


技术领域technical field
本发明属于光学技术领域,尤其涉及一种光学器件、裸眼3D显示装置及提升光学器件性耐性的方法。The invention belongs to the field of optical technology, and in particular relates to an optical device, a naked-eye 3D display device and a method for improving the resistance of the optical device.
背景技术Background technique
现在市场上的3D显示设备大多需要用户佩戴额外的3D眼睛或头盔,对用户的使用体验及舒适度有较大的影响。裸眼3D技术凭借显示器件本身便可呈现3D画面逐渐受到人们的关注和青睐。目前市场上的主流3D显示设备是在显示模组与防护盖板之间增加光栅结构,光栅结构由经过独特设计的光栅载体及光栅载体表面通过蒸镀或溅射等方法所镀的银或银合金组成。通过独特设计的光栅结构对入射光进行反射调节,利用双眼视差的原理呈现3D效果。然而光栅表面的银镀层在空气中容易受到腐蚀而发生变色现象,裸眼3D显示模组的性耐性较差,使用寿命短。Most of the 3D display devices on the market now require users to wear additional 3D eyes or helmets, which has a great impact on the user's experience and comfort. Glasses-free 3D technology has gradually attracted people's attention and favor by relying on the display device itself to present 3D pictures. The current mainstream 3D display device on the market is to add a grating structure between the display module and the protective cover. The grating structure is composed of a uniquely designed grating carrier and silver or silver plated on the surface of the grating carrier by evaporation or sputtering. alloy composition. Through the uniquely designed grating structure, the incident light is reflected and adjusted, and the principle of binocular parallax is used to present a 3D effect. However, the silver coating on the surface of the grating is easily corroded and discolored in the air. The naked-eye 3D display module has poor resistance and short service life.
目前其他行业的工艺路线是通过在银镀层的表面增加涂布层或溶胶凝胶层对银镀层进行防护,而裸眼3D光栅结构表面为精密微纳结构,现有的工艺路线会影响银镀层的光学效率,如反射率、折射等,从而无法应用在3D显示领域。At present, the process route of other industries is to protect the silver coating by adding a coating layer or a sol-gel layer on the surface of the silver coating, while the surface of the naked-eye 3D grating structure is a precise micro-nano structure. The existing process route will affect the silver coating. Optical efficiency, such as reflectivity, refraction, etc., cannot be applied in the field of 3D display.
发明内容SUMMARY OF THE INVENTION
本发明的目的在于提供一种光学器件、裸眼3D显示装置及提升光学器件性耐性的方法,本发明中的光学器件可以解决传统的光栅层表面的银镀层的腐蚀变色现象,提升光学器件的性耐性,从而提升其使用寿命,同时又可以保证裸眼3D显示模组的发光效果。The purpose of the present invention is to provide an optical device, a naked-eye 3D display device and a method for improving the resistance of the optical device. The optical device in the present invention can solve the corrosion and discoloration phenomenon of the silver coating on the surface of the traditional grating layer, and improve the performance of the optical device. Durability, thereby increasing its service life, and at the same time ensuring the luminous effect of the naked-eye 3D display module.
本发明提供一种光学器件,包括光栅层,所述光栅层的表面具有通过原子层沉积方法形成的无机氧化物薄膜。The invention provides an optical device comprising a grating layer, the surface of the grating layer has an inorganic oxide thin film formed by an atomic layer deposition method.
优选的,所述无机氧化物薄膜为氧化铝层、氧化钛层、氧化铪层、氧化锆层或氧化硅层。Preferably, the inorganic oxide thin film is an aluminum oxide layer, a titanium oxide layer, a hafnium oxide layer, a zirconium oxide layer or a silicon oxide layer.
优选的,所述无机氧化物薄膜的厚度为10~100nm。Preferably, the thickness of the inorganic oxide thin film is 10-100 nm.
优选的,所述无机氧化物薄膜包括一组或多组具有增反膜结构的子膜。Preferably, the inorganic oxide thin film includes one or more groups of sub-films with a reflection enhancing film structure.
优选的,所述具有增反膜结构的子膜为交替层叠的低折射率膜层和高折射率膜层;Preferably, the sub-film with the anti-reflection film structure is alternately stacked low-refractive-index film layers and high-refractive-index film layers;
所述低折射率膜层与所述银镀层相接触。The low refractive index film layer is in contact with the silver plating layer.
优选的,所述低折射率膜层包括SiO2和/或Al2O3;所述高折射率膜层包括TiO2、ZrO2和Ti2O5中的一种或几种。Preferably, the low refractive index film layer includes SiO2 and/or Al2 O3 ; the high refractive index film layer includes one or more of TiO2 , ZrO2 and Ti2 O5 .
优选的,所述低折射率膜层的厚度为可见光中心波长/4;所述高折射率膜层的厚度为可见光中心波长/4。Preferably, the thickness of the low refractive index film layer is the central wavelength of visible light/4; the thickness of the high refractive index film layer is the central wavelength of visible light/4.
优选的,所述裸眼3D显示模组包括依次接触的盖板层、光栅层、无机氧化物薄膜、液晶层和背光模组层;Preferably, the naked-eye 3D display module comprises a cover layer, a grating layer, an inorganic oxide film, a liquid crystal layer and a backlight module layer that are in contact with each other in sequence;
所述光栅层包括光栅载体层和银镀层;所述光栅载体层与盖板层相接触,所述银镀层与无机氧化物薄膜相接触。The grating layer includes a grating carrier layer and a silver coating layer; the grating carrier layer is in contact with the cover plate layer, and the silver coating layer is in contact with the inorganic oxide thin film.
本发明提供一种裸眼3D显示装置,包括上文所述的光学器件。The present invention provides a naked-eye 3D display device including the optical device described above.
本发明提供一种提升光学器件性耐性的方法,包括以下步骤:The present invention provides a method for improving the resistance of optical devices, comprising the following steps:
采用原子层沉积技术在光栅层的表面沉积上文所述的无机氧化物薄膜。The above-mentioned inorganic oxide thin film is deposited on the surface of the grating layer by atomic layer deposition technology.
本发明提供了一种原子层沉积技术在裸眼3D显示模组的应用,其采用原子层沉积技术在光学器件的光栅层的表面沉积保护层薄膜。The invention provides the application of atomic layer deposition technology in naked-eye 3D display module, which adopts atomic layer deposition technology to deposit a protective layer film on the surface of a grating layer of an optical device.
优选地,光学器件是裸眼3D显示模组。Preferably, the optical device is a naked eye 3D display module.
优选地,所述保护层薄膜为无机氧化物薄膜。Preferably, the protective layer film is an inorganic oxide film.
优选地,所述无机氧化物薄膜包括一组或多组具有增反膜结构的子膜。Preferably, the inorganic oxide thin film includes one or more groups of sub-films having a reflection enhancing film structure.
优选地,无机氧化物薄膜透水透氧率小于5%。Preferably, the water and oxygen permeability of the inorganic oxide film is less than 5%.
本发明提供了一种光学器件,包括光栅层,所述光栅层的表面具有通过原子层沉积方法形成的无机氧化物薄膜。本发明一方面利用无机氧化物薄膜具有良好的水汽阻隔性,可以有效地阻隔空气中的水汽接触光栅层表面的银镀层,保护银镀层不被腐蚀变色,从而增加光学器件的性耐性,增加使用寿命。另一方面利用原子层沉积技术沉积的无机氧化物薄膜具有优越的均匀性、台阶覆盖率及保形性,可以在特殊设计的光栅表面均匀的沉积并保持镀膜前的形貌,并且无机氧化物薄膜具有非常小的消光系数,保证了裸眼3D显示模组的发光效果。本发明工序简单,只需在传统的光栅层表面进行一次原子层沉积镀膜工艺,工序简单,工艺成本低,具备量产性。The invention provides an optical device comprising a grating layer, the surface of the grating layer has an inorganic oxide thin film formed by an atomic layer deposition method. On the one hand, the invention utilizes the inorganic oxide film with good water vapor barrier properties, which can effectively block the water vapor in the air from contacting the silver coating on the surface of the grating layer, and protect the silver coating from being corroded and discolored, thereby increasing the resistance of optical devices and increasing the use of life. On the other hand, the inorganic oxide film deposited by atomic layer deposition technology has superior uniformity, step coverage and conformality, and can be uniformly deposited on the specially designed grating surface and maintain the morphology before coating. The film has a very small extinction coefficient, which ensures the luminous effect of the naked-eye 3D display module. The process of the invention is simple, only one atomic layer deposition coating process needs to be performed on the surface of the traditional grating layer, the process is simple, the process cost is low, and it has mass production.
进一步的,本发明利用原子层沉积技术沉积的高折镀层/低折镀层/银镀层形成叠层结构,在提升光学器件的性耐性,增加光学器件的使用寿命的同时,又提升发光性能。使用原子层沉积技术沉积的无机氧化物叠层同样具有优越的均匀性、台阶覆盖率及保形性,并且原子层沉积技术能精确地控制镀层厚度,沉积的高折镀层/低折镀层/银镀层可以精准符合叠层结构的设计要求,可以最大程度上提升裸眼3D显示模组的发光性能,并且无机氧化物叠层薄膜可以提供比单层无机氧化物更好的保护效果。保持每组无机氧化物薄膜的镀膜厚度不变,通过增加高低折射率无机氧化物叠层的组数可以进一步增加无机氧化物的保护效果,高低折射率无机氧化物叠层的组数越多,无机氧化物镀层对银镀层的保护效果越好,同时光的损失也不明显降低。Further, the present invention utilizes the high-folding coating layer/low-folding coating layer/silver coating layer deposited by atomic layer deposition technology to form a laminated structure, which improves the optical device's resistance to resistance, increases the service life of the optical device, and at the same time improves the luminous performance. The inorganic oxide stack deposited by atomic layer deposition technology also has excellent uniformity, step coverage and conformality, and atomic layer deposition technology can precisely control the thickness of the coating, the deposited high-fold coating / low-fold coating / silver The coating can accurately meet the design requirements of the laminated structure, which can maximize the luminous performance of the naked-eye 3D display module, and the inorganic oxide laminated film can provide better protection than a single-layer inorganic oxide. Keeping the coating thickness of each group of inorganic oxide films unchanged, the protective effect of inorganic oxides can be further increased by increasing the number of groups of high and low refractive index inorganic oxide layers. The protection effect of the inorganic oxide coating on the silver coating is better, and the loss of light is not significantly reduced.
附图说明Description of drawings
为了更清楚地说明本发明实施例或现有技术中的技术方案,下面将对实施例或现有技术描述中所需要使用的附图作简单地介绍,显而易见地,下面描述中的附图仅仅是本发明的实施例,对于本领域普通技术人员来讲,在不付出创造性劳动的前提下,还可以根据提供的附图获得其他的附图。In order to explain the embodiments of the present invention or the technical solutions in the prior art more clearly, the following briefly introduces the accompanying drawings that need to be used in the description of the embodiments or the prior art. Obviously, the accompanying drawings in the following description are only It is an embodiment of the present invention. For those of ordinary skill in the art, other drawings can also be obtained according to the provided drawings without creative work.
图1为本发明中裸眼3D显示模组的结构示意图;1 is a schematic structural diagram of a naked-eye 3D display module in the present invention;
图2为本发明实施例中镀单层无机氧化物薄膜的裸眼3D显示模组中光栅层的结构示意图;2 is a schematic structural diagram of a grating layer in a naked-eye 3D display module coated with a single-layer inorganic oxide film according to an embodiment of the present invention;
图3为本发明实施例中镀叠层无机氧化物薄膜的裸眼3D显示模组中光栅层的结构示意图;3 is a schematic structural diagram of a grating layer in a naked-eye 3D display module coated with a laminated inorganic oxide film according to an embodiment of the present invention;
图1~3中,1为盖板层,2为光栅层,201为光栅载体层,202为银镀层,203为单层无机氧化物薄膜,204为低折射率无机氧化物薄膜,205为高折射率无机氧化物薄膜;3为液晶层,4为背光模组层。In Figures 1-3, 1 is a cover layer, 2 is a grating layer, 201 is a grating carrier layer, 202 is a silver coating layer, 203 is a single-layer inorganic oxide film, 204 is a low refractive index inorganic oxide film, and 205 is a high Refractive index inorganic oxide film; 3 is a liquid crystal layer, 4 is a backlight module layer.
具体实施方式Detailed ways
本发明提供了一种裸眼3D显示模组,包括光栅层,所述光栅层的表面复合有原子层沉积的无机氧化物薄膜。The invention provides a naked-eye 3D display module, which comprises a grating layer, and the surface of the grating layer is compounded with an inorganic oxide film deposited by atomic layer.
在本发明中,所述裸眼3D显示模组优选包括依次接触的盖板层,光栅层、液晶层和背光模组层;所述盖板层、液晶层和背光模组层均可采用本领域常规的盖板层、液晶层和背光模组层,本发明对此不进行特殊的限制。In the present invention, the naked-eye 3D display module preferably includes a cover layer, a grating layer, a liquid crystal layer and a backlight module layer that are in contact with each other in sequence; the cover layer, the liquid crystal layer and the backlight module layer can all be adopted in the art The conventional cover layer, liquid crystal layer and backlight module layer are not particularly limited in the present invention.
在本发明中,所述光栅层优选包括依次接触的光栅载体层、银镀层和原子层沉积的无机氧化物薄膜层。In the present invention, the grating layer preferably includes a grating carrier layer, a silver plating layer and an atomic layer deposited inorganic oxide thin film layer in contact with each other in sequence.
所述光栅载体层与液晶层相接触,所述无机氧化物薄膜层与背光模组层相接触。The grating carrier layer is in contact with the liquid crystal layer, and the inorganic oxide thin film layer is in contact with the backlight module layer.
在本发明中,所述银镀层可以是纯银镀层,也可以是含有银的合金层。In the present invention, the silver plating layer may be a pure silver plating layer or an alloy layer containing silver.
在本发明中,所述无机氧化物薄膜可以是1)单层的无机氧化物薄膜;也可以是2)由依次交替层叠的高折射率膜层和低折射率膜层组成的增反膜结构。In the present invention, the inorganic oxide thin film can be 1) a single-layer inorganic oxide thin film; or 2) an anti-reflection film structure composed of high-refractive-index film layers and low-refractive-index film layers alternately stacked in sequence .
1)所述无机氧化物薄膜为单层薄膜1) The inorganic oxide film is a single-layer film
所述无机氧化物薄膜优选为氧化铝层、氧化钛层、氧化铪层、氧化锆层或氧化硅层;所述无机氧化物薄膜的厚度优选为10~100nm,更优选为20~50nm,如10nm、20nm、30nm、40nm、50nm、60nm、70nm、80nm、90nm、100nm,优选为以上述任意数值为上限或下限的范围值。The inorganic oxide film is preferably an aluminum oxide layer, a titanium oxide layer, a hafnium oxide layer, a zirconium oxide layer or a silicon oxide layer; the thickness of the inorganic oxide film is preferably 10-100 nm, more preferably 20-50 nm, such as 10 nm, 20 nm, 30 nm, 40 nm, 50 nm, 60 nm, 70 nm, 80 nm, 90 nm, 100 nm, preferably a range value with any of the above-mentioned numerical values as the upper or lower limit.
方案1)只需在银镀层表面沉积一层10-100nm的无机氧化物薄膜即可提升裸眼3D显示模组的性耐性能力,增加裸眼3D显示模组的使用寿命,具有工序简单,工艺成本低等优点。为了进一步提高裸眼3D显示模组的性耐性能力和其发光性能,本发明提出以下方案2):Scheme 1) Only a layer of 10-100nm inorganic oxide film is deposited on the surface of the silver coating to improve the resistance of the naked-eye 3D display module and increase the service life of the naked-eye 3D display module. The process is simple and the process cost is low. Etc. In order to further improve the sexual resistance and luminous performance of the naked-eye 3D display module, the present invention proposes the following scheme 2):
2)所述无机氧化物薄膜层由依次交替层叠的高折射率膜层和低折射率膜层组成2) The inorganic oxide thin film layer is composed of high-refractive-index film layers and low-refractive-index film layers alternately stacked in sequence
在本发明的方案2)中,所述无机氧化物薄膜层为一组或多组的增反膜结构子膜,在本发明中,所述的“多组”指2组或2组以上。In the aspect 2) of the present invention, the inorganic oxide thin film layer is one or more groups of sub-films of the anti-reflection film structure. In the present invention, the "multiple groups" refers to two or more groups.
在本发明中,所述增反膜结构子膜包括交替层叠的低折射率膜层和高折射率膜层;所述低折射率膜层包括SiO2和/或Al2O3;所述高折射率膜层包括TiO2、ZrO2和Ti2O5中的一种或几种;所述低折射率膜层与所述银镀层相接触。In the present invention, the antireflection film structure sub-film includes alternately stacked low-refractive-index film layers and high-refractive-index film layers; the low-refractive-index film layer includes SiO2 and/or Al2 O3 ; The refractive index film layer includes one or more of TiO2 , ZrO2 and Ti2 O5 ; the low refractive index film layer is in contact with the silver plating layer.
在本发明中,所述低折射率膜层的厚度为可见光中心波长/4n1;所述高折射率膜层的厚度为可见光中心波长/4n1;In the present invention, the thickness of the low refractive index film layer is the central wavelength of visible light/4n1 ; the thickness of the high refractive index film layer is the central wavelength of visible light/4n1 ;
在本发明中,所述可见光中心波长为550nm;n1为低折射率膜层在可见光中心波长的折射率;n2为高折射率膜层在可见光中心波长的折射率。In the present invention, the visible light central wavelength is 550 nm; n1 is the refractive index of the low refractive index film layer at the visible light central wavelength; n2 is the high refractive index film layer's refractive index at the visible light central wavelength.
本发明还提供了一种裸眼3D装置,包括上文所述的裸眼3D显示模组。The present invention also provides a naked-eye 3D device, including the above-mentioned naked-eye 3D display module.
本发明还提供了一种提升光学器件性耐性的方法,包括以下步骤:The present invention also provides a method for improving the resistance of optical devices, comprising the following steps:
采用原子层沉积技术在光栅层的银镀层表面沉积上文所述的无机氧化物薄膜。The above-mentioned inorganic oxide thin film is deposited on the surface of the silver coating layer of the grating layer by atomic layer deposition technology.
本发明还提供了一种原子层沉积技术在光学器件的应用,其采用原子层沉积技术在光学器件光栅层的表面沉积保护层薄膜。The invention also provides the application of the atomic layer deposition technology in the optical device, which adopts the atomic layer deposition technology to deposit a protective layer film on the surface of the grating layer of the optical device.
优选的,光学器件是裸眼3D显示模组。Preferably, the optical device is a naked eye 3D display module.
优选地,所述保护层薄膜为无机氧化物薄膜。Preferably, the protective layer film is an inorganic oxide film.
优选地,所述无机氧化物薄膜包括一组或多组具有增反膜结构的子膜。Preferably, the inorganic oxide thin film includes one or more groups of sub-films having a reflection enhancing film structure.
优选地,无机氧化物薄膜透水透氧率小于5%。Preferably, the water and oxygen permeability of the inorganic oxide film is less than 5%.
本发明提出了一种提升光学器件性耐性能力的工艺制备方法,使用原子层沉积技术在光栅层表面镀10-100nm,优选20~50nm的单层无机氧化物保护层,或者使用原子层沉积技术在裸眼3D显示模组的银镀层表面镀一组或多组高低折射率交替的无机氧化物薄膜,保护光栅层表面的银镀层不被腐蚀变色,增加性耐性,从而提升其使用寿命。The invention proposes a process preparation method for improving the resistance of optical devices. Atomic layer deposition technology is used to coat the surface of the grating layer with a single-layer inorganic oxide protective layer of 10-100 nm, preferably 20-50 nm, or the atomic layer deposition technology is used. One or more groups of inorganic oxide films with alternating high and low refractive indices are coated on the surface of the silver coating of the naked-eye 3D display module to protect the silver coating on the surface of the grating layer from being corroded and discolored, increasing the resistance and prolonging its service life.
使用原子层沉积技术沉积的无机氧化物薄膜具有优越的均匀性、台阶覆盖率、保形性以及低消光系数。并且原子层沉积技术能精确地控制镀层厚度,沉积的高折镀层/低折镀层/银镀层可以精准符合叠层结构,在应用至裸眼3D中时,可以最大程度上提升裸眼3D显示模组的发光性能。Inorganic oxide films deposited using atomic layer deposition have superior uniformity, step coverage, conformality, and low extinction coefficients. In addition, atomic layer deposition technology can precisely control the thickness of the coating, and the deposited high-fold coating/low-folding coating/silver coating can accurately conform to the stacked structure. When applied to naked eye 3D, it can maximize the performance of naked eye 3D display modules. Luminous properties.
为了进一步说明本发明,以下结合实施例对本发明提供的一种光学器件、裸眼3D显示装置及提升光学器件性耐性的方法进行详细描述,但不能将其理解为对本发明保护范围的限定。In order to further illustrate the present invention, an optical device, a naked-eye 3D display device and a method for improving the resistance of an optical device provided by the present invention will be described in detail below with reference to the embodiments, which should not be construed as limiting the protection scope of the present invention.
对比例Comparative ratio
没有经过镀无机氧化物薄膜处理的光栅;Gratings not treated with inorganic oxide films;
实施例1Example 1
使用原子层沉积技术在光栅层下表面镀10nm氧化铝薄膜,及将其应用至裸眼3D显示模组;Use atomic layer deposition technology to coat 10nm aluminum oxide film on the lower surface of the grating layer, and apply it to the naked eye 3D display module;
实施例2Example 2
使用原子层沉积技术在光栅层下表面镀20nm氧化铝薄膜,及将其应用至裸眼3D显示模组;Using atomic layer deposition technology to coat 20nm aluminum oxide film on the lower surface of the grating layer, and apply it to the naked eye 3D display module;
实施例3Example 3
使用原子层沉积技术在光栅层下表面镀50nm氧化铝薄膜,及将其应用至裸眼3D显示模组。Atomic layer deposition technology was used to coat a 50nm aluminum oxide film on the lower surface of the grating layer, and it was applied to a naked-eye 3D display module.
使用BM-7对实施例1~3和对比例中的裸眼3D显示模组进行性能测试,结果如表1所示。The naked-eye 3D display modules in Examples 1 to 3 and the comparative example were tested for performance using BM-7, and the results are shown in Table 1.
表1实施例1~3和对比例中裸眼3D显示模组的性能数据Table 1 Performance data of naked-eye 3D display modules in Examples 1 to 3 and Comparative Example
上述3种实施例分别使用原子层沉积技术在光栅层下表面镀10nm,20nm,50nm厚度的氧化铝薄膜,其结构如图2所示,相对于没有进行处理的对比例样品,其亮度有所损失,两种色坐标也有所偏移,并且氧化铝薄膜对发光效果的影响程度随镀膜厚度的增加而增加。但可以看到当镀膜厚度为50nm时,亮度损失和色坐标偏移值仍然在可接受范围之内。老化测试结果表明,未处理的对比例样品经老化处理后不合格,光栅层下表面镀10nm,20nm,50nm氧化铝薄膜后耐老化性能均有较大提升。根据实际测试结果及公知常识可知光栅层下表面的银镀层的耐腐蚀性随着氧化铝镀膜厚度的增加而增加。光栅层下表面镀的氧化铝镀膜厚度可以综合裸眼3D显示模组的发光性能要求及使用寿命要求进行选择。The above three examples use the atomic layer deposition technology to coat the lower surface of the grating layer with 10nm, 20nm and 50nm thick aluminum oxide films. loss, the two color coordinates are also shifted, and the influence of the aluminum oxide film on the luminous effect increases with the increase of the coating thickness. But it can be seen that when the coating thickness is 50nm, the brightness loss and color coordinate shift values are still within the acceptable range. The aging test results show that the untreated comparative sample is unqualified after aging treatment, and the aging resistance of the lower surface of the grating layer is greatly improved after coating 10nm, 20nm and 50nm alumina films. According to the actual test results and common knowledge, it can be known that the corrosion resistance of the silver coating on the lower surface of the grating layer increases with the increase of the thickness of the aluminum oxide coating. The thickness of the aluminum oxide coating plated on the lower surface of the grating layer can be selected based on the luminous performance requirements and service life requirements of the naked-eye 3D display module.
对比例Comparative ratio
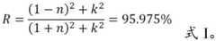
采用没有经过镀无机氧化物薄膜处理的裸眼3D显示模组,表面银镀层在可见光中心波长550nm的折射率n为0.125,消光系数k=3.34,银镀层在可见光中心波长处的反射率R经式I计算为95.975%。The naked-eye 3D display module that has not been coated with inorganic oxide film is used. The refractive index n of the silver coating on the surface at the central wavelength of visible light at 550 nm is 0.125, the extinction coefficient k=3.34, and the reflectivity of the silver coating at the central wavelength of visible light R is meridional I calculated 95.975%.
实施例4Example 4
使用原子层沉积技术在光栅层下表面镀一组氧化铝和氧化钛的叠层,与银镀层接触的是氧化铝镀层;A set of aluminum oxide and titanium oxide stacks are coated on the lower surface of the grating layer using atomic layer deposition technology, and the aluminum oxide coating is in contact with the silver coating;
氧化铝镀层在可见光中心波长550nm的折射率n2为1.775,镀膜厚度d2为77.5nm,氧化铝镀层表面再镀一层氧化钛镀层,氧化钛镀层在可见光中心波长550nm的折射率n1为1.913,镀膜厚度d1为72nm。高折镀层/低折镀层/银镀层形成叠层结构,其在可见光中心波长处的反射率R′经式II计算为96.451%。The refractive indexn2 of the alumina coating at the visible light center wavelength of 550nm is 1.775, and the coating thicknessd2 is 77.5nm. The surface of the alumina coating is coated with a layer of titanium oxide coating. The refractive index n1of the titanium oxide coating at the visible light center wavelength of 550nm is 1.913, the coating thickness d1 is 72nm. The high-refractive coating/low-refractive coating/silver coating forms a laminated structure, and the reflectance R' at the central wavelength of visible light is calculated by formula II to be 96.451%.
由此可知,使用原子层沉积技术在光栅层下表面镀一组氧化铝和氧化钛的叠层后,与对比例相比,光栅结构表面的银镀层在可见光中心波长处的反射率提升了0.476%。It can be seen that, after using the atomic layer deposition technology to coat a group of aluminum oxide and titanium oxide stacks on the lower surface of the grating layer, compared with the comparative example, the reflectivity of the silver coating on the surface of the grating structure at the central wavelength of visible light is increased by 0.476 %.
实施例5Example 5
使用原子层沉积技术在光栅层下表面镀一组氧化硅和氧化钛的叠层,与银镀层接触的是氧化硅镀层,A set of stacks of silicon oxide and titanium oxide are coated on the lower surface of the grating layer using atomic layer deposition technology, and the silicon oxide coating is in contact with the silver coating.
氧化硅镀层在可见光中心波长550nm的折射率n3为1.460,镀膜厚度d3为94.2nm,氧化硅镀层表面再镀一层氧化钛镀层,氧化钛镀层在可见光中心波长550nm的折射率n1为1.913,镀膜厚度d1为72nm。高折镀层/低折镀层/银镀层形成叠层结构,其在可见光中心波长处的反射率R″经式III计算为97.502%.The refractive index n3 of the silicon oxide coating at the center wavelength of visible light 550nm is 1.460, and the thicknessd3of the coating is 94.2nm. The surface of the silicon oxide coating is coated with a layer of titanium oxide coating. The refractive index n1of the titanium oxide coating at the center wavelength of visible light 550nm is 1.913, the coating thickness d1 is 72nm. The high-folding coating/low-folding coating/silver coating forms a laminated structure, and its reflectance R″ at the central wavelength of visible light is calculated by formula III to be 97.502%.
使用原子层沉积技术在光栅层下表面镀一组氧化铝和氧化钛的叠层后,以比较例相比,光栅结构表面的银镀层在可见光中心波长处的反射率提升了1.527%。After using atomic layer deposition technology to coat a group of aluminum oxide and titanium oxide stacks on the lower surface of the grating layer, compared with the comparative example, the reflectivity of the silver coating on the surface of the grating structure at the central wavelength of visible light is increased by 1.527%.
使用BM-7对实施例4~5和对比例中的裸眼3D显示模组进行性能测试,结果如表2所示。The naked-eye 3D display modules in Examples 4 to 5 and the comparative example were tested for performance using BM-7, and the results are shown in Table 2.
表2实施例3~5和对比例中裸眼3D显示模组的性能数据Table 2 Performance data of naked-eye 3D display modules in Examples 3-5 and Comparative Examples
实施例4和5均是在光栅层表面镀一组高低折射率交替的无机氧化物薄膜,其结构如图3所示。上述实施例表明只需在裸眼3D显示模组的光栅层下表面镀一组高低折射率交替的无机氧化物薄膜可以增加裸眼3D显示模组的银镀层的反射率,提升裸眼3D显示模组的显示效果,同时在裸眼3D显示模组光栅层的银镀层表面所镀的无机氧化物叠层薄膜可以提供比单层无机氧化物更好的保护效果,能够更好的起到阻隔空气中的水汽接触光栅层表面的银镀层,保护银镀层不被腐蚀,从而增加裸眼3D显示模组的性耐性,增加裸眼3D显示模组的使用寿命。保持每组无机氧化物薄膜的镀膜厚度不变,通过增加高低折射率无机氧化物叠层的组数可以进一步增加无机氧化物的保护效果以及裸眼3D显示模组的显示效果,高低折射率无机氧化物叠层的组数越多,无机氧化物镀层对银镀层的保护效果越好,同时不显著影响亮度、导致偏移等。In both embodiments 4 and 5, a group of inorganic oxide thin films with alternating high and low refractive indices are plated on the surface of the grating layer, the structure of which is shown in FIG. 3 . The above examples show that only by coating a group of inorganic oxide films with alternating high and low refractive indices on the lower surface of the grating layer of the naked-eye 3D display module can increase the reflectivity of the silver coating of the naked-eye 3D display module, and improve the reflectivity of the naked-eye 3D display module. At the same time, the inorganic oxide laminated film plated on the surface of the silver coating layer of the grating layer of the naked-eye 3D display module can provide better protection effect than single-layer inorganic oxide, and can better block water vapor in the air. The silver coating on the surface of the contact grating layer protects the silver coating from being corroded, thereby increasing the resistance of the naked-eye 3D display module and prolonging the service life of the naked-eye 3D display module. Keeping the coating thickness of each group of inorganic oxide films unchanged, by increasing the number of layers of high and low refractive index inorganic oxide layers, the protection effect of inorganic oxides and the display effect of naked-eye 3D display modules can be further increased. The greater the number of groups of the compound stack, the better the protection effect of the inorganic oxide coating on the silver coating, while not significantly affecting the brightness, causing offset, etc.
以上所述仅是本发明的优选实施方式,应当指出,对于本技术领域的普通技术人员来说,在不脱离本发明原理的前提下,还可以做出若干改进和润饰,这些改进和润饰也应视为本发明的保护范围。The above are only the preferred embodiments of the present invention. It should be pointed out that for those skilled in the art, without departing from the principles of the present invention, several improvements and modifications can be made. It should be regarded as the protection scope of the present invention.
| Application Number | Priority Date | Filing Date | Title |
|---|---|---|---|
| CN202210229987.9ACN114442213A (en) | 2022-03-10 | 2022-03-10 | Optical device, naked-eye 3D display device, and method for improving optical device resistance |
| Application Number | Priority Date | Filing Date | Title |
|---|---|---|---|
| CN202210229987.9ACN114442213A (en) | 2022-03-10 | 2022-03-10 | Optical device, naked-eye 3D display device, and method for improving optical device resistance |
| Publication Number | Publication Date |
|---|---|
| CN114442213Atrue CN114442213A (en) | 2022-05-06 |
| Application Number | Title | Priority Date | Filing Date |
|---|---|---|---|
| CN202210229987.9APendingCN114442213A (en) | 2022-03-10 | 2022-03-10 | Optical device, naked-eye 3D display device, and method for improving optical device resistance |
| Country | Link |
|---|---|
| CN (1) | CN114442213A (en) |
| Publication number | Priority date | Publication date | Assignee | Title |
|---|---|---|---|---|
| CN115685553A (en)* | 2022-09-06 | 2023-02-03 | 舜宇奥来半导体光电(上海)有限公司 | diffractive optical waveguide structure |
| Publication number | Priority date | Publication date | Assignee | Title |
|---|---|---|---|---|
| JPS62238527A (en)* | 1986-04-10 | 1987-10-19 | Canon Inc | light modulator |
| CN105870249A (en)* | 2016-03-24 | 2016-08-17 | 江苏微导纳米装备科技有限公司 | Fabrication process of crystalline silicon solar cell |
| CN106772733A (en)* | 2016-12-26 | 2017-05-31 | 南京大学 | Three-dimensional Dirac semimetal diffraction grating |
| CN107329278A (en)* | 2017-07-14 | 2017-11-07 | 宜昌南玻显示器件有限公司 | Bore hole 3D gratings and preparation method |
| US20180031744A1 (en)* | 2016-07-29 | 2018-02-01 | Lumentum Operations Llc | Thin film total internal reflection diffraction grating for single polarization or dual polarization |
| US20180081176A1 (en)* | 2015-04-08 | 2018-03-22 | Dispelix Oy | Optical see-through display element and device utilizing such element |
| CN109750273A (en)* | 2019-01-25 | 2019-05-14 | 中国地质大学(北京) | A method for improving the stability of silver jewelry by coating based on atomic layer deposition |
| CN110488402A (en)* | 2019-07-10 | 2019-11-22 | 中国科学院上海技术物理研究所 | A kind of the silver-based membrane structure and film plating process of the reflection of UV, visible light IR high efficiency |
| CN112185990A (en)* | 2020-10-23 | 2021-01-05 | 江苏第三代半导体研究院有限公司 | Naked eye 3D display unit |
| US20210180183A1 (en)* | 2019-04-16 | 2021-06-17 | Applied Materials, Inc. | Atomic layer deposition on optical structures |
| CN113376716A (en)* | 2021-06-21 | 2021-09-10 | 中国科学院光电技术研究所 | Method for coating antireflection film on surface of diffraction optical device |
| Publication number | Priority date | Publication date | Assignee | Title |
|---|---|---|---|---|
| JPS62238527A (en)* | 1986-04-10 | 1987-10-19 | Canon Inc | light modulator |
| US20180081176A1 (en)* | 2015-04-08 | 2018-03-22 | Dispelix Oy | Optical see-through display element and device utilizing such element |
| CN105870249A (en)* | 2016-03-24 | 2016-08-17 | 江苏微导纳米装备科技有限公司 | Fabrication process of crystalline silicon solar cell |
| US20180031744A1 (en)* | 2016-07-29 | 2018-02-01 | Lumentum Operations Llc | Thin film total internal reflection diffraction grating for single polarization or dual polarization |
| CN107664783A (en)* | 2016-07-29 | 2018-02-06 | 朗美通经营有限责任公司 | Thin-Film Total Internal Reflection Diffraction Gratings for Single or Dual Polarization |
| CN106772733A (en)* | 2016-12-26 | 2017-05-31 | 南京大学 | Three-dimensional Dirac semimetal diffraction grating |
| CN107329278A (en)* | 2017-07-14 | 2017-11-07 | 宜昌南玻显示器件有限公司 | Bore hole 3D gratings and preparation method |
| CN109750273A (en)* | 2019-01-25 | 2019-05-14 | 中国地质大学(北京) | A method for improving the stability of silver jewelry by coating based on atomic layer deposition |
| US20210180183A1 (en)* | 2019-04-16 | 2021-06-17 | Applied Materials, Inc. | Atomic layer deposition on optical structures |
| CN110488402A (en)* | 2019-07-10 | 2019-11-22 | 中国科学院上海技术物理研究所 | A kind of the silver-based membrane structure and film plating process of the reflection of UV, visible light IR high efficiency |
| CN112185990A (en)* | 2020-10-23 | 2021-01-05 | 江苏第三代半导体研究院有限公司 | Naked eye 3D display unit |
| CN113376716A (en)* | 2021-06-21 | 2021-09-10 | 中国科学院光电技术研究所 | Method for coating antireflection film on surface of diffraction optical device |
| Publication number | Priority date | Publication date | Assignee | Title |
|---|---|---|---|---|
| CN115685553A (en)* | 2022-09-06 | 2023-02-03 | 舜宇奥来半导体光电(上海)有限公司 | diffractive optical waveguide structure |
| Publication | Publication Date | Title |
|---|---|---|
| US20130135742A1 (en) | Optical product and spectacle plastic lens | |
| JP2012128135A (en) | Optical article and method for manufacturing the same | |
| CN108351450B (en) | Gold Tone Multilayer Coating and Reflector Containing the Coating | |
| WO2015080160A1 (en) | Spectacle lens | |
| CN115616797B (en) | A clear background color blue light and infrared protection resin lens and preparation method thereof | |
| CN215895150U (en) | Ultra-low reflective clear ground color blue light-proof resin lens | |
| TW201348758A (en) | Infrared filter and lens module | |
| JP2013205805A (en) | Optical member | |
| JP2023182732A (en) | Optical coating with nanolaminate for increased durability | |
| CN114442213A (en) | Optical device, naked-eye 3D display device, and method for improving optical device resistance | |
| CN102831962B (en) | A kind of medium conductive film, preparation method and electrochromic rearview | |
| US9651713B2 (en) | Optical product and spectacle plastic lens | |
| CN103383474A (en) | Ultraviolet transmission component and light source device | |
| CN112114389A (en) | Heat-insulation antireflection film and preparation method and application thereof | |
| WO2025092954A1 (en) | Head-up display glass and head-up display system | |
| CN1749782A (en) | Coated glass lens | |
| CN106443862B (en) | It can be seen that wide spectrum depolarization light splitting piece | |
| CN114864728A (en) | A kind of high light-transmitting coffee-colored glass and coffee-colored solar module | |
| WO2022210114A1 (en) | Eyeglass plastic lens | |
| JP4967529B2 (en) | Transparent conductive laminate | |
| CN206270528U (en) | It can be seen that wide spectrum depolarization light splitting piece | |
| WO2017145748A1 (en) | Light-reflecting film and backlight unit for liquid crystal display device | |
| TW201346313A (en) | Ultravilet rays transmission element and light source | |
| CN205774111U (en) | Acid and alkali-resistance antireflective film glass | |
| CN205653344U (en) | Two -sidedly subtract anti - membrane glass |
| Date | Code | Title | Description |
|---|---|---|---|
| PB01 | Publication | ||
| PB01 | Publication | ||
| SE01 | Entry into force of request for substantive examination | ||
| SE01 | Entry into force of request for substantive examination | ||
| CB02 | Change of applicant information | Address after:No. 27 Changjiang South Road, Xinwu District, Wuxi City, Jiangsu Province, China Applicant after:Jiangsu micro nano technology Co.,Ltd. Address before:214000 9-6-2 Xinshuo Road, Xinwu District, Wuxi City, Jiangsu Province Applicant before:Jiangsu micro nano technology Co.,Ltd. | |
| CB02 | Change of applicant information |