



技术领域technical field
本申请属于光学领域,尤其涉及一种激光的输出装置、方法、终端和存储介质。The present application belongs to the field of optics, and in particular relates to a laser output device, method, terminal and storage medium.
背景技术Background technique
激光消融是指利用紫外线激光,照射血管内的粥样硬化斑块。紫外线在被粥样硬化斑块吸收后,能够破坏斑块的碳-氢键,使得组织温度升高并在输出紫外线激光的导管前端产生微蒸汽气泡。这些微蒸汽气泡的膨胀和暴缩能够瓦解血管内的斑块,将斑块分解成水、气体及小于10μm的微小颗粒。这些微小颗粒经过网状内皮系统的吸收,能够避免血管的阻塞。Laser ablation refers to the use of ultraviolet laser light to irradiate atherosclerotic plaques in blood vessels. After being absorbed by the atherosclerotic plaque, the ultraviolet light can break the carbon-hydrogen bond of the plaque, which increases the temperature of the tissue and generates micro-vapor bubbles at the front end of the catheter that outputs the ultraviolet laser. The expansion and collapse of these micro-vapor bubbles can disintegrate the plaque in the blood vessel, breaking the plaque into water, gas and tiny particles smaller than 10 μm. These tiny particles are absorbed by the reticuloendothelial system and can avoid vascular blockage.
目前在对斑块进行激光消融时,需要操作者在激光消融系统频繁地进行操作。操作者需要通过激光消融系统,从最低的激光能量开始尝试,看是否能对斑块进行消融,若不能对斑块进行消融,则增加激光能量并重新尝试,直到激光消融系统的激光器所发出激光的能量可以明显地对斑块进行消融,则对斑块进行激光消融操作。Currently, when laser ablation is performed on plaque, an operator is required to perform frequent operations on the laser ablation system. The operator needs to use the laser ablation system to start with the lowest laser energy to see if the plaque can be ablated. If the plaque cannot be ablated, increase the laser energy and try again until the laser of the laser ablation system emits laser light. If the energy can obviously ablate the plaque, the laser ablation operation is performed on the plaque.
因此,现有的激光消融方式消融效率较低。Therefore, the ablation efficiency of the existing laser ablation method is low.
发明内容SUMMARY OF THE INVENTION
本申请实施例提供一种激光的输出装置、方法、终端和存储介质,可以减少激光消融系统的操作者的操作复杂度,提高消融效率。Embodiments of the present application provide a laser output device, method, terminal, and storage medium, which can reduce the operational complexity of an operator of a laser ablation system and improve ablation efficiency.
本申请实施例第一方面提供一种激光的输出装置,包括:A first aspect of the embodiments of the present application provides a laser output device, including:
获取单元,用于获取第一反馈信号;所述第一反馈信号为利用第一初始激光对目标对象的第一区域进行照射得到的反馈信号;an acquisition unit, configured to acquire a first feedback signal; the first feedback signal is a feedback signal obtained by irradiating the first region of the target object with the first initial laser;
激光参数确定单元,用于根据所述第一反馈信号确定目标激光参数,所述目标激光参数为能够对所述目标对象的第一区域进行消融的激光的激光参数;a laser parameter determination unit, configured to determine a target laser parameter according to the first feedback signal, where the target laser parameter is a laser parameter of a laser capable of ablating the first region of the target object;
输出单元,用于输出与所述目标激光参数对应的目标激光。The output unit is used for outputting the target laser corresponding to the target laser parameter.
本申请实施例第二方面提供的一种激光的输出方法,包括:A laser output method provided in the second aspect of the embodiments of the present application includes:
获取第一反馈信号;所述第一反馈信号为利用第一初始激光对目标对象的第一区域进行照射得到的反馈信号;acquiring a first feedback signal; the first feedback signal is a feedback signal obtained by irradiating the first region of the target object with the first initial laser;
根据所述第一反馈信号确定目标激光参数,所述目标激光参数为能够对所述目标对象的第一区域进行消融的激光的激光参数;Determine a target laser parameter according to the first feedback signal, where the target laser parameter is a laser parameter of a laser capable of ablating the first region of the target object;
输出与所述目标激光参数对应的目标激光。A target laser corresponding to the target laser parameter is output.
本申请实施例第三方面提供一种终端,包括存储器、处理器以及存储在所述存储器中并可在所述处理器上运行的计算机程序,所述处理器执行所述计算机程序时实现上述装置的功能。A third aspect of an embodiment of the present application provides a terminal, including a memory, a processor, and a computer program stored in the memory and running on the processor, where the processor implements the foregoing apparatus when executing the computer program function.
本申请实施例第四方面提供一种计算机可读存储介质,所述计算机可读存储介质存储有计算机程序,所述计算机程序被处理器执行时实现上述装置的功能。A fourth aspect of the embodiments of the present application provides a computer-readable storage medium, where the computer-readable storage medium stores a computer program, and the computer program implements the functions of the foregoing apparatus when executed by a processor.
本申请实施例第五方面提供了一种计算机程序产品,当计算机程序产品在终端上运行时,使得终端执行时实现装置的功能。A fifth aspect of the embodiments of the present application provides a computer program product, when the computer program product runs on a terminal, the terminal implements the functions of the apparatus when executed.
在本申请的实施方式中,通过获取由目标对象对第一初始激光进行反馈的第一反馈信号,并根据第一反馈信号确定能够对目标对象的第一区域进行消融的激光的目标激光参数,进而输出与目标激光参数对应的目标激光,使得操作者不需要对具有不同的激光参数的激光逐个进行尝试,基于第一反馈信号,即可输出能够对目标对象进行消融的激光,提高了激光消融的效率,进而提高了激光消融手术的效率,缩短了手术时间。In the embodiments of the present application, by acquiring a first feedback signal that is fed back by the target object to the first initial laser, and determining the target laser parameters of the laser that can ablate the first region of the target object according to the first feedback signal, Then, the target laser corresponding to the target laser parameters is output, so that the operator does not need to try the lasers with different laser parameters one by one. Based on the first feedback signal, the laser that can ablate the target object can be output, and the laser ablation is improved. The efficiency of laser ablation operation is improved, and the operation time is shortened.
附图说明Description of drawings
为了更清楚地说明本申请实施例中的技术方案,下面将对实施例或现有技术描述中所需要使用的附图作简单地介绍,显而易见地,下面描述中的附图仅仅是本申请的一些实施例,对于本领域普通技术人员来讲,在不付出创造性劳动性的前提下,还可以根据这些附图获得其他的附图。In order to illustrate the technical solutions in the embodiments of the present application more clearly, the following briefly introduces the accompanying drawings that need to be used in the description of the embodiments or the prior art. Obviously, the drawings in the following description are only for the present application. In some embodiments, for those of ordinary skill in the art, other drawings can also be obtained according to these drawings without any creative effort.
图1是本申请实施例提供的一种激光的输出装置的结构示意图;1 is a schematic structural diagram of a laser output device provided by an embodiment of the present application;
图2是本申请实施例提供的终端的第一结构示意图;FIG. 2 is a first schematic structural diagram of a terminal provided by an embodiment of the present application;
图3是本申请实施例提供的一种激光的输出方法的实现流程示意图;FIG. 3 is a schematic diagram of an implementation flow of a method for outputting a laser provided by an embodiment of the present application;
图4是本申请实施例提供的终端的第二结构示意图。FIG. 4 is a schematic diagram of a second structure of a terminal provided by an embodiment of the present application.
具体实施方式Detailed ways
为了使本申请的目的、技术方案及优点更加清楚明白,以下结合附图及实施例,对本申请进行进一步详细说明。应当理解,此处所描述的具体实施例仅仅用以解释本申请,并不用于限定本申请。基于本申请的实施例,本领域技术人员在没有做出创造性劳动的前提下所获得的所有其他实施例,都属于本申请保护。In order to make the purpose, technical solutions and advantages of the present application more clearly understood, the present application will be described in further detail below with reference to the accompanying drawings and embodiments. It should be understood that the specific embodiments described herein are only used to explain the present application, but not to limit the present application. Based on the embodiments of the present application, all other embodiments obtained by those skilled in the art without creative work belong to the protection of the present application.
激光消融是指利用紫外线激光,照射血管内的粥样硬化斑块。紫外线在被粥样硬化斑块吸收后,能够破坏斑块的碳-氢键,使得组织温度升高并在输出紫外线激光的导管前端产生微蒸汽气泡。这些微蒸汽气泡的膨胀和暴缩能够瓦解血管内的斑块,将斑块分解成水、气体及小于10μm的微小颗粒。这些微小颗粒经过网状内皮系统的吸收,能够避免血管的阻塞。Laser ablation refers to the use of ultraviolet laser light to irradiate atherosclerotic plaques in blood vessels. After being absorbed by the atherosclerotic plaque, the ultraviolet light can break the carbon-hydrogen bond of the plaque, which increases the temperature of the tissue and generates micro-vapor bubbles at the front end of the catheter that outputs the ultraviolet laser. The expansion and collapse of these micro-vapor bubbles can disintegrate the plaque in the blood vessel, breaking the plaque into water, gas and tiny particles smaller than 10 μm. These tiny particles are absorbed by the reticuloendothelial system and can avoid vascular blockage.
目前在对斑块进行激光消融时,需要操作者在激光消融系统频繁地进行操作。操作者需要通过激光消融系统,从最低的激光能量开始尝试,看是否能对斑块进行消融,若不能对斑块进行消融,则增加激光能量并重新尝试,直到激光消融系统的激光器所发出激光的能量可以明显地对斑块进行消融,则对斑块进行激光消融操作。Currently, when laser ablation is performed on plaque, an operator is required to perform frequent operations on the laser ablation system. The operator needs to use the laser ablation system to start with the lowest laser energy to see if the plaque can be ablated. If the plaque cannot be ablated, increase the laser energy and try again until the laser of the laser ablation system emits laser light. If the energy can obviously ablate the plaque, the laser ablation operation is performed on the plaque.
因此,现有的激光消融方式消融效率较低。同时,由于最终选择的激光能量和操作者的经验相关,如果操作者的经验不足,则最终达到的消融效果也会比较差,因此这种激光消融方式的可靠性也较低。Therefore, the ablation efficiency of the existing laser ablation method is low. At the same time, since the final selected laser energy is related to the operator's experience, if the operator's experience is insufficient, the final ablation effect will be relatively poor, so the reliability of this laser ablation method is also low.
为了说明本申请的技术方案,下面通过具体实施例来进行说明。In order to illustrate the technical solutions of the present application, the following specific embodiments are used for description.
如图1所示为本申请实施例提供的一种激光的输出装置100的结构示意图,所述激光的输出装置100配置于终端上,可适用于需减少激光消融系统的操作者的操作复杂度,提高消融效率的情形。其中,上述终端可以为激光消融系统。FIG. 1 is a schematic structural diagram of a
具体的,上述激光的输出装置100可以包括获取单元101、激光参数确定单元102和输出单元103。Specifically, the above-mentioned
获取单元101,可以用于获取第一反馈信号。The obtaining
其中,第一反馈信号为利用第一初始激光对目标对象的第一区域进行照射得到的反馈信号。The first feedback signal is a feedback signal obtained by irradiating the first region of the target object with the first initial laser light.
在本申请的一些实施方式中,上述目标对象可以指需要进行消融的对象,例如,上述目标对象可以为血管,目标对象的第一区域可以为血管内的第一区域。In some embodiments of the present application, the target object may refer to an object that needs to be ablated. For example, the target object may be a blood vessel, and the first region of the target object may be a first region within the blood vessel.
上述第一初始激光为作用于目标对象的第一区域上的激光。其中,第一初始激光可以根据实际情况进行选择。The above-mentioned first initial laser light is the laser light acting on the first region of the target object. Wherein, the first initial laser can be selected according to the actual situation.
在本申请的一些实施方式中,上述第一初始激光可以为上述终端的激光器所发射的任意一种能量的紫外激光,例如可以为能量最低的紫外激光。在本申请的另一些实施方式中,上述第一初始激光还可以为准连续近红外激光光源发出的近红外光。In some embodiments of the present application, the first initial laser light may be an ultraviolet laser with any energy emitted by a laser of the terminal, for example, may be an ultraviolet laser with the lowest energy. In other embodiments of the present application, the above-mentioned first initial laser light may also be near-infrared light emitted by a quasi-continuous near-infrared laser light source.
上述第一反馈信号是利用第一初始激光对目标对象的第一区域进行照射之后,目标对象对第一初始激光产生吸收、反射等反应后,目标对象的反射光经导管返回形成的反馈信号,该反馈信号可以用于获取目标对象的组织成分信息。The above-mentioned first feedback signal is a feedback signal formed by using the first initial laser to irradiate the first region of the target object, and after the target object absorbs, reflects and other reactions to the first initial laser, and the reflected light of the target object is returned through the conduit to form a feedback signal, The feedback signal can be used to obtain tissue composition information of the target object.
在本申请的一些实施方式中,上述第一反馈信号可以包括利用第一初始激光对目标对象的第一区域进行照射得到的光学相干层析(Optical Coherence tomoghraphy,OCT)信号、斑块衰减指数(index of plaque attenuation,IPA)信号,或者其他由目标对象对第一初始激光进行反馈得到的信号。In some embodiments of the present application, the first feedback signal may include an optical coherence tomography (Optical Coherence tomoghrapy, OCT) signal obtained by irradiating the first region of the target object with a first initial laser, a plaque attenuation index ( index of plaque attenuation, IPA) signal, or other signals obtained by the target object feeding back the first initial laser.
其中,光学相干层析信号主要反映目标对象的层析结构,目标对象的层析结构为收集来自目标对象的反射光与参考光干涉后解析出的层析结构,进而反映不同目标对象所属的目标类型。斑块衰减指数则主要通过收集来自目标对象的吸收衰减光,进而反映不同目标对象所属的目标类型。Among them, the optical coherence tomography signal mainly reflects the tomographic structure of the target object. The tomographic structure of the target object is the tomographic structure obtained by collecting the reflected light from the target object and the interference of the reference light, and then reflects the targets to which different target objects belong. type. The plaque attenuation index mainly reflects the target type to which different target objects belong by collecting the absorbed attenuated light from the target object.
具体的,上述第一反馈信号可以通过导管获取。在本申请的一些实施方式中,上述导管可以包含光纤束和用于反馈的光纤。在本申请的另一些实施方式中,上述导管内还可以包括大芯径光纤和用于反馈的光纤。在此并不对导管结构加以限制。Specifically, the above-mentioned first feedback signal may be obtained through a catheter. In some embodiments of the present application, the catheter described above may contain a fiber optic bundle and an optical fiber for feedback. In other embodiments of the present application, the above-mentioned catheter may further include a large-core fiber and an optical fiber for feedback. The conduit structure is not limited here.
需要说明的是,上述第一反馈信号的获取方式也可以根据实际情况进行选择。在本申请的一些实施方式中,上述终端可以向目标对象的第一区域发射第一初始激光,并采集由目标对象的第一区域对第一初始激光进行反馈的第一反馈信号。It should be noted that, the acquisition manner of the above-mentioned first feedback signal may also be selected according to the actual situation. In some embodiments of the present application, the above-mentioned terminal may emit the first initial laser light to the first region of the target object, and collect a first feedback signal that is fed back by the first region of the target object to the first initial laser light.
例如,上述终端可以设置有近红外激光光源,该近红外激光光源具有单独的光耦合口。上述终端通过近红外激光光源向目标对象发射第一初始激光,并采集由目标对象对第一初始激光进行反馈的第一反馈信号。For example, the above-mentioned terminal may be provided with a near-infrared laser light source, and the near-infrared laser light source has a separate optical coupling port. The above-mentioned terminal transmits the first initial laser light to the target object through the near-infrared laser light source, and collects the first feedback signal which is fed back by the target object to the first initial laser light.
激光参数确定单元102,用于根据第一反馈信号确定目标激光参数。The laser
其中,上述目标激光参数为能够对目标对象的第一区域进行消融的激光的激光参数。Wherein, the above-mentioned target laser parameters are laser parameters of the laser that can ablate the first region of the target object.
具体的,在本申请的一些实施方式中,上述激光参数确定单元102,可以具体用于:根据第一反馈信号,确定目标对象的目标类型;根据目标对象的目标类型,确定目标激光参数。Specifically, in some embodiments of the present application, the laser
其中,上述目标类型可以指目标对象的组成成分。具体的,以上述目标对象是待激光消融的斑块为例,目标对象的目标类型可以包括纤维斑块、脂质斑块等。Wherein, the above-mentioned target type may refer to the components of the target object. Specifically, taking the above-mentioned target object being the plaque to be laser ablated as an example, the target type of the target object may include fibrous plaque, lipid plaque, and the like.
在本申请的一些实施方式中,上述终端可以在存储器中存储第一反馈信号和目标类型之间的映射关系,基于该映射关系,上述终端可以根据第一反馈信号确定目标对象的目标类型。In some embodiments of the present application, the terminal may store a mapping relationship between the first feedback signal and the target type in the memory, and based on the mapping relationship, the terminal may determine the target type of the target object according to the first feedback signal.
在本申请的一些实施方式中,上述第一反馈信号可以包括利用第一初始激光对目标对象的第一区域进行照射得到的光学相干层析信号。In some embodiments of the present application, the above-mentioned first feedback signal may include an optical coherence tomography signal obtained by irradiating the first region of the target object with the first initial laser light.
此时,上述激光参数确定单元102还用于:将光学相干层析信号输入预先训练好的深度学习模型,并获取深度学习模型输出的目标类型。At this time, the above-mentioned laser
在本申请的一些实施方式中,上述深度学习模型可以为Mask-RCNN(Regions withCNN features)目标检测模型或其他基于深度学习的特征检测模型。In some embodiments of the present application, the above-mentioned deep learning model may be a Mask-RCNN (Regions with CNN features) target detection model or other deep learning-based feature detection models.
在本申请的一些实施方式中,基于不同目标类型的目标对象对第一初始激光或对与第一初始激光相同的样本激光进行反馈的样本反馈信号,可以训练得到收敛的深度学习模型,训练好的深度学习模型即可用于区别识别各种目标对象的特异性信息,从而根据输入的第一反馈信号输出目标对象的目标类型。In some embodiments of the present application, based on the sample feedback signals of the target objects of different target types feeding back the first initial laser or the same sample laser as the first initial laser, a converged deep learning model can be trained to obtain a converged deep learning model. The deep learning model can be used to distinguish and identify specific information of various target objects, so as to output the target type of the target object according to the input first feedback signal.
具体的,上述激光的输出装置100还可以包括训练单元,用于获取训练集,该训练集中包含多张样本光学相干层析信号以及每张样本光学相干层析信号对应的样本目标类型;将训练集输入到待训练的深度学习模型进行处理,并根据待训练的深度学习模型输出的目标类型以及样本目标类型,计算待训练的深度学习模型的准确率;若待训练的深度学习模型的准确率小于预设的准确率阈值,则调整待训练的深度学习模型中的参数,并重新获取训练集进行训练,直至待训练的深度学习模型的准确率大于或等于预设的准确率阈值,得到训练好的深度学习模型。Specifically, the above-mentioned
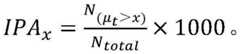
在本申请的另一些实施方式中,上述激光参数确定单元102还可以用于:根据光学相干层析信号,计算目标对象对应的斑块衰减指数;根据斑块衰减指数,确定目标对象的目标类型。具体的,目标对象对应的斑块衰减指数其中,μt为光衰系数最大向量中的光衰系数数值,表示μt大于给定的光衰系数阈值x的像素点数量,Ntotal表示有效区域的像素点总数,在本申请的一些实施方式中,Ntotal的取值可以为500。In other embodiments of the present application, the above-mentioned laser
在本申请的一些实施方式中,根据斑块衰减指数,以及预先存储好的斑块衰减指数和目标类型之间的映射关系,可以确定出目标对象的目标类型。In some embodiments of the present application, the target type of the target object can be determined according to the plaque attenuation index and the pre-stored mapping relationship between the plaque attenuation index and the target type.
在本申请的一些实施方式中,若上述斑块衰减指数在预设的衰减指数阈值范围内,则将目标对象的目标类型确定为脂质斑块。In some embodiments of the present application, if the plaque attenuation index is within a preset attenuation index threshold range, the target type of the target object is determined to be lipid plaque.
具体的,上述光衰系数阈值x可以设置为9.5。当x为9.5时,对目标类型为脂质斑块的目标对象的灵敏性最高。若IPA9.5大于100则可以确认目标对象的目标类型为脂质斑块。Specifically, the light attenuation coefficient threshold x may be set to 9.5. When x is 9.5, the sensitivity is highest for the target object whose target type is lipid plaque. If the IPA9.5 is greater than 100, it can be confirmed that the target type of the target object is lipid plaque.
在本申请的另一些实施方式中,还可以将斑块衰减指数输入预先训练好的深度学习模型,并获取深度学习模型输出的目标类型。In other embodiments of the present application, the plaque attenuation index can also be input into the pre-trained deep learning model, and the target type output by the deep learning model can be obtained.
在确定出目标对象的目标类型之后,上述激光参数确定单元102还可以用于根据目标对象的目标类型,确定目标激光参数。After the target type of the target object is determined, the above-mentioned laser
在本申请的实施方式中,在对不同类型的目标对象进行消融时,需要将不同激光参数的激光作用于目标对象,才可以对应地达到较好的消融效果。In the embodiments of the present application, when ablating different types of target objects, it is necessary to act on the target objects with lasers with different laser parameters, so that a correspondingly better ablation effect can be achieved.
具体的,在本申请的一些实施方式中,根据目标对象的目标类型,以及预先存储好的目标类型和目标激光参数之间的映射关系,可以确定出目标对象的目标类型。其中,上述目标类型和目标激光参数之间的映射关系用于表示每种目标类型和能够对对应目标类型的目标对象进行消融的目标激光参数之间的关系。Specifically, in some embodiments of the present application, the target type of the target object can be determined according to the target type of the target object and the pre-stored mapping relationship between the target type and target laser parameters. The above-mentioned mapping relationship between target types and target laser parameters is used to represent the relationship between each target type and target laser parameters capable of ablating a target object of the corresponding target type.
输出单元103,用于输出与目标激光参数对应的目标激光。The
具体的,上述终端可以包括电光调制器,用电光调制器于调节激光器的输出目标激光的激光能量等激光参数。Specifically, the above-mentioned terminal may include an electro-optical modulator, and the electro-optical modulator is used to adjust laser parameters such as laser energy of the output target laser of the laser.
在本申请的实施方式中,通过获取由目标对象对第一初始激光进行反馈的第一反馈信号,并根据第一反馈信号确定能够对目标对象的第一区域进行消融的激光的目标激光参数,进而输出与目标激光参数对应的目标激光,使得操作者不需要对具有不同的激光参数的激光逐个进行尝试,基于第一反馈信号,即可输出能够对目标对象进行消融的激光,提高了激光消融的效率,进而提高了激光消融手术的效率,缩短了手术时间。In the embodiments of the present application, by acquiring a first feedback signal that is fed back by the target object to the first initial laser, and determining the target laser parameters of the laser that can ablate the first region of the target object according to the first feedback signal, Then, the target laser corresponding to the target laser parameters is output, so that the operator does not need to try the lasers with different laser parameters one by one. Based on the first feedback signal, the laser that can ablate the target object can be output, and the laser ablation is improved. The efficiency of laser ablation operation is improved, and the operation time is shortened.
同时,基于大量数据得出的映射关系可以使终端根据第一反馈信息输出的目标激光参数更加准确,因此,激光消融的效果也更好。At the same time, the mapping relationship obtained based on a large amount of data can make the target laser parameters output by the terminal according to the first feedback information more accurate, so the effect of laser ablation is also better.
例如,在本申请的一些实施方式中,上述目标激光参数可以为激光能量。上述终端根据目标对象的第一区域对第一初始激光进行反馈的第一反馈信号,可以确定能够对目标对象进行消融的激光能量,从而输出能量和能够对目标对象进行消融的激光能量相同的目标激光。For example, in some embodiments of the present application, the above-mentioned target laser parameter may be laser energy. The terminal can determine the laser energy that can ablate the target object according to the first feedback signal that feeds back the first initial laser in the first region of the target object, so as to output a target with the same energy as the laser energy that can ablate the target object laser.
如图2所示,在本申请的一些实施方式中,上述终端可以一个激光消融系统,该激光消融系统集成有第一激光器20、激光耦合系统21、导管耦合设备22以及反馈系统23。As shown in FIG. 2 , in some embodiments of the present application, the terminal may be a laser ablation system, which integrates a
其中,反馈系统23用于执行获取单元101和激光参数确定单元102的功能;第一激光器20、激光耦合系统21和导管耦合设备23用于执行输出单元103的功能。具体的,上述反馈系统23可以包括第二激光器、干涉光路模块、采集模块,其中,第二激光器用于向目标对象的第一区域输出第一初始激光;干涉光路模块用于对第一初始激光进行分束得到参考光与样品光,采集模块用于采集目标对象的第一区域对所述样品光的反射光,进而得出第一反馈信号。The
在本申请的一些实施方式中,上述反馈系统23还包括主控制器,能够控制第二激光器向目标对象的第一区域输出第一初始激光,并根据利用第一初始激光对目标对象的第一区域进行照射得到的反馈信号确定激光能量等目标激光参数,然后,将目标激光参数输出至第一激光器20。In some embodiments of the present application, the above-mentioned
可选地,激光耦合系统21可以包括第一激光器20,此时,激光耦合系统21用于向目标对象的第一区域输出第一初始激光。Optionally, the
可选地,可将激光耦合系统21、第一激光器20和反馈系统23集成在一起,形成集成模块,此时,由集成模块执行本申请实施例的步骤。其中,上述第一激光器20可以根据反馈系统23输入的目标激光参数输出目标激光。在本申请的一些实施方式中,上述第一激光器20可以为半导体泵浦激光器,单脉冲能量可达50mJ以上,脉宽8.5ns,重复频率40Hz,光斑直径9mm,且输出的目标激光不含1064nm和532nm的杂光。Optionally, the
上述激光耦合系统21可以通过透镜组合将第一激光器20输出的目标激光聚焦为可以耦合进入导管耦合设备22的光斑,并降低激光空间相干性防止激光在导管耦合设备22中干涉衍射。The above-mentioned
上述导管耦合设备22可为与耦合模块相匹配的任何结构。例如,偏心的单大芯光纤导管结构,也可为光纤束导管结构,在此并不加以限制。导管耦合设备22需在两个导管结构中设置反馈系统23的拼接光纤,通过拼接光纤获取IPA或OCT等第一反馈信号。导管耦合设备22可以接收激光耦合系统21输出的目标激光,并将目标激光输出到目标对象上。The
考虑到实际激光消融过程中,若终端通过导管将目标激光照射在血管壁上,会对血管壁造成损伤,为了保证激光消融的可靠性,在本申请的一些实施方式中,上述激光的输出装置100还包括判断单元,可以用于根据第一反馈信号判断目标对象的第一区域是否包含非待消融对象。Considering that in the actual laser ablation process, if the terminal irradiates the target laser on the blood vessel wall through the catheter, it will cause damage to the blood vessel wall. In order to ensure the reliability of laser ablation, in some embodiments of the present application, the output device of the
其中,上述非消融对象可以为不需要进行激光消融的对象或不能够进行激光消融的对象,例如,上述非消融对象可以包括血管壁。The non-ablation object may be an object that does not require laser ablation or an object that cannot be laser ablated. For example, the non-ablation object may include a blood vessel wall.
在本申请的一些实施方式中,上述目标对象可以包含血管壁,在利用第一初始激光对目标对象的第一区域进行照射时,第一反馈信号中会包含血管壁也会在第一初始激光的作用下得到的反馈信号。因此,上述激光的输出装置100的判断单元,可以用于根据第一反馈信号判断目标对象的第一区域是否包含非待消融对象。In some embodiments of the present application, the above-mentioned target object may include a blood vessel wall, and when the first region of the target object is irradiated with the first initial laser light, the first feedback signal will include the blood vessel wall and the first initial laser light will also be included in the blood vessel wall. The feedback signal obtained under the action of . Therefore, the judging unit of the above-mentioned
具体的,在本申请的一些实施方式中,在训练深度学习模型的同时,也可以使用包含非消融对象的对应样本进行训练。在将利用第一初始激光对目标对象的第一区域进行照射得到的光学相干层析信号输入预先训练好的深度学习模型后,深度学习模型同样可以检测出目标对象的第一区域中是否包含非待消融对象。Specifically, in some embodiments of the present application, while training the deep learning model, corresponding samples including non-ablation objects may also be used for training. After the optical coherence tomography signal obtained by irradiating the first region of the target object with the first initial laser is input into the pre-trained deep learning model, the deep learning model can also detect whether the first region of the target object contains non-identical object to be ablated.
在本申请的另一些实施方式中,也可以根据光学相干层析信号,计算斑块衰减指数。具体的,可以将光衰系数阈值x设置为9.5。若IPA9.5小于100,则可以认为没有脂质斑块。若IPA9.5接近0,则可以确认存在血管壁,即目标对象的第一区域包含非待消融对象。In other embodiments of the present application, the plaque attenuation index may also be calculated according to the optical coherence tomography signal. Specifically, the light attenuation coefficient threshold x may be set to 9.5. If the IPA9.5 is less than 100, it can be considered that there is no lipid plaque. If the IPA9.5 is close to 0, it can be confirmed that there is a blood vessel wall, that is, the first region of the target object contains the object not to be ablated.
相应的,上述激光参数确定单元102,还可以用于在目标对象的第一区域不包含非待消融对象时,根据第一反馈信号确定目标激光参数。Correspondingly, the above-mentioned laser
在本申请的一些实施方式中,若目标对象的第一区域不包含非待消融对象,说明若终端向目标对象的第一区域输出目标激光,目标激光将不会作用于非消融对象上,因此,上述终端可以根据第一反馈信号确定目标激光参数,并向目标对象的第一区域输出目标激光。In some embodiments of the present application, if the first region of the target object does not contain objects that are not to be ablated, it means that if the terminal outputs the target laser to the first region of the target object, the target laser will not act on the non-ablation object. , the above-mentioned terminal may determine the target laser parameter according to the first feedback signal, and output the target laser to the first area of the target object.
相应的,在本申请的另一些实施方式中,上述获取单元101还可以用于:在目标对象的第一区域包含非待消融对象时,获取第二反馈信号。Correspondingly, in other embodiments of the present application, the above-mentioned obtaining
在本申请的一些实施方式中,若目标对象的第一区域包含非待消融对象,说明若终端向目标对象的第一区域输出目标激光,目标激光将作用于非消融对象上,因此,上述终端可以获取第二反馈信号。In some embodiments of the present application, if the first region of the target object contains objects that are not to be ablated, it means that if the terminal outputs the target laser to the first region of the target object, the target laser will act on the non-ablation object. Therefore, the above-mentioned terminal A second feedback signal can be obtained.
其中,上述第二反馈信号为利用第二初始激光对目标对象的第二区域进行照射得到的反馈信号。第二区域为与目标对象的第一区域不同的区域。上述第二初始激光可以根据实际情况调整。一般地,第二初始激光可以为与第一初始激光相同的激光。也即,可以利用相同的输出装置在不同区域分别输出相同的初始激光。The above-mentioned second feedback signal is a feedback signal obtained by irradiating the second region of the target object with the second initial laser light. The second area is a different area from the first area of the target object. The above-mentioned second initial laser can be adjusted according to the actual situation. Generally, the second initial laser can be the same laser as the first initial laser. That is, the same initial laser light can be output in different regions by using the same output device.
即,可以在调整激光的输出位置,并重新获取利用第二初始激光对目标对象的第二区域进行照射得到的第二反馈信号。根据获取到的第二反馈信号,上述终端可以根据第二反馈信号判断目标对象的第二区域是否包含非待消融对象;若目标对象的第二区域不包含非待消融对象,则可以根据第二反馈信号确定目标激光参数并输出目标激光,否则继续调整激光的输出位置,以此类推,避免目标激光作用在非消融对象上,提高激光消融的可靠性。That is, the output position of the laser light can be adjusted, and the second feedback signal obtained by irradiating the second region of the target object with the second initial laser light can be reacquired. According to the acquired second feedback signal, the terminal can determine whether the second area of the target object contains the non-ablation object according to the second feedback signal; if the second area of the target object does not contain the non-ablation object, the second area The feedback signal determines the target laser parameters and outputs the target laser, otherwise the output position of the laser continues to be adjusted, and so on, to prevent the target laser from acting on the non-ablation object and improve the reliability of laser ablation.
在本申请的一些实施方式中,上述终端可以基于反馈系统23输出第一初始激光,第一初始激光经导管耦合设备22作用于目标对象的第一区域,并通过导管耦合设备22采集第一反馈信号;接着,由反馈系统23根据采集到的第一反馈信号确定目标激光参数,并将目标激光参数反馈给第一激光器20,使得第一激光器20输出与目标激光参数对应的目标激光;目标激光经激光耦合系统21和导管耦合设备21作用于目标对象的第一区域,实现激光消融。In some embodiments of the present application, the above-mentioned terminal may output the first initial laser based on the
需要说明的是,对于前述的各装置实施例,为了简单描述,故将其都表述为一系列的动作组合,但是本领域技术人员应该知悉,本申请并不受所描述的动作顺序的限制,因为根据本申请,某些功能可以采用其它顺序进行。It should be noted that, for the sake of simple description, the foregoing device embodiments are all expressed as a series of action combinations, but those skilled in the art should know that the present application is not limited by the described action sequence. Because in accordance with the present application, certain functions may be performed in other orders.
图3示出了本申请实施例提供的一种激光的输出方法的实现流程示意图,该方法可以应用于终端,可适用于需减少操作者的操作复杂度,提高消融效率的情形。其中,上述终端可以为激光消融系统。FIG. 3 shows a schematic diagram of an implementation flow of a laser output method provided by an embodiment of the present application. The method can be applied to a terminal, and can be applied to a situation where the operator's operation complexity needs to be reduced and the ablation efficiency is improved. Wherein, the above-mentioned terminal may be a laser ablation system.
具体的,上述激光的输出方法可以包括以下步骤S301至步骤S303。Specifically, the above-mentioned laser output method may include the following steps S301 to S303.
步骤S301,终端获取第一反馈信号。Step S301, the terminal obtains the first feedback signal.
其中,上述第一反馈信号为利用第一初始激光对目标对象的第一区域进行照射得到的反馈信号。The above-mentioned first feedback signal is a feedback signal obtained by irradiating the first region of the target object with the first initial laser light.
步骤S302,终端根据第一反馈信号确定目标激光参数。Step S302, the terminal determines the target laser parameter according to the first feedback signal.
其中,上述目标激光参数为能够对目标对象的第一区域进行消融的激光的激光参数。Wherein, the above-mentioned target laser parameters are laser parameters of the laser that can ablate the first region of the target object.
步骤S303,终端输出与目标激光参数对应的目标激光。Step S303, the terminal outputs the target laser corresponding to the target laser parameter.
在本申请的一些实施方式中,上述终端在根据第一反馈信号确定目标激光参数之前,可以包括:根据第一反馈信号判断目标对象的第一区域是否包含非待消融对象。In some embodiments of the present application, before determining the target laser parameter according to the first feedback signal, the above-mentioned terminal may include: according to the first feedback signal, judging whether the first region of the target object contains an object not to be ablated.
相应的,上述终端根据第一反馈信号确定目标激光参数,可以包括:在目标对象的第一区域不包含非待消融对象时,根据第一反馈信号确定目标激光参数。Correspondingly, the above-mentioned terminal determining the target laser parameter according to the first feedback signal may include: determining the target laser parameter according to the first feedback signal when the first region of the target object does not contain an object not to be ablated.
在本申请的一些实施方式中,上述终端在根据第一反馈信号判断目标对象的第一区域是否包含非待消融对象之后,还可以包括:获取第二反馈信号。In some embodiments of the present application, after determining, according to the first feedback signal, whether the first region of the target object contains an object that is not to be ablated, the terminal may further include: acquiring a second feedback signal.
其中,第二反馈信号为利用第二初始激光对目标对象的第二区域进行照射得到的反馈信号,第二区域为与目标对象的第一区域不同的区域。The second feedback signal is a feedback signal obtained by irradiating the second area of the target object with the second initial laser, and the second area is an area different from the first area of the target object.
在本申请的一些实施方式中,上述终端根据第一反馈信号确定目标激光参数,可以包括:根据第一反馈信号,确定目标对象的目标类型;根据目标对象的目标类型,确定目标激光参数。In some embodiments of the present application, the terminal determining the target laser parameters according to the first feedback signal may include: determining the target type of the target object according to the first feedback signal; and determining the target laser parameters according to the target type of the target object.
在本申请的一些实施方式中,上述第一反馈信号还可以包括利用第一初始激光对目标对象的第一区域进行照射得到的光学相干层析信号;上述终端根据第一反馈信号,确定目标对象的目标类型可以包括:将光学相干层析信号输入预先训练好的深度学习模型,并获取深度学习模型输出的目标对象的目标类型。In some embodiments of the present application, the first feedback signal may further include an optical coherence tomography signal obtained by irradiating the first region of the target object with the first initial laser; the terminal determines the target object according to the first feedback signal The target type may include: inputting the optical coherence tomography signal into the pre-trained deep learning model, and obtaining the target type of the target object output by the deep learning model.
在本申请的另一些实施方式中,上述终端根据第一反馈信号,确定目标对象的目标类型可以包括:根据光学相干层析信号,计算目标对象对应的斑块衰减指数;根据斑块衰减指数,确定目标对象的目标类型。In other embodiments of the present application, the above-mentioned terminal determining the target type of the target object according to the first feedback signal may include: calculating the patch attenuation index corresponding to the target object according to the optical coherence tomography signal; according to the patch attenuation index, Determines the target type of the target object.
需要说明的是,为描述的方便和简洁,上述激光的输出方法的具体实现方法,可以参考图1至图2所述装置的对应过程,在此不再赘述。It should be noted that, for the convenience and simplicity of description, for the specific implementation method of the above-mentioned laser output method, reference may be made to the corresponding processes of the apparatuses shown in FIG. 1 to FIG. 2 , which will not be repeated here.
如图4所示,为本申请实施例提供的一种终端的示意图。该终端4可以包括:处理器40、存储器41以及存储在所述存储器41中并可在所述处理器40上运行的计算机程序42,例如激光的输出程序。所述处理器40执行所述计算机程序42时实现上述各装置实施例中各模块/单元的功能,例如图1所示的信号获取单元101、激光参数确定单元102以及输出单元103。或者,所述处理器40执行所述计算机程序42时实现上述各个激光的输出方法实施例中的步骤,例如图3所示的步骤S301至S303。As shown in FIG. 4 , it is a schematic diagram of a terminal according to an embodiment of the present application. The
所述计算机程序可以被分割成一个或多个模块/单元,所述一个或者多个模块/单元被存储在所述存储器41中,并由所述处理器40执行,以完成本申请。所述一个或多个模块/单元可以是能够完成特定功能的一系列计算机程序指令段,该指令段用于描述所述计算机程序在所述终端中的执行过程。The computer program may be divided into one or more modules/units, which are stored in the
例如,所述计算机程序可以被分割成反馈信号获取单元、激光参数确定单元以及输出单元。For example, the computer program may be divided into a feedback signal acquisition unit, a laser parameter determination unit, and an output unit.
各单元具体功能如下:获取单元,用于获取第一反馈信号;所述第一反馈信号为利用第一初始激光对目标对象的第一区域进行照射得到的反馈信号;激光参数确定单元,用于根据所述第一反馈信号确定目标激光参数,所述目标激光参数为能够对所述目标对象的第一区域进行消融的激光的激光参数;输出单元,用于输出与所述目标激光参数对应的目标激光。The specific functions of each unit are as follows: an acquisition unit for acquiring a first feedback signal; the first feedback signal is a feedback signal obtained by irradiating the first region of the target object with a first initial laser; a laser parameter determination unit for A target laser parameter is determined according to the first feedback signal, where the target laser parameter is a laser parameter of a laser capable of ablating the first region of the target object; an output unit is configured to output the target laser parameter corresponding to the target laser parameter. target laser.
所述终端可包括,但不仅限于,处理器40、存储器41。本领域技术人员可以理解,图4仅仅是终端的示例,并不构成对终端的限定,可以包括比图示更多或更少的部件,或者组合某些部件,或者不同的部件,例如所述终端还可以包括输入输出设备、网络接入设备、总线等。The terminal may include, but is not limited to, the
所称处理器40可以是中央处理单元(Central Processing Unit,CPU),还可以是其他通用处理器、数字信号处理器(Digital Signal Processor,DSP)、专用集成电路(Application Specific Integrated Circuit,ASIC)、现成可编程门阵列(Field-Programmable Gate Array,FPGA)或者其他可编程逻辑器件、分立门或者晶体管逻辑器件、分立硬件组件等。通用处理器可以是微处理器或者该处理器也可以是任何常规的处理器等。The so-called
所述存储器41可以是所述终端的内部存储单元,例如终端的硬盘或内存。所述存储器41也可以是所述终端的外部存储设备,例如所述终端上配备的插接式硬盘,智能存储卡(Smart Media Card,SMC),安全数字(Secure Digital,SD)卡,闪存卡(Flash Card)等。进一步地,所述存储器41还可以既包括所述终端的内部存储单元也包括外部存储设备。所述存储器41用于存储所述计算机程序以及所述终端所需的其他程序和数据。所述存储器41还可以用于暂时地存储已经输出或者将要输出的数据。The
所属领域的技术人员可以清楚地了解到,为了描述的方便和简洁,仅以上述各功能单元、模块的划分进行举例说明,实际应用中,可以根据需要而将上述功能分配由不同的功能单元、模块完成,即将所述装置的内部结构划分成不同的功能单元或模块,以完成以上描述的全部或者部分功能。实施例中的各功能单元、模块可以集成在一个处理单元中,也可以是各个单元单独物理存在,也可以两个或两个以上单元集成在一个单元中,上述集成的单元既可以采用硬件的形式实现,也可以采用软件功能单元的形式实现。另外,各功能单元、模块的具体名称也只是为了便于相互区分,并不用于限制本申请的保护范围。上述系统中单元、模块的具体工作过程,可以参考前述方法实施例中的对应过程,在此不再赘述。Those skilled in the art can clearly understand that, for the convenience and simplicity of description, only the division of the above-mentioned functional units and modules is used as an example. Module completion, that is, dividing the internal structure of the device into different functional units or modules to complete all or part of the functions described above. Each functional unit and module in the embodiment may be integrated in one processing unit, or each unit may exist physically alone, or two or more units may be integrated in one unit, and the above-mentioned integrated units may adopt hardware. It can also be realized in the form of software functional units. In addition, the specific names of the functional units and modules are only for the convenience of distinguishing from each other, and are not used to limit the protection scope of the present application. For the specific working processes of the units and modules in the above-mentioned system, reference may be made to the corresponding processes in the foregoing method embodiments, which will not be repeated here.
在上述实施例中,对各个实施例的描述都各有侧重,某个实施例中没有详述或记载的部分,可以参见其它实施例的相关描述。In the foregoing embodiments, the description of each embodiment has its own emphasis. For parts that are not described or described in detail in a certain embodiment, reference may be made to the relevant descriptions of other embodiments.
本领域普通技术人员可以意识到,结合本文中所公开的实施例描述的各示例的单元及算法步骤,能够以电子硬件、或者计算机软件和电子硬件的结合来实现。这些功能究竟以硬件还是软件方式来执行,取决于技术方案的特定应用和设计约束条件。专业技术人员可以对各个特定的应用来使用不同方法来实现所描述的功能,但是这种实现不应认为超出本申请的范围。Those of ordinary skill in the art can realize that the units and algorithm steps of each example described in conjunction with the embodiments disclosed herein can be implemented in electronic hardware, or a combination of computer software and electronic hardware. Whether these functions are performed in hardware or software depends on the specific application and design constraints of the technical solution. Skilled artisans may use different methods for implementing the described functionality for each particular application, but such implementations should not be considered beyond the scope of this application.
在本申请所提供的实施例中,应该理解到,所揭露的装置/终端和方法,可以通过其它的方式实现。例如,以上所描述的装置/终端实施例仅仅是示意性的,例如,所述模块或单元的划分,仅仅为一种逻辑功能划分,实际实现时可以有另外的划分方式,例如多个单元或组件可以结合或者可以集成到另一个系统,或一些特征可以忽略,或不执行。另一点,所显示或讨论的相互之间的耦合或直接耦合或通讯连接可以是通过一些接口,装置或单元的间接耦合或通讯连接,可以是电性,机械或其它的形式。In the embodiments provided in this application, it should be understood that the disclosed apparatus/terminal and method may be implemented in other manners. For example, the device/terminal embodiments described above are only illustrative. For example, the division of the modules or units is only a logical function division. In actual implementation, there may be other division methods, such as multiple units or Components may be combined or may be integrated into another system, or some features may be omitted, or not implemented. On the other hand, the shown or discussed mutual coupling or direct coupling or communication connection may be through some interfaces, indirect coupling or communication connection of devices or units, and may be in electrical, mechanical or other forms.
所述作为分离部件说明的单元可以是或者也可以不是物理上分开的,作为单元显示的部件可以是或者也可以不是物理单元,即可以位于一个地方,或者也可以分布到多个网络单元上。可以根据实际的需要选择其中的部分或者全部单元来实现本实施例方案的目的。The units described as separate components may or may not be physically separated, and components displayed as units may or may not be physical units, that is, may be located in one place, or may be distributed to multiple network units. Some or all of the units may be selected according to actual needs to achieve the purpose of the solution in this embodiment.
另外,在本申请各个实施例中的各功能单元可以集成在一个处理单元中,也可以是各个单元单独物理存在,也可以两个或两个以上单元集成在一个单元中。上述集成的单元既可以采用硬件的形式实现,也可以采用软件功能单元的形式实现。In addition, each functional unit in each embodiment of the present application may be integrated into one processing unit, or each unit may exist physically alone, or two or more units may be integrated into one unit. The above-mentioned integrated units may be implemented in the form of hardware, or may be implemented in the form of software functional units.
所述集成的模块/单元如果以软件功能单元的形式实现并作为独立的产品销售或使用时,可以存储在一个计算机可读取存储介质中。基于这样的理解,本申请实现上述实施例方法中的全部或部分流程,也可以通过计算机程序来指令相关的硬件来完成,所述的计算机程序可存储于一计算机可读存储介质中,该计算机程序在被处理器执行时,可实现上述各个方法实施例的步骤。其中,所述计算机程序包括计算机程序代码,所述计算机程序代码可以为源代码形式、对象代码形式、可执行文件或某些中间形式等。所述计算机可读介质可以包括:能够携带所述计算机程序代码的任何实体或装置、记录介质、U盘、移动硬盘、磁碟、光盘、计算机存储器、只读存储器(Read-Only Memory,ROM)、随机存取存储器(RandomAccess Memory,RAM)、电载波信号、电信信号以及软件分发介质等。需要说明的是,所述计算机可读介质包含的内容可以根据司法管辖区内立法和专利实践的要求进行适当的增减,例如在某些司法管辖区,根据立法和专利实践,计算机可读介质不包括电载波信号和电信信号。The integrated modules/units, if implemented in the form of software functional units and sold or used as independent products, may be stored in a computer-readable storage medium. Based on this understanding, the present application can implement all or part of the processes in the methods of the above embodiments, and can also be completed by instructing the relevant hardware through a computer program. The computer program can be stored in a computer-readable storage medium, and the computer When the program is executed by the processor, the steps of the foregoing method embodiments can be implemented. Wherein, the computer program includes computer program code, and the computer program code may be in the form of source code, object code, executable file or some intermediate form, and the like. The computer-readable medium may include: any entity or device capable of carrying the computer program code, recording medium, U disk, removable hard disk, magnetic disk, optical disk, computer memory, Read-Only Memory (ROM) , Random Access Memory (Random Access Memory, RAM), electric carrier signal, telecommunication signal and software distribution medium, etc. It should be noted that the content contained in the computer-readable media may be appropriately increased or decreased according to the requirements of legislation and patent practice in the jurisdiction, for example, in some jurisdictions, according to legislation and patent practice, the computer-readable media Electric carrier signals and telecommunication signals are not included.
以上所述实施例仅用以说明本申请的技术方案,而非对其限制;尽管参照前述实施例对本申请进行了详细的说明,本领域的普通技术人员应当理解:其依然可以对前述各实施例所记载的技术方案进行修改,或者对其中部分技术特征进行等同替换;而这些修改或者替换,并不使相应技术方案的本质脱离本申请各实施例技术方案的精神和范围,均应包含在本申请的保护范围之内。The above-mentioned embodiments are only used to illustrate the technical solutions of the present application, but not to limit them; although the present application has been described in detail with reference to the above-mentioned embodiments, those of ordinary skill in the art should understand that: it can still be used for the above-mentioned implementations. The technical solutions described in the examples are modified, or some technical features thereof are equivalently replaced; and these modifications or replacements do not make the essence of the corresponding technical solutions deviate from the spirit and scope of the technical solutions in the embodiments of the application, and should be included in the within the scope of protection of this application.
| Application Number | Priority Date | Filing Date | Title |
|---|---|---|---|
| CN202110758898.9ACN114469334A (en) | 2021-07-05 | 2021-07-05 | Laser output device, method, terminal and storage medium |
| Application Number | Priority Date | Filing Date | Title |
|---|---|---|---|
| CN202110758898.9ACN114469334A (en) | 2021-07-05 | 2021-07-05 | Laser output device, method, terminal and storage medium |
| Publication Number | Publication Date |
|---|---|
| CN114469334Atrue CN114469334A (en) | 2022-05-13 |
| Application Number | Title | Priority Date | Filing Date |
|---|---|---|---|
| CN202110758898.9APendingCN114469334A (en) | 2021-07-05 | 2021-07-05 | Laser output device, method, terminal and storage medium |
| Country | Link |
|---|---|
| CN (1) | CN114469334A (en) |
| Publication number | Priority date | Publication date | Assignee | Title |
|---|---|---|---|---|
| US20050251116A1 (en)* | 2004-05-05 | 2005-11-10 | Minnow Medical, Llc | Imaging and eccentric atherosclerotic material laser remodeling and/or ablation catheter |
| CN109875680A (en)* | 2019-02-18 | 2019-06-14 | 清华大学 | Common optical path intelligent optical diagnosis and treatment system based on optical coherence tomography |
| US20210038300A1 (en)* | 2019-08-05 | 2021-02-11 | Gyrus Acmi, Inc. D/B/A Olympus Surgical Technologies America | Target identification with optical feedback signal splitter |
| CN112842522A (en)* | 2021-01-27 | 2021-05-28 | 北京航空航天大学 | Intravascular optical coherence tomography laser ablation catheter |
| CN112927212A (en)* | 2021-03-11 | 2021-06-08 | 上海移视网络科技有限公司 | OCT cardiovascular plaque automatic identification and analysis method based on deep learning |
| CN113040903A (en)* | 2021-03-23 | 2021-06-29 | 哈尔滨医科大学 | Laser ablation system |
| Publication number | Priority date | Publication date | Assignee | Title |
|---|---|---|---|---|
| US20050251116A1 (en)* | 2004-05-05 | 2005-11-10 | Minnow Medical, Llc | Imaging and eccentric atherosclerotic material laser remodeling and/or ablation catheter |
| CN109875680A (en)* | 2019-02-18 | 2019-06-14 | 清华大学 | Common optical path intelligent optical diagnosis and treatment system based on optical coherence tomography |
| US20210038300A1 (en)* | 2019-08-05 | 2021-02-11 | Gyrus Acmi, Inc. D/B/A Olympus Surgical Technologies America | Target identification with optical feedback signal splitter |
| CN112842522A (en)* | 2021-01-27 | 2021-05-28 | 北京航空航天大学 | Intravascular optical coherence tomography laser ablation catheter |
| CN112927212A (en)* | 2021-03-11 | 2021-06-08 | 上海移视网络科技有限公司 | OCT cardiovascular plaque automatic identification and analysis method based on deep learning |
| CN113040903A (en)* | 2021-03-23 | 2021-06-29 | 哈尔滨医科大学 | Laser ablation system |
| Publication | Publication Date | Title |
|---|---|---|
| AU2020257151B2 (en) | Systems and methods for assessment of contact quality | |
| JP6804916B2 (en) | Monitor device and how to operate the monitor device | |
| US9750393B2 (en) | Location of fragments during lithotripsy | |
| EP2908759B1 (en) | Surgical laser system and laser fiber | |
| CN113490463B (en) | Stone crushing device and stone crushing system | |
| US10667863B2 (en) | Surgical laser treatment temperature monitoring | |
| JP2011000258A (en) | Endoscope system, endoscope, and distance-irradiation angle measuring method | |
| US11564560B2 (en) | Image processing apparatus, operating method of image processing apparatus, and computer-readable recording medium | |
| CN114129226B (en) | Ultrasonic knife and method and system for searching acoustic resonance frequency of ultrasonic knife | |
| JP7308260B2 (en) | Method and device for determining the minimum laser energy required to form bubbles | |
| US10559077B2 (en) | Image processing apparatus, image processing method, and program | |
| US20190142277A1 (en) | Photoacoustic apparatus and object information acquiring method | |
| CN114469334A (en) | Laser output device, method, terminal and storage medium | |
| CN102379721A (en) | Method for dynamically analyzing scatterer distribution change and application thereof | |
| CN115137478B (en) | Laser ablation system for classifying tissues by utilizing acoustic signals | |
| JPWO2016042716A1 (en) | Photoacoustic image generation method and apparatus | |
| CN114532985A (en) | Photo-acoustic imaging-based quantitative photo-thermal irradiation device and method | |
| CN116269203A (en) | Laser energy correction method and prompting method in photoacoustic imaging system and photoacoustic imaging system | |
| CN114469337B (en) | Ablation catheter assembly, laser ablation system and method | |
| CN217525180U (en) | Photoacoustic imaging system for surgical positioning | |
| CN117045340B (en) | Ablation apparatus net power detection method, device and electronic equipment | |
| JP2000325319A (en) | Brain function signal input device | |
| CN119679503B (en) | Laser-based hard tissue cutting depth control system and method | |
| WO2025049302A1 (en) | Distance and size measurement system for pop-dusting efficiency | |
| CN119564320B (en) | A method and device for determining ablation parameters of high-frequency pulse electric field ablation |
| Date | Code | Title | Description |
|---|---|---|---|
| PB01 | Publication | ||
| PB01 | Publication | ||
| SE01 | Entry into force of request for substantive examination | ||
| SE01 | Entry into force of request for substantive examination | ||
| TA01 | Transfer of patent application right | Effective date of registration:20220609 Address after:518000 6th floor, gaoxinxin science and technology building, 67 District, Xingdong community, Xin'an street, Bao'an District, Shenzhen City, Guangdong Province Applicant after:Shenzhen Zhongke Rongguang Medical Technology Co.,Ltd. Address before:518055 Workshop 201-2, No. 1, Xili Liuxiandong Industrial Zone, Nanshan District, Shenzhen City, Guangdong Province Applicant before:SHENZHEN VIVOLIGHT MEDICAL DEVICE & TECHNOLOGY Co.,Ltd. | |
| TA01 | Transfer of patent application right | ||
| RJ01 | Rejection of invention patent application after publication | Application publication date:20220513 | |
| RJ01 | Rejection of invention patent application after publication |