









技术领域technical field
本申请涉及数字图像处理技术领域,尤其涉及一种拍摄方法、装置、存储介质以及电子设备。The present application relates to the technical field of digital image processing, and in particular, to a photographing method, an apparatus, a storage medium, and an electronic device.
背景技术Background technique
随着现代互联网和各类先进电子设备的发展,在图像采集方面的应用也越来越广泛,然而设备采集的图像相较于肉眼感知的真实图像会有色彩、亮度等方面的差别,为了提高图像质量,各类电子设备普遍采用了对图像进行补偿曝光等处理,以用于还原图像的色彩,提升成像画质。With the development of the modern Internet and various advanced electronic equipment, the application of image acquisition has become more and more extensive. However, the image collected by the equipment will have differences in color and brightness compared with the real image perceived by the naked eye. In order to improve the Image quality, various electronic devices generally use processing such as compensating exposure to the image to restore the color of the image and improve the image quality.
发明内容SUMMARY OF THE INVENTION
本申请提供一种拍摄方法、装置、存储介质以及电子设备,可以解决相关技术中拍摄图像曝光不准确、色彩与实际差异大的技术问题。The present application provides a photographing method, device, storage medium and electronic device, which can solve the technical problems of inaccurate exposure of photographed images and large differences between colors and actual conditions in the related art.
第一方面,本申请实施例提供一种拍摄方法,该方法包括:In a first aspect, an embodiment of the present application provides a photographing method, the method comprising:
获取摄像头采集的第一图像,将所述第一图像中目标物体区域划分为不同颜色区域;obtaining a first image collected by a camera, and dividing the target object area in the first image into different color areas;
确定各颜色区域对应的第一曝光值,以及根据各第一曝光值确定所述第一图像的第二曝光值;determining a first exposure value corresponding to each color area, and determining a second exposure value of the first image according to each first exposure value;
控制所述摄像头基于所述第二曝光值进行拍摄,获取所述摄像头采集的第二图像。The camera is controlled to shoot based on the second exposure value, and a second image collected by the camera is acquired.
第二方面,本申请实施例提供一种拍摄装置,该装置包括:In a second aspect, an embodiment of the present application provides a photographing device, and the device includes:
区域划分模块,用于获取摄像头采集的第一图像,将所述第一图像中目标物体区域划分为不同颜色区域;an area division module, configured to obtain the first image collected by the camera, and divide the target object area in the first image into different color areas;
曝光计算模块,用于确定各颜色区域对应的第一曝光值,以及根据各第一曝光值确定所述第一图像的第二曝光值;an exposure calculation module for determining a first exposure value corresponding to each color area, and determining a second exposure value of the first image according to each first exposure value;
图像拍摄模块,用于控制所述摄像头基于所述第二曝光值进行拍摄,获取所述摄像头采集的第二图像。An image capturing module, configured to control the camera to capture based on the second exposure value, and acquire a second image captured by the camera.
第三方面,本申请实施例提供一种计算机存储介质,所述计算机存储介质存储有多条指令,所述指令适于由处理器加载并执行上述的方法的步骤。In a third aspect, an embodiment of the present application provides a computer storage medium, where the computer storage medium stores a plurality of instructions, and the instructions are suitable for being loaded by a processor and executing the steps of the above method.
第四方面,本申请实施例提供一种电子设备,包括存储器、处理器及存储在存储器上并可在处理器上运行的计算机程序,所述计算机程序适于由处理器加载并执行上述的方法的步骤。In a fourth aspect, an embodiment of the present application provides an electronic device, including a memory, a processor, and a computer program stored in the memory and running on the processor, the computer program being adapted to be loaded by the processor and execute the above method A step of.
本申请一些实施例提供的技术方案带来的有益效果至少包括:The beneficial effects brought by the technical solutions provided by some embodiments of the present application include at least:
本申请提供一种拍摄方法,首先获取摄像头采集的第一图像,将第一图像中目标物体区域划分为不同颜色区域;然后确定各颜色区域对应的第一曝光值,以及根据各第一曝光值确定第一图像的第二曝光值;最后控制摄像头基于第二曝光值进行拍摄,获取摄像头采集的第二图像。由于通过将图像按照不同的颜色划分为不同颜色区域,根据各颜色区域对应的曝光值,最终确定出整体图像的曝光值,这样确定出的曝光值考虑到了对图像中不同颜色的影响,基于此曝光值拍摄图像可以使得图像中多种颜色都成像准确,进而使得多颜色图像的成像色彩也更加真实。The present application provides a shooting method. First, a first image captured by a camera is acquired, and a target object area in the first image is divided into different color areas; then a first exposure value corresponding to each color area is determined, and according to each first exposure value The second exposure value of the first image is determined; finally, the camera is controlled to shoot based on the second exposure value, and the second image collected by the camera is acquired. Since the image is divided into different color areas according to different colors, the exposure value of the overall image is finally determined according to the exposure value corresponding to each color area. The exposure value thus determined takes into account the influence of different colors in the image. Based on this Taking an image with exposure value can make multiple colors in the image image accurately, and then make the image color of the multi-color image more realistic.
附图说明Description of drawings
为了更清楚地说明本申请实施例或现有技术中的技术方案,下面将对实施例或现有技术描述中所需要使用的附图作简单地介绍,显而易见地,下面描述中的附图仅仅是本申请的一些实施例,对于本领域技术人员来讲,在不付出创造性劳动的前提下,还可以根据这些附图获得其他的附图。In order to more clearly illustrate the embodiments of the present application or the technical solutions in the prior art, the following briefly introduces the accompanying drawings required for the description of the embodiments or the prior art. Obviously, the drawings in the following description are only These are some embodiments of the present application, and for those skilled in the art, other drawings can also be obtained from these drawings without creative effort.
图1为本申请实施例提供的一种拍摄方法的示例性系统架构图;FIG. 1 is an exemplary system architecture diagram of a shooting method provided by an embodiment of the present application;
图2为本申请实施例提供的一种数字图像处理的算法示意图;2 is a schematic diagram of an algorithm for digital image processing provided by an embodiment of the present application;
图3为本申请实施例提供的一种拍摄方法的流程示意图;3 is a schematic flowchart of a photographing method provided by an embodiment of the present application;
图4为本申请另一实施例提供的一种拍摄方法的流程示意图;4 is a schematic flowchart of a photographing method provided by another embodiment of the present application;
图5为本申请实施例提供的一种用户终端交互示意图;FIG. 5 is a schematic diagram of user terminal interaction according to an embodiment of the present application;
图6为本申请另一实施例提供的一种数字图像处理的算法示意图;6 is a schematic diagram of an algorithm for digital image processing provided by another embodiment of the present application;
图7为本申请另一实施例提供的一种拍摄方法的流程示意图;FIG. 7 is a schematic flowchart of a photographing method provided by another embodiment of the present application;
图8为本申请实施例提供的一种色彩参数调整方法的流程示意图;8 is a schematic flowchart of a color parameter adjustment method provided by an embodiment of the present application;
图9为本申请实施例提供的一种拍摄装置的结构框图;FIG. 9 is a structural block diagram of a photographing apparatus provided by an embodiment of the present application;
图10为本申请实施例提供的一种电子设备的结构示意图。FIG. 10 is a schematic structural diagram of an electronic device according to an embodiment of the present application.
具体实施方式Detailed ways
为使得本申请的特征和优点能够更加的明显和易懂,下面将结合本申请实施例中的附图,对本申请实施例中的技术方案进行清楚、完整地描述,显然,所描述的实施例仅仅是本申请一部分实施例,而非全部实施例。基于本申请中的实施例,本领域技术人员在没有做出创造性劳动前提下所获得的所有其他实施例,都属于本申请保护的范围。In order to make the features and advantages of the present application more obvious and understandable, the technical solutions in the embodiments of the present application will be clearly and completely described below with reference to the accompanying drawings in the embodiments of the present application. Obviously, the described embodiments It is only a part of the embodiments of the present application, but not all of the embodiments. Based on the embodiments in this application, all other embodiments obtained by those skilled in the art without creative efforts shall fall within the protection scope of this application.
下面的描述涉及附图时,除非另有表示,不同附图中的相同数字表示相同或相似的要素。以下示例性实施例中所描述的实施方式并不代表与本申请相一致的所有实施方式。相反,它们仅是如所附权利要求书中所详述的、本申请的一些方面相一致的装置和方法的例子。Where the following description refers to the drawings, the same numerals in different drawings refer to the same or similar elements unless otherwise indicated. The implementations described in the illustrative examples below are not intended to represent all implementations consistent with this application. Rather, they are merely examples of apparatus and methods consistent with some aspects of the present application, as recited in the appended claims.
请参阅图1,图1为本申请实施例提供的一种拍摄方法的示例性系统架构图。Please refer to FIG. 1. FIG. 1 is an exemplary system architecture diagram of a shooting method provided by an embodiment of the present application.
如图1所示,系统架构可以包括电子设备101、网络102和服务器103。网络102用于在电子设备101和服务器103之间提供通信链路的介质。网络102可以包括各种类型的有线通信链路或无线通信链路,例如:有线通信链路包括光纤、双绞线或同轴电缆的,无线通信链路包括蓝牙通信链路、无线保真(Wireless-Fidelity,Wi-Fi)通信链路或微波通信链路等。As shown in FIG. 1 , the system architecture may include an
电子设备101可以通过网络102与服务器103交互,以接收来自服务器103的消息或向服务器103发送消息,或者电子设备101可以通过网络102与服务器103交互,进而接收其他用户向服务器103发送的消息或者数据。电子设备101可以是硬件,也可以是软件。当电子设备101为硬件时,可以是各种电子设备,包括但不限于智能手表、智能手机、平板电脑、膝上型便携式计算机和台式计算机等。当电子设备101为软件时,可以是安装在上述所列举的电子设备中,其可以实现呈多个软件或软件模块(例如:用来提供分布式服务),也可以实现成单个软件或软件模块,在此不作具体限定。The
服务器103可以是提供各种服务的业务服务器。需要说明的是,服务器103可以是硬件,也可以是软件。当服务器103为硬件时,可以实现成多个服务器组成的分布式服务器集群,也可以实现成单个服务器。当服务器103为软件时,可以实现成多个软件或软件模块(例如用来提供分布式服务),也可以实现成单个软件或软件模块,在此不做具体限定。The
应理解,图1中的电子设备、网络以及服务器的数目仅是示意性的,根据实现需要,可以是任意数量的电子设备、网络以及服务器。It should be understood that the numbers of electronic devices, networks and servers in FIG. 1 are only illustrative, and may be any number of electronic devices, networks and servers according to implementation requirements.
请参阅图2,图2为本申请实施例提供的一种数字图像处理的算法示意图。Please refer to FIG. 2 , which is a schematic diagram of an algorithm for digital image processing provided by an embodiment of the present application.
随着现代电子计算机的发展,对于图像方面的处理也逐渐数字化,将图像信号转换为数字信号,便于图像的修改、存储和传输。由于数字影像产品和人体的眼睛之间不可避免的差距,用户通过数字影像产品获取图像时,可能会与用户感受到的真实场景有差异,因此数字影像产品会针对采集到的图像进行数字化处理,使得图像呈现的内容接近于真实场景,给用户带来更加真实的使用体验。一般情况下,用户对色彩、亮度更加敏感,更容易感受出色彩、亮度的差异变化,那么图像的色彩与亮度就成为用户衡量图像相较于真实场景的还原度的重要指标,因此针对色彩和亮度的优化和还原也成为数字图像处理的重要发展领域。With the development of modern electronic computers, the processing of images is gradually digitized, and the image signals are converted into digital signals to facilitate the modification, storage and transmission of images. Due to the inevitable gap between digital imaging products and human eyes, when users acquire images through digital imaging products, there may be differences from the real scene felt by users. Therefore, digital imaging products will perform digital processing on the collected images. The content presented by the image is close to the real scene, and brings a more realistic user experience to the user. Under normal circumstances, users are more sensitive to color and brightness, and it is easier to feel the difference in color and brightness. Then the color and brightness of the image become important indicators for users to measure the restoration degree of the image compared with the real scene. The optimization and restoration of brightness has also become an important development area of digital image processing.
在对图像进行处理时,通常采用图像信号处理算法(Image Signal Processing,ISP),来对前端图像传感器输出的信号做后期处理,主要功能有线性纠正、噪声去除、坏点去除、内插、白平衡、自动曝光控制等,依赖于ISP进行图像处理可以在不同的光学条件下都能较好的还原真实场景细节,ISP算法的具体实施效果在很大程度上决定了拍摄设备的成像质量。如图2所示,在通过ISP实现对图像的自动处理时,通常结合自动曝光(AutoExposure,AE)、自动对焦(Auto Focus,AF)、自动白平衡(Auto White Balance,AWB)来调整图像的成像参数,其中自动曝光,也即AE是指拍摄设备根据真实场景光线的强弱自动调整曝光量、曝光时间和感光增益,进而控制影像成像的亮度的算法机制;自动对焦,也即AF是利用物体光反射原理,将反射的光被拍摄设备上的传感器所接受,通过计算机处理,带动电动对焦设备进行对焦的方式;自动白平衡,也即AWB是结合进ISP链路(ISP pipeline)中的一个颜色处理算法,通过估计成像光源环境来还原真实影像颜色,可以在不同色温环境下通过ISP的算法调整,消除色温引起的偏色,使得成像效果接近人眼的视觉习惯。When processing images, Image Signal Processing (ISP) is usually used to post-process the signals output by the front-end image sensor. The main functions are linear correction, noise removal, dead pixel removal, interpolation, whitening Balance, automatic exposure control, etc., relying on ISP for image processing can better restore the real scene details under different optical conditions. The specific implementation effect of the ISP algorithm largely determines the imaging quality of the shooting equipment. As shown in Figure 2, when automatic image processing is realized through ISP, it is usually combined with AutoExposure (AE), Auto Focus (AF), and Auto White Balance (AWB) to adjust the image quality. Imaging parameters, among which automatic exposure, that is, AE, refers to the algorithm mechanism that the shooting device automatically adjusts the exposure amount, exposure time and photosensitive gain according to the intensity of the light in the real scene, and then controls the brightness of the image imaging; The principle of light reflection of objects, the reflected light is accepted by the sensor on the shooting device, and processed by the computer to drive the electric focusing device to focus; automatic white balance, that is, AWB is integrated into the ISP link (ISP pipeline) A color processing algorithm that restores the real image color by estimating the imaging light source environment. It can be adjusted by the ISP algorithm in different color temperature environments to eliminate the color cast caused by the color temperature, so that the imaging effect is close to the visual habits of the human eye.
具体地,在ISP链路包含了多种图像处理单元,各单元都从不同侧重点对图形进行处理,请参阅图2,在初始图像层面,黑电平校正(BlackLevel Correction,BLC),为减少暗电流对图像信号的影响,可以从已获得的图像信号中减去参考暗电流信号来进行黑电平校正;镜头阴影校正(Lens Shade Correction,LSC),通过镜头矫正来消除渐晕现象对图像的亮度影响,通常图像中间亮度比较均匀的区域不需要做矫正,以这个区域为中心,计算出各点由于衰减带来的图像变暗的速度,计算出相应R、G、B通道的补偿因子;自动白平衡处理(AWB apply),一般是按照3A中AWB得到的自动白平衡参数对图像进行处理;颜色插值(Demosaic),经过滤色板的作用之后,每个像素点只能感应到一种颜色也就需要通过颜色插值来复原该像素点其它两个通道的信息,寻找该像素点另外两个通道的值的过程。在色彩图像层面,颜色校正(Color Correction Matrix,CCM),主要为了校正在滤光板处各颜色块之间的颜色渗透带来的颜色误差,一般颜色校正的过程是首先利用该图像传感器拍摄到的图像与标准图像相比较,以此来计算得到一个校正矩阵,该矩阵就是该图像传感器的颜色校正矩阵;色调映射(Tone Mapping),过程就是首先要根据当前的场景推算出场景的平均亮度,再根据这个平均亮度选取一个合适的亮度域,再将整个场景映射到这个亮度域得到正确的结果;噪声去除(Denoise),一般采用非线性去噪算法,在采样时不仅考虑像素在空间距离上的关系,同时加入了像素间的相似程度考虑,进而保持边缘。在图像色彩分量层面,颜色空间矩阵(CSM),RGB图像通过一个转换矩阵向SRGB等色彩空间转化的过程;色彩调整(2DLUT),通过对HSV颜色空间的饱和度维度(Saturation,S),明度维度(Value,V)来进行主要的调整(也会对色相维度(Hue,H)进行微小调整),来得到颜色的三个维度的准确还原,或者颜色风格的偏好设置;锐化(Sharpen),为了消除降噪过程中对图像细节的损失,需要对图像进行锐化处理,还原图像的相关细节。Specifically, a variety of image processing units are included in the ISP link, and each unit processes graphics from different focuses. Please refer to Figure 2. At the initial image level, Black Level Correction (BLC) is used to reduce the The influence of dark current on the image signal, the reference dark current signal can be subtracted from the obtained image signal to perform black level correction; Lens Shade Correction (LSC), through lens correction to eliminate vignetting on the image Usually, the area with relatively uniform brightness in the middle of the image does not need to be corrected. Taking this area as the center, calculate the speed of the image darkening caused by the attenuation of each point, and calculate the compensation factor of the corresponding R, G, and B channels. ;Auto white balance processing (AWB apply), generally process the image according to the automatic white balance parameters obtained by AWB in 3A; color interpolation (Demosaic), after filtering the color palette, each pixel can only sense one The color interpolation also needs to restore the information of the other two channels of the pixel point through color interpolation, and find the process of finding the values of the other two channels of the pixel point. At the color image level, Color Correction Matrix (CCM) is mainly used to correct the color error caused by the color penetration between the color blocks at the filter plate. Generally, the process of color correction is to first use the image sensor to take pictures. The image is compared with the standard image to calculate a correction matrix, which is the color correction matrix of the image sensor; Tone Mapping, the process is to first calculate the average brightness of the scene according to the current scene, and then Select an appropriate brightness domain according to this average brightness, and then map the entire scene to this brightness domain to get the correct result; Denoise, generally using a nonlinear denoising algorithm, not only considers the spatial distance of pixels when sampling At the same time, the similarity between pixels is taken into account, so as to maintain the edge. At the level of image color components, color space matrix (CSM), the process of converting RGB images to color spaces such as SRGB through a conversion matrix; color adjustment (2DLUT), through the saturation dimension (Saturation, S) of HSV color space, brightness Dimension (Value, V) to make major adjustments (also minor adjustments to the hue dimension (Hue, H)) to get an accurate restoration of the three dimensions of color, or color style preferences; sharpen (Sharpen) , in order to eliminate the loss of image details in the process of noise reduction, the image needs to be sharpened to restore the relevant details of the image.
可选地,AE自动曝光中根据拍摄场景输出的曝光参数,影响了图像的初始亮度,进而影响了图像后续的处理效果。因此,想要产生准确的图像处理效果,可以通过调整AE的算法结构来实现,使得AE输出的曝光参数更加真实,那么在曝光基础上生成的图像在后续的处理环节中也可以输出更加真实还原的图像。考虑到图像的整体亮度,通常采用计算整个场景的平均亮度,作为曝光值的基准亮度,进而确定出统一的曝光参数和权重系数,进而使得图像成像效果良好。Optionally, the exposure parameters output according to the shooting scene in the AE automatic exposure affect the initial brightness of the image, thereby affecting the subsequent processing effect of the image. Therefore, if you want to produce an accurate image processing effect, you can achieve it by adjusting the algorithm structure of AE, so that the exposure parameters output by AE are more realistic, then the images generated on the basis of exposure can also be output more realistically in the subsequent processing links. Image. Considering the overall brightness of the image, the average brightness of the entire scene is usually calculated as the reference brightness of the exposure value, and then the uniform exposure parameters and weight coefficients are determined, so that the image imaging effect is good.
由于在AE输出曝光参数和权重系数的过程中,是根据当前场景的平均亮度或某一个区域的平均亮度来确定对图像叠加的曝光值,而在真实场景中,尤其是对于多颜色场景,存在多种复杂的颜色,不同颜色在同亮度下的表现会产生不等的差异,在统一的曝光亮度下,可能会有部分颜色的曝光成像良好,也可能会有部分颜色在此曝光亮度下出现过曝或欠曝,使得颜色过于亮眼或颜色暗淡,发生颜色失真,从而导致图像的整体成像效果不佳,最终无法输出真实的图像曝光效果。Because in the process of AE outputting exposure parameters and weight coefficients, the exposure value of the image overlay is determined according to the average brightness of the current scene or the average brightness of a certain area. In real scenes, especially for multi-color scenes, there are For a variety of complex colors, the performance of different colors under the same brightness will produce unequal differences. Under the uniform exposure brightness, some colors may have good exposure imaging, and some colors may appear under this exposure brightness. Overexposure or underexposure makes the color too bright or dull, resulting in color distortion, resulting in poor overall imaging effect of the image, and ultimately unable to output the real image exposure effect.
因此本申请实施例提供一种拍摄方法,以解决上述技术问题。Therefore, the embodiments of the present application provide a photographing method to solve the above technical problems.
请参阅图3,图3为本申请实施例提供的一种拍摄方法的流程示意图。本申请实施例的执行主体可以是拍摄系统,也可以是系统中的服务器,还可以是系统中的任意电子设备。为方便描述,下面以执行主体是电子设备中的处理器为例,介绍拍摄方法的具体执行过程。如图3所示拍摄方法至少可以包括:Please refer to FIG. 3 , which is a schematic flowchart of a photographing method provided by an embodiment of the present application. The execution subject of the embodiment of the present application may be a photographing system, a server in the system, or any electronic device in the system. For the convenience of description, the specific execution process of the photographing method is described below by taking the execution subject being a processor in an electronic device as an example. The photographing method shown in FIG. 3 may include at least:
S301、获取摄像头采集的第一图像,将第一图像中目标物体区域划分为不同颜色区域。S301. Acquire a first image collected by a camera, and divide the target object area in the first image into different color areas.
可选地,对于使用数字图像处理产品的用户来说,用户对于输出图像的亮度和色彩是最能够直观感受到与真实场景之间的差异的,因此曝光和色彩也成为数字图像处理的重要发展领域。在目前的图像处理技术中,为了使得图像的曝光效果较好,在自动曝光时,通常根据图像场景的整体亮度来确定当前图像的曝光值,然而这样以整体亮度为基准来计算曝光值,若当前场景中的颜色差异不大或亮度差异不大,那么可能会出现较好的成像效果,但当处于多颜色场景中时,可能就会由于各颜色在同曝光值下的不同的表现差异,导致图像中的部分颜色失真,这极大地影响了用户体验。Optionally, for users of digital image processing products, the brightness and color of the output image are the most intuitively perceived differences between the user and the real scene, so exposure and color have also become important developments in digital image processing. field. In the current image processing technology, in order to make the exposure effect of the image better, during automatic exposure, the exposure value of the current image is usually determined according to the overall brightness of the image scene. However, the exposure value is calculated based on the overall brightness. If the color difference or brightness difference in the current scene is not large, then a better imaging effect may appear. However, when it is in a multi-color scene, it may be due to the different performance differences of each color under the same exposure value. Causes some color distortions in the image, which greatly affects the user experience.
可选地,由于在图像中,不同颜色之间的差异会导致各颜色所需要的曝光值不同,曝光值又影响了真实颜色在图像中的成像效果,因此确定一个准确的曝光值,就成为了图像处理的基础,那么在多颜色场景下,可以按照颜色将图像划分为不同区域,根据各颜色区域的亮度等成像参数来确定图像的曝光值,也即用户通过摄像头获取摄像头采集图像后,可以将图像按照颜色划分为不同颜色区域,这样可以使得确定曝光值时能够考虑到不同颜色的色彩表现和成像参数对图像曝光值的影响。Optionally, because in the image, the difference between different colors will lead to different exposure values required for each color, and the exposure value affects the imaging effect of the real color in the image, so to determine an accurate exposure value, it becomes In a multi-color scene, the image can be divided into different areas according to color, and the exposure value of the image can be determined according to the imaging parameters such as the brightness of each color area, that is, after the user acquires the image through the camera, The image can be divided into different color regions according to color, so that when determining the exposure value, the color representation of different colors and the influence of imaging parameters on the image exposure value can be considered.
可选地,真实场景中的一些多颜色场景往往为一些具有代表性的场景,例如,游乐园场景、玩具商店场景、鲜花场景等,而这些场景都具有一定的特征,在该场景中也有某些针对性的拍摄主体,例如,在游乐园场景中,拍摄主体在于游乐园设施;在玩具商店场景中,拍摄主体在于多种类玩具;在鲜花场景中,拍摄主体在于各不同颜色的鲜花;那么对于不同拍摄主体可以依据主体特征对曝光值的计算方法进行调整,从而实现对不同多颜色场景的曝光值计算。Optionally, some multi-color scenes in real scenes are often representative scenes, such as amusement park scenes, toy store scenes, flower scenes, etc., and these scenes have certain characteristics, and there are also certain scenes in this scene. Some targeted subjects, for example, in an amusement park scene, the subject of shooting is the amusement park facilities; in the scene of a toy store, the subject of shooting is a variety of toys; in a scene of flowers, the subject of shooting is flowers of different colors; then For different shooting subjects, the calculation method of exposure value can be adjusted according to the characteristics of the subject, so as to realize the calculation of exposure value for different multi-color scenes.
进一步地,当用户使用拍摄设备对场景进行拍摄时,可能更加注重拍摄主体的成像效果,那么可以先识别出当前场景对应的多颜色场景类型,根据当前场景类型来确定拍摄主体和该主体对应的曝光值计算方法,若当前多颜色场景为预设场景,则将获取的摄像头采集的图像作为第一图像,进而识别确定出图像中主体对应的目标物体,再将第一图像中的目标物体区域划分为不同颜色区域,以便于针对不同多颜色场景中的不同目标物体来进行颜色区域划分。本申请实施例对识别预设场景的方法和预设场景的类型不作限定,识别预设场景的方法和预设场景的类型可以根据实际情况进行设置。Further, when the user uses a shooting device to shoot a scene, he may pay more attention to the imaging effect of the subject, then the multi-color scene type corresponding to the current scene can be identified first, and the subject and the subject corresponding to the subject can be determined according to the current scene type. In the exposure value calculation method, if the current multi-color scene is a preset scene, the acquired image captured by the camera is used as the first image, and then the target object corresponding to the subject in the image is identified and determined, and then the target object area in the first image is determined. It is divided into different color areas, so that the color area can be divided for different target objects in different multi-color scenes. The embodiments of the present application do not limit the method for identifying the preset scene and the type of the preset scene, and the method for identifying the preset scene and the type of the preset scene can be set according to the actual situation.
可以理解的,摄像头在运行期间会一直不断地采集取景范围内的图像,而这些图像仅作为摄像头获取当前场景的环境参数、成像参数等的依据,在用户没有控制摄像头进行拍摄时,摄像头并不会将此过程中采集的图像作为用户拍摄需求对应的图像进行显示或存储,而在本申请中,只有当用户控制摄像头拍摄时,才会将拍摄采集到的图像作为用户的拍摄需求对应的第二图像,那么此时获取的第一图像为摄像头预采集的参考图像,不会进行显示或存储。It is understandable that the camera will continuously collect images within the viewing range during operation, and these images are only used as the basis for the camera to obtain the environmental parameters and imaging parameters of the current scene. When the user does not control the camera to shoot, the camera does not The image collected in this process will be displayed or stored as the image corresponding to the user's shooting needs, and in this application, only when the user controls the camera to shoot, the captured image will be used as the first image corresponding to the user's shooting needs. If there are two images, the first image obtained at this time is the reference image pre-collected by the camera, and will not be displayed or stored.
S302、确定各颜色区域对应的第一曝光值,以及根据各第一曝光值确定第一图像的第二曝光值。S302. Determine a first exposure value corresponding to each color area, and determine a second exposure value of the first image according to each first exposure value.
可选地,由于不同的颜色在同一亮度下,需要的曝光值可能不同,而各颜色区域的曝光值都会对图像的曝光产生影响,那么为了结合各颜色区域的曝光值来确定图像的曝光值,可以在将第一图像中目标物体区域划分为不同颜色区域之后,根据各颜色区域的亮度等成像参数确定各颜色区域对应的第一曝光值,再根据各颜色区域的第一曝光值来计算第一图像的第二曝光值,这样得到的第二曝光值,不再仅以图像整体亮度为基准,而是将目标物体的各种颜色作为考虑维度来进行计算,在第二曝光值下进行的拍摄将生成更加真实、准确的图像。Optionally, since different colors may require different exposure values under the same brightness, and the exposure values of each color area will affect the exposure of the image, in order to combine the exposure values of each color area to determine the exposure value of the image , after the target object area in the first image is divided into different color areas, the first exposure value corresponding to each color area can be determined according to the imaging parameters such as the brightness of each color area, and then calculated according to the first exposure value of each color area. The second exposure value of the first image, the second exposure value obtained in this way, is no longer only based on the overall brightness of the image, but the various colors of the target object are considered as the dimension to be calculated, and the calculation is carried out under the second exposure value. shooting will produce more realistic and accurate images.
可选地,根据各颜色区域的第一曝光值计算第二曝光值时,可以是对不同的图像区域位置预设不同的曝光权重,根据各颜色区域位置对应的曝光权重,来确定各颜色区域对应的第一曝光值在第二曝光值中的曝光权重,根据不同的权重系数计算出第二曝光值;还可以是对不同颜色预设不同的曝光权重,再根据各颜色区域的颜色对应的曝光权重来确定第一曝光值在第二曝光值中的曝光权重,进而计算出第二曝光值。本申请实施例对根据第一曝光值计算第二曝光值的具体算法和相关预设规则不作限定。Optionally, when calculating the second exposure value according to the first exposure value of each color area, different exposure weights may be preset for different image area positions, and each color area may be determined according to the exposure weight corresponding to the position of each color area. The exposure weight of the corresponding first exposure value in the second exposure value, and the second exposure value is calculated according to different weight coefficients; it is also possible to preset different exposure weights for different colors, and then according to the color corresponding to each color area. The exposure weight is used to determine the exposure weight of the first exposure value in the second exposure value, and then the second exposure value is calculated. The embodiments of the present application do not limit the specific algorithm and relevant preset rules for calculating the second exposure value according to the first exposure value.
S303、控制摄像头基于第二曝光值进行拍摄,获取摄像头采集的第二图像。S303: Control the camera to shoot based on the second exposure value, and acquire a second image collected by the camera.
可选地,根据各颜色区域的第一曝光值确定出的第一图像的第二曝光值,是考虑了图像中各颜色区域的曝光值对图像整体的曝光值的影响因素,能够使得图像成像效果更加真实,那么在确定出第一图像的第二曝光值后,就可以控制摄像头基于第二曝光值对当前场景进行拍摄,此时拍摄得到的图像即为成像最真实的图像,进而可以获取到摄像头采集的第二图像。Optionally, the second exposure value of the first image determined according to the first exposure value of each color area takes into account the influence factors of the exposure value of each color area in the image on the overall exposure value of the image, so that the image can be formed. The effect is more realistic, then after the second exposure value of the first image is determined, the camera can be controlled to shoot the current scene based on the second exposure value, and the image captured at this time is the most realistic image, which can then be obtained to the second image captured by the camera.
可选的,考虑到第一图像中除了目标物体之外,还可能存在其他物体,且当其他物体的占比也较大,例如占比达到30%左右,则认为在图像中有明显占比,那么为了整体成效效果的良好,基于第二曝光值进行拍摄时,可以根据其他物体区域的整体亮度其对应的第三曝光值,根据目标物体区域与其他物体区域的面积占比确定其在图像中的曝光权重,将第二曝光值与第三曝光值乘以其各自对应的曝光权重系数,最终得到第四曝光值,并基于第四曝光值控制摄像头进行拍摄,以及获取其拍摄之后对应的图像。Optionally, considering that in addition to the target object, there may be other objects in the first image, and when the proportion of other objects is also large, for example, the proportion reaches about 30%, it is considered that there are obvious proportions in the image. , then in order to achieve a good overall effect, when shooting based on the second exposure value, the third exposure value corresponding to the overall brightness of other object areas can be determined according to the area ratio of the target object area and other object areas. The exposure weight in , the second exposure value and the third exposure value are multiplied by their respective exposure weight coefficients, and finally the fourth exposure value is obtained, and based on the fourth exposure value, the camera is controlled to shoot, and the corresponding image.
可选地,获取到摄像头采集的第二图像之后,可直接显示在装置该摄像头的显示终端上;或直接存储到预设的存储器中;除此之外,还可以对第二图像继续进行清晰度、色彩等方面的处理,处理后再对其进行显示;或在后续图像处理后将其存储。本申请实施例对第二图像后续的处理或使用,不作限定。Optionally, after the second image collected by the camera is acquired, it can be directly displayed on the display terminal where the camera is installed; or directly stored in a preset memory; in addition, the second image can also be kept clear. image processing, and then display it after processing; or store it after subsequent image processing. Subsequent processing or use of the second image is not limited in this embodiment of the present application.
在本申请实施例中,提供一种拍摄方法,首先获取摄像头采集的第一图像,将第一图像中目标物体区域划分为不同颜色区域;然后确定各颜色区域对应的第一曝光值,以及根据各第一曝光值确定第一图像的第二曝光值;最后控制摄像头基于第二曝光值进行拍摄,获取摄像头采集的第二图像。由于亮度会影响颜色的显色程度,那么通过图像整体亮度得到的曝光值调整图像会导致图像中的部分颜色失真,因此在本申请中,通过将图像按照不同的颜色划分为不同颜色区域,根据各颜色区域对应的曝光值,最终确定出整体图像的曝光值,这样确定出的曝光值考虑到了对图像中不同颜色的影响,基于此曝光值拍摄图像可以使得图像中多种颜色都成像准确,进而使得多颜色图像的成像色彩也更加真实。In the embodiment of the present application, a shooting method is provided. First, a first image captured by a camera is obtained, and the target object area in the first image is divided into different color areas; then, the first exposure value corresponding to each color area is determined, and according to Each first exposure value determines a second exposure value of the first image; finally, the camera is controlled to shoot based on the second exposure value, and the second image collected by the camera is acquired. Since the brightness will affect the color rendering degree of the color, adjusting the image by the exposure value obtained by the overall brightness of the image will cause some color distortions in the image. Therefore, in this application, by dividing the image into different color areas according to different colors, according to Exposure value corresponding to each color area, and finally determine the exposure value of the overall image. The exposure value determined in this way takes into account the influence of different colors in the image. Taking an image based on this exposure value can make multiple colors in the image image accurately. In turn, the imaging color of the multi-color image is also more realistic.
请参阅图4,图4为本申请另一实施例提供的一种拍摄方法的流程示意图。Please refer to FIG. 4 , which is a schematic flowchart of a photographing method provided by another embodiment of the present application.
如图4所示,拍摄方法至少可以包括:As shown in Figure 4, the shooting method may include at least:
S401、响应拍摄指令,判断摄像头对应的取景范围内是否包含目标物体。S401. In response to a shooting instruction, determine whether a target object is included in a framing range corresponding to the camera.
可选地,通过上述的实施例可以知道,在针对多颜色场景进行拍摄时,基于图像整体亮度获取的曝光参数和权重系数可能会导致部分颜色由于过曝或欠曝而出现颜色失真,进而导致图像的曝光亮度和颜色与真实场景差异较大。又由于真实场景中的多颜色场景多且复杂,而用户通常对特定多颜色场景中的主体存在记忆色,记忆色是指人们在长期实践中对某些颜色的认识形成了深刻的记忆,因此对这些颜色的认识有一定的规律并形成固有的习惯,这类颜色就称为记忆色,例如在鲜花场景中,人们对鲜花这种常出现在生活中的物体会出现固定的颜色认知,那么当人们使用拍摄设备拍摄鲜花场景时,就会对图像中的亮度色彩与真实认知体验的亮度色彩之间的差异更加敏感,因此对特定多颜色场景的曝光参数若仅基于亮度得到,就会极大影响用户体验感。Optionally, it can be known from the above-mentioned embodiments that, when shooting for a multi-color scene, the exposure parameters and weight coefficients obtained based on the overall brightness of the image may cause some colors to be distorted due to overexposure or underexposure, thereby causing color distortion. The exposure brightness and color of the image are quite different from the real scene. And because the multi-color scenes in the real scene are many and complex, and users usually have memory colors for the subjects in specific multi-color scenes, memory colors refer to people's long-term practice of certain colors. The cognition of these colors has certain rules and forms an inherent habit. Such colors are called memory colors. For example, in the scene of flowers, people will have a fixed color cognition to the objects that often appear in life, such as flowers. Then when people use shooting equipment to shoot flower scenes, they will be more sensitive to the difference between the brightness and color in the image and the brightness and color of the real cognitive experience. Therefore, if the exposure parameters for a specific multi-color scene are only based on the brightness, it will be It will greatly affect the user experience.
可选的,为了对多颜色场景进行特定对应的曝光值计算,那么需要首先确定用户当前的拍摄需求,用户产生拍摄需求后会通过装置有摄像头的终端发出拍摄指令,那么就可以响应拍摄指令,进而判断摄像头取景范围内是否包含多颜色场景对应的目标物体。Optionally, in order to perform a specific corresponding exposure value calculation for a multi-color scene, it is necessary to first determine the current shooting demand of the user. After the user generates a shooting demand, a shooting instruction will be issued through a terminal equipped with a camera, and then the shooting instruction can be responded to. Then, it is judged whether the target object corresponding to the multi-color scene is included in the viewing range of the camera.
具体地,对于特定多颜色场景,可能不同多颜色场景的主体不同,其需要的曝光以及曝光值计算方式也不同,那么在判断摄像头对应的取景范围内是否包含目标物体时,就可以首先获取摄像头在取景范围内采集的初始图像,以及获取摄像头设置的目标优化场景和目标优化场景对应的目标物体,再判断采集的初始图像中是否包含目标物体,这样就可以根据目标优化场景和对应的目标物体确定对应的曝光值计算方式,使得图像的成像更加真实。Specifically, for a specific multi-color scene, the subject of different multi-color scenes may be different, and the required exposure and exposure value calculation methods are also different, so when judging whether the target object is included in the framing range corresponding to the camera, the camera can be obtained first. The initial image collected in the viewing range, and the target optimized scene set by the camera and the target object corresponding to the target optimized scene are obtained, and then it is judged whether the collected initial image contains the target object, so that the scene and the corresponding target object can be optimized according to the target Determine the corresponding exposure value calculation method to make the imaging of the image more realistic.
可选的,用户可以通过装置有摄像头的终端对摄像头进行控制,在用户终端上,摄像头设置的目标优化场景可以是摄像头默认的,也可以是用户提前设置的,还可以是用户在拍摄指令中选择的,本申请实施例对目标优化场景的设置不作限定,且当摄像头没有设置好的目标优化场景时,可以依据摄像头的常规默认拍摄模式进行拍摄,并不执行本申请的拍摄方法。真实场景中的一些多颜色场景往往为一些具有代表性的场景,这类场景通常有对应的特定拍摄主体作为目标物体,那么确定拍摄的目标优化场景后,可以根据场景确定出对应的目标物体,在游乐园场景中,目标物体为游乐园设施;在玩具商店场景中,目标物体为多种类玩具;在鲜花场景中,目标物体为各不同颜色的鲜花。Optionally, the user can control the camera through a terminal equipped with a camera. On the user terminal, the target optimization scene set by the camera can be the default of the camera, or it can be set in advance by the user, or it can be set by the user in the shooting instruction. Optionally, the embodiment of the present application does not limit the setting of the target optimization scene, and when the camera does not have a set target optimization scene, the camera can shoot according to the conventional default shooting mode of the camera, and the shooting method of the present application is not executed. Some multi-color scenes in real scenes are often representative scenes. Such scenes usually have a corresponding specific subject as the target object. After determining the target optimization scene for shooting, the corresponding target object can be determined according to the scene. In the amusement park scene, the target objects are amusement park facilities; in the toy store scene, the target objects are various types of toys; in the flower scene, the target objects are flowers of different colors.
以鲜花场景为例,当用户产生拍摄鲜花场景需求时,可以通过拍摄软件或拍摄图标进入拍摄界面,用户进入拍摄界面后,可以根据具体场景设置“鲜花场景”为摄像头对应的目标优化场景,设置好后摄像头就按照鲜花场景确定取景范围内对应的目标物体为鲜花,用户需要拍摄获取图像时,就可以通过终端输入拍摄指令,终端接收到拍摄指令后控制摄像头进行拍摄,进而获取拍摄到的对应鲜花图像。Taking the flower scene as an example, when the user needs to shoot the flower scene, he can enter the shooting interface through the shooting software or the shooting icon. After the user enters the shooting interface, he can set the "flower scene" as the target optimization scene corresponding to the camera according to the specific scene. After that, the camera determines that the corresponding target object within the framing range is a flower according to the flower scene. When the user needs to capture an image, he can input a shooting instruction through the terminal. After receiving the shooting instruction, the terminal controls the camera to shoot, and then obtains the corresponding image captured. image of flowers.
请参阅图5,图5为本申请实施例提供的一种用户终端交互示意图。Please refer to FIG. 5 , which is a schematic diagram of user terminal interaction provided by an embodiment of the present application.
如图5所示,在用户终端500的显示界面510中,用户520可以通过拍摄软件530进入拍摄界面540,在拍摄界面540中,当用户520在“普通”、“娱乐”、“玩具”、“鲜花”等多个选项中点击或者选择“鲜花”选项550之后,即为用户520设置鲜花场景为目标优化场景,且确定目标物体为鲜花,那么此时在拍摄界面540中,显示“鲜花场景”的提示字样,并执行后续拍摄方法的具体过程。As shown in FIG. 5 , in the
在一种优选的实施例中,在判断初始图像中是否包含目标物体时,可以是基于人工智能(Artificial Intelligence,AI)进行目标优化场景的识别和对应目标物体的识别,以鲜花场景为例,可以将大量鲜花图像样本提供给鲜花场景神经网络进行学习,直到鲜花场景神经网络能够根据鲜花特征识别出场景中的鲜花时,再根据鲜花区域在图像中的面积计算鲜花面积占比,当占比达到预设占比时确定图像中的场景为鲜花场景以及确定出其中的鲜花作为目标物体。可以理解的,本申请实施例对具体的AI网络训练方法和预设占比不作限定,可以根据实际情况进行设置。自动根据目标优化场景确定出目标物体,再在图像中确定出目标物体,再判断出当前取景范围内是够包含目标物体进而确定对应的曝光值计算方式,而不需要用户手动设置或手动选择取景范围内的物体,方便用户进行拍摄,提升了用户的使用体验。In a preferred embodiment, when judging whether the initial image contains a target object, it can be based on artificial intelligence (Artificial Intelligence, AI) to identify the target optimization scene and the identification of the corresponding target object, taking the scene of flowers as an example, A large number of flower image samples can be provided to the flower scene neural network for learning, until the flower scene neural network can identify the flowers in the scene according to the characteristics of the flowers, and then calculate the proportion of the flower area according to the area of the flower area in the image. When the preset ratio is reached, it is determined that the scene in the image is a flower scene, and the flowers therein are determined as the target object. It can be understood that the embodiments of the present application do not limit the specific AI network training method and the preset ratio, and can be set according to actual conditions. Automatically determine the target object according to the target optimization scene, and then determine the target object in the image, and then determine whether the target object is included in the current framing range to determine the corresponding exposure value calculation method, without the need for the user to manually set or manually select the framing Objects within the range are convenient for users to shoot, and the user experience is improved.
S402、在确定摄像头对应的取景范围内包含目标物体时,获取摄像头采集的第一图像。S402. When it is determined that the target object is included in the framing range corresponding to the camera, acquire a first image collected by the camera.
可选的,确定当前取景范围内包含目标物体时,就可以确定当前场景为用户希望拍摄的预设场景,进而可以将摄像头采集到的图像作为第一图像,以及获取摄像头采集到的第一图像,便于对第一图像的曝光参数进行计算和调整。Optionally, when it is determined that the target object is included in the current framing range, it can be determined that the current scene is a preset scene that the user wishes to shoot, and then the image collected by the camera can be used as the first image, and the first image collected by the camera can be obtained. , which is convenient for calculating and adjusting the exposure parameters of the first image.
S403、将第一图像中目标物体区域划分为不同颜色区域。S403. Divide the target object area in the first image into different color areas.
可选的,在多颜色场景中,目标物体的不同颜色影响了图像整体需要的曝光值,曝光值又影响了各颜色在图像中的成像效果,因此为了考虑到目标物体的多种颜色的曝光值以求出第一图像最合适的曝光值,可以按照颜色将图像划分为不同区域,根据各颜色区域的亮度等成像参数来确定图像的曝光值,也即用户通过摄像头获取摄像头采集图像后,可以将第一图像按照颜色划分为不同颜色区域,以使得确定第一图像的曝光值时能够考虑到不同颜色的色彩表现和成像参数对图像曝光值的影响。Optionally, in a multi-color scene, the different colors of the target object affect the exposure value required by the overall image, and the exposure value affects the imaging effect of each color in the image. Therefore, in order to consider the exposure of the target object for multiple colors The image can be divided into different areas according to the color, and the exposure value of the image can be determined according to the imaging parameters such as the brightness of each color area, that is, after the user obtains the image through the camera, The first image may be divided into different color regions according to color, so that the color representation of different colors and the influence of imaging parameters on the image exposure value can be considered when determining the exposure value of the first image.
可选地,在第一图像的目标物体区域中,可能有部分颜色区域的面积较小,例如占比为1%,则认为其较不明显且不会与图像曝光产生严重的相互影响,那么在对目标物体区域进行划分时,就不需要对其划分为多颜色区域,也即不将其第一曝光值计入第二曝光值的计算范围,在不影响第二曝光值的计算准确性以及图像的成像真实性的情况下减少了计算量,加快了计算处理速度。Optionally, in the target object area of the first image, there may be some color areas with a small area, for example, if the area is 1%, it is considered that it is less obvious and will not have a serious interaction with the image exposure, then When dividing the target object area, it does not need to be divided into multi-color areas, that is, the first exposure value is not included in the calculation range of the second exposure value, and the calculation accuracy of the second exposure value is not affected. As well as the imaging authenticity of the image, the calculation amount is reduced and the calculation processing speed is accelerated.
S404、根据各颜色区域对应的成像参数确定各颜色区域对应的第一曝光值。S404. Determine the first exposure value corresponding to each color area according to the imaging parameters corresponding to each color area.
可选的,由于各颜色区域对应的曝光值都会对图像的曝光产生影响,那么就可以结合各颜色区域的曝光值来确定图像的曝光值,因此需要首先确定各颜色区域对应的曝光值,才能进一步计算第一图像的第二曝光值。Optionally, since the exposure value corresponding to each color area will affect the exposure of the image, the exposure value of the image can be determined in combination with the exposure value of each color area. Therefore, it is necessary to first determine the exposure value corresponding to each color area. A second exposure value of the first image is further calculated.
可选的,由于曝光值不仅与亮度有关,还可能与颜色表现有关,那么仅基于亮度得到的曝光值会导致部分颜色的成像效果较差,进而在亮度考虑曝光值的基础上,还可以考虑多种其他成像参数对曝光值的影响,从多个成像维度对曝光值进行计算,确定各颜色区域对应的最准确的曝光值,也即根据各颜色区域对应的成像参数确定各颜色区域对应的第一曝光值。Optionally, since the exposure value is not only related to the brightness, but may also be related to the color performance, the exposure value obtained only based on the brightness will lead to poor imaging effect of some colors. The influence of various other imaging parameters on the exposure value, the exposure value is calculated from multiple imaging dimensions, and the most accurate exposure value corresponding to each color area is determined, that is, the corresponding imaging parameter of each color area is determined. first exposure value.
具体地,成像参数中至少包括色相参数,容易理解的,色相是色彩的首要特征,是区别各种不同色彩的最准确的标准,一般在图像处理中考虑色彩时,通常通过色相维度进行体现,那在对图像的成像参数进行量化时,色相参数就成为成像参数中的重要指标之一,可以用于表示图像中色相的表现情况。因此在根据各颜色区域的成像参数确定各颜色区域对应的第一曝光值时,可以具体为根据各颜色区域的成像参数中的色相参数确定各颜色区域对应的第一曝光值,这样不局限于亮度维度,而是通过图像的色相、亮度这两个维度来计算各颜色区域的第一曝光值,可以更加准确,成像更加真实。Specifically, the imaging parameters include at least the hue parameter. It is easy to understand that hue is the primary feature of color and the most accurate standard for distinguishing various colors. Generally, when color is considered in image processing, it is usually reflected by the hue dimension. Then when the imaging parameters of the image are quantified, the hue parameter becomes one of the important indicators in the imaging parameter, and can be used to represent the performance of the hue in the image. Therefore, when determining the first exposure value corresponding to each color region according to the imaging parameters of each color region, the first exposure value corresponding to each color region may be determined according to the hue parameter in the imaging parameters of each color region, which is not limited to The brightness dimension, but the first exposure value of each color area is calculated through the two dimensions of the image's hue and brightness, which can be more accurate and the imaging is more realistic.
S405、根据各颜色区域对应的第一曝光值以及各颜色区域对应的成像参数,确定第一图像的第二曝光值。S405. Determine the second exposure value of the first image according to the first exposure value corresponding to each color area and the imaging parameter corresponding to each color area.
可选地,计算出各颜色区域的第一曝光值后,可以根据各第一曝光值计算第一图像的第二曝光值,由于各颜色区域的颜色、亮度等成像参数都会影响到的第二曝光值的准确性,进而影响成像,因此在计算第二曝光值时可以根据各颜色区域对应的第一曝光值以及各颜色区域对应的成像参数来确定第二曝光值,这样根据各颜色区域的各成像参数和第一曝光值确定的第二曝光值,可以使得摄像头拍摄得到更理想的成像。Optionally, after calculating the first exposure value of each color area, the second exposure value of the first image can be calculated according to each first exposure value, because the color, brightness and other imaging parameters of each color area will affect the second exposure value. Therefore, when calculating the second exposure value, the second exposure value can be determined according to the first exposure value corresponding to each color area and the imaging parameters corresponding to each color area. The second exposure value determined by each imaging parameter and the first exposure value can enable the camera to capture a more ideal image.
具体地,在计算第二曝光值时,需要考虑到各颜色区域对图像的影响权重,例如,颜色鲜艳的区域比颜色浅淡的区域对图像的曝光值影响较大,面积较大的区域比面积较小的区域对图像的曝光值影响较大,因此除了各颜色区域的第一曝光值会影响图像的第二曝光值,各颜色区域的其他成像参数也是影响第二曝光值的重要因素,而各颜色区域的成像参数对第二曝光值的影响程度通过成像参数对应的权重值来体现,基于此,可以根据各颜色区域中各成像参数对应的权重值以及各颜色区域对应的第一曝光值,计算出各颜色区域的第一权重曝光值,第一权重曝光值表示了各颜色区域的第一曝光值按照各自对第二曝光值的影响权重计算出的在第二曝光值中的对应曝光数值,例如,某颜色区域的第一曝光值为20,该颜色区域的权重为0.4,那么两者相乘得到曝光值8,则为其计入第二曝光值中的曝光数值。Specifically, when calculating the second exposure value, it is necessary to consider the influence weight of each color area on the image. For example, a brightly colored area has a greater impact on the exposure value of the image than a lightly colored area, and a larger area has a greater impact on the exposure value of the image. Areas with smaller areas have a greater impact on the exposure value of the image. Therefore, in addition to the first exposure value of each color area affecting the second exposure value of the image, other imaging parameters of each color area are also important factors that affect the second exposure value. The degree of influence of the imaging parameters of each color area on the second exposure value is reflected by the weight value corresponding to the imaging parameter. Based on this, the weight value corresponding to each imaging parameter in each color area and the first exposure value corresponding to each color area can be value, the first weighted exposure value of each color area is calculated, and the first weighted exposure value represents the corresponding first exposure value of each color area in the second exposure value calculated according to the respective influence weights on the second exposure value Exposure value, for example, the first exposure value of a certain color area is 20, the weight of this color area is 0.4, then the exposure value of 8 is obtained by multiplying the two, which is the exposure value included in the second exposure value.
可选的,各颜色区域的成像参数可以是多种影响成像的参数,例如,面积参数、饱和度参数、亮度参数、色彩参数、噪音参数等,本申请实施例对此不作限定。在本申请实施例中,为了方便描述,选择成像参数中包括面积参数、色相参数、亮度参数作为一个优选的实施例,并以此进行后续曝光值计算的具体说明,容易理解的,各颜色区域的面积参数、色相参数、亮度参数都有各自对应的权重值,三者乘积即可作为该颜色区域对应的权重值,那么将该颜色区域记为i,那么该颜色区域的第一曝光值为Ti、面积参数表示为Ai、色相参数表示为Hi、亮度参数表示为Bi,进而Ai对应的权重值为Hi对应的权重值为Bi对应的权重值为此时计算各颜色区域的第一权重曝光值的具体过程可以表示为Optionally, the imaging parameters of each color region may be various parameters that affect imaging, such as area parameters, saturation parameters, brightness parameters, color parameters, noise parameters, etc., which are not limited in this embodiment of the present application. In the embodiment of the present application, for the convenience of description, the imaging parameters including the area parameter, the hue parameter, and the brightness parameter are selected as a preferred embodiment, and a specific description of the subsequent exposure value calculation is carried out based on this. It is easy to understand that each color area The area parameter, hue parameter, and brightness parameter have their corresponding weight values, and the product of the three can be used as the weight value corresponding to the color area, then the color area is recorded as i, then the first exposure value of the color area is Ti , the area parameter is expressed as Ai , the hue parameter is expressed as Hi , the brightness parameter is expressed as Bi , and the corresponding weight value of Ai is The corresponding weight value of Hi is The corresponding weight value of Bi is At this time, the specific process of calculating the first weighted exposure value of each color region can be expressed as
可选的,要计算第二曝光值,还需要计算出将各颜色区域在图像中的权重值,各颜色区域的面积参数、色相参数、亮度参数的乘积即可作为该颜色区域对应的权重值,也即计算各颜色区域的成像参数权重积为进而可以根据各颜色区域的第一权重曝光值以及各颜色区域的成像参数权重积,确定第一图像的第二曝光值,将所有颜色区域的对应值做和,得到各颜色区域的第一权重曝光值之和,以及各颜色区域的成像参数权重积之和,再将第一权重曝光值之和与成像参数权重积之和做商,根据商值得到第一图像的第二曝光值T为:Optionally, to calculate the second exposure value, it is also necessary to calculate the weight value of each color area in the image, and the product of the area parameter, hue parameter, and brightness parameter of each color area can be used as the weight value corresponding to the color area. , that is, the imaging parameter weight product of each color region is calculated as Further, the second exposure value of the first image can be determined according to the first weighted exposure value of each color area and the imaging parameter weight product of each color area, and the corresponding values of all color areas can be summed to obtain the first weight of each color area. The sum of the exposure values, and the sum of the imaging parameter weight products of each color area, and then the first weight exposure value sum and the imaging parameter weight product sum are quotient, and the second exposure value T of the first image is obtained according to the quotient value as :
这样得到的第二曝光值即为拍摄当前场景最还原、准确的曝光值。The second exposure value obtained in this way is the most restored and accurate exposure value for shooting the current scene.
S406、控制摄像头基于第二曝光值进行拍摄,获取摄像头采集的第二图像。S406: Control the camera to shoot based on the second exposure value, and acquire the second image collected by the camera.
关于步骤S406,请参阅步骤S303中的详细记载,此处不再赘述。Regarding step S406, please refer to the detailed description in step S303, which will not be repeated here.
在本申请实施例中,提供一种拍摄方法,详细说明了获取摄像头采集的第一图像时,用户可以自由设置个性化的目标优化场景,方便了用户使用摄像设备对目标场景进行拍摄;而在计算各颜色区域的第一曝光值时,从面积、色相、亮度三个维度对其进行计算,考虑到了颜色对曝光值的影响,使得多颜色成像更加真实;并进一步在计算第二曝光值时,考虑了图像中各颜色对图像整体的影响,也从多个颜色的多个维度对图像曝光值进行计算,最终得到当前场景下的全局成像效果最优曝光,第二曝光值使得拍摄出的画面更加真实,提高了画面的色彩真实度和还原度,进而加强用户体验。In the embodiment of the present application, a shooting method is provided, and it is explained in detail that when acquiring the first image collected by the camera, the user can freely set a personalized target optimization scene, which facilitates the user to use the camera device to shoot the target scene; When calculating the first exposure value of each color area, it is calculated from the three dimensions of area, hue, and brightness, taking into account the influence of color on the exposure value, making multi-color imaging more realistic; and further when calculating the second exposure value. , considering the influence of each color in the image on the image as a whole, and also calculate the image exposure value from multiple dimensions of multiple colors, and finally obtain the optimal exposure of the global imaging effect in the current scene, and the second exposure value makes the captured image The picture is more realistic, which improves the color authenticity and restoration of the picture, thereby enhancing the user experience.
请参阅图6,图6为本申请另一实施例提供的一种数字图像处理的算法示意图。Please refer to FIG. 6 , which is a schematic diagram of an algorithm for digital image processing provided by another embodiment of the present application.
在数字图像处理的过程中,通过自动曝光(Auto Exposure,AE)、自动对焦(AutoFocus,AF)、自动白平衡(Auto White Balance,AWB),也即3A输出拍摄参数后,摄像头会基于拍摄参数对图像进行采集,图像信号处理(ISP链路)将会对采集到的图像进行进一步处理,主要功能有噪声去除、色彩还原处理、白平衡处理、阴影坏点处理等。其中主要由自动白平衡处理单元(AWB apply)和颜色校正单元(CCM),颜色调整单元(2DLUT)进行色彩还原。In the process of digital image processing, through Auto Exposure (AE), Auto Focus (AF), Auto White Balance (Auto White Balance, AWB), that is, after 3A outputs the shooting parameters, the camera will be based on the shooting parameters. After the image is collected, the image signal processing (ISP link) will further process the collected image. The main functions are noise removal, color restoration processing, white balance processing, shadow dead pixel processing, etc. Among them, the automatic white balance processing unit (AWB apply), the color correction unit (CCM) and the color adjustment unit (2DLUT) are mainly used for color restoration.
对于多颜色场景来说,亮度和色彩是体现图像质量的重要指标,当AE自动曝光只基于亮度来进行曝光值的生成,那么会导致部分颜色的亮度色彩表现较差,与真实场景区别较大,而颜色的亮度影响着该颜色的色彩,那么基于该曝光值采集的图像用于ISP链路进行图像处理时,就无法给ISP链路中的自动白平衡处理单元(AWB apply)和色彩还原单元(CCM颜色校正单元,2DLUT颜色调整单元)提供准确的亮度信息以供其对色彩进行处理,进而导致ISP链路对色彩还原的准确性降低。For multi-color scenes, brightness and color are important indicators of image quality. When AE auto exposure only generates exposure values based on brightness, the brightness and color performance of some colors will be poor, which is quite different from the real scene. , and the brightness of the color affects the color of the color, then when the image collected based on this exposure value is used for image processing on the ISP link, it cannot be used for the automatic white balance processing unit (AWB apply) and color restoration in the ISP link. The unit (CCM color correction unit, 2DLUT color adjustment unit) provides accurate luminance information for it to process color, which in turn leads to a decrease in the accuracy of color reproduction by the ISP link.
因此本申请另一实施例提供一种拍摄方法,以解决上述技术问题。Therefore, another embodiment of the present application provides a photographing method to solve the above technical problem.
请参阅图7,图7为本申请另一实施例提供的一种拍摄方法的流程示意图。Please refer to FIG. 7 , which is a schematic flowchart of a photographing method provided by another embodiment of the present application.
如图7所示,拍摄方法至少可以包括:As shown in FIG. 7 , the photographing method may include at least:
S701、获取摄像头采集的第一图像,将第一图像中目标物体区域划分为不同颜色区域。S701. Acquire a first image collected by a camera, and divide the target object area in the first image into different color areas.
S702、确定各颜色区域对应的第一曝光值,以及根据各第一曝光值确定第一图像的第二曝光值。S702. Determine a first exposure value corresponding to each color area, and determine a second exposure value of the first image according to each first exposure value.
S703、控制摄像头基于第二曝光值进行拍摄,获取摄像头采集的第二图像。S703: Control the camera to shoot based on the second exposure value, and acquire a second image collected by the camera.
关于步骤S701-S703,请参阅步骤S301-S303中的详细记载,此处不再赘述。Regarding steps S701-S703, please refer to the detailed description in steps S301-S303, and details are not repeated here.
S704、根据第二曝光值对第二图像中各颜色区域的色彩参数进行调整。S704. Adjust the color parameters of each color area in the second image according to the second exposure value.
可选的,根据前述实施例的介绍可以知道,在多颜色场景中,为了避免基于整体亮度计算出的曝光值会导致部分颜色失真,就将图像划分为不同颜色区域,根据各颜色区域的第一曝光值计算得到图像的第二曝光值,各颜色区域的第一曝光值基于各颜色区域的色相参数得到,各颜色区域的曝光权重也不仅基于亮度参数来计算,而是根据各颜色区域的成像参数(面积参数、色相参数、亮度参数)来确定各颜色场景的曝光权重,进而从不同颜色区域、面积、色相、亮度等多个维度来确定出图像最准确、合理的第二曝光值,使得图像成像真实,颜色准确。Optionally, according to the introduction of the foregoing embodiments, in a multi-color scene, in order to avoid partial color distortion caused by the exposure value calculated based on the overall brightness, the image is divided into different color areas, and the image is divided into different color areas according to the first color area of each color area. An exposure value is calculated to obtain the second exposure value of the image, the first exposure value of each color area is obtained based on the hue parameter of each color area, and the exposure weight of each color area is not only calculated based on the brightness parameter, but also based on the Imaging parameters (area parameter, hue parameter, brightness parameter) to determine the exposure weight of each color scene, and then determine the most accurate and reasonable second exposure value of the image from multiple dimensions such as different color areas, area, hue, brightness, etc. Make the image imaging real, color accurate.
进一步地,为了最终为用户提供最真实还原的图像,在通过第二曝光值对图像进行采集之后,还需要通过ISP链路对图像的色彩进行还原,而第二曝光值综合了图像各颜色区域的色相参数等信息,那么当摄像头基于准确的第二曝光值采集到第二图像之后,就可以根据第二曝光值来计算不同颜色区域的曝光偏差程度,以对第二图像中各颜色区域的色彩参数进行调整。Further, in order to finally provide the user with the most truly restored image, after the image is collected through the second exposure value, the color of the image needs to be restored through the ISP link, and the second exposure value integrates each color area of the image. Then, after the camera collects the second image based on the accurate second exposure value, the exposure deviation degree of different color areas can be calculated according to the second exposure value, so as to determine the difference between the color areas in the second image. Adjust the color parameters.
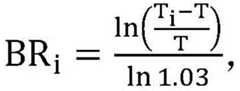
具体地,在对色彩进行还原时,首先需要知道第二图像中的色彩与真实理想色彩之间的差异,而各颜色区域的第一曝光值说明了各颜色区域所需的最佳曝光,第二曝光值说明了图像所需的最佳曝光,那么根据第一曝光值和第二曝光值之间的曝光偏差就能够对色彩还原中参数的调整提供数据支持,即为各第一曝光值Ti与第二曝光值T的相对差距,可以记为亮度比(Bright Ratio,BR)参数。进而在根据第二曝光值调整第二图像中各颜色区域的色彩参数时,可以具体根据第二图像中各颜色区域对应的第一曝光值和第二曝光值计算第二图像中各颜色区域对应的亮度比参数。Specifically, when restoring colors, it is first necessary to know the difference between the color in the second image and the real ideal color, and the first exposure value of each color area indicates the optimal exposure required for each color area, and the first exposure value of each color area The second exposure value indicates the optimal exposure required for the image, then according to the exposure deviation between the first exposure value and the second exposure value, data support can be provided for the adjustment of parameters in color reproduction, that is, each first exposure value T The relative difference betweeni and the second exposure value T may be recorded as a brightness ratio (Bright Ratio, BR) parameter. Furthermore, when adjusting the color parameters of each color area in the second image according to the second exposure value, the corresponding first exposure value and the second exposure value corresponding to each color area in the second image may be specifically calculated to calculate the corresponding color area in the second image. The brightness ratio parameter.
可选的,在颜色区域i的亮度比参数表示为BRi,为了通过亮度比参数准确的表示出对应颜色区域的第一曝光值和第二曝光值之间的差距比例,便于后续准确计量各颜色区域需要的色彩参数调整值,以对各颜色区域进行色彩还原,该亮度比参数为各颜色区域曝光程度的具体量化:Optionally, the brightness ratio parameter in the color area i is expressed as BRi , in order to accurately represent the difference ratio between the first exposure value and the second exposure value of the corresponding color area through the brightness ratio parameter, which is convenient for subsequent accurate measurement of each exposure value. The color parameter adjustment value required by the color area to restore the color of each color area, the brightness ratio parameter is the specific quantification of the exposure degree of each color area:
其中,为第一曝光值与第二曝光值之间的比例差距,说明了该颜色区域所需色彩参数调整值对于的亮度差,取自然对数能够实现明确的量级表示,在ln1.03中,1,03为相邻曝光层级的一个倍数基准,即后一个曝光层级的亮度水平是前一个曝光层级的亮度水平的1.03倍,与1.03的自然对数做商之后可以实现量化AE曝光层级的具体数值,并由BRi值具体表示出当前该颜色区域处于哪一曝光层级,便于后续量化该颜色区域对应的色彩参数。可以理解的,本申请实施例对曝光层级系数不作限定,可以是1.03,也可以是其他自定义的数值。in, is the proportional difference between the first exposure value and the second exposure value, indicating the brightness difference of the required color parameter adjustment value for this color area, and taking the natural logarithm can achieve a clear magnitude representation. In ln1.03, 1,03 is a multiple benchmark of adjacent exposure levels, that is, the brightness level of the next exposure level is 1.03 times the brightness level of the previous exposure level. After quoting with the natural logarithm of 1.03, it is possible to quantify the specificity of the AE exposure level. The value of BRi specifically indicates which exposure level the color area is currently at, which is convenient for subsequent quantification of the color parameters corresponding to the color area. It can be understood that the embodiment of the present application does not limit the exposure level coefficient, which may be 1.03, or may be other custom values.
可选的,在确定各颜色区域对应的亮度比参数之后,将其输入ISP链路的相关颜色调整单元,以便于各单元对对应的色彩参数进行调整。而在3A的AWB自动白平衡中,会通过传感器获取到各颜色区域的色相对应的三基色参数,进而根据计算出白平衡增益值对图像的白平衡进行校正,由于图像进行白平衡校正之后对图像的亮度和各颜色区域的色相都产生一定的影响,那么为了亮度比参数的准确性,还可以基于白平衡增益值对亮度比参数进行调整,以使得抵消白平衡增益值对亮度比参数的影响,确保后续准确对图像色彩进行还原。Optionally, after determining the brightness ratio parameter corresponding to each color area, input it into the relevant color adjustment unit of the ISP link, so that each unit can adjust the corresponding color parameter. In the AWB automatic white balance of 3A, the three primary color parameters corresponding to the color of each color area are obtained through the sensor, and then the white balance of the image is corrected according to the calculated white balance gain value. The brightness of the image and the hue of each color area have a certain impact, so for the accuracy of the brightness ratio parameter, the brightness ratio parameter can also be adjusted based on the white balance gain value, so as to offset the white balance gain value on the brightness ratio parameter. effect, to ensure the subsequent accurate restoration of image color.
具体地,在传感器采集到的各颜色区域的色相参数之后,可以直接获取到对应的三基色成分,自动白平衡AWB是对RAW传感器获取到的三基色数据(R/Gr/Gb/B)参数乘以对应的AWB增益值(AWB gain)值(gainr/gaing/gainb),来实现图像白平衡的校正,基于三基色混合原理,不同颜色的色相H由RGB三基色以不同比例混合而成,因此相应的,各颜色区域的色相H对应的AWB增益值也是以相同的权重比例得到,因此还可以根据第二图像中各颜色区域的色相对应的三基色参数,得到第二图像中各颜色区域的白平衡增益值为:Specifically, after the hue parameters of each color area collected by the sensor, the corresponding three-primary color components can be directly obtained, and the automatic white balance AWB is the three-primary color data (R/Gr/Gb/B) parameters obtained from the RAW sensor. Multiply the corresponding AWB gain value (AWB gain) value (gainr /gaing /gainb ) to correct the white balance of the image. Based on the principle of three-primary color mixing, the hue H of different colors is mixed by the RGB three primary colors in different proportions Therefore, correspondingly, the AWB gain values corresponding to the hue H of each color region are also obtained with the same weight ratio. Therefore, according to the three primary color parameters corresponding to the hue of each color region in the second image, the The white balance gain values for each color area are:
gain′=gainr*Wr+gaing*Wg+gainb*Wb,gain′=gainr *Wr +gaing *Wg +gainb *Wb ,
其中,gain值表示白平衡增益值,W值表示三基色(红-R,绿-G,蓝-B)在当前颜色区域的色相中对应的权重比例。再进一步,可以根据第二图像中各颜色区域的白平衡增益值,调整第二图像中各颜色区域对应的亮度比参数:Among them, the gain value represents the white balance gain value, and the W value represents the corresponding weight ratio of the three primary colors (red-R, green-G, blue-B) in the hue of the current color area. Further, the brightness ratio parameter corresponding to each color area in the second image can be adjusted according to the white balance gain value of each color area in the second image:
BRi=BRi*gain′,BRi =BRi *gain',
对于经过白平衡校正后的各颜色区域,此时计算出的亮度比参数为更加准确的参数,使得后续色彩处理更加还原真实,因此就可以基于各亮度比参数调整第二图像中各颜色区域的色彩参数。For each color area after white balance correction, the calculated brightness ratio parameter is a more accurate parameter, which makes subsequent color processing more realistic. Therefore, the brightness ratio parameter of each color area in the second image can be adjusted based on each brightness ratio parameter. color parameters.
那么,基于各亮度比参数调整第二图像中各颜色区域的色彩参数时,可以具体为,基于各亮度比来分别对色彩参数中的色相(H)、饱和度(S)、明度(V)这三个维度来进行调整,也即基于各亮度比参数调整第二图像中各颜色区域的色彩参数中的色相参数、饱和度参数以及明度参数中的至少一种,因此本申请实施例还提供了一种具体的色彩参数调整方法,以实现各颜色区域对应的色彩调整还原。Then, when adjusting the color parameters of each color region in the second image based on each brightness ratio parameter, it may be specifically: based on each brightness ratio, respectively, adjust the hue (H), saturation (S), lightness (V) in the color parameters. These three dimensions are adjusted, that is, based on each brightness ratio parameter, at least one of the hue parameter, the saturation parameter, and the lightness parameter in the color parameters of each color region in the second image is adjusted. Therefore, the embodiments of the present application also provide A specific color parameter adjustment method is proposed to realize the color adjustment and restoration corresponding to each color area.
请参阅图8,图8为本申请实施例提供的一种色彩参数调整方法的流程示意图。可以理解的,该流程示意图的各步骤都基于各亮度比参数调整第二图像中各颜色区域的色彩参数。如图8所示,色彩参数调整方法至少可以包括:Please refer to FIG. 8 , which is a schematic flowchart of a color parameter adjustment method provided by an embodiment of the present application. It can be understood that each step of the schematic flowchart adjusts the color parameters of each color region in the second image based on each brightness ratio parameter. As shown in Figure 8, the color parameter adjustment method may include at least:
S801、基于各亮度比参数调整第二图像中各颜色区域的色相转换矩阵。S801. Adjust the hue conversion matrix of each color region in the second image based on each luminance ratio parameter.
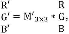
可选的,在图像色彩处理过程中,一般在颜色校正单元(CCM)中将不同色相H的RGB三基色颜色值,通过乘以同一个3×3的色相转换矩阵M,来调整到实际场景中真实颜色的色相H′对应的R′G′B′颜色值,但由于此时的颜色色相的转换校正仅考虑了色相对应的默认转换颜色值,没有考虑到亮度与曝光对于不同色相的影响,而在本申请实施例中,各颜色区域的亮度比参数代表了各颜色区域在图像中的亮度情况与曝光情况,因此在各颜色区域的亮度比参数调整后,可以基于亮度比参数对各颜色区域的色相转换矩阵M进行调整。Optionally, in the process of image color processing, generally in the color correction unit (CCM), the color values of the RGB three primary colors of different hues H are multiplied by the same 3×3 hue conversion matrix M to adjust to the actual scene. The R'G'B' color value corresponding to the hue H' of the real color in the , and in the embodiment of the present application, the brightness ratio parameter of each color region represents the brightness and exposure of each color region in the image. Therefore, after the brightness ratio parameter of each color region is adjusted, each color region can be adjusted based on the brightness ratio parameter. The hue conversion matrix M of the color area is adjusted.
具体地,调整色相转换矩阵M时,可以基于各亮度比参数生成色相权重矩阵,根据色相权重矩阵调整第二图像中各颜色区域的色相转换矩阵。其中色相权重矩阵为:Specifically, when adjusting the hue conversion matrix M, a hue weight matrix may be generated based on each luminance ratio parameter, and the hue conversion matrix of each color region in the second image may be adjusted according to the hue weight matrix. where the hue weight matrix is:
其中,为根据该颜色区域的色相中三基色各自对应的权重比例得到的三基色对应的亮度比权重,进而得到调整后的色相转换矩阵M′:in, is the luminance ratio weight corresponding to the three primary colors obtained according to the corresponding weight ratios of the three primary colors in the hue of the color region, and then obtains the adjusted hue conversion matrix M′:
最终得到基于亮度比参数调整后的色相转换矩阵M′,可以使得不同颜色区域的色相能够通过自适应的转换矩阵来完成颜色色相的准确转换。Finally, a hue conversion matrix M' adjusted based on the luminance ratio parameter is obtained, which can enable the hue of different color regions to complete the accurate conversion of color and hue through an adaptive conversion matrix.
S802、基于色相转换矩阵计算第二图像中各颜色区域的色彩参数中的色相参数。S802. Calculate the hue parameter in the color parameters of each color region in the second image based on the hue conversion matrix.
可选的,确定调整后的色相转换矩阵M′之后,就可以计算得到转换后的色相H′对应的R′G′B′颜色值为:Optionally, after determining the adjusted hue conversion matrix M', the R'G'B' color value corresponding to the converted hue H' can be calculated as:
此时就校正得到更加接近真实场景的颜色,图像的色彩将更加还原,用户体验提升。At this time, the color that is closer to the real scene is obtained by correction, the color of the image will be more restored, and the user experience will be improved.
S803、获取第二图像中各颜色区域的色彩参数中的饱和度参数对应的饱和度参数调整值,以及获取第二图像中各颜色区域的色彩参数中的明度参数对应的明度参数调整值。S803: Acquire a saturation parameter adjustment value corresponding to a saturation parameter in the color parameters of each color region in the second image, and obtain a brightness parameter adjustment value corresponding to the lightness parameter in the color parameters of each color region in the second image.
可选的,在图像的颜色空间中,一般以三个维度,即色相维度(Hue,H)、饱和度维度(Saturation,S)、明度维度(Value,V)来对颜色进行全方面的处理,因此对图像颜色中的色相参数进行校正之后,还需要对各颜色区域对应的饱和度参数和明度参数进行调整,而颜色调整单元(2DLUT)可以通过对饱和度参数和明度参数来进行主要的调整(也会对色相参数进行相应的微小调整),来得到颜色的三个维度的准确还原,或者颜色风格的偏好设置,例如用户设置的自定义滤镜模式。Optionally, in the color space of the image, the color is generally processed in three dimensions, namely the hue dimension (Hue, H), the saturation dimension (Saturation, S), and the lightness dimension (Value, V). , so after correcting the hue parameters in the image color, it is also necessary to adjust the saturation parameters and lightness parameters corresponding to each color area, and the color adjustment unit (2DLUT) can adjust the saturation parameters and lightness parameters. Adjustment (and corresponding minor adjustments to the hue parameter) to obtain accurate restoration of the three dimensions of the color, or color style preferences, such as the custom filter mode set by the user.
可选地,颜色的色相、饱和度、明度可以由传感器直接获取得到,且在对饱和度参数和明度参数进行调整时,可以通过查表获取各颜色区域的饱和度参数对应的饱和度参数调整值和明度参数对应的明度参数调整值,将饱和度参数调整值和明度参数调整值应用于图像处理,即得到满足用户亮度、色彩需求的图像。本申请实施例对饱和度参数、明度参数、饱和度参数调整值、明度参数调整值的获取方法均不作限定。Optionally, the hue, saturation, and lightness of the color can be obtained directly by the sensor, and when adjusting the saturation parameter and the lightness parameter, the adjustment of the saturation parameter corresponding to the saturation parameter of each color area can be obtained by looking up the table. value and the brightness parameter adjustment value corresponding to the brightness parameter, and apply the saturation parameter adjustment value and the brightness parameter adjustment value to image processing to obtain an image that meets the user's brightness and color requirements. The embodiments of the present application do not limit the acquisition methods of the saturation parameter, the brightness parameter, the adjustment value of the saturation parameter, and the adjustment value of the brightness parameter.
S804、基于第二图像中各颜色区域的各亮度比参数,生成第二图像中各颜色区域的调整量限制参数,以及基于第二图像中各颜色区域的各亮度比参数,生成第二图像中各颜色区域的调整量限制参数。S804. Based on the brightness ratio parameters of each color region in the second image, generate adjustment limit parameters for each color region in the second image, and based on the brightness ratio parameters of each color region in the second image, generate the second image. Adjustment limit parameter for each color area.
可选的,在调整过程中,饱和度参数调整值和明度参数调整值都需要满足一定的限制,以避免调整值导致对应颜色区域的饱和度和明度不合理,影响图像的整体效果,那么各颜色区域的亮度比参数可以应用在查表映射调整过程中,从颜色区域对应的亮度和曝光程度进行参考,限制各颜色区域的饱和度参数和明度参数的调整量,以防调整过度发生颜色溢出的现象。调整前饱和度和明度为S和V,调整后的饱和度和明度为S′和V′,通过亮度比参数可以生成一个调整量限制参数Optionally, during the adjustment process, the adjustment value of the saturation parameter and the adjustment value of the lightness parameter need to meet certain restrictions, so as to avoid the adjustment value causing the unreasonable saturation and brightness of the corresponding color area and affecting the overall effect of the image, then each The brightness ratio parameter of the color area can be used in the adjustment process of the look-up table mapping. Refer to the brightness and exposure level corresponding to the color area to limit the adjustment amount of the saturation parameter and lightness parameter of each color area to prevent the color overflow from excessive adjustment. The phenomenon. The saturation and lightness before adjustment are S and V, and the saturation and lightness after adjustment are S' and V'. An adjustment limit parameter can be generated through the brightness ratio parameter.
S805、基于第二图像中各颜色区域的各调整量限制参数以及各饱和度参数调整值,调整第二图像中各颜色区域的色彩参数中的饱和度参数,以及基于第二图像中各颜色区域的各调整量限制参数以及各明度参数调整值,调整第二图像中各颜色区域的色彩参数中的明度参数。S805. Adjust the saturation parameter in the color parameters of each color region in the second image based on the adjustment limit parameters of each color region in the second image and the adjustment value of each saturation parameter, and adjust the saturation parameter in the color parameters of each color region in the second image based on the adjustment value of each color region in the second image. Each adjustment amount limit parameter and each brightness parameter adjustment value of , adjust the brightness parameter in the color parameters of each color region in the second image.
可选地,基于各调整量限制参数得到的有效调控查找表调控范围为:Optionally, the effective control lookup table control range obtained based on each adjustment limit parameter is:
其中,min为取对应括号中的最小值,max为取对应括号中的最大值,S″和V″为基于该调整范围确定出的最终饱和度参数调整值和明度参数调整值。经过对颜色空间HSV三个维度上的调整,全面地实现了亮度曝光信息对于颜色还原处理的优化提升,针对多颜色区域的亮度曝光对各颜色区域的色彩进行针对性优化,得到亮度准确、色彩真实、颜色艳丽的多颜色场景图像。Wherein, min is the minimum value in the corresponding brackets, max is the maximum value in the corresponding brackets, and S″ and V″ are the final saturation parameter adjustment values and lightness parameter adjustment values determined based on the adjustment range. After adjusting the three dimensions of the color space HSV, the optimization and improvement of the brightness exposure information for the color restoration process is fully realized, and the color of each color area is optimized for the brightness exposure of the multi-color area to obtain accurate brightness and color. Realistic, vibrantly colored multicolor scene images.
在本申请实施例中,提供一种拍摄方法。基于各颜色区域的面积、色相、亮度和第一曝光值确定的图像第二曝光值,是第二图像最准确的曝光值,基于第二曝光值,进一步对色彩进行还原,首先根据第一曝光值和第二曝光值得到亮度比参数,对各颜色区域的曝光层级进行量化,并在根据白平衡增益值对亮度比参数进行调整后,使得后续可以根据亮度比参数调整具体的色相转换矩阵,实现不同颜色区域的色相准确转换,并根据亮度比参数优化饱和度、明度的调整出更加合理的限制范围,确保了图像中色彩还原的准确性,得到亮度色彩准确还原的图像,且在优化过程中使得ISP颜色处理单元(AWB/CCM/2DLUT)对于色彩的还原及调整更为精细和准确,从算法层面改进了色彩与亮度的效果,使得曝光亮度与色彩还原之间的联系更加密切,为多颜色场景图像的色彩处理及亮度呈现提供了新的思路和方案。In an embodiment of the present application, a photographing method is provided. The second exposure value of the image determined based on the area, hue, brightness and first exposure value of each color area is the most accurate exposure value of the second image. Based on the second exposure value, the color is further restored. First, according to the first exposure value value and the second exposure value to obtain the brightness ratio parameter, quantify the exposure level of each color area, and adjust the brightness ratio parameter according to the white balance gain value, so that the specific hue conversion matrix can be adjusted according to the brightness ratio parameter later, Realize accurate hue conversion of different color areas, and optimize saturation and brightness according to the brightness ratio parameter to adjust the more reasonable limit range, ensure the accuracy of color restoration in the image, and obtain images with accurate brightness and color restoration, and in the optimization process It makes the ISP color processing unit (AWB/CCM/2DLUT) more precise and accurate for color restoration and adjustment, improves the effect of color and brightness from the algorithm level, and makes the relationship between exposure brightness and color reproduction more closely. The color processing and brightness rendering of multi-color scene images provide new ideas and solutions.
请参阅图9,图9为本申请实施例提供的一种拍摄装置的结构框图。如图9所示,拍摄装置900包括:Please refer to FIG. 9 , which is a structural block diagram of a photographing apparatus provided by an embodiment of the present application. As shown in FIG. 9, the photographing
区域划分模块910,用于获取摄像头采集的第一图像,将第一图像中目标物体区域划分为不同颜色区域;an
曝光计算模块920,用于确定各颜色区域对应的第一曝光值,以及根据各第一曝光值确定第一图像的第二曝光值;an
图像拍摄模块930,用于控制摄像头基于第二曝光值进行拍摄,获取摄像头采集的第二图像。The
可选地,区域划分模块910,还用于响应拍摄指令,判断摄像头对应的取景范围内是否包含目标物体;在确定摄像头对应的取景范围内包含目标物体时,获取摄像头采集的第一图像。Optionally, the
可选地,曝光计算模块920,还用于根据各颜色区域对应的成像参数确定各颜色区域对应的第一曝光值。Optionally, the
可选地,曝光计算模块920,还用于根据各颜色区域对应的第一曝光值以及各颜色区域对应的成像参数,确定第一图像的第二曝光值。Optionally, the
可选地,曝光计算模块920,还用于根据各颜色区域中各成像参数对应的权重值以及各颜色区域对应的第一曝光值,计算各颜色区域的第一权重曝光值;根据各颜色区域中各成像参数对应的权重值,计算各颜色区域的成像参数权重积;根据各颜色区域的第一权重曝光值以及各颜色区域的成像参数权重积,确定第一图像的第二曝光值。Optionally, the
可选地,拍摄装置900还包括:颜色处理模块,用于根据第二曝光值对第二图像中各颜色区域的色彩参数进行调整。Optionally, the photographing
可选地,颜色处理模块,还用于根据第二图像中各颜色区域对应的第一曝光值和第二曝光值计算第二图像中各颜色区域对应的亮度比参数;基于各亮度比参数调整第二图像中各颜色区域的色彩参数。Optionally, the color processing module is further configured to calculate the brightness ratio parameter corresponding to each color region in the second image according to the first exposure value and the second exposure value corresponding to each color region in the second image; adjust based on each brightness ratio parameter; Color parameters of each color area in the second image.
可选地,颜色处理模块,还用于根据第二图像中各颜色区域的色相对应的三基色参数,得到第二图像中各颜色区域的白平衡增益值;根据第二图像中各颜色区域的白平衡增益值,调整第二图像中各颜色区域对应的亮度比参数。Optionally, the color processing module is further configured to obtain the white balance gain value of each color area in the second image according to the three primary color parameters corresponding to the color phase of each color area in the second image; The white balance gain value is used to adjust the brightness ratio parameter corresponding to each color area in the second image.
可选地,颜色处理模块,还用于基于各亮度比参数调整第二图像中各颜色区域的色彩参数中的色相参数、饱和度参数以及明度参数中的至少一种。Optionally, the color processing module is further configured to adjust at least one of a hue parameter, a saturation parameter and a lightness parameter in the color parameters of each color region in the second image based on each luminance ratio parameter.
可选地,颜色处理模块,还用于基于各亮度比参数调整第二图像中各颜色区域的色相转换矩阵;基于色相转换矩阵计算第二图像中各颜色区域的色彩参数中的色相参数;和/或获取第二图像中各颜色区域的色彩参数中的饱和度参数对应的饱和度参数调整值;基于第二图像中各颜色区域的各亮度比参数,生成第二图像中各颜色区域的调整量限制参数;基于第二图像中各颜色区域的各调整量限制参数以及各饱和度参数调整值,调整第二图像中各颜色区域的色彩参数中的饱和度参数;和/或获取第二图像中各颜色区域的色彩参数中的明度参数对应的明度参数调整值;基于第二图像中各颜色区域的各亮度比参数,生成第二图像中各颜色区域的调整量限制参数;基于第二图像中各颜色区域的各调整量限制参数以及各明度参数调整值,调整第二图像中各颜色区域的色彩参数中的明度参数。Optionally, the color processing module is further configured to adjust the hue conversion matrix of each color region in the second image based on each luminance ratio parameter; calculate the hue parameter in the color parameters of each color region in the second image based on the hue conversion matrix; and /or obtain the adjustment value of the saturation parameter corresponding to the saturation parameter in the color parameters of each color region in the second image; based on each brightness ratio parameter of each color region in the second image, generate the adjustment value of each color region in the second image Quantity limiting parameter; based on each adjustment quantity limiting parameter and each saturation parameter adjustment value of each color area in the second image, adjust the saturation parameter in the color parameters of each color area in the second image; and/or obtain the second image The brightness parameter adjustment value corresponding to the brightness parameter in the color parameters of each color region in the Each adjustment amount limit parameter and each brightness parameter adjustment value of each color region in the second image are adjusted to adjust the brightness parameter in the color parameters of each color region in the second image.
在本申请实施例中,提供一种拍摄装置包括:区域划分模块,用于获取摄像头采集的第一图像,将第一图像中目标物体区域划分为不同颜色区域;曝光计算模块,用于确定各颜色区域对应的第一曝光值,以及根据各第一曝光值确定第一图像的第二曝光值;图像拍摄模块,用于控制摄像头基于第二曝光值进行拍摄,获取摄像头采集的第二图像。由于亮度会影响颜色的显色程度,那么通过图像整体亮度得到的曝光值调整图像会导致图像中的部分颜色失真,因此在本申请中,通过将图像按照不同的颜色划分为不同颜色区域,根据各颜色区域对应的曝光值,最终确定出整体图像的曝光值,这样确定出的曝光值考虑到了对图像中不同颜色的影响,基于此曝光值拍摄图像可以使得图像中多种颜色都成像准确,进而使得多颜色图像的成像色彩也更加真实。In an embodiment of the present application, a photographing device is provided, comprising: an area division module for acquiring a first image captured by a camera, and for dividing the target object area in the first image into different color areas; an exposure calculation module for determining each The first exposure value corresponding to the color area, and the second exposure value of the first image is determined according to each first exposure value; the image capturing module is used to control the camera to shoot based on the second exposure value, and obtain the second image collected by the camera. Since the brightness will affect the color rendering degree of the color, adjusting the image by the exposure value obtained by the overall brightness of the image will cause some color distortions in the image. Therefore, in this application, by dividing the image into different color areas according to different colors, according to Exposure value corresponding to each color area, and finally determine the exposure value of the overall image. The exposure value determined in this way takes into account the influence of different colors in the image. Taking an image based on this exposure value can make multiple colors in the image image accurately. In turn, the imaging color of the multi-color image is also more realistic.
本申请实施例还提供了一种计算机存储介质,计算机存储介质可以存储有多条指令,指令适于由处理器加载并执行如上述实施例中的任一项的方法的步骤。Embodiments of the present application further provide a computer storage medium, where the computer storage medium can store a plurality of instructions, and the instructions are suitable for being loaded by a processor and executing the steps of the method in any one of the foregoing embodiments.
请参见图10,图10为本申请实施例提供的一种电子设备的结构示意图。如图10所示,电子设备1000可以包括:至少一个电子设备处理器1001,至少一个网络接口1004,用户接口1003,存储器1005,至少一个通信总线1002。其中,通信总线1002用于实现这些组件之间的连接通信。其中,用户接口1003可以包括显示屏(Display)、摄像头(Camera),可选用户接口1003还可以包括标准的有线接口、无线接口。其中,网络接口1004可选的可以包括标准的有线接口、无线接口(如WI-FI接口)。Please refer to FIG. 10 , which is a schematic structural diagram of an electronic device provided by an embodiment of the present application. As shown in FIG. 10 , the
其中,电子设备处理器1001可以包括一个或者多个处理核心。电子设备处理器1001利用各种接口和线路连接整个电子设备1000内的各个部分,通过运行或执行存储在存储器1005内的指令、程序、代码集或指令集,以及调用存储在存储器1005内的数据,执行电子设备1000的各种功能和处理数据。可选的,电子设备处理器1001可以采用数字信号处理(Digital Signal Processing,DSP)、现场可编程门阵列(Field-Programmable GateArray,FPGA)、可编程逻辑阵列(Programmable Logic Array,PLA)中的至少一种硬件形式来实现。电子设备处理器1001可集成中央处理器(Central Processing Unit,CPU)、图像处理器(Graphics Processing Unit,GPU)和调制解调器等中的一种或几种的组合。其中,CPU主要处理操作系统、用户界面和应用程序等;GPU用于负责显示屏所需要显示的内容的渲染和绘制;调制解调器用于处理无线通信。可以理解的是,上述调制解调器也可以不集成到电子设备处理器1001中,单独通过一块芯片进行实现。The
其中,存储器1005可以包括随机存储器(Random Access Memory,RAM),也可以包括只读存储器(Read-Only Memory,ROM)。可选的,该存储器1005包括非瞬时性计算机可读介质(non-transitory computer-readable storage medium)。存储器1005可用于存储指令、程序、代码、代码集或指令集。存储器1005可包括存储程序区和存储数据区,其中,存储程序区可存储用于实现操作系统的指令、用于至少一个功能的指令(比如触控功能、声音播放功能、图像播放功能等)、用于实现上述各个方法实施例的指令等;存储数据区可存储上面各个方法实施例中涉及到的数据等。存储器1005可选的还可以是至少一个位于远离前述电子设备处理器1001的存储装置。如图6所示,作为一种计算机存储介质的存储器1005中可以包括操作系统、网络通信模块、用户接口模块以及拍摄程序。The
在图10所示的电子设备1000中,用户接口1003主要用于为用户提供输入的接口,获取用户输入的数据;而电子设备处理器1001可以用于调用存储器1005中存储的拍摄程序,并具体执行以下操作:In the
获取摄像头采集的第一图像,将第一图像中目标物体区域划分为不同颜色区域;Obtain the first image collected by the camera, and divide the target object area in the first image into different color areas;
确定各颜色区域对应的第一曝光值,以及根据各第一曝光值确定第一图像的第二曝光值;determining a first exposure value corresponding to each color area, and determining a second exposure value of the first image according to each first exposure value;
控制摄像头基于第二曝光值进行拍摄,获取摄像头采集的第二图像。The camera is controlled to shoot based on the second exposure value, and the second image collected by the camera is acquired.
在一些实施例中,电子设备处理器1001在执行获取摄像头采集的第一图像时,具体执行以下步骤:响应拍摄指令,判断摄像头对应的取景范围内是否包含目标物体;在确定摄像头对应的取景范围内包含目标物体时,获取摄像头采集的第一图像。In some embodiments, the
在一些实施例中,电子设备处理器1001在执行确定各颜色区域对应的第一曝光值时,具体执行以下步骤:根据各颜色区域对应的成像参数确定各颜色区域对应的第一曝光值。In some embodiments, the
在一些实施例中,电子设备处理器1001在执行根据各第一曝光值确定第一图像的第二曝光值时,具体执行以下步骤:根据各颜色区域对应的第一曝光值以及各颜色区域对应的成像参数,确定第一图像的第二曝光值。In some embodiments, when the
在一些实施例中,电子设备处理器1001在执行根据各颜色区域对应的第一曝光值以及各颜色区域对应的成像参数,确定第一图像的第二曝光值时,具体执行以下步骤:根据各颜色区域中各成像参数对应的权重值以及各颜色区域对应的第一曝光值,计算各颜色区域的第一权重曝光值;根据各颜色区域中各成像参数对应的权重值,计算各颜色区域的成像参数权重积;根据各颜色区域的第一权重曝光值以及各颜色区域的成像参数权重积,确定第一图像的第二曝光值。In some embodiments, when the
在一些实施例中,电子设备处理器1001在执行获取摄像头采集的第二图像之后,还具体执行以下步骤:根据第二曝光值对第二图像中各颜色区域的色彩参数进行调整。In some embodiments, after acquiring the second image captured by the camera, the
在一些实施例中,电子设备处理器1001在执行根据第二曝光值对第二图像中各颜色区域的色彩参数进行调整时,具体执行以下步骤:根据第二图像中各颜色区域对应的第一曝光值和第二曝光值计算第二图像中各颜色区域对应的亮度比参数;基于各亮度比参数调整第二图像中各颜色区域的色彩参数。In some embodiments, when the
在一些实施例中,电子设备处理器1001在执行根据第二图像中各颜色区域对应的第一曝光值和第二曝光值计算第二图像中各颜色区域对应的亮度比参数之后,还具体执行以下步骤:根据第二图像中各颜色区域的色相对应的三基色参数,得到第二图像中各颜色区域的白平衡增益值;根据第二图像中各颜色区域的白平衡增益值,调整第二图像中各颜色区域对应的亮度比参数。In some embodiments, after the
在一些实施例中,电子设备处理器1001在执行基于各亮度比参数调整第二图像中各颜色区域的色彩参数时,具体执行以下步骤:基于各亮度比参数调整第二图像中各颜色区域的色彩参数中的色相参数、饱和度参数以及明度参数中的至少一种。In some embodiments, when the
在一些实施例中,电子设备处理器1001在执行基于各亮度比参数调整第二图像中各颜色区域的色彩参数时,具体执行以下步骤:基于各亮度比参数调整第二图像中各颜色区域的色相转换矩阵;基于色相转换矩阵计算第二图像中各颜色区域的色彩参数中的色相参数;和/或获取第二图像中各颜色区域的色彩参数中的饱和度参数对应的饱和度参数调整值;基于第二图像中各颜色区域的各亮度比参数,生成第二图像中各颜色区域的调整量限制参数;基于第二图像中各颜色区域的各调整量限制参数以及各饱和度参数调整值,调整第二图像中各颜色区域的色彩参数中的饱和度参数;和/或获取第二图像中各颜色区域的色彩参数中的明度参数对应的明度参数调整值;基于第二图像中各颜色区域的各亮度比参数,生成第二图像中各颜色区域的调整量限制参数;基于第二图像中各颜色区域的各调整量限制参数以及各明度参数调整值,调整第二图像中各颜色区域的色彩参数中的明度参数。In some embodiments, when the
在本申请所提供的几个实施例中,应该理解到,所揭露的装置和方法,可以通过其它的方式实现。例如,以上所描述的装置实施例仅仅是示意性的,例如,模块的划分,仅仅为一种逻辑功能划分,实际实现时可以有另外的划分方式,例如多个模块或组件可以结合或者可以集成到另一个系统,或一些特征可以忽略,或不执行。另一点,所显示或讨论的相互之间的耦合或直接耦合或通信连接可以是通过一些接口,装置或模块的间接耦合或通信连接,可以是电性,机械或其它的形式。In the several embodiments provided in this application, it should be understood that the disclosed apparatus and method may be implemented in other manners. For example, the device embodiments described above are only illustrative. For example, the division of modules is only a logical function division. In actual implementation, there may be other division methods, for example, multiple modules or components may be combined or integrated. to another system, or some features can be ignored, or not implemented. On the other hand, the shown or discussed mutual coupling or direct coupling or communication connection may be through some interfaces, indirect coupling or communication connection of devices or modules, and may be in electrical, mechanical or other forms.
作为分离部件说明的模块可以是或者也可以不是物理上分开的,作为模块显示的部件可以是或者也可以不是物理模块,即可以位于一个地方,或者也可以分布到多个网络模块上。可以根据实际的需要选择其中的部分或者全部模块来实现本实施例方案的目的。Modules described as separate components may or may not be physically separated, and components shown as modules may or may not be physical modules, that is, they may be located in one place, or may be distributed to multiple network modules. Some or all of the modules may be selected according to actual needs to achieve the purpose of the solution in this embodiment.
另外,在本申请各个实施例中的各功能模块可以集成在一个处理模块中,也可以是各个模块单独物理存在,也可以两个或两个以上模块集成在一个模块中。上述集成的模块既可以采用硬件的形式实现,也可以采用软件功能模块的形式实现。In addition, each functional module in each embodiment of the present application may be integrated into one processing module, or each module may exist physically alone, or two or more modules may be integrated into one module. The above-mentioned integrated modules can be implemented in the form of hardware, and can also be implemented in the form of software function modules.
集成的模块如果以软件功能模块的形式实现并作为独立的产品销售或使用时,可以存储在一个计算机可读取存储介质中。基于这样的理解,本申请的技术方案本质上或者说对现有技术做出贡献的部分或者该技术方案的全部或部分可以以软件产品的形式体现出来,该计算机软件产品存储在一个存储介质中,包括若干指令用以使得一台计算机设备(可以是个人计算机,服务器,或者网络设备等)执行本申请各个实施例方法的全部或部分步骤。而前述的存储介质包括:U盘、移动硬盘、只读存储器(ROM,Read-Only Memory)、随机存取存储器(RAM,Random Access Memory)、磁碟或者光盘等各种可以存储程序代码的介质。The integrated modules, if implemented in the form of software functional modules and sold or used as independent products, can be stored in a computer-readable storage medium. Based on this understanding, the technical solutions of the present application can be embodied in the form of software products in essence, or the parts that contribute to the prior art, or all or part of the technical solutions, and the computer software products are stored in a storage medium , including several instructions to cause a computer device (which may be a personal computer, a server, or a network device, etc.) to execute all or part of the steps of the methods in the various embodiments of the present application. The aforementioned storage medium includes: U disk, mobile hard disk, Read-Only Memory (ROM, Read-Only Memory), Random Access Memory (RAM, Random Access Memory), magnetic disk or optical disk and other media that can store program codes .
需要说明的是,对于前述的各方法实施例,为了简便描述,故将其都表述为一系列的动作组合,但是本领域技术人员应该知悉,本申请并不受所描述的动作顺序的限制,因为依据本申请,某些步骤可以采用其它顺序或者同时进行。其次,本领域技术人员也应该知悉,说明书中所描述的实施例均属于优选实施例,所涉及的动作和模块并不一定都是本申请所必须的。It should be noted that, for the convenience of description, the foregoing method embodiments are described as a series of action combinations, but those skilled in the art should know that the present application is not limited by the described action sequence. Because in accordance with the present application, certain steps may be performed in other orders or simultaneously. Secondly, those skilled in the art should also know that the embodiments described in the specification are all preferred embodiments, and the actions and modules involved are not necessarily all necessary for the present application.
在上述实施例中,对各个实施例的描述都各有侧重,某个实施例中没有详述的部分,可以参见其它实施例的相关描述。In the above-mentioned embodiments, the description of each embodiment has its own emphasis. For parts that are not described in detail in a certain embodiment, reference may be made to the relevant descriptions of other embodiments.
以上为对本申请所提供的一种拍摄方法、装置、存储介质以及电子设备的描述,对于本领域的技术人员,依据本申请实施例的思想,在具体实施方式及应用范围上均会有改变之处,综上,本说明书内容不应理解为对本申请的限制。The above is a description of a shooting method, device, storage medium and electronic device provided by the present application. For those skilled in the art, according to the ideas of the embodiments of the present application, there will be changes in the specific implementation and application scope. In conclusion, the content of this specification should not be construed as a limitation on this application.
| Application Number | Priority Date | Filing Date | Title |
|---|---|---|---|
| CN202210098796.3ACN114500843B (en) | 2022-01-27 | 2022-01-27 | Shooting method, shooting device, storage medium and electronic equipment |
| Application Number | Priority Date | Filing Date | Title |
|---|---|---|---|
| CN202210098796.3ACN114500843B (en) | 2022-01-27 | 2022-01-27 | Shooting method, shooting device, storage medium and electronic equipment |
| Publication Number | Publication Date |
|---|---|
| CN114500843Atrue CN114500843A (en) | 2022-05-13 |
| CN114500843B CN114500843B (en) | 2024-07-09 |
| Application Number | Title | Priority Date | Filing Date |
|---|---|---|---|
| CN202210098796.3AActiveCN114500843B (en) | 2022-01-27 | 2022-01-27 | Shooting method, shooting device, storage medium and electronic equipment |
| Country | Link |
|---|---|
| CN (1) | CN114500843B (en) |
| Publication number | Priority date | Publication date | Assignee | Title |
|---|---|---|---|---|
| CN116074636A (en)* | 2022-05-30 | 2023-05-05 | 荣耀终端有限公司 | A shooting method and electronic device |
| CN117082362A (en)* | 2023-08-25 | 2023-11-17 | 山东中清智能科技股份有限公司 | Underwater imaging method and device |
| Publication number | Priority date | Publication date | Assignee | Title |
|---|---|---|---|---|
| US20080266418A1 (en)* | 2007-04-26 | 2008-10-30 | Samsung Electronics Co., Ltd. | Method and apparatus for generating image |
| CN101304489A (en)* | 2008-06-20 | 2008-11-12 | 北京中星微电子有限公司 | Automatic exposure method and apparatus |
| CN104349071A (en)* | 2013-07-25 | 2015-02-11 | 奥林巴斯株式会社 | Imaging device and imaging method |
| CN105227852A (en)* | 2014-06-11 | 2016-01-06 | 南京理工大学 | Based on the automatic explosion method of color weighting |
| Publication number | Priority date | Publication date | Assignee | Title |
|---|---|---|---|---|
| US20080266418A1 (en)* | 2007-04-26 | 2008-10-30 | Samsung Electronics Co., Ltd. | Method and apparatus for generating image |
| CN101304489A (en)* | 2008-06-20 | 2008-11-12 | 北京中星微电子有限公司 | Automatic exposure method and apparatus |
| CN104349071A (en)* | 2013-07-25 | 2015-02-11 | 奥林巴斯株式会社 | Imaging device and imaging method |
| CN105227852A (en)* | 2014-06-11 | 2016-01-06 | 南京理工大学 | Based on the automatic explosion method of color weighting |
| Publication number | Priority date | Publication date | Assignee | Title |
|---|---|---|---|---|
| CN116074636A (en)* | 2022-05-30 | 2023-05-05 | 荣耀终端有限公司 | A shooting method and electronic device |
| CN116074636B (en)* | 2022-05-30 | 2023-11-17 | 荣耀终端有限公司 | Photography method and electronic equipment |
| CN117082362A (en)* | 2023-08-25 | 2023-11-17 | 山东中清智能科技股份有限公司 | Underwater imaging method and device |
| CN117082362B (en)* | 2023-08-25 | 2024-05-28 | 山东中清智能科技股份有限公司 | Underwater imaging method and device |
| Publication number | Publication date |
|---|---|
| CN114500843B (en) | 2024-07-09 |
| Publication | Publication Date | Title |
|---|---|---|
| CN111418201B (en) | Shooting method and equipment | |
| US8965120B2 (en) | Image processing apparatus and method of controlling the same | |
| CN106165390B (en) | Image processing apparatus, camera, image processing method | |
| WO2020034737A1 (en) | Imaging control method, apparatus, electronic device, and computer-readable storage medium | |
| US8781225B2 (en) | Automatic tone mapping method and image processing device | |
| JP6004757B2 (en) | Image processing apparatus and image processing method | |
| WO2023098251A1 (en) | Image processing method, device, and readable storage medium | |
| CN105432069A (en) | Image processing device, image capture device, image processing method, and program | |
| US11880963B2 (en) | Apparatus and method for image processing | |
| US10275860B2 (en) | Image processing device, image capturing device, image processing method, and program | |
| CN111327824A (en) | Shooting parameter selection method and device, storage medium and electronic equipment | |
| CN114500843B (en) | Shooting method, shooting device, storage medium and electronic equipment | |
| WO2020034702A1 (en) | Control method, device, electronic equipment and computer readable storage medium | |
| JP2012165146A (en) | Image processing apparatus and method | |
| JP2018014646A (en) | Image processing apparatus and image processing method | |
| WO2020034739A1 (en) | Control method and apparatus, electronic device, and computer readable storage medium | |
| WO2022151852A1 (en) | Image processing method, apparatus, and system, electronic device, and storage medium | |
| CN110572585B (en) | Image processing method, image processing device, storage medium and electronic equipment | |
| US8164650B2 (en) | Image processing apparatus and method thereof | |
| KR101039404B1 (en) | Image signal processor, smart phone and automatic exposure control method | |
| CN115514946B (en) | Method, system, electronic device and storage medium for adjusting image quality | |
| CN117808902B (en) | Three-dimensional lookup table construction method, image processing method, device and storage medium | |
| JP2017011366A (en) | Image processing apparatus, image processing method, and imaging apparatus | |
| JP2024032621A (en) | Image processing method, image processing device, and program | |
| CN117979179A (en) | Color correction method and system |
| Date | Code | Title | Description |
|---|---|---|---|
| PB01 | Publication | ||
| PB01 | Publication | ||
| SE01 | Entry into force of request for substantive examination | ||
| SE01 | Entry into force of request for substantive examination | ||
| GR01 | Patent grant | ||
| GR01 | Patent grant |