
技术领域technical field
本发明属于无人艇路径规划技术领域,尤其是一种考虑动态水深的无人艇动态安全轨迹规划方法。The invention belongs to the technical field of unmanned boat path planning, in particular to a dynamic safety trajectory planning method for unmanned boats considering dynamic water depth.
背景技术Background technique
自主无人艇/水面机器人作为海洋机器人的重要一员,是连接空、天与深海的重要节点,这使其成为海洋科学研究、海洋资源开发、海洋环境监测和保卫国家海洋安全的重要工具,日益受到各国重视。但无人艇运动规划与智能决策技术仍是制约其实现高度自治的瓶颈性因素之一。As an important member of marine robots, autonomous unmanned boats/surface robots are an important node connecting air, sky and deep sea, which makes them an important tool for marine scientific research, marine resource development, marine environment monitoring and safeguarding national marine security. More and more countries pay attention. However, the motion planning and intelligent decision-making technology of unmanned boats are still one of the bottleneck factors restricting their realization of a high degree of autonomy.
在高动态、高不确定性的海洋环境中,实现无人艇个体以及集群的高度自治,需要考虑包括海图识别与环境建模、行为决策与运动规划、鲁棒路径跟踪控制方法等众多因素。相对于无人车、无人机,无人艇的运行环境更为复杂,除了风、浪、流等复杂环境干扰外,无人艇的惯性和运动响应时间也大于无人机和无人车,给实际控制与规划带来更大的不确定性。在解决无人艇决策规划问题时,传统运动规划方法在面临上述复杂环境时仍有较多不足。需要设计出包括环境约束、运动学和动力学约束、航行规则约束以及优化目标约束的复杂约束条件下可靠的行为决策和运动规划方法。In the highly dynamic and high uncertainty marine environment, to achieve a high degree of autonomy of individual UAVs and clusters, many factors need to be considered, including chart recognition and environmental modeling, behavioral decision-making and motion planning, and robust path tracking control methods. . Compared with unmanned vehicles and unmanned aerial vehicles, the operating environment of unmanned boats is more complex. In addition to the complex environmental interference such as wind, waves, and currents, the inertia and motion response time of unmanned boats are also greater than those of unmanned aerial vehicles and unmanned vehicles. , which brings greater uncertainty to actual control and planning. When solving the problem of decision-making planning of unmanned boats, the traditional motion planning methods still have many deficiencies in the face of the above-mentioned complex environment. It is necessary to design reliable behavioral decision-making and motion planning methods under complex constraints including environmental constraints, kinematics and dynamics constraints, navigation rule constraints, and optimization objective constraints.
发明内容SUMMARY OF THE INVENTION
本发明的目的在于克服现有技术的不足,提出一种考虑动态水深的无人艇动态安全轨迹规划方法,优化了传统的最短路径规划算法,解决了传统方法未考虑海浪和海流造成的环境扰动影响从而产生高碰撞风险非平滑的航线的问题,可以有效提高路径规划的安全性与实用性。The purpose of the present invention is to overcome the deficiencies of the prior art, propose a dynamic safety trajectory planning method for unmanned boats considering dynamic water depth, optimize the traditional shortest path planning algorithm, and solve the environmental disturbance caused by the traditional method without considering ocean waves and ocean currents The problem of affecting the non-smooth route with high collision risk can effectively improve the safety and practicability of path planning.
本发明解决其技术问题是采取以下技术方案实现的:The present invention solves its technical problem by adopting the following technical solutions to realize:
一种考虑动态水深的无人艇动态安全轨迹规划方法,包括以下步骤:A dynamic safety trajectory planning method for an unmanned vehicle considering dynamic water depth, including the following steps:
步骤1、设定无人艇规划任务相关的参数;Step 1. Set the parameters related to the unmanned boat planning task;
步骤2、根据步骤1的参数,构建全局环境模型;Step 2. According to the parameters of step 1, build a global environment model;
步骤3、利用LT-D*Lite算法进行全局路径规划;Step 3. Use the LT-D*Lite algorithm for global path planning;
步骤4、根据无人艇的感知系统输入的动态目标信息,基于无人艇的速度位置和速度信息建立局部态势图;Step 4. According to the dynamic target information input by the perception system of the unmanned boat, establish a local situation map based on the speed, position and speed information of the unmanned boat;
步骤5、判断无人艇的当前位置是否为终点,若到达终点则结束规划,否则重复步骤4,直至本艇到达终点。Step 5. Determine whether the current position of the unmanned boat is the end point. If it reaches the end point, end the planning. Otherwise, repeat step 4 until the own boat reaches the end point.
而且,所述步骤1的具体实现方法为:所述任务相关的参数包括:无人艇的尺寸、吃水、操作性能、起点位置、终点位置、设定任务开始时间和航行速度。Moreover, the specific implementation method of step 1 is as follows: the parameters related to the task include: the size, draft, operational performance, starting position, ending position, set task start time and sailing speed of the unmanned boat.
而且,所述步骤2包括以下步骤:Moreover, the step 2 includes the following steps:
步骤2.1、根据步骤1的无人艇航行的起点位置和终点位置的坐标,从海图库中提取预处理的矢量电子海图,再从矢量海图中提取电子海图属性数据、航行海域海图水深数据、海流数据和障碍物数据、海图定位误差并进行相应的格式转化与属性数据处理;Step 2.1. According to the coordinates of the starting point and the end position of the unmanned boat sailing in step 1, extract the preprocessed vector electronic chart from the chart library, and then extract the electronic chart attribute data and the navigation sea chart from the vector chart. Bathymetric data, current data and obstacle data, chart positioning error and corresponding format conversion and attribute data processing;
步骤2.2、计算最小安全水深,并根据无人艇水动力特性参数和海图图幅大小确定栅格的分辨率;Step 2.2, calculate the minimum safe water depth, and determine the resolution of the grid according to the hydrodynamic characteristic parameters of the unmanned boat and the size of the chart;
步骤2.3、根据步骤2.1所得到的航行海域海图水深数据、障碍物数据以及步骤2.2所的栅格的分辨率,采用插值算法对水深进行插值,获得栅格化预测水深;Step 2.3. According to the water depth data and obstacle data of the navigation sea area chart obtained in step 2.1 and the resolution of the grid obtained in step 2.2, use an interpolation algorithm to interpolate the water depth to obtain the gridded predicted water depth;
步骤2.4、根据步骤1的设定任务开始时间和航行速度,通过预报数据获取任务水域水文、气象和潮汐信息;Step 2.4. According to the task start time and sailing speed set in step 1, obtain the hydrological, meteorological and tidal information of the task water area through the forecast data;
步骤2.5、根据步骤2.2得到栅格的分辨率,对步骤2.4获得的任务水域水文、气象和潮汐信息进行处理,并在步骤2.3的基础上利用插值方法获得动态水深分布和海流分布;Step 2.5: Obtain the resolution of the grid according to Step 2.2, process the hydrological, meteorological and tidal information of the task water area obtained in Step 2.4, and use the interpolation method to obtain the dynamic water depth distribution and current distribution on the basis of Step 2.3;
步骤2.6、根据步骤2.2计算的最小安全水深和步骤2.5获得的动态水深分布和海流分布构建全局环境模型。Step 2.6, build a global environment model according to the minimum safe water depth calculated in step 2.2 and the dynamic water depth distribution and current distribution obtained in step 2.5.
而且,所述步骤2.2的具体实现方法为:通过建立水动力模型或者水池实验,分析计算无人艇在不同水动力条件下的航行姿态变化特征,对实际海洋环境中的航行姿态变化进行估计:Moreover, the specific implementation method of the step 2.2 is: by establishing a hydrodynamic model or a pool experiment, analyzing and calculating the navigation attitude change characteristics of the unmanned boat under different hydrodynamic conditions, and estimating the navigation attitude change in the actual marine environment:
根据计算最小安全水深,according to Calculate the minimum safe water depth,
其中,Smin为最小安全水深,zmax为无人艇以不同航速在不规则波中航行所产生向下的垂荡运动的最大幅值;L为无人艇的艇长;θmax为无人艇在不同工况的不规则波中航行所产生的俯仰运动的幅值最大值;为无人艇的平均吃水;eenc为电子海图的水深值误差;Among them, Smin is the minimum safe water depth, zmax is the maximum amplitude of the downward heave motion generated by the unmanned boat sailing in irregular waves at different speeds; L is the length of the unmanned boat; θmax is no The maximum amplitude of pitching motion produced by man-boat sailing in irregular waves under different working conditions; is the average draft of the unmanned boat; eenc is the bathymetric value error of the electronic chart;
根据无人艇水动力特性参数和海图图幅大小确定栅格的分辨率:根据最小转弯半径Rmin、海图定位误差ep、无人艇艇长L以及电子海图范围计算栅格的分辨率,并且,栅格大小选择应使栅格数不大于108,同时栅格大小应不小于3L+Rmin+ep,不大于10L+4Rmin+2ep。Determine the resolution of the grid according to thehydrodynamic characteristic parameters of the unmannedboat and the size of the chart. resolution, and the grid size should be selected so that the number of grids should not be greater than 108 , and the grid size should be not less than 3L+Rmin + ep and not greater than 10L+4Rmin +2 ep .
而且,所述步骤2.3的具体实现方法为:采用含障碍的样条函数插值算法,将步骤2.1所得障碍物数据作为障碍物输入要素,将水深数据作为插值输入数据,设置样条插值函数中的平滑系数,对稀疏水深点进行插值,获得栅格化预测水深。Moreover, the specific implementation method of the step 2.3 is as follows: adopting the spline function interpolation algorithm with obstacles, using the obstacle data obtained in step 2.1 as the obstacle input element, using the water depth data as the interpolation input data, and setting the spline interpolation function. Smoothing coefficient, which interpolates sparse sounding points to obtain rasterized predicted soundings.
而且,所述步骤2.5的具体实现方法为:瞬时水深为:Moreover, the specific implementation method of the step 2.5 is: the instantaneous water depth is:
S(x,y,t)=D(x,y)+T(x,y,t)+Δ(x,y,t)S(x,y,t)=D(x,y)+T(x,y,t)+Δ(x,y,t)
其中,S(x,y,t)为(x,y)栅格在时刻t的瞬时水深值;D(x,y)为该栅格点的静态水深值,T(x,y,t)为该栅格时刻t的潮位值;Δ(x,y,t)为该格网点在时刻t影响水位变化的其他因素所产生的水深变化,T(x,y,t)与Δ(x,y,t)的和构成瞬时水深中的动态水深项。Among them, S(x,y,t) is the instantaneous water depth value of the grid (x,y) at time t; D(x,y) is the static water depth value of the grid point, T(x,y,t) is the tidal level value of the grid at time t; Δ(x,y,t) is the water depth change caused by other factors affecting the water level change at the grid point at time t, T(x,y,t) and Δ(x, The sum of y,t) constitutes the dynamic bathymetry term in the instantaneous bathymetry.
而且,所述步骤3的具体计算方法为:Moreover, the specific calculation method of the step 3 is:
其中,g(Ni)为第i个节点Ni到起始节点S的实际距离代价;h(Ni)为节点Ni到目标节点G的估计距离代价;为从起始节点到当前节点的水深危险度之和;α为控制水深风险影响的参数,根据路径规划目标偏好度设置;为起始节点到当前节点的水面障碍物危险度之和;β是控制水面障碍物风险影响的参数,根据路径规划目标偏好度设置。Among them, g(Ni ) is the actual distance cost from theith node Ni to the starting node S; h(N i) is the estimated distance cost from the nodeNi to the target node G; is the sum of the water depth risk from the starting node to the current node; α is the parameter to control the influence of water depth risk, which is set according to the path planning target preference; is the sum of the dangers of water surface obstacles from the starting node to the current node; β is a parameter that controls the risk of water surface obstacles, and is set according to the path planning target preference.
而且,所述步骤4包括以下步骤:Moreover, the step 4 includes the following steps:
步骤4.1、根据步骤3所得的全局路径规划和无人艇的感知系统输入的目标信息,建立局部态势图;Step 4.1, according to the global path planning obtained in step 3 and the target information input by the perception system of the unmanned boat, establish a local situation map;
步骤4.2、根据无人艇的感知系统输入的目标信息对动态障碍物进行轨迹预测;Step 4.2. Predict the trajectory of the dynamic obstacle according to the target information input by the perception system of the unmanned boat;
步骤4.3、根据步骤4.2的预测轨迹判断沿当前路径航行是否会有碰撞风险,若有风险则进行步骤4.4,否则进行步骤5;Step 4.3, according to the predicted trajectory of step 4.2, determine whether there is a collision risk along the current path, if there is a risk, go to step 4.4, otherwise go to step 5;
步骤4.4、启动重规划,根据预测轨迹信息以及动态水深更新区域内栅格,生成局部路径,并返回步骤4.1更新局部态势图。Step 4.4, start the re-planning, update the grid in the area according to the predicted trajectory information and the dynamic water depth, generate a local path, and return to step 4.1 to update the local situation map.
而且,所述步骤4.1中感知系统包括导航雷达、激光雷达、AIS、全景摄像头和测深仪。Moreover, the perception system in step 4.1 includes navigation radar, lidar, AIS, panoramic camera and depth sounder.
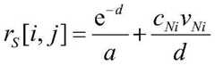
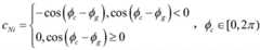
而且,所述步骤4.3的具体实现方法为:栅格水面碰撞风险:Moreover, the specific implementation method of step 4.3 is: grid water surface collision risk:
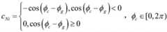
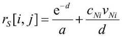
其中d为节点Ni到障碍物节点Oj欧式距离,a为不同类型障碍物对应的危险系数,vNi为栅格Ni中海流的速度cNi为方向系数,为海流相对于真北的流向,φg∈[0,2π)为节点Ni与节点Oj连线相对于真北的方位角,可航行节点附近具有k个障碍栅格时,选取其中的最大值作为该节点的水面障碍物危险度:where d is the Euclidean distance from node Ni to the obstacle node Oj , a is the risk factor corresponding to different types of obstacles, vNi is the speed of the ocean current in grid Ni , cNi is the direction coefficient, is the flow direction of the ocean current relative to true north, φg ∈ [0,2π) is the azimuth of the line connecting node Ni and node Oj relative to true north, when there are k obstacle grids near the navigable node, select the The maximum value is used as the water obstacle danger degree of this node:
rS(Ni)=max{rS[Ni,1],rS[Ni,2],...,rS[Ni,k]}。rS (Ni )=max{rS [Ni ,1],rS [Ni ,2],...,rS [Ni ,k]}.
本发明的优点和积极效果是:The advantages and positive effects of the present invention are:
1、本发明以无人艇基本参数、感知系统提供的目标信息导航系统输出的时间位置速度信息为输入参数,最终输出综合考虑动态水深和水面动静态障碍物的无人艇航行的安全轨迹。轨迹规划方法利用无人艇基本参数计算航行最小安全水深;综合海浪、海流和动静态障碍物定义水深危险度和障碍物危险度,定量评价路径安全水平;根据感知系统实时输出的目标信息和导航系统输出的导航信息更新轨迹。本发明的优点在于充分考虑实际海洋环境中海流、波浪等干扰条件下威胁航行安全的动态水深因素和水面障碍物因素,克服了传统A*算法使用栅格化地图时只能进行离散角度搜索的缺陷,可有效提高规划轨迹的安全性与实用性。1. The present invention takes the basic parameters of the unmanned boat and the time position and velocity information output by the target information navigation system provided by the perception system as the input parameters, and finally outputs the safe trajectory of the unmanned boat sailing that comprehensively considers dynamic water depth and dynamic and static obstacles on the water surface. The trajectory planning method uses the basic parameters of the unmanned boat to calculate the minimum safe water depth for navigation; comprehensively defines the water depth risk and obstacle risk by integrating ocean waves, ocean currents and dynamic and static obstacles, and quantitatively evaluates the path safety level; according to the real-time output of the perception system, the target information and navigation The navigation information output by the system updates the trajectory. The advantage of the invention is that the dynamic water depth factor and the water surface obstacle factor that threaten navigation safety under the interference conditions such as currents and waves in the actual marine environment are fully considered, and the traditional A* algorithm can only perform discrete angle search when using the rasterized map. It can effectively improve the safety and practicability of the planning trajectory.
2、本发明的计算过程考虑了海浪、海流干扰以及动态障碍物造成的潜在风险,可以有效均衡水下障碍物与水面障碍物威胁以及路径长度的无人艇轨迹规划方法。同时采用本方法生成的规划结果更为安全合理,规划的全局路径转折点较少更为平滑。若不考虑海况因素,采用传统的路径规划方法进行求解,会造成水深危险度较高时,出现触碰水下障碍物的情况;沿全局路径航行时由于忽略水深动态变化以及海流等干扰影响而出现与水面障碍物发生碰撞的情况。使用本发明,可以有效解决上述问题,有效提高无人艇全局路径规划的安全性与实用性。2. The calculation process of the present invention takes into account the potential risks caused by ocean waves, current interference and dynamic obstacles, and can effectively balance the threats of underwater obstacles and surface obstacles as well as the path length planning method of the unmanned boat trajectory. At the same time, the planning result generated by this method is safer and more reasonable, and the planned global path has fewer turning points and is smoother. If the sea conditions are not considered and the traditional path planning method is used to solve the problem, it will cause the situation of touching underwater obstacles when the water depth is dangerous. There is a collision with a surface obstacle. By using the present invention, the above problems can be effectively solved, and the safety and practicability of the global path planning of the unmanned boat can be effectively improved.
附图说明Description of drawings
图1为本发明的流程图。FIG. 1 is a flow chart of the present invention.
具体实施方式Detailed ways
以下结合附图对本发明做进一步详述。The present invention will be described in further detail below in conjunction with the accompanying drawings.
一种考虑动态水深的无人艇动态安全轨迹规划方法,包括以下步骤:A dynamic safety trajectory planning method for an unmanned vehicle considering dynamic water depth, including the following steps:
步骤1、设定无人艇规划任务相关的参数。Step 1. Set the parameters related to the UAV planning task.
本步骤中任务相关的参数包括:起点终点位置、出发时间、无人艇尺寸和操纵性能参数包括但不限于各类海况下无人艇姿态统计值、平均吃水、最小转弯半径、最大速度以及、起点位置、终点位置、设定任务开始时间和航行速度等。The parameters related to the task in this step include: starting point and end position, departure time, size and maneuverability of the unmanned boat, including but not limited to the statistical value of the attitude of the unmanned boat under various sea conditions, the average draft, the minimum turning radius, the maximum speed and, Start position, end position, set mission start time and sailing speed, etc.
步骤2、根据步骤1的参数,构建全局环境模型。Step 2. According to the parameters of step 1, build a global environment model.
步骤2.1、根据步骤1的无人艇航行的起点位置和终点位置的坐标,从海图库中提取预处理的矢量电子海图,再从矢量海图中提取电子海图属性数据、航行海域海图水深数据、海流数据和障碍物数据、海图定位误差并进行相应的格式转化与属性数据处理。Step 2.1. According to the coordinates of the starting point and the end position of the unmanned boat sailing in step 1, extract the preprocessed vector electronic chart from the chart library, and then extract the electronic chart attribute data and the navigation sea chart from the vector chart. Bathymetric data, current data and obstacle data, chart positioning error and corresponding format conversion and attribute data processing.
其中,障碍数据包括但不限于陆地区域、导助航标志、桥梁桥墩、禁航区、干出礁、海床区等;提取水深点图层、海水覆盖区图层、海流图层和海图质量图层。Among them, the obstacle data includes but is not limited to land areas, navigation aid signs, bridge piers, no-navigation areas, dry reefs, seabed areas, etc.; extraction of water depth point layers, seawater coverage area layers, ocean current layers and charts quality layer.
步骤2.2、计算最小安全水深,并根据无人艇水动力特性参数和海图图幅大小确定栅格的分辨率。Step 2.2, calculate the minimum safe water depth, and determine the resolution of the grid according to the hydrodynamic characteristic parameters of the unmanned boat and the size of the chart.
通过建立水动力模型或者水池实验,分析计算无人艇在不同水动力条件下的航行姿态变化特征,对实际海洋环境中的航行姿态变化进行估计,水动力参数具体包括但不限于最大向下垂荡值、最大俯仰角、平均吃水、最小转弯半径。By establishing a hydrodynamic model or pool experiment, analyze and calculate the characteristics of the sailing attitude change of the unmanned vehicle under different hydrodynamic conditions, and estimate the sailing attitude change in the actual marine environment. The hydrodynamic parameters include but are not limited to the maximum downward heave. value, maximum pitch angle, average draft, minimum turning radius.
根据计算最小安全水深,according to Calculate the minimum safe water depth,
其中,Smin为最小安全水深,zmax为无人艇以不同航速在不规则波中航行所产生向下的垂荡运动的最大幅值;L为无人艇的艇长;θmax为无人艇在不同工况的不规则波中航行所产生的俯仰运动的幅值最大值;为无人艇的平均吃水;eenc为电子海图的水深值误差。Among them, Smin is the minimum safe water depth, zmax is the maximum amplitude of the downward heave motion generated by the unmanned boat sailing in irregular waves at different speeds; L is the length of the unmanned boat; θmax is no The maximum amplitude of pitching motion produced by man-boat sailing in irregular waves under different working conditions; is the average draught of the unmanned boat; eenc is the bathymetric value error of the electronic chart.
综合考虑水动力特性参数和电子海图大小确定对电子海图进行栅格化的分辨率。根据无人艇水动力特性参数和海图图幅大小确定栅格的分辨率:根据最小转弯半径Rmin、海图定位误差ep、无人艇艇长L以及电子海图范围计算栅格的分辨率,并且,栅格大小选择应使栅格数不大于108,同时栅格大小应不小于3L+Rmin+ep,不大于10L+4Rmin+2ep。The resolution of rasterizing the electronic chart is determined comprehensively considering the hydrodynamic characteristic parameters and the size of the electronic chart. Determine the resolution of the grid according to thehydrodynamic characteristic parameters of the unmannedboat and the size of the chart. resolution, and the grid size should be selected so that the number of grids should not be greater than 108 , and the grid size should be not less than 3L+Rmin + ep and not greater than 10L+4Rmin +2 ep .
步骤2.3、根据步骤2.1所得到的航行海域海图水深数据、障碍物数据以及步骤2.2所的栅格的分辨率,采用插值算法对水深进行插值,获得栅格化预测水深。Step 2.3. According to the water depth data and obstacle data of the navigation sea area chart obtained in step 2.1 and the resolution of the grid obtained in step 2.2, use an interpolation algorithm to interpolate the water depth to obtain the gridded predicted water depth.
插值算法可采用含障碍的样条函数插值算法,将步骤2.1所得障碍物数据作为障碍物输入要素,将水深数据作为插值输入数据,设置样条插值函数中的平滑系数,对稀疏水深点进行插值,获得栅格化预测水深。The interpolation algorithm can use the spline function interpolation algorithm with obstacles. The obstacle data obtained in step 2.1 is used as the obstacle input element, the water depth data is used as the interpolation input data, and the smooth coefficient in the spline interpolation function is set to interpolate the sparse water depth points. , to obtain a rasterized predicted water depth.
步骤2.4、根据步骤1的设定任务开始时间和航行速度,通过预报数据获取任务水域水文、气象和潮汐信息。Step 2.4. According to the task start time and sailing speed set in step 1, the hydrological, meteorological and tidal information of the task water area is obtained through the forecast data.
步骤2.5、根据步骤2.2得到栅格的分辨率,对步骤2.4获得的任务水域水文、气象和潮汐信息进行处理,并在步骤2.3的基础上利用插值方法获得动态水深分布和海流分布。Step 2.5: Obtain the resolution of the grid according to step 2.2, process the hydrological, meteorological and tidal information of the task water area obtained in step 2.4, and use the interpolation method to obtain dynamic water depth distribution and current distribution on the basis of step 2.3.
选用三次样条插值对潮汐表的潮位数据进行插值处理,得到潮位随时间的变化函数。某时刻栅格的瞬时水深可由栅格点的静态水深和潮位进行叠加计算获得。瞬时水深为:The cubic spline interpolation is used to interpolate the tide level data of the tide table, and the change function of the tide level with time is obtained. The instantaneous water depth of the grid at a certain time can be obtained by superimposing the static water depth and tidal level of the grid point. The instantaneous water depth is:
S(x,y,t)=D(x,y)+T(x,y,t)+Δ(x,y,t)S(x,y,t)=D(x,y)+T(x,y,t)+Δ(x,y,t)
其中,S(x,y,t)为(x,y)栅格在时刻t的瞬时水深值;D(x,y)为该栅格点的静态水深值,T(x,y,t)为该栅格时刻t的潮位值;Δ(x,y,t)为该格网点在时刻t影响水位变化的其他因素所产生的水深变化,T(x,y,t)与Δ(x,y,t)的和构成瞬时水深中的动态水深项。Among them, S(x,y,t) is the instantaneous water depth value of the grid (x,y) at time t; D(x,y) is the static water depth value of the grid point, T(x,y,t) is the tidal level value of the grid at time t; Δ(x,y,t) is the water depth change caused by other factors affecting the water level change at the grid point at time t, T(x,y,t) and Δ(x, The sum of y,t) constitutes the dynamic bathymetry term in the instantaneous bathymetry.
步骤2.6、根据步骤2.2计算的最小安全水深和步骤2.5获得的动态水深分布和海流分布构建全局环境模型。Step 2.6, build a global environment model according to the minimum safe water depth calculated in step 2.2 and the dynamic water depth distribution and current distribution obtained in step 2.5.
步骤3、利用LT-D*Lite算法进行全局路径规划。Step 3. Use the LT-D*Lite algorithm for global path planning.
其中,g(Ni)为第i个节点Ni到起始节点S的实际距离代价;h(Ni)为节点Ni到目标节点G的估计距离代价;为从起始节点到当前节点的水深危险度之和;α为控制水深风险影响的参数,根据路径规划目标偏好度设置;为起始节点到当前节点的水面障碍物危险度之和;β是控制水面障碍物风险影响的参数,根据路径规划目标偏好度设置。Among them, g(Ni ) is the actual distance cost from theith node Ni to the starting node S; h(N i) is the estimated distance cost from the nodeNi to the target node G; is the sum of the water depth risk from the starting node to the current node; α is the parameter to control the influence of water depth risk, which is set according to the path planning target preference; is the sum of the dangers of water surface obstacles from the starting node to the current node; β is a parameter that controls the risk of water surface obstacles, and is set according to the path planning target preference.
步骤4、根据无人艇的感知系统输入的动态目标信息,基于无人艇的速度位置和速度信息建立局部态势图。Step 4. According to the dynamic target information input by the perception system of the unmanned boat, a local situation map is established based on the speed, position and speed information of the unmanned boat.
步骤4.1、根据步骤3所得的全局路径规划和无人艇的感知系统输入的目标信息,建立局部态势图。Step 4.1, according to the global path planning obtained in step 3 and the target information input by the perception system of the unmanned boat, establish a local situation map.
本步骤的具体实施方式为:根据传感器探测范围确定更新态势区域,将区域内的栅格组成局部搜索空间。The specific implementation of this step is as follows: according to the detection range of the sensor, the update situation area is determined, and the grids in the area are formed into a local search space.
步骤4.2、根据无人艇的感知系统输入的目标信息对动态障碍物进行轨迹预测。Step 4.2: Predict the trajectory of the dynamic obstacle according to the target information input by the perception system of the unmanned boat.
本步骤的具体实施方式为:根据感知系统提供的目标速度信息对动态目标运动轨迹进行预测,得到局部区域内随时间变化的栅格代价值。若同一栅格同一时间存在碰撞风险,则将该栅格在该时刻的碰撞代价值置为无穷大。The specific implementation of this step is: predicting the motion trajectory of the dynamic target according to the target speed information provided by the sensing system to obtain the grid cost value that changes with time in the local area. If the same grid has a collision risk at the same time, the collision cost value of the grid at that moment is set to infinity.
步骤4.3、根据步骤4.2的预测轨迹判断沿当前路径航行是否会有碰撞风险,若有风险则进行步骤4.4,否则进行步骤5。Step 4.3. According to the predicted trajectory of Step 4.2, determine whether there is a collision risk along the current path, if there is a risk, go to Step 4.4, otherwise go to Step 5.
栅格水面碰撞风险:Grid surface collision risk:
其中d为节点Ni到障碍物节点Oj欧式距离,a为不同类型障碍物对应的危险系数,vNi为栅格Ni中海流的速度cNi为方向系数,为海流相对于真北的流向,φg∈[0,2π)为节点Ni与节点Oj连线相对于真北的方位角,可航行节点附近具有k个障碍栅格时,选取其中的最大值作为该节点的水面障碍物危险度:rS(Ni)=max{rS[Ni,1],rS[Ni,2],...,rS[Ni,k]}。where d is the Euclidean distance from node Ni to the obstacle node Oj , a is the risk factor corresponding to different types of obstacles, vNi is the speed of the ocean current in grid Ni , cNi is the direction coefficient, is the flow direction of the ocean current relative to true north, φg ∈ [0,2π) is the azimuth of the line connecting node Ni and node Oj relative to true north, when there are k obstacle grids near the navigable node, select the The maximum value is used as the water surface obstacle risk of this node: rS (Ni )=max{rS [Ni ,1],rS [Ni ,2],...,rS [Ni ,k ]}.
步骤4.4、启动重规划,根据预测轨迹信息以及动态水深更新区域内栅格,生成局部路径,并返回步骤4.1更新局部态势图。Step 4.4, start the re-planning, update the grid in the area according to the predicted trajectory information and the dynamic water depth, generate a local path, and return to step 4.1 to update the local situation map.
步骤5、判断无人艇的当前位置是否为终点,若到达终点则结束规划,否则重复步骤4,直至本艇到达终点。Step 5. Determine whether the current position of the unmanned boat is the end point. If it reaches the end point, end the planning. Otherwise, repeat step 4 until the own boat reaches the end point.
需要强调的是,本发明所述的实施例是说明性的,而不是限定性的,因此本发明包括并不限于具体实施方式中所述的实施例,凡是由本领域技术人员根据本发明的技术方案得出的其他实施方式,同样属于本发明保护的范围。It should be emphasized that the embodiments described in the present invention are illustrative rather than restrictive, so the present invention includes but is not limited to the embodiments described in the specific implementation manner. Other embodiments derived from the scheme also belong to the protection scope of the present invention.
| Application Number | Priority Date | Filing Date | Title |
|---|---|---|---|
| CN202210150630.1ACN114610046B (en) | 2022-02-18 | 2022-02-18 | A dynamic safety trajectory planning method for unmanned vehicles considering dynamic water depth |
| Application Number | Priority Date | Filing Date | Title |
|---|---|---|---|
| CN202210150630.1ACN114610046B (en) | 2022-02-18 | 2022-02-18 | A dynamic safety trajectory planning method for unmanned vehicles considering dynamic water depth |
| Publication Number | Publication Date |
|---|---|
| CN114610046Atrue CN114610046A (en) | 2022-06-10 |
| CN114610046B CN114610046B (en) | 2025-09-30 |
| Application Number | Title | Priority Date | Filing Date |
|---|---|---|---|
| CN202210150630.1AActiveCN114610046B (en) | 2022-02-18 | 2022-02-18 | A dynamic safety trajectory planning method for unmanned vehicles considering dynamic water depth |
| Country | Link |
|---|---|
| CN (1) | CN114610046B (en) |
| Publication number | Priority date | Publication date | Assignee | Title |
|---|---|---|---|---|
| CN115328177A (en)* | 2022-08-23 | 2022-11-11 | 上海交通大学 | Submersible motion trajectory repairing method and system |
| CN117234219A (en)* | 2023-11-14 | 2023-12-15 | 中国船舶集团有限公司第七一九研究所 | Offshore cluster perception task track design method and computer readable medium |
| CN117664140A (en)* | 2023-12-11 | 2024-03-08 | 大连海事大学 | A POLARIS-based route planning method for Arctic sea routes |
| CN118050728A (en)* | 2024-04-16 | 2024-05-17 | 中国水利水电第十四工程局有限公司 | Target acquisition method and system for channel safety monitoring |
| CN118155458A (en)* | 2024-03-29 | 2024-06-07 | 交通运输部水运科学研究所 | Marine ship collision prediction method, prediction device and electronic equipment |
| CN120176686A (en)* | 2025-05-24 | 2025-06-20 | 交通运输部水运科学研究所 | An intelligent navigation method and system based on surplus water depth management |
| CN120595813A (en)* | 2025-08-06 | 2025-09-05 | 天津理工大学 | A method and system for controlling the navigation state of an unmanned ship based on intelligent perception |
| Publication number | Priority date | Publication date | Assignee | Title |
|---|---|---|---|---|
| CN111412918A (en)* | 2020-03-13 | 2020-07-14 | 天津大学 | Unmanned ship global safety path planning method |
| JP6979666B1 (en)* | 2020-10-14 | 2021-12-15 | 哈尓濱工程大学Harbin Engineering University | Real-time optimization method and navigation method of the route of renewable energy driven unmanned boat considering propulsion by waves |
| Publication number | Priority date | Publication date | Assignee | Title |
|---|---|---|---|---|
| CN111412918A (en)* | 2020-03-13 | 2020-07-14 | 天津大学 | Unmanned ship global safety path planning method |
| JP6979666B1 (en)* | 2020-10-14 | 2021-12-15 | 哈尓濱工程大学Harbin Engineering University | Real-time optimization method and navigation method of the route of renewable energy driven unmanned boat considering propulsion by waves |
| Title |
|---|
| SHUAI LIU 等: "A Method of Path Planning on Safe Depth for Unmanned Surface Vehicles Based on Hydrodynamic Analysis", APPL. SCI, vol. 9, no. 3, 7 August 2019 (2019-08-07), pages 3228* |
| 徐唐进 等: "动态水深环境下的无人艇路径规划", 测绘科学, 30 June 2021 (2021-06-30)* |
| 苏义鑫;石兵华;张华军;: "水面无人艇航迹规划算法设计与仿真", 武汉理工大学学报, no. 06, 30 June 2016 (2016-06-30)* |
| Publication number | Priority date | Publication date | Assignee | Title |
|---|---|---|---|---|
| CN115328177A (en)* | 2022-08-23 | 2022-11-11 | 上海交通大学 | Submersible motion trajectory repairing method and system |
| CN117234219A (en)* | 2023-11-14 | 2023-12-15 | 中国船舶集团有限公司第七一九研究所 | Offshore cluster perception task track design method and computer readable medium |
| CN117234219B (en)* | 2023-11-14 | 2024-02-02 | 中国船舶集团有限公司第七一九研究所 | Offshore cluster perception task track design method and computer readable medium |
| CN117664140A (en)* | 2023-12-11 | 2024-03-08 | 大连海事大学 | A POLARIS-based route planning method for Arctic sea routes |
| CN118155458A (en)* | 2024-03-29 | 2024-06-07 | 交通运输部水运科学研究所 | Marine ship collision prediction method, prediction device and electronic equipment |
| CN118155458B (en)* | 2024-03-29 | 2025-01-28 | 交通运输部水运科学研究所 | Marine ship collision prediction method, prediction device, and electronic equipment |
| CN118050728A (en)* | 2024-04-16 | 2024-05-17 | 中国水利水电第十四工程局有限公司 | Target acquisition method and system for channel safety monitoring |
| CN120176686A (en)* | 2025-05-24 | 2025-06-20 | 交通运输部水运科学研究所 | An intelligent navigation method and system based on surplus water depth management |
| CN120595813A (en)* | 2025-08-06 | 2025-09-05 | 天津理工大学 | A method and system for controlling the navigation state of an unmanned ship based on intelligent perception |
| Publication number | Publication date |
|---|---|
| CN114610046B (en) | 2025-09-30 |
| Publication | Publication Date | Title |
|---|---|---|
| CN114610046B (en) | A dynamic safety trajectory planning method for unmanned vehicles considering dynamic water depth | |
| Tan et al. | Fast marching square method based intelligent navigation of the unmanned surface vehicle swarm in restricted waters | |
| CN108564202B (en) | Unmanned ship route optimization method based on environment forecast information | |
| Wu et al. | An overview of developments and challenges for unmanned surface vehicle autonomous berthing | |
| CN110837255B (en) | Autonomous danger avoiding method suitable for high-speed water surface unmanned ship | |
| CN108803313A (en) | A kind of paths planning method based on ocean current prediction model | |
| CN111412918B (en) | Unmanned ship global safety path planning method | |
| CN119356348B (en) | A method for controlling unmanned boat cooperative formation | |
| CN112880678A (en) | Unmanned ship navigation planning method in complex water area environment | |
| CN116300906A (en) | Obstacle avoidance path planning method and system for intelligent ship | |
| CN113032896A (en) | Collision avoidance aid decision-making method based on ship driver preference | |
| CN109916400B (en) | An Obstacle Avoidance Method for Unmanned Vehicle Based on the Combination of Gradient Descent Algorithm and VO Method | |
| CN116414123A (en) | Water surface unmanned ship path planning method based on improved rapid travelling method | |
| CN112836448B (en) | Real ship test method for ship hydrodynamic coefficient | |
| CN117666557A (en) | An unmanned boat path planning algorithm for ocean current interference | |
| CN114061565A (en) | Unmanned ship SLAM and application method thereof | |
| CN113917930A (en) | A Navigation State Control Method of Unmanned Ship Based on Perception Data | |
| Bandyophadyay et al. | A simple reactive obstacle avoidance algorithm and its application in singapore harbor | |
| CN119160350A (en) | Ship motion prediction method, device, electronic device and readable storage medium | |
| CN108089588A (en) | A kind of Observational depth segmented adaptive planing method of underwater robot | |
| CN110320907B (en) | A double-deck collision avoidance method for unmanned surface vehicles based on improved ant colony algorithm and elliptical collision cone deduction model | |
| Zhou et al. | Surveying a floating iceberg with the USV SEADRAGON | |
| CN111624998B (en) | A Ship Track Optimization Algorithm Considering Cyclone Motion and Current Direction | |
| Xu et al. | Navigational decision-making method for wide inland waterways with traffic separation scheme navigation system | |
| Taimuri et al. | A predictive analytics method for the avoidance of ship grounding in real operational conditions |
| Date | Code | Title | Description |
|---|---|---|---|
| PB01 | Publication | ||
| PB01 | Publication | ||
| SE01 | Entry into force of request for substantive examination | ||
| SE01 | Entry into force of request for substantive examination | ||
| GR01 | Patent grant |