


技术领域technical field
本发明涉及电磁参数提取,特别是涉及一种复合材料低频电磁参数等效提取装置及方法。The invention relates to electromagnetic parameter extraction, in particular to an equivalent extraction device and method for low-frequency electromagnetic parameters of composite materials.
背景技术Background technique
各类飞行器发展过程中的减重增效需求使得大量使用复合材料成为主要趋势。国外的飞机已经大量的使用复合材料结构代替金属结构。在飞机大量使用复合材料的同时,飞行空间内愈加复杂的电磁环境对机上电子设备工作产生严重威胁。机身外侧是由复合材料制成的蒙皮结构。而在蒙皮内部,机上线缆为了便于固定等考虑,一般紧贴舱壁结构件进行布设,走线紧贴复合材料蒙皮。线缆的电磁屏蔽性能除了自身所做的屏蔽之外,主要来源于复合材料结构。同时,大量的机内关键电子设备被放置在机舱内部下侧的甲板下,设备与机身蒙皮间一般无其他屏蔽结构。机上存在大量对于低频干扰较为敏感的设备、元器件,这类设备、元器件能否正常工作将对飞行安全产生巨大影响。因此,机身复合材料结构作为机上各类电子设备电磁屏蔽主要来源,其电磁屏蔽性能面临严峻考验,急需开展机身复合材料结构电磁屏蔽性能分析。现有测试方法进行复合材料电磁屏蔽性能全面测试较为困难,必须对所使用的复合材料电磁参数进行全面、详尽的测试,获取其复介电常数及复磁导率。The demand for weight reduction and efficiency enhancement in the development of various types of aircraft has made the extensive use of composite materials a major trend. Foreign aircraft have used a large number of composite structures instead of metal structures. With the extensive use of composite materials in aircraft, the increasingly complex electromagnetic environment in the flight space poses a serious threat to the work of onboard electronic equipment. The outside of the fuselage is a skin structure made of composite materials. Inside the skin, the cables on the aircraft are generally laid close to the bulkhead structure for the convenience of fixing and other considerations, and the wiring is close to the composite material skin. In addition to its own shielding, the electromagnetic shielding performance of the cable mainly comes from the composite material structure. At the same time, a large number of key electronic equipment in the aircraft are placed under the deck on the lower side of the cabin, and there is generally no other shielding structure between the equipment and the fuselage skin. There are a large number of devices and components on the aircraft that are sensitive to low-frequency interference. Whether such devices and components can work normally will have a huge impact on flight safety. Therefore, the fuselage composite material structure is the main source of electromagnetic shielding for various electronic equipment on the aircraft, and its electromagnetic shielding performance is facing severe tests. It is urgent to carry out the electromagnetic shielding performance analysis of the fuselage composite material structure. It is difficult to comprehensively test the electromagnetic shielding performance of composite materials with the existing test methods. It is necessary to conduct comprehensive and detailed tests on the electromagnetic parameters of the composite materials used to obtain their complex permittivity and complex permeability.
现有的复合材料电磁参数测试方法包括谐振腔法和自由空间法。谐振腔法利用一个固定的谐振器开展材料电磁参数的测量,测试过程中记录空腔谐振器中未放置待测材料及放置待测材料后谐振腔谐振频率及品质因数Q的变化情况,得到复合材料的放置对谐振腔工作状态的影响,再利用计算电磁学原理计算得到待测材料的电磁参数。一方面,由于谐振腔谐振频率与腔体尺寸相关,是谐振腔本身的固有属性,利用谐振腔法开展不同频点的测试只能通过频繁更换不同尺寸的谐振腔来完成;另一方面,谐振腔的谐振频率随着腔体尺寸的增大而降低,谐振腔法难以开展复合材料低频电磁参数的测试。自由空间法是一种基于传输线理论的电磁参数测试方法,将复合材料放置于微波暗室内自由空间中的测试夹具或天线间,通过矢量网络分析仪测量得到测试环境下的复反射参数、复透射参数,再此基础上计算得到材料电磁参数。Existing methods for measuring electromagnetic parameters of composite materials include resonant cavity method and free space method. The resonant cavity method uses a fixed resonator to measure the electromagnetic parameters of the material. During the test, the resonant frequency and quality factor Q of the resonant cavity are recorded without the material to be tested in the cavity resonator and after the material to be tested is placed, and the composite is obtained. The influence of the placement of the material on the working state of the resonator cavity, and then the electromagnetic parameters of the material to be measured are calculated by using the principle of computational electromagnetics. On the one hand, since the resonant frequency of the resonator is related to the size of the cavity, which is an inherent property of the resonator itself, testing at different frequencies using the resonator method can only be accomplished by frequently replacing resonators of different sizes; The resonant frequency of the cavity decreases with the increase of the cavity size, so it is difficult to test the low-frequency electromagnetic parameters of the composite material by the resonant cavity method. The free space method is an electromagnetic parameter testing method based on the transmission line theory. The composite material is placed in the test fixture or between the antennas in the free space of the microwave anechoic chamber, and the complex reflection parameters and complex transmission in the test environment are measured by the vector network analyzer. parameters, and then calculate the electromagnetic parameters of the material on this basis.
在开展1GHz以上频段(以下称为高频)测试时,由于测试频段较高,电磁波波长较小,天线主瓣宽度较窄,波束较为集中,可以使用较小的场地开展扫频测试。进行1GHz以下频段(以下称为低频)测试时,一方面为了保证测试天线工作在远场范围内,需要天线与待测材料间有较大的间距,导致所需测试场地尺寸较大,测试开展较为困难,传统的微波暗室测试法虽然场地尺寸小,但进行1GHz以下频段测试时扫频测试成本较高,一般开展点频测试用于简单的性能验证,难以得到扫频测试结果,给复合材料低频电磁参数低频测试带来了诸多不变。When carrying out the test in the frequency band above 1GHz (hereinafter referred to as high frequency), because the test frequency band is high, the electromagnetic wave wavelength is small, the antenna main lobe width is narrow, and the beam is more concentrated, so a smaller venue can be used to carry out the frequency sweep test. When testing the frequency band below 1GHz (hereinafter referred to as low frequency), on the one hand, in order to ensure that the test antenna works in the far-field range, it is necessary to have a large distance between the antenna and the material to be tested, resulting in a large test site size, and the test is carried out. It is more difficult. Although the traditional microwave anechoic chamber test method has a small site size, the frequency sweep test cost is relatively high when the frequency band below 1GHz is tested. Generally, the point frequency test is used for simple performance verification, and it is difficult to obtain the sweep frequency test results. Low-Frequency Electromagnetic Parameters Low-frequency testing brings many changes.
发明内容SUMMARY OF THE INVENTION
本发明的目的在于克服现有技术的不足,提供一种复合材料低频电磁参数等效提取装置及方法,能够等效提取出低频的扫频测试结果,同时在测试环境中通过增加吸波材料、减小场地等方式降低了背景噪声对于测试结果的影响,提高了测试精度。The purpose of the present invention is to overcome the deficiencies of the prior art, and to provide an equivalent extraction device and method for low-frequency electromagnetic parameters of composite materials, which can equivalently extract low-frequency sweep test results, and at the same time, in the test environment by adding wave absorbing materials, Reducing the site and other methods reduces the influence of background noise on the test results and improves the test accuracy.
本发明的目的是通过以下技术方案来实现的:一种复合材料低频电磁参数等效提取装置,包括支撑模块、信号收发模块和数据处理模块;The object of the present invention is achieved through the following technical solutions: an equivalent extraction device for low-frequency electromagnetic parameters of composite materials, comprising a support module, a signal transceiver module and a data processing module;
所述支撑模块,用于对待测材料进行夹装;The support module is used for clamping the material to be tested;
所述信号收发模块,用于发射测试用的电磁波信号,发射信号经过测试环境中支撑模块夹装的待测材料后,再由信号收发模块进行接收,并将接收到的信号作为测试结果传输给数据处理模块;The signal transceiver module is used to transmit electromagnetic wave signals for testing. After the transmitted signal passes through the material to be tested clamped by the support module in the test environment, it is then received by the signal transceiver module, and the received signal is transmitted to the test result as the test result. data processing module;
所述数据处理模块,用于利用测试得到的数据进行计算,将计算结果转换为待测材料低频电磁参数等效提取结果。The data processing module is used to perform calculation using the data obtained from the test, and convert the calculation result into an equivalent extraction result of low-frequency electromagnetic parameters of the material to be tested.
进一步地,所述支撑模块包括非金属支撑平板,在非金属支撑平板中心开设有正方形屏蔽窗;Further, the supporting module includes a non-metallic supporting plate, and a square shielding window is opened in the center of the non-metallic supporting plate;
所述非金属支撑平板的一侧面向所述信号收发模块的发射天线,且该侧设置有围绕所述正方形屏蔽窗的法兰夹具,所述法兰夹具使用非金属材质制成,尺寸大于正方形屏蔽窗,用于将待测材料加装至非金属支撑平板上并使待测材料与平板平面紧密贴合;One side of the non-metallic support plate faces the transmitting antenna of the signal transceiver module, and this side is provided with a flange clamp surrounding the square shielding window. The flange clamp is made of non-metallic material and has a size larger than a square The shielding window is used to attach the material to be tested to the non-metallic support plate and make the material to be tested closely fit the plane of the flat plate;
所述非金属支撑平板上法兰夹具所在一侧的使用角锥吸波材料铺满,角锥吸波材料工作频段范围覆盖测试开展频段,使得信号收发模块发出的电磁波无法穿透非金属支撑平板;The side of the non-metallic support plate where the flange fixture is located is covered with pyramid wave absorbing material, and the working frequency range of the pyramid wave absorbing material covers the test frequency band, so that the electromagnetic wave emitted by the signal transceiver module cannot penetrate the non-metallic support plate ;
所述非金属支撑平板底部设置有两条非金属横梁,每条非金属横梁均连接有一组万向轮连接,以便于支撑模块进行移动和旋转,使得装置具备开展待测材料面对不同方向电磁波入射情况下的低频电磁参数等效提取的能力。The bottom of the non-metallic supporting plate is provided with two non-metallic beams, and each non-metallic beam is connected with a set of universal wheels to facilitate the movement and rotation of the supporting module, so that the device has the ability to develop the material to be tested and face electromagnetic waves in different directions. The capability of equivalent extraction of low-frequency electromagnetic parameters under incident conditions.
进一步地,所述支撑模块还包括激光校准仪,用于在空间中建立激光平面用于校准,保证正方形屏蔽窗与信号收发模块中接收天线、发射天线的中心高度一致。Further, the support module further includes a laser collimator, which is used to establish a laser plane in space for calibration, so as to ensure that the square shielding window is consistent with the center height of the receiving antenna and the transmitting antenna in the signal transceiver module.
进一步地,所述信号收发模块包括接收天线、发送天线和矢量网络分析仪组成;接收天线使用喇叭天线形式,发射天线用于发射测试用的电磁波信号,接收天线则用于接收发射信号经过测试环境产生的信号;Further, the signal transceiver module includes a receiving antenna, a transmitting antenna and a vector network analyzer; the receiving antenna is in the form of a horn antenna, the transmitting antenna is used to transmit electromagnetic wave signals for testing, and the receiving antenna is used to receive the transmitted signal through the test environment. generated signal;
所述矢量网络分析仪采用矢量双端口矢量网络分析仪,作为信号源并进行数据显示,发射天线、接收天线使用同轴线缆与双端口矢量网络分析仪的两个端口分别相连,仪器发射端口与发射天线连接用于输出发射信号,接收端口与接收天线相连以测量其接收到电磁信号的场强、相位,同时使用矢网显示屏进行测试结果的实时显示;The vector network analyzer adopts a vector dual-port vector network analyzer as a signal source and performs data display. The transmitting antenna and the receiving antenna are connected to the two ports of the dual-port vector network analyzer using coaxial cables, respectively. The transmitter port of the instrument is It is connected with the transmitting antenna to output the transmitting signal, and the receiving port is connected with the receiving antenna to measure the field strength and phase of the electromagnetic signal it receives, and at the same time, the vector network display screen is used to display the test results in real time;
所述接收天线和发射天线布置时需保证天线中心对准正方形屏蔽窗中心,并调整天线布设位置和与屏蔽窗间的距离,使得在测试频段内天线方向图主瓣宽度保持在屏蔽窗内,而旁瓣辐射不在屏蔽窗范围内,被角锥吸波材料吸收。When arranging the receiving antenna and the transmitting antenna, it is necessary to ensure that the center of the antenna is aligned with the center of the square shielding window, and adjust the layout position of the antenna and the distance between the antenna and the shielding window, so that the width of the main lobe of the antenna pattern in the test frequency band is kept within the shielding window. The side lobe radiation is not within the range of the shielding window and is absorbed by the corner cone absorbing material.
进一步地,所述数据处理模块包括数据处理计算机,数据处理计算机通过数据传输线与矢网相连接,读取其中的测试数据,并利用测试数据进行计算,将计算结果转换为待测材料低频电磁参数等效提取结果。Further, the data processing module includes a data processing computer, and the data processing computer is connected to the vector network through a data transmission line, reads the test data therein, and uses the test data for calculation, and converts the calculation results into the low-frequency electromagnetic parameters of the material to be tested. Equivalent extraction results.
一种复合材料低频电磁参数等效提取方法,包括以下步骤:An equivalent extraction method for low-frequency electromagnetic parameters of composite materials, comprising the following steps:
S1.分别按照透射参数、反射参数测试摆放要求完成布置;S1. Complete the layout according to the test placement requirements of transmission parameters and reflection parameters;
S2.开始进行被测材料的测试;S2. Start the test of the tested material;
S3.开展测试数据分析;将测试得到数据导出至数据处理计算机,由数据处理计算机进行分析处理,将计算结果转换为待测材料低频电磁参数等效提取结果。S3. Carry out test data analysis; export the data obtained from the test to the data processing computer, and the data processing computer will analyze and process, and convert the calculation results into the equivalent extraction results of low-frequency electromagnetic parameters of the material to be tested.
其中,所述步骤S1包括:Wherein, the step S1 includes:
测试反射参数时发射天线、接收天线布置在平板支架结构覆盖吸波材料一侧,两天线以平板支架结构中心法向平面呈镜面对称布置,中心与支架结构上屏蔽窗中心高度一致,为保证天线工作在远场范围内,天线距离屏蔽窗距离为0.6m;矢量网络分析仪及数据处理计算机布置在两天线后侧;When testing the reflection parameters, the transmitting antenna and the receiving antenna are arranged on the side of the flat support structure covering the wave absorbing material. The two antennas are arranged in mirror symmetry on the normal plane of the center of the flat support structure, and the center is at the same height as the center of the shielding window on the support structure. Working in the far-field range, the distance between the antenna and the shielding window is 0.6m; the vector network analyzer and the data processing computer are arranged behind the two antennas;
测试透射参数时发射天线、接收天线布置在平板支架结构两侧,两天线相对放置,以平板支架平面呈镜面对称布置,中心与支架结构上屏蔽窗中心高度一致;矢量网络分析仪及数据处理计算机布置在平板支架结构一侧,距平板支架边缘不小于0.3m,以避免测试过程中由于矢网及数据处理计算机本身的电磁发射及测试人员走动引起测试结果波动。When testing transmission parameters, the transmitting antenna and the receiving antenna are arranged on both sides of the flat support structure, and the two antennas are placed opposite each other. It is arranged on the side of the flat support structure, and the distance from the edge of the flat support is not less than 0.3m to avoid the fluctuation of the test results caused by the electromagnetic emission of the vector network and the data processing computer itself and the movement of the testers during the test.
其中,所述步骤S2包括:Wherein, the step S2 includes:
S201.对测试装置进行校准:使用矢量网络分析仪校准功能,完成双端口开路、短路、负载校准,并完成两端口间通路校准,以消除测试过程中的系统误差;S201. Calibrate the test device: use the vector network analyzer calibration function to complete the dual-port open-circuit, short-circuit, and load calibration, and complete the path calibration between the two ports to eliminate the system error in the test process;
S202.开展屏蔽窗未加装待测材料时两天线端口间透射参数测试,高频扫频测试频段起始频率在1GHz以上,高频透射参数测试结果表示为S21_W_H,该测试结果中包含未加装待测材料时每一个高频扫频频点下测得的透射参数,低频点频测试针对待测材料重点工作频点开展点频测试,低频透射参数测试结果表示为S21_W_L,该测试结果包含未加装待测材料时每一个低频点频频点下测得的透射参数;其中透射参数测量结果保留幅值和相位;S202. Carry out the transmission parameter test between the two antenna ports when the shielding window is not equipped with the material to be tested. The starting frequency of the high-frequency sweep test frequency band is above 1GHz, and the high-frequency transmission parameter test result is expressed as S21_W_H. The transmission parameters measured at each high-frequency sweep frequency point when the material to be tested is installed. The low-frequency point-frequency test is carried out for the key working frequency points of the material to be tested. The test result of the low-frequency transmission parameter is expressed as S21_W_L. Transmission parameters measured at each low frequency point and frequency point when the material to be tested is installed; the transmission parameter measurement results retain the amplitude and phase;
S203.开展屏蔽窗加装待测材料时两天线端口间透射参数测试,高频扫频测试频段起始频率在1GHz以上,高频透射参数测试结果表示为S21_C_H,该测试结果中包含加装待测材料时每一个高频扫频频点下测得的透射参数;低频点频测试针对待测材料重点工作频点开展点频测试,低频透射参数测试结果表示为S21_C_L,该测试结果包含加装待测材料时每一个低频点频频点下测得的透射参数,其中,透射参数测量结果保留幅值和相位;S203. Carry out the transmission parameter test between the two antenna ports when the material to be tested is installed on the shielding window. The starting frequency of the high-frequency sweep test frequency band is above 1GHz, and the high-frequency transmission parameter test result is expressed as S21_C_H. The transmission parameters measured at each high-frequency sweep frequency point when measuring materials; the low-frequency point-frequency test conducts point-frequency tests for the key working frequency points of the material to be tested, and the low-frequency transmission parameter test results are expressed as S21_C_L. Transmission parameters measured at each low frequency point and frequency points when measuring materials, among which, the transmission parameter measurement results retain the amplitude and phase;
S204.开展屏蔽窗加装金属板时两天线端口间反射参数测试,高频扫频测试频段起始频率在1GHz以上,高频反射参数测试结果表示为S11_W_H,该测试结果中包含加装金属板时每一个高频扫频频点下测得的反射参数;低频点频测试针对待测材料重点工作频点开展点频测试,低频反射参数测试结果表示为S11_W_L,该测试结果中包含加装金属板时每一个低频点频频点下测得的反射参数,其中,反射参数测量结果保留幅值和相位;S204. Carry out the reflection parameter test between the two antenna ports when the shielding window is equipped with a metal plate. The starting frequency of the high-frequency sweep test frequency band is above 1GHz, and the high-frequency reflection parameter test result is expressed as S11_W_H. The test result includes the addition of the metal plate. The reflection parameters measured at each high-frequency sweep frequency point; the low-frequency point-frequency test is carried out for the key working frequency points of the material to be tested. The low-frequency reflection parameter test result is expressed as S11_W_L, and the test result includes the installation of the metal plate. Reflection parameters measured at each low frequency point and frequency point, among which, the reflection parameter measurement results retain the amplitude and phase;
S205.开展屏蔽窗加装待测材料时两天线端口间反射参数测试,高频扫频测试频段起始频率在1GHz以上,高频反射参数测试结果表示为S11_C_H,该测试结果中包含加装待测材料时每一个高频扫频频点下测得的反射参数;低频点频测试针对待测材料重点工作频点开展点频测试,低频反射参数测试结果表示为S11_C_L,该测试结果中包含加装待测材料时每一个低频点频频点下测得的反射参数,其中,反射参数测量结果保留幅值和相位。S205. Carry out the reflection parameter test between the two antenna ports when the shielding window is equipped with the material to be tested. The starting frequency of the high-frequency sweep test frequency band is above 1GHz, and the high-frequency reflection parameter test result is expressed as S11_C_H. The reflection parameters measured at each high-frequency sweep frequency point when measuring materials; the low-frequency point-frequency test is carried out for the key working frequency points of the material to be tested. The reflection parameter measured at each low frequency point and frequent point of the material to be tested, wherein the reflection parameter measurement result retains the amplitude and phase.
所述步骤S3包括:The step S3 includes:
S301.开展测试数据分析;将测试得到数据导出至数据处理计算机中,利用时域门方法滤除杂波、底噪及收发天线间耦合产生的干扰,获取待测材料高频透射参数S21_H、高频反射参数S11_H、低频透射参数S21_L以及低频反射参数S11_L的测量结果:S301. Carry out test data analysis; export the data obtained from the test to the data processing computer, use the time-domain gate method to filter out clutter, noise floor and the interference caused by the coupling between the transmitting and receiving antennas, and obtain the high-frequency transmission parameters of the material to be tested S21_H , Measurement results of the high frequency reflection parameter S11_H , the low frequency transmission parameter S21_L and the low frequency reflection parameter S11_L :
S21_H=S21_W_H-S21_C_H、S11_H=S11_W_H-S11_C_HS21_H =S21_W_H -S21_C_H , S11_H =S11_W_H -S11_C_H
S21_L=S21_W_L-S21_C_L、S11_L=S11_W_L-S11_C_LS21_L =S21_W_L -S21_C_L , S11_L =S11_W_L -S11_C_L
其中,测量结果计算过程中的相减,是指将每一个频点下对应的测试结果进行相减;Among them, the subtraction in the calculation process of the measurement result refers to the subtraction of the corresponding test results under each frequency point;
S302.推导由散射参数计算材料电磁参数的方式:S302. Derive the way to calculate the electromagnetic parameters of the material from the scattering parameters:
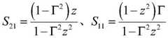
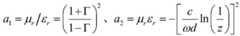
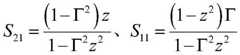
设材料的散射参数包括透射参数S21与反射参数S11,散射参数与材料反射系数、透射系数间关系表示如下式:Suppose the scattering parameters of the material include the transmission parameter S21 and the reflection parameter S11 , and the relationship between the scattering parameter and the material reflection coefficient and transmission coefficient is expressed as follows:
式中Γ、z分别为电磁波正入射至待测材料表面时的反射系数和透射系数;where Γ and z are the reflection coefficient and transmission coefficient when the electromagnetic wave is incident on the surface of the material to be measured, respectively;
基于NRW方法计算得到对应频段内材料的等效电磁参数;散射参数表示式中的反射系数、透射系数与材料电磁参数有关,具体表示为:The equivalent electromagnetic parameters of the material in the corresponding frequency band are calculated based on the NRW method; the reflection coefficient and transmission coefficient in the scattering parameter expression are related to the electromagnetic parameters of the material, which are specifically expressed as:
式中μr、εr分别为待测材料的相对介电常数和相对磁导率,d为待测材料的厚度,由此计算得到材料等效电磁参数:where μr and εr are the relative permittivity and relative permeability of the material to be measured, respectively, and d is the thickness of the material to be measured, from which the equivalent electromagnetic parameters of the material are calculated:
其中:in:
S303.在每一个高频扫频频点下,将S21_H中对应的测量结果作为S21,将S11_H中对应的测量结果作为S11,带入步骤S302中,计算出对应的μr,εr,从而得到准确的高频扫频电磁参数μr_H、εr_H;其中,μr_H包含每一个高频扫频频点下计算得到的相对介电常数μr;εr_H包含每一个高频扫频频点下计算得到的相对磁导率εr;S303. Under each high-frequency sweep frequency point, take the corresponding measurement result in S21_H as S21 , take the corresponding measurement result in S11_H as S11 , and bring it into step S302 to calculate the corresponding μr , εr , so as to obtain accurate high-frequency sweep electromagnetic parameters μr_H , εr_H ; where μr_H includes the relative permittivity μr calculated at each high-frequency sweep frequency point; εr_H includes each high-frequency sweep frequency Calculated relative permeability εr under the point;
同时,在每一个低频点频频点下,将S21_L中对应的测量结果作为S21,将S11_L中对应的测量结果作为S11,带入步骤S302中,计算出对应的μr,εr,从而得到准确的低频点频电磁参数μr_L、εr_L;其中,μr_L包含每一个低频点频频点下计算得到的相对介电常数μr;εr_L包含每一个低频点频频点下计算得到的相对磁导率εr;At the same time, at each low frequency point and frequency point, the corresponding measurement result in S21_L is taken as S21 , and the corresponding measurement result in S11_L is taken as S11 , and brought into step S302 to calculate the corresponding μr , εr , so as to obtain accurate low-frequency point-frequency electromagnetic parameters μr_L , εr_L ; where μr_L contains the relative permittivity μr calculated at each low-frequency point and frequency point; εr_L contains the calculated value at each low-frequency point and frequency point The relative permeability εr ;
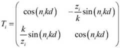
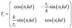
S304.开展待测材料电磁参数计算;预先设定待测复合材料各层材料、结构及铺设方式,将待测材料的各组成材料单独等效成均匀介质层,计算得到电磁波入射时第i层介质的传递矩阵Ti:S304. Carry out the calculation of the electromagnetic parameters of the material to be tested; pre-set the material, structure and laying method of each layer of the composite material to be tested, equate the constituent materials of the material to be tested individually into a uniform dielectric layer, and calculate the i-th layer when the electromagnetic wave is incident. The transfer matrix Ti of the medium:
式中ni、zi分别为各层材料在电磁波入射情况下第i层材料的折射率及阻抗;k为已知的波数;d第i层介质厚度;待测材料整体传递矩阵T可以使用各层介质自身传递矩阵与层间损耗Pi相乘得到:In the formula, ni andzi are the refractive index and impedance of the material of the i-th layer under the incident electromagnetic wave; k is the known wave number; d is the thickness of the medium of the i-th layer; the overall transfer matrix T of the material to be tested can be usedMultiplying the transfer matrix of each layer of the medium itself and the interlayer loss Pi can be obtained:
T=∑TiPiT=∑Ti Pi
层间损耗难以通过测量直接获取,且本身随频率变化而变化,用一频变曲线表示;因此首先认为电磁波在层间传递情况下无损耗,使用Pi=1代入下两式初步计算得到材料的预评估散射参数:The interlayer loss is difficult to obtain directly by measurement, and itself changes with the frequency, which is represented by a frequency curve; therefore, it is first considered that the electromagnetic wave has no loss in the case of interlayer transmission, and Pi = 1 is used to substitute the following two formulas for preliminary calculation to obtain the material The pre-evaluated scattering parameters of :
S305.在频变曲线1GHz以上的每一个频点下,将S21_forecast中对应的测量结果作为S21,将S11_forecast中对应的测量结果作为S11,带入步骤S302中,计算出对应的μr,εr,从而得到预评估的高频扫频电磁参数μr_forecast_H、εr_forecast_H;其中,μr_forecast_H包含频变曲线1GHz以上的每一个频点下计算得到的相对介电常数μr;εr_forecast_H包含频变曲线1GHz以上的每一个频点下计算得到的相对磁导率εr;S305. Take the corresponding measurement result inS21_forecast asS21 and the corresponding measurement result inS11_forecast asS11 at each frequency point above 1 GHz of the frequency change curve, and bring it into step S302 to calculate the corresponding μr , εr , so as to obtain the pre-evaluated high-frequency swept electromagnetic parameters μr_forecast_H , εr_forecast_H ; where μr_forecast_H includes the relative permittivity μr calculated at each frequency point above 1 GHz of the frequency curve; εr_forecast_H Including the relative permeability εr calculated at each frequency point above 1GHz of the frequency curve;
同时,在频变曲线1GHz以下的每一个频点下,将S21_forecast中对应的测量结果作为S21,将S11_forecast中对应的测量结果作为S11,带入步骤S302中,计算出对应的μr,εr,从而得到预评估的低频扫频电磁参数μr_forecast_L、εr_forecast_L;其中,μr_forecast_L包含频变曲线1GHz以下的每一个频点下计算得到的相对介电常数μr;εr_forecast_L包含频变曲线1GHz以下的每一个频点下计算得到的相对磁导率εr;At the same time, at each frequency point below 1 GHz of the frequency change curve, take the corresponding measurement result in S21_forecast as S21 , take the corresponding measurement result in S11_forecast as S11 , and bring it into step S302 to calculate the corresponding μr , εr , so as to obtain the pre-evaluated low-frequency swept electromagnetic parameters μr_forecast_L , εr_forecast_L ; where μr_forecast_L includes the relative permittivity μr calculated at each frequency point below 1 GHz of the frequency curve; εr_forecast_L includes The relative permeability εr calculated at each frequency point below 1 GHz of the frequency curve;
调整层间损耗Pi曲线,使得高频扫频预评估等效电磁参数计算结果μr_forecast_H、εr_forecast_H与高频扫频等效电磁参数测试结果μr_H、εr_H相吻合,低频扫频预评估等效电磁参数计算结果μr_forecast_L、εr_forecast_L在低频测试频点上与低频点频等效电磁参数测试结果μr_L、εr_L相吻合;这里的相吻合,是指在每一个测试频点上的差值均小于设定阈值;The interlayer loss Pi curve is adjusted so that the calculation results μr_forecast_H and εr_forecast_H of the equivalent electromagnetic parameters of the high frequency sweep pre-evaluation are consistent with the test results μr_H and εr_H of the high frequency sweep equivalent electromagnetic parameters, and the low frequency sweep pre-evaluation The equivalent electromagnetic parameter calculation results μr_forecast_L and εr_forecast_L are consistent with the low frequency point frequency equivalent electromagnetic parameter test results μr_L and εr_L at the low frequency test frequency; The difference is less than the set threshold;
将此时的低频扫频预评估等效电磁参数计算结果μr_forecast_L、εr_forecast_L作为低频电磁参数的等效提取结果。The low-frequency sweep pre-evaluation equivalent electromagnetic parameter calculation results μr_forecast_L and εr_forecast_L at this time are used as the equivalent extraction results of the low-frequency electromagnetic parameters.
本发明的有益效果是:本发明能够在不利用大型微波暗室的条件下开展测试以获取复合材料低频电磁参数的扫频测试结果,相比于现有的针对复合材料的电磁参数测试方法,利用计算电磁学方法实现材料低频电磁参数的等效提取,降低了对测试环境的要求;同时对测试环境进行了优化,在测试环境中通过增加吸波材料、减小场地等方式降低了背景噪声对于测试结果的影响,提高了测试精度。The beneficial effects of the present invention are as follows: the present invention can carry out tests without using a large-scale microwave anechoic chamber to obtain the frequency sweep test results of the low-frequency electromagnetic parameters of composite materials. The computational electromagnetic method realizes the equivalent extraction of low-frequency electromagnetic parameters of materials, which reduces the requirements for the test environment; at the same time, the test environment is optimized, and the background noise is reduced by adding absorbing materials and reducing the site in the test environment. The influence of the test results improves the test accuracy.
附图说明Description of drawings
图1为测量复合材料反射参数情况下的装置布置示意图;Figure 1 is a schematic diagram of the arrangement of the device in the case of measuring the reflection parameters of the composite material;
图2为测量复合材料透射参数情况下的装置布置示意图;Figure 2 is a schematic diagram of the arrangement of the device under the condition of measuring the transmission parameters of the composite material;
图3为复合材料低频电磁参数等效提取流程图。Figure 3 is a flowchart of the equivalent extraction of low-frequency electromagnetic parameters of composite materials.
具体实施方式Detailed ways
下面结合附图进一步详细描述本发明的技术方案,但本发明的保护范围不局限于以下所述。The technical solutions of the present invention are further described in detail below with reference to the accompanying drawings, but the protection scope of the present invention is not limited to the following.
如图1~2所示,一种复合材料低频电磁参数等效提取装置,包括支撑模块、信号收发模块和数据处理模块;As shown in Figures 1-2, an equivalent extraction device for low-frequency electromagnetic parameters of composite materials includes a support module, a signal transceiver module and a data processing module;
所述支撑模块,用于对待测材料进行夹装;The support module is used for clamping the material to be tested;
所述信号收发模块,用于发射测试用的电磁波信号,发射信号经过测试环境中支撑模块夹装的待测材料后,再由信号收发模块进行接收,并将接收到的信号作为测试结果传输给数据处理模块;The signal transceiver module is used to transmit electromagnetic wave signals for testing. After the transmitted signal passes through the material to be tested clamped by the support module in the test environment, it is then received by the signal transceiver module, and the received signal is transmitted to the test result as the test result. data processing module;
所述数据处理模块,用于利用测试得到的数据进行计算,将计算结果转换为待测材料低频电磁参数等效提取结果。The data processing module is used to perform calculation using the data obtained from the test, and convert the calculation result into an equivalent extraction result of low-frequency electromagnetic parameters of the material to be tested.
进一步地,其中支撑模块主要包含一面覆盖吸波材料的平板支架结构,模块包含一块非金属支撑平板1,在非金属支撑平板1中心开正方形屏蔽窗2,窗口尺寸大于0.6m,窗口中心距地1m,窗口边界距平板支架边界0.5m。所述非金属支撑平板的一侧面向所述信号收发模块的发射天线,且该侧设置有围绕所述正方形屏蔽窗的法兰夹具3,夹具使用非金属材质制成,尺寸略大于正方形屏蔽窗2,用于将待测材料加装至非金属支撑平板1上并使待测材料与平板平面紧密贴合。所述非金属支撑平板上法兰夹具所在一侧的使用角锥吸波材料4铺满,角锥吸波材料工作频段范围覆盖测试开展频段,使得信号收发模块发出的电磁波无法穿透非金属支撑平板1。非金属支撑平板1底部加装两条非金属横梁5,分别与两组万向轮6连接,使得支撑模块可以便捷的移动和旋转,使得装置具备开展待测材料面对不同方向电磁波入射情况下的低频电磁参数等效提取的能力。支架外设置有激光校准仪7,仪器在空间中建立激光平面用于校准,实现正方形屏蔽窗2与信号收发模块中接收天线、发射天线的中心高度一致,以此减少因为天线错位带来的测试信号损失,提高测试精度;Further, the support module mainly includes a flat plate support structure covered with a wave absorbing material on one side, the module includes a
进一步地,所述信号收发模块包括接收天线、发送天线和矢量网络分析仪组成;接收天线使用喇叭天线形式,发射天线用于发射测试用的电磁波信号,接收天线则用于接收发射信号经过测试环境产生的信号;Further, the signal transceiver module includes a receiving antenna, a transmitting antenna and a vector network analyzer; the receiving antenna is in the form of a horn antenna, the transmitting antenna is used to transmit electromagnetic wave signals for testing, and the receiving antenna is used to receive the transmitted signal through the test environment. generated signal;
所述矢量网络分析仪采用矢量双端口矢量网络分析仪,作为信号源并进行数据显示,发射天线、接收天线使用同轴线缆与双端口矢量网络分析仪的两个端口分别相连,仪器发射端口与发射天线连接用于输出发射信号,接收端口与接收天线相连以测量其接收到电磁信号的场强、相位,同时使用矢网显示屏进行测试结果的实时显示;The vector network analyzer adopts a vector dual-port vector network analyzer as a signal source and performs data display. The transmitting antenna and the receiving antenna are connected to the two ports of the dual-port vector network analyzer using coaxial cables, respectively. The transmitter port of the instrument is It is connected with the transmitting antenna to output the transmitting signal, and the receiving port is connected with the receiving antenna to measure the field strength and phase of the electromagnetic signal it receives, and at the same time, the vector network display screen is used to display the test results in real time;
所述接收天线和发射天线布置时需保证天线中心对准正方形屏蔽窗中心,并调整天线布设位置和与屏蔽窗间的距离,使得在测试频段内天线方向图主瓣宽度保持在屏蔽窗内,而旁瓣辐射不在屏蔽窗范围内,被角锥吸波材料吸收。When arranging the receiving antenna and the transmitting antenna, it is necessary to ensure that the center of the antenna is aligned with the center of the square shielding window, and adjust the layout position of the antenna and the distance between the antenna and the shielding window, so that the width of the main lobe of the antenna pattern in the test frequency band is kept within the shielding window. The side lobe radiation is not within the range of the shielding window and is absorbed by the corner cone absorbing material.
进一步地,所述数据处理模块包括数据处理计算机,数据处理计算机通过数据传输线与矢网相连接,读取其中的测试数据,并利用测试数据进行计算,将计算结果转换为待测材料低频电磁参数等效提取结果。Further, the data processing module includes a data processing computer, and the data processing computer is connected to the vector network through a data transmission line, reads the test data therein, and uses the test data for calculation, and converts the calculation results into the low-frequency electromagnetic parameters of the material to be tested. Equivalent extraction results.
如图3所示,一种复合材料低频电磁参数等效提取方法,包括以下步骤:As shown in Figure 3, a method for equivalent extraction of low-frequency electromagnetic parameters of composite materials includes the following steps:
S1.分别按照透射参数、反射参数测试摆放要求完成布置;S1. Complete the layout according to the test placement requirements of transmission parameters and reflection parameters;
S2.开始进行被测材料的测试;S2. Start the test of the tested material;
S3.开展测试数据分析;将测试得到数据导出至数据处理计算机,由数据处理计算机进行分析处理,将计算结果转换为待测材料低频电磁参数等效提取结果。S3. Carry out test data analysis; export the data obtained from the test to the data processing computer, and the data processing computer will analyze and process, and convert the calculation results into the equivalent extraction results of low-frequency electromagnetic parameters of the material to be tested.
其中,所述步骤S1包括:Wherein, the step S1 includes:
测试反射参数时发射天线、接收天线布置在平板支架结构覆盖吸波材料一侧,两天线以平板支架结构中心法向平面呈镜面对称布置,中心与支架结构上屏蔽窗中心高度一致,为保证天线工作在远场范围内,天线距离屏蔽窗距离为0.6m;矢量网络分析仪及数据处理计算机布置在两天线后侧;When testing the reflection parameters, the transmitting antenna and the receiving antenna are arranged on the side of the flat support structure covering the wave absorbing material. The two antennas are arranged in mirror symmetry on the normal plane of the center of the flat support structure, and the center is at the same height as the center of the shielding window on the support structure. Working in the far-field range, the distance between the antenna and the shielding window is 0.6m; the vector network analyzer and the data processing computer are arranged behind the two antennas;
测试透射参数时发射天线、接收天线布置在平板支架结构两侧,两天线相对放置,以平板支架平面呈镜面对称布置,中心与支架结构上屏蔽窗中心高度一致;矢量网络分析仪及数据处理计算机布置在平板支架结构一侧,距平板支架边缘不小于0.3m,以避免测试过程中由于矢网及数据处理计算机本身的电磁发射及测试人员走动引起测试结果波动。When testing transmission parameters, the transmitting antenna and the receiving antenna are arranged on both sides of the flat support structure, and the two antennas are placed opposite each other. It is arranged on the side of the flat support structure, and the distance from the edge of the flat support is not less than 0.3m to avoid the fluctuation of the test results caused by the electromagnetic emission of the vector network and the data processing computer itself and the movement of the testers during the test.
其中,所述步骤S2包括:Wherein, the step S2 includes:
S201.对测试装置进行校准:使用矢量网络分析仪校准功能,完成双端口开路、短路、负载校准,并完成两端口间通路校准,以消除测试过程中的系统误差;S201. Calibrate the test device: use the vector network analyzer calibration function to complete the dual-port open-circuit, short-circuit, and load calibration, and complete the path calibration between the two ports to eliminate the system error in the test process;
S202.开展屏蔽窗未加装待测材料时两天线端口间透射参数测试,高频扫频测试频段起始频率在1GHz以上(目前考虑的是实际测试频段可以根据用户需求及测试环境调整,但要保证在1GHz以上,例如具体的测试频段采用1GHz-8GHz的连续频率进行测试),高频透射参数测试结果表示为S21_W_H,低频点频测试针对待测材料重点工作频点开展点频测试(测试过程中,低频测试点频覆盖1MHz-1GHz,中间以相等步长分布20个测试频点),低频透射参数测试结果表示为S21_W_L,透射参数测量结果保留幅值和相位;S202. Carry out the transmission parameter test between the two antenna ports when the shielding window is not installed with the material to be tested, and the starting frequency of the high-frequency sweep test frequency band is above 1GHz (currently, it is considered that the actual test frequency band can be adjusted according to user needs and test environment, but To ensure that it is above 1GHz, for example, the specific test frequency band is tested with a continuous frequency of 1GHz-8GHz). During the process, the frequency of the low frequency test points covers 1MHz-1GHz, and 20 test frequency points are distributed with equal steps in the middle), the low frequency transmission parameter test result is expressed as S21_W_L, and the transmission parameter measurement result retains the amplitude and phase;
S203.开展屏蔽窗加装待测材料时两天线端口间透射参数测试,高频扫频测试频段起始频率在1GHz以上,高频透射参数测试结果表示为S21_C_H,低频点频测试针对待测材料重点工作频点开展点频测试,低频透射参数测试结果表示为S21_C_L,透射参数测量结果保留幅值和相位;S203. Carry out the transmission parameter test between the two antenna ports when the shielding window is installed with the material to be tested. The starting frequency of the high-frequency sweep test frequency band is above 1GHz, and the test result of the high-frequency transmission parameter is expressed as S21_C_H. The low-frequency point-frequency test is for the material to be tested. The key working frequency points carry out point frequency test, the low frequency transmission parameter test result is expressed as S21_C_L, and the transmission parameter measurement result retains the amplitude and phase;
S204.开展屏蔽窗加装金属板时两天线端口间反射参数测试,高频扫频测试频段起始频率在1GHz以上,高频反射参数测试结果表示为S11_W_H,低频点频测试针对待测材料重点工作频点开展点频测试,低频反射参数测试结果表示为S11_W_L,反射参数测量结果保留幅值和相位;S204. Carry out the reflection parameter test between the two antenna ports when the shielding window is equipped with a metal plate. The starting frequency of the high-frequency sweep test frequency band is above 1GHz, and the high-frequency reflection parameter test result is expressed as S11_W_H. The low-frequency point-frequency test focuses on the material to be tested. The point-frequency test is carried out at the working frequency, the low-frequency reflection parameter test result is expressed as S11_W_L, and the reflection parameter measurement result retains the amplitude and phase;
S205.开展屏蔽窗加装待测材料时两天线端口间反射参数测试,高频扫频测试频段起始频率在1GHz以上,高频反射参数测试结果表示为S11_C_H,低频点频测试针对待测材料重点工作频点开展点频测试,低频反射参数测试结果表示为S11_C_L,反射参数测量结果保留幅值和相位。S205. Carry out the reflection parameter test between the two antenna ports when the shielding window is equipped with the material to be tested. The starting frequency of the high-frequency sweep test frequency band is above 1GHz, and the test result of the high-frequency reflection parameter is expressed as S11_C_H. The low-frequency point-frequency test is for the material to be tested. The key working frequency points carry out point-frequency test, the low-frequency reflection parameter test result is expressed as S11_C_L, and the reflection parameter measurement result retains the amplitude and phase.
所述步骤S3包括:The step S3 includes:
S301.开展测试数据分析;将测试得到数据导出至数据处理计算机中,利用时域门方法滤除杂波、底噪及收发天线间耦合产生的干扰,获取待测材料高频透射参数S21_H、高频反射参数S11_H、低频透射参数S21_L以及低频反射参数S11_L的测量结果:S301. Carry out test data analysis; export the data obtained from the test to the data processing computer, use the time-domain gate method to filter out clutter, noise floor and the interference caused by the coupling between the transmitting and receiving antennas, and obtain the high-frequency transmission parameters of the material to be tested S21_H , Measurement results of the high frequency reflection parameter S11_H , the low frequency transmission parameter S21_L and the low frequency reflection parameter S11_L :
S21_H=S21_W_H-S21_C_H、S11_H=S11_W_H-S11_C_HS21_H =S21_W_H -S21_C_H , S11_H =S11_W_H -S11_C_H
S21_L=S21_W_L-S21_C_L、S11_L=S11_W_L-S11_C_LS21_L =S21_W_L -S21_C_L , S11_L =S11_W_L -S11_C_L
其中,测量结果计算过程中的相减,是指将每一个频点下对应的测试结果进行相减;Among them, the subtraction in the calculation process of the measurement result refers to the subtraction of the corresponding test results under each frequency point;
S302.推导由散射参数计算材料电磁参数的方式:S302. Derive the way to calculate the electromagnetic parameters of the material from the scattering parameters:
设材料的散射参数包括透射参数S21与反射参数S11,散射参数与材料反射系数、透射系数间关系表示如下式:Suppose the scattering parameters of the material include the transmission parameter S21 and the reflection parameter S11 , and the relationship between the scattering parameter and the material reflection coefficient and transmission coefficient is expressed as follows:
式中Γ、z分别为电磁波正入射至待测材料表面时的反射系数和透射系数;where Γ and z are the reflection coefficient and transmission coefficient when the electromagnetic wave is incident on the surface of the material to be measured, respectively;
基于NRW方法计算得到对应频段内材料的等效电磁参数;散射参数表示式中的反射系数、透射系数与材料电磁参数有关,具体表示为:The equivalent electromagnetic parameters of the material in the corresponding frequency band are calculated based on the NRW method; the reflection coefficient and transmission coefficient in the scattering parameter expression are related to the electromagnetic parameters of the material, which are specifically expressed as:
式中μr、εr分别为待测材料的相对介电常数和相对磁导率,d为待测材料的厚度,由此计算得到材料等效电磁参数:where μr and εr are the relative permittivity and relative permeability of the material to be measured, respectively, and d is the thickness of the material to be measured, from which the equivalent electromagnetic parameters of the material are calculated:
其中:in:
S303.在每一个高频扫频频点下,将S21_H中对应的测量结果作为S21,将S11_H中对应的测量结果作为S11,带入步骤S302中,计算出对应的μr,εr,从而得到准确的高频扫频电磁参数μr_H、εr_H;其中,μr_H包含每一个高频扫频频点下计算得到的相对介电常数μr;εr_H包含每一个高频扫频频点下计算得到的相对磁导率εr;S303. Under each high-frequency sweep frequency point, take the corresponding measurement result in S21_H as S21 , take the corresponding measurement result in S11_H as S11 , and bring it into step S302 to calculate the corresponding μr , εr , so as to obtain accurate high-frequency sweep electromagnetic parameters μr_H , εr_H ; where μr_H includes the relative permittivity μr calculated at each high-frequency sweep frequency point; εr_H includes each high-frequency sweep frequency Calculated relative permeability εr under the point;
同时,在每一个低频点频频点下,将S21_L中对应的测量结果作为S21,将S11_L中对应的测量结果作为S11,带入步骤S302中,计算出对应的μr,εr,从而得到准确的低频点频电磁参数μr_L、εr_L;其中,μr_L包含每一个低频点频频点下计算得到的相对介电常数μr;εr_L包含每一个低频点频频点下计算得到的相对磁导率εr;At the same time, at each low frequency point and frequency point, the corresponding measurement result in S21_L is taken as S21 , and the corresponding measurement result in S11_L is taken as S11 , and brought into step S302 to calculate the corresponding μr , εr , so as to obtain accurate low-frequency point-frequency electromagnetic parameters μr_L , εr_L ; where μr_L contains the relative permittivity μr calculated at each low-frequency point and frequency point; εr_L contains the calculated value at each low-frequency point and frequency point The relative permeability εr ;
S304.开展待测材料电磁参数计算;预先设定待测复合材料各层材料、结构及铺设方式,将待测材料的各组成材料单独等效成均匀介质层,计算得到电磁波入射时第i层介质的传递矩阵Ti:S304. Carry out the calculation of the electromagnetic parameters of the material to be tested; pre-set the material, structure and laying method of each layer of the composite material to be tested, equate the constituent materials of the material to be tested individually into a uniform dielectric layer, and calculate the i-th layer when the electromagnetic wave is incident. The transfer matrix Ti of the medium:
式中ni、zi分别为各层材料在电磁波入射情况下第i层材料的折射率及阻抗;k为已知的波数;d第i层介质厚度;待测材料整体传递矩阵T可以使用各层介质自身传递矩阵与层间损耗Pi相乘得到:In the formula, ni andzi are the refractive index and impedance of the material of the i-th layer under the incident electromagnetic wave; k is the known wave number; d is the thickness of the medium of the i-th layer; the overall transfer matrix T of the material to be tested can be usedMultiplying the transfer matrix of each layer of the medium itself and the interlayer loss Pi can be obtained:
T=ΣTiPiT=ΣTi Pi
层间损耗难以通过测量直接获取,且本身随频率变化而变化,用一频变曲线表示;因此首先认为电磁波在层间传递情况下无损耗,使用Pi=1代入下两式初步计算得到材料的预评估散射参数:The interlayer loss is difficult to obtain directly by measurement, and itself changes with the frequency, which is represented by a frequency curve; therefore, it is first considered that the electromagnetic wave has no loss in the case of interlayer transmission, and Pi = 1 is used to substitute the following two formulas for preliminary calculation to obtain the material The pre-evaluated scattering parameters of :
S305.在频变曲线1GHz以上的每一个频点下,将S21_forecast中对应的测量结果作为S21,将S11_forecast中对应的测量结果作为S11,带入步骤S302中,计算出对应的μr,εr,从而得到预评估的高频扫频电磁参数μr_forecast_H、εr_forecast_H;其中,μr_forecast_H包含频变曲线1GHz以上的每一个频点下计算得到的相对介电常数μr;εr_forecast_H包含频变曲线1GHz以上的每一个频点下计算得到的相对磁导率εr;S305. Take the corresponding measurement result inS21_forecast asS21 and the corresponding measurement result inS11_forecast asS11 at each frequency point above 1 GHz of the frequency change curve, and bring it into step S302 to calculate the corresponding μr , εr , so as to obtain the pre-evaluated high-frequency swept electromagnetic parameters μr_forecast_H , εr_forecast_H ; where μr_forecast_H includes the relative permittivity μr calculated at each frequency point above 1 GHz of the frequency curve; εr_forecast_H Including the relative permeability εr calculated at each frequency point above 1GHz of the frequency curve;
同时,在频变曲线1GHz以下的每一个频点下,将S21_forecast中对应的测量结果作为S21,将S11_forecast中对应的测量结果作为S11,带入步骤S302中,计算出对应的μr,εr,从而得到预评估的低频扫频电磁参数μr_forecast_L、εr_forecast_L;其中,μr_forecast_L包含频变曲线1GHz以下的每一个频点下计算得到的相对介电常数μr;εr_forecast_L包含频变曲线1GHz以下的每一个频点下计算得到的相对磁导率εr;At the same time, at each frequency point below 1 GHz of the frequency change curve, take the corresponding measurement result in S21_forecast as S21 , take the corresponding measurement result in S11_forecast as S11 , and bring it into step S302 to calculate the corresponding μr , εr , so as to obtain the pre-evaluated low-frequency swept electromagnetic parameters μr_forecast_L , εr_forecast_L ; where μr_forecast_L includes the relative permittivity μr calculated at each frequency point below 1 GHz of the frequency curve; εr_forecast_L includes The relative permeability εr calculated at each frequency point below 1 GHz of the frequency curve;
调整层间损耗Pi曲线,使得高频扫频预评估等效电磁参数计算结果μr_forecast_H、εr_forecast_H与高频扫频等效电磁参数测试结果μr_H、εr_H相吻合,低频扫频预评估等效电磁参数计算结果μr_forecast_L、εr_forecast_L在低频测试频点上与低频点频等效电磁参数测试结果μr_L、εr_L相吻合;这里的相吻合,是指在每一个测试频点上的差值均小于设定阈值;The interlayer loss Pi curve is adjusted so that the calculation results μr_forecast_H and εr_forecast_H of the equivalent electromagnetic parameters of the high frequency sweep pre-evaluation are consistent with the test results μr_H and εr_H of the high frequency sweep equivalent electromagnetic parameters, and the low frequency sweep pre-evaluation The equivalent electromagnetic parameter calculation results μr_forecast_L and εr_forecast_L are consistent with the low frequency point frequency equivalent electromagnetic parameter test results μr_L and εr_L at the low frequency test frequency; The difference is less than the set threshold;
将此时的低频扫频预评估等效电磁参数计算结果μr_forecast_L、εr_forecast_L作为低频电磁参数的等效提取结果。The low-frequency sweep pre-evaluation equivalent electromagnetic parameter calculation results μr_forecast_L and εr_forecast_L at this time are used as the equivalent extraction results of the low-frequency electromagnetic parameters.
综上,本发明利用带吸波材料的平板支架结构进行测试环境简化,开展测试取得待测材料高频扫频和低频点频的透射、反射参数测试结果后输出至数据处理模块,结合待测复合材料结构、组成材质等已知信息,使用计算电磁学方法开展电磁参数计算,得到待测材料全频段电磁屏蔽效能计算结果,对比计算结果与高频扫频测试结果、低频点频测试结果是否吻合,以此开展修正,吻合后获得低频电磁参数扫频测试的等效提取结果。相比于现有的针对复合材料电磁性能测试装置及方法,本发明提出的装置降低了对测试环境的要求,能够简化开展复合材料低频电磁参数测试的测试环境,同时有效降低了环境干扰对于测试精度的影响。To sum up, the present invention utilizes the flat support structure with absorbing material to simplify the test environment, and carries out the test to obtain the transmission and reflection parameter test results of the high-frequency sweep frequency and low-frequency point frequency of the material to be tested, and then outputs the test results to the data processing module. With known information such as composite material structure and composition material, use computational electromagnetics to calculate electromagnetic parameters to obtain the full-frequency electromagnetic shielding effectiveness calculation results of the material to be tested. After matching, the correction is carried out, and the equivalent extraction results of the low-frequency electromagnetic parameter sweep frequency test are obtained after matching. Compared with the existing device and method for testing the electromagnetic properties of composite materials, the device proposed by the present invention reduces the requirements for the testing environment, can simplify the testing environment for low-frequency electromagnetic parameter testing of composite materials, and effectively reduce the environmental interference for testing. The effect of precision.
上述说明示出并描述了本发明的一个优选实施例,但如前所述,应当理解本发明并非局限于本文所披露的形式,不应看作是对其他实施例的排除,而可用于各种其他组合、修改和环境,并能够在本文所述发明构想范围内,通过上述教导或相关领域的技术或知识进行改动。而本领域人员所进行的改动和变化不脱离本发明的精神和范围,则都应在本发明所附权利要求的保护范围内。The foregoing description shows and describes a preferred embodiment of the present invention, but as previously mentioned, it should be understood that the present invention is not limited to the form disclosed herein, and should not be construed as an exclusion of other embodiments, but may be used in various and other combinations, modifications and environments, and can be modified within the scope of the inventive concepts described herein, from the above teachings or from skill or knowledge in the relevant art. However, modifications and changes made by those skilled in the art do not depart from the spirit and scope of the present invention, and should all fall within the protection scope of the appended claims of the present invention.
| Application Number | Priority Date | Filing Date | Title |
|---|---|---|---|
| CN202210100369.4ACN114487618B (en) | 2022-01-27 | 2022-01-27 | Composite material low-frequency electromagnetic parameter equivalent extraction device and method |
| Application Number | Priority Date | Filing Date | Title |
|---|---|---|---|
| CN202210100369.4ACN114487618B (en) | 2022-01-27 | 2022-01-27 | Composite material low-frequency electromagnetic parameter equivalent extraction device and method |
| Publication Number | Publication Date |
|---|---|
| CN114487618A CN114487618A (en) | 2022-05-13 |
| CN114487618Btrue CN114487618B (en) | 2022-08-23 |
| Application Number | Title | Priority Date | Filing Date |
|---|---|---|---|
| CN202210100369.4AActiveCN114487618B (en) | 2022-01-27 | 2022-01-27 | Composite material low-frequency electromagnetic parameter equivalent extraction device and method |
| Country | Link |
|---|---|
| CN (1) | CN114487618B (en) |
| Publication number | Priority date | Publication date | Assignee | Title |
|---|---|---|---|---|
| CN115436717B (en)* | 2022-09-16 | 2024-09-03 | 中国工程物理研究院应用电子学研究所 | Cable sheath high-frequency pulse electromagnetic shielding effectiveness testing device |
| CN116539966B (en)* | 2023-04-14 | 2024-02-27 | 深圳大学 | Electromagnetic super-surface near-field measurement device and electromagnetic super-surface near-field measurement method |
| CN118655380B (en)* | 2024-08-19 | 2024-10-29 | 中汽研汽车检验中心(天津)有限公司 | A low-scattering turntable and quiet zone test method for improving quiet zone test performance |
| Publication number | Priority date | Publication date | Assignee | Title |
|---|---|---|---|---|
| WO2006028624A2 (en)* | 2004-08-06 | 2006-03-16 | Bae Systems Information And Electronic Systems Integration Inc. | Method and system for determining antenna characterization |
| EP1941291A1 (en)* | 2005-10-24 | 2008-07-09 | Commissariat A L'energie Atomique | Magnetic permeability measuring method and a reference sample used therefor |
| WO2011012767A1 (en)* | 2009-07-27 | 2011-02-03 | Aalto-Korkeakoulusäätiö | Broadband reference-plane invariant method and algorithm for measuring electromagnetic parameters of materials |
| CN103293389A (en)* | 2013-05-23 | 2013-09-11 | 长沙三瑞传感技术有限公司 | High-temperature testing system for electromagnetic parameters of materials |
| CN103487666A (en)* | 2013-09-25 | 2014-01-01 | 长沙新图仪器有限公司 | Resonant cavity test device used for testing dielectric constant of materials |
| CN103728321A (en)* | 2013-12-20 | 2014-04-16 | 西安嘉天通信科技有限公司 | Multifunctional material electromagnetic parameter test system and method |
| CN104967490A (en)* | 2015-04-30 | 2015-10-07 | 中国电子科技集团公司第四十一研究所 | A free-space transmission reflection calibration method |
| CN105352978A (en)* | 2015-11-26 | 2016-02-24 | 电子科技大学 | Handheld wave-absorbing material reflectivity measuring device |
| CN106093810A (en)* | 2016-05-19 | 2016-11-09 | 中电科仪器仪表有限公司 | A kind of method of material electromagnetic parameter test and the ambiguity solution for material electromagnetic parameter test |
| CN106324360A (en)* | 2015-06-19 | 2017-01-11 | 深圳光启高等理工研究院 | Dielectric parameter measurement system and method |
| CN107202942A (en)* | 2017-04-26 | 2017-09-26 | 北京航空航天大学 | A kind of free-space Method dielectric constant measurement system and measuring method for adding polarization grid |
| CN109188105A (en)* | 2018-10-19 | 2019-01-11 | 北京环境特性研究所 | Suitable for Terahertz frequency range high reflection dielectric material parameter measuring apparatus and method |
| CN109212320A (en)* | 2017-06-30 | 2019-01-15 | 北京航空航天大学 | Composite material dielectric constant measuring apparatus and method under stress |
| CN109270479A (en)* | 2018-09-21 | 2019-01-25 | 临海市云谱光电有限公司 | A kind of multi-thread TRL calibration method based on tensor resolution |
| CN111856151A (en)* | 2020-08-19 | 2020-10-30 | 无锡威孚高科技集团股份有限公司 | Material testing device and system for testing dielectric constant of wave-transmitting materials |
| CN112782485A (en)* | 2021-01-04 | 2021-05-11 | 西安电子科技大学 | Method and system for measuring dielectric constant of mixed solid particulate matter and application |
| CN214375019U (en)* | 2021-01-29 | 2021-10-08 | 佛山蓝谱达科技有限公司 | Material electromagnetic parameter measuring device |
| CN113804985A (en)* | 2021-08-30 | 2021-12-17 | 西安交通大学 | Anti-interference antenna directional pattern measuring method based on hybrid shielding chamber |
| CN113866517A (en)* | 2021-09-30 | 2021-12-31 | 北京航空航天大学 | An automatic test method and device for normalized field attenuation in open field |
| Publication number | Priority date | Publication date | Assignee | Title |
|---|---|---|---|---|
| US10309909B2 (en)* | 2015-11-10 | 2019-06-04 | United Arab Emirates University | Dielectric constant detection method and device using anomalous phase dispersion |
| US10746774B2 (en)* | 2018-06-10 | 2020-08-18 | Microwave Measurement Systems Llc | Freespace antenna measurement system |
| US20200264298A1 (en)* | 2019-02-19 | 2020-08-20 | Haseltine Eric | Multi-signal weapon detector |
| Publication number | Priority date | Publication date | Assignee | Title |
|---|---|---|---|---|
| WO2006028624A2 (en)* | 2004-08-06 | 2006-03-16 | Bae Systems Information And Electronic Systems Integration Inc. | Method and system for determining antenna characterization |
| EP1941291A1 (en)* | 2005-10-24 | 2008-07-09 | Commissariat A L'energie Atomique | Magnetic permeability measuring method and a reference sample used therefor |
| WO2011012767A1 (en)* | 2009-07-27 | 2011-02-03 | Aalto-Korkeakoulusäätiö | Broadband reference-plane invariant method and algorithm for measuring electromagnetic parameters of materials |
| CN103293389A (en)* | 2013-05-23 | 2013-09-11 | 长沙三瑞传感技术有限公司 | High-temperature testing system for electromagnetic parameters of materials |
| CN103487666A (en)* | 2013-09-25 | 2014-01-01 | 长沙新图仪器有限公司 | Resonant cavity test device used for testing dielectric constant of materials |
| CN103728321A (en)* | 2013-12-20 | 2014-04-16 | 西安嘉天通信科技有限公司 | Multifunctional material electromagnetic parameter test system and method |
| CN104967490A (en)* | 2015-04-30 | 2015-10-07 | 中国电子科技集团公司第四十一研究所 | A free-space transmission reflection calibration method |
| CN106324360A (en)* | 2015-06-19 | 2017-01-11 | 深圳光启高等理工研究院 | Dielectric parameter measurement system and method |
| CN105352978A (en)* | 2015-11-26 | 2016-02-24 | 电子科技大学 | Handheld wave-absorbing material reflectivity measuring device |
| CN106093810A (en)* | 2016-05-19 | 2016-11-09 | 中电科仪器仪表有限公司 | A kind of method of material electromagnetic parameter test and the ambiguity solution for material electromagnetic parameter test |
| CN107202942A (en)* | 2017-04-26 | 2017-09-26 | 北京航空航天大学 | A kind of free-space Method dielectric constant measurement system and measuring method for adding polarization grid |
| CN109212320A (en)* | 2017-06-30 | 2019-01-15 | 北京航空航天大学 | Composite material dielectric constant measuring apparatus and method under stress |
| CN109270479A (en)* | 2018-09-21 | 2019-01-25 | 临海市云谱光电有限公司 | A kind of multi-thread TRL calibration method based on tensor resolution |
| CN109188105A (en)* | 2018-10-19 | 2019-01-11 | 北京环境特性研究所 | Suitable for Terahertz frequency range high reflection dielectric material parameter measuring apparatus and method |
| CN111856151A (en)* | 2020-08-19 | 2020-10-30 | 无锡威孚高科技集团股份有限公司 | Material testing device and system for testing dielectric constant of wave-transmitting materials |
| CN112782485A (en)* | 2021-01-04 | 2021-05-11 | 西安电子科技大学 | Method and system for measuring dielectric constant of mixed solid particulate matter and application |
| CN214375019U (en)* | 2021-01-29 | 2021-10-08 | 佛山蓝谱达科技有限公司 | Material electromagnetic parameter measuring device |
| CN113804985A (en)* | 2021-08-30 | 2021-12-17 | 西安交通大学 | Anti-interference antenna directional pattern measuring method based on hybrid shielding chamber |
| CN113866517A (en)* | 2021-09-30 | 2021-12-31 | 北京航空航天大学 | An automatic test method and device for normalized field attenuation in open field |
| Title |
|---|
| 40~110 GHz介质材料自由空间法电磁参数测量;冀元 等;《安全与电磁兼容》;20211231(第4期);第45-50页* |
| 自由空间法测量复合材料复电磁参数;张伟 等;《复合材料学报》;20070228;第24卷(第1期);第141-145页* |
| Publication number | Publication date |
|---|---|
| CN114487618A (en) | 2022-05-13 |
| Publication | Publication Date | Title |
|---|---|---|
| CN114487618B (en) | Composite material low-frequency electromagnetic parameter equivalent extraction device and method | |
| KR102203945B1 (en) | Electric Field Intensity Measuring Method of EMP Permeating Facility Area | |
| US9699678B2 (en) | Plane wave generation within a small volume of space for evaluation of wireless devices | |
| CN107543975B (en) | Electromagnetic radiation emission test device for non-fully shielded motor vehicles | |
| CN102798778A (en) | Modeling method for signal transmission step of internal field antenna measurement system | |
| CN108519529A (en) | An improved test method and system for electromagnetic disturbance characteristics of electric propulsion system | |
| CN102798769B (en) | Narrow-band antenna test method based on return loss compensation | |
| CN106777704B (en) | Method and system for predicting electromagnetic coupling degree between antennas on medium coating target | |
| Urahashi et al. | Complex permittivity evaluation of building materials at 200-500 GHz using THz-TDS | |
| US5502394A (en) | Compact, portable device for measuring the reflection coefficient of a structure exposed to microwave radiation | |
| CN108663578A (en) | Reflection for microwave/millimeter wave frequency range vortex electromagnetic wave and transmission test device | |
| CN101477153B (en) | High frequency electric field tester | |
| CN115236411A (en) | A radiation source modeling method for electronic devices in shielding cans | |
| Weston | Comparison of techniques for prediction and measurement of antenna to antenna coupling on an aircraft | |
| Wojciech et al. | Some consideration on shielding effectiveness testing by means of the nested reverberation chambers | |
| CN105676006B (en) | A kind of electronic equipment based on measured data endangers radiation field prediction technique and system | |
| Kabiri | Reverberant electromagnetic fields within launch vehicle payload fairings | |
| CN120214427A (en) | A method for testing electromagnetic properties of materials by measuring reflection and penetration | |
| CN112858794A (en) | System and method for measuring scattering parameters of ultrathin reflection-type electromagnetic super surface | |
| Yang et al. | A Method for Eliminating the Multipath Effect of Hangars on Spatial Signals of Localizer | |
| Prather et al. | CW measurements of electromagnetic shields | |
| CN221174807U (en) | Radome dielectric property test system | |
| Grosvenor et al. | Shielding effectiveness measurements using the direct illumination technique | |
| Trout | Launch Vehicle and Spacecraft Transmitter Electromagnetic Compatibility | |
| Pommerenke | Directional coupling antennas applied to absorber lined chambers and OATS problems |
| Date | Code | Title | Description |
|---|---|---|---|
| PB01 | Publication | ||
| PB01 | Publication | ||
| SE01 | Entry into force of request for substantive examination | ||
| SE01 | Entry into force of request for substantive examination | ||
| GR01 | Patent grant | ||
| GR01 | Patent grant |