at each position. In the present invention, unless otherwise specified, the groups include corresponding substituent groups and subunits, such as: alkyl includes substituted alkyl, cycloalkyl includes substituted cycloalkyl, aryl includes substituted aryl, heteroaryl includes substituted heteroaryl, heterocyclyl includes substituted heterocyclyl, and the like. It will be understood by those skilled in the art that the combinations of substituents contemplated by the present invention are those that are stable or chemically achievable. Typical substitutions include, but are not limited to, one or more of the following groups: such as hydrogen, deuterium, halogen (e.g. mono-or polyhalo-substituents, the latter being e.g. trifluoromethyl or containing Cl3Alkyl of (i), nitrile, nitro, oxygen (e.g., ═ O), trifluoromethyl, trifluoromethoxy, cycloalkyl, C2-C6 alkenyl, C4-C10 cycloalkenyl, C2-C6 alkynyl, heterocyclyl, aryl, heteroaryl, ORa、SRa、S(=O)Re、S(=O)2Re、P(=O)2Re、S(=O)2ORe、P(=O)2ORe、NRbRc、NRbS(=O)2Re、NRbP(=O)2Re、S(=O)2NRbRc、P(=O)2NRbRc、C(=O)ORd、C(=O)Ra、C(=O)NRbRc、OC(=O)Ra、OC(=O)NRbRc、NRbC(=O)ORe、NRdC(=O)NRbRc、NRdS(=O)2NRbRc、NRdP(=O)2NRbRc、NRbC(=O)RaOr NRbP(=O)2ReWherein R is present thereinaMay independently represent hydrogen, deuterium, C1-C6 alkyl, C3-C8 cycloalkyl, C2-C6 alkenyl, C3-C10 cycloalkenyl, C2-C6 alkynyl, 4-8 membered heterocyclyl, 5-14 membered heteroaryl, or C6-C14 aryl, Rb、RcAnd RdMay independently represent hydrogen, deuterium, C1-C6 alkyl, C3-C8 cycloalkyl, 4-8 membered heterocyclyl, 5-14 membered heteroaryl, or C6-C14 aromatic ring, or RbAnd RcTogether with the N atom may form a heterocyclic ring; r iseCan independently represent hydrogen, C1-C6 alkyl, C3-C8 cycloalkyl, C2-C6 alkenyl, C3-C6 cycloalkenyl, C2-C6 alkynyl, 4-8 membered heterocyclyl, 5-14 membered heteroaryl, or C6-C14 aryl ring. The above-mentioned typical substituents such as alkyl, cycloalkyl, alkenyl, cycloalkenyl, alkynyl, heterocyclyl, heteroaryl or aryl and their corresponding substituents and subunits may be optionally substituted, wherein said alkyl, cycloalkyl, cycloalkenyl, heterocyclyl, heteroaryl or aryl has the definition as described above.
Active ingredient
As used herein, the terms "compound of the invention" or "active ingredient of the invention" are used interchangeably to refer to a compound of formula (I), or a pharmaceutically acceptable salt, hydrate, solvate, isotopic compound (e.g., deuterated compound), or prodrug thereof. The term also includes racemates, optical isomers.
The compound of formula (I) has the following structure:
wherein R is1、R2、R4L, U, V, W, Q, A, B, X are as defined above.
Preferably, the compound of formula (I) has a structure represented by formula (II-A) or (II-B):
in the formula:
R1、R2、R4a, B, L, X, U, V, W, Q are as defined above.
Preferably, the compound of formula (I) has the structure shown in formula (III):
R1、R2、R4x, L, U, V, W, Q are as defined above.
Preferably, the compound of formula (I) has the structure shown in formula (IV):
in the formula:
R1、R2、R4、R8l, U, V, W, Q are as defined above.
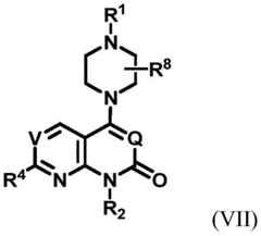
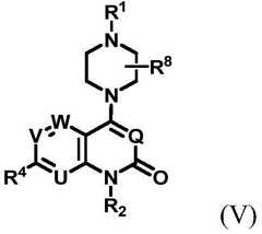
Preferably, the compound of formula (I) has the structure shown in formula (V):
in the formula:
R1、R2、R4、R8u, V, W, Q are as defined above.
Preferably, the compound of formula (I) has the structure of formula (VI):
in the formula:
R1、R2、R4、R8u, V, Q are as defined above.
Preferably, the compound of formula (I) has the structure shown in formula (VII):
in the formula:
R1、R2、R4、R8v, Q are as defined above.
Preferably, in each of the above formulas (i.e., I-VII), R1Selected from the group consisting of: -C (O) C (R)A)=C(RB)2、-S(O)2C(RA)=C(RB)2、-NR6C(O)C(RA)=C(RB)2or-NR6S(O)2C(RA)=C(RB)2;
Wherein R isAIndependently selected from the group consisting of: hydrogen, deuterium, fluoro, cyano, or C1-C3An alkyl group; each RBThe same or different, and independently selected from the group consisting of: hydrogen, deuterium, cyano, or C1-C3An alkyl group; wherein the alkyl group may be substituted with one or more (e.g., 2, 3, 4 or 5) substituents selected from the group consisting of: deuterium, halogen, cyano, amino, C3-C7Cycloalkyl, 4-7 membered heterocyclyl, NHR9Or NR9R10;R9And R10Each independently is C1-C3An alkyl group; or R9,R10Together with the N atom to which they are attached form a substituted or unsubstituted 4-8 membered heterocyclyl;
R6selected from the group consisting of substituted or unsubstituted: hydrogen, deuterium, C1-C6Alkyl, deuterated C1-C6Alkyl, halo C1-C6Alkyl radical, C3-C8Cycloalkyl radical, C1-C6Alkoxy, deuterated C1-C6Alkoxy, halo C1-C6Alkoxy radical4-8 membered heterocyclic group, C6-C14Aryl, 5-14 membered heteroaryl;
wherein, the term "substituted" when not specifically stated, means substituted by one or more groups selected from the group consisting of: hydrogen, deuterium, C1-C6Alkyl, deuterated C1-C6Alkyl, halo C1-C6Alkyl radical, C3-C8Cycloalkyl radical, C1-C6Alkoxy, deuterated C1-C6Alkoxy, halo C1-C6Alkoxy radical, C6-C10Aryl, 5-10 membered heteroaryl, 4-8 membered heterocyclyl, halogen, nitro, hydroxy, cyano, ester, amine, NRbC(=O)ORe、OC(=O)NRbRcAmide, sulfonamide, or ureido groups; rb、RcMay independently represent hydrogen, deuterium, C1-C6 alkyl, C3-C8 cycloalkyl, 4-8 membered heterocyclyl, 5-14 membered heteroaryl or C6-C14 aromatic ring, or RbAnd RcTogether with the N atom may form a 4-8 membered heterocyclyl; r iseMay independently represent hydrogen, C1-C6 alkyl, C3-C8 cycloalkyl, C2-C6 alkenyl, C3-C6 cycloalkenyl, C2-C6 alkynyl, 4-8 membered heterocyclyl, 5-14 membered heteroaryl, or C6-C14 aryl ring;
the limiting conditions are as follows:
when B is N, R1Selected from the group consisting of: -C (O) C (R)A)=C(RB)2or-S (O)2C(RA)=C(RB)2;
When B is CH or CR5When R is1Selected from the group consisting of: -NR6C(O)C(RA)=C(RB)2or-NR6S(O)2C(RA)=C(RB)2More preferably, R1is-C (O) C (R)A)=C(RB)2Wherein R isAIndependently selected from the group consisting of: hydrogen, fluorine; each RBThe same or different, and independently selected from the group consisting of: hydrogen or C1-C3An alkyl group, wherein the alkyl group may be substituted with one or more substituents selected from the group consisting of: deuterium, halogen, cyano, amino, C3-C7CycloalkanesRadical, 4-7 membered heterocyclyl radical, NHR9Or NR9R10;R9And R10Each independently is C1-C3An alkyl group; or R9,R10Together with the N atom to which they are attached form a 4-8 membered heterocyclic group.
Preferably, in each of the above formulae, R2Selected from the group consisting of substituted: phenyl, 5-6 membered heteroaryl, wherein said substitution means substitution by one or more (e.g. 2, 3, 4 or 5) groups selected from the group consisting of: r', -SO2R'、-SO2NR'R”、-NR'SO2R ", -P (═ O) R' R"; r 'and R' are the same or different and are each independently selected from the group consisting of substituted or unsubstituted: hydrogen, deuterium, halogen, nitro, hydroxy, cyano, ester, amino, amide, C1-C6Alkyl radical, C3-C6Cycloalkyl, C4-C6Cycloalkenyl, 4-8 membered heterocyclyl, C6-C10Aryl, 5-10 membered heteroaryl; or when R ' and R ' are attached to the same N atom, R ' together with the N atom to which they are attached form a substituted or unsubstituted 4-6 membered heterocyclyl; wherein said substitution means substitution by one or more (e.g. 2, 3, 4 or 5) groups selected from: hydrogen, deuterium, C1-C6Alkyl, deuterated C1-C6Alkyl, halo C1-C6Alkyl radical, C3-C8Cycloalkyl radical, C1-C6Alkoxy, deuterated C1-C6Alkoxy, halo C1-C6Alkoxy radical, C6-C10Aryl, 5-10 membered heteroaryl, 4-8 membered heterocyclyl, halogen, nitro, hydroxy, cyano, ester, amine, amide, sulfonamide, or ureido.
Preferably, in each of the above formulae, R4Selected from the group consisting of substituted or unsubstituted: phenyl or 5-6 membered heteroaryl, wherein said substitution means substitution by one or more (such as 2, 3, 4 or 5) groups selected from the group consisting of: hydrogen, deuterium, halogen, ester group, cyano group, NRbC(=O)ORe、OC(=O)Re、OC(=O)NRbRcAmino group, C1-C18Alkyl (preferably C)1-C6Alkyl, more preferably C1-C3Alkyl), halo C1-C18Alkyl (preferably halogenated C)1-C6Alkyl, more preferably halogenated C1-C3Alkyl), hydroxy; rb、RcMay independently represent hydrogen, deuterium, C1-C6 alkyl, C3-C8 cycloalkyl, 4-8 membered heterocyclyl, 5-14 membered heteroaryl or C6-C14 aromatic ring, or RbAnd RcTogether with the N atom, may form a 4-8 membered heterocyclic group; reCan independently represent hydrogen, C1-C6 alkyl, C3-C8 cycloalkyl, C2-C6 alkenyl, C3-C6 cycloalkenyl, C2-C6 alkynyl, 4-8 membered heterocyclyl, 5-14 membered heteroaryl, or C6-C14 aryl ring.
Preferably, in each of the above formulae, Q is N.
Preferably, in each of the above formulae, V, W is each independently CR3,R3Is H or halogen; preferably, R3Is halogen.
Preferably, in the formulae (IV), (V), (VI), (VII), R8Independently selected from the group consisting of substituted or unsubstituted: hydrogen, deuterium, C1-C6Alkyl, deuterated C1-C6Alkyl, halo C1-C6Alkyl radical, C3-C8Cycloalkyl radical, C1-C6Alkoxy, deuterated C1-C6Alkoxy, halo C1-C6Alkoxy, amino, hydroxy, 4-8 membered heterocyclyl; said substitution means substitution by one or more (e.g. 2, 3, 4 or 5) groups selected from the group consisting of: hydrogen, deuterium, halogen, nitro, hydroxyl, cyano, ester, amine, amide, sulfonamide, or urea; more preferably, R8Independently selected from the group consisting of substituted or unsubstituted: hydrogen, deuterium, C1-C6Alkyl, deuterated C1-C6Alkyl, halo C1-C6Alkyl, wherein said substitution is by cyano.
Preferably, R8Is methyl.
Preferably, the compound of formula (I), its stereoisomer, tautomer, crystal form, pharmaceutically acceptable salt, hydrate, solvate or prodrug has the structure shown in formula (VIII):
In the formula,
r' "is selected from the group consisting of substituted or unsubstituted: hydrogen, deuterium, halogen, nitro, hydroxy, cyano, ester, amino, amide, C1-C6Alkyl radical, C3-C8Cycloalkyl radical, C4-C10Cycloalkenyl, 4-8 membered heterocyclyl, C6-C14Aryl, 5-14 membered heteroaryl, wherein said substitution means substitution by one or more groups selected from the group consisting of: deuterium, halogen, nitro, hydroxy, cyano, ester, amino, amide, C1-C6Alkyl radical, C3-C8Cycloalkyl radical, C4-C10Cycloalkenyl, 4-8 membered heterocyclyl, C6-C14Aryl, 5-14 membered heteroaryl;
q is selected from: 1. 2, 3, or 4;
R1、R4、R8r', V, Q are as defined above.
Preferably, the compound of formula (I), its stereoisomer, tautomer, crystal form, pharmaceutically acceptable salt, hydrate, solvate or prodrug has the structure shown in formula (IX):
in the formula,
R1、R4r ', V, R' ", Q and Q are as defined above.
Preferably, in the formulae II to VII,
moieties are selected from:
preferably, in the formula I,
moieties are selected from:
preferably, in the formula I-II,
is partially made of
Wherein Rx is selected from: hydrogen, 20 deuterium, C
1-C
3Alkyl, deuterated C
1-C
3Alkyl, halo C
1-C
3Alkyl radical, C
3-C
6Cycloalkyl radical, C
1-C
3Alkoxy, halogen, nitro, hydroxy, cyano, ester, 4-6 membered heterocyclyl, preferably,
Is partially as
Preferably, in the formulae III to IX,
is partially as
Wherein Rx is selected from: hydrogen, deuterium, C
1-C
3Alkyl, deuterated C
1-C
3Alkyl, halo C
1-C
3Alkyl radical, C
3-C
6Cycloalkyl, C
1-C
3Alkoxy, halogen, nitro, hydroxy, cyano, ester, 4-6 membered heterocyclyl, preferably,
is partially made of
Preferably, in the formulae I-VII, R2Selected from the group consisting of:
k is independently O, S, CH2 or NH; e and f are each independently 0, 1 or 2, preferably H in the above groups may optionally be deuterium, halogen, nitro, hydroxy, cyano, ester, amine, amide, C1-C3Alkyl substitution.
Preferably, the compound of formula (I), its stereoisomer, tautomer, crystal form, pharmaceutically acceptable salt, hydrate, solvate or prodrug has the structure shown in formula (VIII):
in the formula,
r' "is selected from the group consisting of substituted or unsubstituted: hydrogen, deuterium, halogen, nitro, hydroxy, cyano, ester, amino, amide, C1-C6Alkyl radical, C3-C8Cycloalkyl radical, C4-C10Cycloalkenyl, 4-8 membered heterocyclyl, C6-C14Aryl, 5-14 membered heteroaryl, wherein said substitution means substitution by one or more groups selected from the group consisting of: deuterium, halogen, nitro, hydroxy, cyano, ester, amino, amide, C1-C6Alkyl radical, C3-C8Cycloalkyl, C4-C10Cycloalkenyl, 4-8 membered heterocyclyl, C6-C14Aryl, 5-14 membered heteroaryl;
R1、R4、R8r', V, Q, and q are as defined above.
Preferably, in formula VIII, R' "is selected from the group consisting of substituted or unsubstituted:C1-C6alkyl radical, C3-C8Cycloalkyl radical, C4-C10Cycloalkenyl, 4-8 membered heterocyclyl, C6-C10Aryl, 5-10 membered heteroaryl, wherein said substitution means substitution by one or more groups selected from the group consisting of: deuterium, halogen, nitro, hydroxy, cyano, ester, amino, amide, C1-C6Alkyl radical, C3-C8Cycloalkyl, 4-8 membered heterocyclyl.
Preferably, in formula VIII, R' "is selected from the group consisting of substituted or unsubstituted: c1-C6Alkyl radical, C3-C6Cycloalkyl radical, C4-C6Cycloalkenyl, 4-6 membered heterocyclyl, wherein said substitution means substitution by one or more groups selected from the group consisting of: deuterium, halogen, nitro, hydroxy, cyano, ester, amino, amide, C1-C3An alkyl group.
Preferably, in the formulae VIII to IX,
moieties are selected from the group consisting of:
k is independently O, S, CH2 or NH; e and f are each independently 0, 1 or 2, preferably H in the above groups may optionally be deuterium, halogen, nitro, hydroxy, cyano, ester, amine, amide, C1-C3Alkyl substitution.
Preferably, the compound of formula (I), its stereoisomer, tautomer, crystal form, pharmaceutically acceptable salt, hydrate, solvate or prodrug has the structure shown in formula (X) or (XI):
In the formula,
R4selected from substituted or unsubstitutedSubstituted C6-C14Aryl or 5-10 membered heteroaryl, wherein said substitution means substitution by one or more (such as 2, 3, 4 or 5) groups selected from: deuterium, halogen, ester group, cyano group, NRbC(=O)ORe、OC(=O)Re、OC(=O)NRbRcAmino group, C1-C6Alkyl, halo C1-C6Alkyl, hydroxy; r isb、RcMay independently represent hydrogen, deuterium, C1-C6 alkyl, C3-C8 cycloalkyl, 4-8 membered heterocyclyl, 5-14 membered heteroaryl or C6-C14 aromatic ring, or RbAnd RcTogether with the N atom, may form a 4-8 membered heterocyclic group; reMay independently represent hydrogen, C1-C6 alkyl, C3-C8 cycloalkyl, C2-C6 alkenyl, C3-C6 cycloalkenyl, C2-C6 alkynyl, 4-8 membered heterocyclyl, 5-14 membered heteroaryl, or C6-C14 aryl ring;
rm is selected from the group consisting of substituted or unsubstituted: amino group, C1-C6Alkyl radical, C3-C6Cycloalkyl, 4-6 membered heterocyclyl, wherein said substitution means substitution by one or more groups selected from the group consisting of: deuterium, halogen, nitro, hydroxy, cyano, ester, amino, amide, C1-C3Alkyl, C3-C6 cycloalkyl, 4-6 membered heterocyclyl;
rn is selected from the group consisting of substituted or unsubstituted: amino group, C1-C6Alkyl radical, C1-C6Alkoxy radical, C3-C6Cycloalkyl, -O-C3-C6Cycloalkyl radical, C1-C6Alkyl radical C3-C6Cycloalkyl, -O-C1-C6Alkyl radical C3-C6Cycloalkyl, 4-6 membered heterocyclyl, wherein said substitution means substitution by one or more groups selected from the group consisting of: deuterium, halogen, nitro, hydroxy, cyano, ester, amino, amide, C1-C3Alkyl radical, C1-C3Haloalkyl, C3-C6 cycloalkyl, 4-6 membered heterocyclyl;
rx is selected from: f or Cl;
RAselected from: H. d, halogen, or cyano, preferably RASelected from: h or F.
R' "is as defined above;
q' is selected from 0, 1, 2, or 3.
Preferably of the formula X-XI, R4Selected from substituted or unsubstituted phenyl or 5-6 membered heteroaryl, wherein said substitution is by one or more (e.g. 2, 3, 4 or 5) groups selected from: deuterium, halogen, ester group, cyano group, NRbC(=O)ORe、OC(=O)Re、OC(=O)NRbRcAmino group, C1-C3Alkyl, halo C1-C3Alkyl, hydroxy; rb、RcMay independently represent hydrogen, deuterium, C1-C3 alkyl, C3-C6 cycloalkyl, 4-6 membered heterocyclyl, 5-6 membered heteroaryl or phenyl, or RbAnd RcTogether with the N atom, may form a 4-6 membered heterocyclic group; reCan independently represent hydrogen, C1-C3 alkyl, C3-C6 cycloalkyl.
Preferably, in the formula X-XI, Rn is selected from the following substituted or unsubstituted groups: ethyl, n-propyl, isopropyl, cyclopropyl, cyclobutyl, cyclopentyl, cyclohexyl, cyclopropylamino, azetidinyl, azacyclohexyl, oxiranyl, oxetanyl, oxolanyl, wherein said substitution is by one or more groups selected from the group consisting of: deuterium, halogen, nitro, hydroxy, cyano, ester, amino, amide, C1-C3An alkyl group.
Preferably, in formula X-XI, Rm is selected from the group consisting of substituted or unsubstituted: methyl, ethyl, n-propyl, isopropyl, cyclopropyl, cyclobutyl, cyclopentyl, cyclohexyl, cyclopropylamino, azetidinyl, azacyclohexyl, oxiranyl, oxetanyl, oxolanyl, wherein said substitution is by one or more groups selected from the group consisting of: deuterium, halogen, nitro, hydroxy, cyano, ester, amino, amide, C1-C3An alkyl group.
The salts which the compounds of the invention may form are also within the scope of the invention. Unless otherwise indicated, the compounds of the present invention are understood to include salts thereof. The term "salt" as used herein refers to a salt formed from an inorganic or organic acid and a base in either an acidic or basic form. Furthermore, when a compound of the present invention contains a basic moiety, including but not limited to pyridine or imidazole, and an acidic moiety, including but not limited to carboxylic acid, zwitterions ("inner salts") that may form are included within the scope of the term "salt(s)". Pharmaceutically acceptable (i.e., non-toxic, physiologically acceptable) salts are preferred, although other salts are also useful, e.g., in isolation or purification steps during manufacture. The compounds of the invention may form salts, for example, by reacting compound I with an amount of acid or base, e.g. an equivalent amount, and salting out in a medium, or lyophilizing in an aqueous solution.
The compounds of the invention may contain basic moieties, including but not limited to amine or pyridine or imidazole rings, which may form salts with organic or inorganic acids. Typical acids which may form salts include acetates (e.g. with acetic acid or trihaloacetic acid such as trifluoroacetic acid), adipates, alginates, ascorbates, aspartates, benzoates, benzenesulfonates, bisulfates, borates, butyrates, citrates, camphorates, camphorsulfonates, cyclopentanepropionates, diglycolates, dodecylsulfates, ethanesulfonates, fumarates, glucoheptonates, glycerophosphates, hemisulfates, heptanoates, hexanoates, hydrochlorides, hydrobromides, hydroiodides, hydroxyethanesulfonates (e.g. 2-hydroxyethanesulfonates), lactates, maleates, methanesulfonates, naphthalenesulfonates (e.g. 2-naphthalenesulfonates), nicotinates, nitrates, oxalates, pectinates, persulfates, phenylpropionates (e.g. 3-phenylpropionates), phosphates, propionates, citrates, and the like, Picrates, pivalates, propionates, salicylates, succinates, sulfates (e.g., with sulfuric acid), sulfonates, tartrates, thiocyanates, tosylates, e.g., p-toluenesulfonate, dodecanoate, and the like
Certain compounds of the present invention may contain acidic moieties, including but not limited to carboxylic acids, which may form salts with various organic or inorganic bases. Typical salts with bases include ammonium salts, alkali metal salts such as sodium, lithium, potassium salts, alkaline earth metal salts such as calcium, magnesium salts, and salts with organic bases (e.g., organic amines) such as benzathine, dicyclohexylamine, hydrabamine (salt with N, N-bis (dehydroabietyl) ethylenediamine), N-methyl-D-glucamine, N-methyl-D-glucamide, t-butylamine, and salts with amino acids such as arginine, lysine, and the like. The basic nitrogen-containing groups may be combined with halide quaternary ammonium salts, such as small molecule alkyl halides (e.g., methyl, ethyl, propyl, and butyl chlorides, bromides, and iodides), dialkyl sulfates (e.g., dimethyl, diethyl, dibutyl, and diamyl sulfates), long chain halides (e.g., decyl, dodecyl, tetradecyl, and tetradecyl chlorides, bromides, and iodides), aralkyl halides (e.g., benzyl and phenyl bromides), and the like.
Prodrugs and solvates of the compounds of the invention are also contemplated. The term "prodrug" as used herein refers to a compound that undergoes chemical conversion by metabolic or chemical processes to yield a compound, salt, or solvate of the present invention when used in the treatment of a related disease. The compounds of the present invention include solvates, such as hydrates.
The compounds, salts or solvates of the invention, in tautomeric forms (for example amides and imine ethers) may be present. All of these tautomers are part of the present invention.
All stereoisomers of the compounds (e.g., those asymmetric carbon atoms that may exist due to various substitutions), including enantiomeric and diastereomeric forms thereof, are contemplated within the invention. The individual stereoisomers of the compounds of the invention may not be present in combination with the other isomers (e.g. as a pure or substantially pure optical isomer having a particular activity), or may be present as a mixture, e.g. as a racemate, or as a mixture with all or a portion of the other stereoisomers. The chiral center of the invention has two S or R configurations, and is defined by the International Union of theory and applied chemistry (IUPAC) proposed in 1974. The racemic forms can be resolved by physical methods such as fractional crystallization, or by separation of the crystals by derivatization into diastereomers, or by chiral column chromatography. The individual optical isomers can be obtained from the racemates by any suitable method, including, but not limited to, conventional methods such as salt formation with an optically active acid followed by crystallization.
The compounds of the present invention, obtained by preparing, isolating and purifying the compound in sequence, have a weight content of 90% or more, for example, 95% or more, 99% or more ("very pure" compounds), as set forth in the text. Such "very pure" compounds of the invention are also part of the invention herein.
All configurational isomers of the compounds of the invention are within the scope of the invention, whether in mixture, pure or very pure form. The definition of compounds in the present invention encompasses both cis (Z) and trans (E) olefin isomers, as well as cis and trans isomers of carbocyclic and heterocyclic rings.
Throughout the specification, groups and substituents may be selected to provide stable fragments and compounds.
Specific functional groups and definitions of chemical terms are detailed below. For purposes of the present invention, the chemical Elements are compatible with the Periodic Table of the Elements, CAS version, Handbook of Chemistry and Physics,75thD. as defined in. The definition of a particular functional group is also described herein. In addition, the basic principles of Organic Chemistry, as well as specific functional groups and reactivities are also described in "Organic Chemistry", Thomas Sorrell, University Science Books, Sausaltito: 1999, which is incorporated by reference in its entirety.
Certain compounds of the present invention may exist in specific geometric or stereoisomeric forms. The present invention encompasses all compounds, including cis and trans isomers, R and S enantiomers, diastereomers, (D) isomer, (L) isomer, racemic mixtures and other mixtures thereof. Further, the asymmetric carbon atom may represent a substituent such as an alkyl group. All isomers, as well as mixtures thereof, are encompassed by the present invention.
According to the present invention, the mixture of isomers may contain a variety of isomer ratios. For example, in a mixture of only two isomers, the following combinations are possible: 50:50, 60:40, 70:30, 80:20, 90:10, 95:5, 96:4, 97:3, 98:2, 99:1, or 100:0, all ratios of isomers are within the scope of the invention. Similar ratios, as well as ratios that are mixtures of more complex isomers, are also within the scope of the invention, as would be readily understood by one of ordinary skill in the art.
The invention also includes isotopically-labeled compounds, equivalent to those disclosed herein as the original compound. In practice, however, it will often occur that one or more atoms are replaced by an atom having a different atomic weight or mass number. Examples of isotopes that can be listed as compounds of the invention include isotopes of hydrogen, carbon, nitrogen, oxygen, phosphorus, sulfur, fluorine and chlorine, respectively2H、3H、13C、11C、14C、15N、18O、17O、31P、32P、35S、18F and36and (4) Cl. The compounds of the present invention, or enantiomers, diastereomers, isomers, or pharmaceutically acceptable salts or solvates thereof, wherein isotopes or other isotopic atoms containing those compounds are within the scope of the present invention. Certain isotopically-labelled compounds of the invention, e.g.3H and14among these, the radioactive isotope of C is useful in tissue distribution experiments of drugs and substrates. Tritium, i.e.3H and carbon-14, i.e.14C, their preparation and detection are relatively easy. Is the first choice among isotopes. In addition, heavier isotopes such as deuterium, i.e.2H, due to its good metabolic stability, may be advantageous in certain therapies, such as increased half-life in vivo or reduced dose, and therefore, may be preferred in certain circumstances. Isotopically labeled compounds can be prepared by conventional methods by substituting a readily available isotopically labeled reagent for a non-isotopically labeled reagent using the protocols disclosed in the examples.
If it is desired to design the synthesis of a particular enantiomer of a compound of the invention, it may be prepared by asymmetric synthesis or by derivatization with chiral auxiliary agents, separation of the resulting diastereomeric mixture and removal of the chiral auxiliary agent to give the pure enantiomer. Alternatively, if the molecule contains a basic functional group, such as an amino acid, or an acidic functional group, such as a carboxyl group, diastereomeric salts can be formed therewith with an appropriate optically active acid or base, and the isolated enantiomers can be obtained in pure form by conventional means such as fractional crystallization or chromatography.
Metabolites of the compounds referred to herein and pharmaceutically acceptable salts thereof, as well as prodrugs that are convertible in vivo into the structures of the compounds referred to herein and pharmaceutically acceptable salts thereof, are also encompassed by the claims herein.
Preparation method
The process for preparing the compounds of formula (I) according to the invention is described in more detail below, but these particular processes do not limit the invention in any way. The compounds of the present invention may also be conveniently prepared by optionally combining various synthetic methods described in the present specification or known in the art, and such combinations may be readily carried out by those skilled in the art to which the present invention pertains.
Typically, the compounds of the present invention are prepared by the following procedures, wherein the starting materials and reagents used, unless otherwise specified, are commercially available or synthesized according to the reported literature.
(i) The compound of formula P-1 is first reacted with oxalyl chloride in an inert solvent, such as tetrahydrofuran, and then with the amine-based compound R2-NH2Reacting to obtain a compound shown as a formula P-2;
(ii) in an inert solvent (such as tetrahydrofuran), under the action of a first base, the compound of the formula P-2 is subjected to ring closure to obtain a compound of the formula P-3;
(iii) reacting the compound of formula P-3 with phosphorus oxychloride in an inert solvent (e.g., acetonitrile) in the presence of a second base to obtain a compound of formula P-4;
(iv) A compound of formula P-4 is reacted with a base such as N, N-diisopropylethylamine in an inert solvent such as acetonitrile
Obtaining a compound of formula P-5 through coupling or substitution reaction;
(v) deprotecting a compound of formula P-5 in an inert solvent (e.g., dichloromethane) in the presence of an acid (e.g., trifluoroacetic acid) to provide a compound of formula P-6;
(vi) a compound of formula P-6 is reacted with R in an inert solvent such as dichloromethane in the presence of a base such as N, N-diisopropylethylamine1E, obtaining a compound shown in a formula P-7 through coupling, substitution or acylation reaction;
(vii) in an inert solvent (e.g. dioxane/water), a base (e.g. potassium acetate) and a catalyst (e.g. [1,1' -bis (diphenylphosphino) ferrocene)]Palladium dichloride) in the presence of a compound of the formula P-7 and R4-L-E1Obtaining the compound of formula (I) through coupling, substitution or acylation reaction;
in the formula,
e is halogen, OH, OCOR1、OCO(iBu), and the like;
E
1is-BH
2、-B(OH)
2、
-Sn(Bu)
3-ZnBr, etc.;
PG is an amino protecting group selected from the group consisting of: boc, Bn, Cbz or Fmoc;
y and Z are leaving groups selected from the group consisting of: halogen or OTf;
the first base is selected from the group consisting of: KHMDS, NaHMDS, LiHMDS, NaH, NaOMe, NaOEt ortBuONa;
The second base is selected from the group consisting of: TEA, DIPEA, DMAP or N, N-dimethylaniline;
R1、R2、R4L, A, B, X, U, V, W and Q are as defined above.
In the above reaction steps, a reaction solvent, a reaction catalyst, a base used for the reaction, a reaction temperature, a reaction time, and the like may be selected by those skilled in the art according to a specific reactant.
Pharmaceutical compositions and methods of administration
The pharmaceutical composition is used for preventing and/or treating the following diseases: inflammation, cancer, cardiovascular disease, infection, immunological disease, metabolic disease.
The compounds of formula (I) may be combined with other drugs known to treat or ameliorate similar conditions. When administered in combination, the mode of administration and dosage of the original drug may be maintained unchanged while the compound of formula (I) is administered simultaneously or subsequently. When the compound of the formula (I) is administered simultaneously with one or more other drugs, a pharmaceutical composition containing one or more known drugs together with the compound of the formula (I) can be preferably used. The pharmaceutical combination may also comprise administering the compound of formula (I) in combination with one or more other known drugs, over an overlapping period of time. When the compounds of formula (I) are administered in pharmaceutical combination with one or more other drugs, the dosage of the compounds of formula (I) or known drugs may be lower than the dosage for their administration alone.
Drugs or active ingredients that may be used in combination with the compounds of formula (I) include, but are not limited to: PD-1 inhibitors (e.g., nivolumab, pembrolizumab, pidilizumab, cemipimab, JS-001, SHR-120, BGB-A317, IBI-308, GLS-010, GB-226, STW204, HX008, HLX10, BAT1306, AK105, LZM 009, or biologically similar drugs thereof), PD-L1 inhibitors (e.g., Duvalimab, alemtuzumab, Avelumab (avelumab), CS1001, KN035, HLX20, SHR-1316, BGB-A333, JS003, CS1003, KL-A167, F520, GR, MSB2311, or biologically similar drugs thereof), CD20 antibodies (e.g., rituximab, obituzumab, orituzumab, veltutumumab, tositumomab, 131I-tuximab, ibritumomab, itumomab, 90Y-itumomab, In-90, ritumumab, In-5932, and so on-47), antibody (e.g., Hulomab, Hututumumab), Hututumumab, Tumtuzumab, Writumumab, Wolb-L-D-E-D-E-D-E-D-E-D-E-D-E-, CC-90002, TTI-621, TTI-622, OSE-172, SRF-231, ALX-148, NI-1701, SHR-1603, IBI188, IMM01, ALK inhibitors (e.g., Ceritinib, Aletinib, bugatinib, Laratinib, Ocatinib), PI3K inhibitors (e.g., Ivariansib, Duvelisib, Dactlisib, Taselisib, Bimiralisib, Omipalisib, Buparlisib, etc.), BTK inhibitors (e.g., ibrutinib, Tiradinutinib, Acatinib, Tuseltinib, Vebrutinib, etc.), EGFR inhibitors (e.g., Afatinib, gefitinib, erlotinib, lapatinib, dacatinib, erlotinib, Canotinib, canertinib, sunitinib, VEGFR, erlotinib, etc.), HDAC-NI inhibitors (e, Nicotinib, Ivortinib, VEGFR, etc.), non-Sorafitinib, non-A inhibitors (e, Sorafitinib, etc.), BTX-I-II, Ivoritinib, etc.), and other inhibitors such as, non-I, Ivoritinib, etc.), and other inhibitors (e, etc.), inhibitors such as inhibitors (e, etc.), non-I, non-HDAC, non-I, etc.), and others, etc.), and non-I, etc., inhibitors such as inhibitors (e, non-HDAC, non-I, HDAC, non-I, HDAC, non-I, HDAC, Ivoritinib, HDAC, Ivor, Vorinostat, fimepinastat, Droxinostat, entinostat, daciclast, Quisinostat, tacrine, etc.), CDK inhibitors (e.g., palbociclib, ribociclib, Abemaciclib, micciclib, Lerociclib, etc.), MEK inhibitors (e.g., simetinib (AZD6244), tremetinib (GSK1120212), PD0325901, seru 0126, pimatiib (AS-703026), PD184352(CI-1040), etc.), mTOR inhibitors (e.g., visturtib, etc.), SHP2 inhibitors (e.g., RMC-4630, JAB-3068, TNO155, etc.), or combinations thereof.
Dosage forms of the pharmaceutical composition of the present invention include (but are not limited to): injection, tablet, capsule, aerosol, suppository, pellicle, dripping pill, topical liniment, controlled release type or delayed release type or nanometer preparation.
The pharmaceutical composition of the present invention comprises the compound of the present invention or a pharmacologically acceptable salt thereof in a safe and effective amount range and a pharmacologically acceptable excipient or carrier. Wherein "safe and effective amount" means: the amount of the compound is sufficient to significantly improve the condition without causing serious side effects. Typically, the pharmaceutical composition contains 1-2000mg of a compound of the invention per dose, more preferably, 10-1000mg of a compound of the invention per dose. Preferably, said "dose" is a capsule or tablet.
"pharmaceutically acceptable carrier" refers to: one or more compatible solid or liquid fillers or gel substances which are suitable for human use and must be of sufficient purity and sufficiently low toxicity. By "compatible" is meant herein that the components of the composition are capable of intermixing with and with the compounds of the present invention without significantly diminishing the efficacy of the compounds. Examples of pharmaceutically acceptable carrier moieties are cellulose and its derivatives (e.g. sodium carboxymethylcellulose) Sodium ethylcellulose, cellulose acetate, and the like), gelatin, talc, solid lubricants (e.g., stearic acid, magnesium stearate), calcium sulfate, vegetable oils (e.g., soybean oil, sesame oil, peanut oil, olive oil, and the like), polyols (e.g., propylene glycol, glycerin, mannitol, sorbitol, and the like), emulsifiers

Wetting agents (e.g., sodium lauryl sulfate), coloring agents, flavoring agents, stabilizers, antioxidants, preservatives, pyrogen-free water, and the like.
The mode of administration of the compounds or pharmaceutical compositions of the present invention is not particularly limited, and representative modes of administration include (but are not limited to): oral, intratumoral, rectal, parenteral (intravenous, intramuscular or subcutaneous), and topical administration.
Solid dosage forms for oral administration include capsules, tablets, pills, powders and granules. In these solid dosage forms, the active compound is mixed with at least one conventional inert excipient (or carrier), such as sodium citrate or dicalcium phosphate, or with the following ingredients: (a) fillers or extenders, for example, starch, lactose, sucrose, glucose, mannitol and silicic acid; (b) binders, for example, hydroxymethylcellulose, alginates, gelatin, polyvinylpyrrolidone, sucrose and acacia; (c) humectants, for example, glycerol; (d) disintegrating agents, for example, agar-agar, calcium carbonate, potato or tapioca starch, alginic acid, certain complex silicates, and sodium carbonate; (e) slow solvents, such as paraffin; (f) absorption accelerators, e.g., quaternary ammonium compounds; (g) wetting agents, such as cetyl alcohol and glycerol monostearate; (h) adsorbents, for example, kaolin; and (i) lubricants, for example, talc, calcium stearate, magnesium stearate, solid polyethylene glycols, sodium lauryl sulfate, or mixtures thereof. In capsules, tablets and pills, the dosage forms may also comprise buffering agents.
Solid dosage forms such as tablets, dragees, capsules, pills, and granules can be prepared using coatings and shells such as enteric coatings and other materials well known in the art. They may contain opacifying agents and the release of the active compound or compounds in such a composition may be delayed in release in a certain part of the digestive tract. Examples of embedding components which can be used are polymeric substances and wax-like substances. If desired, the active compound may also be in microencapsulated form with one or more of the above-mentioned excipients.
Liquid dosage forms for oral administration include pharmaceutically acceptable emulsions, solutions, suspensions, syrups or tinctures. In addition to the active compounds, the liquid dosage forms may contain inert diluents commonly employed in the art such as, for example, water or other solvents, solubilizing agents and emulsifiers such as ethyl alcohol, isopropyl alcohol, ethyl carbonate, ethyl acetate, propylene glycol, 1, 3-butylene glycol, dimethylformamide and oils, in particular, cottonseed, groundnut, corn germ, olive, castor and sesame oils or mixtures of such materials and the like.
In addition to these inert diluents, the compositions can also contain adjuvants such as wetting agents, emulsifying and suspending agents, sweetening, flavoring, and perfuming agents.
Suspensions, in addition to the active compounds, may contain suspending agents as, for example, ethoxylated isostearyl alcohols, polyoxyethylene sorbitol and sorbitan esters, microcrystalline cellulose, aluminum methoxide and agar, or mixtures of these substances, and the like.
Compositions for parenteral injection may comprise physiologically acceptable sterile aqueous or anhydrous solutions, dispersions, suspensions or emulsions, and sterile powders for reconstitution into sterile injectable solutions or dispersions. Suitable aqueous and nonaqueous carriers, diluents, solvents or vehicles include water, ethanol, polyols and suitable mixtures thereof.
Dosage forms of the compounds of the present invention for topical administration include ointments, powders, patches, sprays, and inhalants. The active ingredient is mixed under sterile conditions with a physiologically acceptable carrier and any preservatives, buffers, or propellants which may be required if desired.
The therapeutic methods of the invention can be administered alone or in combination with other therapeutic means or agents.
When the pharmaceutical composition is used, a safe and effective amount of the compound of the present invention is suitable for mammals (such as human beings) to be treated, wherein the administration dosage is a pharmaceutically-considered effective administration dosage, and for a human body with a weight of 60kg, the daily administration dosage is usually 1-2000 mg, preferably 50-1000 mg. Of course, the particular dosage will also take into account such factors as the route of administration, the health of the patient, and the like, which are within the skill of the skilled practitioner.
The invention also provides a preparation method of the pharmaceutical composition, which comprises the following steps: mixing a pharmaceutically acceptable carrier with a compound of formula (I) as described herein, or a crystalline form, a pharmaceutically acceptable salt, hydrate, or solvate thereof, to form a pharmaceutical composition.
The present invention also provides a method of treatment comprising the steps of: administering a compound of formula (I), or a crystalline form, a pharmaceutically acceptable salt, hydrate, or solvate thereof, as described herein, or a pharmaceutical composition as described herein, to a subject in need thereof for selectively inhibiting KRASG12C。
Compared with the prior art, the invention has the following main advantages:
(1) the compound is right to KRASG12CHas good selective inhibition effect;
(2) the compound has better pharmacodynamics and pharmacokinetic performance and lower toxic and side effects.
The invention will be further illustrated with reference to the following specific examples. It should be understood that these examples are for illustrative purposes only and are not intended to limit the scope of the present invention. The experimental procedures, in which specific conditions are not noted in the following examples, are generally carried out under conventional conditions or conditions recommended by the manufacturers. Unless otherwise indicated, percentages and parts are by weight.
Unless defined otherwise, all technical and scientific terms used herein have the same meaning as commonly understood by one of ordinary skill in the art to which this invention belongs. In addition, any methods and materials similar or equivalent to those described herein can be used in the methods of the present invention. The preferred embodiments and materials described herein are exemplary only.
The structure of the compounds of the invention is determined by Nuclear Magnetic Resonance (NMR) and liquid mass spectrometry (LC-MS).
NMR was detected using a Bruker AVANCE-400 nuclear magnetic instrument, and the assay solvent contained deuterated dimethylsulfoxide (DMSO-d)6) Deuterated acetone (CD)3COCD3) Deuterated chloroform (CDCl)3) And deuterated methanol (CD)3OD), and internal standards are Tetramethylsilane (TMS), chemical shifts are measured in parts per million (ppm).
Liquid chromatography-mass spectrometry (LC-MS) was detected using a Waters SQD2 mass spectrometer. HPLC measurements were performed using an Agilent1100 high pressure chromatograph (Microsorb 5micron C18100 x 3.0.0 mm column).
Thin layer chromatography silica gel plate is blue island GF254 silica gel plate, TLC is 0.15-0.20mm, and preparative thin layer chromatography is 0.4-0.5 mm. Column chromatography generally uses Qingdao silica gel 200-300 mesh silica gel as a carrier.
The starting materials in the examples of the present invention are known and commercially available or may be used or synthesized according to literature reports in the art.
All reactions of the present invention are carried out under continuous magnetic stirring in a dry inert gas (e.g., nitrogen or argon) at temperatures in degrees celsius, unless otherwise specified.
Examples
Example 14 preparation of- ((S) -4-acryloyl-2-methylpiperazin-1-yl) -6-fluoro-7- (2-fluoro-6-hydroxyphenyl) -1- (4-methyl-2- (methylsulfonyl) pyridin-3-yl) pyrido [2,3-d ] pyrimidin-2 (1H) -one
Step 1 preparation of 4-methyl-2- (methylsulfonyl) -3-nitropyridine
2-chloro-4-methyl-3-nitropyridine (3g, 17.4mmol) was dissolved in 25 ml of dimethyl sulfoxide, and sodium methylsulfinate (2.7g, 26.2mmol) was added to the solution. The mixture is stirred at 120 ℃ for 1 hour, quenched with 100 ml of water and then extracted 3 times with 100 ml of ethyl acetate. The combined organic phases were washed 3 times with 50 ml brine, then the organic phases were dried and concentrated. The residual solid was slurried with ethanol/methanol/ethyl acetate (40 ml/5 ml), filtered off with suction and dried to give the title compound (2.3g, 61%).
Step 2 preparation of 4-methyl-2- (methylsulfonyl) pyridin-3-amine
4-methyl-2- (methylsulfonyl) -3-nitropyridine (2.2g, 10.2mmol) was dissolved in 110 mL of methanol and 10% palladium on carbon (50% w/w, 660mg) was added to the solution. The mixture was stirred at room temperature for 5 hours under a hydrogen atmosphere. The catalyst was removed by suction filtration, the filtrate was concentrated, and the residue was separated with a silica gel column (petroleum ether: ethyl acetate: 5: 1 to 2: 1) to obtain the objective compound (820mg, yield: 41%).
LC-MS:m/z 187(M+H)+。
Step 3 preparation of 2, 6-dichloro-5-fluoro-N- (((4-methyl-2- (methylsulfonyl) pyridin-3-yl) carbamoyl) nicotinamide
2, 6-dichloro-5-fluoronicotinamide (873mg, 4.2mmol) was dissolved in 15 mL of anhydrous tetrahydrofuran, to which was slowly added dropwise a solution of oxalyl chloride (3.6mL, 42.0mmol) in dichloromethane (4.5 mL). After the addition was complete, the mixture was stirred at 75 ℃ under reflux for 2 hours and then concentrated to dryness under reduced pressure. The residue was diluted with 15 ml of anhydrous tetrahydrofuran and cooled to zero degrees. 4-methyl-2- (methylsulfonyl) pyridin-3-amine (820mg, 4.4mmol) was dissolved in 6mL of anhydrous tetrahydrofuran and added dropwise to the solution. The reaction mixture was stirred at zero degrees for 2 hours, quenched with saturated ammonium chloride/saturated brine (V: V ═ 1: 1, 30mL), and then extracted 3 times with dichloromethane/methanol (V: V ═ 10: 1, 30 mL). The combined organic phases were dried, concentrated, and the residual solid was slurried with petroleum ether/ethyl acetate (2: 1, 25mL), suction filtered, and dried to give the title compound (1.36g, yield: 77%).
LC-MS:m/z 421(M+H)+。
Step 4 preparation of 7-chloro-6-fluoro-1- (4-methyl-2- (methylsulfonyl) pyridin-3-yl) pyridin [2,3-d ] pyrimidine-2, 4(1H, 3H) -dione
Suspending 2, 6-dichloro-5-fluoro-N- (((4-methyl-2- (methylsulfonyl) pyridin-3-yl) carbamoyl) nicotinamide (1.13g, 2.7mmol) in 34 mL of tetrahydrofuran, dropwise adding bis (trimethylsilyl) amino potassium (1 mol of tetrahydrofuran solution, 6.2mL, 6.2mmol) under ice bath, clarifying the reaction solution after completion of dropwise addition, stirring the reaction solution at 60 ℃ for 2 hours, quenching 40 mL of saturated ammonium chloride, extracting with 40 mL of ethyl acetate for 3 times, combining ethyl acetate layers, drying, concentrating, slurrying the residual solid with petroleum ether/ethyl acetate (V: V ═ 1: 1, 25mL), suction-filtering, and drying to obtain the objective compound (870mg, yield: 84%).
LC-MS:m/z 385(M+H)+。
Preparation of (S) -tert-butyl 4- (7-chloro-6-fluoro-1- (4-methyl-2- (methylsulfonyl) pyridin-3-yl) -2-oxo-1, 2-dihydropyridine [2,3-d ] pyrimidin-4-yl) -3-methylpiperazine-1-carboxylate in step 5
7-chloro-6-fluoro-1- (4-methyl-2- (methylsulfonyl) pyridin-3-yl) pyridine [2,3-d ] pyrimidine-2, 4(1H, 3H) -dione (300mg, 0.8mmol) was suspended in 9 mL acetonitrile, N-diisopropylethylamine (0.77mL, 4.7mmol) and phosphorus oxychloride (0.36mL, 3.9mmol) were added dropwise, and the reaction solution became clear. The reaction mixture was stirred at 80 ℃ for 1 hour, and concentrated to dryness under reduced pressure. The residue was dissolved in 12 mL acetonitrile, cooled to zero, and N, N-diisopropylethylamine (0.4mL, 2.3mmol) and tert-butyl (S) -3-methylpiperazine-1-carboxylate (188mg, 0.9mmol) were added. The reaction was stirred at room temperature for 1 hour, quenched with saturated sodium bicarbonate solution (20mL), and extracted 3 times with 20mL of ethyl acetate. The combined ethyl acetate layers were dried, concentrated, and subjected to silica gel column separation (petroleum ether: ethyl acetate: 3: 1 to pure ethyl acetate) to obtain the objective compound (328mg, yield: 74%).
LC-MS:m/z 567(M+H)+。
Preparation of (S) -4- (4-acryloyl-2-methylpiperazin-1-yl) -7-chloro-6-fluoro-1- (4-methyl-2- (methylsulfonyl) pyridin-3-yl) pyrido [2,3-d ] pyrimidin-2 (1H) -one in step 6
(S) -tert-butyl 4- (7-chloro-6-fluoro-1- (4-methyl-2- (methylsulfonyl) pyridin-3-yl) -2-oxo-1, 2-dihydropyridine [2,3-d ] pyrimidin-4-yl) -3-methylpiperazine-1-carboxylate (328mg, 0.6mmol) was dissolved in 4 ml of dichloromethane, 1ml of trifluoroacetic acid was added, the reaction solution was stirred at room temperature for 2 hours, concentrated to dryness, and the residue was co-evaporated with 15 ml of dichloromethane 3 times to give a crude product. The crude product was dissolved in 6 mL of dichloromethane, cooled to zero, and a solution of N, N-diisopropylethylamine (0.38mL, 2.3mmol) and acryloyl chloride (63mg, 0.7mmol) in dichloromethane (1mL) was added dropwise. The reaction was stirred at zero degrees for 30 minutes, quenched with 20 ml of saturated sodium bicarbonate and extracted 3 times with 20 ml of dichloromethane. The dichloromethane layers were combined, dried, concentrated, and the residue was separated with a silica gel column (dichloromethane: methanol 60: 1) to obtain the objective compound (200mg, yield: 67%).
LC-MS:m/z 521(M+H)+。
Step 7 preparation of 4- ((S) -4-acryloyl-2-methylpiperazin-1-yl) -6-fluoro-7- (2-fluoro-6-hydroxyphenyl) -1- (4-methyl-2- (methylsulfonyl) pyridin-3-yl) pyrido [2,3-d ] pyrimidin-2 (1H) -one
(S) -4- (4-acryloyl-2-methylpiperazin-1-yl) -7-chloro-6-fluoro-1- (4-methyl-2- (methylsulfonyl) pyridin-3-yl) pyrido [2,3-d ] pyrimidin-2 (1H) -one (126mg, 0.24mmol), (2-fluoro-6-hydroxyphenyl) boronic acid (49mg, 0.31mmol), [1,1' -bis (diphenylphosphino) ferrocene ] palladium dichloride dichloromethane complex (20mg, 0.024mmol), and potassium acetate (95mg, 0.97mmol) were suspended in a mixed solvent of dioxane/water (7mL/0.7mL), replaced with nitrogen 3 times, and stirred at 90 degrees with heating for 2.5 hours. After the reaction solution was cooled to room temperature, 20 ml of a half-saturated sodium bicarbonate solution was added, and extracted 3 times with 20 ml of ethyl acetate. The ethyl acetate layers were combined, dried, concentrated, and the residue was separated with a silica gel column (dichloromethane: methanol 100: 1 to 60: 1) to obtain the objective compound (45mg, yield: 31%).
LC-MS:m/z 597(M+H)+。1H NMR(400MHz,CDCl3)δ8.65-8.63(m,1H),8.57(brs,1H),7.89(t,J=8.8Hz,1H),7.60(d,J=4.4Hz,1H),7.26(m,1H),6.71-6.56(m,3H),6.40(d,J=16.4Hz,1H),5.81(d,J=10.4Hz,1H),5.10-4.50(m,3H),4.10-3.50(m,3H),3.27(d,J=2.4Hz,3H),3.26-3.00(m,1H),2.28(d,J=6.8Hz,3H),1.53(m,3H).
The following compounds were synthesized according to the procedure of example 1, starting from different starting materials:
example 24- ((S) -4-acryloyl-2-methylpiperazin-1-yl) -6-fluoro-7- (2-fluoro-6-hydroxyphenyl) -1- (2-methyl-4- (methylsulfonyl) pyridin-3-yl) pyrido [2,3-d ] pyrimidin-2 (1H) -one
LC-MS:m/z 597(M+H)+。1H NMR(400MHz,CDCl3)δ8.93(d,J=5.2Hz,1H),8.65(brs,1H),7.95-7.89(m,2H),7.26(m,1H),6.72-6.75(m,3H),6.45-6.39(m,1H),5.85-5.81(m,1H),5.25-4.30(m,3H),4.20-3.50(m,3H),3.30-3.00(m,4H),2.46(d,J=10.0Hz,3H),1.51-1.48(m,3H).
Example 32- ((2S) -4-acryloyl-1- (6-fluoro-7- (2-fluoro-6-hydroxyphenyl) -1- (2-methyl-6- (methylsulfonyl) phenyl) -2-oxo-1, 2-dihydropyridin [2,3-d ] pyrimidin-4-yl) piperazin-2-yl) acetonitrile
LC-MS:m/z 621(M+H)+。1H NMR(400MHz,CDCl3)δ9.01-8.91(m,1H),8.11(t,J=7.2Hz,1H),7.95(brs,1H),7.75(t,J=8.4Hz,1H),7.70-7.64(m,1H),7.26(m,1H),6.71-6.59(m,3H),6.46(d,J=16.4Hz,1H),5.88(d,J=10.4Hz,1H),5.50-5.30(m,1H),4.75-3.40(m,6H),3.10(d,J=4.8Hz,3H),3.05-2.80(m,2H),2.18(d,J=10.8Hz,3H).
Example 44- ((S) -4-acryloyl-2-methylpiperazin-1-yl) -6-fluoro-7- (2-fluoro-6-hydroxyphenyl) -1- (2- (isopropylsulfo) -6-methylphenyl) pyridine [2,3-d ] pyrimidin-2 (1H) -one
LC-MS:m/z 624(M+H)+。1H NMR(400MHz,CDCl3)δ8.98-8.94(m,1H),8.04(d,J=8.0Hz,1H),7.87(t,J=8.0Hz,1H),7.72(d,J=7.6Hz,1H),7.62(t,J=8.0Hz,1H),7.26(m,1H),6.71-6.54(m,3H),6.44-6.39(m,1H),5.83-5.80(m,1H),5.10-4.30(m,3H),4.10-3.00(m,5H),2.16(d,J=8.4Hz,3H),1.52(brs,3H),1.31-1.28(m,3H),1.16-1.14(m,3H).
Example 54- ((S) -4-acryloyl-2-methylpiperazin-1-yl) -1- (2-ethyl-6- (methylsulfonyl) phenyl) -6-fluoro-7- (2-fluoro-6-hydroxyphenyl) pyridine [2,3-d ] pyrimidin-2 (1H) -one
LC-MS:m/z 610(M+H)+。1H NMR(400MHz,CDCl3)δ8.99(s,1H),8.12(d,J=7.6Hz,1H),7.87(dd,J=9.2Hz,3.2Hz,1H),7.78(d,J=7.6Hz,1H),7.71(t,J=7.6Hz,1H),7.26(m,1H),6.69-6.54(m,3H),6.44-6.38(m,1H),5.83-5.80(m,1H),5.10-4.38(m,3H),4.10-3.50(m,3H),3.30-3.00(m,4H),2.59-2.41(m,2H),1.58-1.49(m,3H),1.21-1.16(m,3H).
Example 5-1 two isomers, example 5A and example 5B, were obtained by chiral separation:
example 5A: LC-MS: m/z 610(M + H)+。1H NMR(400MHz,CDCl3)δ9.02(s,1H),8.14(d,J=7.3Hz,1H),7.90(d,J=8.5Hz,1H),7.81(d,J=7.1Hz,1H),7.73(t,J=7.8Hz,1H),7.33–7.23(m,1H),6.76–6.53(m,3H),6.44(d,J=16.3Hz,1H),5.84(d,J=10.0Hz,1H),5.03(m,1H),4.57(m,2H),4.22–3.41(m,3H),3.35–3.00(m,4H),2.48(m,2H),1.51(s,3H),1.21(t,J=6.7Hz,3H).
Example 5B: LC-MS: m/z 610(M + H)+。1H NMR(400MHz,CDCl3)δ9.01(s,1H),8.21–8.07(m,1H),7.90(d,J=9.3Hz,1H),7.81(d,J=7.0Hz,1H),7.73(t,J=7.8Hz,1H),7.35–7.23(m,1H),6.68(m,3H),6.44(d,J=16.5Hz,1H),5.84(d,J=10.2Hz,1H),5.12–4.29(m,3H),3.99(m,1H),3.69(m,2H),3.22(m,4H),2.69–2.37(m,2H),1.66–1.43(m,3H),1.25–1.12(m,3H).
Example 64- ((S) -4-acryloyl-2-methylpiperazin-1-yl) -1- (2-cyclopropyl-6- (methylsulfonyl) phenyl) -6-fluoro-7- (2-fluoro-6-hydroxyphenyl) pyrido [2,3-d ] pyrimidin-2 (1H) -one
LC-MS:m/z 622(M+H)+。1H NMR(400MHz,CDCl3)δ9.00(s,1H),8.08(d,J=7.6Hz,1H),7.88(d,J=9.2Hz,1H),7.67-7.63(m,1H),7.46(d,J=7.6Hz,1H),7.29-7.23(m,1H),6.75-6.50(m,3H),6.44-6.39(m,1H),5.83-5.80(m,1H),5.04-4.38(m,3H),4.06-3.55(m,3H),3.24-3.02(m,4H),1.55-1.49(m,4H),0.85-0.56(m,4H).
Example 6-1 two isomers, example 5A and example 5B, were obtained by chiral separation:
Example 6A: LC-MS: m/z 622(M + H)+。1H NMR(400MHz,CDCl3)δ9.03(s,1H),8.10(d,J=7.2Hz,1H),7.90(d,J=8.9Hz,1H),7.67(t,J=7.9Hz,1H),7.48(dd,J=7.9,1.0Hz,1H),7.40–7.17(m,1H),6.81–6.54(m,3H),6.43(dd,J=16.7,1.3Hz,1H),5.84(d,J=10.3Hz,1H),5.08(m,1H),4.59(m,2H),4.25–3.44(m,3H),3.31–2.99(m,4H),1.70(m,1H),1.51(s,3H),0.96–0.78(m,2H),0.65(m,2H).
Example 6B: LC-MS: m/z 622(M + H)+。1H NMR(400MHz,CDCl3)δ9.02(s,1H),8.10(d,J=7.5Hz,1H),7.91(d,J=9.2Hz,1H),7.67(t,J=7.9Hz,1H),7.47(d,J=7.7Hz,1H),7.36–7.19(m,1H),6.68(m,3H),6.43(d,J=16.6Hz,1H),5.84(d,J=10.3Hz,1H),4.69(m,3H),3.98(m,1H),3.70(m,2H),3.35–3.02(m,4H),1.63(m,4H),0.87(m,2H),0.67(m,2H).
Example 74- ((S) -4-acryloyl-2-methylpiperazin-1-yl) -1- (2- (cyclopropylsulfonyl) -6-methylphenyl) -6-fluoro-7- (2-fluoro-6-hydroxyphenyl) pyridinyl [2,3-d ] pyrimidin-2 (1H) -one
LC-MS:m/z 622(M+H)+。1H NMR(400MHz,CDCl3)δ9.00(s,1H),7.97-7.85(m,2H),7.71(d,J=7.6Hz,1H),7.61(t,J=8.0Hz,1H),7.29-7.23(m,1H),6.69-6.63(m,3H),6.44-6.39(m,1H),5.83-5.80(m,1H),5.05-4.37(m,3H),4.02-3.63(m,3H),3.23-2.78(m,2H),2.19(d,J=10.8Hz,3H),1.41-1.37(m,4H).1.03-0.96(m,3H).
Example 84- ((S) -4-acryloyl-2-methylpiperazin-1-yl) -1- (2-chloro-6- (methylsulfonyl) phenyl) -6-fluoro-7- (2-fluoro-6-hydroxyphenyl) pyrido [2,3-d ] pyrimidin-2 (1H) -one
LC-MS:m/z 616(M+H)+。1H NMR(400MHz,CDCl3)δ8.81(s,1H),8.19(d,J=8.0Hz,1H),7.95-7.85(m,2H),7.70(t,J=8.4Hz,1H),7.33-7.23(m,1H),6.74-6.50(m,3H),6.10(d,J=16.8Hz,1H),6.10(dd,J=10.4Hz,8Hz;1H),5.15-4.30(m,3H),4.15-3.39(m,3H),3.31-2.95(m,4H),1.51(s,3H).
Example 94- ((S) -4-acryloyl-2-methylpiperazin-1-yl) -7- (2- (difluoromethyl) -6-fluorophenyl) -6-fluoro-1- (2-methyl-6- (methylsulfonyl) phenyl) pyrido [2,3-d ] pyrimidin-2 (1H) -one
LC-MS:m/z 630(M+H)+。1H NMR(400MHz,CDCl3)δ8.01(d,J=7.6Hz,1H),7.87-7.83(m,1H),7.64-7.62(m,1H),7.56-7.46(m,3H),7.26-7.22(m,1H),6.69-6.30(m,3H),5.82(dd,J=10.4Hz,1.6Hz,1H),5.04-4.36(m,3H),4.05-3.62(m,3H),3.27-3.08(m,4H),2.16-2.13(m,3H),1.60-1.49(m,3H).
Example 104- ((S) -4-acryloyl-2-methylpiperazin-1-yl) -6-fluoro-7- (2-fluoro-6-hydroxyphenyl) -1- (2-isopropyl-6- (methylsulfonyl) phenyl) pyridine [2,3-d ] pyrimidin-2 (1H) -one
LC-MS:m/z 624(M+H)+。1H NMR(400MHz,CDCl3)δ8.98(s,1H),8.12(dd,J=8.0Hz,1.6Hz,1H),7.89-7.82(m,2H),7.74(t,J=8.0Hz,1H),7.26(m,1H),6.69-6.62(m,3H),6.42(dd,J=16.8Hz,1.6Hz,1H),5.82(dd,J=10.4Hz,1.6Hz,1H),5.15-4.65(m,3H),4.15-3.50(m,3H),3.30-3.00(m,4H),2.85-2.70(m,1H),1.56-1.48(m,3H),1.25(dd,J=6.8Hz,2.4Hz,3H),1.05(t,J=6.4Hz,3H).
Example 10-1 two isomers, example 10A and example 10B, were obtained by chiral separation:
example 10A: LC-MS: m/z 624(M + H)+。1H NMR(400MHz,DMSO)δ10.23(s,1H),8.31(t,J=10.5Hz,1H),7.95–7.75(m,2H),7.66(t,J=7.9Hz,1H),7.26(m,1H),6.98–6.78(m,1H),6.77–6.59(m,2H),6.22(d,J=16.6Hz,1H),5.78(dd,J=10.5,2.1Hz,1H),4.92(s,1H),4.37(m,2H),4.10(m,1H),3.88–3.46(m,2H),3.18(m,1H),2.65(d,J=6.0Hz,1H),1.34(d,J=6.6Hz,3H),1.10(d,J=6.8Hz,3H),1.00(d,J=6.8Hz,3H).
Example 10B: LC-MS: m/z 624(M + H)+。1H NMR(400MHz,DMSO)δ10.28(s,1H),8.33(t,J=9.2Hz,1H),7.98–7.77(m,2H),7.66(t,J=7.8Hz,1H),7.26m,1H),6.88(m,1H),6.79–6.52(m,2H),6.22(dd,J=16.6,6.0Hz,1H),5.78(dd,J=10.4,2.2Hz,1H),4.89(s,1H),4.55–3.91(m,3H),3.65(m,1H),3.47(m,1H),3.08(m,1H),2.67(m,1H),1.30(s,3H),1.11(d,J=6.8Hz,3H),1.02(m,3H).
Example 11N- (2- (4- ((S) -4-acryloyl-2-methylpiperazin-1-yl) -6-fluoro-7- (2-fluoro-6-hydroxyphenyl) -2-oxopyrano [2,3-d ] pyrimidin-1 (2H) -yl) -3-methylphenyl) -N-methylmethanesulfonamide
LC-MS:m/z 625(M+H)+。1H NMR(400MHz,CDCl3)δ8.64(brs,1H),7.86-7.78(m,1H),7.47(td,J=7.6Hz,1.6Hz;1H),7.40(d,J=7.2Hz,1H),7.32-7.21(m,2H),6.70-6.50(m,3H),6.40(dd,J=16.8Hz,1.6Hz;1H),6.10(dd,J=10.4Hz,1.6Hz;1H),5.05-4.25(m,3H),4.10-3.46(m,3H),3.31-2.99(m,4H),2.85(d,J=2.0Hz,3H),2.17(s,3H),1.54-1.42(m,3H).
Example 124- ((2S, 5R) -4-acryloyl-2, 5-dimethylpiperazin-1-yl) -1- (2-ethyl-6- (methylsulfonyl) phenyl) -6-fluoro-7- (2-fluoro-6-hydroxyphenyl) pyrido [2,3-d ] pyrimidin-2 (1H) -one
LC-MS:m/z 624(M+H)+。1H NMR(400MHz,CDCl3)δ9.03(t,J=18.4Hz,1H),8.14-8.10(m,1H),7.89-7.68(m,3H),7.28-7.23(m,1H),6.71-6.36(m,4H),,5.83-5.79(m,1H),5.12-3.47(m,6H),3.14-3.10(m,3H),2.55-2.37(m,2H),1.51-1.16(m,9H).
Example 13(S) -4- (4-acryloyl-2-methylpiperazin-1-yl) -1- (2-cyclopropyl-6- (methylsulfonyl) phenyl) -6-fluoro-7- (2-fluorophenyl) pyridin [2,3-d ] pyrimidin-2 (1H) -one
LC-MS:m/z 606(M+H)+。1H NMR(400MHz,CDCl3)δ7.99(d,J=7.6Hz,1H),7.80-7.77(m,1H),7.55(t,J=8.0Hz,1H),7.42-7.38(m,2H),7.31-7.26(m,1H),7.16-7.08(m,2H),6.70-6.52(m,1H),6.41(dd,J=16.8Hz,1.6Hz,1H),5.81(dd,J=10.4Hz,1.6Hz,1H),5.04-4.36(m,3H),4.05-3.58(m,3H),3.24-3.04(m,4H),1.67-1.60(m,1H),1.54-1.47(m,3H),0.82-0.76(m,2H),0.66-0.53(m,2H).
Example 142- (4- ((S) -4-acryloyl-2-methylpiperazin-1-yl) -6-fluoro-7- (2-fluoro-6-hydroxyphenyl) -2-oxopyrano [2,3-d ] pyrimidin-1 (2H) -yl) -N, N, 3-trimethylbenzenesulfonamide
LC-MS:m/z 625(M+H)+。1H NMR(400MHz,CDCl3)δ9.04(brs,1H),7.96(d,J=8.0Hz,1H),7.89-7.81(m,1H),7.80(d,J=7.6Hz,1H),7.57(t,J=7.6Hz,1H),7.30-7.22(m,1H),6.71-6.51(m,3H),6.41(dd,J=16.4Hz,1.6Hz;1H),5.82(dd,J=10.4Hz,1.6Hz;1H),5.16-2.92(m,7H),2.73(s,6H),2.50(d,J=7.2Hz,3H),1.50-1.41(m,3H).
Example 15(S) -4- (4-acryloyl-2-methylpiperazin-1-yl) -1- (2-cyclopropyl-6- (methylsulfonyl) phenyl) -7- (2, 6-difluorophenyl) -6-fluoropyridin [2,3-d ] pyrimidin-2 (1H) -one
LC-MS:m/z 624(M+H)+。1H NMR(400MHz,CDCl3)δ7.95(d,J=8.0Hz,1H),7.83-7.78(m,1H),7.50(t,J=8.0Hz,1H),7.42-7.33(m,2H),6.92(t,J=8.4Hz,2H),6.70-6.53(m,1H),6.41(dd,J=16.4Hz,1.6Hz,1H),5.81(dd,J=10.4Hz,2.0Hz,1H),5.08-4.28(m,3H),4.09-3.58(m,3H),3.31-3.07(m,4H),1.65-1.57(m,1H),1.57-1.45(m,3H),0.78-0.74(m,2H),0.66-0.55(m,2H).
Example 164- ((S) -4-acryloyl-2-methylpiperazin-1-yl) -6-fluoro-7- (2-fluoro-6-hydroxyphenyl) -1- (4-isopropyl-2- (methylsulfonyl) pyridin-3-yl) pyridinyl [2,3-d ] pyrimidin-2 (1H) -one
LC-MS:m/z 625(M+H)+。1H NMR(400MHz,CDCl3)δ8.73-8.70(m,1H),8.50-8.41(m,1H),7.89(dd,J=9.2Hz,2.4Hz,1H),7.67(d,J=5.2Hz,1H),7.26(m,1H),6.70-6.50(m,3H),6.40(d,J=16.8Hz,1H),5.81(d,J=10.4Hz,1H),5.10-4.34(m,3H),4.04-3.60(m,3H),3.28-3.09(m,4H),3.00-2.80(m,1H),1.57-1.49(m,3H),1.27(dd,J=6.8Hz,1.6Hz,3H),1.07(t,J=6.4Hz,3H).
Example 16-1 two isomers were obtained by chiral separation, example 16A and example 16B:
example 16A: LC-MS: m/z625(M + H)+。1H NMR(400MHz,DMSO)δ10.22(s,1H),8.70(d,J=4.7Hz,1H),8.34(d,J=9.3Hz,1H),7.87(d,J=4.8Hz,1H),7.26(dd,J=15.2,7.8Hz,1H),6.85(dd,J=15.8,10.0Hz,1H),6.79–6.56(m,2H),6.21(d,J=16.2Hz,1H),5.77(d,J=10.5Hz,1H),4.97(s,1H),4.22(m,3H),3.61(m,2H),3.30–2.90(m,4H),2.81(m,1H),1.31(d,J=6.3Hz,3H),1.12(d,J=6.6Hz,3H),1.03(d,J=6.5Hz,3H).
Example 16B: LC-MS: m/z625(M + H)+。1H NMR(400MHz,DMSO)δ10.22(s,1H),8.70(d,J=5.0Hz,1H),8.31(t,J=10.7Hz,1H),7.87(d,J=5.0Hz,1H),7.26(dd,J=15.4,8.1Hz,1H),7.01–6.77(m,1H),6.76–6.57(m,2H),6.29–6.11(m,1H),5.77(dd,J=10.5,2.0Hz,1H),4.86(s,1H),4.50–3.93(m,3H),3.78–3.40(m,2H),3.30–2.94(m,4H),2.80(m,1H),1.31(d,J=6.5Hz,3H),1.13(d,J=6.8Hz,3H),1.03(d,J=6.7Hz,3H).
Example 17(S) -4- (4-acryloyl-2-methylpiperazin-1-yl) -7- (2-chlorophenyl) -1- (2-cyclopropyl-6- (methylsulfonyl) phenyl) -6-fluoropyridin [2,3-d ] pyrimidin-2 (1H) -one
LC-MS:m/z 622(M+H)+。1H NMR(400MHz,CDCl3)δ7.96(d,J=7.6Hz,1H),7.80-7.77(m,1H),7.51(t,J=8.0Hz,1H),7.41-7.28(m,3H),7.26(m,2H),6.68-6.54(m,1H),6.42(dd,J=16.8Hz,2.0Hz,1H),5.81(dd,J=10.4Hz,1.6Hz,1H),5.08-4.33(m,3H),4.07-3.59(m,3H),3.28-3.09(m,4H),1.69-1.65(m,1H),1.57-1.47(m,3H),0.82-0.76(m,2H),0.67-0.51(m,2H).
Example 184- ((S) -4-acryloyl-2-methylpiperazin-1-yl) -6-fluoro-7- (2-fluoro-6-hydroxyphenyl) -1- (2-isopropyl-4- (methylsulfonyl) pyridin-3-yl) pyridinyl [2,3-d ] pyrimidin-2 (1H) -one
LC-MS:m/z 625(M+H)+。1H NMR(400MHz,CDCl3)δ9.02(t,J=8.8Hz,1H),8.67(t,J=4.8Hz,1H),7.93-7.89(m,2H),7.28-7.26(m,1H),6.71-6.40(m,4H),5.84-5.81(m,1H),4.48-3.68(m,7H),3.15(s,3H),2.97-2.93(m,1H),1.59-1.07(m,9H).
Example 18-1 two isomers, example 18A and example 18B, were obtained by chiral separation:
example 18A: LC-MS: m/z 625(M + H)+。1H NMR(400MHz,DMSO)δ10.31(s,1H),8.96(d,J=5.0Hz,1H),8.40(t,J=10.2Hz,1H),7.89(d,J=5.0Hz,1H),7.32(dd,J=15.3,8.3Hz,1H),7.02–6.84(m,1H),6.83–6.64(m,2H),6.26(dd,J=16.6,5.1Hz,1H),5.82(dd,J=10.4,2.3Hz,1H),4.96(s,1H),4.29(m,3H),3.58(m,2H),3.36–2.87(m,5H),1.43–1.33(m,3H),1.17(d,J=6.7Hz,3H),1.10–1.00(m,3H).
Example 18B: LC-MS: m/z 625(M + H)+。1H NMR(400MHz,DMSO)δ10.24(s,1H),8.90(d,J=5.0Hz,1H),8.35(t,J=10.4Hz,1H),7.83(d,J=5.0Hz,1H),7.26(dd,J=15.3,8.2Hz,1H),6.95–6.79(m,1H),6.78–6.57(m,2H),6.21(d,J=16.6Hz,1H),5.77(dd,J=10.5,2.1Hz,1H),4.97(s,1H),4.22(m,3H),3.86–3.43(m,2H),3.29–2.81(m,5H),1.32(t,J=7.0Hz,3H),1.12(t,J=8.2Hz,3H),1.02(d,J=6.6Hz,3H).
Example 194- ((S) -4-acryloyl-2-methylpiperazin-1-yl) -6-fluoro-7- (2-fluoro-6-methoxyphenyl) -1- (4-isopropyl-2- (methylsulfonyl) pyridin-3-yl) pyridin [2,3-d ] pyrimidin-2 (1H) -one
LC-MS:m/z 639(M+H)+。1H NMR(400MHz,CDCl3)δ8.66(d,J=5.2Hz,1H),7.79-7.75(m,1H),7.58(d,J=4.4Hz,1H),7.33-7.29(m,1H),6.71-6.60(m,3H),6.41-6.38(m,1H),5.80(d,J=10.4Hz,1H),5.04-4.35(m,3H),4.00-3.60(m,6H),3.18(m,4H),2.92(m,1H),1.48(m,3H),1.23(d,J=6.8Hz,3H),1.09(m,3H).
Example 20(S) -4- (4-acryloyl-2-methylpiperazin-1-yl) -7- (2-chlorophenyl) -6-fluoro-1- (4-isopropyl-2- (methylsulfonyl) pyridin-3-yl) pyridine [2,3-d ] pyrimidin-2 (1H) -one
LC-MS:m/z 625(M+H)+。δ8.67-8.65(m,1H),7.81-7.77(m,1H),7.57(d,J=4.8Hz,1H),7.40-7.27(m,4H),6.61(m,1H),6.42-6.38(m,1H),5.80(d,J=10.4Hz,1H),5.16-4.36(m,3H),4.02-3.59(m,3H),3.17(m,4H),2.95(m,1H),1.49(m,3H),1.25(d,J=6.8Hz,3H),1.06(d,J=6.8Hz,3H).
Example 20-1 two isomers, example 20A and example 20B, were obtained by chiral separation:
example 20A: LC-MS: m/z 625(M + H)+。1H NMR(400MHz,DMSO)δ8.71(d,J=5.0Hz,1H),8.41(t,J=9.3Hz,1H),7.88(d,J=5.0Hz,1H),7.56(d,J=7.1Hz,1H),7.50(dd,J=7.4,1.6Hz,1H),7.42(t,J=7.5Hz,1H),7.38–7.25(m,1H),6.86(dd,J=16.6,9.3Hz,1H),6.22(d,J=16.4Hz,1H),5.89–5.69(m,1H),5.02(s,1H),4.23(m,3H),3.93–3.57(m,2H),3.30–3.01(m,4H),2.88(m,1H),1.31(d,J=6.5Hz,3H),1.15(d,J=6.8Hz,3H),1.02(d,J=6.8Hz,3H).
Example 20B: LC-MS: m/z 625(M + H)+。1H NMR(400MHz,DMSO)δ8.71(d,J=5.0Hz,1H),8.37(t,J=10.5Hz,1H),7.88(d,J=5.0Hz,1H),7.48(m,3H),7.30(d,J=7.3Hz,1H),6.87(d,J=10.4Hz,1H),6.22(d,J=16.4Hz,1H),5.78(d,J=12.5Hz,1H),4.86(s,1H),4.62–3.99(m,3H),3.58(m,2H),3.11(m,4H),2.94–2.81(m,1H),1.33(d,J=6.6Hz,3H),1.15(d,J=6.8Hz,3H),1.02(d,J=6.8Hz,3H).
Example 216-fluoro-7- (2-fluoro-6-hydroxyphenyl) -4- ((S) -4- (2-fluoroacryloyl) -2-methylpiperazin-1-yl) -1- (2-isopropyl-6- (methylsulfonyl) phenyl) pyridine [2,3-d ] pyrimidin-2 (1H) -one
LC-MS:m/z 642(M+H)+。1H NMR(400MHz,CDCl3)δ8.97(s,1H),8.13-8.11(m,1H),7.88-7.82(m,2H),7.76-7.72(m,1H),7.28-7.22(m,1H),6.66-6.62(m,2H),5.48-5.35(m,1H),5.26-5.22(m,1H),5.02-4.90(m,1H),4.53-3.65(m,6H),3.11(s,3H),2.82-2.73(m,1H),1.60-1.03(m,9H).
Example 22(S) -4- (4-acryloyl-2-methylpiperazin-1-yl) -7- (2-chloro-4-fluorophenyl) -6-fluoro-1- (4-isopropyl-2- (methylsulfonyl) pyridin-3-yl) pyridin [2,3-d ] pyrimidin-2 (1H) -one
LC-MS:m/z 643(M+H)+。1H NMR(400MHz,CDCl3)δ8.68-8.67(m,1H),7.81-7.78(m,1H),7.59(d,J=5.2Hz,1H),7.34(m,1H),7.14(dd,J=4.4,2.4Hz,1H),7.02-6.99(m,1H),6.61-6.58(m,1H),6.4-6.38(m,1H),5.82-5.80(m,1H),5.01-3.62(m,6H),3.18(m,4H),2.96(m,1H),1.48(m,3H),1.26(d,J=6.8Hz,3H),1.07-1.05(m,3H).
Example 23(S) -7- (2-chlorophenyl) -6-fluoro-4- (4- (2-fluoroacryloyl) -2-methylpiperazin-1-yl) -1- (2-isopropyl-6- (methylsulfonyl) phenyl) pyridine [2,3-d ] pyrimidin-2 (1H) -one
LC-MS:m/z 642(M+H)+。1H NMR(400MHz,CDCl3)δ7.98(d,J=6.8Hz,1H),7.79-7.75(m,1H),7.70-7.69(m,1H),7.60-7.56(m,1H),7.39-7.19(m,4H),5.46-5.33(m,1H),5.25-5.20(m,1H),4.93(m,1H),4.65-3.20(m,6H),3.07(s,3H),2.81-2.75(m,1H),1.52(d,J=6.8Hz,3H),1.23(d,J=6.8Hz,3H),1.02-1.00(m,3H).
Example 242- (4- ((S) -4-acryloyl-2-methylpiperazin-1-yl) -6-fluoro-1- (4-isopropyl-2- (methylsulfonyl) pyridin-3-yl) -2-oxo-1, 2-dihydropyridine [2,3-d ] pyrimidin-7-yl) -3-fluorophenyl acetate
LC-MS:m/z 667(M+H)+。1H NMR(400MHz,CDCl3)δ8.68-8.67(m,1H),7.85-7.79(m,1H),7.56(d,J=4.8Hz,1H),7.43-7.37(m,1H),7.02-6.95(m,2H),6.70-6.53(m,1H),6.42-6.38(m,1H),5.81-5.79(m,1H),5.08-3.63(m,6H),3.17(m,4H),2.76(m,1H),2.02(s,3H),1.46(m,3H),1.20(d,J=6.8Hz,3H),0.99(m,3H).
Example 254- ((S) -4-acryloyl-2-methylpiperazin-1-yl) -1- (2-cyclobutyl-6- (methylsulfonyl) phenyl) -6-fluoro-7- (2-fluoro-6-hydroxyphenyl) pyridine [2,3-d ] pyrimidin-2 (1H) -one
LC-MS:m/z 636(M+H)+。1H NMR(400MHz,CDCl3)δ8.97(s,1H),8.11(d,J=6.8Hz,1H),8.10-7.70(m,3H),7.28-7.22(m,1H),6.69-6.60(m,3H),6.42-6.39(m,1H),5.83-5.80(m,1H),5.05-3.64(m,6H),3.12(m,5H),2.30-2.25(m,1H),2.11-2.08(m,2H),1.85-1.71(m,3H),1.47(d,J=6.4Hz,3H).
Example 25-1 two isomers, example 25A and example 25B, were obtained by chiral separation:
example 25A: LC-MS: m/z 636(M + H)+。1H NMR(400MHz,DMSO)δ10.24(s,1H),8.32(t,J=9.3Hz,1H),7.89(dd,J=7.8,1.1Hz,1H),7.76(d,J=7.3Hz,1H),7.65(m,1H),7.27(m,1H),6.87(m,1H),6.79–6.58(m,2H),6.22(m,1H),5.78(m,1H),4.87(m,1H),4.21(m,3H),3.78–3.42(m,2H),3.31–2.91(m,5H),2.19–1.87(m,3H),1.87–1.57(m,3H),1.33(m,3H).
Example 25B: LC-MS: m/z 636(M + H)+。1H NMR(400MHz,DMSO)δ10.24(s,1H),8.33(t,J=10.1Hz,1H),7.89(dd,J=7.8,1.1Hz,1H),7.76(d,J=7.3Hz,1H),7.66(m,1H),7.27(m,1H),6.99–6.79(m,1H),6.79–6.58(m,2H),6.21(m,1H),5.77(m,1H),4.88(s,1H),4.55–3.97(m,3H),3.77–3.42(m,2H),3.30–2.89(m,5H),2.13–1.88(m,3H),1.89–1.57(m,3H),1.29(m,3H).
Example 26(S) -4- (4-acryloyl-2-methylpiperazin-1-yl) -7- (2-chloro-3-fluorophenyl) -6-fluoro-1- (4-isopropyl-2- (methylsulfonyl) pyridin-3-yl) pyridin [2,3-d ] pyrimidin-2 (1H) -one
LC-MS:m/z 643(M+H)+。1H NMR(400MHz,CDCl3)δ8.67-8.66(m,1H),7.83-7.80(m,1H),7.58(d,J=4.2Hz,1H),7.28-7.13(m,3H),6.61-6.58(m,1H),6.42-6.39(m,1H),5.83-5.80(m,1H),5.34-3.62(m,6H),3.18(m,4H),2.97(m,1H),1.49(m,3H),1.27-1.25(m,3H),1.07-1.06(m,3H).
Example 274- ((S) -4-acryloyl-2-methylpiperazin-1-yl) -7- (2-chloro-6-hydroxyphenyl) -6-fluoro-1- (4-isopropyl-2- (methylsulfonyl) pyridin-3-yl) pyridin [2,3-d ] pyrimidin-2 (1H) -one
LC-MS:m/z 641(M+H)+。1H NMR(400MHz,CDCl3)δ8.61(m,1H),7.90-7.86(m,1H),7.61-7.60(m,1H),7.26-7.18(m,1H),6.96(d,J=8.0Hz,1H),6.84(d,J=8.4Hz,1H),6.60-6.57(m,1H),6.42-6.38(m,1H),5.82-5.79(m,1H),5.06-3.61(m,6H),3.30(s,3H),2.95-2.88(m,2H),1.54-1.50(m,3H),1.28-1.26(m,3H),1.02(m,3H).
Example 284- ((S) -4-acryloyl-2-methylpiperazin-1-yl) -7- (2-chloro-6-fluorophenyl) -6-fluoro-1- (4-isopropyl-2- (methylsulfonyl) pyridin-3-yl) pyridin [2,3-d ] pyrimidin-2 (1H) -one
LC-MS:m/z 643(M+H)+。1H NMR(400MHz,CDCl3)δ8.66(m,1H),7.87-7.83(m,1H),7.58(d,J=4.8Hz,1H),7.36-7.31(m,1H),7.23-7.21(m,1H),7.03-7.02(m,1H),6.61-6.58(m,1H),6.42-6.38(m,1H),5.82-5.79(m,1H),5.06-3.61(m,6H),3.27-3.12(m,4H),2.92(m,1H),1.53-1.50(m,3H),1.25-1.23(m,3H),1.08(m,3H).
Example 294- ((S) -4-acryloyl-2-methylpiperazin-1-yl) -6-fluoro-7- (2-fluoro-6-hydroxyphenyl) -1- (3-isopropyl-5- (methylsulfonyl) pyrimidin-4-yl) pyridine [2,3-d ] pyrimidin-2 (1H) -one
LC-MS:m/z 625(M+H)+。1H NMR(400MHz,CDCl3)δ9.25(s,1H),9.06(s,1H),8.58(s,1H),7.90(d,J=9.3Hz,1H),7.32–7.23(m,1H),6.74–6.51(m,3H),6.42(dd,J=16.7,1.6Hz,1H),5.89–5.77(m,1H),5.27–3.45(m,6H),3.17(s,4H),2.83(m,1H),1.56–1.41(m,3H),1.30(m,3H),1.14(t,J=6.5Hz,3H).
Example 29-1 two isomers, example 29A and example 29B, were obtained by chiral separation:
example 29A: LC-MS: m/z625(M + H)+。
Example 29B: LC-MS: m/z625(M + H)+。
Example 30(S) -4- (4-acryloyl-2-methylpiperazin-1-yl) -7- (2-chlorophenyl) -6-fluoro-1- (2-isopropyl-6- (methylsulfonyl) phenyl) pyridin [2,3-d ] pyrimidin-2 (1H) -one
LC-MS:m/z 624(M+H)+。1H NMR(400MHz,CDCl3)δ7.98(dd,J=7.8,1.3Hz,1H),7.84–7.73(m,1H),7.70(d,J=6.8Hz,1H),7.58(t,J=7.9Hz,1H),7.44–7.30(m,2H),7.28–7.15(m,2H),6.61(m,1H),6.41(dd,J=16.8,1.7Hz,1H),5.81(d,J=10.5Hz,1H),5.13–3.47(m,6H),3.08(m,4H),2.80(m,1H),1.50(m,3H),1.24(t,J=6.4Hz,3H),1.01(d,J=6.8Hz,3H).
Example 30-1 two isomers, example 30A and example 30B, were obtained by chiral separation:
example 30A: LC-MS: m/z 624(M + H)+。1H NMR(400MHz,DMSO)δ8.38(t,J=9.3Hz,1H),7.86(m,2H),7.66(t,J=7.8Hz,1H),7.47(m,3H),7.22(d,J=7.2Hz,1H),6.92–6.74(m,1H),6.22(d,J=16.6Hz,1H),5.77(d,J=10.7Hz,1H),4.96(brs,1H),4.23(m,3H),3.87–3.44(m,2H),3.28–3.07(m,1H),3.01(s,3H),2.71(d,J=6.1Hz,1H),1.30(t,J=14.4Hz,3H),1.11(d,J=6.7Hz,3H),0.94(t,J=28.8Hz,3H).
Example 30B: LC-MS: m/z 624(M + H)+。1H NMR(400MHz,DMSO)δ8.37(m,1H),7.86(m,2H),7.66(t,J=7.5Hz,1H),7.47(m,3H),7.22(d,J=7.0Hz,1H),6.96–6.68(m,1H),6.22(d,J=15.4Hz,1H),5.77(d,J=10.3Hz,1H),4.88(brs,1H),4.53–3.94(m,3H),3.76–3.45(m,2H),3.33–2.60(m,5H),1.30(t,J=15.2Hz,3H),1.09(t,J=15.7Hz,3H),0.95(t,J=27.8Hz,3H).
Example 312- (4- ((S) -4-acryloyl-2-methylpiperazin-1-yl) -6-fluoro-1- (2-isopropyl-6- (methylsulfonyl) phenyl) -2-oxo-1, 2-dihydropyridine [2,3-d ] pyrimidin-7-yl) -3-fluorophenylacetate
LC-MS:m/z 666(M+H)+。1H NMR(400MHz,CDCl3)δ7.91(d,J=7.3Hz,1H),7.76(s,1H),7.60(d,J=7.4Hz,1H),7.52(t,J=7.6Hz,1H),7.32(m,1H),6.99–6.76(m,2H),6.55(m,1H),6.34m,1H),5.75(m,1H),5.23–3.42(m,6H),3.15(m,4H),2.54(s,1H),1.94(s,3H),1.57–1.30(m,3H),1.07(m,3H),0.85(m,3H).
Example 31-1 two isomers, example 31A and example 31B, were obtained by chiral separation:
example 31A: LC-MS: m/z 666(M + H)+。1H NMR(400MHz,DMSO)δ8.38(t,J=9.3Hz,1H),7.89(dd,J=7.8,1.3Hz,1H),7.80(dt,J=14.3,7.2Hz,1H),7.66(t,J=7.8Hz,1H),7.56(td,J=8.4,6.6Hz,1H),7.25(t,J=8.7Hz,1H),7.12(d,J=7.8Hz,1H),6.87(m,1H),6.22(d,J=16.7Hz,1H),5.78(d,J=10.6Hz,1H),4.93(brs,1H),4.35(m,2H),4.10(m,1H),3.86–3.46(m,2H),3.24(m,1H),2.99(m,3H),2.60(m,1H),2.13–1.86(m,3H),1.35(d,J=6.5Hz,3H),1.09(d,J=6.6Hz,3H),0.90(t,J=12.5Hz,3H).
Example 31B: LC-MS: m/z 666(M + H)+。1H NMR(400MHz,DMSO)δ8.41(t,J=8.8Hz,1H),7.89(dd,J=7.8,1.4Hz,1H),7.82(dt,J=7.9,3.9Hz,1H),7.66(t,J=7.8Hz,1H),7.56(td,J=8.4,6.6Hz,1H),7.25(t,J=8.8Hz,1H),7.12(d,J=8.0Hz,1H),7.00–6.78(m,1H),6.34–6.09(m,1H),5.78(dd,J=10.4,2.3Hz,1H),4.90(brs,1H),4.56–3.94(m,3H),3.63(m,2H),3.31–2.88(m,4H),2.66(m,1H),2.09–1.87(m,3H),1.31(m,3H),1.09(d,J=6.6Hz,3H),0.93(m,3H).
Example 32(S) -4- (4-acryloyl-2-methylpiperazin-1-yl) -7- (2-chloro-3-fluorophenyl) -6-fluoro-1- (2-isopropyl-6- (methylsulfonyl) phenyl) pyridin [2,3-d ] pyrimidin-2 (1H) -one
LC-MS:m/z 642(M+H)+。1H NMR(400MHz,CDCl3)δ8.03–7.91(m,1H),7.80(dd,J=8.6,5.5Hz,1H),7.70(d,J=7.0Hz,1H),7.59(t,J=7.8Hz,1H),7.21(m,2H),7.02(d,J=7.4Hz,1H),6.61(s,1H),6.41(dd,J=16.8,1.6Hz,1H),5.81(d,J=10.5Hz,1H),5.24–3.42(m,6H),3.08(s,4H),2.80(m,1H),1.47(m,3H),1.25(m,3H),1.06–0.93(m,3H).
Example 32-1 two isomers, example 32A and example 32B, were obtained by chiral separation:
example 32A: LC-MS: m/z 642(M + H)+。1H NMR(400MHz,DMSO)δ8.42(t,J=9.4Hz,1H),7.86(m,2H),7.67(t,J=7.8Hz,1H),7.58–7.23(m,2H),7.12(m,1H),6.91(m,1H),6.22(d,J=16.9Hz,1H),5.78(d,J=11.3Hz,1H),4.97(brs,1H),4.23(m,3H),3.90–3.56(m,2H),3.20(m,1H),3.01(s,3H),2.73(m,1H),1.32(d,J=6.4Hz,3H),1.11(d,J=6.7Hz,3H),0.98(d,J=6.7Hz,3H).
Example 32B: LC-MS: m/z 642(M + H)+。1H NMR(400MHz,DMSO)δ8.40(t,J=9.9Hz,1H),7.87(m,2H),7.67(t,J=7.8Hz,1H),7.59–7.38(m,2H),7.10(d,J=7.5Hz,1H),6.87(dd,J=26.4,15.8Hz,1H),6.22(d,J=16.5Hz,1H),5.90–5.66(m,1H),4.87(brs,1H),4.24(m,3H),3.82–3.45(m,2H),3.18(m,1H),3.01(s,3H),2.74(m,1H),1.31(t,J=6.4Hz,3H),1.11(d,J=6.8Hz,3H),0.98(d,J=6.8Hz,3H).
Example 33(S) -4- (4-acryloyl-2-methylpiperazin-1-yl) -7- (2-chlorophenyl) -6-fluoro-1- (2-isopropyl-4- (methylsulfonyl) pyridin-3-yl) pyridine [2,3-d ] pyrimidin-2 (1H) -one
LC-MS:m/z 625(M+H)+。
Example 33-1 two isomers were obtained by chiral separation, example 33A and example 33B:
example 33A: LC-MS: m/z 625(M + H)+。
Example 33B: LC-MS: m/z 625(M + H)+。
Example 34(S) -4- (4-acryloyl-2-methylpiperazin-1-yl) -7- (2-chloro-3-fluorophenyl) -6-fluoro-1- (2-isopropyl-4- (methylsulfonyl) pyridin-3-yl) pyridin [2,3-d ] pyrimidin-2 (1H) -one
LC-MS:m/z 643(M+H)+。
Example 34-1 two isomers, example 34A and example 34B, were obtained by chiral separation:
example 34A: LC-MS: m/z 643(M + H)+。
Example 34B: LC-MS: m/z 643(M + H)+。
Example 35(S) -4- (4-acryloyl-2-methylpiperazin-1-yl) -7- (2-chlorophenyl) -1- (2-cyclobutyl-6- (methylsulfonyl) phenyl) -6-fluoropyridin [2,3-d ] pyrimidin-2 (1H) -one
LC-MS:m/z 636(M+H)+。
Example 35-1 two isomers, example 35A and example 35B, were obtained by chiral separation:
example 35A: LC-MS: m/z 636(M + H)+。
Example 35B: LC-MS: m/z 636(M + H)+。
Example 36(S) -4- (4-acryloyl-2-methylpiperazin-1-yl) -7- (2-chloro-3-fluorophenyl) -1- (2-cyclobutyl-6- (methylsulfonyl) phenyl) -6-fluoropyridin [2,3-d ] pyrimidin-2 (1H) -one
LC-MS:m/z 654(M+H)+。
Example 36-1 two isomers, example 36A and example 36B, were obtained by chiral separation:
example 36A: LC-MS: m/z 654(M + H)+。
Example 36B: LC-MS: m/z 654(M + H)+。
Example 37(S) -4- (4-acryloyl-2-methylpiperazin-1-yl) -7- (2-chloropyridin-3-yl) -6-fluoro-1- (2-isopropyl-6- (methylsulfonyl) phenyl) pyridin [2,3-d ] pyrimidin-2 (1H) -one
LC-MS:m/z 625(M+H)+。
Example 37-1 two isomers, example 37A and example 37B, were obtained by chiral separation:
example 37A: LC-MS: m/z 625(M+H)+。
Example 37B: LC-MS: m/z 625(M + H)+。
Example 38(S) -4- (4-acryloyl-2-methylpiperazin-1-yl) -7- (3-chloropyridin-4-yl) -6-fluoro-1- (2-isopropyl-6- (methylsulfonyl) phenyl) pyridin [2,3-d ] pyrimidin-2 (1H) -one
LC-MS:m/z 625(M+H)+。
Example 38-1 two isomers, example 38A and example 38B, were obtained by chiral separation:
example 38A: LC-MS: m/z 625(M + H)+。
Example 38B: LC-MS: m/z 625(M + H)+。
Example 39(S) -4- (4-acryloyl-2-methylpiperazin-1-yl) -7- (4-chloropyridin-3-yl) -6-fluoro-1- (2-isopropyl-6- (methylsulfonyl) phenyl) pyridin [2,3-d ] pyrimidin-2 (1H) -one
LC-MS:m/z 625(M+H)+。
Example 39-1 two isomers, example 39A and example 39B, were obtained by chiral separation:
example 39A: LC-MS: m/z 625(M + H)+。
Example 39B: LC-MS: m/z 625(M + H)+。
Example 40(S) -4- (4-acryloyl-2-methylpiperazin-1-yl) -7- (3-chloropyridin-2-yl) -6-fluoro-1- (2-isopropyl-6- (methylsulfonyl) phenyl) pyridin [2,3-d ] pyrimidin-2 (1H) -one
LC-MS:m/z 625(M+H)+。
Example 40-1 two isomers, example 39A and example 39B, were obtained by chiral separation:
example 40A: LC-MS: m/z 625(M + H)+。
Example 40B: LC-MS: m/z 625(M + H)+。
Example 41(S) -4- (4-acryloyl-2-methylpiperazin-1-yl) -7- (2-aminopyridin-3-yl) -6-fluoro-1- (2-isopropyl-6- (methylsulfonyl) phenyl) pyridin [2,3-d ] pyrimidin-2 (1H) -one
LC-MS:m/z 606(M+H)+。
Example 41-1 two isomers, example 41A and example 41B, were obtained by chiral separation:
example 41A: LC-MS: m/z 606(M + H)+。
Example 41B: LC-MS: m/z 606(M + H)+。
Example 42(S) -4- (4-acryloyl-2-methylpiperazin-1-yl) -7- (3-aminopyridin-4-yl) -6-fluoro-1- (2-isopropyl-6- (methylsulfonyl) phenyl) pyridin [2,3-d ] pyrimidin-2 (1H) -one
LC-MS:m/z 606(M+H)+。
Example 42-1 two isomers, example 42A and example 42B, were obtained by chiral separation:
example 42A: LC-MS: m/z 606(M + H)+。
Example 42B: LC-MS: m/z 606(M + H)+。
Example 43(S) -4- (4-acryloyl-2-methylpiperazin-1-yl) -7- (4-aminopyridin-3-yl) -6-fluoro-1- (2-isopropyl-6- (methylsulfonyl) phenyl) pyridin [2,3-d ] pyrimidin-2 (1H) -one
LC-MS:m/z 606(M+H)+。
Example 43-1 two isomers, example 43A and example 43B, were obtained by chiral separation:
example 43A: LC-MS: m/z 606(M + H)+。
Example 43B: LC-MS: m/z 606(M + H)+。
Example 44(S) -4- (4-acryloyl-2-methylpiperazin-1-yl) -7- (3-aminopyridin-2-yl) -6-fluoro-1- (2-isopropyl-6- (methylsulfonyl) phenyl) pyridin [2,3-d ] pyrimidin-2 (1H) -one
LC-MS:m/z 606(M+H)+。
Example 44-1 two isomers, example 44A and example 44B, were obtained by chiral separation:
example 44A: LC-MS: m/z 606(M + H)+。
Example 44B: LC-MS: m/z 606(M + H)+。
Example 452- (4- ((S) -4-acryloyl-2-methylpiperazin-1-yl) -6-fluoro-1- (2-isopropyl-6- (methylsulfonyl) phenyl) -2-oxo-1, 2-dihydropyridin [2,3-d ] pyrimidin-7-yl) -3-fluorophenylpropionate
LC-MS:m/z 680(M+H)+。
Example 45-1 two isomers, example 45A and example 45B, were obtained by chiral separation:
example 45A: LC-MS: m/z 680(M + H)+。
Example 45B: LC-MS: m/z 680(M + H)+。
Example 462- (4- ((S) -4-acryloyl-2-methylpiperazin-1-yl) -6-fluoro-1- (2-isopropyl-6- (methylsulfonyl) phenyl) -2-oxo-1, 2-dihydropyridin [2,3-d ] pyrimidin-7-yl) -3-fluorophenylisobutyrate
LC-MS:m/z 694(M+H)+。
Example 46-1 two isomers, example 46A and example 46B, were obtained by chiral separation:
example 46A: LC-MS: m/z 694(M + H)+。
Example 46B: LC-MS: m/z 694(M + H)+。
Example 472- (4- ((S) -4-acryloyl-2-methylpiperazin-1-yl) -6-fluoro-1- (2-isopropyl-6- (methylsulfonyl) phenyl) -2-oxo-1, 2-dihydropyridine [2,3-d ] pyrimidin-7-yl) -3-fluorophenylmethylcarbamate
LC-MS:m/z 681(M+H)+。
Example 47-1 two isomers, example 47A and example 47B, were obtained by chiral separation:
example 47A: LC-MS: m/z 681(M + H)+。
Example 47B: LC-MS: m/z 681(M + H)+。
Example 48 methyl (2- (4- ((S) -4-acryloyl-2-methylpiperazin-1-yl) -6-fluoro-1- (2-isopropyl-6- (methylsulfonyl) phenyl) -2-oxo-1, 2-dihydropyridine [2,3-d ] pyrimidin-7-yl) -3-fluorophenyl) carbamate
LC-MS:m/z 681(M+H)+。
Example 48-1 two isomers, example 48A and example 48B, were obtained by chiral separation:
example 48A: LC-MS: m-z 681(M+H)+。
Example 48B: LC-MS: m/z 681(M + H)+。
Example 491- (2- (4- ((S) -4-acryloyl-2-methylpiperazin-1-yl) -6-fluoro-1- (2-isopropyl-6- (methylsulfonyl) phenyl) -2-oxo-1, 2-dihydropyridine [2,3-d ] pyrimidin-7-yl) -3-fluorophenyl) -3-methylurea
LC-MS:m/z 680(M+H)+。
Example 49-1 gave two isomers by chiral separation, example 49A and example 49B:
example 49A: LC-MS: m/z 680(M + H)+。
Example 49B: LC-MS: m/z 680(M + H)+。
Example 50N- (2- (4- ((S) -4-acryloyl-2-methylpiperazin-1-yl) -6-fluoro-1- (2-isopropyl-6- (methylsulfonyl) phenyl) -2-oxo-1, 2-dihydropyridine [2,3-d ] pyrimidin-7-yl) -3-fluorophenyl) -methanesulfonamide
LC-MS:m/z 701(M+H)+。
Example 50-1 two isomers, example 50A and example 50B, were obtained by chiral separation:
example 50A: LC-MS: m/z 701(M + H)+。
Example 50B: LC-MS: m/z 701(M + H)+。
Example 514 preparation of- ((S) -4-acryloyl-2-methylpiperazin-1-yl) -6-fluoro-7- (2-fluoro-6-hydroxyphenyl) -1- (2- (methylsulfonyl) phenyl) pyridin [2,3-d ] pyrimidin-2 (1H) -one
Step 1 preparation of 2, 6-dichloro-5-fluoro-N- (((2- (methylsulfonyl) phenyl) carbamoyl) nicotinamide
2, 6-dichloro-5-fluoronicotinamide (420mg, 2.0mmol) was dissolved in anhydrous tetrahydrofuran (7mL), and a solution of oxalyl chloride (1.7mL, 20.0mmol) in dichloromethane (2mL) was slowly added dropwise to this solution. After the addition was complete, the mixture was stirred under reflux at 75 ℃ for 2h and then concentrated to dryness under reduced pressure. The residue was diluted with anhydrous tetrahydrofuran (7mL) and cooled to 0 ℃. 2- (methylsulfonyl) aniline (360mg, 2.1mmol) was dissolved in anhydrous tetrahydrofuran (3mL) and added dropwise to the solution. The reaction mixture was stirred at 0 ℃ for 2h, quenched with saturated ammonium chloride/saturated brine (V/V-1/1, 20mL), and extracted 3 times with dichloromethane/methanol (V/V-10/1, 20 mL). The combined organic phases were dried, concentrated, and the residual solid was slurried with petroleum ether/ethyl acetate (V/V. 3/1, 15mL), suction-filtered, and dried to give the desired product (645mg, yield: 79%).
LC-MS:m/z 406(M+H)+。
Step 2 preparation of 7-chloro-6-fluoro-1- (2- (methylsulfonyl) phenyl) pyrido [2,3-d ] pyrimidine-2, 4(1H, 3H) -dione
Suspending 2, 6-dichloro-5-fluoro-N- (((2- (methylsulfonyl) phenyl) carbamoyl) nicotinamide (645mg, 1.6mmol) in tetrahydrofuran (15mL), dropwise adding potassium bis (trimethylsilyl) amide (1 mol in tetrahydrofuran, 3.6mL, 3.6mmol) under ice bath, clarifying the reaction solution after completion of dropwise addition, stirring the reaction solution at room temperature for 16h, quenching with saturated ammonium chloride (20mL), extracting with ethyl acetate (20mL) 3 times, combining ethyl acetate layers, drying, concentrating, slurrying the residual solid with petroleum ether/ethyl acetate (V/V ═ 3/1, 10mL), suction-filtering, and drying to obtain the desired product (500mg, yield: 85%).
LC-MS:m/z 370(M+H)+。1H NMR(400MHz,DMSO-d6)δ12.32(s,1H),8.50(d,J=7.2Hz,1H),8.15(dd,J=8.0Hz,1.2Hz,1H),7.97-7.92(m,1H),7.86-7.81(m,1H),7.66(dd,J=8.0Hz,1.2Hz,1H),3.09(s,3H).
Preparation of (S) -tert-butyl 4- (7-chloro-6-fluoro-1- (2- (methylsulfonyl) phenyl) -2-oxo-1, 2-dihydropyrido [2,3-d ] pyrimidin-4-yl) -3-methylpiperazine-1-carboxylic acid
7-chloro-6-fluoro-1- (2- (methylsulfonyl) phenyl) pyrido [2,3-d ] pyrimidine-2, 4(1H, 3H) -dione (450mg, 1.2mmol) was suspended in acetonitrile (10mL), N-diisopropylethylamine (1.2mL, 7.3mmol) and phosphorus oxychloride (0.6mL, 6.1mmol) were added dropwise, and the reaction solution was clarified. The reaction mixture was stirred at 80 ℃ for 4h and concentrated to dryness under reduced pressure. The residue was dissolved in acetonitrile (10mL), cooled to 0 ℃, N-diisopropylethylamine (0.6mL, 3.7mmol) and tert-butyl (S) -3-methylpiperazine-1-carboxylate (290mg, 1.5mmol) were added, the reaction was stirred at room temperature for 1h, quenched with half-saturated sodium bicarbonate solution (40mL) and extracted 3 times with ethyl acetate (30 mL). The combined ethyl acetate layers were dried, concentrated, and purified with a silica gel column (petroleum ether/ethyl acetate: 3/1 to 1/2.5) to obtain the objective product (460mg, yield: 68%).
LC-MS:m/z 552(M+H)+。
Preparation of (S) -4- (4-acryloyl-2-methylpiperazin-1-yl) -7-chloro-6-fluoro-1- (2- (methylsulfonyl) phenyl) pyridin [2,3-d ] pyrimidin-2 (1H) -one in step 4
(S) -tert-butyl 4- (7-chloro-6-fluoro-1- (2- (methylsulfonyl) phenyl) -2-oxo-1, 2-dihydropyrido [2,3-d ] pyrimidin-4-yl) -3-methylpiperazine-1-carboxylic acid (500mg, 0.9mmol) was dissolved in dichloromethane (10mL), trifluoroacetic acid (2mL) was added, the reaction solution was stirred for 2h at room temperature, concentrated to dryness, and the residue was co-evaporated with dichloromethane (15mL) 3 times to give the crude product. The crude product was dissolved in dichloromethane (8mL), cooled to 0 deg.C, and a solution of N, N-diisopropylethylamine (0.6mL, 3.6mmol) and acryloyl chloride (110mg, 1.2mmol) in dichloromethane (1mL) was added dropwise. The reaction mixture was stirred at 0 ℃ for 30min, quenched with saturated sodium bicarbonate (30mL), and extracted with dichloromethane (20mL) 3 times, the dichloromethane layers were combined, dried, concentrated, and the residue was purified with silica gel column (dichloromethane/methanol: 60/1) to give the objective product (380mg, yield: 83%).
LC-MS:m/z 506(M+H)+。
Step 5 preparation of 4- ((S) -4-acryloyl-2-methylpiperazin-1-yl) -6-fluoro-7- (2-fluoro-6-hydroxyphenyl) -1- (2- (methylsulfonyl) phenyl) pyridin [2,3-d ] pyrimidin-2 (1H) -one
(S) -4- (4-acryloyl-2-methylpiperazin-1-yl) -7-chloro-6-fluoro-1- (2- (methylsulfonyl) phenyl) pyridine [2,3-d ] pyrimidin-2 (1H) -one (150mg, 0.3mmol), (2-fluoro-6-hydroxyphenyl) boronic acid (60mg, 0.4mmol), [1,1' -bis (diphenylphosphino) ferrocene ] palladium dichloride dichloromethane complex (24mg, 0.03mmol) and potassium acetate (120mg, 1.2mmol) were suspended in a mixed solvent of dioxane/water (7.5mL/0.75mL), displaced with nitrogen 3 times, and stirred at 90 ℃ for 2H. After the reaction solution was cooled to room temperature, a half-saturated sodium bicarbonate solution (20mL) was added, and extracted 3 times with ethyl acetate (20 mL). The ethyl acetate layers were combined, dried, concentrated, and the residue was purified with a silica gel column (dichloromethane/methanol: 100/1 to 60/1) to obtain the objective product (90mg, yield: 52%).
LC-MS:m/z 582(M+H)+。1H NMR(400MHz,CDCl3)δ8.97-8.94(m,1H),8.27(d,J=8.0Hz,1H),7.90-7.84(m,2H),7.79-7.74(m,1H),7.46-7.42(m,1H),7.29-7.23(m,1H),6.71-6.57(m,3H),6.44-6.38(m,1H),5.82(d,J=11.2Hz,1H),5.12-4.32(m,3H),4.07-3.63(m,3H),3.24-3.01(m,4H),1.50(s,3H).
The following compounds were synthesized according to the procedure of example 51, starting from different starting materials:
example 524- ((S) -4-acryloyl-2-methylpiperazin-1-yl) -6-fluoro-7- (2-fluoro-6-hydroxyphenyl) -1- (2- (isopropylsulfonyl) phenyl) pyridin [2,3-d ] pyrimidin-2 (1H) -one
LC-MS:m/z 610(M+H)+。1H NMR(400MHz,CDCl3)δ8.91-8.86(m,1H),8.22-8.19(m,1H),7.88-7.82(m,2H),7.75-7.72(m,1H),7.45-7.42(m,1H),7.28-7.23(m,1H),6.71-6.63(m,3H),6.44-6.39(m,1H),5.83-5.80(m,1H),5.04-4.79(m,3H),4.56-3.90(m,4H),3.71-3.48(m,1H),1.50(s,3H),1.33-1.30(m,3H),1.18-1.16(m,3H).
Example 534- ((S) -4-acryloyl-2-methylpiperazin-1-yl) -6-fluoro-7- (2-fluoro-6-hydroxyphenyl) -1- (2-methyl-6- (methylsulfonyl) phenyl) pyridine [2,3-d ] pyrimidin-2 (1H) -one
LC-MS:m/z 596(M+H)+。1H NMR(400MHz,CDCl3)δ8.12-8.11(m,1H),7.89-7.87(m,1H),7.75-7.63(m,2H),7.26(m,1H),6.69-6.64(m 3H),6.44-6.40(m,1H),5.84-5.81(m,1H),5.00-4.40(m,3H),4.07-3.65(m,3H),3.25-3.16(m,4H),2.20-2.18(m,3H),1.58-1.50(m,3H).
Example 53-1 two isomers, example 53A and example 53B, were obtained by chiral separation:
example 53A: LC-MS: m/z 596(M + H)+。
Example 53B: LC-MS: m/z 596(M + H)+。
Example 544- ((S) -4-acryloyl-2-methylpiperazin-1-yl) -6-fluoro-7- (2-fluoro-6-hydroxyphenyl) -1- (2- (methylsulfonyl) pyridin-3-yl) pyridin [2,3-d ] pyrimidin-2 (1H) -one
LC-MS:m/z 583(M+H)+。1H NMR(400MHz,CDCl3)δ8.80(dd,J=4.8,1.2Hz,1H),8.37-8.25(m,1H),8.05(dd,J=8.0,1.2Hz,1H),7.90-7.87(m,1H),7.26(dd,J=14.6,7.6Hz,1H),6.92(m,1H),6.82-6.65(m,2H),6.23-6.18(m,1H),5.76(dd,J=6.4,2.4Hz,1H),4.98-4.82(m,1H),4.44-4.00(m,3H),3.81-3.62(m,2H),3.24-3.00(m,4H),1.34-1.29(m,3H).
Example 554- ((S) -4-acryloyl-2-methylpiperazin-1-yl) -6-fluoro-7- (2-fluoro-6-hydroxyphenyl) -1- (4- (methylsulfonyl) pyridin-3-yl) pyridin [2,3-d ] pyrimidin-2 (1H) -one
LC-MS:m/z 583(M+H)+。1H NMR(400MHz,CDCl3)δ9.06(d,J=4.2Hz),8.75-8.74(m,1H),8.59-8.57(m,1H),8.10(d,J=4.2Hz),7.87(d,J=11.2Hz,1H),7.30-7.25(m,1H),6.72-6.57(m,3H),6.64-6.58(m,1H),5.84-5.82(m,1H),5.29-4.28(m,3H),4.10-3.61(m,3H),3.22-2.92(m,4H0,1.59-1.48(m,3H).
Example 562- (1-acryloyl-4- (6-fluoro-7- (2-fluoro-6-hydroxyphenyl) -1- (2- (methylsulfonyl) phenyl) -2-oxo-1, 2-dihydropyridin [2,3-d ] pyrimidin-4-yl) piperazin-2-yl) acetonitrile
LC-MS:m/z 607(M+H)+。1H NMR(400MHz,CDCl3)δ8.29-8.24(m,1H),7.96-7.76(m,3H),7.47-7.43(m,1H),7.29(m,1H),6.70-6.56(m,3H),6.45-6.41(m,1H),5.00(brs,1H),4.56-3.70(m,6H),3.16(m,3H),3.16-3.10(m,1H),2.98-2.79(m,1H).
Example 572- (1-acryloyl-4- (6-fluoro-7- (2-fluoro-6-hydroxyphenyl) -1- (2-methyl-6- (methylsulfonyl) phenyl) -2-oxo-1, 2-dihydropyridin [2,3-d ] pyrimidin-4-yl) piperazin-2-yl) acetonitrile
LC-MS:m/z 621(M+H)+。1H NMR(400MHz,CDCl3)δ8.12-7.97(m,2H),7.76-7.72(m,1H),7.67-7.64(m,1H),7.29(m,1H),6.69-6.46(m,3H),6.42-6.41(m,1H),5.88-5.86(m,1H),5.00(brs,1H),4.54-3.77(m,6H),3.12(m,4H),2.81-2.77(m,1H),2.20-2.17(m,3H).
Example 582- (1-acryloyl-4- (6-fluoro-7- (2-fluoro-6-hydroxyphenyl) -1- (2- (methylsulfonyl) pyridin-3-yl) -2-oxo-1, 2-dihydropyridin [2,3-d ] pyrimidin-4-yl) piperazin-2-yl) acetonitrile
LC-MS:m/z 608(M+H)+。1H NMR(400MHz,CDCl3)δ8.82-8.81(m,1H),7.99-7.76(m,3H),7.30(m,1H),6.70-6.56(m,3H),6.44-6.40(m,1H),5.87-5.84(m,1H),5.01(brs,1H),4.61-3.60(m,6H),3.29(m,3H),2.96-2.76(m,2H).
Example 594- ((S) -4-acryloyl-2-methylpiperazin-1-yl) -7- (2-chloro-6-fluorophenyl) -6-fluoro-1- (2-methyl-6- (methylsulfonyl) phenyl) pyridin [2,3-d ] pyrimidin-2 (1H) -one
LC-MS:m/z 614(M+H)+。1H NMR(400MHz,CDCl3)δ7.95(d,J=3.6Hz,1H),7.82(t,J=8.4Hz,1H),7.60(d,J=3.2Hz,1H),7.50(t,J=8.4Hz,1H),7.34-7.29(m,1H),7.20(d,J=8Hz,1H),7.02(m,1H),6.60(m,1H),6.39(dd,J=1.6Hz,17.2Hz,1H),5.80(dd,J=1.2Hz,10.4Hz,1H),5.20-4.20(m,3H),4.10-3.55(m,3H),3.40-3.05(m,4H),2.17-2.15(m,3H),1,.51(m,3H).
Example 602- (4-acryloyl-1- (6-fluoro-7- (2-fluoro-6-hydroxyphenyl) -1- (2- (methylsulfonyl) phenyl) -2-oxo-1, 2-dihydropyrido [2,3-d ] pyrimidin-4-yl) piperazin-2-yl) acetonitrile
LC-MS:m/z 607(M+H)+。1H NMR(400MHz,CDCl3)δ8.87-8.77(m,1H),8.22-8.19(m,1H),7.86-7.80(m,3H),7.69(m,1H),7.37-7.36(m,1H),7.25(m,1H),6.66-6.53(m,3H),6.39(d,J=17.2Hz,1H),5.81(d,J=10Hz,1H),5.30-5.20(m,1H),4.80-3.95(m,3H),3.90-3.30(m,3H),3.09-2.88(m,5H).
Example 612- (4-acryloyl-1- (6-fluoro-7- (2-fluoro-6-hydroxyphenyl) -1- (2- (methylsulfonyl) phenyl) -2-oxo-1, 2-dihydropyrido [2,3-d ] pyrimidin-4-yl) piperazin-2-yl) acetamide
LC-MS:m/z 625(M+H)+。1H NMR(400MHz,CDCl3)δ8.20-7.75(m,2H),7.60-7.40(m,2H),7.11-7.01(m,2H),6.84-7.53(m,5H),6.36-6.29(m,1H),5.79(m,1H),5.44-5.23(m,1H),5.50-3.98(m,4H),3.81-3.070(m,6H),2.85-2.63(m,2H).
Example 622- (4- ((S) -4-acryloyl-2-methylpiperazin-1-yl) -6-fluoro-1- (2-isopropyl-6- (methylsulfonyl) phenyl) -2-oxo-1, 2-dihydropyridin [2,3-d ] pyrimidin-7-yl) -3-fluorophenyl cyclopropane
LC-MS:m/z 692(M+H)+。
Example 62-1 two isomers, example 62A and example 62B, were obtained by chiral separation:
example 62A: LC-MS: m/z 692(M + H)+。
Example 62B: LC-MS: m/z 692(M + H)+。
Example 634 preparation of- ((2S, 5R) -4-acryloyl-2, 5-dimethylpiperazin-1-yl) -1- (2-cyclobutyl-6- (methylsulfonyl) phenyl) -6-fluoro-7- (2-fluoro-6-hydroxyphenyl) pyrido [2,3-d ] pyrimidin-2 (1H) -one
Step 1 preparation of 2-bromo-6- (methylsulfonyl) aniline
1-bromo-3- (methylsulfonyl) -2-nitrobenzene (44g, 158mmol), iron powder (44g, 788mmol) and ammonium chloride (83g, 1.6mol) were suspended in a mixed solvent of ethanol/water (600mL/120mL), and stirred at 75 ℃ for 2 hours. After the reaction solution was cooled to room temperature, the solid was removed by suction filtration, and 500 ml of water was added to the filtrate, followed by extraction with 500 ml of ethyl acetate 2 times. The ethyl acetate layers were combined, washed with 500 ml of brine, dried, concentrated, and the residue was separated on a silica gel column (petroleum ether: ethyl acetate: 10: 1 to 2: 1) to obtain the objective product (30g, yield: 77%).
Step 2 preparation of 2-cyclobutyl-6- (methylsulfonyl) aniline
Zinc powder (52g,800mmol, Acros) was suspended in tetrahydrofuran (100mL) solvent, followed by addition of trimethylchlorosilane (8.7g,80mmol) and stirring with heating at 75 ℃ for half an hour. Then, bromocyclobutane (54g,400mmol) was added, the reaction solution was cooled to room temperature, 2-bromo-6- (methylsulfonyl) aniline (10g,40mmol) and [1,1' -bis (diphenylphosphino) ferrocene ] dichloropalladium dichloromethane complex (3.3g, 4mmol) were added, and the mixture was stirred at 75 ℃ for three hours. The reaction solution was quenched with 30 ml of 1M phosphoric acid and extracted 2 times with ethyl acetate. The ethyl acetate layers were combined, dried, concentrated, and the residue was separated with a silica gel column (petroleum ether: ethyl acetate: 10: 1 to 2: 1) to obtain the objective product (8.1g, yield: 90%).
LC-MS:m/z 226(M+H)+。
Step 3 preparation of 2, 6-dichloro-N- (((2-cyclobutyl-6- (methylsulfonyl) phenyl) carbamoyl) -5-fluoronicotinamide
2, 6-dichloro-5-fluoronicotinamide (7.7g, 37mmol) was dissolved in 100ml of anhydrous tetrahydrofuran, to which oxalyl chloride (47g, 370mmol) was slowly added dropwise. After the addition was complete, the mixture was stirred at 75 ℃ under reflux for 2 hours and then concentrated to dryness under reduced pressure. The residue was diluted with 100ml of anhydrous tetrahydrofuran and cooled to zero degrees. 2-cyclobutyl-6- (methylsulfonyl) aniline (8.8g, 39mmol) was dissolved in 50ml of anhydrous tetrahydrofuran and added dropwise to the solution. The reaction was stirred at zero degrees for 2 hours, quenched with saturated ammonium chloride/saturated brine (1: 1, 100mL), and extracted 2 times with ethyl acetate (50 mL). The combined organic phases were dried, concentrated, and the residual solid was slurried with petroleum ether/ethyl acetate (5: 1, 200mL), suction filtered, and dried to give the desired product (12.7g, yield: 75%).
LC-MS:m/z 460(M+H)+。
Step 4 preparation of 7-chloro-1- (2-cyclobutyl-6- (methylsulfonyl) phenyl) -6-fluoropyrido [2,3-d ] pyrimidine-2, 4(1H, 3H) -dione
Dissolving 2, 6-dichloro-N- (((2-cyclobutyl-6- (methylsulfonyl) phenyl) carbamoyl) -5-fluoronicotinamide 5(37.3g, 81.1mmol) in 550 mL tetrahydrofuran, dropwise adding bis (trimethylsilyl) amino potassium (1mol/L, 186.5mL, 186.5mmol) in ice bath, stirring the reaction solution at 25 ℃ for 16 hours after the dropwise addition, quenching with 200mL saturated ammonium chloride, extracting with 1000 mL ethyl acetate for 2 times, combining ethyl acetate layers, drying, concentrating, pulping the residual solid with petroleum ether/ethyl acetate (1: 1, 300mL), filtering with suction, and drying to obtain the target product (23.2g, yield: 68%).
LC-MS:m/z 424(M+H)+。
Preparation of (2R, 5S) -tert-butyl 4- (7-chloro-1- (2-cyclobutyl-6- (methylsulfonyl) phenyl) -6-fluoro-2-oxo-1, 2-dihydropyrido [2,3-d ] pyrimidin-4-yl) -2, 5-dimethylpiperazine-1-carboxylate in step 5
7-chloro-1- (2-cyclobutyl-6- (methylsulfonyl) phenyl) -6-fluoropyrido [2,3-d ] pyrimidine-2, 4(1H, 3H) -dione (23.2g, 54.7mmol) was suspended in 350 ml acetonitrile, N-diisopropylethylamine (42.3g, 328mmol) and phosphorus oxychloride (33.5g, 219mmol) were added dropwise and the reaction solution was clarified. The reaction mixture was stirred at 80 ℃ for 1 hour, and concentrated to dryness under reduced pressure. The residue was dissolved in 350 ml acetonitrile, cooled to zero and N, N-diisopropylethylamine (42.3g, 328mmol) and 2, 5-dimethylpiperazine-1-carboxylic acid (2R, 5S) -tert-butyl ester (14g, 65.6mmol) were added. The reaction was stirred at room temperature for 1 hour, quenched with half-saturated sodium bicarbonate solution (400mL), and extracted 2 times with 1000 mL of ethyl acetate. The combined ethyl acetate layers were dried, concentrated, and subjected to silica gel column separation (petroleum ether: ethyl acetate: 5: 1 to 1: 1) to obtain the objective product (21.2g, yield: 63%).
LC-MS:m/z 620(M+H)+。
Step 6 preparation of 4- ((2S, 5R) -4-acryloyl-2, 5-dimethylpiperazin-1-yl) -7-chloro-1- (2-cyclobutyl-6- (methylsulfonyl) phenyl) -6-fluoropyridin [2,3-d ] pyrimidin-2 (1H) -one
(2R, 5S) -tert-butyl 4- (7-chloro-1- (2-cyclobutyl-6- (methylsulfonyl) phenyl) -6-fluoro-2-oxo-1, 2-dihydropyrido [2,3-d ] pyrimidin-4-yl) -2, 5-dimethylpiperazine-1-carboxylate (21.2g, 34.2mmol) was dissolved in 200ml of dichloromethane, 65 ml of trifluoroacetic acid was added, the reaction solution was stirred for 2 hours at room temperature, concentrated to dryness, and the residue was co-evaporated with 100 ml of dichloromethane 2 times to give the crude product. The crude product was dissolved in 200mL of dichloromethane, cooled to zero degrees, and a solution of triethylamine (17.3g, 171mmol) and acryloyl chloride (4g, 44.5mmol) in dichloromethane (20mL) was added dropwise. The reaction mixture was stirred at zero degrees for 30 minutes and at room temperature for 30 minutes. 200ml of saturated sodium bicarbonate are quenched and extracted 2 times with 800 ml of dichloromethane. The organic phase was dried and concentrated, and the residue was separated with a silica gel column (dichloromethane: methanol: 60: 1) to obtain the objective product (13.6g, yield: 69%).
LC-MS:m/z 574(M+H)+。
Step 7 preparation of 4- ((2S, 5R) -4-acryloyl-2, 5-dimethylpiperazin-1-yl) -1- (2-cyclobutyl-6- (methylsulfonyl) phenyl) -6-fluoro-7- (2-fluoro-6-hydroxyphenyl) pyrido [2,3-d ] pyrimidin-2 (1H) -one
4- ((2S, 5R) -4-acryloyl-2, 5-dimethylpiperazin-1-yl) -7-chloro-1- (2-cyclobutyl-6- (methylsulfonyl) phenyl) -6-fluoropyridin [2,3-d ] pyrimidin-2 (1H) -one (13.6g, 23.7mmol), (2-fluoro-6-hydroxyphenyl) boronic acid (5.2g, 33.1mmol), [1,1' -bis (diphenylphosphino) ferrocene ] palladium dichloride dichloromethane complex (1.94g, 2.4mmol) and potassium acetate (9.3g, 95mmol) were suspended in a mixed solvent of dioxane/water (200mL/20mL), displaced with nitrogen 3 times, and stirred at 90 ℃ for 4 hours. After the reaction solution was cooled to room temperature, 200ml of a half-saturated sodium bicarbonate solution was added, and extracted 2 times with 500 ml of ethyl acetate. The ethyl acetate layers were combined, dried, concentrated, and the residue was separated with a silica gel column (dichloromethane: methanol 100: 1 to 50: 1) to obtain the objective product (8.6g, yield: 56%).
LC-MS:m/z 650(M+H)+。1H NMR(400MHz,CDCl3)δ9.07-8.93(m,1H),8.14-8.09(m,1H),7.90-7.67(m,3H),7.29-7.23(m,1H),6.71-6.52(m,3H),6.40(m,1H),5.80(m,1H),5.23-3.30(m,6H),3.15-3.08(m,3H),2.33-2.20(m,1H),2.17-2.05(m,1H),1.96-1.65(m,3H),1.60-1.32(m,8H).
Example 63-1 two isomers, examples 63A and 63B, were obtained by chiral separation:
compound 63A
LC-MS:m/z 650(M+H)+。1H NMR(400MHz,DMSO)δ10.21(s,1H),8.32(d,J=9.1Hz,1H),7.88(d,J=7.7Hz,1H),7.75–7.59(m,2H),7.27(m,1H),6.93–6.60(m,3H),6.19(m,1H),5.74(m,1H),4.93–4.38(m,2H),4.23–3.40(m,3H),3.30–3.23(m,1H),2.99(s,3H),2.18–1.87(m,3H),1.85–1.52(m,3H),1.38–1.10(m,7H).
Compound 63B
LC-MS:m/z 650(M+H)+。1H NMR(400MHz,DMSO)δ10.23(s,1H),8.34(m,1H),7.89(d,J=7.7Hz,1H),7.77(m,1H),7.66(t,J=7.8Hz,1H),7.27(m,1H),6.95–6.60(m,3H),6.19(m,1H),5.75(m,1H),4.93–4.38(m,2H),4.18–3.45(m,3H),3.28(m,1H),2.96(s,3H),2.15–1.86(m,3H),1.86–1.56(m,3H),1.35–0.98(m,7H).
The following compounds were synthesized according to the procedure of example 63, starting from different starting materials:
example 64(S) -3- (4- (4-acryloyl-2-methylpiperazin-1-yl) -6-fluoro-1- (2-isopropyl-6- (methylsulfonyl) phenyl) -2-oxo-1, 2-dihydropyridine [2,3-d ] pyrimidin-7-yl) -4-chlorobenzonitrile
LC-MS:m/z 649(M+H)+。1H NMR(400MHz,CDCl3)δ7.99(d,J=7.6Hz,1H),7.84(dd,J=8.8Hz,6.4Hz,1H),7.72(d,J=7.6Hz,1H),7.64-7.60(m,2H),7.53-7.48(m,2H),6.61(s,1H),6.40(d,J=16.8Hz,1H),5.80(d,J=12.0Hz,1H),5.06-3.62(m,6H),3.33-3.01(m,4H),2.80(s,1H),1.51(s,3H),1.24(d,J=6.8Hz,3H),1.03(d,J=6.8Hz,1H).
Example 65(S) -3- (4- (4-acryloyl-2-methylpiperazin-1-yl) -6-fluoro-1- (2-isopropyl-6- (methylsulfonyl) phenyl) -2-oxo-1, 2-dihydropyrido [2,3-d ] pyrimidin-7-yl) -2-chlorobenzonitrile
LC-MS:m/z 649(M+H)+。1H NMR(400MHz,CDCl3)δ8.34(d,J=2.4Hz,1H),8.07-7.98(m,2H),7.91-7.63(m,5H),7.43(t,J=7.6Hz,1H),7.03-6.81(m,1H),5.10-3.51(m,6H),3.44-3.14(m,1H),3.06(s,3H),2.78-2.58(m,1H),1.56-1.45(m,3H),1.26-1.18(m,3H),1.13-1.05(m,3H).
Example 66(S) -4- (4- (4-acryloyl-2-methylpiperazin-1-yl) -6-fluoro-1- (2-isopropyl-6- (methylsulfonyl) phenyl) -2-oxo-1, 2-dihydropyrido [2,3-d ] pyrimidin-7-yl) -3-chlorobenzonitrile
LC-MS:m/z 649(M+H)+。1H NMR(400MHz,CDCl3)δ8.34(d,J=2.0Hz,1H),8.07-7.99(m,2H),7.82-7.77(m,1H),7.76-7.64(m,4H),7.59(d,J=8.4Hz,1H),7.05-6.84(m,1H),5.10-3.12(m,7H),3.06(s,3H),2.79-2.58(m,1H),1.56-1.41(m,3H),1.26-1.18(m,3H),1.13-1.05(m,3H).
Example 672- (4- ((S) -4-acryloyl-2-methylpiperazin-1-yl) -6-fluoro-1- (2-isopropyl-6- (methylsulfonyl) phenyl) -2-oxo-1, 2-dihydropyrido [2,3-d ] pyrimidin-7-yl) -3-chlorobenzonitrile
LC-MS:m/z 649(M+H)+。1H NMR(400MHz,CDCl3)δ8.34(d,J=2.4Hz,1H),8.03(d,J=8.0Hz,1H),7.94(d,J=15.6Hz,1H),7.79(d,J=7.2Hz,1H),7.76-7.63(m,4H),7.41(t,J=8.0Hz,1H),7.25-7.16(m,1H),5.01-3.60(m,6H),3.38-3.10(m,1H),3.07(s,3H),2.78-2.62(m,1H),1.56-1.46(m,3H),1.26-1.18(m,3H),1.13-1.05(m,3H).
Example 68(S) -4- (4-acryloyl-2-methylpiperazin-1-yl) -6-fluoro-1- (2-isopropyl-6- (methylsulfonyl) phenyl) -7- (1-methyl-1H-pyrazol-5-yl) pyridin [2,3-d ] pyrimidin-2 (1H) -one
LC-MS:m/z 594(M+H)+。1H NMR(400MHz,CDCl3)δ8.05(d,J=7.8Hz,1H),7.82-7.78(m,2H),7.73(t,J=7.8Hz,1H),7.47(d,J=1.8Hz,1H),6.94(s,1H),6.59(d,J=17.9Hz,1H),6.42(dd,J=16.7,1.6Hz,1H),5.81(d,J=10.4Hz,1H),5.01-3.67(m,7H),3.61(s,3H),3.19(s,3H),2.75(s,1H),1.52(s,3H),1.28-1.23(m,3H),1.04(d,J=5.8Hz,3H).
Example 69(S) -4- (4-acryloyl-2-methylpiperazin-1-yl) -6-fluoro-1- (2-isopropyl-6- (methylsulfonyl) phenyl) -7- (1H-pyrazol-5-yl) pyridin [2,3-d ] pyrimidin-2 (1H) -one
LC-MS:m/z 580(M+H)+。H NMR(400MHz,CDCl3)δ8.07(d,J=7.8Hz,1H),7.86-7.77(m,2H),7.73(t,J=7.8Hz,1H),7.61(d,J=1.8Hz,1H),6.83(s,1H),6.58(d,J=17.9Hz,1H),6.40(dd,J=16.7Hz,1.6Hz,1H),5.81(d,J=10.4Hz,1H),5.01-3.67(m,6H),3.09(s,4H),2.75(s,1H),1.52(s,3H),1.28-1.23(m,3H),1.04(d,J=5.8Hz,3H).
Example 70(S) -4- (4-acryloyl-2-methylpiperazin-1-yl) -6-fluoro-1- (2-isopropyl-6- (methylsulfonyl) phenyl) -7- (1-methyl-1H-imidazol-5-yl) pyrido [2,3-d ] pyrimidin-2 (1H) -one
LC-MS:m/z 594(M+H)+。1H NMR(400MHz,CDCl3)δ8.34(d,J=2.4Hz,1H),8.03(d,J=8.0Hz,1H),7.79(d,J=7.6Hz,1H),7.76-7.60(m,3H),7.57-7.45(m,2H),6.86-6.63(m,1H),5.06-3.12(m,10H),3.07(s,3H),2.78-2.59(m,1H),1.56-1.41(m,3H),1.26-1.18(m,3H),1.13-1.05(m,3H).
Example 71(S) -4- (4-acryloyl-2-methylpiperazin-1-yl) -6-fluoro-1- (2-isopropyl-6- (methylsulfonyl) phenyl) -7- (2-oxo-1, 2-dihydropyridin-3-yl) pyridin [2,3-d ] pyrimidin-2 (1H) -one
LC-MS:m/z 607(M+H)+。1H NMR(400MHz,CDCl3)δ11.34(s,1H),8.33(d,J=2.8Hz,1H),8.06-7.88(m,2H),7.79(d,J=7.6Hz,1H),7.76-7.60(m,3H),7.56(d,J=15.2Hz,1H),7.37(d,J=6.0Hz,1H),6.39(t,J=6.4Hz,1H),5.01-3.52(m,7H),3.07(s,3H),2.78-2.62(m,1H),1.56-1.46(m,3H),1.26-1.18(m,3H),1.13-1.05(m,3H).
Example 72(S) -4- (4-acryloyl-2-methylpiperazin-1-yl) -6-fluoro-1- (2-isopropyl-6- (methylsulfonyl) phenyl) -7- (6-oxo-1, 6-dihydropyridin-2-yl) pyridin [2,3-d ] pyrimidin-2 (1H) -one
LC-MS:m/z 607(M+H)+。1H NMR(400MHz,CDCl3)δ13.26(brs,1H),8.35(d,J=2.4Hz,1H),8.04(d,J=8.0Hz,1H),7.87-7.66(m,4H),7.56-7.52(m,1H),7.42-7.37(m,1H),6.52(d,J=9.2Hz,1H),6.46(d,J=6.8Hz,1H),5.14-4.24(m,4H),3.80-3.66(m,2H),3.33-3.08(m,4H),2.73-2.68(m,1H),1.56-1.50(m,3H),1.26-1.18(m,3H),1.13-1.05(m,3H).
Example 73(S) -4- (4-acryloyl-2-methylpiperazin-1-yl) -6-fluoro-1- (2-isopropyl-6- (methylsulfonyl) phenyl) -7- (1-methyl-2-oxo-1, 2-dihydropyridin-3-yl) pyridin [2,3-d ] pyrimidin-2 (1H) -one
LC-MS:m/z 621(M+H)+.1H NMR(400MHz,CDCl3)δ8.33(d,J=2.4Hz,1H),8.11-7.94(m,2H),7.90(d,J=8.0Hz,1H),7.75-7.63(m,2H),7.59-7.51(m,2H),7.38(d,J=6.4Hz,1H),6.30(t,J=6.8Hz,1H),4.99-4.02(m,4H),3.77-3.48(m,5H),3.31-3.10(m,1H),3.07(s,3H),2.78-2.62(m,1H),1.55-1.43(m,3H),1.26-1.18(m,3H),1.13-1.05(m,3H).
Example 74(S) -4- (4-acryloyl-2-methylpiperazin-1-yl) -6-fluoro-1- (2-isopropyl-6- (methylsulfonyl) phenyl) -7- (1-methyl-6-oxo-1, 6-dihydropyridin-2-yl) pyridin [2,3-d ] pyrimidin-2 (1H) -one
LC-MS:m/z 621(M+H)+.1H NMR(400MHz,CDCl3)δ8.35(d,J=2.4Hz,1H),8.03(d,J=7.6Hz,1H),7.80(d,J=7.2Hz,1H),7.76-7.65(m,3H),7.31(t,J=8.0Hz,1H),6.94-6.74(m,1H),6.63(d,J=9.2Hz,1H),6.46-6.35(m,1H),5.10-3.64(m,6H),3.60(s,3H),3.45-3.09(m,1H),3.06(s,3H),2.78-2.62(m,1H),1.59-1.43(m,3H),1.23(d,J=6.8Hz,3H),1.10(d,J=5.6Hz,3H).
Example 754- ((S) -4-acryloyl-2-methylpiperazin-1-yl) -7- (6-chloro-1H-indazol-7-yl) -6-fluoro-1- (2-isopropyl-6- (methylsulfonyl) phenyl) pyrido [2,3-d ] pyrimidin-2 (1H) -one
LC-MS:m/z 664(M+H)+.1H NMR(400MHz,CDCl3)δ12.99(brs,1H),8.57-8.20(m,3H),8.02(d,J=7.2Hz,1H),7.86-7.72(m,2H),7.67(t,J=8.0Hz,1H),7.59(d,J=7.6Hz,1H),7.23-7.03(m,2H),5.19-3.24(m,7H),3.06(s,3H),2.78-2.58(m,1H),1.60-1.42(m,3H),1.30-1.15(m,3H),1.14-0.99(m,3H).
Example 764- ((S) -4-acryloyl-2-methylpiperazin-1-yl) -7- (1, 4-dimethyl-1H-imidazol-5-yl) -6-fluoro-1- (2-isopropyl-6- (methylsulfonyl) phenyl) pyrido [2,3-d ] pyrimidin-2 (1H) -one
LC-MS:m/z 608(M+H)+.1H NMR(400MHz,CDCl3)δ8.34(d,J=2.4Hz,1H),8.03(d,J=8.0Hz,1H),7.79(d,J=6.8Hz,1H),7.76-7.64(m,3H),7.43(s,1H),6.61-6.44(m,1H),5.10-3.37(m,10H),3.07(s,3H),2.78-2.59(m,1H),2.42(s,3H),1.56-1.41(m,3H),1.28-1.18(m,3H),1.16-1.02(m,3H).
Example 772- (4- ((S) -4-acryloyl-2-methylpiperazin-1-yl) -6-fluoro-1- (2-isopropyl-6- (methylsulfonyl) phenyl) -2-oxo-1, 2-dihydropyridine [2,3-d ] pyrimidin-7-yl) -3-fluorobenzoic acid methyl ester
LC-MS:m/z 666(M+H)+.1H NMR(400MHz,CDCl3)δ8.34(d,J=2.4Hz,1H),8.04-7.96(m,2H),7.80-7.65(m,4H),7.41-7.36(m,1H),7.33-7.26(m,1H),7.00-6.87(m,1H),4.97-4.14(m,4H),3.94(s,3H),3.76-3.65(m,2H),3.30-3.07(m,4H),2.71(s,1H),1.55-1.49(m,3H),1.29-1.23(m,3H),1.11-1.08(m,3H).
Example 784- ((2S, 5R) -4-acryloyl-2, 5-dimethylpiperazin-1-yl) -1- (2-isopropyl-6- (methylsulfonyl) phenyl) -6-fluoro-7- (2-fluoro-6-hydroxyphenyl) pyrido [2,3-d ] pyrimidin-2 (1H) -one preparation
LC-MS:m/z 638(M+H)+.
Example 78-1 two isomeric examples 78A and 78B were obtained by chiral separation:
example 78A
LC-MS:m/z 638(M+H)+.1H NMR(400MHz,DMSO)δ10.21(brs,1H),8.28(m,1H),7.85(m,2H),7.65(t,J=7.8Hz,1H),7.26(m,1H),6.95–6.58(m,3H),6.19(m,1H),5.82–5.69(m,1H),4.96–4.41(m,2H),4.30–3.38(m,4H),2.95(s,3H),2.72–2.55(m,1H),1.40–0.93(m,12H).
Example 78B
LC-MS:m/z 638(M+H)+.1H NMR(400MHz,DMSO)δ10.28(brs,1H),8.51–8.33(m,1H),8.00–7.81(m,2H),7.70(t,J=7.8Hz,1H),7.31(m,1H),7.00–6.65(m,3H),6.24(m,1H),5.80(m,1H),5.02–4.46(m,2H),4.27–3.57(m,4H),2.97(s,3H),2.70–2.58(m,1H),1.43–0.97(m,12H).
Example 794- ((2S, 5R) -4-acryloyl-2, 5-dimethylpiperazin-1-yl) -6-chloro-7- (2-fluoro-6-hydroxyphenyl) -1- (2-isopropyl-6- (methylsulfonyl) phenyl) pyrido [2,3-d ] pyrimidin-2 (1H) -one
LC-MS:m/z 654(M+H)+.
Example 79-1 two isomers, examples 79A and 79B, were obtained by chiral separation:
example 79A
LC-MS:m/z 638(M+H)+.1H NMR(400MHz,CDCl3)δ8.11(t,J=7.0Hz,2H),7.78(d,J=6.8Hz,1H),7.68(t,J=7.8Hz,1H),7.26–7.20(m,1H),6.78–6.49(m,3H),6.40(m,1H),5.81(m,1H),5.11(m,2H),4.53–4.19(m,1H),4.17–3.80(m,2H),3.61(m,1H),3.13(d,J=5.6Hz,3H),2.81–2.61(m,1H),1.52–0.94(m,12H).
Example 79B
LC-MS:m/z 638(M+H)+.1H NMR(400MHz,DMSO)δ10.12(brs,1H),8.48(s,1H),7.92–7.75(m,2H),7.65(t,J=7.8Hz,1H),7.22(m,1H),6.92–6.53(m,3H),6.19(m,1H),5.84–5.69(m,1H),4.70(m,2H),4.19–3.47(m,4H),2.90(s,3H),2.57(m,1H),1.37–0.90(m,12H).
Example 804- ((S) -4-acryloyl-2-methylpiperazin-1-yl) -6-fluoro-7- (2-fluoro-6-hydroxyphenyl) -1- (2-isopropyl-6- (isopropylsulfonyl) phenyl) pyrido [2,3-d ] pyrimidin-2 (1H) -one
LC-MS:m/z 652(M+H)+.1H NMR(400MHz,CDCl3)δ8.91(brs,1H),8.04(d,J=7.2Hz,1H),7.87(dd,J=9.2Hz,3.2Hz,1H),7.81(dd,J=8.0Hz,1.2Hz,1H),7.72-7.67(m,1H),7.26(overlap,1H),6.69-6.54(m,3H),6.42(dd,J=16.8Hz,1.6Hz,1H),5.81(dd,J=10.8Hz,1.6Hz,1H),5.10-3.40(m,7H),3.30-3.00(m,1H),2.75-2.60(m,1H),1.50-1.48(m,3H),1.31-1.24(m,6H),1.17-1.15(m,3H),1.02-0.99(m,3H).
Example 80-1 two isomers, examples 80A and 80B, were obtained by chiral separation:
example 80A
LC-MS:m/z 652(M+H)+.1H NMR(400MHz,DMSO)δ10.19(brs,1H),8.28(t,J=9.7Hz,1H),7.90–7.76(m,2H),7.64(t,J=7.8Hz,1H),7.26(m,1H),6.97–6.58(m,3H),6.21(m,1H),5.77(m,1H),4.86(m,1H),4.49–3.96(m,3H),3.83–3.48(m,2H),3.28–3.02(m,2H),2.59(m,1H),1.34(m,3H),1.18–0.89(m,12H).
Example 80B
LC-MS:m/z 652(M+H)+.1H NMR(400MHz,DMSO)δ10.21(brs,1H),8.38(s,1H),7.82(m,2H),7.74–7.58(m,1H),7.26(m,1H),7.05–6.58(m,3H),6.22(m,1H),5.88–5.67(m,1H),4.92(m,1H),4.63–3.95(m,3H),3.74(m,2H),3.29(m,1H),3.05(m,1H),2.62(m,1H),1.35–1.19(m,3H),1.18–0.82(m,12H).
Example 814- ((2S, 5R) -4-acryloyl-2, 5-dimethylpiperazin-1-yl) -1- (2-cyclopropyl-6- (methylsulfonyl) phenyl) -6-fluoro-7- (2-fluoro-6-hydroxyphenyl) pyrido [2,3-d ] pyrimidin-2 (1H) -one
LC-MS:m/z 636(M+H)+.1H NMR(400MHz,CDCl3)δ9.16-8.90(m,1H),8.14-8.02(m,1H),7.92-7.82(m,1H),7.65(t,J=8.0Hz,1H),7.54-7.41(m,1H),7.30-7.21(m,1H),6.73-6.50(m,3H),6.40(t,J=15.2Hz,1H),5.81(t,J=8.8Hz,1H),5.18-3.67(m,6H),3.18-3.07(m,3H),1.53-1.19(m,7H),0.93-0.53(m,4H).
Example 81-1 two isomeric examples 81A and 81B were obtained by chiral separation:
example 81A
LC-MS:m/z 636(M+H)+.1H NMR(400MHz,DMSO)δ10.22(brs,1H),8.31(d,J=9.0Hz,1H),7.86(d,J=7.6Hz,1H),7.58(t,J=7.8Hz,1H),7.54–7.44(m,1H),7.26(dd,J=15.3,8.0Hz,1H),6.96–6.52(m,3H),6.19(m,1H),5.79–5.65(m,1H),4.97–4.36(m,2H),4.16(m,1H),3.95–3.41(m,3H),3.00(s,3H),1.67–1.46(m,1H),1.24(m,6H),0.75–0.43(m,4H).
Example 81B
LC-MS:m/z 636(M+H)+.1H NMR(400MHz,DMSO)δ10.29(brs,1H),8.34(dd,J=8.9,4.0Hz,1H),7.85(d,J=7.5Hz,1H),7.58(t,J=7.8Hz,1H),7.43(d,J=7.7Hz,1H),7.26(dd,J=15.4,8.0Hz,1H),6.95–6.55(m,3H),6.19(m,1H),5.75(m,1H),4.74(m,2H),4.22–3.51(m,4H),2.96(s,3H),1.64–1.48(m,1H),1.25(m,6H),0.63(m,4H).
Example 824- ((2S, 5R) -4-acryloyl-2, 5-dimethylpiperazin-1-yl) -1- (2-ethyl-6- (isopropylsulfonyl) phenyl) -6-fluoro-7- (2-fluoro-6-hydroxyphenyl) pyrido [2,3-d ] pyrimidin-2 (1H) -one
LC-MS:m/z 652(M+H)+.1H NMR(400MHz,CDCl3)δ9.10-8.09(m,1H),8.06-8.03(m,1H),7.88-7.85(m,1H),7.80-7.76(m,1H),7.70-7.65(m,1H),7.28-7.22(m,1H),6.70-6.55(m,3H),6.39(t,J=13.6Hz,1H),5.80-5.78(m,1H),5.07-3.40(m,7H),2.52-2.49(m,1H),2.36-2.33(m,1H),1.50-1.41(m,3H),1.40-1.29(m,6H),1.27-1.17(m,6H).
Example 82-1 two isomeric examples 82A and 82B were obtained by chiral separation:
example 82A
LC-MS:m/z 652(M+H)+.1H NMR(400MHz,DMSO)δ10.16(brs,1H),8.29–8.11(m,1H),7.78(t,J=7.0Hz,2H),7.63(t,J=7.8Hz,1H),7.27(m,1H),6.96–6.58(m,3H),6.19(m,1H),5.75(m,1H),4.66(m,2H),4.46–4.13(m,2H),3.94–3.57(m,2H),3.23(m,1H),2.31(dd,J=14.7,7.2Hz,2H),1.38(d,J=6.5Hz,3H),1.22(m,3H),1.10–0.86(m,9H).
Example 82B
LC-MS:m/z 652(M+H)+.1H NMR(400MHz,DMSO)δ10.13(brs,1H),8.37(t,J=8.2Hz,1H),7.79(t,J=6.4Hz,2H),7.64(t,J=7.7Hz,1H),7.26(m,1H),6.93–6.57(m,3H),6.19(m,1H),5.75(m,1H),5.05–4.31(m,2H),4.21–3.52(m,4H),3.17–2.99(m,1H),2.30(d,J=6.9Hz,2H),1.40–0.84(m,15H).
Example 834- ((S) -4-acryloyl-2-methylpiperazin-1-yl) -1- (2-ethyl-6- (isopropylsulfonyl) phenyl) -6-fluoro-7- (2-fluoro-6-hydroxyphenyl) pyrido [2,3-d ] pyrimidin-2 (1H) -one
LC-MS:m/z 638(M+H)+.1H NMR(400MHz,CDCl3)δ8.96(brs,1H),8.05(d,J=7.6Hz,1H),7.89-7.85(m,1H),7.78(d,J=8Hz,1H),7.70-7.68(m,1H),7.28-7.22(m,1H),6.70-6.61(m,3H),6.43-6.39(m,1H),5.83-5.80(m,1H),5.00-3.06(m,8H),2.58-2.50(m,1H),2.39-2.35(m,1H),1.33-1.28(m,6H),1.26-1.15(m,6H).
Example 83-1 two isomers, examples 83A and 83B, were obtained by chiral separation:
example 83A
LC-MS:m/z 638(M+H)+.1H NMR(400MHz,DMSO)δ10.19(brs,1H),8.28(d,J=8.8Hz,1H),7.78(t,J=6.9Hz,2H),7.63(t,J=7.7Hz,1H),7.26(m,1H),6.75(m,3H),6.21(m,1H),5.77(m,1H),4.84(s,1H),4.57–3.99(m,3H),3.78–3.49(m,2H),3.19(m,2H),2.41–2.18(m,2H),1.36(d,J=6.4Hz,3H),1.12–0.81(m,9H).
Example 83B
LC-MS:m/z 638(M+H)+.1H NMR(400MHz,DMSO)δ9.31(br,1H),8.35(s,1H),7.84–7.70(m,2H),7.63(t,J=7.8Hz,1H),7.25(m,1H),6.96–6.55(m,3H),6.21(m,1H),5.77(m,1H),4.90(m,1H),4.59–3.94(m,3H),3.66(m,2H),3.07(m,2H),2.39–2.23(m,2H),1.31–1.15(m,3H),1.15–0.89(m,9H).
Example 844- ((2S, 5R) -4-acryloyl-2, 5-dimethylpiperazin-1-yl) -6-chloro-1- (2-ethyl-6- (methylsulfonyl) phenyl) -7- (2-fluoro-6-hydroxyphenyl) pyrido [2,3-d ] pyrimidin-2 (1H) -one
LC-MS:m/z 640(M+H)+.1H NMR(400MHz,CDCl3)δ8.19-8.06(m,2H),8.06-7.83(m,1H),7.75(t,J=8.0Hz,1H),7.66(dt,J=8.0Hz,2.0Hz,1H),7.26-7.20(m,1H),6.77-6.50(m,3H),6.40(t,J=15.2Hz,1H),5.81(t,J=8.8Hz,1H),5.21-3.64(m,6H),3.17-3.05(m,3H),2.60-2.31(m,2H),1.55-1.34(m,6H),1.22-1.11(m,3H).
Example 84-1 two isomeric examples 84A and 84B were obtained by chiral separation:
example 84A
LC-MS:m/z 640(M+H)+.1H NMR(400MHz,DMSO)δ10.20(brs,1H),8.42(d,J=10.9Hz,1H),7.88(d,J=7.7Hz,1H),7.73(s,1H),7.60m,1H),7.22(m,1H),6.94–6.52(m,3H),6.19(m,1H),5.85–5.69(m,1H),4.65(m,2H),4.37–4.05(m,2H),3.74(m,2H),2.97(s,3H),2.33(m,2H),1.45–0.86(m,9H).
Example 84B
LC-MS:m/z 640(M+H)+.1H NMR(400MHz,DMSO)δ10.21(brs,1H),8.48(m,1H),7.88(d,J=7.7Hz,1H),7.74(s,1H),7.63(t,J=7.8Hz,1H),7.23(dd,J=15.4,8.0Hz,1H),6.82(dt,J=16.8,10.0Hz,1H),6.74–6.54(m,2H),6.19(m,1H),5.85–5.64(m,1H),4.71(m,2H),3.95(m,4H),2.95(s,3H),2.31(m,2H),1.39–0.97(m,9H).
Biological test evaluation
The following biological test examples further illustrate the present invention, but these examples are not meant to limit the scope of the present invention.
Compound Pair NCI-H358 (KRAS)G12CMutation) cell experiment of antiproliferative activity of cells.
Experimental procedure
To the peripheral wells of 384 microwell plates 40. mu.L of phosphate buffer was added, followed by 40. mu.L of the test cell suspension to the other wells, and the microwell plates were then placed in a carbon dioxide incubator overnight.
The test compounds were diluted in a gradient of 10 concentrations (from 50. mu.M to 0.003. mu.M) and 100nL of each was added to the corresponding well of the microplate. After dosing, 40. mu.L of phosphate buffer was added to each well at line A, P and columns 1 and 24, and the plate was incubated for 5 days in a carbon dioxide incubator.
mu.L of Promega CellTiter-Glo reagent was added to each well of the plate, followed by shaking at room temperature for 10min to stabilize the luminescence signal, which was then read using a Pekinelmer Envision multi-label analyzer.
Finally, IC of the compound was calculated using GraphPad Prism software50And (5) obtaining values, and drawing a fitting curve.
Compound couple NCI-H358 (KRAS) as an example of the present inventionG12CMutant) cell antiproliferative activity is shown in table 1.
TABLE 1 antiproliferative activity of the compounds of the examples of the invention
As can be seen from table 1:
example Compounds of the invention for KRASG12CThe mutant NCI-H358 cells showed very good cell antiproliferative activity, especially compounds containing a phenylsulfone structure.
Pharmacokinetic test evaluation
Evaluation of mouse pharmacokinetic test
Male ICR mice, weighing about 20-30g, were fasted overnight and then gavaged with 30mg/kg of the compound of the present invention, a solution of example 10B, 16B, 18A, 63B, 78B [ CMC/TW80 as vehicle ]. Blood was collected at 0.5, 1.0, 2.0, 4.0, 6.0, 8.0, 12 and 24h after administration of the compound of the present invention, and the concentration of the compound of the present invention in plasma was determined by LC/MS/MS, respectively.
The test results are shown in Table 2
Table 2 summary of pharmacokinetic parameters (n ═ 4, mean)
According to the detection result, the compounds with similar structures, wherein the compounds containing the phenylsulfone structure have better pharmacokinetic properties compared with the compounds with the pyridine sulfone structure.
Evaluation of rat pharmacokinetic testing
Male SD rats weighing about 220g were fasted overnight and then were gavaged with 15mg/kg of a solution of the compound of the present invention or the control compound AMG510 [ DMSO/PEG400 as vehicle ]. Blood was collected at 0.5, 1.0, 2.0, 4.0, 6.0, 8.0, 12 and 24 after administration of the compound of the present invention, or at 0.5, 1.0, 2.0, 4.0, 6.0, 8.0, 12 and 24 after 7 days of continuous administration, respectively, and the concentration of the compound of the present invention or the control compound AMG510 in plasma was determined by LC/MS.
The detection result shows that the compound of the invention has good pharmacokinetic property relative to AMG 510.
Pharmacodynamic test evaluation of antitumor activity
1. H358 CDX tumor model
100uL of the solution containing 5x106NCI-H358 tumor cell suspension was inoculated subcutaneously into the right back of nude mice. Mice were monitored daily for health and measurements were started when tumors grew to reach. The tumor volume calculation formula is 0.5xLxW2, wherein L, W represents the tumor length and width, respectively. Tumor growth to-200 mm3Mice were randomly grouped. Mice were gavaged daily with a corresponding dose (20mg/Kg) of compound in solution while monitoring their general state. Tumors were measured 2 times per week and body weights were measured twice per week. Test resultsAs shown in table 3.
TABLE 3 evaluation of pharmacodynamic test for antitumor Activity
The results show that the compounds containing the phenylsulfone structure (such as the compound 63B and the example 78B) have better drug effects than the control compound AMG 510.
2. MIA PaCa-2 CDX tumor model
100uL of 5x106The MIA PaCa-2 tumor cell suspension was subcutaneously inoculated into the right posterior abdomen of nude mice. Mice were monitored daily for health and measurements were started when tumors grew to reach. The formula for calculating the tumor volume is 0.5xLxW2Wherein L, W represents tumor length and width, respectively. Tumor growth to 150mm3Mice were randomly grouped. Mice were gavaged daily with the corresponding dose (3, 10mg/Kg) of CMC-Na suspension of compound while monitoring their general state. Tumors were measured 3 times per week and body weights were measured twice per week.
The detection result shows that the compound has good anti-tumor effect.
All documents referred to herein are incorporated by reference into this application as if each were individually incorporated by reference. Furthermore, it should be understood that various changes and modifications of the present invention can be made by those skilled in the art after reading the above teachings of the present invention, and these equivalents also fall within the scope of the present invention as defined by the appended claims.