Movatterモバイル変換


[0]ホーム

URL:


CN114577100A - Magnetic field target positioning calculation method - Google Patents

Magnetic field target positioning calculation method
Download PDF

Info

Publication number
CN114577100A
CN114577100ACN202210158311.5ACN202210158311ACN114577100ACN 114577100 ACN114577100 ACN 114577100ACN 202210158311 ACN202210158311 ACN 202210158311ACN 114577100 ACN114577100 ACN 114577100A
Authority
CN
China
Prior art keywords
magnetic induction
magnetic field
excitation coil
space
magnetic
Prior art date
Legal status (The legal status is an assumption and is not a legal conclusion. Google has not performed a legal analysis and makes no representation as to the accuracy of the status listed.)
Granted
Application number
CN202210158311.5A
Other languages
Chinese (zh)
Other versions
CN114577100B (en
Inventor
陈传金
Current Assignee (The listed assignees may be inaccurate. Google has not performed a legal analysis and makes no representation or warranty as to the accuracy of the list.)
Chengdu Siruiding Life Technology Co ltd
Original Assignee
Chengdu Siruiding Life Technology Co ltd
Priority date (The priority date is an assumption and is not a legal conclusion. Google has not performed a legal analysis and makes no representation as to the accuracy of the date listed.)
Filing date
Publication date
Application filed by Chengdu Siruiding Life Technology Co ltdfiledCriticalChengdu Siruiding Life Technology Co ltd
Priority to CN202210158311.5ApriorityCriticalpatent/CN114577100B/en
Publication of CN114577100ApublicationCriticalpatent/CN114577100A/en
Application grantedgrantedCritical
Publication of CN114577100BpublicationCriticalpatent/CN114577100B/en
Activelegal-statusCriticalCurrent
Anticipated expirationlegal-statusCritical

Links

Images

Classifications

Landscapes

Abstract

The invention discloses a magnetic field target positioning calculation method. According to the calculation method of the present invention, the excitation coil used for generating the magnetic field is divided into excitation coil sub-blocks. Each excitation coil subblock is used as a current element, so that the magnetic induction intensity of each excitation coil subblock at any point P in space is calculated. The magnetic induction intensities of all the excitation coil sub-blocks at any point P in the space are superposed to obtain the relation between the magnetic induction intensity generated by the whole excitation coil in the space and the space position and direction. And obtaining the position and the direction of the target positioning device based on the acquired magnetic induction intensity signals at the target positioning device and the relation between the magnetic induction intensity generated by the excitation coil in the space and the space position and direction. The magnetic field target positioning technology can be used in medical operation, especially interventional operation. Moreover, the positioning calculation method is more universal, and the shape of the cross section of the excitation coil is not limited to be a circle.

Description

Magnetic field target positioning calculation method
Technical Field
The invention relates to an electromagnetic field, in particular to a magnetic field target positioning calculation method.
Background
In modern medical technology, living tissues can be treated by introducing consumables such as catheters and sheath tubes into living bodies. However, in the operation, a target object such as a catheter, a guide wire, an introducer (sheath), or a probe needs to be accurately positioned and tracked. When different organism tissues are subjected to interventional therapy, the positioning precision is different, and generally, the higher the precision is, the better the positioning is, and the more accurate the positioning is.
Since the target object such as a catheter is usually introduced into the body through a blood vessel, an alimentary canal, etc., the target object itself is designed to be small in size, and if a positioning device with a certain size is additionally added, the target object does not meet the requirement of being introduced into the body in size. In addition, although the position of the target object can also be observed by means of images such as X-rays, magnetic resonance imaging, etc., such a position generally does not meet the positioning accuracy requirements at the surgical level.
Therefore, in medical applications, particularly in interventional surgery, a magnetic field target positioning technique may be used in order to ensure positioning accuracy as much as possible without occupying an excessive size of the target.
When the magnetic field target positioning technology is applied, the position and the direction of a target are solved according to a Biao-Savart Law (Biot-Savart Law) column equation system. In general, when the sectional shape of the excitation coil for generating a magnetic field is circular, it can be equivalent to a magnetic dipole. For the target object, the target positioning device for magnetic induction acquisition is usually a sensor coil, and may be equivalent to a magnetic dipole. Since both the excitation coil and the sensor coil are equivalent to magnetic dipoles, the solution process is simplified. However, the above equivalence assumes that the cross-sectional shape of the excitation coil must be circular, and if the excitation coil has another shape, such equivalence cannot be applied, and the magnetic field target location calculation cannot be performed using a simplified solution.
Therefore, it is desirable to provide a more generally applicable magnetic field target positioning calculation method that can break through the limitation that the cross-sectional shape of the excitation coil is circular, and thus can be more widely applied to magnetic field target positioning, and still ensure positioning accuracy.
Disclosure of Invention
The invention provides a more generally applicable positioning calculation method aiming at various cross-sectional shapes of the excitation coil. According to the calculation method provided by the invention, the excitation coil with any cross section shape can be divided into smaller sub-blocks, each sub-block is used as a current element, then the magnetic induction intensities of all the sub-blocks in the space are superposed to obtain the magnetic induction intensity of any point in the space, and the magnetic induction intensity is compared with the magnetic induction intensity on the acquired target sensor coil, so that the position and the direction of the target positioning device, such as a three-dimensional coordinate, a pitch angle and a rotation angle, can be obtained by solving a column equation.
According to a first aspect of the present invention, a method for magnetic field target location calculation is provided. The method can comprise the following steps: dividing an excitation coil for generating a magnetic field into excitation coil sub-blocks; taking each excitation coil subblock as a current element, and calculating the magnetic induction intensity of each excitation coil subblock at any point P in space; superposing the magnetic induction intensity of each excitation coil subblock at any point P in space to obtain the relation between the magnetic induction intensity generated by the whole excitation coil in space and the space position and direction; and obtaining the position and the direction of the target positioning device based on the acquired magnetic induction intensity signals at the target positioning device and the relation between the magnetic induction intensity generated by the excitation coil in the space and the space position and direction.
In the method according to the first aspect of the present invention, preferably, the magnetic induction intensity of the excitation coil sub-block at any point P in space is obtained based on biot-savart law according to the position and the placing direction of each excitation coil sub-block as a current element and the current intensity of the excitation coil sub-block.
In the method according to the first aspect of the present invention, preferably, the excitation coil is divided into M segments in the axial direction to obtain M pieces of sub-coils, and after the pieces of sub-coils are equivalent to the contours of the pieces of sub-coils, the contours are segmented. And calculating the magnetic induction intensity component of each section of the profile at any point P in the magnetic field by adopting the Bio-Saval law. Superposing the magnetic induction intensity components of the sections of the profile in P to obtain the magnetic induction intensity of the profile in P; and superposing the magnetic induction intensity of the M profiles in the P direction in the axial direction to obtain the magnetic induction intensity of the excitation coil in the P direction, so that the relation between the magnetic induction intensity of the whole excitation coil in the space and the space position and direction is obtained. Listing the magnetic induction intensity of a sensor coil of the target positioning device in the direction of a normal vector P according to the law of electromagnetic induction, wherein the normal vector refers to a normal unit vector on the section of the sensor coil; and listing a magnetic induction electromotive force equation according to the principle that the magnetic induction intensity of the excitation coil on the P direction vector is equal to the magnetic induction intensity of the sensor coil on the P normal vector, so that the position and the direction of the target positioning device are obtained through solving.
In the method according to the first aspect of the present invention, preferably, the contour may be a closed contour.
In the method according to the first aspect of the present invention, preferably, the contour may be composed of a circular arc segment and a straight line segment.
In the method according to the first aspect of the present invention, preferably, the shape of the profile may be a rounded rectangle.
In the method according to the first aspect of the present invention, preferably, the shape of the contour may be circular.
In the method according to the first aspect of the present invention, preferably, the target-locating device may be located on a medical device that is medically intervened in a living body.
In the method according to the first aspect of the present invention, preferably, the position and orientation of the object localization arrangement may comprise three-dimensional coordinates, a pitch angle and a rotation angle of the object localization arrangement.
In the method according to the first aspect of the present invention, preferably, the magnetic field is generated using a plurality of magnetic field generators fixed to a fixture. Each magnetic field generator is disposed at a different location or different orientation to produce a corresponding magnetic field. Each magnetic field generator includes the excitation coil.
In the method according to the first aspect of the present invention, preferably, the plurality of magnetic field generators is at least 6 magnetic field generators.
In the method according to the first aspect of the present invention, preferably the acquired magnetic induction signals at the object localization arrangement comprise respective magnetic induction signal components of each magnetic field generator acting on the object localization arrangement.
In the method according to the first aspect of the present invention, preferably, the magnetic induction electromotive force equation set is listed based on the corresponding magnetic induction signal component of each magnetic field generator acting on the object locating device and the magnetic induction generated in space by the exciting coil of each magnetic field generator with respect to the spatial position and direction, so as to solve the position and direction of the object locating device.
In the method according to the first aspect of the present invention, preferably, a modulus value of the signal component is calculated; obtaining a signal component with the maximum and/or minimum modulus value, and removing an equation corresponding to the signal component; and forming an optimized overdetermined equation set by the rest equations, and solving the position and the direction of the target positioning device.
In the method according to the first aspect of the present invention, it is preferable that the signal components are divided into a plurality of groups (four groups because the positions are expressed by XYZ three-dimensional coordinates and each three coils XYZ are combined into one group, and the sum of the three moduli of each group is judged as optimum) and the sum of the signal moduli of each group is calculated; comparing the signal modulus sums of all groups to obtain a signal component group with the maximum modulus sum value and/or the minimum modulus sum value, and removing an equation corresponding to the signal component group; and forming an optimized overdetermined equation set by the rest equations, and solving the position and the direction of the target positioning device.
In the method according to the first aspect of the invention, the position and orientation of the object-locating device is solved iteratively, preferably according to the Levenberg-marquardt (lm) algorithm or a modified version thereof.
According to a second aspect of the present invention, there is provided a computer readable medium having stored thereon instructions executable by a processor, the instructions, when executed by the processor, causing the processor to perform a magnetic field target location calculation method as in the first aspect of the present invention.
The invention provides a magnetic field target positioning calculation method by utilizing the principle of magnetic field positioning. The method can be particularly used in medical operations, particularly interventional operations, and can ensure the positioning accuracy as much as possible without occupying too much target object size.
In magnetic field positioning applications, the excitation coil used to generate the magnetic field and the sensor coil of the object positioning device may be equivalent to a magnetic dipole. This equivalent setting allows a fast and approximate solution to the target location when the cross-sectional shape of the excitation coil is circular. However, when the cross-sectional shape of the exciting coil is not circular but other shapes, the equivalent setting of the magnetic dipole cannot be applied any more.
The invention provides a more generally applicable positioning calculation method aiming at various cross-sectional shapes of the excitation coil. According to the calculation method, the excitation coil with any cross section shape can be divided into smaller sub-blocks, each sub-block is used as a current element, then the magnetic induction intensities of all the sub-blocks in the space are superposed to obtain the magnetic induction intensity of any point in the space, and the magnetic induction intensity is compared with the magnetic induction intensity on the acquired target sensor coil, so that the position and the direction of the target positioning device can be obtained through solving the equation.
In addition, for the over-determined equation set, an equation with a more accurate calculation result can be reserved, and an inaccurate equation is removed, so that an appropriate number of equations are reserved, and more accurate positioning calculation is carried out.
Similarly, the system of equations may be iteratively solved using the Levenberg-Marquardt (LM) algorithm or a modified version thereof.
Drawings
The present invention will become more fully understood from the detailed description given herein below and the accompanying drawings, wherein like elements are numbered alike, and wherein:
FIG. 1 is a schematic diagram of a magnetic field object locating system.
Fig. 2 is a schematic view of a magnetic field generating device.
Fig. 3 is a schematic diagram of magnetic field target location.
FIG. 4 is a flow chart of a magnetic field target location calculation method according to an embodiment of the present invention.
Fig. 5 is a flowchart of a method of constructing a magnetic induction electromotive force equation according to an embodiment of the present invention.
Fig. 6 is a schematic coordinate diagram of an excitation coil using a cartesian coordinate system according to an embodiment of the invention.
Fig. 7 is a schematic view of a cross-section of an exciting coil according to an embodiment of the present invention in a rounded rectangular shape.
Fig. 8 is a schematic view of a cross-section of an exciting coil according to an embodiment of the present invention in a rounded triangle shape.
Fig. 9 is a schematic view of a cross-section of an exciting coil according to an embodiment of the present invention in another rounded rectangle shape.
FIG. 10 is a flowchart of an iterative solution of target position and orientation, according to an embodiment of the present invention.
Detailed Description
The technical solution of the present invention will be described in further detail below by way of examples with reference to the accompanying drawings, but the present invention is not limited to the following examples.
The general principle of magnetic field object localization is first explained below.
According to one embodiment of the present invention, the magnetic field target positioning calculation method is implemented by first generating a magnetic field in space and then collecting magnetic induction signals of a target positioning device.
The generation of the magnetic field can be divided into two aspects of magnetic field generation control and magnetic field generation. In a preferred embodiment of the invention, it may comprise driving the generation of the magnetic field using an alternating current, a quasi-direct current or a permanent magnet rotation. The magnetic field may be generated using a plurality of magnetic field generators secured to the fixture. Each magnetic field generator is disposed at a different location or different orientation to produce a corresponding magnetic field. Each magnetic field generator includes an excitation coil. In a preferred embodiment, the magnetic field generator may be at least 6 magnetic field generators. The shape of the magnetic field generator can be adjusted according to the application, and the common form is cylindrical, square or polygonal. The relative placement position of the magnetic field generator can be adjusted according to the positioning area range of the target object. The placing angle of the magnetic field generator can be adjusted according to the amplitude of the signal collected by the target object.
It will be understood by those skilled in the art that although terms such as "magnetic field generator", "field coil", etc. are used in the present invention to describe a device for generating various levels of a magnetic field in space, other similar terms such as magnetic generating unit, magnetic generator, magnetic generating coil, location pad, etc. may be used to convey the same or similar meaning.
The target positioning device is positioned in the magnetic field generated by the excitation coil and generates magnetic induction signals. According to an embodiment of the invention, the object localization means is a localization sensor coil. And installing the target positioning device on or in the target to be positioned. Thus, the position and orientation of the object is determined while the position and orientation of the coil of the position sensor is determined. In a preferred embodiment, the target-locating device is located on a medical device that is medically intervened in the living being. For example, the target may be a catheter, or more specifically, may be one or more electrodes on the catheter; an object locating device is also mounted on the catheter, adjacent the electrode, for locating the catheter or electrode.
The position and orientation of the target positioning device includes the three-dimensional coordinates, pitch angle, and rotation angle of the target positioning device. More generally, the orientation of the target-locating device may also include the roll angle, but in the application of the present invention this dimension of roll angle is not of concern.
It was mentioned in the foregoing that due to the presence of a magnetic field, a magnetic induction signal is generated on the object localization means, i.e. the localization sensor coil. The magnetic induction signals are collected for analysis, so that the target positioning device can be positioned.
The task of positioning calculation is the problem to be solved by the present invention. Generally, the positioning calculation is performed by using the distribution of the generated magnetic field, establishing an equation set based on Biot-Savart Law according to the collected corresponding magnetic induction signals of each excitation coil acting on the target positioning device, and solving the position and direction of the target positioning device.
It will be appreciated by those skilled in the art that the implementation of the positioning calculation can be done by software, i.e. entirely by algorithmic programming, on a general purpose computer to perform the calculation operations described. The positioning calculation may also be implemented in hardware or firmware, i.e., by programming in a dedicated hardware processor such as a Field Programmable Gate Array (FPGA), Application Specific Integrated Circuit (ASIC), or Digital Signal Processor (DSP), to perform the positioning calculation operations described.
The magnetic field target location calculation method according to an embodiment of the present invention is explained in more detail below with reference to the drawings.
FIG. 1 is a schematic diagram of a magnetic field object locating system.
As shown in fig. 1, a magnetic fieldtarget locating system 100 includes a magneticfield generating device 101. The magneticfield generating device 101 comprises a plurality of magneticfield generator groups 102A, 102B, 102C, 102D, each comprising one or more magnetic field generators. For example, each magnetic field generator group comprises 3 magnetic field generators for generating magnetic fields. Thesystem 100 further comprises asignal acquisition module 107 for acquiring modulation signals in the generated magnetic field, a magnetic fieldgeneration control module 108 whose main function is to modulate signals to drive the magnetic field generator to generate a magnetic field, and apositioning calculation module 109 for solving for the position and orientation of the object. As previously mentioned, the positions described herein may be represented in three-dimensional coordinates, while the orientations described herein may be represented in terms of pitch and roll angles. The target positioning device (also called sensor or detector) 103 is located on the target and has the function of detecting the magnetic field, i.e. magnetic induction signals can be generated by positioning the sensor coil in the magnetic field. One end of thecable 104 is connected to the object-locatingdevice 103 and the other end is connected to thesignal acquisition module 107. One end of thecable 105 is connected to the magneticfield generation device 101, and the other end is connected to the magnetic fieldgeneration control module 108. In addition, thesystem 100 may further include adisplay 106 for displaying the magnetic induction signals acquired by thesignal acquisition module 107 or the positioning information calculated by thepositioning calculation module 109. For example, as shown in FIG. 1, displayed on thedisplay 106 are the three-dimensional coordinates, pitch angle, and rotation angle values of the target positioning device 103 (i.e., the target object).
Generally, at least 6 magnetic field generators should be arranged in the magnetic field generating device in order to establish the solution position and angle of the system of equations. Here, 12 magnetic field generators are described as an example. The outer shape of the magnetic field generator may be designed to be cylindrical, square, or other various shapes.
Furthermore, it will be appreciated by those skilled in the art that although the magnetic field generator (or even the magnetic field generating means) and the magnetic field generation control module are described herein as two components of a magnetic field object localization system, in many cases the magnetic field generator and the magnetic field generation control module may be integrated together. Thus, the present invention does not limit the magnetic field generator from being physically separated or integrated with the magnetic field generation control module, but only functionally differentiated. In other words, in the embodiment in which the magnetic field generator is integrated with the magnetic field generation control module, the relationship of the two can be regarded as the relationship of hardware and its drive, or the integration of the two can be regarded as a kind of firmware.
Fig. 2 is a schematic view of a magnetic field generating device. As shown in fig. 2, the magneticfield generating device 201 includes groups ofmagnetic field generators 202A, 202B, 202C, 202D, each group including 3 mutually orthogonal magnetic field generators. Theinternal structure 204 of the magneticfield generator group 202A will be described as an example. The magneticfield generator group 202A includes amagnetic field generator 205 that generates an X-direction magnetic field, amagnetic field generator 206 that generates a Y-direction magnetic field, and amagnetic field generator 207 that generates a Z-direction magnetic field.
Fig. 3 is a schematic diagram of magnetic field target location. In the coordinatesystem 300 shown in fig. 3, the magnetic field generating means comprise groups ofmagnetic field generators 301A, 301B, 301C, 301D, each group comprising 3 magnetic field generators. For example, themagnetic field generator 302 is one of the magnetic field generator set 301C, and its position and angle of arrangement are known as P (x)i,yi,ziii). An object-locating device (locating sensor coil) 303 is also in the coordinatesystem 300. Common target objects provided with target positioning devices in the medical field include catheters, guide wires, introducers (sheaths), probes and the like, and the application fields include cardiac interventional therapy navigation, pulmonary bronchus positioning navigation, renal artery ablation navigation and the like. The spatial position and the placing angle P (x, y, z, α, β) of the target-positioning device 303 are variables to be solved.
Magnetic field positioning calculation method
In the calculation operation of directly equivalent the excitation coil to the magnetic dipole, according to the Biot-Savart Law (Biot-Savart) column equation, the distance between the magnetic field generator and the target object is far larger than the size of the magnetic field generator, so that the magnetic field generator and the target object are regarded as the magnetic dipole, and the equation is deduced:
Voli=γ*(B(x,i)*cos(α)*cos(β)+B(y,i)*cos(α)*sin(β)+B(z,i)*sin(α))
wherein (x, y, z) is the three-dimensional space position of the target object, (alpha, beta) is the pitch angle and rotation angle of the sensor coil, gamma is the gain coefficient, VoliAs a component of the magnetic induction signal, B(x,i)Is the x-component, B, of the magnetic induction produced at the sensor coil by the i-th magnetic field generator(y,i)Is the y-component of the magnetic induction produced at the sensor coil by the i-th magnetic field generator, B(z,i)Is the z-component of the magnetic induction produced at the sensor coil by the i-th magnetic field generator.
In this method, there is a precondition that the magnetic field generator (excitation coil) and the object positioning device (positioning sensor coil) are respectively equivalent to a magnetic dipole to directly apply biot-savart law. That is, in the above embodiments, the shape of the cross section of the excitation coil of the magnetic field generator is such that the excitation coil of the magnetic field generator and the object localization apparatus can be equivalent to a magnetic dipole, whereby the position and the direction of the object localization apparatus can be approximately calculated.
Therefore, during the production of actual products, it is often necessary to provide the excitation coil in the magnetic field generator with a circular cross section so that the excitation coil maximally approximates the structural characteristics of the magnetic dipole. That is, in such embodiments, the excitation coil of the magnetic field generator is circular in cross-section.
This condition limits the structure of the exciting coil. However, in practice, it is necessary to provide the cross-section of the coil in the magnetic field generator with other shapes, such as the rounded rectangle in fig. 7. The structural feature that the cross section of the exciting coil needs to be arranged in a circular shape limits the design of the exciting coil structure in magnetic navigation, and is not beneficial to the installation and mass production of the exciting coil.
In the general case of the embodiment to be described next, the limitation that the excitation coil is equivalent to a magnetic dipole, the cross-section of the excitation coil being circular, is broken. That is, the following embodiments are applicable not only to the case where the shape of the cross section of the excitation coil of the magnetic field generator is such that the excitation coil of the magnetic field generator can be equivalent to a magnetic dipole, but also to the case where the shape of the cross section of the excitation coil of the magnetic field generator is such that the excitation coil of the magnetic field generator cannot be equivalent to a magnetic dipole. In the latter case, more specifically, the excitation coil of the magnetic field generator has a cross-section of a shape other than a circle.
In any case, the invention provides a magnetic field target positioning calculation method, so that excitation coils with different cross sections can perform magnetic positioning calculation, and accurate positioning of a target object is realized.
FIG. 4 is a flow chart of a magnetic field target location calculation method according to an embodiment of the present invention. As shown in FIG. 4, a magnetic field targetlocation calculation method 400 includes the steps of:
s410: dividing an excitation coil for generating a magnetic field into excitation coil sub-blocks;
s420: taking each excitation coil subblock as a current element, and calculating the magnetic induction intensity of each excitation coil subblock at any point P in space;
s430: superposing the magnetic induction intensity of each excitation coil sub-block at any point P in the space to obtain the relation between the magnetic induction intensity generated by the whole excitation coil in the space and the space position and direction (pitch angle and rotation angle);
s440: based on the acquired magnetic induction signals at the target positioning device and the relationship between the magnetic induction generated in the space by the excitation coil and the spatial position and direction (pitch angle and rotation angle) obtained in step S430, the spatial position coordinates and direction (pitch angle and rotation angle) of the target positioning device (sensor coil) are obtained by solving.
In step S420, taking each excitation coil subblock as a current element, and calculating the magnetic induction intensity of each excitation coil subblock at any point P in space specifically means that the magnetic induction intensity of each excitation coil subblock at any point P in space is obtained based on the biot-savart law according to the position and the placement direction of each excitation coil subblock as a current element and the current intensity of the excitation coil subblock.
It will be understood by those skilled in the art that the magnetic induction mentioned above and in the following is meant to be a vector, i.e. the magnetic induction vector or vector signal includes not only magnitude but also direction.
Compared with the prior art, the method has the advantage that when the Bio-Saval law is adopted to arrange the magnetic induction electromotive force equation of the P sensor coil, the shape of the section outline of the excitation coil is taken into consideration as an essential factor, and the excitation coil and the sensor coil are not directly equivalent to a magnetic dipole. In the specific method, the section profile of the excitation coil is divided into micro-segments, the magnetic induction intensity components of the micro-segments in a magnetic field are calculated respectively, then the magnetic induction intensity components are accumulated through integration, and finally the calculation formula of the magnetic induction intensity of the whole excitation coil at any point P in the space is obtained, so that the magnetic induction electromotive force equation of the P sensor coil is listed.
Fig. 5 is a flowchart of a method of constructing a magnetic induction electromotive force equation according to an embodiment of the present invention.
The method for constructing the magnetic induction electromotive force equation is an important step of the present invention, and a flow chart of themethod 500 for constructing the magnetic induction electromotive force equation is shown in fig. 5, and specifically includes the following steps:
s510: dividing the excitation coil into M sections along the axial direction to obtain M sub-coil pieces, and after the sub-coil pieces are equivalent to the contour of the sub-coil pieces, segmenting the contour, wherein the step is a further extension of the step S410 in the figure 4;
s520: calculating the magnetic induction intensity component of each section of the contour at any point P in the magnetic field by adopting the Biao-Saval law, wherein the step is a further extension of the step S420 in the figure 4;
s530: superposing the magnetic induction intensity components of the sections of the profile in P to obtain the magnetic induction intensity of the profile in P; superposing the magnetic induction intensity of the M profiles in the P direction in the axial direction to obtain the magnetic induction intensity of the excitation coil in the P direction, wherein the expression of the magnetic induction intensity of the P includes the three-dimensional spatial position coordinate and the angle of the P, so as to obtain the relationship between the magnetic induction intensity of the whole excitation coil in the space and the spatial position and direction, and the step is a further extension of the step S430 in FIG. 4;
s540: listing the magnetic induction intensity of the sensor coil in the direction of a P normal vector according to the law of electromagnetic induction, wherein the normal vector refers to a normal unit vector at the section of the sensor coil, and the normal vector is characterized by a pitch angle and a rotation angle; the magnetic induction electromotive force equation is listed by the principle that the magnetic induction intensity of the exciting coil in P obtained in step S530 and the magnetic induction intensity of the sensor coil in the P normal vector direction obtained in this step are equal, so as to solve to obtain the position and the direction of the target positioning device (sensor coil), which is a further extension of step S440 of fig. 4.
In a preferred embodiment of the invention, the profile described above is a closed profile. For example, the profile may be composed of circular arc segments and straight line segments.
In a preferred embodiment, which will be described in detail below, the shape of the profile is a rounded rectangle. However, it will be appreciated by those skilled in the art that the shape of the profile may also be circular. Other shapes such as a rounded triangle may be used.
Fig. 6 is a schematic coordinate diagram of an excitation coil using a cartesian coordinate system according to an embodiment of the invention. As shown in fig. 9, a cartesian coordinate system is adopted, the center of the excitation coil is located at the origin of coordinates, the axial vector points to the Z direction, the cross-sectional vector points to the X direction and the Y direction, the excitation coil is sliced along the Z direction, the excitation coil with the length H is equivalent to M thin coils (sub-coil slices) with the length H/M, wherein the center position Z of the excitation coil is 0, and the center position of the ith thin coil is 0
Figure BDA0003513155760000091
Fig. 7 is a schematic view of a field coil having a rounded rectangular cross section according to an embodiment of the present invention. Fig. 8 is a schematic view of a cross-section of an exciting coil according to an embodiment of the present invention in a rounded triangle shape. Fig. 9 is a schematic view of a cross-section of an exciting coil according to an embodiment of the present invention in another rounded rectangle shape.
On any thin coil (the central position is [0,0, Z ]), the construction method of the magnetic induction electromotive force equation is explained by taking a rectangle with a rounded section as an example. The thin coils are equivalent to round-corner rectangles, the round-corner rectangles are shown in fig. 7, straight line segments are K1, K2, K3 and K4, arc segments are S1, S2, S3 and S4, the round-corner rectangles are sequentially spliced into a closed shape by S1, K1, S2, K2, S3, K3, S4 and K4, the round-corner rectangles are symmetrical in figure, the arc segments are S1, S2, S3 and S4 and can be combined into a circle, namely the arc segments S1, S2, S3 and S4 are respectively one fourth of the same circle, and the circle is divided into four equal parts. The thin coil used for calculating the magnetic induction may also have other shapes, such as a rounded triangle in fig. 8 or another rounded rectangle in fig. 9. Fig. 7,8 and 9 have in common that the contour can be divided into line segments and arcs, and the magnetic induction of each segment of the contour at a certain point in space can be found by integration, so that the magnetic induction of the contour at a certain point in space is obtained by superposition.
The following describes a method for calculating the magnetic induction intensity of the excitation coil at a certain point in space and a method for solving the three-dimensional spatial position and angle of the sensor coil in the magnetic field, taking a rounded rectangle as an example.
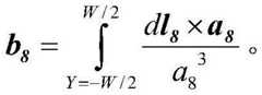
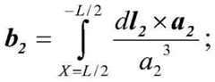
Obviously, the rounded rectangle comprises 4 1/4 circular arcs and 4 straightways, and the length of a side of each straightway of the rounded rectangle is L, W, the radius of a circular arc at four corners is R, (X, Y, Z) are coordinate points on the rounded rectangle, and any point is taken on the eight straightways respectively:
any point coordinate of the circular arc S1 (circle center [ L/2, W/2, Z ], Ψ ═ 0, π/2]) is:
M1=[L/2+R*cos(Ψ),W/2+R*sin(Ψ),Z];
any point coordinate of straight line segment K1([ L/2, (W/2+ R), Z ] to [ -L/2, (W/2+ R), Z ]) is:
M2=[X,(W/2+R),Z];
any point coordinate of arc S2 (circle center [ -L/2, W/2, Z ], Ψ ═ pi/2, pi ]) is:
M3=[-L/2+R*cos(Ψ),W/2+R*sin(Ψ),Z];
any point coordinate from straight line segment K2([ - (L/2+ R), W/2, Z ] to [ - (L/2+ R), -W/2, Z ]) is:
M4=[-(L/2+R),Y,Z];
any point of arc S3 (circle center [ -L/2, -W/2, Z ], Ψ ═ pi, 3 π/2]) is coordinate as:
M5=[-L/2+R*cos(Ψ),-W/2+R*sin(Ψ),Z];
any point coordinate of straight line segment K3([ -L/2, - (W/2+ R), Z ] to [ L/2, - (W/2+ R), Z ]) is:
M6=[X,-(W/2+R),Z];
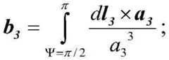
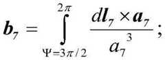
any point of the circular arc S4 (circle center [ L/2, -W/2, Z ], Ψ ═ 3 π/2,2 π) is coordinate:
M7=[L/2+R*cos(Ψ),-W/2+R*sin(Ψ),Z];
any point in the straight line segment K4([ (L/2+ R), -W/2, Z ] to [ (L/2+ R), W/2, Z ]) is:
M8=[(L/2+R),Y,Z];
any current element I (dl) is intercepted on the line segments, and the magnetic induction intensity generated by the current element in the magnetic field is as follows according to the Biot-Savart law:
Figure BDA0003513155760000111
the magnetic induction B generated by the multiple line segments is dB of each line segmentnAnd (4) integrating and then superposing.
Where dli is the differential of M1-M8:
dl1=diff(M1,Ψ);
dl2=diff(M2,X);
dl3=diff(M3,Ψ);
dl4=diff(M4,Y);
dl5=diff(M5,Ψ);
dl6=diff(M6,X);
dl7=diff(M7,Ψ);
dl8=diff(M8,Y)。
it is noted here that diff is a differential function in matlab. For example, diff (M1, Ψ), is differentiated by Ψ for M1. Namely:
Figure BDA0003513155760000112
Figure BDA0003513155760000113
Figure BDA0003513155760000114
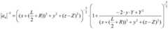
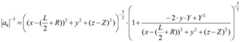
ai is the vector of M1-M8 pointing to a point P (x, y, z) in magnetic field space:
a1=cp-M1;
a2=cp-M2;
a3=cp-M3;
a4=cp-M4;
a5=cp-M5;
a6=cp-M6;
a7=cp-M7;
a8=cp-M8。
because:
Figure BDA0003513155760000121
Figure BDA0003513155760000122
Figure BDA0003513155760000123
Figure BDA0003513155760000124
Figure BDA0003513155760000125
Figure BDA0003513155760000126
Figure BDA0003513155760000127
Figure BDA0003513155760000128
while
Figure BDA0003513155760000129
Therefore:
Figure BDA00035131557600001210
Figure BDA00035131557600001211
Figure BDA0003513155760000131
Figure BDA0003513155760000132
Figure BDA0003513155760000133
Figure BDA0003513155760000134
Figure BDA0003513155760000135
Figure BDA0003513155760000136
above | ai|-3It is difficult to obtain an integral analysis formula, and an approximate calculation process is required. Since (1+ x)mThe Taylor expansion of (1) is:
Figure BDA0003513155760000137
taking only the first item, (1+ x)m≈1+m·x。
In this way,
Figure BDA0003513155760000141
Figure BDA0003513155760000142
Figure BDA0003513155760000143
Figure BDA0003513155760000144
Figure BDA0003513155760000145
Figure BDA0003513155760000146
Figure BDA0003513155760000147
Figure BDA0003513155760000148
to pair
Figure BDA0003513155760000149
Integration was performed to obtain:
b1=int(dl1×a1*a1^(-3),Ψ,0,π/2);
b2=int(dl2×a2*a2^(-3),X,L/2,-L/2);
b3=int(dl3×a3*a3^(-3),Ψ,π/2,π);
b4=int(dl4×a4*a4^(-3),Y,W/2,-W/2);
b5=int(dl5×a5*a5^(-3),Ψ,π,3π/2);
b6=int(dl6×a6*a6^(-3),X,-L/2,L/2);
b7=int(dl7×a7*a7^(-3),Ψ,3π/2,2π);
b8=int(dl8×a8*a8^(-3),Y,-W/2,W/2)。
it should be noted here that int is the integral function in matlab. For example, int (dl1 × a 1a 1^ (-3), psi, 0, π/2) is dl1 × a 1a 1^ (-3) where psi is integrated over the interval [0, π/2], and b 1b 8 is the magnetic induction corresponding to each segment after eight segments are divided into rounded rectangles. Written as a general mathematical formula:
Figure BDA0003513155760000151
when i is 1,2,3,4,5,6,7,8, respectively:
Figure BDA0003513155760000152
Figure BDA0003513155760000153
Figure BDA0003513155760000154
Figure BDA0003513155760000155
Figure BDA0003513155760000156
Figure BDA0003513155760000157
Figure BDA0003513155760000158
Figure BDA0003513155760000159
the magnetic induction of the rounded rectangle is the vector integral of each magnetic induction, and can be expressed by the formula: b1+ B2+ B3+ B4+ B5+ B6+ B6+ B8. A more general expression is:
Figure BDA00035131557600001510
wherein, BjIs the magnetic induction of the jth profile at P, N is the number of segments into which the profile is divided, biIs the integral of the magnetic induction intensity component of the ith segment in the jth profile at any point P in the magnetic field over a corresponding length or angular range.
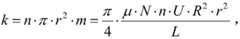
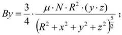
In particular, when the excitation coil is a solenoid coil, since L is 0, W is 0, and Z is 0, the cross-sectional profile of the excitation coil is circular, and therefore, the expression of the magnetic induction of P in the circular profile is expressed in an XYZ coordinate system as follows:
Figure BDA0003513155760000161
Figure BDA0003513155760000162
Figure BDA0003513155760000163
wherein Bx, By and Bz are components of magnetic induction intensity of the profile in the X, Y, Z axial direction, N is the number of turns of the excitation coil, R is the radius of a four-corner arc, μ is magnetic permeability, and (x, y, z) is a three-dimensional coordinate of a point P.
After the magnetic induction intensity of each section profile of the excitation coil at the point P is obtained, the magnetic induction intensity of the whole excitation coil at the point P is obtained by superposing the magnetic induction intensities of the M profiles at the point P in the axial direction, and the expression of the magnetic induction intensity of the excitation coil at the point P is
Figure BDA0003513155760000164
Wherein B is the magnetic induction intensity of the excitation coil at the point P, and BjThe magnetic induction intensity of the jth profile at the point P is shown, and M is the number of sections of the excitation coil which is axially split.
An excitation voltage U is applied to the exciting coil
Figure BDA0003513155760000165
Can obtain the change rate of the exciting current
Figure BDA0003513155760000166
In the formula, L' is the inductance of the exciting coil. Is provided with
Figure BDA0003513155760000167
B '═ B', By ', Bz'), then
Figure BDA0003513155760000168
Mu is magnetic permeability, N is the number of turns of the exciting coil, U is the exciting voltage applied to the exciting coil, and R is fourAnd the coordinate conversion means that the magnetic induction intensity B of the P represented by taking the center point of the exciting coil as an origin is converted into the magnetic induction intensity B' of the P under the same coordinate system as the sensor coil. The coordinate system of the space where the sensor coil is located is not established with the center point of the excitation coil as the origin, so conversion is performed, the space coordinate of the sensor coil and the magnetic induction B of P are located in the same coordinate system, and the converted magnetic induction of P is represented as B'.
The induced electromotive force of the sensor is determined according to the law of electromagnetic induction
Figure BDA0003513155760000169
Where n is the number of sensor coil turns and Φ is the magnetic flux through the sensor coil. Where B is the magnetic induction intensity of the magnetic field generated by the exciting coil at the sensor coil (P), S is the cross-sectional area of the sensor coil, and S is (pi · r)2) Vp ', where r is the sensor coil circumferential radius and vp ' (xv ', yv ', zv ') is the normal unit vector of the sensor coil cross-section, which can be characterized by the pitch angle and the rotation angle.
Figure BDA0003513155760000171
Is provided with
Figure BDA0003513155760000172
The magnetically induced electromotive force of the sensor, e, k · (B '· vp'). The coordinate (three-dimensional coordinate) and attitude (pitch angle and rotation angle) of the sensor coil can be calculated by the simultaneous equation set because B 'includes the three-dimensional spatial position coordinate of point P and vp' is represented by the pitch angle and rotation angle. Preferably, the sensor coordinates and attitude are solved using the LM algorithm.
In the above method, the acquired magnetic induction signals at the object positioning device comprise respective magnetic induction signal components which each magnetic field generator (excitation coil) acts on the object positioning device. Therefore, in the above method, in step S440 of fig. 4, obtaining the position and the orientation of the object locating device based on the acquired magnetic induction signal at the object locating device and the relationship between the magnetic induction generated in the space and the spatial position and orientation by the exciting coil comprises: and listing a magnetic induction electromotive force equation set based on the corresponding magnetic induction intensity signal component of each magnetic field generator acting on the target positioning device and the relation between the magnetic induction intensity generated by the excitation coil of each magnetic field generator in the space and the space position and direction, so as to solve the position and direction of the target positioning device.
Solving the problem of the overdetermined equation set is actually a nonlinear model solving problem, part (more than or equal to 6) or all of the equations can be selected according to a certain screening criterion to be solved simultaneously, a common solving method is an LM (Levenberg-Marquardt) algorithm or an improved type thereof, and the improved type is adopted in the preferred embodiment of the invention, so that convergence can be obtained within 3-8 iterations.
The above equation set is an approximate calculation formula obtained by taylor expanding the calculation formula according to the biot-savart law and then taking the first harmonic component, so that the position and direction obtained by solving the over-determined equation are approximate values. In order to improve the accuracy of the calculation result, the target positioning device (target object) needs to be placed within a certain distance from the magnetic field generator, and the obtained data is accurate. When the target positioning device is too close to the magnetic field generator, a response signal induced by a coil of the positioning sensor through an excitation signal of the magnetic field generator is very strong, the response signal is substituted into an equation, and the calculated position and direction errors are large and inaccurate; when the target positioning device is too far away from the magnetic field generator, a response signal induced by a coil of the positioning sensor through an excitation signal of the magnetic field generator is very weak, the response signal is substituted into an equation, and the calculated position and direction errors are large and inaccurate. Therefore, in the actual calculation process, equations corresponding to signal components that are too close to each other or too far from each other need to be removed, or equations corresponding to signal components that are too close to each other or too far from each other can be removed. The response signal components of each equation in the listed equation set are in a reasonable range, so that the calculation accuracy is improved. The method comprises the following specific steps:
a301, dividing the signal components into a plurality of groups, such as N groups, and calculating the sum of the signal modulus of each group;
and A302, finding a signal component group with the maximum modulus sum value and/or the minimum modulus sum value, deleting the equation corresponding to the signal component group with the maximum modulus sum value and/or the minimum modulus sum value, and forming an optimized overdetermined equation group by the rest equations to participate in final solution. If the number of the unknowns is 6 (except for the three-dimensional coordinate, the pitch angle and the rotation angle, one unknowns is a gain coefficient), after the part of equations are removed, the number of the remaining equations is required to be ensured to be greater than or equal to 6, usually the number of the equations is 6-12, and as a preferred scheme, the number of the equations is 6, 9 or 12. Comparing the signal modulus sums of all groups to obtain a signal component group with the maximum modulus sum value and/or the minimum modulus sum value, and removing an equation corresponding to the signal component group; and forming an optimized overdetermined equation set by the rest equations, and solving the position and the direction of the target positioning device.
As a preferred scheme, a method for screening out an optimized equation combination from 12 equations is provided, and the method specifically comprises the following steps:
a3001, respectively counting the sum of signal moduli acquired by thetarget positioning device 103 for the 102A, 102B, 102C, and 102D magnetic field generator sets, and the calculation formula is:
Figure BDA0003513155760000181
Figure BDA0003513155760000182
Figure BDA0003513155760000183
Figure BDA0003513155760000184
wherein, VoliIs the signal quantity generated by the i-th magnetic field generator to generate the magnetic field acting on the target, i is the number or index of each signal component, VolA、VolB、VolCAnd VolDRespectively, the modulus of three adjacent semaphores.
A3002, comparison VolA、VolB、VolCAnd VolDThe modulus sum with the maximum value is screened out, 3 semaphore corresponding to the modulus sum with the maximum value is found out, the equations corresponding to the 3 semaphore are removed from 12 equation sets, and the remaining 9 equations are combined to form an optimized over-determined equation set to participate in final solution.
The above flow can be summarized as: dividing the signal components into a plurality of groups equally, and calculating the sum of signal modulus of each group; comparing the signal modulus sums of all groups to obtain a signal component group with the maximum modulus sum value and/or the minimum modulus sum value, and removing an equation corresponding to the signal component group; and forming an optimized overdetermined equation set by the rest equations, and solving the position and the direction of the target positioning device.
FIG. 10 is a flowchart of an iterative solution of target position and orientation according to an embodiment of the invention. As shown in FIG. 10, object position andorientation solution flow 1000 begins atstep 1001 where the signal components generated by the various magnetic field generators acting on the object-locating device are input. Next, instep 1002, it is determined whether the result is not solved for a plurality of consecutive times under the current input condition. If the number of times exceeds the predetermined value (e.g., 3 times), i.e., the "yes" branch ofstep 1002, the current round of solution is stopped in step 1004, and the failure in solution is output. If the number of times is greater than the preset value, that is, the no branch ofstep 1002, the process proceeds to step 1003, and it is determined whether the object corresponding to the current input is the first solution. If the solution is the first solution, that is, the yes branch ofstep 1003 is performed,step 1005 is performed, and an initial bit value is randomly generated as an initial iteration value; if not, i.e. the "no" branch ofstep 1003, then step 1006 is entered, and the result of the previous solution is used as the initial value for the iterative solution. After the initial values are determined, the object coordinates and orientation are iteratively solved,step 1007, the usual method being the LM (Levenberg-Marquardt) algorithm or a modification thereof. Atstep 1008 it is determined whether the iteration converged. If convergence is reached, i.e. the "yes" branch fromstep 1008, successful solution is marked instep 1009, and then the solution result is output instep 1010; if the convergence fails, i.e., the "no" branch ofstep 1008, the process returns to step 1002 to determine whether the number of failures exceeds the predetermined number.
That is, the position and orientation of the object-locating device may be iteratively solved in accordance with the Levenberg-Marquardt (LM) algorithm or a modified version thereof.
Direct magnetic dipole equivalent
In addition, an algorithm is attached below that directly equates the magnetic field generator or the excitation coil to a magnetic dipole. This algorithm can be used in the case where the excitation coil cross section is circular in shape.
Because the distance between the magnetic field generator and the target object is far larger than the size of the magnetic field generator, the magnetic field generator and the target object can be directly regarded as magnetic dipoles. According to the Biot-Savart Law, the localization principle is detailed as follows:
according to the position and the placing angle of themagnetic field generator 302, the normalized magnetic field generator direction vector can be obtained
Figure BDA0003513155760000193
Dir(x,i)=cos(αi)*cos(βi)
Dir(y,i)=cos(αi)*sin(βi)
Dir(z,i)=sin(αi)
Figure BDA0003513155760000191
Wherein (x)i,yi,zi) Is a three-dimensional space position (alpha)ii) The pitch angle (polar angle) and the rotation angle (azimuth angle) of the magnetic field generator, where i denotes the number or index of the magnetic field generator, e.g. when there are N magnetic field generators, i is 1,2, …, N ≧ 6.
Target-to-field generator distance:
Figure BDA0003513155760000192
the ith magnetic field generator generates a signal volume Vol generated by the magnetic field acting on the targetiCorresponding to the acquired magnetic induction signals:
Figure BDA0003513155760000201
Figure BDA0003513155760000202
Figure BDA0003513155760000203
Figure BDA0003513155760000204
Voli=γ*(B(x,i)*cos(α)*cos(β)+B(y,i)*cos(α)*sin(β)+B(z,i)*sin(α))
wherein, (x, y, z) is the three-dimensional spatial position of the target object, (α, β) is the pitch angle (polar angle) and the rotation angle (azimuth angle) of the positioning sensor coil, γ is the gain coefficient, and P (x, y, z, α, β, γ) is 6 unknown quantities to be solved. Taking 12 magnetic field generators as an example, 12 equations containing 6 unknowns can be obtained to form an overdetermined system of equations in parallel.
Figure BDA0003513155760000205
The magnetic field target positioning method is suitable for all fields and application scenes in which target positioning is needed, for example, the method can be used in medical application scenes and also can be used in application scenes such as determining the position and the direction of the head after wearing VR glasses and AR helmets.
Computer program or computer program product and computer-readable medium
Further, one of ordinary skill in the art will recognize that the methods of the present disclosure may be implemented as computer programs. The methods of the above embodiments are performed by one or more programs, as described above in connection with the figures, including instructions to cause a computer or processor to perform the algorithms described in connection with the figures. These programs may be stored and provided to a computer or processor using various types of non-transitory computer readable media. Non-transitory computer readable media include various types of tangible storage media. Examples of the non-transitory computer readable medium include magnetic recording media such as floppy disks, magnetic tapes, and hard disk drives, magneto-optical recording media such as magneto-optical disks, CD-ROMs (compact disc read only memories), CD-R, CD-R/W, and semiconductor memories such as ROMs, PROMs (programmable ROMs), EPROMs (erasable PROMs), flash ROMs, and RAMs (random access memories). Further, these programs can be provided to the computer by using various types of transitory computer-readable media. Examples of the transitory computer readable medium include an electric signal, an optical signal, and an electromagnetic wave. The transitory computer readable medium can be used to provide the program to the computer through a wired communication path such as an electric wire and an optical fiber or a wireless communication path.
For example, according to one embodiment of the present disclosure, a computer-readable medium may be provided, having stored thereon instructions executable by a processor, which when executed by the processor, cause the processor to perform the magnetic field target location calculation method as described previously.
Therefore, according to the present disclosure, a computer program or a computer program product may also be proposed, which, when being executed, may carry out the magnetic field object localization calculation method as described above.
Furthermore, the invention relates to a computing device or a computing system comprising a processor and a memory, in which a computer program is stored which, when being executed by the processor, is adapted to carry out the magnetic field object localization calculation method as described above.
The invention has the advantages of
In summary, in addition to the effects already described before, the advantageous effects of the present invention can be summarized as follows:
1. the invention discloses a magnetic field target position calculating method, which is characterized in that after a magnetic field target position tracking and positioning system is constructed, a magnetic field generator and a positioning sensor are not equivalent to a magnetic dipole, an excitation coil of the magnetic field generator is divided into excitation coil sub-blocks, each excitation coil sub-block is used as a current element, the magnetic induction intensity of any point P in space of each excitation coil sub-block is calculated, then the magnetic induction intensity of any point P in space of the excitation coil sub-blocks is superposed, and the relationship between the magnetic induction intensity generated by the whole excitation coil in space and the space position, the pitch angle and the rotation angle is established. This has the advantage that in a magnetic positioning system, the shape of the cross section of the excitation coil is more expanded, and the excitation coil is not necessarily circular, but also can be a rounded rectangle, or can be a rounded triangle, and the combination of line segments and arcs, thereby providing more possibilities for manufacturing and installing the excitation coil.
2. Even if the distance between the excitation coils is very close, the excitation coils cannot be equivalent to magnetic dipoles, the signal component generated when the excitation coils act on the sensor coil can still be accurately calculated by adopting the method of the invention, and thus, the accurate positioning of the target object (the sensor coil) is realized.
3. After an overdetermined equation set is formed by simultaneously adopting a plurality of signal components, in order to improve the calculation efficiency, a method for screening out an optimized equation combination from a plurality of equations is also provided, so that the number of equations in the equation set is reduced, and the calculation efficiency is improved.
The embodiments of the present invention are not limited to the above-described examples, and various changes and modifications in form and detail may be made by those skilled in the art without departing from the spirit and scope of the present invention, and these are considered to fall within the scope of the present invention.

Claims (17)

1. A method for magnetic field object location calculation, comprising:
dividing an excitation coil for generating a magnetic field into excitation coil sub-blocks;
taking each excitation coil subblock as a current element, and calculating the magnetic induction intensity of each excitation coil subblock at any point P in space;
superposing the magnetic induction intensity of each excitation coil subblock at any point P in space to obtain the relation between the magnetic induction intensity generated by the whole excitation coil in space and the space position and direction; and
and obtaining the position and the direction of the target positioning device based on the acquired magnetic induction intensity signals at the target positioning device and the relation between the magnetic induction intensity generated by the excitation coil in the space and the space position and direction.
2. The method according to claim 1, wherein the step of calculating the magnetic induction intensity of each excitation coil sub-block at any point P in space by using each excitation coil sub-block as a current element further comprises:
and obtaining the magnetic induction intensity of the excitation coil subblocks at any point P in the space based on the Biot-Saval law according to the position and the placing direction of each excitation coil subblock serving as a current element and the current intensity of the excitation coil subblocks.
3. The method of claim 1, wherein:
the dividing of the excitation coil for generating the magnetic field into excitation coil sub-blocks further comprises: dividing the excitation coil into M sections along the axial direction to obtain M sub-coil pieces, equivalently dividing the contour of the sub-coil pieces into sections,
the said each excitation coil subblock as the current element, calculate the magnetic induction of each excitation coil subblock at any point P in the space, further include: the magnetic induction intensity component of each section of the contour at any point P in the magnetic field is calculated by adopting the Biot-Saval law,
the magnetic induction intensity of each excitation coil subblock at any point P in the space is superposed to obtain the relationship between the magnetic induction intensity generated by the whole excitation coil in the space and the space position and direction, and the method further comprises the following steps: superposing the magnetic induction intensity components of the sections of the profile in P to obtain the magnetic induction intensity of the profile in P; the magnetic induction intensity of the M profiles in the P direction is superposed in the axial direction to obtain the magnetic induction intensity of the magnet exciting coil in the P direction, thereby obtaining the relation between the magnetic induction intensity of the whole magnet exciting coil in the space and the space position and direction,
the obtaining of the position and the direction of the target positioning device based on the relationship between the magnetic induction intensity generated in the space by the collected magnetic induction intensity signal at the target positioning device and the magnetic induction intensity generated in the space by the excitation coil and the space position and the direction, further comprises: listing the magnetic induction intensity of a sensor coil of the target positioning device in the direction of a normal vector P according to the law of electromagnetic induction, wherein the normal vector refers to a normal unit vector on the section of the sensor coil; and listing a magnetic induction electromotive force equation according to the principle that the magnetic induction intensity of the excitation coil on the P direction vector is equal to the magnetic induction intensity of the sensor coil on the P normal vector, so that the position and the direction of the target positioning device are obtained through solving.
4. The method of claim 3, wherein the profile is a closed profile.
5. The method of claim 4, wherein the profile is comprised of circular arc segments and straight line segments.
6. The method of claim 5, wherein the profile is in the shape of a rounded rectangle.
7. The method of claim 4, wherein the profile is circular in shape.
8. The method of claim 1, wherein the target-locating device is located on a medical device that is medically interposed within a living being.
9. The method of claim 1, wherein the position and orientation of the target positioning device comprises three-dimensional coordinates, a pitch angle, and a rotation angle of the target positioning device.
10. The method of claim 1, wherein:
the magnetic field is generated using a plurality of magnetic field generators secured to a fixture,
each magnetic field generator is arranged at a different position or in a different orientation to generate a corresponding magnetic field,
each magnetic field generator includes the excitation coil.
11. The method of claim 10, wherein the plurality of magnetic field generators is at least 6 magnetic field generators.
12. The method of claim 10, wherein the acquired magnetic induction signals at the object-locating device comprise respective magnetic induction signal components that each magnetic field generator acts on the object-locating device.
13. The method of claim 12, wherein the deriving the position and orientation of the object-locating device based on the acquired magnetic induction signals at the object-locating device and the magnetic induction in space generated by the exciter coil with respect to the position and orientation in space comprises: and listing a magnetic induction electromotive force equation set based on the corresponding magnetic induction intensity signal component of each magnetic field generator acting on the target positioning device and the relation between the magnetic induction intensity generated by the excitation coil of each magnetic field generator in the space and the space position and direction, so as to solve the position and direction of the target positioning device.
14. The method of claim 13, wherein the step of solving the position and orientation of the object-locating device by using a magnetic induction emf equation based on the magnetic induction signal component of each magnetic field generator acting on the object-locating device and the magnetic induction generated by the field coil of each magnetic field generator in space with respect to the position and orientation in space further comprises:
calculating a modulus value of the signal component;
obtaining a signal component with the maximum and/or minimum modulus value, and removing an equation corresponding to the signal component;
and forming an optimized overdetermined equation set by the rest equations, and solving the position and the direction of the target positioning device.
15. The method of claim 14, wherein the step of solving the position and orientation of the object-locating device by using a magnetic induction emf equation based on the magnetic induction signal component of each magnetic field generator acting on the object-locating device and the magnetic induction generated by the field coil of each magnetic field generator in space with respect to the position and orientation in space further comprises:
dividing the signal components into a plurality of groups equally, and calculating the sum of signal modulus of each group;
comparing the signal modulus sums of all groups to obtain a signal component group with the maximum modulus sum value and/or the minimum modulus sum value, and removing an equation corresponding to the signal component group;
and forming an optimized overdetermined equation set by the rest equations, and solving the position and the direction of the target positioning device.
16. The method of claim 13, wherein the step of solving the position and orientation of the object-locating device by using a magnetic induction emf equation based on the magnetic induction signal component of each magnetic field generator acting on the object-locating device and the magnetic induction generated by the field coil of each magnetic field generator in space with respect to the position and orientation in space further comprises:
iteratively solving the position and orientation of the object-locating device according to the Levenberg-Marquardt (LM) algorithm or a modified version thereof.
17. A computer readable medium having stored thereon instructions executable by a processor, the instructions, when executed by the processor, causing the processor to perform a magnetic field object localization calculation method as claimed in claim 1.
CN202210158311.5A2022-02-212022-02-21Magnetic field target positioning calculation methodActiveCN114577100B (en)

Priority Applications (1)

Application NumberPriority DateFiling DateTitle
CN202210158311.5ACN114577100B (en)2022-02-212022-02-21Magnetic field target positioning calculation method

Applications Claiming Priority (1)

Application NumberPriority DateFiling DateTitle
CN202210158311.5ACN114577100B (en)2022-02-212022-02-21Magnetic field target positioning calculation method

Publications (2)

Publication NumberPublication Date
CN114577100Atrue CN114577100A (en)2022-06-03
CN114577100B CN114577100B (en)2023-11-21

Family

ID=81770675

Family Applications (1)

Application NumberTitlePriority DateFiling Date
CN202210158311.5AActiveCN114577100B (en)2022-02-212022-02-21Magnetic field target positioning calculation method

Country Status (1)

CountryLink
CN (1)CN114577100B (en)

Cited By (2)

* Cited by examiner, † Cited by third party
Publication numberPriority datePublication dateAssigneeTitle
CN115414120A (en)*2022-11-072022-12-02中南大学Endoscope navigation system
CN119818186A (en)*2025-03-172025-04-15浙江大学Magnetic positioning method, system, equipment and medium of magnetic soft robot

Citations (6)

* Cited by examiner, † Cited by third party
Publication numberPriority datePublication dateAssigneeTitle
JPH04152934A (en)*1990-10-171992-05-26Hitachi LtdMethod for estimating magnetic field generation source in living body magnetic measurement
US5913820A (en)*1992-08-141999-06-22British Telecommunications Public Limited CompanyPosition location system
CN101053517A (en)*2007-05-182007-10-17深圳先进技术研究院Method and system for tracking internal mini device
CN103575271A (en)*2013-10-292014-02-12复旦大学Electromagnetic tracking system and method based on electric control rotary magnetic field
CN106983487A (en)*2017-03-142017-07-28宜宾学院The alignment system and its localization method of Wireless capsule endoscope three-dimensional position and 3 d pose
CN111839431A (en)*2020-07-242020-10-30福建世新机器人科技有限公司Wireless capsule robot system and control method

Patent Citations (6)

* Cited by examiner, † Cited by third party
Publication numberPriority datePublication dateAssigneeTitle
JPH04152934A (en)*1990-10-171992-05-26Hitachi LtdMethod for estimating magnetic field generation source in living body magnetic measurement
US5913820A (en)*1992-08-141999-06-22British Telecommunications Public Limited CompanyPosition location system
CN101053517A (en)*2007-05-182007-10-17深圳先进技术研究院Method and system for tracking internal mini device
CN103575271A (en)*2013-10-292014-02-12复旦大学Electromagnetic tracking system and method based on electric control rotary magnetic field
CN106983487A (en)*2017-03-142017-07-28宜宾学院The alignment system and its localization method of Wireless capsule endoscope three-dimensional position and 3 d pose
CN111839431A (en)*2020-07-242020-10-30福建世新机器人科技有限公司Wireless capsule robot system and control method

Non-Patent Citations (3)

* Cited by examiner, † Cited by third party
Title
刘会森等: "电磁感应式位置传感器研究", 《传感器与微系统》*
刘会森等: "电磁感应式位置传感器研究", 《传感器与微系统》, no. 04, 20 April 2017 (2017-04-20), pages 51 - 56*
杜胜雪等: "电磁流量计矩形与鞍状线圈感应磁场的数值仿真", 《计量学报》, vol. 37, no. 1, pages 38 - 42*

Cited By (2)

* Cited by examiner, † Cited by third party
Publication numberPriority datePublication dateAssigneeTitle
CN115414120A (en)*2022-11-072022-12-02中南大学Endoscope navigation system
CN119818186A (en)*2025-03-172025-04-15浙江大学Magnetic positioning method, system, equipment and medium of magnetic soft robot

Also Published As

Publication numberPublication date
CN114577100B (en)2023-11-21

Similar Documents

PublicationPublication DateTitle
CN114543645B (en)Magnetic field target positioning system and method
US11819285B2 (en)Magnetic interference detection systems and methods
CA2142338C (en)Position location system
US5594849A (en)Biomedical magnetism imaging apparatus and method
CN102210611B (en)Distortion-immune position tracking using redundant measurements
CN114577100B (en)Magnetic field target positioning calculation method
US11672604B2 (en)System and method for generating a map for electromagnetic navigation
US9265442B2 (en)Method of calibrating combined field location and MRI tracking
US20100305429A1 (en)System and method for using tissue contact information in an automated mapping of cardiac chambers employing magneticly shaped fields
JPS5838846A (en) High frequency magnetic field generation magnet system
WO1997019362A1 (en)Mri-system and catheter for interventional procedures
US20200330165A1 (en)System and method for identifying a location and/or an orientation of an electromagnetic sensor based on a map
US20150176961A1 (en)Adaptive fluoroscope location for the application of field compensation
CN103732137A (en)Coil device and magnetic resonance imaging equipment
CN114732521B (en)Tracking and positioning precision evaluation system of magnetic positioning device
JP5566085B2 (en) Gradient magnetic field coil for magnetic resonance imaging apparatus and magnetic resonance imaging apparatus using the same
Ascasíbar et al.Measurements of magnetic field fluctuations in TJ-II plasmas with new in-vessel helical arrays of magnetic coils
CN109890312B (en)System and method for identifying position and/or orientation of electromagnetic sensor based on map
CN116687413A (en)Coil of magnetoencephalography based on SERF atomic magnetometer and registration quantitative analysis method
US12251174B2 (en)Systems and methods for magnetic interference correction
EP4335358A1 (en)Registering an anatomical model to a reference anatomical model
JP7523809B2 (en) MEASURING APPARATUS, DETECTION APPARATUS, AND METHOD FOR OPERATION OF MEASURING APPARATUS - Patent application
Famoriji et al.A 3-Dimmensional Magnetometer-Aided Low-Field Electromagnetic Tracking System for Clinical Surgery Applications
Liu et al.A Multimagnetic Source Tracking System Based on Light Spectrum Optimizer for Intraoperative Puncture Navigation
US20190183379A1 (en)Medical device location and tracking system

Legal Events

DateCodeTitleDescription
PB01Publication
PB01Publication
SE01Entry into force of request for substantive examination
SE01Entry into force of request for substantive examination
GR01Patent grant
GR01Patent grant

[8]ページ先頭

©2009-2025 Movatter.jp