Movatterモバイル変換


[0]ホーム

URL:


CN1146159A - X-ray contrast compositions containing cellulose derivatives - Google Patents

X-ray contrast compositions containing cellulose derivatives
Download PDF

Info

Publication number
CN1146159A
CN1146159ACN95192256ACN95192256ACN1146159ACN 1146159 ACN1146159 ACN 1146159ACN 95192256 ACN95192256 ACN 95192256ACN 95192256 ACN95192256 ACN 95192256ACN 1146159 ACN1146159 ACN 1146159A
Authority
CN
China
Prior art keywords
alkyl
ray contrast
lower alkyl
substituted
cycloalkyl
Prior art date
Legal status (The legal status is an assumption and is not a legal conclusion. Google has not performed a legal analysis and makes no representation as to the accuracy of the status listed.)
Pending
Application number
CN95192256A
Other languages
Chinese (zh)
Inventor
卡尔·R·伊利格
约翰·托纳
爱德华·J·贝克
罗伯特·李
汤姆·考尔菲尔德
布伦特·D·道蒂
库尔特·约瑟夫
爱德华·R·培根
金伯利·埃斯特普
索尔·多姆
尤金·R·库珀
Current Assignee (The listed assignees may be inaccurate. Google has not performed a legal analysis and makes no representation or warranty as to the accuracy of the list.)
GE Healthcare AS
Original Assignee
Nycomed Imaging AS
Priority date (The priority date is an assumption and is not a legal conclusion. Google has not performed a legal analysis and makes no representation as to the accuracy of the date listed.)
Filing date
Publication date
Priority claimed from US08/201,731external-prioritypatent/US5422114A/en
Priority claimed from US08/206,552external-prioritypatent/US5443814A/en
Priority claimed from US08/217,138external-prioritypatent/US5385721A/en
Priority claimed from US07/216,988external-prioritypatent/US5385720A/en
Priority claimed from US08/222,787external-prioritypatent/US5466435A/en
Priority claimed from US08/227,423external-prioritypatent/US5368837A/en
Priority claimed from US08/227,422external-prioritypatent/US5543132A/en
Priority claimed from US08/227,415external-prioritypatent/US5525327A/en
Priority claimed from US08/229,048external-prioritypatent/US5385722A/en
Priority claimed from US08/246,888external-prioritypatent/US5607660A/en
Application filed by Nycomed Imaging ASfiledCriticalNycomed Imaging AS
Publication of CN1146159ApublicationCriticalpatent/CN1146159A/en
Pendinglegal-statusCriticalCurrent

Links

Classifications

Landscapes

Abstract

Translated fromChinese

本发明涉及的是用于口服或肠胃道退行性检查的X-射线造影组合物,该组合物包括一种产生X-射线造影的造影剂和含有纤维素衍生物的医药上可接受的载体。The present invention relates to an X-ray contrast composition for oral or gastrointestinal degenerative examination, which comprises a contrast agent for producing X-ray contrast and a pharmaceutically acceptable carrier containing cellulose derivatives.

Description

Translated fromChinese
含有纤维素衍生物的X-射线造影组合物X-ray contrast compositions containing cellulose derivatives

本发明涉及的是X-射线造影组合物,该组合物含有造影剂和纤维素衍生物,并涉及它们用在胃肠道中进行放射性诊断的方法。The present invention relates to X-ray contrast compositions containing a contrast agent and a cellulose derivative and to methods of their use in radiodiagnostics in the gastrointestinal tract.

对于骨折和与骨胳系统有关的其它病情所用的X-射线和计算机体层照相(以下称做CT)扫描的X-射线照相检查,常规上是在不使用造影剂的条件下实施的。但是含有软组织的器官,如肠胃(下面称做GI)道的X-射线显影则需要使用造影剂来减弱X-射线辐射作用。在医学上使用造影剂成像方面D.P.Swanson等人在“Pharmaceuticals In Medieal Imaging”,1990,Macmillaan Publishing Company中提供了很好的背景技术。X-rays and computed tomography (hereinafter referred to as CT) scans for fractures and other conditions related to the skeletal system X-rays are routinely performed without the use of contrast agents. However, X-ray imaging of organs containing soft tissues, such as the gastrointestinal (hereinafter referred to as GI) tract, requires the use of contrast agents to weaken the X-ray radiation effect. D.P. Swanson et al. in "Pharmaceuticals In Medieal Imaging", 1990, Macmillaan Publishing Company provide an excellent background on the use of contrast agents in imaging in medicine.

GI系统的X-射线照相能够指出消化系统紊乱、肠内性能变化、腹痛、GI出血等的病情。放射检查之前,必须服用一种不透X-射线的造影介质使相应的体腔或软组织周围的粘膜表面适当显示出来。因此,用口服造影剂对口腔、咽喉、食道、胃、十二指肠和近侧小肠进行显影检查。该选影介质从直肠投药,用于检查远侧的小肠和结肠。X-rays of the GI system can indicate conditions such as digestive disturbances, changes in bowel function, abdominal pain, GI bleeding, etc. Before a radiological examination, an X-ray-opaque contrast medium must be administered to properly visualize the corresponding body cavity or surrounding soft tissue mucosal surfaces. Therefore, the oral cavity, throat, esophagus, stomach, duodenum, and proximal small intestine are visualized with oral contrast media. This imaging medium is administered rectally for examination of the distal small bowel and colon.

对GI系统的显影最广泛使用的造影剂是硫酸钡,一种口服悬浮液,或者一种向直肠灌药的灌肠液。(例如,可参见美国专利:US2,659,690;2680,089;3,216,900;3,235,462;4,038,379和4,120,946)。尽管它有相当好的造影特性,但是由于口服或直肠灌药后GI系统吸收极微并迅速地排出体外,所以硫酸钡有一定的缺点。在肠内流质存在下,它不能均匀分布并对粘膜的粘附性差,结果X-射线的成象性不好。灌肠时,在结肠内造影剂进行结絮形成不规则块状排泄物。The most widely used contrast agent for visualization of the GI system is barium sulfate, an oral suspension, or an enema administered to the rectum. (See, eg, US Patents: US 2,659,690; 2680,089; 3,216,900; 3,235,462; 4,038,379 and 4,120,946). Despite its fairly good contrast properties, barium sulfate has certain disadvantages due to minimal absorption by the GI system and rapid excretion after oral or rectal administration. In the presence of intestinal fluids, it does not distribute evenly and adheres poorly to the mucosa, resulting in poor X-ray imaging. During an enema, the contrast agent flocculates in the colon to form irregular and massive excretions.

碘化的有机化合物已被用作GI造影剂,因为碘原子是有效的X-射线吸收剂。它们最具有通用性,广泛用在多种工艺方法中。它们对X-射线有很大的吸收能力,使X-射线与碘相互作用产生一种光电效应,从而使停留在含碘介质中的光子产生的造影有很大的放大作用。该造影的放大作用超过了由密度相对变化所预期的水平。由于这一放大作用,致使可以使用相当低浓度的造影剂。(对于碘化的造影剂,可以参见例如美国专利:US2,786,055;3,795,698;2,820,814;3,360,436;3,574,718;3,733,397;4,735,795和5,047,228)。Iodinated organic compounds have been used as GI contrast agents because iodine atoms are effective X-ray absorbers. They are the most versatile and are widely used in a variety of process methods. They have great absorptivity to X-rays, so that the interaction between X-rays and iodine produces a photoelectric effect, so that the contrast produced by the photons staying in the iodine-containing medium has a great amplification effect. The magnification of this contrast exceeds the level expected from the relative changes in density. Due to this amplification, relatively low concentrations of contrast agents can be used. (For iodinated contrast agents see, eg, US Patents: US 2,786,055; 3,795,698; 2,820,814; 3,360,436; 3,574,718; 3,733,397; 4,735,795 and 5,047,228).

对于理想的GI造影剂来说渴望得到的要求包括:好的毒理学的剖析:具有充满整个肠/腔的能力和均匀涂覆肠粘膜的能力,从而在不扩张肠腔情况下也能容易检测该肠的情况;可口性和不刺激肠粘膜;以及在通过GI道时不产生伪像或不刺激肠激烈地蠕动。Desirable requirements for an ideal GI contrast agent include: good toxicological profile: ability to fill the entire bowel/lumen and ability to evenly coat the intestinal mucosa for easy detection without distending the lumen The condition of the bowel; palatability and non-irritation of the intestinal mucosa; and no artifacts or irritation of the bowel when passing through the GI tract.

这些要求已被许多研究者提出,并经过他们多年的努力已有了很大的改进。造影剂均匀涂覆肠粘膜而有效地覆盖肠壁的要求,已证明这是相当困难的,不满足这些要求就不可能得到精确的X-射线照片。为此,曾提出使用某些聚合物添加剂,如下文所述。These requirements have been put forward by many researchers, and have been greatly improved through their years of hard work. The requirement of a contrast agent to uniformly coat the intestinal mucosa to effectively cover the intestinal wall has proven to be rather difficult, and without meeting these requirements it is impossible to obtain accurate radiographs. For this purpose, the use of certain polymer additives has been proposed, as described below.

美国专利US4069306披露一种据说可粘附到体腔壁的X-射线造影制剂。该制剂包括一种细分散的水不溶的无机X-射线造影剂和微细颗粒或者一种不溶于水的但可被水溶胀的亲水性的聚合物。用悬浮在水中的该制剂供于体腔。该X-射线造影剂是以与所说的聚合物细颗粒的混合物形式存在,或者是包覆在和/或粘附到该聚合物细颗粒上。US Patent No. 4,069,306 discloses an X-ray contrast preparation which is said to adhere to the wall of a body cavity. The formulation comprises a finely divided water-insoluble inorganic X-ray contrast agent and fine particles or a water-insoluble but water-swellable hydrophilic polymer. The formulation suspended in water is administered to a body cavity. The X-ray contrast agent is present in admixture with the polymer fine particles, or coated and/or adhered to the polymer fine particles.

US4,120,946披露一种用于使消化道的钡发生浑浊作用的药用组合物,它含有胶体硫酸钡和在含水载体中的聚丙烯酰胺。该聚丙烯酰胺形成一种低浓度的粘稠溶液,它可以维持硫酸钡的悬浮液状态并且同时使该制剂能很好粘附到需要照X光的器官壁上。US 4,120,946 discloses a pharmaceutical composition for barium opacification of the digestive tract comprising colloidal barium sulfate and polyacrylamide in an aqueous carrier. The polyacrylamide forms a low concentration viscous solution which maintains the barium sulfate in suspension and at the same time allows the formulation to adhere well to the walls of organs to be x-rayed.

US5,019,370公开一种可生物降解的X-光照相造影剂,它含有可生物降解的聚合物珠粒,该粒子带有一种对X-光不透光的元素,例如碘、溴、钐和铒。该造影介质以干态或液态形式使用,并且可以静脉注射方式,口服方式和动脉内注射方式投药。US5,019,370 discloses a biodegradable X-ray photographic contrast agent containing biodegradable polymer beads with an X-ray opaque element such as iodine, bromine, samarium and erbium. The contrast medium is available in dry or liquid form and can be administered intravenously, orally and intraarterially.

日本专利申请55-127322公开的X-射线造影组合物含有硫酸钡和选自羧甲基纤维素盐、藻酸丙二醇酯、聚丙烯酸硫酸纤维素酯、果胶和黄蓍胶的聚合物质。这些聚合物质用于增加该组合物的粘度。Japanese Patent Application No. 55-127322 discloses an X-ray contrast composition containing barium sulfate and a polymeric substance selected from carboxymethylcellulose salts, propylene glycol alginate, cellulose polyacrylate sulfate, pectin and tragacanth. These polymeric substances serve to increase the viscosity of the composition.

虽然这些聚合物材料大大提高了这里所用的造影剂对器官壁的附着性,使之有较好的显影,但还需要用一种改进的X-射线成像介质来均匀地涂覆那些受X-射线诊断检查的软组织。While these polymeric materials greatly improve the adhesion of the contrast agents used here to the organ walls for better visualization, there remains a need for an improved X-ray imaging medium to uniformly coat those affected by X-ray imaging. Radiographic examination of soft tissues.

本发明的目的是提供用于涂覆哺乳动物胃肠道的组合物,它能形成一种有效的不透X-射线的涂层,由此可实现GI系统的诊断上有价值的检查方法。为此,在用X-射线照射装置显影之前摄入一种掺有X-射线造影剂的纤维衍生物,它能在GI系统的内表面形成一薄涂层。该组合物必须满足以下几项要求:X-射线造影剂和纤维素衍物两者都必须是无毒的;必须不含有将要对病人产生有害的影响的可沥滤的或可消化的组分;和没有通过肠内表面被吸收的涂层组分。It is an object of the present invention to provide compositions for coating the gastrointestinal tract of mammals which form an effective x-ray opaque coating thereby enabling a diagnostically valuable examination of the GI system. For this purpose, a fiber derivative doped with an X-ray contrast agent, which forms a thin coating on the inner surface of the GI system, is ingested prior to visualization with an X-ray irradiating device. The composition must meet the following requirements: both the X-ray contrast agent and the cellulose derivative must be non-toxic; must not contain leachable or digestible components that would adversely affect the patient ; and coating components that are not absorbed through the intestinal surface.

本发明的目的是通过含有一种X-射线造影剂的组合物达到的,该造影剂是在医药上可接受的含有纤维素衍生物的载体之中。The object of the invention is achieved by a composition comprising an X-ray contrast agent in a pharmaceutically acceptable carrier comprising a cellulose derivative.

本发明还提供一种用于GI系统的X-射线诊断成象的方法,该方法包括:按口服或直肠投药方式给病人使用产生有效造影量的上述X-射线造影组合物。The present invention also provides a method for X-ray diagnostic imaging of a GI system, the method comprising: administering to a patient an effective contrast-producing amount of the above-mentioned X-ray contrast composition by oral or rectal administration.

本发明的X-射线造影剂选自:The X-ray contrast agent of the present invention is selected from:

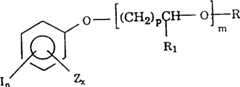
(1)下列通式所示的化合物或其药用可接受的盐:

Figure A9519225600131
(1) A compound represented by the following general formula or a pharmaceutically acceptable salt thereof:
Figure A9519225600131

其中,in,

Z是H、卤素、C1-C20的烷基、环烷基、低级烷氧基、氰基,这里的烷基和环烷基能够被卤素或卤代的低级烷基所取代;Z is H, halogen, C1 -C20 alkyl, cycloalkyl, lower alkoxy, cyano, where the alkyl and cycloalkyl can be substituted by halogen or halogenated lower alkyl;

R1和R2独立地表示H、C1-C25的烷基、环烷基、乙酰基或卤代的低级烷基,其中所说的C1-C25的烷基,环烷基和卤代的低级烷基可以被氟代低级烷基、芳基、低级烷氧基、羟基、羧基、低级烷氧羰基或低级烷氧基羰氧基所取代或不取代,以及所说的乙酰基可以被氟代低级烷基、芳基、低级烷氧基、羟基、低级烷氧羰基或低级烷氧羰氧基所取代或不取代;R1 and R2 independently represent H, C1 -C25 alkyl, cycloalkyl, acetyl or halogenated lower alkyl, wherein said C1 -C25 alkyl, cycloalkyl and The halogenated lower alkyl may be substituted or unsubstituted by fluoro lower alkyl, aryl, lower alkoxy, hydroxy, carboxyl, lower alkoxycarbonyl or lower alkoxycarbonyloxy, and said acetyl May be substituted or unsubstituted by fluoro lower alkyl, aryl, lower alkoxy, hydroxy, lower alkoxycarbonyl or lower alkoxycarbonyloxy;

n是1-4;n is 1-4;

y是1-4;和y is 1-4; and

x是1或2;x is 1 or 2;

(2)下列通式所示的化合物:

Figure A9519225600132
(2) Compounds represented by the following general formula:
Figure A9519225600132

其中,in,

R是含有2~8碳原子的取代或未取代的烷基,其中所说的取代基选自C1-C6的烷基、羟基、和烷氧基;和R is a substituted or unsubstituted alkyl group containing 2 to 8 carbon atoms, wherein said substituent is selected from C1 -C6 alkyl, hydroxyl, and alkoxy; and

n是1~5;n is 1 to 5;

(3)下列通式表示的化合物:

Figure A9519225600141
(3) Compounds represented by the following general formula:
Figure A9519225600141

式中,In the formula,

Z是H、卤素、C1-C20的烷基、环烷基、低级烷氧基、氰基,这里的烷基和环烷基能够被卤素或卤代的低级烷基所取代;Z is H, halogen, C1 -C20 alkyl, cycloalkyl, lower alkoxy, cyano, where the alkyl and cycloalkyl can be substituted by halogen or halogenated lower alkyl;

R是C1-C25的烷基、环烷基、或卤代低级烷基、它们中的每一种可以被卤、氟代低级烷基、芳基、低级烷氧基、羟基、羧基、低级烷基羰基或低级烷氧羰氧基所取代或不取代;或(CR1R2)p-(CR3=CR4)mQ或(CR1R2)p-C≡C-Q;R is C1 -C25 alkyl, cycloalkyl, or halogenated lower alkyl, each of which may be replaced by halogen, fluorinated lower alkyl, aryl, lower alkoxy, hydroxyl, carboxyl, Substituted or unsubstituted by lower alkylcarbonyl or lower alkoxycarbonyloxy; or (CR1 R2 )p -(CR3 =CR4 )m Q or (CR1 R2 )p -C≡CQ;

R1、R2、R3和R4独立地代表低级烷基、并可以用卤素取代或不取代;R1 , R2 , R3 and R4 independently represent lower alkyl, and may be substituted or unsubstituted with halogen;

x是1-3;x is 1-3;

y是1-4;y is 1-4;

n是1-5;n is 1-5;

m是1-15;m is 1-15;

p是1-10;和p is 1-10; and

Q是H、低级烷基、低级链烯基,低级炔基、低级亚烷基、芳基、或芳基低级烷基;Q is H, lower alkyl, lower alkenyl, lower alkynyl, lower alkylene, aryl, or aryl lower alkyl;

(4)下列通式所示的化合物或其药用可接受的盐:

Figure A9519225600142
(4) A compound represented by the following general formula or a pharmaceutically acceptable salt thereof:
Figure A9519225600142

式中,In the formula,

R是甲基、乙基、正-丙基、C4-C25的烷基、环烷基、不饱和的烯丙基或卤代低级烷基,它们中的每一种可以用卤素、氟代低级烷基、芳基、低级烷氧基、羟基、羧基、或低级烷氧羰基取代或不取代;或(CR1R2)p-(CR3=CR4)mQ、或(CR1R2)p-C≡C-Q;R is methyl, ethyl, n-propyl, C4 -C25 alkyl, cycloalkyl, unsaturated allyl or halogenated lower alkyl, each of which can be represented by halogen, fluorine Substituted lower alkyl, aryl, lower alkoxy, hydroxyl, carboxyl, or lower alkoxycarbonyl substituted or unsubstituted; or (CR1 R2 )p -(CR3 =CR4 )m Q, or (CR1 R2 )p -C≡CQ;

R1、R2、R3和R4独立地代表H、低级烷基、并可以用卤素取代或不取代;R1 , R2 , R3 and R4 independently represent H, lower alkyl, and may be substituted or unsubstituted with halogen;

n是2~5;n is 2 to 5;

m是2~5;m is 2 to 5;

p是1-10;和p is 1-10; and

Q是H、低级烷基、低级链烯基,低级炔基、低级亚烷基、芳基、或芳基低级烷基;Q is H, lower alkyl, lower alkenyl, lower alkynyl, lower alkylene, aryl, or aryl lower alkyl;

(5)下列通式表示的化合物或其药用可接受的盐:

Figure A9519225600151
(5) A compound represented by the following general formula or a pharmaceutically acceptable salt thereof:
Figure A9519225600151

式中,In the formula,

Z是H、卤素、C1-C20的烷基、环烷基、低级烷氧基、烷氧羰基、氰基,这里的烷基和环烷基能够用卤素或卤代的低级烷基所取代;Z is H, halogen, C1 -C20 alkyl, cycloalkyl, lower alkoxy, alkoxycarbonyl, cyano, where the alkyl and cycloalkyl can be replaced by halogen or halogenated lower alkyl replace;

R是C1-C25的烷基、环烷基、或卤代低级烷基;它们中的每一种可以用卤、氟代低级烷基、芳基、低级烷氧基、羟基、羧基、低级烷氧羰基或低级烷氧羰氧基取代或不取代;或(CR1R2)p-(CR3=CR4)mQ或(CR1R2)p-C≡C-Q;R is C1 -C25 alkyl, cycloalkyl, or halo-lower alkyl; each of them may be substituted or unsubstituted with halo, fluoro-lower alkyl, aryl, lower alkoxy, hydroxy, carboxyl, lower alkoxycarbonyl or lower alkoxycarbonyloxy ; or (CR1 R2 )p -(CR3 =CR4 )m Q or (CR1 R2 )p -C≡CQ;

R1、R2、R3和R4独立地代表H或低级烷基,可以用卤素取代或不取代;R1 , R2 , R3 and R4 independently represent H or lower alkyl, which may or may not be substituted with halogen;

x是1-4;x is 1-4;

n是1-4;n is 1-4;

m是1~15;m is 1 to 15;

p是1~20;和p is 1 to 20; and

Q是H、低级烷基、低级链烯基,低级炔基、低级亚烷基、芳基或芳基低级烷基;Q is H, lower alkyl, lower alkenyl, lower alkynyl, lower alkylene, aryl or aryl lower alkyl;

(6)下列通式表示的化合物或其药用可接受的盐:(6) A compound represented by the following general formula or a pharmaceutically acceptable salt thereof:

其中,in,

x是

Figure A9519225600162
或-SO2-;x is
Figure A9519225600162
or-SO2- ;

Z是H、卤素、C5-C20的烷基、环烷基、低级烷氧基、氰基,这里的烷基和环烷基能够用卤素或卤代低级烷基所取代;Z is H, halogen, C5 -C20 alkyl, cycloalkyl, lower alkoxy, cyano, where the alkyl and cycloalkyl can be substituted with halogen or halogenated lower alkyl;

R是C1-C25的烷基、环烷基、芳基或卤代低级烷基,它们中的每一种可以用低级烷氧基、羟基、羧基或低级烷氧基羰基、低级链烯基、低级炔基、低级亚烷基或低级烷氧羰氧基所取代或不取代;R is C1 -C25 alkyl, cycloalkyl, aryl or halogenated lower alkyl, each of which can be represented by lower alkoxy, hydroxyl, carboxyl or lower alkoxycarbonyl, lower alkenyl substituted or unsubstituted by group, lower alkynyl, lower alkylene or lower alkoxycarbonyloxy;

n是1~5;n is 1 to 5;

y是0~4;和y is 0 to 4; and

w是1~4;w is 1~4;

(7)下列通式所示的化合物或其药用可接受的盐:(7) A compound represented by the following general formula or a pharmaceutically acceptable salt thereof:

其中,in,

Z是H、卤素、C1-C20的烷基、环烷基、低级烷氧基、氰基,其中的烷基和环烷基能够用卤素或卤代低级烷基所取代;Z is H, halogen, C1 -C20 alkyl, cycloalkyl, lower alkoxy, cyano, wherein the alkyl and cycloalkyl can be replaced by halogen or halogenated lower alkyl;

R是甲基、乙基、丙基、C9-C25的烷基、环烷基、或卤代低级烷基,可以用卤、氟代低级烷基、芳基、低级烷氧基、羟基、羧基、低级烷氧羰基或低烷氧羰氧基所取代或不取代;或(CR1R2)p-(CR3=CR4)mQ、或(CR1R2)p-C≡C-Q;R is methyl, ethyl, propyl, C9 -C25 alkyl, cycloalkyl, or halogenated lower alkyl, which can be halogenated, fluorinated lower alkyl, aryl, lower alkoxy, hydroxyl , carboxyl, lower alkoxycarbonyl or lower alkoxycarbonyloxy substituted or unsubstituted; or (CR1 R2 )p -(CR3 =CR4 )m Q, or (CR1 R2 )p -C≡ CQ;

R1、R2、R3和R4独立地代表低级烷基、并可以用卤素取代;R1 , R2 , R3 and R4 independently represent lower alkyl and may be substituted with halogen;

x是1~4;x is 1~4;

n是1~5;n is 1 to 5;

m是1~15;m is 1 to 15;

p是1~10;和p is 1 to 10; and

Q是H、低级烷基、低级链烯基,低级炔基、低级亚烷基、芳基、或芳基低级烷基;Q is H, lower alkyl, lower alkenyl, lower alkynyl, lower alkylene, aryl, or aryl lower alkyl;

(8)在表面上吸有表面改性剂的粒状X-射线结晶造影剂;(8) Granular X-ray crystalline contrast agents with surface modifiers absorbed on the surface;

(9)碘化的水不溶的聚合物珠粒,其粒度大约为0.01~1000μ,其中所说的碘化的聚合物珠粒包含一种含有通式(I)所示重复单元的聚合物:

Figure A9519225600171
(9) iodinated water-insoluble polymer beads having a particle size of about 0.01 to 1000 μ, wherein said iodinated polymer beads comprise a polymer comprising repeating units of the general formula (I):
Figure A9519225600171

其中,in,

A为存在于聚合物骨架链中的有机重复单元;和A is an organic repeat unit present in the polymer backbone chain; and

X为含有碘化的芳基和亲水基的有机基部分,所说这部分的碘含量,以X的分子量为基准计,为约40~约80wt%;X is an organic moiety containing iodinated aryl and hydrophilic groups, said moiety having an iodine content of from about 40 to about 80 wt%, based on the molecular weight of X;

(10)钡盐。(10) Barium salt.

这里所使用的术语卤素(或卤)指的是氟、氯、溴或碘。The term halogen (or halo) as used herein refers to fluorine, chlorine, bromine or iodine.

这里所使用的术语环烷基指的是具有3-8个环碳原子的碳环的环,它们包括环丙基、环丁基、环戊基、环己基和环辛基,这些环烷基的任何一个环碳原子都可以被1个或多个低级烷基、低级烷氧基或卤素所取代。The term cycloalkyl as used herein refers to carbocyclic rings having 3 to 8 ring carbon atoms, which include cyclopropyl, cyclobutyl, cyclopentyl, cyclohexyl and cyclooctyl, these cycloalkyl Any ring carbon atom in can be replaced by 1 or more lower alkyl, lower alkoxy or halogen.

这里所使用的术语低级烷基和低级烷氧基指的是具有1~10个碳原子的一价脂族基,包括支链基。因此,这些基团的低级烷基部分包括,例如,甲基、乙基、丙基、异丙基、正-丁基、仲-丁基、叔-丁基、正-戊基、2-甲基-3-丁基、1-甲基丁基、2-甲基丁基、新戊基、正-己基、1-甲基戊基、3-甲基戊基、1-乙基丁基、2-乙基丁基、2-己基、3-己基、1,1,3,3-四甲基戊基、1,1-二甲基辛基等。The terms lower alkyl and lower alkoxy as used herein refer to monovalent aliphatic groups having 1 to 10 carbon atoms, including branched chain groups. Thus, the lower alkyl moieties of these groups include, for example, methyl, ethyl, propyl, isopropyl, n-butyl, sec-butyl, tert-butyl, n-pentyl, 2-methyl Base-3-butyl, 1-methylbutyl, 2-methylbutyl, neopentyl, n-hexyl, 1-methylpentyl, 3-methylpentyl, 1-ethylbutyl, 2-ethylbutyl, 2-hexyl, 3-hexyl, 1,1,3,3-tetramethylpentyl, 1,1-dimethyloctyl, etc.

这里所用术语低级链烯基和低级炔基指的是具3~10个碳原子的一价不饱和基(包括支链基),因此包括1-乙烯基、1-(2-丙烯基)、1-(2-丁烯基)、1-(1-甲基-2-丙烯基)、1(4-甲基-2-戊烯基)、4,4,6-三甲基-2-庚烯基、1-乙炔基、1-(2-丙炔基)、1-(2-丁炔基)、1-(1-甲基-2-丙炔基)、1-(4-甲基-2-戊炔基)等。The terms lower alkenyl and lower alkynyl as used herein refer to monovalent unsaturated groups (including branched chain groups) with 3 to 10 carbon atoms, thus including 1-vinyl, 1-(2-propenyl), 1-(2-butenyl), 1-(1-methyl-2-propenyl), 1(4-methyl-2-pentenyl), 4,4,6-trimethyl-2- Heptenyl, 1-ethynyl, 1-(2-propynyl), 1-(2-butynyl), 1-(1-methyl-2-propynyl), 1-(4-methyl base-2-pentynyl) and so on.

这里所用的术语亚烷基指的是具有2~10个碳原子的二价饱和基(包括支链基),并且在不同的碳原子上含有它们的游离价,因此包括1,2-亚乙基、1,3-亚丙基、1,4-亚丁基、1-甲基-1、2-亚乙基、1,8-亚辛基等。The term alkylene as used herein refers to divalent saturated radicals (including branched chain radicals) having 2 to 10 carbon atoms and containing their free valences on different carbon atoms, thus including 1,2-ethylene 1,3-propylene, 1,4-butylene, 1-methyl-1,2-ethylene, 1,8-octylene, etc.

这里使用的术语芳基指的是具有6~10个碳原子的芳族烃。优选的芳基是苯基、被1~3个取代基取代的取代的苯基和萘基,这些取代基可以相同或不同,它们是低级烷基、卤素、羟基低级烷基、烷氧基低级烷基和羟基。The term aryl as used herein refers to an aromatic hydrocarbon having 6 to 10 carbon atoms. Preferred aryl groups are phenyl, substituted phenyl and naphthyl substituted by 1 to 3 substituents, which may be the same or different, which are lower alkyl, halogen, hydroxy lower alkyl, alkoxy lower Alkyl and hydroxyl.

上述(1)-(7)类型的X-射线造影化合物可以在每个分子中含有1、2、3或4碘原子,优选的类型是每分子中含有至少两个碘原子,较优选的类型是每分子中至少含有3个碘原子。The X-ray contrast compounds of the above-mentioned types (1)-(7) may contain 1, 2, 3 or 4 iodine atoms per molecule, preferred types contain at least two iodine atoms per molecule, more preferred types It contains at least 3 iodine atoms per molecule.

实施本发明有用的粒状固体X-射线造影剂可以通过现有技术中的已知技术制备。采用常规的研磨方法,例如空气喷射或破碎研磨,将该固体造影剂研磨成所需要的粒度大小。我们已经发现,有效的平均粒度低于大约100μ的颗粒在GI道内可产生良好的分布和均匀的涂覆。其中所说的颗粒大小指的是用常规方法,例如沉积场流动分级法和盘式离心分离法测量的数均粒度。有效的平均粒度低于大约100μ指的是至少大约90%的颗粒重均粒度低于大约100μ(当使用公认的技术测量时)。Particulate solid X-ray contrast agents useful in the practice of the present invention can be prepared by techniques known in the art. The solid contrast medium is ground to a desired particle size using conventional grinding methods, such as air jet or crushing grinding. We have found that particles having an effective mean particle size of less than about 100[mu] produce good distribution and uniform coating within the GI tract. The particle size mentioned herein refers to the number average particle size measured by conventional methods, such as sedimentation field flow classification method and disc centrifugal separation method. An effective average particle size of less than about 100[mu] means at least about 90% of the particles have a weight average particle size of less than about 100[mu] (when measured using recognized techniques).

用于本发明中的纤维素衍生物包括甲基纤维素、羧甲基纤维素、羧甲基纤维钠、羟乙基甲基纤维素、羟丙基甲基纤维素;以及微晶的纤维素;其平均粒度为0.01~100μm,较优选0.05~10μm,最优选0.1~1μm。Cellulose derivatives useful in the present invention include methylcellulose, carboxymethylcellulose, sodium carboxymethylcellulose, hydroxyethylmethylcellulose, hydroxypropylmethylcellulose; and microcrystalline cellulose ; The average particle size is 0.01-100 μm, more preferably 0.05-10 μm, most preferably 0.1-1 μm.

造影剂和纤维素衍生物是使用生理上可接受的载体或赋形剂按现有技术中的一种方法配制,该造影剂和纤维素衍生物加药用可接受的助剂(例如表面活性剂或乳化剂)和赋形剂是悬浮或部分地溶解于水性介质中制得分散液、溶液、悬浮液或乳液。The contrast agent and the cellulose derivative are prepared by a method in the prior art using a physiologically acceptable carrier or excipient, and the contrast agent and the cellulose derivative add pharmaceutically acceptable auxiliary agents (such as surface active agent or emulsifier) and excipients are suspended or partially dissolved in an aqueous medium to prepare a dispersion, solution, suspension or emulsion.

按照本发明对于医疗方法中使用的GI道的诊断成象方法包括,通过口服或直肠给药方式将可产生有效造影量的本发明的组合物投药给需要X-射线检查的哺乳类患者。投药以后,将含有所投组合物的至少一部分的GI道用X-射线照射,产生与该造影剂存在部位相应的X-射线成象图,然后用本领域的现有技术将该X-射线的图象显影和整理解释该检查结果。A method of diagnostic imaging of the GI tract for use in medical procedures according to the present invention comprises administering orally or rectally an effective contrast producing amount of a composition of the present invention to a mammalian patient in need of x-ray examination. After administration, the GI tract containing at least a portion of the administered composition is irradiated with X-rays to generate an X-ray image corresponding to the site where the contrast agent is present, and the X-ray image is then obtained using techniques known in the art. The image development and collation interpret the inspection results.

上面定义的类型(1)化合物在EP-A-613689中描述。例如其中介绍了N-乙酰基-N-2′-辛基-4-碘代苯胺和N-(4′-碘代苯基)-2-氨基辛烷。Compounds of type (1) as defined above are described in EP-A-613689. For example, N-acetyl-N-2'-octyl-4-iodoaniline and N-(4'-iodophenyl)-2-aminooctane are described therein.

上面定义的类型(2)的化合物在EP-A-568155中描述。其中有例如2,4,6-三碘代苯氧基-2-辛烷、2,4,6-三碘代苯氧基-2-丁烷、2,4,6-三碘代苯氧基-2-己烷和4-碘代苯氧基-2-辛烷。Compounds of type (2) as defined above are described in EP-A-568155. Among them are, for example, 2,4,6-triiodophenoxy-2-octane, 2,4,6-triiodophenoxy-2-butane, 2,4,6-triiodophenoxy yl-2-hexane and 4-iodophenoxy-2-octane.

优选的类型(2)的造影剂具有下列通式:

Figure A9519225600191
Preferred contrast agents of type (2) have the general formula:
Figure A9519225600191

式中R为含有4~8个碳原子的仲烷基。In the formula, R is a secondary alkyl group containing 4 to 8 carbon atoms.

最优选的类型(2)的造影剂具有下列通式的2,4,6-三碘代酚的仲-辛基醚:The most preferred contrast agent of type (2) has the sec-octyl ether of 2,4,6-triiodophenol of the general formula:

类型(2)的造影剂微溶于水,具有等于或大于10的分配系数。当配方中含有必须的赋形剂时,该溶解性可使之形成乳液形式和悬浮液形式的稳定制剂。术语“稳定”指的是在口服或直肠投药以后,在GI道进行放射检查的过程中,该组合物所含的各成分没有分离。造影剂在水性介质中的微溶解性使该造影剂可以扩散到肠粘膜中并隐匿起来由此在肠内形成涂层。另一方面,由于它们的微溶解性,造影剂在肠内壁吸收最少,这就能降低毒性付作用。Contrast agents of type (2) are slightly soluble in water and have a partition coefficient equal to or greater than 10. This solubility allows stable formulations in the form of emulsions and suspensions when formulated with the necessary excipients. The term "stable" means that the components contained in the composition do not separate during radiographic examination in the GI tract after oral or rectal administration. The slight solubility of the contrast agent in aqueous media allows the contrast agent to diffuse into the intestinal mucosa and become sequestered thereby forming a coating in the intestine. On the other hand, due to their poor solubility, contrast agents are minimally absorbed in the intestinal lining, which reduces toxic side effects.

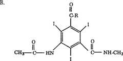
上面定义的类型(3)的化合物在EP-A-614669中描述。例如,其中介绍的有2-辛基-2,3,5-三碘代苯甲酸酯、3,3,4,4,5,5,6,6,7,7,8,8-十二氟-2-辛基-2,3,5-三碘代苯甲酸酯、双(2-己基)-2,3,5,6-四碘代-对苯二酸酯、3-(2辛氧基)-2,4,6-三碘代苯甲酸乙酯和双(2-辛基)-2,4,6-三碘代间苯二酸酯。Compounds of type (3) as defined above are described in EP-A-614669. For example, 2-octyl-2,3,5-triiodobenzoate, 3,3,4,4,5,5,6,6,7,7,8,8-deca Difluoro-2-octyl-2,3,5-triiodobenzoate, bis(2-hexyl)-2,3,5,6-tetraiodo-terephthalate, 3-( 2-octyloxy)-2,4,6-triiodobenzoic acid ethyl ester and bis(2-octyl)-2,4,6-triiodoisophthalate.

上面定义的类型(4)的化合物在EP-A-609589有述。例如其中有1,3,5-三-N-己基-2,4,6-三碘代苯、1,3,5-三乙基-2,4,6-三碘代苯、1,3,5-三-N-丁基-2,4,6-三碘代苯、1,3,5-三-(4-甲基戊基)-2,4,6-三碘代苯、1,3,5-三-N-戊基-2,4,6-三碘代苯、1,3,5-三-(3-甲基丁基)-2,4,6-三碘代苯、1,3,5-三-N-丙基-2,4,6-三碘代苯、1,3,5-三-N-庚基-2,4,6-三碘代苯、2-(4-碘代苯基)壬烷、9-(对-碘代苯基)-10-十一碳酸、乙基酯和(E)-11-(P-碘代苯基)-9-十一碳酸。Compounds of type (4) as defined above are described in EP-A-609589. For example, 1,3,5-tri-N-hexyl-2,4,6-triiodobenzene, 1,3,5-triethyl-2,4,6-triiodobenzene, 1,3 , 5-tri-N-butyl-2,4,6-triiodobenzene, 1,3,5-tri-(4-methylpentyl)-2,4,6-triiodobenzene, 1 , 3,5-tri-N-pentyl-2,4,6-triiodobenzene, 1,3,5-tri-(3-methylbutyl)-2,4,6-triiodobenzene , 1,3,5-tri-N-propyl-2,4,6-triiodobenzene, 1,3,5-tri-N-heptyl-2,4,6-triiodobenzene, 2 -(4-iodophenyl)nonane, 9-(p-iodophenyl)-10-undecanoic acid, ethyl ester and (E)-11-(P-iodophenyl)-9- Undecyl carbonic acid.

上面定义的类型(5)的化合物在EP-A-614670中描述,例如其中描述的有聚乙二醇-400的双-(4-碘代苯基)醚、1,8-双-O-(2,4,6-三碘代苯基)-三丙二醇、1,11-双-(2,4,6-三碘代苯氧基)-3,6,9-三噁十一碳烷、1,2-双-(2,4,6-三碘代苯氧基)-乙烷、聚乙二醇400的双-O-(2,4,6-三碘代苯基)醚、1-(3-碘代苯氧基)-3,6,9-三噁癸烷、1,3-双-(2,4,6-三碘代苯氧基)-丁烷、1-(3-碘代苯氧基)-6-(2,4,6-三碘代苯氧基-己烷和1,12-双-(2,4,6-三碘代苯氧基)-十二碳烷。Compounds of type (5) as defined above are described in EP-A-614670, for example bis-(4-iodophenyl)ether of polyethylene glycol-400, 1,8-bis-O- (2,4,6-triiodophenyl)-tripropylene glycol, 1,11-bis-(2,4,6-triiodophenoxy)-3,6,9-trioxanedecane , 1,2-bis-(2,4,6-triiodophenoxy)-ethane, polyethylene glycol 400 bis-O-(2,4,6-triiodophenyl) ether, 1-(3-iodophenoxy)-3,6,9-trioxodecane, 1,3-bis-(2,4,6-triiodophenoxy)-butane, 1-( 3-iodophenoxy)-6-(2,4,6-triiodophenoxy-hexane and 1,12-bis-(2,4,6-triiodophenoxy)-deca dicarbonane.

上面定义的类型(6)的化合物在EP-A-617970中描述。例如其中有2-乙基-己酸2,4,6-三碘代苯基酯、2-甲基戊酸2,4,6-三碘代苯基酯、3-环戊基丙酸2,4,6-三碘代苯基酯、(2-丙基)戊酸2,4,6-三碘代苯基酯、全氟庚酸2,4,6-三碘代苯基酯、2,4,6-三碘代苯基-三-(2-乙基)-己酸酯、十二烷酸2,4,6-三碘代苯基酯、2-乙基己酸3-三氟甲基-2,4,6-三碘代苯基酯、2,4,6-三碘代苯基-双-(2-甲基戊酸酯)、己烷磺酸2,4,6-三碘代苯基酯、庚烷磺酸2,4,6-三碘代苯基酯和癸烷磺酸2,4,6-三碘代苯基酯。Compounds of type (6) as defined above are described in EP-A-617970. For example, 2-ethyl-hexanoic acid 2,4,6-triiodophenyl ester, 2-methylpentanoic acid 2,4,6-triiodophenyl ester, 3-cyclopentylpropionic acid 2 , 4,6-triiodophenyl ester, 2,4,6-triiodophenyl (2-propyl)pentanoate, 2,4,6-triiodophenyl perfluoroheptanoate, 2,4,6-triiodophenyl-tris-(2-ethyl)-hexanoate, 2,4,6-triiodophenyl dodecanoate, 2-ethylhexanoate 3- Trifluoromethyl-2,4,6-triiodophenyl ester, 2,4,6-triiodophenyl-bis-(2-methylvalerate), hexanesulfonic acid 2,4, 6-triiodophenyl ester, 2,4,6-triiodophenyl heptanesulfonate and 2,4,6-triiodophenyl decanesulfonate.

上面定义的类型(7)的化合物在EP-A-605987中有述,其中所说的例如有2-(4-碘代苯氧基)-癸烷、2-(2,4,6-三碘代苯氧基)-十五碳烷、2-(2,4,6-三碘代苯氧基)-癸烷、(2,4,6-三碘代苯氧基)-1H,1H,2H,2H-全氟辛烷、1-(2,4,6三碘代-3-三氟代苯氧基)辛烷、2-(2,4,6-三碘代苯氧基)壬烷、2-乙基-1-(2,4,6-三碘代苯氧基)-己烷、3,3-二苯基-1-(2,4,6-三碘代苯氧基)丙烷、3-(2,4,6-三碘代苯氧基)-壬烷、2-(4-碘代苯氧基)-十一碳烷、2-碘代苯氧基环戊烷、3-碘代苯氧基环戊烷、(3,5-二甲基-2,4,6-三碘代苯氧基)环戊烷、2-(4-碘代苯氧基)-十五碳烷、4-碘代苯氧基环戊烷、2,4,6-三碘代苯氧基环戊烷、2,4,6-三碘代苯氧基甲基环戊烷、2-(2,4,6-三碘代苯氧基)乙基环戊烷、(E,E)-1-(2,4,6-三碘代苯氧基)-3,7,11-三甲基-2,6,10-十二碳三烯、1-(2,4,6-三碘代苯氧基)-3,7-二甲基-6-辛烯、(E)-1-(3,5-二甲基-2,4,6-三碘代苯氧基)-3,7-二甲基-2,6-辛二烯、(E)-1-(2,4,6-三碘代苯氧基)-3,7-二甲基-2,6-辛二烯、1-(2,4,6-三碘代苯氧基)-3-辛炔、2-(2,4,6-三碘代苯氧基)-4-辛炔、1-(2,4,6-三碘代苯氧基)-3-辛炔、2-(2,4,6-三碘代苯氧基)-1,3-丙二酸二乙酯、2-(2,4,6-三碘代苯氧基)-1,3-丙二酸二异丙酯、2,2-双-(3-碘代苯氧基)乙酸乙酯、5-(2,4,6-三碘代苯氧基)己酸乙酯、5-(2,4,6-三碘代苯氧基)-己-1-醇、10-(4-碘代苯氧基)-十一碳-1-醇、5-(2,4,6-三碘代苯氧基)己基碳酸乙酯和10-(3-碘代苯氧基)-十一碳酸乙酯。Compounds of type (7) as defined above are described in EP-A-605987, for example 2-(4-iodophenoxy)-decane, 2-(2,4,6-tri Iodophenoxy)-pentadecane, 2-(2,4,6-triiodophenoxy)-decane, (2,4,6-triiodophenoxy)-1H, 1H , 2H, 2H-perfluorooctane, 1-(2,4,6-triiodo-3-trifluorophenoxy)octane, 2-(2,4,6-triiodophenoxy) Nonane, 2-ethyl-1-(2,4,6-triiodophenoxy)-hexane, 3,3-diphenyl-1-(2,4,6-triiodophenoxy base) propane, 3-(2,4,6-triiodophenoxy)-nonane, 2-(4-iodophenoxy)-undecane, 2-iodophenoxycyclopentane Alkane, 3-iodophenoxycyclopentane, (3,5-dimethyl-2,4,6-triiodophenoxy)cyclopentane, 2-(4-iodophenoxy) - Pentadecane, 4-iodophenoxycyclopentane, 2,4,6-triiodophenoxycyclopentane, 2,4,6-triiodophenoxymethylcyclopentane , 2-(2,4,6-triiodophenoxy)ethylcyclopentane, (E,E)-1-(2,4,6-triiodophenoxy)-3,7, 11-trimethyl-2,6,10-dodecatriene, 1-(2,4,6-triiodophenoxy)-3,7-dimethyl-6-octene, (E )-1-(3,5-dimethyl-2,4,6-triiodophenoxy)-3,7-dimethyl-2,6-octadiene, (E)-1-( 2,4,6-triiodophenoxy)-3,7-dimethyl-2,6-octadiene, 1-(2,4,6-triiodophenoxy)-3-octadiene Alkyne, 2-(2,4,6-triiodophenoxy)-4-octyne, 1-(2,4,6-triiodophenoxy)-3-octyne, 2-(2 , 4,6-triiodophenoxy)-1,3-diethyl malonate, 2-(2,4,6-triiodophenoxy)-1,3-malonate diiso Propyl ester, 2,2-bis-(3-iodophenoxy) ethyl acetate, 5-(2,4,6-triiodophenoxy) ethyl hexanoate, 5-(2,4, 6-triiodophenoxy)-hexan-1-ol, 10-(4-iodophenoxy)-undec-1-ol, 5-(2,4,6-triiodophenoxy base) ethyl hexyl carbonate and ethyl 10-(3-iodophenoxy)-undecanoate.

上面定义的用于类型(8)组合物中的化合物是非放射性的和作为有机物质不连续的结晶存在的。该结晶相不同于无定型或非结晶相,它是由例如US4826689中所述的溶剂沉淀技术得到的。该有机物质能够以一种或多种合适的结晶相存在。可以用多种多样的结晶的非放射性的X-射线造影剂来实施本发明。然而,该X-射线造影剂在至少一种液态介质中必须是劣溶的和分散的。“劣溶”指的是该造影剂在液态分散介质(例如水)中的溶解度大约低于10mg/ml,优选低于大约1mg/ml。The compounds defined above for use in compositions of type (8) are non-radioactive and exist as discrete crystals of organic material. The crystalline phase is distinct from the amorphous or non-crystalline phase, which is obtained by solvent precipitation techniques such as described in US4826689. The organic substance can exist in one or more suitable crystalline phases. The invention can be practiced with a wide variety of crystalline, non-radioactive X-ray contrast agents. However, the X-ray contrast agent must be poorly soluble and dispersible in at least one liquid medium. "Poorly soluble" means that the solubility of the contrast agent in a liquid dispersion medium (such as water) is less than about 10 mg/ml, preferably less than about 1 mg/ml.

X-射线造影剂可以是碘化的化合物。该碘化的化合物可以是芳香族的或非芳香族的。但是优选芳香族的。该碘化化合物每一个分子中可以含有一个、两个、三个或多个碳原子。优选的类型是每分子中含有至少两个,更优选至少三个碳原子。所选用的碘化化合物可以含有不使该化合物增加溶解性的取代基,例如,烷基脲基、烷氧基酰胺基、羟基乙酰胺基、丁内酰胺基、琥珀酰亚胺基、三氟乙酰胺基、羧基、羰酰胺基(carboxamido)、羟基、烷氧基、酰氨基、和其它类似的取代基。X-ray contrast agents may be iodinated compounds. The iodinated compound may be aromatic or non-aromatic. However, aromatic is preferred. The iodide compound may contain one, two, three or more carbon atoms per molecule. Preferred types contain at least two, more preferably at least three carbon atoms per molecule. The iodinated compound selected may contain substituents that do not increase the solubility of the compound, for example, alkylureido, alkoxyamide, glycolamide, butyrolactam, succinimide, trifluoro Acetamido, carboxyl, carboxamido, hydroxy, alkoxy, amido, and other similar substituents.

优选的一类造影剂包括,碘化芳香酸的各种酯类和酰胺类。该酯类优选烷基或取代烷基酯类。该酰胺类可以是伯或仲酰胺类,优选烷基或取代烷基酰胺类。例如,该造影剂可以是取代的三碘化苯甲酸(如酰基、氨基甲酰基和/或酰基甲基取代的三碘代苯甲酸)的酯或酰胺。可列举有代表性的碘化芳香酸的实例包括(但不限于),泛影酸(diatrizoic acid)、甲基泛影酸(metrizoicacid)、异泛影酸(iothalamic acid)、苯均三酸(trimelsic acid)、醋碘苯甲酸(urokonicacid)、碘克酸[ioxaglic acid(碘克酸钠葡胺)]、甲醇异泛影酸(ioxitalamic acid)、四碘代对苯二甲酸、胆影酸(iodipamide)、碘卡酸(icarmic acid)、等等。A preferred class of contrast agents includes various esters and amides of iodinated aromatic acids. The esters are preferably alkyl or substituted alkyl esters. The amides may be primary or secondary amides, preferably alkyl or substituted alkyl amides. For example, the contrast agent may be an ester or amide of a substituted triiodobenzoic acid (eg, acyl, carbamoyl and/or acylmethyl substituted triiodobenzoic acid). Examples of representative iodinated aromatic acids include, but are not limited to, diatrizoic acid, metrizoic acid, iothalamic acid, trimesic acid ( trimelsic acid), iodobenzoic acid (urokonic acid), ioxaglic acid (ioxaglic acid sodium meglumine)], methanol isodiatrizoic acid (ioxitalamic acid), tetraiodoterephthalic acid, bile shadow acid ( iodipamide), iocacic acid (icarmic acid), and the like.

许多上述的碘化分子,如果以单体形式,也可以制成以二聚物(有时叫做双化合物)、三聚物(有时叫做三化合物)等形成存在,这些均可采用本技术领域的已知技术进行制备。可以预期本发明能够用劣溶的碘化化合物以单体形式、二聚体、三聚体形式和聚合物的形式来实现。Many of the above-mentioned iodinated molecules, if in the form of monomers, can also be made into dimers (sometimes called double compounds), trimers (sometimes called tri-compounds), etc. prepared by known techniques. It is contemplated that the present invention can be practiced with poorly soluble iodinated compounds in monomeric, dimer, trimer and polymeric forms.

优选的造影剂类型具有下面的结构通式:泛影酸酯

Figure A9519225600222
异泛影酸酯A preferred type of contrast agent has the following general structural formula: Diatrizoate
Figure A9519225600222
isodiatrizoate

[胆影酸][cholic acid]

在上述结构式中R可以是OR1、NR2R3、亚烷基、-CO·OR1或-O-亚烷基-CO·OR1,其中R1是烷基、R2和R3独立地代表H或烷基。In the above formula, R can be OR1 , NR2 R3 , alkylene, -CO·OR1 or -O-alkylene-CO·OR1 , wherein R1 is alkyl, R2 and R3 are independently Ground represents H or alkyl.

每个烷基分别可以含有1~20,优选1~8,和较优选1~4个碳原子。Each alkyl group may contain 1 to 20, preferably 1 to 8, and more preferably 1 to 4 carbon atoms, respectively.

该亚烷基优选含有1~4个碳原子,例如亚甲基、亚乙基、亚丙基等等。The alkylene group preferably contains 1 to 4 carbon atoms, such as methylene, ethylene, propylene and the like.

特别优选的造影剂包括,泛影酸的乙基酯,即,3,5-二乙酰基胺-2,4,6-三碘代苯甲酸乙酯,也称做3,5-双(乙酰基氨基)-2,4,6-三碘代苯甲酸乙酯或泛影酸乙酯,它的结构式是上述的A其中R=-OCH2CH3;泛影酸的乙基甘醇酸酯,即(3,5双(乙酰基氨基)-2,4,6-三碘代苯甲酰氧基)乙酸乙酯、也叫做泛影酰氧基乙酸乙酯;以及2-(3,5-双(乙酰基氨基)-2,4,6-三碘代苯甲酰氧基)丁酸乙酯,也叫做2-泛影酰氧基丁酸乙酯。Particularly preferred contrast agents include the ethyl ester of diatrizoic acid, namely, ethyl 3,5-diacetylamine-2,4,6-triiodobenzoate, also known as 3,5-bis(acetyl Amino)-2,4,6-triiodobenzoic acid ethyl ester or diatrizoic acid ethyl ester, its structural formula is the above-mentioned A wherein R=-OCH2 CH3 ; ethyl glycolate of diatrizoic acid , namely ethyl (3,5 bis(acetylamino)-2,4,6-triiodobenzoyloxy)acetate, also known as ethyl diatrizoate; and 2-(3,5 - Ethyl bis(acetylamino)-2,4,6-triiodobenzoyloxy)butyrate, also known as ethyl 2-diatrizoyloxybutyrate.

另外,可以与PCT/EP90/00053中所述的水不溶的碘化碳酸酯一起实施本发明。Additionally, the invention may be practiced with water-insoluble iodinated carbonates as described in PCT/EP90/00053.

上述X-射线造影剂是已知的化合物和/或能用本技术领域已知的技术制备的化合物。例如,酸(如上述碘化芳香酸)的水不溶的酯和封端酰胺类能够通过本技术领域中已知的常规烷基化或酰胺化技术进行制备。可以用作原料的上述酸和其它酸是商业上可买到的和/或可从用本领域中的已知技术制备的。The aforementioned X-ray contrast agents are known compounds and/or compounds which can be prepared using techniques known in the art. For example, water-insoluble esters and blocked amides of acids such as the iodinated aromatic acids described above can be prepared by conventional alkylation or amidation techniques known in the art. The above-mentioned acids and other acids which may be used as starting materials are commercially available and/or may be prepared by techniques known in the art.

用于上面定义的类型(8)组合物中的微粒包括表面改性剂。这里用的表面改性剂是物理粘附在X-射线造影剂的表面上而不是与该造影剂或它自身进行化学反应。该表面改性剂的各个被吸附分子基本上没有分子间的交联。适合的表面改性剂可以选自一些已知的有机和无机的药用赋形剂,例如各种聚合物、低分子量齐聚物、天然产物和表面活性剂。优选的表面改性剂包括非离子型和阴离子型的表面活性剂。表面改性剂的代表性实例包括明胶、酪蛋白、卵磷脂(磷脂)、阿拉伯胶、胆固醇、西黄蓍胶、硬脂酸、氯苄烷铵、硬脂酸钙、单硬脂酸甘油酯、十八醇十六醇混合物、聚西托醇乳化蜡、脱水山梨糖醇脂、聚氧亚乙基烷基醚,例如,聚乙二醇醚如聚西托醇1000、聚氧亚乙基蓖麻油衍生物、聚氧亚乙基脱水山梨糖醇脂肪酸酯,例如,市场上可购到的各种吐温(Tweens)、聚乙二醇、聚氧亚乙基硬脂酸酯、胶态二氧化硅、磷酸盐、十二烷基硫酸钠、羧甲基纤维素钙、羧甲基纤维素钠、甲基纤维素、羟乙基纤维素、羟丙基纤维素、羟丙基甲基纤维素邻苯二甲酸酯、非结晶纤维素、硅酸镁铝、三乙醇胺、聚乙烯醇、和聚乙烯基吡咯烷酮(PVP)。这些表面改性剂中的大多数是已知的药用赋形剂,并且在由美国医药协会和GreatBritain的药学会联合发表的医药赋形剂手册上药品压片(1986)中已进行过详细地描述。The microparticles used in compositions of type (8) as defined above include surface modifiers. As used herein, the surface modifier is physically attached to the surface of the X-ray contrast agent rather than chemically reacting with the contrast agent or itself. Each adsorbed molecule of the surface modifier has substantially no intermolecular crosslinks. Suitable surface modifiers can be selected from some known organic and inorganic pharmaceutical excipients, such as various polymers, low molecular weight oligomers, natural products and surfactants. Preferred surface modifiers include nonionic and anionic surfactants. Representative examples of surface modifiers include gelatin, casein, lecithin (phospholipid), acacia, cholesterol, tragacanth, stearic acid, benzalkonium chloride, calcium stearate, glyceryl monostearate , Cetostearyl Alcohol, Pecitocol Emulsifying Wax, Sorbitan Fat, Polyoxyethylene Alkyl Ethers, for example, Polyethylene Glycol Ethers such as Pecitool 1000, Polyoxyethylene Castor oil derivatives, polyoxyethylene sorbitan fatty acid esters, for example, various commercially available Tweens, polyethylene glycol, polyoxyethylene stearate, gum Silica, Phosphate, Sodium Lauryl Sulfate, Calcium Carboxymethylcellulose, Sodium Carboxymethylcellulose, Methylcellulose, Hydroxyethylcellulose, Hydroxypropylcellulose, Hydroxypropyl Methylcellulose cellulose phthalate, amorphous cellulose, magnesium aluminum silicate, triethanolamine, polyvinyl alcohol, and polyvinylpyrrolidone (PVP). Most of these surface modifiers are known pharmaceutical excipients and have been described in detail in Pharmaceutical Excipients Handbook on Pharmaceutical Tablets (1986), jointly published by the American Medical Association and the Pharmaceutical Society of Great Britain. described.

特别优选的表面改性剂包括聚乙烯基吡咯烷酮、泰洛沙泊、泊洛沙姆如普卢兰尼克F68 T F108(Pluronic F-68和F108)。(它是环氧乙烷和环氧丙烷的嵌段共聚物)、以及聚羟胺(Poloxamines)如特窗(Tetronic)908(也称做聚羟胺908)(它是由环氧丙烷和环氧乙烷对乙二胺的顺序加成获得的四官能嵌段共聚物,得自BASF)、葡萄糖、卵磷脂、硫代琥珀酸钠的二烷基酯(例如气溶胶(Aerosol)OT,它是硫代珠珀酸钠的二辛酯,购自American Cyanamid,Duponol p,它是十二烷基硫酸钠,购自杜邦(Dupont))、特里顿X-200<非离子型表面活性剂,商品名>(Triton X-200)(它是烷基芳基聚醚磺酸酯,购自Rohm和Heas)、Tween 80(它是聚氧乙烯山梨聚糖脂肪酸酯,购自ICISpecialty Chemicals)、以及Carbowax 3350和934(它们是聚乙二醇,购自UnionCarbide)。已发现特别有用的表面改性剂包括:Tetronic 908、Tween类、Pluronic F-68和聚乙烯基吡咯烷酮。Particularly preferred surface modifiers include polyvinylpyrrolidone, tyloxapol, poloxamers such as Pluronic F68 T F108 (Pluronic F-68 and F108). (It is a block copolymer of ethylene oxide and propylene oxide), and polyhydroxylamines (Poloxamines) such as Tetronic 908 (also known as polyhydroxylamine 908) (it is made of propylene oxide and ethylene oxide Tetrafunctional block copolymer obtained by sequential addition of alkanes to ethylenediamine, obtained from BASF), glucose, lecithin, dialkyl esters of sodium sulfosuccinate (such as Aerosol OT, which is sulfur Dioctyl Ester of Sodium Dazuponate, available from American Cyanamid, Duponol p, which is Sodium Lauryl Sulfate, available from Dupont), Triton X-200 <Nonionic Surfactant, Commercial Triton X-200 (which is an alkylaryl polyether sulfonate available from Rohm and Heas), Tween 80 (which is a polyoxyethylene sorbitan fatty acid ester available from ICI Specialty Chemicals), and Carbowax 3350 and 934 (which are polyethylene glycols available from Union Carbide). Surface modifiers that have been found to be particularly useful include: Tetronic 908, Tweens, Pluronic F-68 and polyvinylpyrrolidone.

其它有用的表面改性剂包括:Other useful surface modifiers include:

癸酰基-N-甲基葡萄糖酰胺;Decanoyl-N-methylglucamide;

正-癸基β-D-吡喃葡萄糖苷;n-decyl β-D-glucopyranoside;

正-癸基β-D-吡喃麦芽糖苷;n-decyl β-D-maltopyranoside;

正-十二烷基β-D-吡喃葡萄糖苷;n-dodecyl β-D-glucopyranoside;

正-十二烷基β-D-麦芽糖苷;n-Dodecyl β-D-maltoside;

庚酰基-N-甲基葡萄糖酰胺;Heptanoyl-N-methylglucamide;

正-庚基β-D-吡喃葡萄糖苷;n-heptyl β-D-glucopyranoside;

正-庚基β-D-硫代葡萄糖苷;n-heptyl β-D-glucosinolate;

正-己基β-D-吡喃葡萄糖苷;n-Hexyl β-D-glucopyranoside;

壬酰基-N-甲基葡萄糖酰胺;Nonanoyl-N-methylglucamide;

正-壬基β-D-吡喃葡萄糖苷;n-Nonyl β-D-glucopyranoside;

辛酰基-N-甲基葡萄糖酰胺;Octanoyl-N-methylglucamide;

正-辛基β-D-吡喃葡萄糖苷;n-octyl β-D-glucopyranoside;

辛基β-D-硫代吡喃葡萄糖苷;等等。Octyl β-D-thioglucopyranoside; etc.

特别优选的表面改性剂类型包括水可溶的或水可分散的化合物,其通式如下

Figure A9519225600251
A particularly preferred class of surface modifiers includes water-soluble or water-dispersible compounds having the general formula
Figure A9519225600251

其中in

L是

Figure A9519225600252
L is
Figure A9519225600252
or

L′为化学键、-O-、-S-、-NH-、-CONH-或-SO2NH-;L' is a chemical bond, -O-, -S-, -NH-, -CONH- or -SO2 NH-;

R为疏水性的取代或未取代的烷基、取代或未取代的环烷基、或取代或未取代的芳基;R is a hydrophobic substituted or unsubstituted alkyl group, a substituted or unsubstituted cycloalkyl group, or a substituted or unsubstituted aryl group;

每个R1和R2独立地表示氢或具有1~4个碳原子的烷基;Each R1 and R2 independently represent hydrogen or an alkyl group having 1 to 4 carbon atoms;

每个a和b独立地表示0或1~3的整数,其条件是a与b之和不大于3;和each a and b independently represent 0 or an integer from 1 to 3, with the proviso that the sum of a and b is not greater than 3; and

每个x和y分别是3~7的整数。Each x and y is an integer of 3-7 respectively.

符合上述结构的这一类型中的优选化合物是其中R含有6~36个碳原子,例如,R为含有6~18个碳原子的正-烷基,每个R1和R2独立地为甲基、乙基、丙基或丁基以及a为0和b为0的化合物。这类表面改性剂已在1991年3月8日递交的U.K.专利申请9104957.7中叙述过,并可以通过相应的二羧酸酯与相应的单糖胺反应制得,优选在无溶剂条件下于140~200℃的温度下进行反应。Preferred compounds of this type conforming to the above structures are those wherein R contains 6 to 36 carbon atoms, e.g., R is an n-alkyl group containing 6 to 18 carbon atoms, and eachR1 andR2 independently is a group, ethyl, propyl or butyl and compounds where a is 0 and b is 0. Such surface modifiers have been described in UK patent application 9104957.7 filed on March 8, 1991, and can be prepared by reacting the corresponding dicarboxylic acid ester with the corresponding monosaccharide amine, preferably under solvent-free conditions. The reaction is carried out at a temperature of 140-200°C.

该表面改性剂是市面上购得的和/或可用本领域的已知技术制得的。Such surface modifiers are commercially available and/or can be prepared using techniques known in the art.

可以将两种或多种表面改性剂混合起来使用。Two or more surface modifiers can be used in combination.

在上面定义的类型(8)的组合物中使用的颗粒可以按照US5145684中所述的研磨法进行制备。该方法包括将劣溶性的X-射线造影剂在液态分散液介质中进行分散和在研磨介质存在下进行湿研磨,将造影剂的颗粒度减小到有效平均粒度为大约0.05μ~大约100μ,优选大约0.05μ-大约5μ,更优选大约0.1μ-大约1μ。该颗粒可在表面改性剂存在下减小其粒度。或者,可以在研磨之后使该颗粒与表面改性剂接触。Particles used in compositions of type (8) as defined above may be prepared by milling as described in US5145684. The method comprises dispersing a poorly soluble X-ray contrast agent in a liquid dispersion medium and wet milling in the presence of grinding media to reduce the particle size of the contrast agent to an effective average particle size of about 0.05 μ to about 100 μ, Preferably about 0.05μ to about 5μ, more preferably about 0.1μ to about 1μ. The particles can be reduced in size in the presence of surface modifiers. Alternatively, the particles may be contacted with a surface modifying agent after grinding.

这里所用的粒度指的是数均粒度,是用本技术领域已知的测定粒度的普通技术,例如沉淀场流动分级、光子相关谱、或盘式离心分离的方法测定的。所说的“有效平均粒度大约0.05μ~大约100μ”指的是当用上述技术测定时,至少90%的颗粒具有重均粒度为大约0.05μ~大约100μ。这样的粒度范围使得由此涂覆GI道时有足够数量的颗粒分布在形成的组合物膜中,而且又能保证不通过肠壁吸收。Particle size as used herein refers to the number average particle size, which is determined by conventional techniques for determining particle size known in the art, such as sedimentation field flow fractionation, photon correlation spectroscopy, or disc centrifugation. By "an effective mean particle size of from about 0.05 microns to about 100 microns" is meant that at least 90% of the particles have a weight average particle size of from about 0.05 microns to about 100 microns when determined using the technique described above. Such a particle size range is such that when the GI tract is thereby coated, a sufficient number of particles are distributed in the film of the composition formed, while ensuring that they are not absorbed through the intestinal wall.

用在上面定义的类型(9)的组合中的水不溶的碘化聚合物珠粒已在US4406878和WO94/25075中叙述过。Water insoluble iodinated polymer beads for use in combinations of type (9) as defined above have been described in US4406878 and WO94/25075.

本发明的碘化聚合物结构式是由上述结构式I表示。该碘化聚合物的骨架链可表示为:The structural formula of the iodinated polymer of the present invention is represented by the above structural formula I. The backbone chain of this iodinated polymer can be expressed as:

(i)缩聚物,例如聚酯、聚酰胺、聚氨酯、聚碳酸酯、聚环氧化物、聚醚、苯酚-甲醛聚合物和其它相当的缩聚物;(i) polycondensates such as polyesters, polyamides, polyurethanes, polycarbonates, polyepoxides, polyethers, phenol-formaldehyde polymers and other equivalent polycondensates;

(ii)加聚物,由含有可聚合的不饱和双键的可加成聚合的单体(例如乙烯基单体)的聚合制备的。这类加成聚合物包括如聚(乙烯醇)、聚(甲基丙烯酸烷基酯)、聚(丙烯酸烷基酯)、和其它相当的加成聚合物;或(ii) Addition polymers, prepared by the polymerization of addition polymerizable monomers containing polymerizable unsaturated double bonds, such as vinyl monomers. Such addition polymers include, for example, poly(vinyl alcohol), poly(alkyl methacrylates), poly(alkyl acrylates), and other equivalent addition polymers; or

(iii)天然存在的聚合物,例如,含葡萄糖重复单元的聚糖,例如淀粉、糖原、纤维素、纤维素的衍生物,和其它相当的天然存在的聚合物。(iii) Naturally occurring polymers, eg, polysaccharides containing repeating units of glucose, such as starch, glycogen, cellulose, derivatives of cellulose, and other equivalent naturally occurring polymers.

优选的是,通式I的重复单元A表示具有附加羟基的重复单元的残基,例如聚(乙烯醇)的重复单元、聚环氧化物的重复环氧单元、羟基化的丙烯酸聚合物的重复单元例如聚(丙烯酸羟乙基酯)、或天然存在的聚糖的葡萄糖重复单元。该附加的羟基对于通式I中的有机部分X的前体化合物而言,或可作为交联位置或可作为反应位置。该前体化合物可以通过与附加的羟基的缩合反应,与聚合物骨架链上的重复单元进行化学键连。Preferably, the recurring unit A of general formula I represents the residue of a recurring unit having an appended hydroxyl group, for example a recurring unit of poly(vinyl alcohol), a recurring epoxy unit of a polyepoxide, a recurring epoxy unit of a hydroxylated acrylic polymer Units such as poly(hydroxyethyl acrylate), or glucose repeating units of naturally occurring polysaccharides. This additional hydroxyl group can serve as either a crosslinking site or a reactive site for the precursor compound of the organic moiety X in general formula I. The precursor compound can be chemically bonded to the repeating unit of the polymer backbone chain through a condensation reaction with additional hydroxyl groups.

通式I的有机部分X代表一种含碘的有机片段,它含有一个碘代的芳香基和一种或多种亲水基。为了得到用于本发明的具有高碘含量特性的聚合物,该碘代芳基具有多碘取代基被直接地键连到芳香族的环碳原子上。这些碘代芳香基中特别优选的是含有三个,优选四个被碘取代了的环碳原子的芳香基。尽管萘环和含有5-7个环原子的含氮杂环也可以被使用,但是优选的碘代芳香基是碘代苯环。特别优选的是在4个环碳原子上带有碘取代基的苯环。The organic moiety X of general formula I represents an iodine-containing organic moiety containing an iodo-substituted aromatic group and one or more hydrophilic groups. In order to obtain polymers with high iodine content characteristics for use in the present invention, the iodoaryl groups have polyiodine substituents bonded directly to aromatic ring carbon atoms. Particularly preferred among these iodoaryl groups are those containing three, preferably four, ring carbon atoms substituted with iodine. The preferred iodoaryl is the iodobenzene ring, although naphthalene rings and nitrogen-containing heterocycles containing 5-7 ring atoms can also be used. Particularly preferred are benzene rings with iodine substituents on 4 ring carbon atoms.

亲水基X通常是作为直接地,或通过化学的键连基间接地键连到碘代芳香基的一个或多个环碳原子上的取代基存在的。优选的键连基包括短链的脂族基,例如具有1~4个碳原子的亚烷基、酰氨基和相当的脂族基。典型的亲水基可以选自这样一些不同的基团,即包括羧基;磺基;氨基;其盐类如羧酸盐、磺酸盐、铵盐;多元醇类如葡萄糖;和其它相当的亲水基。The hydrophilic group X is usually present as a substituent bonded directly, or indirectly through a chemical linker, to one or more ring carbon atoms of the iodoaryl group. Preferred linking groups include short chain aliphatic groups such as alkylene groups having 1 to 4 carbon atoms, amido groups and equivalent aliphatic groups. Typical hydrophilic groups can be selected from a number of different groups including carboxyl; sulfo; amino; salts thereof such as carboxylate, sulfonate, ammonium salts; polyols such as glucose; water based.

通常,衍生通式I有机部分x的前体含有一个与聚合物骨架链的重复单元形成化学键连基的反应基。在本发明的优选实施方案中,其中聚合物骨架链的重复单元是代表带有羟基的重复单元的残基,在x的前体上所含有的反应基是一种与羟基反应的基团。例如该反应基可以是羧基,它与骨架链的附加羟基缩合形成酯基,键连聚合物骨架碘代芳香部分。与羟基反应形成这样化学键连基的其它的各种反应基,如醚、酰胺、硫代酯、碳酸酯、氨基甲酸酯、硫醚、以及各种等当物,也都可以使用。Typically, the precursor from which the organic moiety x of general formula I is derived contains a reactive group that forms a chemical linkage with a repeat unit of the polymer backbone chain. In a preferred embodiment of the present invention, wherein the repeating unit of the polymer backbone chain is a residue representing a repeating unit bearing a hydroxyl group, the reactive group contained on the precursor of x is a group reactive with a hydroxyl group. For example, the reactive group may be a carboxyl group which condenses with an additional hydroxyl group of the backbone chain to form an ester group which bonds to the iodoaromatic moiety of the polymer backbone. Various other reactive groups that react with hydroxyl groups to form such chemical linkages, such as ethers, amides, thioesters, carbonates, carbamates, thioethers, and various equivalents, can also be used.

对于通式I的X部部分所列的一部分前体包括,例如,3-(3-氨基-2,4,6-三碘代苯基)-2-乙基丙酸;3-(3-羟基-2,4,6-三碘代苯基)-2-乙基丙酸;3-(3-丁酰基氨基-2,4,6-三碘代苯基)-2-乙基丙烯酸钠;3,5-二碘代-4-吡啶酮-N-乙酸;3-乙酰氨基-2,4,6-三碘代苯甲酸;四碘代邻苯二甲酸酐;等等。四碘代邻苯二甲酸酐可为特别有用的,因为它的碘含量高。Some of the precursors listed for the X portion of formula I include, for example, 3-(3-amino-2,4,6-triiodophenyl)-2-ethylpropanoic acid; 3-(3- Hydroxy-2,4,6-triiodophenyl)-2-ethylpropanoic acid; Sodium 3-(3-butyrylamino-2,4,6-triiodophenyl)-2-ethylacrylate ; 3,5-diiodo-4-pyridone-N-acetic acid; 3-acetylamino-2,4,6-triiodobenzoic acid; tetraiodophthalic anhydride; Tetraiodophthalic anhydride may be particularly useful because of its high iodine content.

基于上述说明,某些优选的碘化聚合物的结构式可说明如下:Based on the above descriptions, the structural formulas of some preferred iodinated polymers can be illustrated as follows:

其中:in:

A为如前面通式I中所定义的;A is as defined above in general formula I;

X为如前面通式I中所定义的;X is as defined above in general formula I;

L代表上述键连基,例如酯、醚、酰胺、硫代酯、碳酸酯、氨基甲酸酯、硫醚等;以及每个R1~R6可以相同或不同,代表氢、含碘的取代基、或含亲水基的取代基、其条件是X的碘含量大约40~80%(以X的分子量计)。L represents the above linking group, such as ester, ether, amide, thioester, carbonate, carbamate, thioether, etc.; and each R1 to R6 can be the same or different, representing hydrogen, iodine-containing substitution A group, or a substituent containing a hydrophilic group, provided that the iodine content of X is about 40-80% (based on the molecular weight of X).

优选的碘代聚合物是交联的。它可以增加聚合物的水不溶性和耐溶胀性。通过在聚合物的骨架链上或在X部分上或在这两者上引进合适的交联位置可以有效地进行交联。例如,在一个优选的实施方案中,聚合物含有一个带附加羟基的重复骨架单元和一个含有羧基作为亲水基的侧链基A,附加到一个聚合物骨架链上的羟基可以与连在另一个聚合物的侧链X上的羧基反应,由此通过酯键来交联两个聚合物。Preferred iodopolymers are crosslinked. It can increase the water insolubility and swelling resistance of the polymer. Crosslinking can be effected by introducing suitable crosslinking sites either on the backbone chain of the polymer or on the X moiety or both. For example, in a preferred embodiment, the polymer contains a repeating backbone unit with additional hydroxyl groups and a side chain group A containing a carboxyl group as a hydrophilic group. The carboxyl group on the side chain X of one polymer reacts, thereby cross-linking the two polymers through an ester bond.

本发明的聚合物造影剂含有亲水基和疏水基。结构式I的重复骨架单元A基本上是疏水的,是作为X部分的许多部分。当然X也含有一个或多个亲水基。疏水基与亲水基的这一结合,相信其重要性在于提供合适的聚合物表面和电学特性,进而提供合适的聚合物与肌体器官和组织的相容性。The polymeric contrast agents of the present invention contain hydrophilic groups and hydrophobic groups. The repeating backbone unit A of formula I is substantially hydrophobic and is a multiplicity of moieties as X. Of course X also contains one or more hydrophilic groups. This combination of hydrophobic groups and hydrophilic groups is believed to be important in providing suitable polymer surface and electrical properties, thereby providing suitable polymer compatibility with body organs and tissues.

该碘化聚合物可以通过各种常规的聚合和化学反应技术制得。优选的反应步骤是使侧链基X的前体化合物与含有作为合适的反应位的附加基(如羟基)的预先形成的聚合物进行化学反应。该预先形成的聚合物可以根据聚合物的不同,通过加成或缩聚进行制备;或者对于自然界存在的聚合物例如聚糖类的情况,可以从自然界存在的来源中得到。对于X部分的前体化合物可以通过各种已知的反应方法与在聚合物骨架上的反应位进行反应,该反应方法根据在该反应中形成的上述通式I中键连基L的性质而定。比较有利的是,这些前体化合物的反应在乳化条件下进行,以便得到的聚合物是细分的颗粒形式。交联可以在聚合物骨架x部分的连接过程中或之后进行。The iodinated polymers can be prepared by various conventional polymerization and chemical reaction techniques. A preferred reaction step is to chemically react a precursor compound of the side chain group X with a pre-formed polymer containing additional groups such as hydroxyl groups as suitable reactive sites. The preformed polymers can be prepared, depending on the polymer, by addition or polycondensation; or in the case of naturally occurring polymers such as polysaccharides, can be obtained from naturally occurring sources. The precursor compound for the X part can be reacted with the reactive site on the polymer backbone by various known reaction methods according to the nature of the linking group L in the above-mentioned general formula I formed in the reaction. Certainly. Advantageously, the reaction of these precursor compounds is carried out under emulsified conditions, so that the polymer obtained is in the form of finely divided particles. Crosslinking can be performed during or after attachment of the x moieties of the polymer backbone.

以聚(乙烯醇)和四碘代邻苯二甲酸的聚合物为基础的实例在上述WO94/25075中叙述过。Examples based on polymers of poly(vinyl alcohol) and tetraiodophthalic acid are described in the aforementioned WO 94/25075.

如上所述已经制得的一种水不溶的和非水溶胀的碘化聚合物,可以加以粉碎或研磨处理以便得到合适粒度范围的聚合物颗粒。当然,在该聚合物是在适当条件制备的情况下,例如成珠聚合或乳液聚合条件下制备,则该聚合物已经具有合适的颗粒度,从而不需要另外的研磨和粉碎,对于这些聚合物颗粒而言其适用的颗粒度范围约为0.01~1000微米,优选0.1~100微米。A water-insoluble and non-water-swellable iodinated polymer, which has been prepared as described above, may be crushed or ground to obtain polymer particles of the appropriate size range. Of course, where the polymer is prepared under suitable conditions, such as bead polymerization or emulsion polymerization conditions, then the polymer already has a suitable particle size so that additional grinding and comminution is not required, for these polymers For the particles, the applicable particle size range is about 0.01-1000 microns, preferably 0.1-100 microns.

优选的钡盐(上述类型(10)的造影剂)是硫酸钡,它是白色的、不透X射线的、基本上不溶于水的结晶粉末。粒度为0.001~0.1微米直径的硫酸钡是市面上可购到的。然而,其它可以得到的好的钡盐产品,即细粒的、无机的、基本上水不溶的钡盐,包括六硼化钡、亚铬酸钡、氟棓酸钡、三-正-磷酸钡、硅酸钡、钛酸钡、锆酸钡和氧化锆。本发明的组合物含有大约5%w/w到大约95%w/w的钡盐。该组合物可以是分散液、胶体或悬浮液的形式,然而,我们优选使用胶体作为优选的实施方案。A preferred barium salt (contrast agent of type (10) above) is barium sulfate, which is a white, x-ray opaque, substantially water-insoluble crystalline powder. Barium sulfate is commercially available in particle sizes ranging from 0.001 to 0.1 micron in diameter. However, other good barium salt products available, i.e., fine-grained, inorganic, substantially water-insoluble barium salts, include barium hexaboride, barium chromite, barium fluorogallate, barium tris-ortho-phosphate , barium silicate, barium titanate, barium zirconate and zirconia. The compositions of the present invention contain from about 5% w/w to about 95% w/w barium salt. The composition may be in the form of a dispersion, colloid or suspension, however we prefer to use colloids as a preferred embodiment.

用于本发明的造影剂的投药制剂可以按本领域所熟悉的方法使用生理上可接受的载体或赋形剂配制。各种化合物外加医药上可接受的助剂(例如表面活性和乳化剂)和赋形剂可以悬浮或部分溶解在水性介质中,形成分散液、溶液或悬浮液。然而,优选油性造影剂乳液。The administration formulations of the contrast agents used in the present invention can be formulated using physiologically acceptable carriers or excipients according to methods familiar in the art. Various compounds plus pharmaceutically acceptable adjuvants (such as surface active and emulsifying agents) and excipients can be suspended or partially dissolved in aqueous media to form dispersions, solutions or suspensions. However, oily contrast medium emulsions are preferred.

使用上面定义的类型(1)~(8)的造影剂的本发明的组合物含有下面的医药上可接受的各种组分(基于%w/v):Compositions of the invention using contrast agents of the types (1) to (8) defined above contain the following pharmaceutically acceptable components (based on % w/v):

组分             宽范围         较优选范围     最优选范围Components Wide Range More Preferred Range Most Preferred Range

造影剂           30~200          40~160        85~120Contrast agent 30~200 40~160 85~120

(总悬浮液的mg I/ml)(mg I/ml of total suspension)

纤维素衍生物         0.05~10    0.1~4     0.2~1Cellulose derivatives 0.05~10 0.1~4 0.2~1

(%w/v)(%w/v)

油性载体             0.0~55     0.1~25    7~15Oily carrier 0.0~55 0.1~25 7~15

(%w/v)(%w/v)

表面活性剂           0.0~20     0.1~10    3~7Surfactant 0.0~20 0.1~10 3~7

(%w/v)(%w/v)

改性粘度的modified viscosity

赋形剂(%w/v)        0.0~15     0.001~4   0.05~1Excipient (%w/v) 0.0~15 0.001~4 0.05~1

水-足量至100%(按体积)Water - Sufficient to 100% (by volume)

使用上面定义的类型(9)造影剂的本发明组合物含有如下医药上可接受的各组分(基于%w/v):Compositions of the invention using contrast agents of type (9) as defined above contain the following pharmaceutically acceptable components (based on % w/v):

组分                      宽范围       优选范围Components Wide Range Preferred Range

碘化的聚合物珠粒          5~95         20~70Iodinated polymer beads 5~95 20~70

(%w/v)(%w/v)

纤维素衍生物              0.05~10      0.1~4Cellulose derivatives 0.05~10 0.1~4

(%w/v)(%w/v)

表面活性剂                0.1~20       3~7Surfactant 0.1~20 3~7

(%w/v)(%w/v)

改性粘度的赋形剂(%w/v)   0.001~4      0.05~1Viscosity modified excipients (%w/v) 0.001~4 0.05~1

水  足量至100%(按体积)Water Sufficient to 100% (by volume)

使用钡盐的本发明的组合含有医药上可接受的下列各成分(基于%w/v):Combinations of the invention using barium salts contain the following ingredients (based on % w/v) which are pharmaceutically acceptable:

组分                     粗调范围      优选范围Components Coarse Adjustment Range Preferred Range

钡盐(w/v)                 5~95         40~70Barium salt (w/v) 5~95 40~70

纤维素衍生物              0.1~10       0.2~1Cellulose derivatives 0.1~10 0.2~1

(%w/v)(%w/v)

油性载体(%w/v)           0.1~55       7~15Oily carrier (%w/v) 0.1~55 7~15

表面活性剂(%w/v)         0.1~20       3~7Surfactant (%w/v) 0.1~20 3~7

改性粘度的赋形剂(%w/v)   0.001~15     0.05~1Viscosity modified excipients (%w/v) 0.001~15 0.05~1

水  足量至100%(按体积)Water Sufficient to 100% (by volume)

当该组合物被用于GI道的CT成像时,X-射线造影剂的浓度范围应为0.01~40mg I/ml,优选0.25~25mg I/ml和最优选4~12mg I/ml。When the composition is used for CT imaging of the GI tract, the concentration of the X-ray contrast agent should be in the range of 0.01-40 mg I/ml, preferably 0.25-25 mg I/ml and most preferably 4-12 mg I/ml.

用在本发明的优选纤维素衍生物是AVICEL_RC-591,它是大约89份微晶纤维和大约11份羧甲基纤维素钠的混合物。A preferred cellulose derivative for use in the present invention is AVICEL- RC-591 which is a mixture of about 89 parts microcrystalline cellulose and about 11 parts sodium carboxymethylcellulose.

关于用于本发明组合物的组分应当注意如下事项。The following should be noted with respect to the components used in the composition of the present invention.

X-射线造影剂的存在浓度低于上述配方中的最小值时不能产生优质的X-射线或CT图象,而其浓度高于上述配方的最大浓度时,GI道变得太不透射线因而不能充分地显示出GI道的图象。X-ray contrast agents present at concentrations below the minimum values in the above formulations do not produce good quality X-ray or CT images, while at concentrations above the maximum concentrations of the above formulations, the GI tract becomes too radiopaque and thus Inability to adequately visualize the GI tract.

在实施本发明中,水包油乳液优于油包水乳液、悬浮液和分散液。油性物料,其密度接近水相密度可使乳液稳定。因此低密度油,如矿物油,是制备乳液所需要的。当X-射线造影剂在室温下是油状物质时,一般不一定需要加油状载体。油超过大约55%w/v时该乳液不再是水包油型乳状液而转变成油包水型乳液。In the practice of the present invention, oil-in-water emulsions are preferred over water-in-oil emulsions, suspensions and dispersions. Oily materials whose density is close to that of the water phase can stabilize the emulsion. Therefore low density oils, such as mineral oil, are required for the preparation of emulsions. When the X-ray contrast agent is an oily substance at room temperature, an oily carrier is generally not necessary. Above about 55% w/v oil the emulsion ceases to be an oil-in-water emulsion and turns into a water-in-oil emulsion.

没有表面活性剂存在的组合物仍能提供优良的X-射线图象,然而无表面活性剂组合物很难被乳化,只能产生悬浮液/分散液,这对于涂覆GI道不足以满足要求,并且稳定性也小且贮存寿命短。由于毒性的原因某些表面活性剂的浓度应尽量低;当超过大约20%w/v时其毒性危险率将迅速增加。Compositions without surfactants still provide good X-ray images, however surfactant-free compositions are difficult to emulsify and can only produce suspensions/dispersions which are not adequate for coating the GI tract , and the stability is also small and the storage life is short. The concentration of some surfactants should be kept as low as possible for reasons of toxicity; the risk of toxicity increases rapidly above about 20% w/v.

用于本发明配方中的各种类型的化合物和医药上可接受的载体提供了优质的X-射线图象,而在配方中加入纤维素衍生物也大大提高了X-射线图象的质量。用浓度范围的下限不能获得或很少获得好的图象,而超过浓度范围的上限,乳液太粘不利于给药。Various types of compounds and pharmaceutically acceptable carriers used in the formulation of the present invention provide high-quality X-ray images, and adding cellulose derivatives to the formulation also greatly improves the quality of X-ray images. With the lower end of the concentration range no or little good images are obtained, and above the upper end of the concentration range the emulsion is too viscous for administration.

是否有必要加粘度改性剂可根据所用纤维素的形式或用量而定;在粘度改性剂用量高于15%w/v时则粘度太高将趋于形成凝胶。The necessity of adding a viscosity modifier may depend on the form or amount of cellulose used; at levels above 15% w/v the viscosity is too high and gels tend to form.

下面的配方实例可以进一步说明本发明The following formula examples can further illustrate the present invention

实施例1Example 1

组分                               用量(%w/v)Components Amount (% w/v)

N-乙酰基-N-2-辛基-4-碘代苯胺          17.50N-acetyl-N-2-octyl-4-iodoaniline 17.50

轻质矿物油,NF                        12.50Mineral Oil, Light, NF 12.50

聚山梨酯  80(吐温(Tween)80)           3.37Polysorbate 80 (Tween 80) 3.37

脱水山梨糖醇单油酸酯(司盘(span)80)    1.64Sorbitan monooleate (span 80) 1.64

AVICEL_ RC-591                      0.50AVICEL_RC -591 0.50

用足量水至100%(按体积)With sufficient water to 100% (by volume)

实施例2Example 2

组分                          用量(%w/v)Component Amount (% w/v)

N-(4′-碘代苯基)-2-氨基辛烷      95.00N-(4′-iodophenyl)-2-aminooctane 95.00

(在室温下为油状)(oily at room temperature)

聚山梨酯80(吐温80)               5.00Polysorbate 80 (Tween 80) 5.00

AVICEL_ RC-591                 6.50AVICEL_RC -591 6.50

用足量水至100%(按体积)With sufficient water to 100% (by volume)

实施例3Example 3

组分                          用量(%w/v)Component Amount (% w/v)

2,4,6-三碘代苯氧基-2-辛烷      14.502,4,6-triiodophenoxy-2-octane 14.50

轻质矿物油,NF                   12.50Light Mineral Oil, NF 12.50

聚山梨酯80(吐温80)               3.37Polysorbate 80 (Tween 80) 3.37

脱水山梨糖醇单油酸酯(司盘80)     1.64Sorbitan monooleate (Span 80) 1.64

AVICEL_ RC-591                 0.50AVICEL_RC -591 0.50

用足量水至100%(按体积)With sufficient water to 100% (by volume)

实施例4Example 4

组分                          用量(%w/v)Component Amount (% w/v)

2,4,6-三碘代苯氧基-2-丁烷      17.002,4,6-triiodophenoxy-2-butane 17.00

聚山梨酯80(吐温80)               5.00Polysorbate 80 (Tween 80) 5.00

AVICEL_ RC-591                 6.50AVICEL_RC -591 6.50

用足量水至100%(按体积)With sufficient water to 100% (by volume)

实施例5Example 5

组分                          用量(%w/v)Component Amount (% w/v)

2,4,6-三碘代苯氧基-2-己烷      25.402,4,6-triiodophenoxy-2-hexane 25.40

AVICEL_ RC-591                 10.00AVICEL_RC -591 10.00

用足量水至100%(按体积)With sufficient water to 100% (by volume)

实施例6Example 6

组分                          用量(%w/v)Component Amount (% w/v)

4-碘代苯氧基-2-辛烷              30.004-iodophenoxy-2-octane 30.00

轻质矿物油,NF                   20.50Light Mineral Oil, NF 20.50

聚山梨酯80(吐温80)                           3.00Polysorbate 80 (Tween 80) 3.00

AVICEL_ RC-591                             0.15AVICEL_RC -591 0.15

用足量水至100%(按体积)With sufficient water to 100% (by volume)

实施例7Example 7

组分                                      用量(%w/v)Components Amount (%w/v)

2-辛基-2,3,5-三碘代苯甲酸酯                17.502-Octyl-2,3,5-triiodobenzoate 17.50

轻质矿物油,NF                               12.50Light Mineral Oil, NF 12.50

聚山梨酯80(吐温80)                           3.37Polysorbate 80 (Tween 80) 3.37

脱水山梨糖醇单油酸酯(司盘80)                 1.64Sorbitan monooleate (Span 80) 1.64

AVICEL_ RC-591                             0.50AVICEL_RC -591 0.50

用足量水至100%(按体积)With sufficient water to 100% (by volume)

实施例8Example 8

组分                                      用量(%w/v)Components Amount (%w/v)

3,3,4,4,5,5,6,6,7,7,8,8-十二      25.003, 3, 4, 4, 5, 5, 6, 6, 7, 7, 8, 8-twelve 25.00

氟代-2-辛基-2,3,5-三碘代苯甲酸酯Fluoro-2-octyl-2,3,5-triiodobenzoate

聚山梨酯80(吐温80)                           5.00Polysorbate 80 (Tween 80) 5.00

AVICEL_ RC-591                             6.50AVICEL_RC -591 6.50

用足量水至100%(按体积)With sufficient water to 100% (by volume)

实施例9Example 9

组分                                      用量(%w/v)Components Amount (%w/v)

1,3,5-三-N-己基-2,4,6-三碘代苯           17.501,3,5-tri-N-hexyl-2,4,6-triiodobenzene 17.50

轻质矿物油,NF                               12.50Light Mineral Oil, NF 12.50

聚山梨酯80(吐温80)                           3.37Polysorbate 80 (Tween 80) 3.37

脱水山梨糖醇单油酸酯(司盘80)                 1.64Sorbitan monooleate (Span 80) 1.64

AVICEL_ RC-591                             0.50AVICEL_RC -591 0.50

用足量100%(按体积)100% in full amount (by volume)

实施例10Example 10

组分                                      用量(%w/v)Components Amount (%w/v)

1,3,5-三乙基-2,4,6-三碘代苯              25.001,3,5-triethyl-2,4,6-triiodobenzene 25.00

(在室温下为油状)(oily at room temperature)

聚山梨酯80(吐温80)                           5.00Polysorbate 80 (Tween 80) 5.00

AVICEL_ RC-591                          6.50AVICEL_RC -591 6.50

用足量水至100%(按体积)With sufficient water to 100% (by volume)

实施例11Example 11

组分                                   用量(%w/v)Components Amount (% w/v)

1,3,5-三-N-丁基-2,4,6-三碘代苯        20.501,3,5-tri-N-butyl-2,4,6-triiodobenzene 20.50

轻质矿物油,NF                            5.00Mineral Oil, Light, NF 5.00

聚山梨酯20(吐温20)                        2.50Polysorbate 20 (Tween 20) 2.50

脱水山梨糖醇单月桂酸酯(司盘20)            2.50Sorbitan Monolaurate (Span 20) 2.50

AVICEL_ RC-591                          0.50AVICEL_RC -591 0.50

用足量水至100%(按体积)With sufficient water to 100% (by volume)

实施例12Example 12

组分                                   用量(%w/v)Components Amount (% w/v)

2-(4-碘代苯基)壬烷                        25.002-(4-Iodophenyl)nonane 25.00

聚山梨酯20(吐温20)                        2.50Polysorbate 20 (Tween 20) 2.50

脱水山梨糖醇单月桂酸酯(司盘20)            2.50Sorbitan Monolaurate (Span 20) 2.50

AVICEL_ RC-591                          0.75AVICEL_RC -591 0.75

用足量水至100%(按体积)With sufficient water to 100% (by volume)

实施例13Example 13

组分                                   用量(%w/v)Components Amount (% w/v)

聚乙二醇-400的双-(4-碘代苯)醚             17.50Bis-(4-iodophenyl) ether of polyethylene glycol-400 17.50

轻质矿物油,NF                            12.50Mineral Oil, Light, NF 12.50

聚山梨酯80(吐温80)                        3.37Polysorbate 80 (Tween 80) 3.37

脱水山梨糖醇单油酸酯(司盘80)              1.64Sorbitan monooleate (Span 80) 1.64

AVICEL_ RC-591                          0.50AVICEL_RC -591 0.50

用足量水至100%(按体积)With sufficient water to 100% (by volume)

实施例14Example 14

组分                                   用量(%w/v)Components Amount (% w/v)

1,8-双-O-(2,4,6-三碘代苯基)-1,8-bis-O-(2,4,6-triiodophenyl)-

三丙二醇                                  25.00Tripropylene Glycol 25.00

(室温下为油状)(oily at room temperature)

聚山梨酯80(吐温80)                        5.00Polysorbate 80 (Tween 80) 5.00

AVICEL_ RC-591                        6.50AVICEL_RC -591 6.50

用足量水至100%(按体积)With sufficient water to 100% (by volume)

实施例15Example 15

组分                                 用量(%w/v)Components Amount (% w/v)

1,11-双-(2,4,6-三碘代苯氧基)-1,11-bis-(2,4,6-triiodophenoxy)-

3,6,9-三噁十一碳烷                    17.503,6,9-Triaxane 17.50

轻质矿物油,NF                          12.50Mineral Oil, Light, NF 12.50

聚山梨酯20(吐温20)                      2.50Polysorbate 20 (Tween 20) 2.50

脱水山梨糖醇单月桂酸酯(司盘20)          2.50Sorbitan Monolaurate (Span 20) 2.50

AVICEL_ RC-591                        0.50AVICEL_RC -591 0.50

用足量水至100%(按体积)With sufficient water to 100% (by volume)

实施例16Example 16

组分                                 用量(%w/v)Components Amount (% w/v)

1-(3-碘代苯氧基)-3,6,9-三噁癸烷       25.501-(3-iodophenoxy)-3,6,9-trioxodecane 25.50

聚山梨酯20(吐温20)                      2.50Polysorbate 20 (Tween 20) 2.50

脱水山梨糖醇单月桂酸酯(司盘20)          2.50Sorbitan Monolaurate (Span 20) 2.50

AVICEL_ RC-591                        0.50AVICEL_RC -591 0.50

用足量水至100%(按体积)With sufficient water to 100% (by volume)

实施例17Example 17

组分                                 用量(%w/v)Components Amount (% w/v)

2-乙基己酸2,4,6-三碘代苯基酯          17.502,4,6-triiodophenyl 2-ethylhexanoate 17.50

轻质矿物油,NF                          12.50Mineral Oil, Light, NF 12.50

聚山梨酯80(吐温80)                      3.37Polysorbate 80 (Tween 80) 3.37

脱水山梨糖醇单油酸酯(司盘80)            1.64Sorbitan monooleate (Span 80) 1.64

AVICEL_ RC-591                        0.50AVICEL_RC -591 0.50

用足量水至100%(按体积)With sufficient water to 100% (by volume)

实施例18Example 18

组分                                 用量(%w/v)Components Amount (% w/v)

2,4,6-三碘代苯-三-(2乙基乙酸酯)       95.002,4,6-Triiodobenzene-tris-(2 ethyl acetate) 95.00

聚山梨酯80(吐温80)                      5.00Polysorbate 80 (Tween 80) 5.00

AVICEL_ RC-591                        6.50AVICEL_RC -591 6.50

用足量水至100%(按体积)With sufficient water to 100% (by volume)

实施例19Example 19

组分                                   用量(%w/v)Components Amount (% w/v)

2,4,6-三碘代苯基-3-环戊基丙酸酯         20.00轻质矿物油,NF                            12.502,4,6-Triiodophenyl-3-cyclopentylpropionate 20.00 Light mineral oil, NF 12.50

聚山梨酯  20(吐温20)                      2.50Polysorbate 20 (Tween 20) 2.50

脱水山梨糖醇单月桂酸酯(司盘20)            2.50Sorbitan Monolaurate (Span 20) 2.50

AVICEL_ RC-591                          0.50AVICEL_RC -591 0.50

用足量水至100%(按体积)With sufficient water to 100% (by volume)

实施例20Example 20

组分                                   用量(%w/v)Components Amount (% w/v)

3-三氟甲基-2,4,6三碘代苯基-三3-Trifluoromethyl-2,4,6-triiodophenyl-tri

-(2-乙基己酸酯)                           20.00-(2-Ethylhexanoate) 20.00

聚山梨酯  20(吐温20)                      5.00Polysorbate 20 (Tween 20) 5.00

AVICEL_ RC-591                          1.00AVICEL_RC -591 1.00

用足量水至100%(按体积)With sufficient water to 100% (by volume)

实施例21组分                                   用量(%w/v)Example 21 Components Amount (%w/v)

2,4,6-三碘代苯基己烷磺酸酯              20.002,4,6-Triiodophenylhexanesulfonate 20.00

轻质矿物油,NF                            12.50Mineral Oil, Light, NF 12.50

聚山梨酯  80(吐温80)                      2.00Polysorbate 80 (Tween 80) 2.00

脱水山梨糖醇单油酸酯(司盘80)              1.00Sorbitan monooleate (Span 80) 1.00

AVICEL_ RC-591                          1.00AVICEL_RC -591 1.00

用足量水至100%(按体积)With sufficient water to 100% (by volume)

实施例22Example 22

组分                                   用量(%w/v)Components Amount (% w/v)

2,4,6-三碘代苯氧基甲基环戊烷            14.502,4,6-Triiodophenoxymethylcyclopentane 14.50

轻质矿物油,NF                            12.50Mineral Oil, Light, NF 12.50

聚山梨酯  80(吐温80)                      3.37Polysorbate 80 (Tween 80) 3.37

脱水山梨糖醇单油酸酯(司盘80)              1.64Sorbitan monooleate (Span 80) 1.64

AVICEL_ RC-591                          0.50AVICEL_RC -591 0.50

用足量水至100%(按体积)With sufficient water to 100% (by volume)

实施例23Example 23

组分                              用量(%w/v)Components Amount (% w/v)

2-(4-碘代苯氧基)十五碳烷             17.002-(4-Iodophenoxy)pentadecane 17.00

聚山梨酯  80(吐温80)                 5.00Polysorbate 80 (Tween 80) 5.00

AVICEL_RC-591                      6.50AVICEL_RC -591 6.50

用足量水至100%(按体积)With sufficient water to 100% (by volume)

实施例24Example 24

组分                              用量(%w/v)Components Amount (% w/v)

2-碘代苯氧基环戊烷                   25.202-Iodophenoxycyclopentane 25.20

轻质矿物油,NF                       20.50Mineral Oil, Light, NF 20.50

聚山梨酯  80(吐温80)                 3.00Polysorbate 80 (Tween 80) 3.00

AVICEL_RC-591                      0.15AVICEL_RC -591 0.15

用足量水至100%(按体积)With sufficient water to 100% (by volume)

实施例25Example 25

组分                              用量(%w/v)Components Amount (% w/v)

3,5-双(乙酰氨基)-2,4,6-3,5-bis(acetylamino)-2,4,6-

三碘代苯甲酸乙酯                     17.50Ethyl triiodobenzoate 17.50

聚山梨酯  80(吐温80)                 3.37Polysorbate 80 (Tween 80) 3.37

脱水山梨糖醇单油酸酯(司盘80)         1.64Sorbitan monooleate (Span 80) 1.64

AVICEL_RC-591                      0.50AVICEL_RC -591 0.50

用足量水至100%(按体积)With sufficient water to 100% (by volume)

实施例26Example 26

组份                              用量(%w/v)Component Amount (%w/v)

乙基(3,5-双(乙酰氨基)-2,4,6-Ethyl (3,5-bis(acetylamino)-2,4,6-

三碘代-苯甲酰氧基)乙酸酯             25.00Triiodo-benzoyloxy)acetate 25.00

轻质矿物油,NF                       10.00Light Mineral Oil, NF 10.00

聚山梨酯  80(吐温80)                 5.00Polysorbate 80 (Tween 80) 5.00

AVICEL_RC-591                      6.50AVICEL_RC -591 6.50

用足量水至100%(按体积)With sufficient water to 100% (by volume)

实施例27Example 27

组分                                  用量(%w/v)Components Amount (% w/v)

2-(3,5-双(乙酰氨基)-2,4,6-三碘2-(3,5-bis(acetylamino)-2,4,6-triiodo

代-苯甲酰氧基)丁酸乙酯                    30.00Di-benzoyloxy) ethyl butyrate 30.00

普卢兰尼克(Pluronic)F-68                  10.00Pluronic F-68 10.00

AVICEL_RC-591                           2.00AVICEL_RC -591 2.00

用足量水至100%(按体积)With sufficient water to 100% (by volume)

实施例28Example 28

组分                                  用量(%w/v)Components Amount (% w/v)

3,5-双(乙酰氨基)-2,4,6-三碘代3,5-bis(acetylamino)-2,4,6-triiodo

苯甲酯乙酯                                17.50Ethyl benzoate 17.50

轻质矿物油,NF                            12.50Mineral Oil, Light, NF 12.50

聚山梨酯  80(吐温80)                      3.37Polysorbate 80 (Tween 80) 3.37

脱水山梨糖醇单油酸酯(司盘80)              1.64Sorbitan monooleate (Span 80) 1.64

AVICEL_RC-591                           0.50AVICEL_RC -591 0.50

用足量水至100%(按体积)With sufficient water to 100% (by volume)

实施例29Example 29

组分                                  用量(%w/v)Components Amount (% w/v)

碘化的聚合物珠粒                          17.50Iodinated polymer beads 17.50

聚山梨酯  80(吐温80)                      3.37Polysorbate 80 (Tween 80) 3.37

脱水山梨糖醇单油酸酯(司盘80)              1.64Sorbitan monooleate (Span 80) 1.64

AVICEL_RC-591                           0.50AVICEL_RC -591 0.50

用足量水至100%(按体积)With sufficient water to 100% (by volume)

实施例30Example 30

组分                                  用量(%w/v)Components Amount (% w/v)

碘化的聚合物珠粒                          25.00Iodinated polymer beads 25.00

聚山梨酯  80(吐温80)                      5.00Polysorbate 80 (Tween 80) 5.00

AVICEL_RC-591                           6.50AVICEL_RC -591 6.50

用足量水至100%(按体积)With sufficient water to 100% (by volume)

实施例31Example 31

组分                                  用量(%w/v)Components Amount (% w/v)

碘化的聚合物珠粒                          20.00Iodinated Polymer Beads 20.00

聚山梨酯  20(吐温20)                  5.00Polysorbate 20 (Tween 20) 5.00

AVICEL_RC-591                       1.00AVICEL_RC -591 1.00

用足量水至100%(按体积)With sufficient water to 100% (by volume)

实施例32Example 32

组分                              用量(%w/v)Components Amount (% w/v)

碘化的聚合物珠粒                      30.00Iodinated polymer beads 30.00

矿物油,NF                            10.00Mineral Oil, NF 10.00

聚山梨酯  80(吐温80)                  3.37Polysorbate 80 (Tween 80) 3.37

脱水山梨糖醇单油酸酯(司盘80)          1.64Sorbitan monooleate (Span 80) 1.64

AVICEL_RC-591                       0.50AVICEL_RC -591 0.50

用足量水至100%(按体积)With sufficient water to 100% (by volume)

实施例33Example 33

组分                              用量(%w/v)Components Amount (% w/v)

硫酸钡                                17.50Barium Sulfate 17.50

聚山梨酯  80(吐温80)                  3.37Polysorbate 80 (Tween 80) 3.37

脱水山梨糖醇单油酸酯(司盘80)          1.64Sorbitan monooleate (Span 80) 1.64

AVICEL_RC-591                       0.50AVICEL_RC -591 0.50

用足量水至100%(按体积)With sufficient water to 100% (by volume)

实施例34Example 34

组分                              用量(%w/v)Components Amount (% w/v)

六硼化钡                              25.00Barium hexaboride 25.00

轻质矿物油,NF                        9.50Light Mineral Oil, NF 9.50

聚山梨酯  80(吐温80)                  5.00Polysorbate 80 (Tween 80) 5.00

AVICEL_RC-591                       6.50AVICEL_RC -591 6.50

用足量水至100%(按体积)With sufficient water to 100% (by volume)

实施例35Example 35

组分                              用量(%w/v)Components Amount (% w/v)

铬酸钡                                70.00Barium chromate 70.00

轻质矿物油,NF                        5.00Mineral Oil, Light, NF 5.00

聚山梨酯  20(吐温20)                  2.50Polysorbate 20 (Tween 20) 2.50

脱水山梨糖醇单月桂酸酯(司盘20)        2.50Sorbitan monolaurate (Span 20) 2.50

AVICEL_ RC-591                   0.50AVICEL_RC -591 0.50

用足量水至100%(按体积)With sufficient water to 100% (by volume)

实施例36Example 36

组分                           用量(%w/v)Component Amount (% w/v)

硅酸钡                             85.00Barium silicate 85.00

聚山梨酯  20(吐温20)               2.50Polysorbate 20 (Tween 20) 2.50

脱水山梨糖醇单月桂酸酯(司盘20)     2.50Sorbitan monolaurate (Span 20) 2.50

AVICEL_RC-591                    0.75AVICEL_RC -591 0.75

用足量水至100%(按体积)With sufficient water to 100% (by volume)

实施例37Example 37

组分                           用量(%w/v)Component Amount (% w/v)

氟棓酸钡                           50.00Barium fluorogallate 50.00

矿物油,NF                         10.00Mineral Oil, NF 10.00

聚山梨酯  80(吐温80)               3.37Polysorbate 80 (Tween 80) 3.37

脱水山梨糖醇单油酸酯(司盘80)       1.64Sorbitan monooleate (Span 80) 1.64

AVICEL_RC-591                    0.50AVICEL_RC -591 0.50

用足量水至100%(按体积)With sufficient water to 100% (by volume)

实施例38Example 38

组份                           用量(%w/v)Component Amount (%w/v)

三正磷酸钡                         60.00Barium triorthophosphate 60.00

聚山梨酯  80(吐温80)               5.00Polysorbate 80 (Tween 80) 5.00

AVICEL_RC-591                    2.00AVICEL_RC -591 2.00

用足量水至100%(按体积)With sufficient water to 100% (by volume)

如本领域的技术人员已知的那样,表面活性剂或乳化剂可以降低两个不混溶相(即在含水介质中的油)之间的界面张力。这些剂可以单独使用,也可以与其它的乳化剂和表面活性配合使用。例如Dow Corning Medical AntifoamAF,该产品本身就可以使用,它是30%w/v聚二甲基硅氧烷二甲基硅油和硅气凝胶、14%w/v硬脂酸盐乳化剂和0.075%w/v山梨酸的组合物,用水平衡。精制卵磷脂,是一种脂肪酸的乳液需要有悬浮剂存在以便使它形成含本发明造影剂可接受的乳液。表面活性剂可以是阳离子型、阴离子型、非离子型、两性离子型或它们的两种或多种的混合物。As known to those skilled in the art, surfactants or emulsifiers can reduce the interfacial tension between two immiscible phases (ie oil in an aqueous medium). These agents can be used alone or in combination with other emulsifiers and surfactants. Such as Dow Corning Medical Antifoam AF, the product can be used by itself, it is 30% w/v dimethicone dimethicone and silicon airgel, 14% w/v stearate emulsifier and 0.075 Composition of % w/v sorbic acid, balanced with water. Refined lecithin, which is an emulsion of fatty acids, requires the presence of a suspending agent in order for it to form an acceptable emulsion containing the contrast agent of the invention. The surfactant can be cationic, anionic, nonionic, zwitterionic or a mixture of two or more thereof.

合适的阳离子型表面活性剂包括十六烷基三甲基溴化铵。合适的阴离子型表面活性包括十二烷基硫酸钠、十七烷基硫酸钠、烷基苯磺酸及其盐、丁基萘磺酸钠、和硫代琥珀酸盐。两性离子型表面活性剂是那些当溶于水时它们起着二元酸作用的物质,并且当他们离子化时又起着弱酸和弱碱的作用。由于这两种电荷在分子内相互平衡而在分子外面则起着中性分子的作用。在两性离子浓度最大时的PH值叫做等电点。在本发明配方所要求的PH值下具有等电点的某些氨基酸等化合物可用来实施本发明。Suitable cationic surfactants include cetyltrimethylammonium bromide. Suitable anionic surfactants include sodium lauryl sulfate, sodium heptadecyl sulfate, alkylbenzenesulfonic acids and their salts, sodium butylnaphthalenesulfonate, and sulfosuccinates. Zwitterionic surfactants are those substances which act as dibasic acids when dissolved in water, and act as weak acids and bases when ionized. Because these two charges balance each other inside the molecule, they act as neutral molecules outside the molecule. The pH at which the concentration of zwitterions is maximum is called the isoelectric point. Compounds such as certain amino acids having an isoelectric point at the pH value required by the formulation of the present invention can be used in the practice of the present invention.

在制备本发明制剂中我们优选使用非离子型乳化剂或表面活性剂,与非离子型造影剂相类似,与阴离子、阳离子或两性离子型剂相比具有极好的毒性学剖析。在非离子型乳化剂中亲水和疏水基的比例大约是对等的平衡。由于在分子中不存在电荷,所以不同于阴离子型和阳离子型表面活性剂,因此,通常它的刺激性比阳离子型或阴离子型表面活性剂的小。非离子型表面活性剂包括羧酸酯、羧酸酰胺、乙氧基化的烷基酚和乙氧基化的脂族醇。In preparing the formulations of the invention we prefer to use nonionic emulsifiers or surfactants, which, like nonionic contrast agents, have an excellent toxicological profile compared to anionic, cationic or zwitterionic agents. The proportion of hydrophilic and hydrophobic groups in nonionic emulsifiers is about an equal balance. Unlike anionic and cationic surfactants due to the absence of charges in the molecule, it is generally less irritating than cationic or anionic surfactants. Nonionic surfactants include carboxylic acid esters, carboxylic acid amides, ethoxylated alkylphenols and ethoxylated aliphatic alcohols.

一种具体类型的羧酸酯非离子型表面活性剂是偏酯,例如单酯,它是通过脂肪与具有8~18个碳原子的树脂酸等和多元醇反应形成的(该多元醇例如丙三醇、一、二、四和六亚乙基二醇等的二醇类、脱水山梨糖醇和其它类似物);以及通过各种摩尔比的环氧乙烷对脂肪酸的羟基直接反应所形成的类似化合物。A specific type of carboxylate nonionic surfactant is a partial ester, such as a monoester, which is formed by reacting a fat with a resin acid having 8 to 18 carbon atoms, etc. triols, diols such as mono-, di-, tetra-, and hexaethylene glycols, sorbitan, and other analogs); and those formed by the direct reaction of various molar ratios of ethylene oxide to the hydroxyl groups of fatty acids Similar compounds.

另一类羧酸酯是脂肪与树脂偏酸(例如单酸)的缩合产物、氧化乙烯酯,例如聚氧乙烯脱水山梨糖醇和山梨糖醇的脂肪或树脂酸酯,例如聚氧乙烯脱水山梨糖醇、单妥尔油酯类。它们可以含有,例如每分子中大约3~大约80个氧化乙烯单元和具有8~18个碳原子的脂肪或树脂酸基。可以使用的自然界存在的脂肪酸混合物的例子是取自椰子油和动物脂的那些脂肪酸,而纯脂肪酸的例子是十二烷酸和油酸。Another class of carboxylic acid esters are the condensation products of fats with resin partial acids such as monoacids, ethylene oxide esters such as polyoxyethylene sorbitan and fatty or resinate esters of sorbitol such as polyoxyethylene sorbitan Alcohol, Monotal Oil Esters. They may contain, for example, from about 3 to about 80 ethylene oxide units per molecule and aliphatic or resinous acid groups having 8 to 18 carbon atoms. Examples of naturally occurring fatty acid mixtures which may be used are those derived from coconut oil and tallow, and examples of pure fatty acids are lauryl acid and oleic acid.

羧酸酰胺非离子型表面活性剂是有大约8~大约18个碳原子的酰基链的脂肪酸的氨、单乙基胺和二乙基胺的酰胺类。Carboxylic acid amide nonionic surfactants are ammonia, monoethylamine and diethylamine amides of fatty acids having acyl chains of about 8 to about 18 carbon atoms.

乙氧基化的烷基酚非离子型表面活性剂包括各种烷基酚的聚环氧乙烷缩合物,尤其是单烷基酚或二烷基酚(其中的烷基含有大约6~大约12个碳原子,并且可为支链或为直链构型,特别是直链构型,例如辛基甲苯酚、辛基苯酚或壬基苯酚)与环氧乙烷的缩合产物,所说的环氧乙烷的含量是,每摩尔烷基酚为大约5~大约25摩尔的环氧乙烷。Ethoxylated alkylphenol nonionic surfactants include polyethylene oxide condensates of various alkylphenols, especially mono- or dialkylphenols (wherein the alkyl group contains from about 6 to about 12 carbon atoms, and may be branched or in a straight-chain configuration, especially a straight-chain configuration, such as octylcresol, octylphenol or nonylphenol) and ethylene oxide condensation products, said The ethylene oxide content is from about 5 to about 25 moles of ethylene oxide per mole of alkylphenol.

乙氧基化的脂族醇非离子型表面活性剂包括具有大约8~18个碳原子的直链或支链构型的脂族醇,例如油醇或十六碳醇,与环氧乙烷的缩合产物,所说的环氧乙烷对每摩尔醇的量为大约30~大约60摩尔的环氧乙烷。Ethoxylated aliphatic alcohol nonionic surfactants include aliphatic alcohols having about 8 to 18 carbon atoms in a linear or branched configuration, such as oleyl alcohol or cetyl alcohol, in combination with ethylene oxide The condensation product of said ethylene oxide is present in an amount of about 30 to about 60 moles of ethylene oxide per mole of alcohol.

优选的非离子型表面活性剂包括:具有下列结构通式的脱水山梨糖醇酯[出售的商品名称为司盘(Span)]:

Figure A9519225600421
Preferred nonionic surfactants include: sorbitan esters [sold under the trade name Span] having the following general structural formula:
Figure A9519225600421

其中,R1=R2=OH,R3=R,对于脱水山梨糖醇单酯类;Wherein, R1 =R2 =OH, R3 =R, for sorbitan monoesters;

      R1=OH,R2=R3=R,对于脱水山梨糖醇二酯类;R1 =OH, R2 =R3 =R, for sorbitan diesters;

      R1=R2=R3=R,对于脱水山梨糖醇三酯类;R1 =R2 =R3 =R, for sorbitan triesters;

      其中R=(C11H23)COO,对于月桂酸酯;where R=(C11 H23 )COO for laurate;

             (C17H33)COO,对于油酸酯;(C17 H33 )COO, for oleate;

             (C15H31)COO,对于棕榈酸酯;(C15 H31 )COO, for palmitate;

             (C17H35)COO,对于硬脂酸酯;(C17 H35 )COO, for stearate;

聚氧亚乙基烷基酯(即Brijs)其结构通式如下:The general structural formula of polyoxyethylene alkyl ester (i.e. Brijs) is as follows:

CH3(CH2)x(O-CH2-CH2)yOHCH3 (CH2 )x (O-CH2 -CH2 )y OH

其中(x+1)是烷基链上的碳原子数,通常:where (x+1) is the number of carbon atoms in the alkyl chain, usually:

12    月桂基          (十二碳烷基)12 lauryl (dodecyl)

14    肉豆蔻基        (十四碳烷基)14 myristyl (tetradecyl)

16    鲸蜡基          (十六碳烷基)16 Cetyl (Hexadecyl)

18    硬脂基          (十八碳烷基)18 stearyl (octadecyl)

y是在亲水链中氧化乙烯基的数,通常为10~60。y is the number of oxyethylene groups in the hydrophilic chain, and is usually 10-60.

聚亚乙基脱水的梨糖醇脂肪酸酯,市售的商品为聚山梨酯20、40、60、65、80和85,其结构通式为(1)和(2)

Figure A9519225600431
The pitol fatty acid ester of polyethylene dehydration, commercially available commodity is polysorbate 20,40,60,65,80 and 85, and its structural general formula is (1) and (2)
Figure A9519225600431

式中In the formula

w+x+y+z=20(聚山梨酯20、40、60、65、80和85)w+x+y+z=20 (polysorbate 20, 40, 60, 65, 80 and 85)

w+x+y+z=5(聚山梨酯81)w+x+y+z=5 (polysorbate 81)

w+x+y+z=4(聚山梨酯21和61)w+x+y+z=4 (polysorbate 21 and 61)

聚亚乙基硬脂酸酯,例如:Polyethylene stearate, such as:

聚(氧-1,2-乙烷二基),α-氢化-ω-羟基十八烷酸酯;和poly(oxy-1,2-ethanediyl), alpha-hydrogenated-omega-hydroxyoctadecanoate; and

聚(氧-1,2-乙烷二基),α-(1-氢化十八烷基)-ω-羟基-聚乙二醇单硬脂酸酯。Poly(oxy-1,2-ethanediyl), alpha-(1-hydrooctadecyl)-omega-hydroxy-polyethylene glycol monostearate.

本发明方法使用的造影剂的剂量将根据所用造影剂的明确性质而变化。但是优选的是应当保持能达到造影成象质量高的低剂量。通过使用尽可能小剂量的造影剂,使毒性的影响减至最小。对于本发明的大多数造影剂而言,其剂量范围应为大约0.1~大约16.0g碘/kg体重、优选大约0.5~大约6.0g碘/kg体重,最优选大约1.2~大约2.0g碘/kg体重,该范围适用于常规的GI道的X-射线显影。对于CT扫描而言,本发明的造影剂的用量范围应为大约1~大约600mg碘/kg体重,优选大约20~大约200mg碘/kg体重,重,特别优选大约40~大约80mg碘/kg体重。The dosage of the contrast agent used in the method of the invention will vary according to the exact nature of the contrast agent used. Preferably, however, the dose should be kept low to achieve high contrast image quality. Toxic effects are minimized by using the smallest possible dose of contrast medium. For most contrast agents of the present invention, the dosage range should be from about 0.1 to about 16.0 g iodine/kg body weight, preferably from about 0.5 to about 6.0 g iodine/kg body weight, most preferably from about 1.2 to about 2.0 g iodine/kg body weight Body weight, this range is suitable for routine X-ray imaging of the GI tract. For CT scanning, the dosage range of the contrast agent of the present invention should be about 1 to about 600 mg iodine/kg body weight, preferably about 20 to about 200 mg iodine/kg body weight, particularly preferably about 40 to about 80 mg iodine/kg body weight .

造影剂的浓度范围应是制剂的大约0.001%w/v~大约75%w/v,优选大约0.05%w/v~大约50%w/v,最优选大约0.1%w/v~大约20%w/v。The concentration of the contrast agent should range from about 0.001% w/v to about 75% w/v of the formulation, preferably from about 0.05% w/v to about 50% w/v, most preferably from about 0.1% w/v to about 20% w/v.

Claims (20)

Translated fromChinese
1.一种用于口服或肠胃道退行性检查的X-射线造影组合物,它包括:1. An X-ray contrast composition for oral or gastrointestinal degenerative examination, comprising:(a)X-射线造影剂,选自:(a) X-ray contrast agents selected from:(1)每ml组合物碘含量为大约0.01~200mg的具有下列通式的X-射线造影剂化合物或其医药上可接受的盐,(1) an X-ray contrast agent compound having the following general formula or a pharmaceutically acceptable salt thereof having an iodine content of about 0.01 to 200 mg per ml of the composition,式中:In the formula:Z是H、卤素、C1-C20的烷基、环烷基、低级烷氧基、氰基、这里的烷基和环烷基可以用卤素或卤代低级烷基取代;Z is H, halogen, C1 -C20 alkyl, cycloalkyl, lower alkoxy, cyano, where the alkyl and cycloalkyl can be substituted with halogen or halogenated lower alkyl;R1和R2独立地表示H、C1-C25的烷基、环烷基、乙酰基或卤代的低级烷基,其中所说的C1-C25的烷基环烷基和卤代低级烷基可以用氟代低级烷基、芳基、低级烷氧基、羟基、羧基、低级烷氧羰基或低级烷氧基羰氧基所取代或不取代,和所说的乙酰基可以用氟代低级烷基、芳基、低级烷氧基、羟基、低级烷氧羰基或低级烷氧基羰氧基取代;R1 and R2 independently represent H, C1 -C25 alkyl, cycloalkyl, acetyl or halogenated lower alkyl, wherein said C1 -C25 alkyl cycloalkyl and halogen Substituted lower alkyl may be substituted or unsubstituted with fluorinated lower alkyl, aryl, lower alkoxy, hydroxy, carboxyl, lower alkoxycarbonyl or lower alkoxycarbonyloxy, and said acetyl group may be substituted with Fluoro-lower alkyl, aryl, lower alkoxy, hydroxy, lower alkoxycarbonyl or lower alkoxycarbonyloxy;n是1-4n is 1-4y是1-4;和y is 1-4; andx是1或2x is 1 or 2(2)每ml组合物碘含量为大约0.01~200mg的具有下列通式的X-射线造影剂化合物,或其医药上可接受的盐,
Figure A9519225600022
(2) an X-ray contrast agent compound having the following general formula, or a pharmaceutically acceptable salt thereof, having an iodine content of about 0.01 to 200 mg per ml of the composition,
Figure A9519225600022
其中:in:R是取代的或未取代的含有2~8个碳原子的烷基,其中所说的取代基选自C1-C6的烷基、羟基和烷氧基;并且n为1~5;R is a substituted or unsubstituted alkyl group containing 2 to 8 carbon atoms, wherein said substituent is selected from C1 -C6 alkyl, hydroxyl and alkoxy; and n is 1 to 5;(3)每ml组合物碘含量为大约0.01~200mg的具有下列通式的X-射线造影剂化合物或其医药上可接受的盐:
Figure A9519225600031
(3) An X-ray contrast agent compound having the following general formula or a pharmaceutically acceptable salt thereof having an iodine content of about 0.01 to 200 mg per ml of the composition:
Figure A9519225600031
其中,in,Z是H、卤素、C1-C20的烷基、环烷基、低级烷氧基、氰基,这里的烷基和环烷基能被卤素或卤代低级烷基取代;Z is H, halogen, C1 -C20 alkyl, cycloalkyl, lower alkoxy, cyano, where the alkyl and cycloalkyl can be substituted by halogen or halogenated lower alkyl;R是C1-C25的烷基、环烷基、或卤代低级烷基这其中的每一个可以被卤、氟低级烷基、芳基、低级烷氧基、羟基、羧基、低级烷氧基羰基或低级烷氧基羰氧基取代或不取代;或(CR1R2)p-(CR3=CR4)mQ、或(CR1R2)p-C≡C-Q;R is C1 -C25 alkyl, cycloalkyl, or halogenated lower alkyl, each of which can be replaced by halogen, fluoro lower alkyl, aryl, lower alkoxy, hydroxyl, carboxyl, lower alkoxy Substituted or not substituted by ylcarbonyl or lower alkoxycarbonyloxy; or (CR1 R2 )p -(CR3 =CR4 )m Q, or (CR1 R2 )p -C≡CQ;R1、R2、R3和R4独立地代表低级烷基、还可以被卤素取代或不取代;R1 , R2 , R3 and R4 independently represent lower alkyl, which may be substituted or unsubstituted by halogen;x是1-3;x is 1-3;y是1-4;y is 1-4;n是1-5;n is 1-5;m是1-15;m is 1-15;p是1-10;和p is 1-10; andQ是H、低级烷基、低级链烯基,低级炔基、低级亚烷基、芳基或芳基低级烷基;Q is H, lower alkyl, lower alkenyl, lower alkynyl, lower alkylene, aryl or aryl lower alkyl;(4)每ml组合物碘含量为大约0.01~200mg的具有下列通式的X-射线造影剂化合物或其医药上可接受的盐:
Figure A9519225600032
(4) An X-ray contrast agent compound having the following general formula or a pharmaceutically acceptable salt thereof having an iodine content of about 0.01 to 200 mg per ml of the composition:
Figure A9519225600032
其中,in,R是甲基、乙基、正-丙基、C4-C25的烷基、环烷基、不饱和的烯丙基或卤代低级烷基,它们中的每一个可以被卤、氟代低级烷基、芳基、低级烷氧基、羟基、羧基、或低级烷氧基羰基取代或不取代;或(CR1R2)p-(CR3=CR4)mQ、或(CR1R2)p-C≡C-Q;R is methyl, ethyl, n-propyl, C4 -C25 alkyl, cycloalkyl, unsaturated allyl or halogenated lower alkyl, each of which may be halogenated, fluorinated Lower alkyl, aryl, lower alkoxy, hydroxyl, carboxyl, or lower alkoxycarbonyl substituted or unsubstituted; or (CR1 R2 )p -(CR3 =CR4)m Q, or (CR1 R2 )p -C≡CQ;R1、R2、R3和R4独立地代表H、低级烷基、并可被卤素取代或不取代;R1 , R2 , R3 and R4 independently represent H, lower alkyl, and may be substituted or unsubstituted by halogen;n是2-5;n is 2-5;m是2-5;m is 2-5;p是1-10;和p is 1-10; andQ是H、低级烷基、低级链烯基,低级炔基、低级亚烷基、芳基、或芳基低级烷基;Q is H, lower alkyl, lower alkenyl, lower alkynyl, lower alkylene, aryl, or aryl lower alkyl;(5)每ml组合物碘含量为大约0.01~200mg的具有下列通式的X-射线造影剂化合物或其医药上可接受的盐:
Figure A9519225600041
(5) An X-ray contrast agent compound having the following general formula or a pharmaceutically acceptable salt thereof having an iodine content of about 0.01 to 200 mg per ml of the composition:
Figure A9519225600041
其中Z是H、卤素、C1-C20的烷基、环烷基、低级烷氧基、烷氧基羰基、氰基,这里的烷基和环烷基能够被卤素或卤代低级烷基取代;Wherein Z is H, halogen, C1 -C20 alkyl, cycloalkyl, lower alkoxy, alkoxycarbonyl, cyano, where the alkyl and cycloalkyl can be replaced by halogen or halogenated lower alkyl replace;R是C1-C25的烷基、环烷基、或卤代低级烷基,它们中的每一个都可以被卤、氟代低级烷基、芳基、低级烷氧基、羟基、羧基、低级烷氧基羰基或低级烷氧基羰氧基取代或不取代;或(CR1R2)p-(CR3=R4)mQ、或(CR1R2)p-C≡C-Q;R is C1 -C25 alkyl, cycloalkyl, or halo-lower alkyl, each of which may be substituted by halo, fluoro-lower alkyl, aryl, lower alkoxy, hydroxy, carboxy, lower alkoxycarbonyl or lower alkoxycarbonyloxy or Not substituted; or (CR1 R2 )p -(CR3 =R4 )m Q, or (CR1 R2 )p -C≡CQ;R1、R2、R3和R4独立地代表H、低级烷基,也可以被卤素取代或不取代;R1 , R2 , R3 and R4 independently represent H, lower alkyl, which may also be substituted or unsubstituted by halogen;x是1-4;x is 1-4;n是1-4;n is 1-4;m是1-15;m is 1-15;p是1-20;和p is 1-20; andQ是H、低级烷基、低级链烯基,低级炔基、低级亚烷基、芳基、或芳基低级烷基;Q is H, lower alkyl, lower alkenyl, lower alkynyl, lower alkylene, aryl, or aryl lower alkyl;(6)每ml组合物碘含量为大约0.01~200mg的具有下列通式的X-射线造影剂化合物或其医药上可接受的盐:
Figure A9519225600051
(6) An X-ray contrast agent compound having the following general formula or a pharmaceutically acceptable salt thereof having an iodine content of about 0.01 to 200 mg per ml of the composition:
Figure A9519225600051
其中,in,x是
Figure A9519225600052
或-SO2-;
x is
Figure A9519225600052
or-SO2- ;
Z是H、卤素、C5-C20的烷基、环烷基、低级烷氧基、氰基,这里的烷基和环烷基能够被卤素或卤代低级烷基取代;Z is H, halogen, C5 -C20 alkyl, cycloalkyl, lower alkoxy, cyano, where the alkyl and cycloalkyl can be substituted by halogen or halogenated lower alkyl;R是C1-C25的烷基、环烷基、芳基或卤代低级烷基,它们中的每一个可以用低级烷氧基、羟基、羧基、或低级烷氧基羰基、低级链烯基、低级炔基、低级亚烷基或低级烷氧基羰氧基取代或不取代;R is C1 -C25 alkyl, cycloalkyl, aryl or halogenated lower alkyl, each of which can be represented by lower alkoxy, hydroxyl, carboxyl, or lower alkoxycarbonyl, lower alkenyl Substituted or unsubstituted by lower alkynyl, lower alkylene or lower alkoxycarbonyloxy;n是1-4;n is 1-4;m是0,4;和m is 0, 4; andw是1-4;w is 1-4;(7)每ml组合物碘含量为大约0.01~200mg的具有下列通式的X-射线造影剂化合物,或其医药上可接受的盐:
Figure A9519225600053
(7) An X-ray contrast agent compound having the following general formula, or a pharmaceutically acceptable salt thereof, having an iodine content of about 0.01 to 200 mg per ml of the composition:
Figure A9519225600053
其中Z是H、卤素、C1-C20的烷基、环烷基、低级烷氧基、氰基,这里的烷基和环烷基能够用卤素或卤代低级烷基取代;Wherein Z is H, halogen, C1 -C20 alkyl, cycloalkyl, lower alkoxy, cyano, where the alkyl and cycloalkyl can be substituted with halogen or halogenated lower alkyl;R是甲基、乙基、丙基、C9-C25的烷基、环烷基、或卤代低级烷基,可以用卤、氟代低级烷基、芳基、低级烷氧基、羟基、羧基、低级烷氧基羰基或低烷氧基羰氧基取代或不取代;或(CR1R2)p-(CR3=CR4)mQ、或(CR1R2)p-C≡C-Q;R is methyl, ethyl, propyl, C9 -C25 alkyl, cycloalkyl, or halogenated lower alkyl, which can be halogenated, fluorinated lower alkyl, aryl, lower alkoxy, hydroxyl , carboxyl, lower alkoxycarbonyl or lower alkoxycarbonyloxy substituted or unsubstituted; or (CR1 R2 )p -(CR3 =CR4 )m Q, or (CR1 R2 )p -C ≡CQ;R1、R2、R3和R4独立地代表低级烷基、也可以用卤素取代或不取代;R1 , R2 , R3 and R4 independently represent lower alkyl, which may or may not be substituted with halogen;x是1-4;x is 1-4;n是1-5;n is 1-5;m是1-15;m is 1-15;p是1-10;和p is 1-10; andQ是H、低级烷基、低级链烯基,低级炔基、低级亚烷基、芳基、或芳基低级烷基;Q is H, lower alkyl, lower alkenyl, lower alkynyl, lower alkylene, aryl, or aryl lower alkyl;(b)0.05~10%w/v的纤维素衍生物,选自甲基纤维素、羧甲基纤维素、羧甲基纤维素钠、羟乙基甲基纤维素、羟丙基甲基纤维素和微晶纤维素;(b) 0.05-10% w/v cellulose derivatives selected from methylcellulose, carboxymethylcellulose, sodium carboxymethylcellulose, hydroxyethylmethylcellulose, hydroxypropylmethylcellulose cellulose and microcrystalline cellulose;(c)0~55%w/v的油性载体;(c) 0-55% w/v oily carrier;(d)0~20%w/v的选自非离子型、阴离子型、阳离子型和两性离子型表面活性剂类的表面活性剂;(d) 0-20% w/v surfactant selected from nonionic, anionic, cationic and zwitterionic surfactants;(e)0~15%的粘度改性赋形剂;和(e) 0-15% viscosity modifying excipient; and(f)使体积达到100%的水。(f) Bring the volume to 100% water.2.按照权利要求1的X-射线造影组合物,其中所说的X-射线造影剂的存在量是以每ml组合物中碘含量为30~200mg计。2. An X-ray contrast composition according to claim 1, wherein said X-ray contrast agent is present in an amount of 30 to 200 mg of iodine per ml of composition.3.按照权利要求1的X-射线造影组合物,其中所说的油性载体组分含量为组合物的0.1~25%w/v。3. The X-ray contrast composition according to claim 1, wherein the content of said oily carrier component is 0.1-25% w/v of the composition.4.按照权利要求1的X-射线造影组合物,其中所说的表面活性剂组分的含量为组合物的0.1~10%w/v。4. The X-ray contrast composition according to claim 1, wherein said surfactant component is present in an amount of 0.1 to 10% w/v of the composition.5.一种用于口服或肠胃道退行性检查的X-射线造影组合物,包括:5. An X-ray contrast composition for oral or gastrointestinal degenerative examination, comprising:(a)每ml组合物碘含量为大约40~160mg的结晶造影剂选自泛影酸、甲基泛影酸、异泛影酸(iothalamic acid)、苯均三酸、醋碘苯甲酸、甲醇异泛影酸、四碘代对苯二甲酸、碘克酸、胆影酸、乙基-3,5-二乙酰氨基-2,4,6-三碘代苯甲酸、乙基-2-(3,5-双(乙酸氨基)-2,4,6-三碘代-苯甲酰氧基)丁酸酯、和乙基-(3,5-双(乙酰氨基)-2,4,6-三碘代苯甲酰氧基)-乙酸酯,所说的结晶造影剂具有吸附在其表面上的表面改性剂,其用量足以维持有效平均粒度为大约0.5μ~大约100μ;和所说的表面改性剂选自由环氧丙烷和环氧乙烷对乙二胺的顺序加成获得的四官能嵌段共聚物;(a) a crystalline contrast agent having an iodine content of about 40 to 160 mg per ml of composition selected from the group consisting of diatrizoic acid, methyldiatrizoic acid, iothalamic acid, trimesic acid, acetoiodobenzoic acid, methanol Isodiazoic acid, tetraiodoterephthalic acid, iodic acid, choline acid, ethyl-3,5-diacetamido-2,4,6-triiodobenzoic acid, ethyl-2-( 3,5-bis(acetamido)-2,4,6-triiodo-benzoyloxy)butyrate, and ethyl-(3,5-bis(acetylamino)-2,4,6 - triiodobenzoyloxy)-acetate, said crystalline contrast agent having a surface modifying agent adsorbed on its surface in an amount sufficient to maintain an effective average particle size of from about 0.5 μ to about 100 μ; and the Said surface modifier is selected from tetrafunctional block copolymers obtained by the sequential addition of propylene oxide and ethylene oxide to ethylenediamine;(b)0.1~4%w/v的纤维素衍生物,它选自甲基纤维素、羧甲基纤维素、羧甲基纤维素钠、羟乙基甲基纤维素、羟丙基甲基纤维素、和微晶纤维素;(b) 0.1-4% w/v cellulose derivative selected from methylcellulose, carboxymethylcellulose, sodium carboxymethylcellulose, hydroxyethylmethylcellulose, hydroxypropylmethylcellulose Cellulose, and microcrystalline cellulose;(c)0.1~25%w/v的油性载体;(c) 0.1-25% w/v oily carrier;(d)0.1~10%w/v的选自非离子型、阴离子型、阳离子型和两性离子型表面活性剂类的表面活性剂;(d) 0.1 to 10% w/v of surfactants selected from nonionic, anionic, cationic and zwitterionic surfactants;(e)0.001~4%w/v的粘性改性赋形剂;和(e) 0.001-4% w/v viscosity modifying excipient; and(f)使总体积达到100%的水。(f) Water to bring the total volume to 100%.6.一种用于口服或肠胃道退行性检查的X-射线造影组合物,包括:6. An X-ray contrast composition for oral or gastrointestinal degenerative examination, comprising:(a)大约5~95%w/v的水不溶的碘化的聚合物珠粒,其粒度为大约0.01~大约1000μ,其中所说的碘化的聚合物珠粒包括含有下列通式(I)所示的重复单元的聚合物,
Figure A9519225600071
(a) water-insoluble iodinated polymer beads of about 5 to 95% w/v, with a particle size of about 0.01 to about 1000 μ, wherein said iodinated polymer beads comprise the following general formula (I ) polymers of repeating units represented by ),
Figure A9519225600071
其中:A是聚合物骨架链上的重复的有机单元;和where: A is a repeating organic unit on the polymer backbone chain; andX是含有碘化芳香基和亲水基的有机部分,所说的部分具有碘含量,以X的分子量为基准计,为大约40~大约80重量%;X is an organic moiety containing an iodinated aromatic group and a hydrophilic group, said moiety having an iodine content of from about 40 to about 80% by weight, based on the molecular weight of X;(b)0.05~10%w/v的选自甲基纤维素、羧甲基纤维素、羧甲基纤维素钠、羟乙基甲基纤维素、羟丙基甲基纤维素和微晶纤维素的纤维素衍生物;(b) 0.05 to 10% w/v of methyl cellulose, carboxymethyl cellulose, sodium carboxymethyl cellulose, hydroxyethyl methyl cellulose, hydroxypropyl methyl cellulose and microcrystalline cellulose Cellulose derivatives of cellulose;(c)0.1~20%w/v的表面活性剂,选自非离子型、阴离子型、阳离子型和两性离子型的各类表面活性剂;(c) 0.1-20% w/v surfactant, selected from nonionic, anionic, cationic and zwitterionic surfactants;(d)0.001~4%w/v的粘度改性赋形剂;以及(d) 0.001 to 4% w/v viscosity modifying excipient; and(e)使总体积达到100%的水。(e) Water to bring the total volume to 100%.
7.按照权利要求6的X-射线造影组合物,其中的X代表含碘化芳基的有机部分,所说的部分由下列结构式表示:
Figure A9519225600072
7. The X-ray contrast composition according to claim 6, wherein X represents an organic moiety containing an iodinated aryl group, said moiety being represented by the following structural formula:
Figure A9519225600072
其中:L表示键连基,选自酯基、醚基、酰胺基、硫代酯基、碳酸酯基、氨基甲酸酯基、硫醚基;和Wherein: L represents a linking group, selected from ester groups, ether groups, amido groups, thioester groups, carbonate groups, carbamate groups, and thioether groups; andR1~R6中的每一个,它们可以是相同的或不相同的,代表氢、含碘的取代基、或含亲水基的取代基,其条件是(i)碘含量是X的40~80%wt和(ii)所说的亲水基选自羧基,磺基、氨基、上述羧基、磺基和氨基的盐,以及多元醇基。Each of R1 to R6 , which may be the same or different, represents hydrogen, an iodine-containing substituent, or a hydrophilic group-containing substituent, provided that (i) the iodine content is 40% of X ~80%wt and (ii) said hydrophilic groups are selected from carboxyl, sulfo, amino, salts of the above carboxyl, sulfo and amino groups, and polyhydric alcohol groups.
8.按照权利要求7的X-射线造影组合物,其中所说的表面活性剂组分含量为组合物的3~7%。8. The X-ray contrast composition according to claim 7, wherein the content of said surfactant component is 3-7% of the composition.9.一种用于口服或肠胃道退行性检查的X-射线造影组合物,包括:9. An X-ray contrast composition for oral or gastrointestinal degenerative examination, comprising:(a)大约5~95%w/v的钡盐;(a) about 5-95% w/v barium salt;(b)0.1~10%w/v的纤维素衍生物,它选自甲基纤维素、羧甲基纤维素、羧甲基纤维素钠、羟乙基甲基纤维素、羟丙基甲基纤维素和微晶纤维素;(b) 0.1-10% w/v cellulose derivative selected from methylcellulose, carboxymethylcellulose, sodium carboxymethylcellulose, hydroxyethylmethylcellulose, hydroxypropylmethylcellulose Cellulose and microcrystalline cellulose;(c)0.1~55%w/v的油性载体;(c) 0.1-55% w/v oily carrier;(d)0.1~20%w/v的表面活性剂,选自非离子型、阴离子型、阳离子型和两性离子型的各类表面活性剂;(d) 0.1 to 20% w/v surfactants, selected from nonionic, anionic, cationic and zwitterionic surfactants;(e)0.001~15%w/v的粘度改性赋形剂;和(e) 0.001 to 15% w/v viscosity modifying excipient; and(f)使总体积达到100%的水。(f) Water to bring the total volume to 100%.10.按照权利要求9的X-射线造影组合物,其中所说的油性载体组分含量为组合物的7~15%w/v。10. The X-ray contrast composition according to claim 9, wherein said oily carrier component comprises 7-15% w/v of the composition.11.按照权利要求9的X-射线造影组合物,其中所说的表面活性组分含量为组合物的3-7%。11. An X-ray contrast composition according to claim 9, wherein said surface active component is present in an amount of 3-7% of the composition.12.按照前面任何一项权利要求的X-射线造影组合物,其中所说的微晶纤维素其平均粒度为0.01~100μ。12. An X-ray contrast composition according to any preceding claim, wherein said microcrystalline cellulose has an average particle size of 0.01 to 100 microns.13.按照权利要求12的X-射线造影组合物,其中所说的微晶纤维素是大约89份的微晶纤维素和大约11份羧甲基纤维素钠。13. The X-ray contrast composition according to claim 12, wherein said microcrystalline cellulose is about 89 parts microcrystalline cellulose and about 11 parts sodium carboxymethylcellulose.14.按照前面任何一项权利要求的X-射线造影组合物,其中所说的非离子型表面活性剂是选自羧酸酯类、羧酸酰胺类、乙氧基化的烷基酚类和乙氧基化的脂肪族醇类。14. An X-ray contrast composition according to any one of the preceding claims, wherein said nonionic surfactant is selected from the group consisting of carboxylic acid esters, carboxylic acid amides, ethoxylated alkylphenols and Ethoxylated fatty alcohols.15.按照权利要求1-13的任何一项的X-射线造影组合物,其中所说的表面活性剂是脱水山梨糖醇酯,其结构式如下:
Figure A9519225600091
15. An X-ray contrast composition according to any one of claims 1-13, wherein said surfactant is a sorbitan ester having the following structural formula:
Figure A9519225600091
式中:In the formula:对于脱水山梨糖醇单酯类R1=R2=OH,R3=R;For sorbitan monoesters R1 =R2 =OH, R3 =R;对于脱水山梨糖醇二酯类R1=OH,R2=R3=R;For sorbitan diesters R1 =OH, R2 =R3 =R;对于脱水山梨糖醇三酯类R1=R2=R3=R;For sorbitan triesters R1 =R2 =R3 =R;      其中R=(C11H23)COO,对于月桂酸酯;where R=(C11 H23 )COO for laurate;             (C17H33)COO,对于油酸酯;(C17 H33 )COO, for oleate;             (C15H31)COO,对于棕榈酸酯;(C15 H31 )COO, for palmitate;             (C17H35)COO,对于硬脂酸酯。(C17 H35 )COO, for stearate.
16、按照权利要求1-13的任何一项的X-射线造影组合物,其中所说的表面活性剂是聚氧亚乙基烷基醚,其结构式为:16. An X-ray contrast composition according to any one of claims 1-13, wherein said surfactant is a polyoxyethylene alkyl ether having the formula:CH3(CH2)x(O-CH2-CH2)yOHCH3 (CH2 )x (O-CH2 -CH2 )y OH式中(x+1)是烷基链上的碳原子数,通常为:In the formula (x+1) is the number of carbon atoms on the alkyl chain, usually:12    月桂基         (十二碳烷基)12 lauryl (dodecyl)14    肉豆蔻基       (十四碳烷基)14 myristyl (tetradecyl)16    鲸蜡基         (十六碳烷基)16 Cetyl (Hexadecyl)18    硬脂基         (十八碳烷基)18 stearyl (octadecyl)和y是在亲水链中环氧乙烷基的数,其值为大约10~大约60。and y is the number of oxiranyl groups in the hydrophilic chain, with a value from about 10 to about 60.17、按照权利要求1-13的任何一项的X-射线造影组合物,其中所说表面活性剂是聚氧亚乙基脱水山梨糖醇脂肪酸酯,其结构式如下式(1)和(2)表示:17. The X-ray contrast composition according to any one of claims 1-13, wherein said surfactant is polyoxyethylene sorbitan fatty acid ester having the following formulas (1) and (2 )express:其中:in:w+x+y+z=20;w+x+y+z=20;w+x+y+z=5;w+x+y+z=5;w+x+y+z=4。w+x+y+z=4.18.用于口服或胃肠道退行性检查的权利要求1的X-射线造影组合物包括:18. The X-ray contrast composition of claim 1 for oral or gastrointestinal degenerative examination comprising:(a)每ml组合物碘含量为大约85~120mg的产生X-射线造影的造影剂;(a) an X-ray contrast producing contrast agent having an iodine content of about 85 to 120 mg per ml of composition;(b)0.2~1%w/v的选自甲基纤维素、羧甲基纤维素、羧甲基纤维钠、羟乙基甲基纤维素、羟丙基甲基纤维素和微晶纤维素的纤维素衍生物;(b) 0.2 to 1% w/v of methyl cellulose, carboxymethyl cellulose, sodium carboxymethyl cellulose, hydroxyethyl methyl cellulose, hydroxypropyl methyl cellulose and microcrystalline cellulose cellulose derivatives;(c)7~15%w/v的矿物油;(c) 7-15% w/v mineral oil;(d)3~7%w/v的选自非离子型、阴离子型、阳离子型和两性离子型表面活性剂类的表面活性剂;(d) 3-7% w/v surfactant selected from nonionic, anionic, cationic and zwitterionic surfactants;(e)0.05~1%w/v的粘度改性赋形剂;和(e) 0.05-1% w/v viscosity modifying excipient; and(f)使总体积达到100%的水。(f) Water to bring the total volume to 100%.19.按照权利要求18的X-射线造影组合物,其中所说的微晶纤维素的平均粒度为0.05~10μ。19. The X-ray contrast composition according to claim 18, wherein said microcrystalline cellulose has an average particle size of 0.05-10 microns.20.患者肠胃道进行X-射线检查的方法,所说的方法包括将前面任何一项权利要求的X-射线造影制剂经口服或直肠给药于患者。20. A method for X-ray examination of the gastrointestinal tract of a patient, said method comprising administering an X-ray contrast preparation according to any one of the preceding claims orally or rectally to the patient.
CN95192256A1994-02-251995-02-24X-ray contrast compositions containing cellulose derivativesPendingCN1146159A (en)

Applications Claiming Priority (21)

Application NumberPriority DateFiling DateTitle
US08/201,731US5422114A (en)1993-03-011994-02-25Compositions of iodoaniline derivatives and cellulose derivatives for visualization of the gastrointestinal tract
US08/201,7311994-02-25
US08/206,5521994-03-04
US08/206,552US5443814A (en)1992-05-011994-03-04X-ray contrast compositions containing iodophenoxyalkanes and cellulose derivatives
US08/217,1381994-03-22
US08/217,138US5385721A (en)1993-02-041994-03-22Compositions of alkylbenzenes and cellulose derivatives for visualization of the gastrointestinal tract
US07/216,988US5385720A (en)1993-03-111994-03-23Compositions of iodobenzoic acid derivatives and cellulose derivatives for visualization of the gastrointestinal tract
US08/216,9881994-03-23
US08/222,7871994-04-04
US08/222,787US5466435A (en)1993-03-111994-04-04Compositions of iodophenoxy alkylene ethers and cellulose derivatives for visualization of the gastrointestinal tract
US08/227,423US5368837A (en)1994-04-141994-04-14X-ray contrast compositions containing an organic crystalline X-ray contrast agent and a cellulose derivative
US08/227,422US5543132A (en)1994-04-141994-04-14X-ray contrast compositions containing a barium salt and a cellulose derivative
US08/227,4221994-04-14
US08/227,4151994-04-14
US08/227,415US5525327A (en)1994-04-141994-04-14Polymeric x-ray contrast compositions containing iodinated polymeric beads and microcrystaline cellulose
US08/227,4231994-04-14
US08/229,048US5385722A (en)1993-03-311994-04-18Compositions of iodophenyl esters and iodophenyl sulfonates and cellulose derivatives for visualization of the gastrointestinal tract
US08/229,0481994-04-18
US08/246,888US5607660A (en)1993-02-021994-05-20Compositions of iodophenoxy alkanes and iodophenyl ethers in combination with cellulose derivatives for visualization of the gastrointestinal tract
US08/246,8881994-05-20
PCT/GB1995/000386WO1995022995A1 (en)1994-02-251995-02-24X-ray contrast compositions containing cellulose derivatives

Publications (1)

Publication NumberPublication Date
CN1146159Atrue CN1146159A (en)1997-03-26

Family

ID=27581136

Family Applications (1)

Application NumberTitlePriority DateFiling Date
CN95192256APendingCN1146159A (en)1994-02-251995-02-24X-ray contrast compositions containing cellulose derivatives

Country Status (10)

CountryLink
EP (1)EP0746339A1 (en)
JP (1)JPH09509424A (en)
CN (1)CN1146159A (en)
AU (1)AU1816395A (en)
CA (1)CA2184089A1 (en)
FI (1)FI963299A0 (en)
HU (1)HUT76336A (en)
MX (1)MX9603611A (en)
NO (1)NO963540L (en)
WO (1)WO1995022995A1 (en)

Cited By (2)

* Cited by examiner, † Cited by third party
Publication numberPriority datePublication dateAssigneeTitle
CN109540936A (en)*2019-01-112019-03-29大连大学附属中山医院It is a kind of for high-resolution ct and the room temperature contrast agent of x-ray artery, vein or pipeline and preparation method thereof
CN116583304A (en)*2020-12-282023-08-11波士顿科学医学有限公司Polysaccharide with improved radiocontrast properties

Families Citing this family (6)

* Cited by examiner, † Cited by third party
Publication numberPriority datePublication dateAssigneeTitle
GB9603547D0 (en)*1996-02-201996-04-17Nycomed Imaging AsContrast media
CA2481692A1 (en)*2002-04-062003-10-23E-Z-Em, Inc.Method for tagging colonic residue
US20110158909A1 (en)*2008-02-012011-06-30Trustees Of Boston UniversityCationic Contrast Agents and Methods of Use Thereof
WO2014145509A1 (en)2013-03-152014-09-18The Regents Of The University Of CaliforniaEnteric ct contrast material based on low-z atoms
CN117018234A (en)*2013-08-162023-11-10加利福尼亚大学董事会Silicone-based intestinal CT contrast material
WO2017165841A1 (en)*2016-03-252017-09-28Nanoprobes, Inc.Iodine-based particles

Family Cites Families (21)

* Cited by examiner, † Cited by third party
Publication numberPriority datePublication dateAssigneeTitle
GB767788A (en)*1953-12-281957-02-06Schering CorpPolyiodinated phenyl fatty acid compounds and process for their manufacture
CH338274A (en)*1954-01-081959-05-15Schering Corp Use as radiopaque agents of polyiodinated phenoxy fatty acids
CA985626A (en)*1970-03-101976-03-16E.R. Squibb And SonsCoating composition for moist surface
US4406878A (en)*1978-08-021983-09-27Eastman Kodak CompanyIodinated contrast agent for radiography
US5260049A (en)*1992-05-011993-11-09Sterling Winthrop Inc.X-ray contrast compositions comprising alkoxyphenols
CA2094893A1 (en)*1992-05-011993-11-02Carl R. IlligX-ray contrast compositions containing film-forming materials
US5342605A (en)*1992-05-011994-08-30Sterling Winthrop Inc.Polymeric X-ray compositions containing iodinated polymeric beads
AU5086793A (en)*1992-09-011994-03-29Sterling Winthrop Inc.Film-forming x-ray contrast compositions
NZ250063A (en)*1992-12-141996-03-26Eastman Kodak CoIodinated aromatic acid ester derivatives; x-ray contrast compositions
US5322679A (en)*1992-12-161994-06-21Sterling Winthrop Inc.Iodinated aroyloxy esters
US5316755A (en)*1993-02-021994-05-31Sterling Winthrop Inc.Compositions of iodophenoxy alkanes and iodophenyl ethers for visualization of the gastrointestinal tract
US5326553A (en)*1993-02-021994-07-05Sterling Winthrop Inc.Compositions of iodophenoxy alkanes and iodophenyl ethers in film-forming materials for visualization of the gastrointestinal tract
US5308607A (en)*1993-02-041994-05-03Sterling Winthrop Inc.Compositions of alkylbenzenes for visualization of the gastrointestinal tract using X-ray contrast
US5334370A (en)*1993-02-041994-08-02Sterling Winthrop Inc.Compositions of alkylbenzenes in film-forming materials for visualization of the gastrointestinal tract
US5310537A (en)*1993-03-011994-05-10Sterling Winthrop Inc.Compositions of iodoaniline derivatives for visualization of the gastrointestinal tract
US5330740A (en)*1993-03-011994-07-19Sterling Winthrop Inc.Compositions of iodoaniline derivatives in film-forming materials for visualization of the gastrointestinal tract
US5310538A (en)*1993-03-111994-05-10Sterling Winthrop Inc.Compositions of iodophenoxy alkylene ethers in film-forming materials for visualization of the gastrointestinal tract
US5312616A (en)*1993-03-111994-05-17Sterling Winthrop Inc.Compositions of iodobenzoic acid derivatives in film-forming materials for visualization of the gastrointestinal tract
US5344638A (en)*1993-03-111994-09-06Sterling Winthrop Inc.Compositions of iodobenzoic acid derivatives for visualization of the gastrointestinal tract
US5336484A (en)*1993-03-311994-08-09Sterling Winthrop Inc.Compositions of iodophenyl esters and iodophenyl sulfonates in film-forming materials for visualization of the gastronintestinal tract
US5318769A (en)*1993-03-311994-06-07Sterling Winthrop Inc.Compositions of iodophenyl esters for X-ray visualization of the gastrointestinal tract

Cited By (2)

* Cited by examiner, † Cited by third party
Publication numberPriority datePublication dateAssigneeTitle
CN109540936A (en)*2019-01-112019-03-29大连大学附属中山医院It is a kind of for high-resolution ct and the room temperature contrast agent of x-ray artery, vein or pipeline and preparation method thereof
CN116583304A (en)*2020-12-282023-08-11波士顿科学医学有限公司Polysaccharide with improved radiocontrast properties

Also Published As

Publication numberPublication date
WO1995022995A1 (en)1995-08-31
NO963540L (en)1996-10-23
NO963540D0 (en)1996-08-23
CA2184089A1 (en)1995-08-31
FI963299A7 (en)1996-08-23
JPH09509424A (en)1997-09-22
AU1816395A (en)1995-09-11
HU9602321D0 (en)1996-10-28
FI963299L (en)1996-08-23
EP0746339A1 (en)1996-12-11
FI963299A0 (en)1996-08-23
MX9603611A (en)1997-04-30
HUT76336A (en)1997-08-28

Similar Documents

PublicationPublication DateTitle
CN1089583C (en) Mycophenolic acid 2-(4-morpholino) ethyl ester high dose oral suspension
CN1303155C (en)Polymeric michelle composition with improved stability
CN1170538C (en) Farnesyl protein transferase inhibitors for the treatment of arthrosis
CN1250207C (en)4,4-diaryl butadienes compound as water soluble non-photosensitive ultraviolet-ray filtering agent used in cosmetics and medicinal preparation
CN1196497C (en) Near Infrared Fluorescent Contrast Agents and Fluorescence Imaging
CN1146159A (en)X-ray contrast compositions containing cellulose derivatives
CN1220483C (en)Use of nanodispersions in pharmaceutical end formulations
CN1084410A (en)Relate to the improvement of contrast agent
CN1067578A (en) Non-CFC aerosol formulations
CN1616417A (en)Photo-stable cosmetic and pharmaceutical formulations containing UV-filters
CN1440816A (en)Improvement for diagnosis and/or therapeutic agnet and its relative improvement
CN1578665A (en)Type 4 phosphodiesterase inhibitors and uses thereof
CN1750758A (en) Compounds for the treatment of metabolic disorders
CN1095953A (en) Galenic matrix, preferably in the form of microspheres
CN1106698A (en) Extended Release of Peptides
CN1084524A (en)The polymkeric substance that contains the oleophylic side group of biodegradable fracture
CN1302211A (en)Improvements in/or relating to diagnostic/therapeutic agent
CN1479728A (en)Peroxisome proliferator activated receptor alpha agonists
CN1541089A (en) Moisturizers and cosmetics and external preparations containing moisturizers
CN1083059A (en)The indoles that 3-piperidine methyl carboxylicesters replaces
HK1042432A1 (en)Blood pool agents for nuclear magnetic resonance diagnostics
CN1238690A (en)Improved pharmaceutical compositions
CN1067073C (en)Acyclic nucleoside derivatives
CN1901894A (en)Inhibitor imaging agents
CN1079957A (en)The compound that can be used for the radiography control product

Legal Events

DateCodeTitleDescription
C06Publication
PB01Publication
C10Entry into substantive examination
SE01Entry into force of request for substantive examination
C01Deemed withdrawal of patent application (patent law 1993)
WD01Invention patent application deemed withdrawn after publication

[8]ページ先頭

©2009-2025 Movatter.jp