




技术领域technical field
本发明属于图像优化处理领域,涉及一种基于引导滤波的相机特性的低照度图像增强方法及系统。The invention belongs to the field of image optimization processing, and relates to a low-illumination image enhancement method and system based on camera characteristics of guided filtering.
背景技术Background technique
随着数字图像技术的快速发展,各类成像光学系统应用越来越广泛,如我国已经建成了世界最大的视频监控网络“中国天网”。然而,在傍晚、夜间或室内不良照明等环境下,成像设备所获取的图像通常存在亮度和对比度过低,图像细节严重丢失的突出问题,严重影响了目标检测、识别等任务的效能,如何高效快速地对低照度图像进行有效增强,是图像处理领域亟待解决的重要问题。低照度图像增强方法主要包括三类:基于直方图的方法、基于Retinex模型的方法和基于深度学习的方法。基于直方图的增强方法有直方图均衡化、Gamma校正等,该类方法着眼于在一定的直方图分布假定条件下拉升图像的动态范围,从而提高其亮度对比度,但由于该方法没有充分考虑图像形成的物理过程及复杂环境下的光照非均匀分布,容易造成过增强或欠增强,图像的视觉效果不够自然。基于Retinex模型的方法包括单尺度Retinex(SSR)、多尺度Retinex(MSR)和带色彩恢复的MSRCR等,该类方法的增强结果容易出现光晕伪影和颜色失真。近年来,基于深度学习的低照度图像增强方法受到研究者的重视,但该类方法往往需要采用很深的深度学习卷积网络,存在运算量大、难以实时实现的突出问题。With the rapid development of digital image technology, various imaging optical systems are more and more widely used. For example, my country has built the world's largest video surveillance network "China Skynet". However, in the evening, night, or poor indoor lighting, the images obtained by imaging equipment usually have outstanding problems such as low brightness and contrast, and serious loss of image details, which seriously affects the performance of tasks such as target detection and recognition. How to efficiently Fast and effective enhancement of low-light images is an important problem to be solved in the field of image processing. Low-light image enhancement methods mainly include three categories: histogram-based methods, Retinex model-based methods, and deep learning-based methods. Histogram-based enhancement methods include histogram equalization, Gamma correction, etc. These methods focus on increasing the dynamic range of the image under certain histogram distribution assumptions, thereby improving its brightness and contrast. However, this method does not fully consider The physical process of image formation and the non-uniform distribution of illumination in a complex environment can easily cause over-enhancement or under-enhancement, and the visual effect of the image is not natural enough. Methods based on the Retinex model include single-scale Retinex (SSR), multi-scale Retinex (MSR), and MSRCR with color restoration, etc. The enhancement results of such methods are prone to halo artifacts and color distortion. In recent years, the low-light image enhancement method based on deep learning has attracted the attention of researchers, but this type of method often needs to use a deep deep learning convolutional network, which has outstanding problems of large computational load and difficult to realize in real time.
专利CN 111861899A公布了一种基于路径优化的低照度图像增强方法,该方法首先将原始彩色图像从RGB空间转化到HSV空间,获取图像的亮度分量V,然后对亮度分量V使用路径优化的MR算法处理,再将处理后的HSV空间转化到RGB空间,合成新的图像。该方法对亮度分量的处理过程中需要对多条路径进行不断迭代,算法实时性差;同时,由于对亮度分量的处理过程,没有考虑相机在不同光照条件下的响应特性,其增强效果可能会淹没图像的部分细节。《A new low-light Image enhancement algorithm using camera responsemodel》提出了一种基于相机响应模型的低照度图像增强方法,该方法首先使用采用优化方法基于全局图像信息进行照度估计,然后基于相机响应模型对原始低照度图像在RGB空间分别对R、G、B三通道进行增强。该方法利用了相机的非线性响应特性,能够很好地改善图像的亮度分布,但存在对光照图像的估计过程计算量较大、实时性差的问题,且对R、G、B三通道分别进行增强可能造成色彩失真。Patent CN 111861899A discloses a low-illumination image enhancement method based on path optimization. The method first converts the original color image from RGB space to HSV space, obtains the brightness component V of the image, and then uses the path-optimized MR algorithm for the brightness component V Process, and then convert the processed HSV space to RGB space to synthesize a new image. In the process of processing the brightness component, this method needs to iterate on multiple paths continuously, and the algorithm has poor real-time performance. At the same time, due to the processing process of the brightness component, the response characteristics of the camera under different lighting conditions are not considered, and the enhancement effect may be overwhelmed. Part of the image details. "A new low-light Image enhancement algorithm using camera responsemodel" proposes a low-light image enhancement method based on the camera response model. The method first uses an optimization method to estimate the brightness based on the global image information, and then uses the camera response model to estimate the original image. The R, G, and B channels are respectively enhanced in the low-light image in the RGB space. This method utilizes the nonlinear response characteristics of the camera, which can improve the brightness distribution of the image, but there are problems of large amount of calculation and poor real-time performance in the estimation process of the illumination image. Enhancement may cause color distortion.
发明内容SUMMARY OF THE INVENTION
本发明所要解决的技术问题在于如何解决传统技术中实时性差、亮度和对比度过低、图像细节严重丢失的技术问题。The technical problem to be solved by the present invention is how to solve the technical problems of poor real-time performance, too low brightness and contrast, and serious loss of image details in the traditional technology.
本发明是采用以下技术方案解决上述技术问题的:一种引导滤波的相机特性的低照度图像增强方法包括:The present invention adopts the following technical solutions to solve the above-mentioned technical problems: a low-illumination image enhancement method for guided filtering of camera characteristics includes:
以图像传感器采集获取原始低照度图像,据以处理为RGB空间数据;The original low-light image is acquired by the image sensor, and processed into RGB spatial data;
转换所述RGB空间数据为HSV空间数据,据以获取调色分量H、亮度分量V及饱和度分量S;Converting the RGB spatial data into HSV spatial data, thereby obtaining the color component H, the luminance component V and the saturation component S;
处理所述亮度分量V得光照图像数据,利用引导滤波计算所述光照图像数据,以得到光照图像计算数据;Process the illumination image data obtained by the luminance component V, and calculate the illumination image data by using guided filtering to obtain illumination image calculation data;
获取相机响应模型,利用所述相机响应模型根据所述光照图像计算数据增强处理所述亮度分量V,以得到图像增强分量;Obtaining a camera response model, and using the camera response model to calculate data enhancement processing of the luminance component V according to the illumination image to obtain an image enhancement component;
根据所述调色分量H、所述图像增强分量及所述饱和度分量S获取亮度增强HSV空间数据,据以处理得增强结果图像。The luminance enhancement HSV spatial data is obtained according to the hue component H, the image enhancement component and the saturation component S, and the enhancement result image is processed accordingly.
在HSV颜色空间,利用相机响应模型,根据估计的光照图像对亮度分量V进行增强,而保持色调分量H和饱和度分量S不变,既可以获取良好亮度增强效果,又能有效降低增强图像的色彩失真。In the HSV color space, the camera response model is used to enhance the luminance component V according to the estimated illumination image, while keeping the hue component H and saturation component S unchanged, which can not only obtain a good brightness enhancement effect, but also effectively reduce the intensity of the enhanced image. Color distortion.
在更具体的技术方案中,所述转换所述RGB空间数据为HSV空间数据,据以获取调色分量H、亮度分量V及饱和度分量S的步骤,包括:In a more specific technical solution, the steps of converting the RGB spatial data into HSV spatial data, and obtaining the hue component H, the luminance component V and the saturation component S, include:
处理所述RGB空间数据,据以得到低照度转换参数;processing the RGB space data to obtain low-illuminance conversion parameters;
以下述逻辑将所述原始低照度图像I从RGB空间转化到HSV空间:The original low-light image I is converted from RGB space to HSV space with the following logic:
其中,B为图像I的蓝色通道值,G为图像I的绿色通道值,R为图像I的红色通道值,max(R,G,B)为R、G、B三个值中的最大值,min(R,G,B)为R、G、B三个值中的最小值。Among them, B is the blue channel value of image I, G is the green channel value of image I, R is the red channel value of image I, and max(R, G, B) is the largest of the three values of R, G, and B. value, min(R, G, B) is the minimum value among the three values of R, G, and B.
本发明首先将图像从色彩空间RGB转换到色彩空间HSV,对其中的亮度分量V利用具有高度并行性的引导滤波进行快速光照图像估计,有效提高算法的实时性。The invention firstly converts the image from color space RGB to color space HSV, and uses highly parallel guided filtering to perform fast illumination image estimation for the luminance component V therein, thereby effectively improving the real-time performance of the algorithm.
在更具体的技术方案中,所述处理所述RGB空间数据,据以得到低照度转换参数的步骤,包括:In a more specific technical solution, the step of processing the RGB spatial data to obtain low-illuminance conversion parameters includes:
以下述逻辑将处理所述RGB空间数据,据以得到所述低照度转换参数:The RGB spatial data will be processed with the following logic to obtain the low-light conversion parameters:
其中,arccos为反余弦函数,B为图像I的蓝色通道值,G为图像I的绿色通道值,R为图像I的红色通道值。Among them, arccos is the inverse cosine function, B is the blue channel value of image I, G is the green channel value of image I, and R is the red channel value of image I.
在更具体的技术方案中,所述处理所述亮度分量V得光照图像数据,利用引导滤波计算所述光照图像数据,以得到光照图像计算数据的步骤,包括:In a more specific technical solution, the step of processing the illumination image data obtained by the luminance component V and calculating the illumination image data by using guided filtering to obtain illumination image calculation data includes:
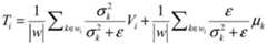
利用引导滤波,以下述逻辑对获取到的所述亮度分量V进行快速光照图像估计,获得所述光照图像计算数据T:Using guided filtering, perform fast illumination image estimation on the acquired luminance component V with the following logic, and obtain the illumination image calculation data T:
其中,i为像素点的坐标位置;μk和分别表示图像V在局部窗口w中的均值和方差;|w|是窗口内的像素个数;ε为常量。Among them, i is the coordinate position of the pixel point; μk and represent the mean and variance of the image V in the local window w, respectively; |w| is the number of pixels in the window; ε is a constant.
本发明利用引导滤波和相机响应模型可以关注到图像重要的细节,获取良好亮度增强效果,又能有效降低增强图像的色彩失真。The invention can pay attention to the important details of the image by using the guided filtering and the camera response model, obtain a good brightness enhancement effect, and can effectively reduce the color distortion of the enhanced image.
在更具体的技术方案中,所述获取相机响应模型,利用所述相机响应模型根据所述光照图像计算数据增强处理所述亮度分量V,以得到图像增强分量的步骤,包括:In a more specific technical solution, the step of obtaining a camera response model and using the camera response model to calculate data enhancement processing of the luminance component V according to the illumination image to obtain an image enhancement component includes:
处理获取所述相机响应模型的模型参数K;Process to obtain the model parameter K of the camera response model;
利用所述相机响应模型和所述光照图像计算数据T对所述亮度分量V进行增强,得到所述图像增强分量V′:The luminance component V is enhanced by using the camera response model and the illumination image calculation data T to obtain the image enhancement component V′:
其中,a为常值,一般取为-0.3293;b为常值,一般取为1.1258。Among them, a is a constant value, generally taken as -0.3293; b is a constant value, generally taken as 1.1258.
在更具体的技术方案中,所述处理获取所述相机响应模型的模型参数K的步骤,包括:In a more specific technical solution, the process of acquiring the model parameter K of the camera response model includes:
根据下述逻辑处理得所述相机响应模型的模型参数:The model parameters of the camera response model are processed according to the following logic:
K=min(1/T,K0)K=min(1/T,K0 )
其中,K0为常数,一般取值为6~8。Among them, K0 is a constant, generally taking a value of 6 to 8.
在更具体的技术方案中,所述根据所述调色分量H、所述图像增强分量及所述饱和度分量S获取亮度增强HSV空间数据,据以处理得增强结果图像的步骤,包括:In a more specific technical solution, the step of obtaining the luminance-enhanced HSV spatial data according to the toning component H, the image enhancement component and the saturation component S, and processing the enhanced result image accordingly, includes:
处理所述调色分量H、所述图像增强分量及所述饱和度分量S,据以得到转换参数;processing the hue component H, the image enhancement component and the saturation component S to obtain conversion parameters;
根据所述转换参数,利用预设逻辑将所述调色分量H、所述图像增强分量及所述饱和度分量S转换到RGB色彩空间,据以得到到所述增强结果图像。According to the conversion parameters, the hue component H, the image enhancement component and the saturation component S are converted into the RGB color space using preset logic, so as to obtain the enhancement result image.
本发明将增强后的V分量和H分量、S分量转换到色彩空间RGB,本发明利用相机响应模型,根据估计的光照图像对亮度分量V进行增强,而保持色调分量H和饱和度分量S不变,有效降低增强图像的色彩失真。The present invention converts the enhanced V component, H component, and S component to color space RGB. The present invention utilizes the camera response model to enhance the luminance component V according to the estimated illumination image, while keeping the hue component H and saturation component S unchanged. It can effectively reduce the color distortion of the enhanced image.
在更具体的技术方案中,所述处理所述调色分量H、所述图像增强分量及所述饱和度分量S,据以得到转换参数的步骤,包括:In a more specific technical solution, the step of processing the hue component H, the image enhancement component and the saturation component S to obtain the conversion parameter, includes:
以下述逻辑处理所述调色分量H、所述图像增强分量及所述饱和度分量S,据以得到所述转换参数:The hue component H, the image enhancement component and the saturation component S are processed by the following logic to obtain the conversion parameter:
p=V′(1-S)p=V'(1-S)
t=V′[1-(1-f)S]t=V′[1-(1-f)S]
其中mod为取余。where mod is the remainder.
在更具体的技术方案中,所述根据所述转换参数,利用预设逻辑将所述调色分量H、所述图像增强分量及所述饱和度分量S转换到RGB色彩空间,据以得到到所述增强结果图像的步骤,包括:In a more specific technical solution, according to the conversion parameters, the hue component H, the image enhancement component and the saturation component S are converted into the RGB color space by using a preset logic, so as to obtain the The step of enhancing the resulting image includes:
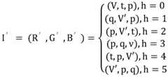
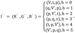
根据下述逻辑将所述调色分量H、所述图像增强分量及所述饱和度分量S转换到RGB色彩空间,据以得到到所述增强结果图像I′:The hue component H, the image enhancement component and the saturation component S are converted to RGB color space according to the following logic, so as to obtain the enhanced result image I':
在更具体的技术方案中,一种基于引导滤波和相机特性的低照度图像增强系统,所述系统包括:In a more specific technical solution, a low-light image enhancement system based on guided filtering and camera characteristics, the system includes:
RGB处理模块,用于以图像传感器采集获取原始低照度图像,据以处理为RGB空间数据;The RGB processing module is used to acquire the original low-illumination image with the image sensor, and then process it into RGB spatial data;
空间转换模块,用以转换所述RGB空间数据为HSV空间数据,据以获取调色分量H、亮度分量V及饱和度分量S,所述空间转换模块与所述RGB处理模块连接;a space conversion module, used to convert the RGB spatial data into HSV spatial data, to obtain the color component H, the luminance component V and the saturation component S, the spatial conversion module is connected with the RGB processing module;
光照图像引导滤波处理模块,用以处理所述亮度分量V得光照图像数据,利用引导滤波计算所述光照图像数据,以得到光照图像计算数据,所述光照图像引导滤波处理模块连接所述空间转换模块;The illumination image guided filtering processing module is used to process the illumination image data obtained by the luminance component V, and uses the guided filtering to calculate the illumination image data to obtain illumination image calculation data, and the illumination image guided filtering processing module is connected to the spatial transformation module;
图像增强模块,用以获取相机响应模型,利用所述相机响应模型根据所述光照图像计算数据增强处理所述亮度分量V,以得到图像增强分量,所述图像增强模块连接所述光照图像引导滤波处理模块;an image enhancement module, used to obtain a camera response model, and use the camera response model to calculate and process the luminance component V according to the illumination image to obtain an image enhancement component, and the image enhancement module is connected to the illumination image to guide filtering processing module;
增强图像模块,用以根据所述调色分量H、所述图像增强分量及所述饱和度分量S获取亮度增强HSV空间数据,据以处理得增强结果图像,所述增强图像模块连接所述图像增强模块。an enhanced image module, used to obtain luminance enhanced HSV spatial data according to the toning component H, the image enhanced component and the saturation component S, and processed to obtain an enhanced result image, the enhanced image module is connected to the image Enhancement module.
本发明相比现有技术具有以下优点:本发明首先将图像从色彩空间RGB转换到色彩空间HSV,对其中的亮度分量V利用具有高度并行性的引导滤波进行快速光照图像估计;再利用相机响应模型,根据估计的光照图像对亮度分量V进行增强,而保持色调分量H和饱和度分量S不变;最后将增强后的V分量和H分量、S分量转换到色彩空间RGB。上述过程中,一方面,可以进行快速计算,有效提高算法的实时性;另一方面,利用引导滤波和相机响应模型可以关注到图像重要的细节,获取良好亮度增强效果,又能有效降低增强图像的色彩失真。Compared with the prior art, the present invention has the following advantages: the present invention first converts the image from the color space RGB to the color space HSV, and uses highly parallel guided filtering to perform fast illumination image estimation for the luminance component V therein; and then uses the camera response The model enhances the luminance component V according to the estimated illumination image, while keeping the hue component H and saturation component S unchanged; finally, the enhanced V component, H component, and S component are converted to the color space RGB. In the above process, on the one hand, fast calculation can be performed, which can effectively improve the real-time performance of the algorithm; on the other hand, the use of guided filtering and camera response model can pay attention to important details of the image, obtain a good brightness enhancement effect, and effectively reduce the enhanced image. color distortion.
附图说明Description of drawings
图1是基于引导滤波和相机特性的低照度图像增强流程方法流程示意图;FIG. 1 is a schematic flowchart of a low-light image enhancement process method based on guided filtering and camera characteristics;
图2是实施例中的第一户外场景低光照图像示意图;2 is a schematic diagram of a low-light image of a first outdoor scene in an embodiment;
图3是实施例中的第二户外场景低光照图像示意图;3 is a schematic diagram of a low-light image of a second outdoor scene in an embodiment;
图4是实施例中的第一户外场景低照度图像增强效果图;Fig. 4 is the first outdoor scene low illumination image enhancement effect diagram in the embodiment;
图5是实施例中的第二户外场景低照度图像增强效果图。FIG. 5 is a low-light image enhancement effect diagram of a second outdoor scene in an embodiment.
具体实施方式Detailed ways
为使本发明实施例的目的、技术方案和优点更加清楚,下面将结合本发明实施例,对本发明实施例中的技术方案进行清楚、完整地描述,显然,所描述的实施例是本发明一部分实施例,而不是全部的实施例。基于本发明中的实施例,本领域普通技术人员在没有作出创造性劳动前提下所获得的所有其他实施例,都属于本发明保护的范围。In order to make the purposes, technical solutions and advantages of the embodiments of the present invention clearer, the technical solutions in the embodiments of the present invention will be clearly and completely described below in conjunction with the embodiments of the present invention. Obviously, the described embodiments are part of the present invention. examples, but not all examples. Based on the embodiments of the present invention, all other embodiments obtained by those of ordinary skill in the art without creative efforts shall fall within the protection scope of the present invention.
实施例:Example:
如图1所示,本发明提供的基于引导滤波和相机特性的低照度图像增强流程方法的具体步骤为:As shown in Figure 1, the specific steps of the low-light image enhancement process method based on guided filtering and camera characteristics provided by the present invention are:
步骤一:如图2和图3所示,输入任意一张低光照图像:I;Step 1: As shown in Figure 2 and Figure 3, input any low-light image: I;
步骤二:将原始低光照彩色图像I从RGB空间转化到HSV空间:Step 2: Convert the original low-light color image I from RGB space to HSV space:
其中,arccos为反余弦函数,B为图像I的蓝色通道值,G为图像I的绿色通道值,R为图像I的红色通道值,max(R,G,B)为R、G、B三个值中的最大值,min(R,G,B)为R、G、B三个值中的最小值。Among them, arccos is the inverse cosine function, B is the blue channel value of image I, G is the green channel value of image I, R is the red channel value of image I, and max(R, G, B) is R, G, B The maximum value of the three values, min(R, G, B) is the minimum value of the three values of R, G, and B.
步骤三:利用引导滤波对获取到的V分量进行快速光照图像估计,获得估计的光照图像T:Step 3: Use guided filtering to perform fast illumination image estimation on the obtained V component, and obtain the estimated illumination image T:
其中,i为像素点的坐标位置;μk和分别表示图像V在局部窗口w中的均值和方差;|w|是窗口内的像素个数;ε为常量。Among them, i is the coordinate position of the pixel point; μk and represent the mean and variance of the image V in the local window w, respectively; |w| is the number of pixels in the window; ε is a constant.
步骤四:利用相机响应模型和估计的光照图像T对V分量进行增强,得到增强后的V′:Step 4: Use the camera response model and the estimated illumination image T to enhance the V component to obtain the enhanced V′:
其中,a为常值,一般取为-0.3293;b为常值,一般取为1.1258;K为:Among them, a is a constant value, generally taken as -0.3293; b is a constant value, generally taken as 1.1258; K is:
K=min(1/T,K0)K=min(1/T,K0 )
其中,K0为常数,一般取值为6~8。Among them, K0 is a constant, generally taking a value of 6 to 8.
步骤五:如图4和图5所示,将H、S、V′转换到RGB色彩空间,获取到增强后的图像I′:Step 5: As shown in Figure 4 and Figure 5, convert H, S, V' to RGB color space, and obtain the enhanced image I':
其中:in:
p=V′(1-S)p=V'(1-S)
t=V′[1-(1-f)S]t=V′[1-(1-f)S]
mod为取余。mod is the remainder.
综上,本发明首先将图像从色彩空间RGB转换到色彩空间HSV,对其中的亮度分量V利用具有高度并行性的引导滤波进行快速光照图像估计;再利用相机响应模型,根据估计的光照图像对亮度分量V进行增强,而保持色调分量H和饱和度分量S不变;最后将增强后的V分量和H分量、S分量转换到色彩空间RGB。上述过程中,一方面,可以进行快速计算,有效提高算法的实时性;另一方面,利用引导滤波和相机响应模型可以关注到图像重要的细节,获取良好亮度增强效果,又能有效降低增强图像的色彩失真,解决了现有技术中存在的运算量大、难以实时实现、出现光晕伪影和颜色失真的技术问题。To sum up, the present invention first converts the image from the color space RGB to the color space HSV, and uses the highly parallel guided filtering for the luminance component V to perform fast illumination image estimation; The luminance component V is enhanced, while the hue component H and saturation component S are kept unchanged; finally, the enhanced V component, H component, and S component are converted to the color space RGB. In the above process, on the one hand, fast calculation can be performed, which can effectively improve the real-time performance of the algorithm; on the other hand, the use of guided filtering and camera response model can pay attention to important details of the image, obtain a good brightness enhancement effect, and effectively reduce the enhanced image. It solves the technical problems existing in the prior art, such as large amount of computation, difficulty in real-time implementation, halo artifacts and color distortion.
以上实施例仅用以说明本发明的技术方案,而非对其限制;尽管参照前述实施例对本发明进行了详细的说明,本领域的普通技术人员应当理解:其依然可以对前述各实施例所记载的技术方案进行修改,或者对其中部分技术特征进行等同替换;而这些修改或者替换,并不使相应技术方案的本质脱离本发明各实施例技术方案的精神和范围。The above embodiments are only used to illustrate the technical solutions of the present invention, but not to limit them; although the present invention has been described in detail with reference to the foregoing embodiments, those of ordinary skill in the art should understand that: The recorded technical solutions are modified, or some technical features thereof are equivalently replaced; and these modifications or replacements do not make the essence of the corresponding technical solutions deviate from the spirit and scope of the technical solutions of the embodiments of the present invention.
| Application Number | Priority Date | Filing Date | Title |
|---|---|---|---|
| CN202210174093.4ACN114549358A (en) | 2022-02-24 | 2022-02-24 | Low-light image enhancement method and system based on camera characteristics of guided filtering |
| Application Number | Priority Date | Filing Date | Title |
|---|---|---|---|
| CN202210174093.4ACN114549358A (en) | 2022-02-24 | 2022-02-24 | Low-light image enhancement method and system based on camera characteristics of guided filtering |
| Publication Number | Publication Date |
|---|---|
| CN114549358Atrue CN114549358A (en) | 2022-05-27 |
| Application Number | Title | Priority Date | Filing Date |
|---|---|---|---|
| CN202210174093.4APendingCN114549358A (en) | 2022-02-24 | 2022-02-24 | Low-light image enhancement method and system based on camera characteristics of guided filtering |
| Country | Link |
|---|---|
| CN (1) | CN114549358A (en) |
| Publication number | Priority date | Publication date | Assignee | Title |
|---|---|---|---|---|
| CN113256533A (en)* | 2021-06-15 | 2021-08-13 | 北方民族大学 | Self-adaptive low-illumination image enhancement method and system based on MSRCR |
| CN115187475A (en)* | 2022-06-28 | 2022-10-14 | 西安工业大学 | A non-uniform adaptive image enhancement method based on low illumination |
| CN117635471A (en)* | 2023-11-21 | 2024-03-01 | 江南大学 | Low-illumination image enhancement method for wireless capsule endoscope |
| Publication number | Priority date | Publication date | Assignee | Title |
|---|---|---|---|---|
| KR20070039347A (en)* | 2005-10-07 | 2007-04-11 | 삼성전자주식회사 | Method and system for improving image quality of color image |
| CN105654437A (en)* | 2015-12-24 | 2016-06-08 | 广东迅通科技股份有限公司 | Enhancement method for low-illumination image |
| CN106530250A (en)* | 2016-11-07 | 2017-03-22 | 湖南源信光电科技有限公司 | Low illumination color image enhancement method based on improved Retinex |
| CN106897981A (en)* | 2017-04-12 | 2017-06-27 | 湖南源信光电科技股份有限公司 | A kind of enhancement method of low-illumination image based on guiding filtering |
| CN111223068A (en)* | 2019-11-12 | 2020-06-02 | 西安建筑科技大学 | An adaptive non-uniform low-light image enhancement method based on Retinex |
| CN111861899A (en)* | 2020-05-20 | 2020-10-30 | 河海大学 | A method and system for image enhancement based on uneven illumination |
| CN112365425A (en)* | 2020-11-24 | 2021-02-12 | 中国人民解放军陆军炮兵防空兵学院 | Low-illumination image enhancement method and system |
| Publication number | Priority date | Publication date | Assignee | Title |
|---|---|---|---|---|
| KR20070039347A (en)* | 2005-10-07 | 2007-04-11 | 삼성전자주식회사 | Method and system for improving image quality of color image |
| CN105654437A (en)* | 2015-12-24 | 2016-06-08 | 广东迅通科技股份有限公司 | Enhancement method for low-illumination image |
| CN106530250A (en)* | 2016-11-07 | 2017-03-22 | 湖南源信光电科技有限公司 | Low illumination color image enhancement method based on improved Retinex |
| CN106897981A (en)* | 2017-04-12 | 2017-06-27 | 湖南源信光电科技股份有限公司 | A kind of enhancement method of low-illumination image based on guiding filtering |
| CN111223068A (en)* | 2019-11-12 | 2020-06-02 | 西安建筑科技大学 | An adaptive non-uniform low-light image enhancement method based on Retinex |
| CN111861899A (en)* | 2020-05-20 | 2020-10-30 | 河海大学 | A method and system for image enhancement based on uneven illumination |
| CN112365425A (en)* | 2020-11-24 | 2021-02-12 | 中国人民解放军陆军炮兵防空兵学院 | Low-illumination image enhancement method and system |
| Title |
|---|
| YING, ZQ: "A New Low-Light Image Enhancement Algorithm using Camera Response Model", 2017 IEEE INTERNATIONAL CONFERENCE ON COMPUTER VISION WORKSHOPS (ICCVW 2017), 31 December 2017 (2017-12-31), pages 3015 - 3022* |
| 肖创柏;赵宏宇;禹晶;: "基于引导滤波的Retinex快速夜间彩色图像增强技术", 北京工业大学学报, no. 12, 10 December 2013 (2013-12-10)* |
| 董辉;金阔洋;: "基于暗原色先验的Retinex去雾算法", 浙江工业大学学报, no. 06, 5 December 2018 (2018-12-05)* |
| 贾存坤;戴声奎;卫志敏;: "采用亮通道先验的低照度图像增强算法", 华侨大学学报(自然科学版), no. 04, 13 July 2018 (2018-07-13)* |
| Publication number | Priority date | Publication date | Assignee | Title |
|---|---|---|---|---|
| CN113256533A (en)* | 2021-06-15 | 2021-08-13 | 北方民族大学 | Self-adaptive low-illumination image enhancement method and system based on MSRCR |
| CN113256533B (en)* | 2021-06-15 | 2022-08-09 | 北方民族大学 | Self-adaptive low-illumination image enhancement method and system based on MSRCR |
| CN115187475A (en)* | 2022-06-28 | 2022-10-14 | 西安工业大学 | A non-uniform adaptive image enhancement method based on low illumination |
| CN117635471A (en)* | 2023-11-21 | 2024-03-01 | 江南大学 | Low-illumination image enhancement method for wireless capsule endoscope |
| Publication | Publication Date | Title |
|---|---|---|
| CN109064426B (en) | A method and device for suppressing glare and enhancing images in low-light images | |
| CN106056559B (en) | Nonuniform illumination Underwater Target Detection image enchancing method based on dark channel prior | |
| CN106886985B (en) | A kind of adaptive enhancement method of low-illumination image reducing colour cast | |
| CN103593830B (en) | A low-light video image enhancement method | |
| CN114549358A (en) | Low-light image enhancement method and system based on camera characteristics of guided filtering | |
| CN111105371B (en) | Enhancement method of low-contrast infrared image | |
| CN109816608B (en) | An adaptive brightness enhancement method for low-illumination images based on noise suppression | |
| CN111968041A (en) | Self-adaptive image enhancement method | |
| CN104504722B (en) | Method for correcting image colors through gray points | |
| CN109493291A (en) | A kind of method for enhancing color image contrast ratio of adaptive gamma correction | |
| CN116309152A (en) | Method, system, device and storage medium for detail enhancement of low-illuminance images | |
| CN109389569B (en) | Monitoring video real-time defogging method based on improved DehazeNet | |
| CN112116536A (en) | Low-illumination image enhancement method and system | |
| CN110163807B (en) | Low-illumination image enhancement method based on expected bright channel | |
| CN111489346A (en) | Full-reference image quality evaluation method and system | |
| CN111476744B (en) | Underwater image enhancement method based on classification and atmospheric imaging model | |
| CN111968065A (en) | Self-adaptive enhancement method for image with uneven brightness | |
| CN116188339A (en) | A Dark Vision Image Enhancement Method Based on Retinex and Image Fusion | |
| CN108133462A (en) | A kind of restored method of the single image based on gradient fields region segmentation | |
| CN117094907A (en) | Low-illumination image enhancement method and device based on wavelet transformation and Retinex-Net | |
| CN113643202B (en) | Low-light-level image enhancement method based on noise attention-seeking instruction | |
| CN108711160B (en) | Target segmentation method based on HSI (high speed input/output) enhanced model | |
| CN114359244A (en) | An image saliency detection method based on superpixel segmentation and multiple color features | |
| CN111311503A (en) | A low-brightness image enhancement system at night | |
| CN112308793A (en) | Novel method for enhancing contrast and detail of non-uniform illumination image |
| Date | Code | Title | Description |
|---|---|---|---|
| PB01 | Publication | ||
| PB01 | Publication | ||
| SE01 | Entry into force of request for substantive examination | ||
| SE01 | Entry into force of request for substantive examination |