



技术领域technical field
本发明涉及光学传感,材料科学以及机械工程等技术领域,特别涉及一种基于光波导的柔性表面压力传感器。The invention relates to the technical fields of optical sensing, material science and mechanical engineering, in particular to a flexible surface pressure sensor based on an optical waveguide.
背景技术Background technique
压力传感器通过将外界的压力信号转换成电信号来测量绝对压力值或压力的变化,在物联网、触觉感知、医疗监护、人机交互等领域有着广泛的应用前景。传统的压力传感器以金属片、半导体、压电材料等为主,这些材料大多属于刚性材料。虽然采用这些材料制备压力传感器的技术已经相对成熟,,能够在较大范围内精确地测定压力值。然而,随着科技的发展和应用范围的增大,传统刚性压力传感器的缺点也越来越明显,例如传感器的器件体积较大、较重并且不能承受较大的形变等问题。这些缺点阻碍了它们在柔性人机交互、便携式检测、仿生机器人触觉等场景下的应用。柔性压力传感器作为一种新型的电子传感器件,相对于传统的刚性压力传感器具有轻薄柔软、可拉伸性好、共形能力强、贴合性高等特点,在应用于可穿戴电子设备、仿生机器人的触觉感知系统、结构健康监测系统等方面有着独特的优势。目前,市场上的柔性压力传感器以电容型、电阻型、压电型和摩擦电型为主。由于软材料的不可压缩性,基于这几种类型的柔性压力传感器的灵敏度较低,通常需要设计特殊的微结构来提升传感器的压力分辨率。其中,基于电阻型的压力传感器,由于压敏材料的性质,容易出现信号的漂移和滞后,导致传感器的响应时间长等问题。此外,基于微结构的压力传感制造工艺复杂、成本非常高,再加上针对传感阵列的每个传感点都需要导线进行连接和控制,形成非常复杂的电路连接线,导致这类表面压力传感器难以进行大面积的生产和应用。Pressure sensors measure absolute pressure values or changes in pressure by converting external pressure signals into electrical signals, and have broad application prospects in the fields of Internet of Things, tactile perception, medical monitoring, and human-computer interaction. Traditional pressure sensors are mainly made of metal sheets, semiconductors, piezoelectric materials, etc. Most of these materials are rigid materials. Although the technology of using these materials to prepare pressure sensors is relatively mature, it can accurately measure pressure values in a wide range. However, with the development of science and technology and the expansion of application scope, the shortcomings of traditional rigid pressure sensors are becoming more and more obvious. These shortcomings hinder their application in scenarios such as flexible human-computer interaction, portable detection, and bionic robot haptics. As a new type of electronic sensing device, flexible pressure sensor has the characteristics of lightness, thinness, softness, good stretchability, strong conformability, and high fit compared with traditional rigid pressure sensors. It is widely used in wearable electronic devices and bionic robots. It has unique advantages in tactile perception system and structural health monitoring system. At present, the flexible pressure sensors on the market are mainly capacitive, resistive, piezoelectric and triboelectric. Due to the incompressibility of soft materials, the sensitivity of these types of flexible pressure sensors is low, and special microstructures are usually designed to improve the pressure resolution of the sensor. Among them, resistance-based pressure sensors are prone to signal drift and hysteresis due to the properties of pressure-sensitive materials, resulting in long sensor response times. In addition, the microstructure-based pressure sensing manufacturing process is complex and the cost is very high, and each sensing point of the sensing array needs to be connected and controlled by wires, forming a very complex circuit connection line, resulting in such surface Pressure sensors are difficult to produce and apply in large areas.
随着人类对海洋探测地逐步深入,传统的大型潜水器由于造价高、机动性差、噪声大、对环境干扰严重等因素已经无法满足目前对海洋科考和开发的需求。新一代小型仿生无人潜水器对于海洋的探测和开发有着重要的作用。这种仿生型潜水器制造成本低,灵活机动,隐蔽性高,能够实现集群配合去进行大片海域的勘查,其能够有效地提升了潜水器的机动性能和使用效率。柔性压力传感器在小型仿生潜水器动力鳍的设计和反馈控制上起着重要的作用,然而这种小型仿生潜水器对所搭载的压力传感器也提出了新的要求,轻量化、耐腐蚀、抗高压等。目前,市场上能够应用于小型仿生潜水器的表面压力传感器有着很大的空缺。一方面,小型仿生潜水器自身体积不大,所搭载的传感必须能够达到体积小、质量轻且结构简单的标准。另一方面,耐腐蚀和快速响应是实现水下实时控制的必要条件。With the gradual deepening of human exploration of the ocean, traditional large-scale submersibles have been unable to meet the current needs for marine scientific research and development due to factors such as high cost, poor mobility, high noise, and serious environmental interference. The new generation of small bionic unmanned submersibles plays an important role in the exploration and development of the ocean. This bionic submersible has low manufacturing cost, is flexible and maneuverable, and has high concealment. It can realize group cooperation to conduct surveys in large sea areas, and can effectively improve the maneuverability and use efficiency of the submersible. The flexible pressure sensor plays an important role in the design and feedback control of the power fins of the small bionic submersible. However, this small bionic submersible also puts forward new requirements for the pressure sensor carried, such as light weight, corrosion resistance and high pressure resistance. Wait. At present, there is a large gap in the market for surface pressure sensors that can be applied to small bionic submersibles. On the one hand, the small bionic submersible itself is not large, and the sensors it carries must meet the standards of small size, light weight and simple structure. On the other hand, corrosion resistance and fast response are necessary conditions for realizing real-time underwater control.
发明内容SUMMARY OF THE INVENTION
针对现有技术的不足,本发明提出一种基于光波导的柔性表面压力传感器,具体技术方案如下:In view of the deficiencies of the prior art, the present invention proposes a flexible surface pressure sensor based on an optical waveguide, and the specific technical scheme is as follows:
一种基于光波导的柔性表面压力传感器,该传感器包括:An optical waveguide-based flexible surface pressure sensor comprising:
柔性光波导;flexible optical waveguide;
位于所述柔性光波导输入端的光源;a light source located at the input end of the flexible optical waveguide;
位于所述柔性光波导输出端的波长探测器;a wavelength detector located at the output end of the flexible optical waveguide;
所述柔性光波导包括:The flexible optical waveguide includes:
包层;wrapping;
包裹在所述包层内部的光波导内芯;an optical waveguide core wrapped inside the cladding;
位于所述光波导内芯中不同位置的多个柔性吸光材料块;a plurality of flexible light-absorbing material blocks located at different positions in the inner core of the optical waveguide;
所述光波导内芯和柔性吸光材料块均为透明材质;所述包层的折射率低于所述光波导内芯;每个柔性吸光材料块吸收的波长不同,且所有柔性吸光材料块能够吸收的波长均位于所述光源发出的光的波长范围内;The optical waveguide inner core and the flexible light-absorbing material block are both transparent materials; the refractive index of the cladding layer is lower than the optical waveguide inner core; the wavelengths absorbed by each flexible light-absorbing material block are different, and all flexible light-absorbing material blocks can The absorbed wavelengths are all within the wavelength range of the light emitted by the light source;
所述光源发出光,经所述光波导内芯传输,部分光被所述柔性吸光材料块部分吸收;当所述柔性光波导受到应力后产生形变,导致所述波长探测器探测到输出光中的波长比例发生变化,从而对外部应力进行感应。The light source emits light, which is transmitted through the inner core of the optical waveguide, and part of the light is partially absorbed by the flexible light-absorbing material block; when the flexible optical waveguide is stressed, it deforms, causing the wavelength detector to detect the output light changes in the wavelength ratio of , thereby inducing external stress.
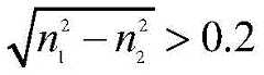
进一步地,所述光波导内芯的折射率n1与所述包层的折射率n2满足如下关系:Further, the refractive index n1 of the inner core of the optical waveguide and the refractive index n2 of the cladding satisfy the following relationship:
进一步地,所述包层选用硅胶,所述光波导内芯选用透明柔性聚氨酯类材料。Further, the cladding layer is selected from silica gel, and the inner core of the optical waveguide is selected from a transparent and flexible polyurethane material.
进一步地,所述柔性光波导由3D打印制成。Further, the flexible optical waveguide is made of 3D printing.
进一步地,在所述光源和所述柔性光波导之间设置波导光耦合连接件,所述波导光耦合连接件为锥形结构,所述波导耦合连接件具有大直径的一端将所述光源包裹,小直径的一端与所述柔性光波导连接,且所述波导光耦合连接件的外部涂覆反光材料。Further, a waveguide light coupling connector is arranged between the light source and the flexible optical waveguide, the waveguide light coupling connector is a tapered structure, and the waveguide coupling connector has an end with a large diameter to wrap the light source , one end with a small diameter is connected with the flexible optical waveguide, and the outer part of the optical coupling connecting piece of the waveguide is coated with a reflective material.
本发明的有益效果如下:The beneficial effects of the present invention are as follows:
本发明结合了波分复用的思想,在单根波导上设置多个波长的传感点,利用不同波长的信号,在单根光纤上实现准分布式传感,该种表面压力传感器的传感端完全依赖于光学原理,不包含电子器件和线路,能够将LED光源产生的光全部导入到光波导中,实现损耗最低。且该传感器结构简单,耐腐蚀、抗高压,依靠波长变化获得的传感信号稳定,完全不受外部的电磁干扰,感应灵活可靠。The invention combines the idea of wavelength division multiplexing, sets multiple wavelength sensing points on a single waveguide, and uses signals of different wavelengths to realize quasi-distributed sensing on a single fiber. The sensing end is completely dependent on the optical principle, does not contain electronic devices and circuits, and can guide all the light generated by the LED light source into the optical waveguide to achieve the lowest loss. In addition, the sensor has simple structure, corrosion resistance, high pressure resistance, stable sensing signal obtained by wavelength change, completely free from external electromagnetic interference, flexible and reliable sensing.
附图说明Description of drawings
图1为本发明基于光波导的柔性表面压力传感器其中一种实施方式的结构示意图。FIG. 1 is a schematic structural diagram of one embodiment of the optical waveguide-based flexible surface pressure sensor of the present invention.
图2为本发明基于光波导的柔性表面压力传感器另一种实施方式的结构示意图。FIG. 2 is a schematic structural diagram of another embodiment of the optical waveguide-based flexible surface pressure sensor of the present invention.
图3本发明基于光波导的柔性表面压力传感器再一种实施方式的结构示意图。FIG. 3 is a schematic structural diagram of still another embodiment of the optical waveguide-based flexible surface pressure sensor of the present invention.
图4为本发明实施例中波导光耦合连接件的示意图。FIG. 4 is a schematic diagram of a waveguide optical coupling connector in an embodiment of the present invention.
附图标记包括,1-光源,2-波导光耦合连接件,3-包层,4-光波导内芯,5-柔性吸光材料块,6-波长探测器。Reference numerals include, 1-light source, 2-waveguide optical coupling connector, 3-cladding, 4-optical waveguide inner core, 5-flexible light-absorbing material block, 6-wavelength detector.
具体实施方式Detailed ways
下面根据附图和优选实施例详细描述本发明,本发明的目的和效果将变得更加明白,应当理解,此处所描述的具体实施例仅仅用以解释本发明,并不用于限定本发明。The present invention will be described in detail below according to the accompanying drawings and preferred embodiments, and the purpose and effects of the present invention will become clearer.
本发明公开了一种基于光波导的柔性表面压力传感器,包括柔性光波导,以及位于柔性光波导输入端的光源1、位于柔性光波导输出端的波长探测器6。柔性光波导又包括包层3、光波导内芯4和多个柔性吸光材料块5,其中,包层3将光波导内芯4包裹在其内部,多个柔性吸光材料块5位于光波导内芯4中的不同位置,包层3起着辅助的作用,主要是为了使光能够在照射到内芯边缘时产生全反射效应,防止光在内芯传播时发生严重泄漏,且能够将所受应力较好地传导到光波导内芯4和柔性吸光材料块5上。The invention discloses a flexible surface pressure sensor based on an optical waveguide, comprising a flexible optical waveguide, a
光波导内芯4和柔性吸光材料块5均为透明材质,包层3的折射率应低于光波导内芯4的折射率,如低于1.4最佳,可用的材料包括高性能硅胶。光波导内芯4需要有较高的透明度,整体对光的吸收小,可以是透明柔性聚氨酯类材料,高于1.46较好。The optical waveguide
优选地,光波导内芯的折射率n1与所述包层的折射率n2满足如下关系:Preferably, the refractive index n1 of the inner core of the optical waveguide and the refractive index n2 of the cladding satisfy the following relationship:
包层3的折射率需低于光波导内芯4,且每个柔性吸光材料块5吸收的波长不同,且所有柔性吸光材料块5能够吸收的波长均位于光源1发出的光的波长范围内。The refractive index of the
柔性吸光材料块5所在的位置即为传感位置点,它必须与光波导内芯4严密贴合以免造成光在传输中的损耗。此外,柔性吸收材料块5的形状可以是任意形状,长方体的吸收块便于加工,它一般占据半个光的路径,但是又不能完全阻挡住光的传播,以免影响后面的吸收块的传感性能。The position where the flexible light-absorbing
光波导内芯4的形状可以是长条状,如图1所示,或者如图2所示,为圆柱体,也可以是其它形状,如图3所示,为曲线型或有一定角度的弯折。且图1和图2中,每个光波导内芯对应一个光源1和一个波长探测器6。图3中的光波导内芯为弯曲型,但必须注意弯曲半径不能太小,弯折半径的大小应保证不能造成严重的光泄漏。相对于直线型的波导,图3这样的一组光源-波导-探测器中的光波导内芯4占据着更大的传感面积,可以用于监测表面更大的面积。图3中的光波导在弯曲时可以分为三路,甚至更多路,只要其中布设在不同传感点位的材料吸收块所吸收的光波长不相同即可。通过探测不同波长的组成比例即可分析出受力位置和大小。此时,多个光波导内芯可以对应一个光源1和一个波长探测器6。The shape of the optical waveguide
图1中的长方体的波导更适合浇筑制作,图2中的圆柱体波导内芯适合使用3D打印技术精确打印。光波导内芯4中间分布着多个柔性吸光材料块5,柔性吸光材料块5一般只占据部分光波导内芯4,使得只有部分通过的光会被柔性吸光材料块5吸收。The cuboid waveguide in Figure 1 is more suitable for casting, and the cylindrical waveguide core in Figure 2 is suitable for accurate printing using 3D printing technology. A plurality of flexible light absorbing
探测器6可以探测到输出光中的波长比例的变化,在可见光中可以表述为颜色传感器,如TCS3472或AS7341等。The
光源1与柔性光波导内芯4紧紧相连,其将宽光谱的光传输到光波导内芯4中,经光波导内芯4传输,部分光被柔性吸光材料块5部分吸收;当柔性光波导受到应力后产生形变,导致波长探测器6探测到输出光中的波长比例发生变化,从而对外部应力进行感应。波长探测器6必须与光源4以及柔性吸光材料块5所对应,能够探测到光源以及透射过吸光材料块的光。整个柔性传感器表面虽然受到应力后,会导致部分光泄漏使得光强发生改变,但是这并不是本发明的原理需求。本发明的重点在于柔性吸光材料块5部分受到应力后产生形变,导致其所吸收的特定波长光的量发生改变。The
为了使光源1发出的光能够全部传导到柔性光波导中,如图1~3所示,在光源1和柔性光波导之间设置波导光耦合连接件2,如图4所示,波导光耦合连接件2为锥形结构,波导耦合连接件2具有大直径的一端将光源1包裹,小直径的一端与柔性光波导连接,且波导光耦合连接件2的外部涂覆反光材料。In order to enable all the light emitted by the
本发明所提供的柔性表面压力传感器结构简单,体积小,抗压能力强,可搭载在小型深海仿生潜水器上,适用于仿生潜水器的以鱼鳍为动力的设计以及潜水器航行时的表面压力监测。The flexible surface pressure sensor provided by the invention has the advantages of simple structure, small volume and strong pressure resistance, can be mounted on a small deep-sea bionic submersible, and is suitable for the fin-driven design of the bionic submersible and the surface of the submersible when the submersible sails. Pressure monitoring.
本领域普通技术人员可以理解,以上所述仅为发明的优选实例而已,并不用于限制发明,尽管参照前述实例对发明进行了详细的说明,对于本领域的技术人员来说,其依然可以对前述各实例记载的技术方案进行修改,或者对其中部分技术特征进行等同替换。凡在发明的精神和原则之内,所做的修改、等同替换等均应包含在发明的保护范围之内。Those of ordinary skill in the art can understand that the above are only preferred examples of the invention and are not intended to limit the invention. Although the invention has been described in detail with reference to the foregoing examples, those skilled in the art can still understand the Modifications are made to the technical solutions described in the foregoing examples, or equivalent replacements are made to some of the technical features. All modifications and equivalent replacements made within the spirit and principle of the invention shall be included within the protection scope of the invention.
| Application Number | Priority Date | Filing Date | Title |
|---|---|---|---|
| CN202210087673.XACN114486020B (en) | 2022-01-25 | 2022-01-25 | Flexible surface pressure sensor based on optical waveguide |
| Application Number | Priority Date | Filing Date | Title |
|---|---|---|---|
| CN202210087673.XACN114486020B (en) | 2022-01-25 | 2022-01-25 | Flexible surface pressure sensor based on optical waveguide |
| Publication Number | Publication Date |
|---|---|
| CN114486020Atrue CN114486020A (en) | 2022-05-13 |
| CN114486020B CN114486020B (en) | 2024-07-19 |
| Application Number | Title | Priority Date | Filing Date |
|---|---|---|---|
| CN202210087673.XAActiveCN114486020B (en) | 2022-01-25 | 2022-01-25 | Flexible surface pressure sensor based on optical waveguide |
| Country | Link |
|---|---|
| CN (1) | CN114486020B (en) |
| Publication number | Priority date | Publication date | Assignee | Title |
|---|---|---|---|---|
| CN115014623A (en)* | 2022-06-10 | 2022-09-06 | 清华大学 | Optical waveguide touch sensor, sensing system, calibration method and robot |
| CN116007805A (en)* | 2023-01-03 | 2023-04-25 | 之江实验室 | Sensor, robot and method for preparing sensor |
| CN116735069A (en)* | 2023-08-15 | 2023-09-12 | 中国空气动力研究与发展中心高速空气动力研究所 | Novel flow field pressure optical measurement method |
| CN119043541A (en)* | 2024-10-30 | 2024-11-29 | 吉林大学 | Fingertip pressure and position recognition sensor based on multi-color core flexible optical waveguide |
| Publication number | Priority date | Publication date | Assignee | Title |
|---|---|---|---|---|
| JP2010278328A (en)* | 2009-05-29 | 2010-12-09 | Sumitomo Electric Ind Ltd | Semiconductor laser element |
| CN108444406A (en)* | 2018-05-18 | 2018-08-24 | 深圳市博讯飞扬科技有限公司 | A kind of flexible optical sensor |
| CN110300906A (en)* | 2017-06-16 | 2019-10-01 | 直观外科手术操作公司 | Optical fiber with integrated absorbing material |
| CN110823427A (en)* | 2020-01-09 | 2020-02-21 | 腾讯科技(深圳)有限公司 | Touch sensor, pressure event detection method and device and intelligent robot |
| CN111157154A (en)* | 2020-01-07 | 2020-05-15 | 腾讯科技(深圳)有限公司 | Touch sensor, touch event detection method and device and intelligent robot |
| CN111505764A (en)* | 2020-06-17 | 2020-08-07 | 清华大学 | Arrayed optical waveguide flexible touch sensor and preparation method and application thereof |
| Publication number | Priority date | Publication date | Assignee | Title |
|---|---|---|---|---|
| JP2010278328A (en)* | 2009-05-29 | 2010-12-09 | Sumitomo Electric Ind Ltd | Semiconductor laser element |
| CN110300906A (en)* | 2017-06-16 | 2019-10-01 | 直观外科手术操作公司 | Optical fiber with integrated absorbing material |
| US20200209466A1 (en)* | 2017-06-16 | 2020-07-02 | Intuitive Surgical Operations, Inc. | Optical fiber with integrated absorber material |
| CN108444406A (en)* | 2018-05-18 | 2018-08-24 | 深圳市博讯飞扬科技有限公司 | A kind of flexible optical sensor |
| CN111157154A (en)* | 2020-01-07 | 2020-05-15 | 腾讯科技(深圳)有限公司 | Touch sensor, touch event detection method and device and intelligent robot |
| CN110823427A (en)* | 2020-01-09 | 2020-02-21 | 腾讯科技(深圳)有限公司 | Touch sensor, pressure event detection method and device and intelligent robot |
| CN111505764A (en)* | 2020-06-17 | 2020-08-07 | 清华大学 | Arrayed optical waveguide flexible touch sensor and preparation method and application thereof |
| Publication number | Priority date | Publication date | Assignee | Title |
|---|---|---|---|---|
| CN115014623A (en)* | 2022-06-10 | 2022-09-06 | 清华大学 | Optical waveguide touch sensor, sensing system, calibration method and robot |
| CN115014623B (en)* | 2022-06-10 | 2023-12-29 | 清华大学 | Optical waveguide touch sensor, sensing system, calibration method and robot |
| CN116007805A (en)* | 2023-01-03 | 2023-04-25 | 之江实验室 | Sensor, robot and method for preparing sensor |
| CN116735069A (en)* | 2023-08-15 | 2023-09-12 | 中国空气动力研究与发展中心高速空气动力研究所 | Novel flow field pressure optical measurement method |
| CN116735069B (en)* | 2023-08-15 | 2023-10-31 | 中国空气动力研究与发展中心高速空气动力研究所 | Novel flow field pressure optical measurement method |
| CN119043541A (en)* | 2024-10-30 | 2024-11-29 | 吉林大学 | Fingertip pressure and position recognition sensor based on multi-color core flexible optical waveguide |
| Publication number | Publication date |
|---|---|
| CN114486020B (en) | 2024-07-19 |
| Publication | Publication Date | Title |
|---|---|---|
| CN114486020A (en) | A flexible surface pressure sensor based on optical waveguide | |
| EP3717944B1 (en) | Waveguide and sensor based on same | |
| CN103677448A (en) | Grating structure-based optical waveguide touch screen | |
| US11530958B2 (en) | Intelligent optical fiber tactile sounding system and method thereof | |
| CN110849463A (en) | A kind of underwater acoustic sensing optical cable and its sensitization coating method | |
| CN204228235U (en) | Based on the optical fiber continous way liquid level sensor system of CMFTIR effect | |
| CN110702023A (en) | Method and system for reconstructing object shape based on fiber Bragg grating | |
| CN103712575A (en) | Optic bending curvature testing method and sensor | |
| CN114080538B (en) | Touch sensing equipment, electronic equipment, earphone and watch | |
| CN101140174A (en) | A Photonic Crystal Fiber Sensing Device Based on Cladding Light Guidance | |
| CN105043264A (en) | Fiber optic displacement sensor based on macro-bending loss effect | |
| CN105953958A (en) | All-silica fiber Fabry-Perot pressure sensor | |
| CN206876317U (en) | An all-fiber high-sensitivity pressure sensor | |
| CN110045457B (en) | A kind of acoustic wave sensitization fiber based on cladding softening and multi-cladding structure | |
| CN112433306B (en) | Distributed optical fiber three-dimensional shape rapid reconstruction device | |
| CN118565677B (en) | Bionic fingertip sensor based on fiber Bragg grating | |
| WO2021051748A1 (en) | Grating touch screen based on lattice structure distribution | |
| CN210802682U (en) | A Fiber Optic Interference Hydrophone Detection System | |
| CN106289340B (en) | A Multi-channel Optical Fiber Sensor Based on TFBG-SPR | |
| CN118654710A (en) | A tactile and thermal FBG composite sensing sensor and a bionic manipulator | |
| CN118816738A (en) | A flexible large strain sensor based on multi-core fiber Bragg grating and its design method | |
| CN111238406A (en) | Liquid core angle sensor | |
| CN205209624U (en) | Light intensity formula optic fibre vibration sensing device | |
| CN206348476U (en) | A temperature-insensitive fiber grating filter | |
| CN115014223A (en) | Submarine cable deformation monitoring system based on sensing grating array |
| Date | Code | Title | Description |
|---|---|---|---|
| PB01 | Publication | ||
| PB01 | Publication | ||
| SE01 | Entry into force of request for substantive examination | ||
| SE01 | Entry into force of request for substantive examination | ||
| GR01 | Patent grant | ||
| GR01 | Patent grant |